Abstract
Here, we report results of the investigation of the lattice dynamics of the sylvanite mineral AuAgTe4 in a wide temperature and pressure range by Raman spectroscopy, together with the first-principle calculations. At ambient pressure, the experimental spectrum agrees well with the calculation data. The temperature behavior of the phonon self-energies (frequencies and linewidths) are described by an anharmonic mechanism and imply negligible contributions of electron–phonon interaction at low temperatures. A structural phase transition was recorded in the pressure range of 4–6 GPa, which is in accordance with theoretical predictions. At higher pressures, evidence of local structural disorder was found that made it possible to experimentally observe the spectrum of the density of vibrational states of AuAgTe4, which becomes superconducting under pressure.
1. Introduction
Gold–(silver) tellurides are important accessory minerals, containing a significant proportion of the gold endowment at a number of important deposits across the globe. The Golden Mile deposit in Kalgoorlie, Western Australia, has been an economically important gold–(silver) telluride deposit for over a century; it contained approximately 1450 tons gold, of which approximately 20 % was in the form of tellurides [1]. Eight Au–(Ag) tellurides have been described and are currently recognized as minerals: calaverite, krennerite, sylvanite, petzite, muthmannite, empressite, hessite, and stuetzite. The gold-rich telluride species, namely, calaverite, krennerite and sylvanite, are the most common and economically important minerals of the group, with a chemical composition of AuAgTe. Gold and platinum group compounds such as AuSb, PtAs, and PdSe have pyrite-type MX structures characterized by an X unit with an X–X covalent bond in the structure [2,3]. On the other hand, Te–Te covalent bonds do not systematically occur in tellurides; for instance, they are absent in petzite [4]. Calaverite (AuTe) was the first mineral or compound to be recognized as having an incommensurately modulated structure [5]. Recently, it has been shown by ab initio calculations that the tendency towards charge (Au and Au) or bond (Te–Te dimer formation) disproportionation is intrinsically connected with the chemical instability of the state, with a nominal average valence of gold Au [6]. A structural transition occurs, with the formation of corresponding incommensurate superstructure when all of the holes go to ligand (Te) bands (though with significant hybridization with d states of Au). Suppression of this superstructure by pressure or doping leads to the formation of a homogeneous metallic state, with all Au becoming equivalent; in AuTe, this state becomes superconducting at a relatively low pressure of 2.3 GPa or upon Pt or Pd doping [7,8,9,10], with a critical temperature ∼4 K. Another interesting object for study in the Au-Ag-Te system is a commensurate structure, sylvanite AuAgTe, in which Ag replaces half of the Au in the original incommensurate AuTe. Previous researchers have described the structure as Au occupying a distorted AuTe octahedral site. The AgTe polyhedra forms sheets by sharing edges parallel to (100) of P2/c setting, i.e. (200) with B2/e settings [11]. The local coordination environment of the Te–Te bond in sylvanite resembles those in the pyrite-type compounds [4]. It is characterized by the formation of Te-Te dimers, however, unlike AuTe it has a regular commensurate ordering of Au and Ag in the P2/c monoclinic structure [12]. Similar to AuTe, the average valency of Au and Ag in sylvanite is 2+, although both Ag and Au are unstable and rarely encountered in practice, especially Au; they usually have a tendency towards disproportionate charge onto 1+ and 3+ ionic states. This is exactly what happens in AuAgTe [13]. Distortions of the octahedra around Au and Ag lead to the modification of the Te sublattice, meaning that short Te–Te dimers are formed with two Te in the dimer belonging to different MTe planes (M = Ag, Au). The formation of such dimers can provide a sufficiently strong bond between these layers, meaning that AuAgTe (and similarly AuTe) should not be considered as a van der Waals system [14].
A recent theoretical study [14] predicts that at a pressure of P∼5 GPa a structural transition to the P2/m structure is possible. It is assumed that it is accompanied by the disappearance of Te–Te dimers and results in superconductivity, which has been confirmed in experiments at high pressures [15]. The mechanism of electron pairing in both tellurides is currently unclear; therefore, experimental studies of elementary excitations are important for its understanding. Because the conventional BCS pairing mechanism assumes an important role of phonons, it is necessary to know the phonon spectrum and its behavior during phase transitions. Therefore, in this study, the structure, symmetry, and phonon spectrum of AuAgTe are investigated through the method of inelastic light scattering in a wide range of temperatures and pressures.
2. Results and Discussion
2.1. Structure and Phonon Spectra
The structure of AuAgTe at ambient pressure is characterized by the P2/c space group (see Figure 1), and there are twelve atoms in the unit cell. Detailed structural analysis of one AuAgTe grain was performed using the SEM-EBSD method at room temperature prior to the pressure experiments. An analysis of electron backscatter diffraction patterns (EBSP) at 20 points showed the grain to be a single crystal with a small-angle misorientation of less than 5° and mean angular deviation (MAD) at the points of 0.14–0.85. The EBSD method showed a monoclinic crystal system with the P2/c space group at each point of the grain. According to EDS analysis, sylvanite grains contain copper and iron sulfide inclusions (CuFeS and CuS) and micron inclusions of Ag. Microanalysis showed the presence of impurity element Cu of <1 wt%, which is <5% of the Au+Ag concentration in the points. The difference between Au and Ag is <5% of the Au+Ag content. The ratio of Au and Ag takes values of 0.92–1.01. Taking into account the content of Cu impurity and the error of the measurements by EDS, the ratio of Au to Ag can be considered as equal to 1:1. Microanalysis of ten small AuAgTe crystals showed maximum deviations of ±0.05 for all elements; the average composition turned out to be AuAgTe.
Figure 1.
The structure of AuAgTe at ambient pressure (a) and its high-pressure (at 10 GPa) modification (b).
The following modes should be presented in the point for this structure:
Fifteen of the optical modes (7A + 8B) are Raman active. The measurements were carried out on crystal cleavages, among which cleavages of both rhombic and rectangular surface morphology were found. It is natural to assume that cleavages of rhombic morphology contain an AC plane (see insert in Figure 2); the selection rules for its measurement allow us to observe only A phonons both for parallel polarization and cross-polarization of the incident and scattered light. Our measurements confirm this conclusion. Measurements of the rectangular morphology on chips made it possible to observe B phonons in accordance with the selection rules. Thus, we were able to identify all crystal planes using only Raman data and to study all possible polarization geometries. Figure 2 shows the polarized Raman spectra of AuAgTe measured at 300 K from all planes in (XX), (XY), and (YY) polarization geometries (X‖A or B). At room temperature, we observed all seven A Raman active vibrations at 47, 61, 95, 102, 121, 132, and 158 cm. Seven weaker B modes at 50, 58, 84, 88, 114, 134, and 147 cm were observed on other crystal planes, where strong A modes are noticeable as well due to polarization leakage. All fifteen Raman active modes were located in the 100 cm range, sometimes leading to overlapping lines. Nevertheless, most of the modes could be accurately identified. The frequencies of the observed AuAgTe phonon lines are presented in Table 1 together with the calculated data. The performed calculation shows good agreement with the experimental frequencies.
Figure 2.
Raman spectra obtained from different planes of AuAgTe at 300 K in different polarization geometries with 532 nm excitation. Insert: sample fragment with ac plane.
Table 1.
Calculated and experimentally found Raman active modes at 300 K frequencies (in cm) for AuAgTe with respect to irreducible representations. The peak position error is ±1 cm.
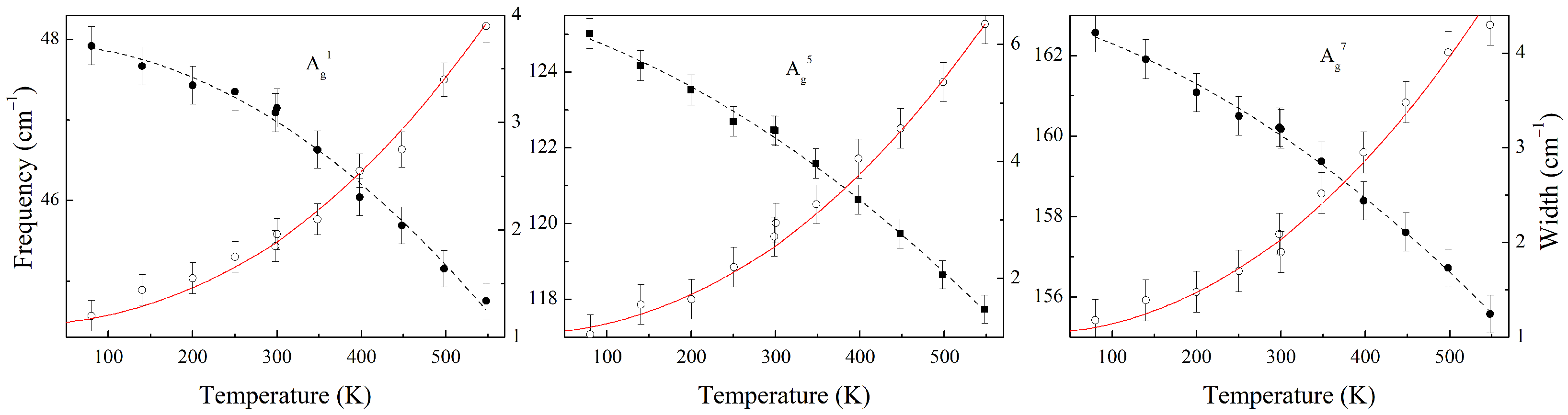
2.2. Temperature Dependence of the Phonons
It is known that if vibrational excitations are the “glue” for electron pairing, the electron–phonon interaction contributes to the low-temperature phonon linewidth. Although AuAgTe is a non-superconducting metal at ambient pressure, we investigated the temperature behavior of the self-energies of a number of phonons. The frequencies and linewidths of phonon lines were obtained by peak fitting to a Voigt function, which is a Lorentzian folded with a Gaussian that accounts for the spectrometer bandwidth. With increasing temperature, the frequencies of almost all lines in the spectra soften and the linewidths increase, which is shown in Figure 3 for several A phonons. Usually, to describe the experimentally observed temperature dependences of frequency and lifetime the anharmonic contributions to the lattice potential have to be taken into account. An account of the cubic and quartic anharmonicities leads to well-known expressions for the phonon frequency (T) and linewidth (T) [16,17]. Unfortunately, the data on the thermal expansion coefficient are unknown for the AuAgTe crystal. Therefore, we could not describe the frequency dependencies, and only fitted the temperature behavior of the linewidths according to expression (2) [17]:
Figure 3.
Temperature dependencies of the frequency (filled circles) and full width at half maximum (empty circles) of three A modes. The solid lines are fits of linewidth by expression (2), while the dashed lines are a guide to the frequency behavior.
Here, the bare linewidth includes contributions from different defects, C and D are fitting parameters related to the third-order and the fourth coefficients in the expansion of the lattice potential in normal coordinates, respectively, and n( is the Bose–Einstein factor.
The Klemens model [16] takes into account the decay of an optical phonon into two acoustic phonons belonging to the same branch; however, it does not provide a reasonable fit to the linewidth of all phonons studied. Therefore, an account of the fourth-order anharmonicity (decay into three acoustic phonon) is necessary for a satisfactory fit of the all phonon linewidths. The parameters for the temperature dependence of phonon linewidths (shown in Figure 3) analyzed here are compiled in Table 2. As can be seen, the low-temperature linewidths of these and other studied phonons are in the region of 1 cm or less, which indicates a negligible contribution of electron–phonon effects and low defectiveness of the studied crystals.
Table 2.
Phonon parameters.
2.3. Continuum
In the AuAgTe Raman spectrum, narrow phonon lines are superimposed on a broad continuum that grows towards low frequencies (see the inset in Figure 4). It can be assumed that this continuum is due to inelastic light scattering by electronic excitations, as calculations of the electronic structure confirm the metallic state in this material. The continuum in AuAgTe is strongly polarization-dependent, with large A symmetry and small B symmetry contributions. The low intensity of this continuum compared to the intensity of the phonon spectrum makes it difficult to analyze its frequency behavior. The continuum was extracted by subtracting the individually fitted phonons from the total spectrum fitting. Then, we obtained the Raman spectral function () from the fitted continuum intensity by dividing out the Bose thermal factor (n() + 1), as shown in Figure 4. The obtained spectrum extrapolates approximately to zero, and its maximum is located near 150 cm. Such broad electronic Raman scattering can be observed in anisotropic metals due to the presence of scattering of carriers by impurities or phonons [18,19,20]. In this case, the energy of the maximum of the continuum makes it possible to estimate the electron relaxation frequency () in accordance with the relaxation expression (), where is the electron density of states at the Fermi level. As shown in Figure 4, the obtained is well described by this expression. The small amount of impurities in our samples suggests that this frequency is determined mainly by scattering via lattice vibrations. Then, we can estimate the value of the electron–phonon interaction constant using the expression , where is the imaginary part of the electron self-energy [21].
Figure 4.
Raman spectral function of AuAgTe for A symmetry (solid blue) shown together with total measured (black) and fitted (red) spectra, both corrected by the Bose factor. The relaxation form for = 150 cm (position shown by arrow) is indicated by the dashed red line. The insert shows the spectra for both symmetries measured at the ab plane.
To calculate the electron–phonon coupling constant , we used the constant and the density of phonon states taken from [15]. The frequency dependencies of and can be neglected at high temperatures. To obtain the value of = 150 cm, we used the value of = 0.1. It follows that this estimate provides an upper bound on the value of for the ambient pressure state of AuAgTe; moreover, it is close to the value 0.097 calculated for P = 2 GPa in [15].
In the region of 200–300 cm , weak broad lines are observed, which obviously represent second-order scattering; these can provide an idea of the doubled density of phonon states.
2.4. Low-Pressure Measurements
Raman scattering experiments on three different samples under pressure were performed, first up to 8 GPa, then to 25 GPa to expand the pressure range, and finally to 9 GPa to ensure that the results obtained were reproducible. The plane of the sample on which the pressure measurements were carried out was not the AC plane, as two B lines at 134 and 147 cm were observed in the spectrum (see Figure 5a). The discontinuous change in Raman spectra near 4–6 GPa signals the pressure-induced phase transition. The main changes are the appearance of new modes at 113 and 142 cm and significant changes in the intensity of certain lines in the polarized spectra (Figure 5b). The frequencies of most lines increase with increasing pressure; the greatest increase in frequency is shown by the A mode at 61 cm (1.7 cm/GPa). In contrast, the energy of the B mode at 147 cm decreases as the pressure increases to 4 GPa, after which, instead of two modes, one appears at 142 cm. In addition to the appearance of new lines in the spectrum, after hardening at low pressures a number of lines start to soften or broaden sharply after transition. However, the number of lines in the high pressure phase is more than follows from the selection rules for the assumed structure of the high-pressure phase P2/m [14], where only siix modes should be Raman active (4A + 2B). The spectra presented in Figure 5 were measured in different experiments, and apparently on different crystal planes. In Figure 5b, the line near 75 cm practically disappears in the high-pressure phase, however, it is clearly visible in Figure 5a. This can be explained by the strong anisotropy of spectra measured on different crystal planes; however, all spectra contain seven lines at P ≥ 7 GPa. The frequencies of the Raman active phonons calculated at 7.5 GPa are listed in Table 3 together with the observed ones. The symmetry of the latter cannot be determined unambiguously due to the lack of information about the orientation of the crystal in the high-pressure phase and the impossibility of performing measurements on different planes of the crystal. For example, while the most high-frequency A line of the LP phase at 160 cm was observed in the polarized spectrum, its intensity decreased significantly in the region of the structural transition, and it acquired a significant intensity in the HP phase. It is possible that in the HP phase at this frequency we already observed a phonon of B symmetry.
Figure 5.
High pressure Raman spectra of AuAgTe measured with 633 nm excitation from the second (a) and first (b) runs; the numbers refer to pressures in gigapascals.
Table 3.
Calculated (at 10 GPa) and experimentally determined (at 7.5 GPa) frequencies of Raman active modes for AuAgTe (in cm) with respect to irreducible representations. The peak position error was ±1 cm.
The observation of more lines than predicted by the selection rules for the P2/m structure may indicate a two-phase state of the sample in this pressure range. After the release of pressure, the spectra contained a somewhat broadened spectra of the initial crystal (Figure 6) at ambient pressure. Such behavior of the spectra was observed in all three experiments carried out under pressure.
Figure 6.
High pressure Raman spectra of AuAgTe measured with 532 nm excitation for increasing (a) and subsequent decreasing (b) pressure. The numbers refer to pressures in gigapascals.
2.5. Phonon Density of States Observed at High Pressure Range
After increasing the pressure above 8 GPa, we observed an unexpected transformation of the spectra in all three experiments performed. Narrow lines in the spectra disappeared with the appearance of two broad peaks in the region of 50 and 150 cm at 8–9 GPa. Initially these spectra were dominated by a low-frequency feature that appeared at a frequency somewhat lower than the A peak energy at 50 cm observed at lower pressures (Figure 6). Such spectra have now been observed in various polarization geometries, suggesting the non-crystalline nature of the sample. With a further increase in pressure, both features shifted to the region of high frequencies, with the frequency of the first peak doubling as the pressure increased to 25 GPa. Surprisingly, when the pressure is released, the sample returns to the single-crystal state at ambient pressure. Moreover, polarization measurements show that the recovered crystal has the same orientation as the original one.
Usually, the Raman spectrum in a perfect crystal consists of a number of narrow lines in accordance with the selection rules for the given crystal structure, and is exactly the case in the spectrum at ambient pressure. Frequencies of these lines correspond to the energies of long-wavelength optical phonons. The vibrations from the whole Brillouin zone (pseudozone) may become active in the Raman scattering upon breakdown of translation periodicity. Well-known examples of this are the Raman measurements of the lattice dynamics in amorphous solids [22], which yield information on both the vibrational density of states and the local structural order. In the cases of amorphous or disordered solids, the Raman intensity is described by [23]:
where is the vibration frequency, n(,T) is the Bose factor, is the coupling coefficient of light with vibrations, and g() is the vibrational density of states.
After subtracting the polynomial-approximated background from the spectra in Figure 6, they were corrected according to Equation (3) to extract the density of vibrational states g(). The resulting g() was roughly approximated by two Gaussians using = 1, as shown in Figure 7. They consist of two peaks separated by a gap, and are spread in energy up to 220 cm (27 meV) at the highest pressures. With an increase in pressure from 9 to 25 GPa, the energy of the first peak shifts from 60 to 115 cm and that of the second from 150 to 175 cm. The gap position shifts from 110 to 135 cm. The obtained estimates are in good agreement with the calculations of the phonon spectrum at high pressures up to 15 GPa.
Figure 7.
Extracted phonon density of states of AuAgTe at different pressures. Black numbers refer to pressures in gigapascals. Blue numbers mark peak frequencies in cm.
Here, we note that previous experiments on X-ray diffraction up to 10 GPa confirm the existence of the P2/m phase [15]. However, these experiments were carried out using neon as the pressure-transmitting medium, i.e., in good hydrostatic conditions. In our experiments, we used KCl, which undoubtedly provided only quasi-hydrostatic conditions. It is known that the observation of pressure-induced amorphization depends on the hydrostatic vs. nonhydrostatic nature of the compression conditions and the timescale on which they are applied, as well as the chemical purity, crystallinity, and grain size of the starting samples [24]. Although the calculations show that the P2/m phase is dynamically stable at 15 GPa, Raman experimentation unambiguously indicates the existence of at least local structural disorder at pressures above 8-9 GPa. Despite the good quality of the initial crystals, the presence of modes forbidden by the selection rules in the Raman spectrum in the high-pressure phase indicates the existence of inhomogeneities in the samples. This fact, together with non-hydrostatic loading conditions, can contribute to the appearance of structural disorder.
The Raman spectra of AuTe under pressure have not yet been presented in the literature. For AsTe,Ref. 25] reported a structural phase transition, a crystalline-to-amorphous transformation, and metallization by Raman spectroscopy under both non-hydrostatic and hydrostatic conditions up to 25 GPa. In addition, the amorphization and metallization of the arsenic telluride were irreversible under non-hydrostatic conditions and reversible under hydrostatic conditions. The effect of pressure environment up to 25 GPa on the structural phase transition and metallization was found to be negligible for ZnTe [26]. The situation in AuAgTe is very similar to the so-called “memory glass” effect observed in AlPO and in -quartz, where the transformation appears to be fully reversible, apparently conserving the orientation of the original crystalline axes. Later works have shown that the high-pressure “amorphized” form of AlPO produced under the non-hydrostatic conditions of the original experiment was in fact a disordered crystalline solid [24,27,28].
The reason for possible local disorder in our case is currently unclear. The parameter , taken as equal to unity in the above estimates of density of phonon states, is the matrix element of the electron–phonon coupling in the Raman process. When comparing density of phonon states weighted in this way and obtained from the experiment and the theoretically calculated Eliashberg electron–phonon spectral function, a higher intensity in the high-frequency region of the phonon spectrum is observed in the experiment. It is reasonable to assume that the difference is determined by the frequency dependence parameter ; therefore, at high pressures, the coupling of high-frequency phonons (which have a predominant contribution from Te states) with electrons is increased. It can be assumed that local displacements of Te atoms, which distort the octahedra around Au and Ag atoms, take place at high pressures, leading to the activity of phonons from the entire Brillouin zone. However, in order to confirm such an assumption accompanying X-ray studies and Raman experiments under hydrostatic conditions are required.
Regardless of the actual structure occurring at high pressures, our experiment made it possible to obtain information on the density of vibrational excitations of AuAgTe at high pressures, which can be used for correlation with theoretical calculations.
3. Materials and Methods
The Raman experiment was carried out using natural AuAgTe crystals from the Kochbulak deposit, Kuraminsky Range, Uzbekistan. Their composition and structure were confirmed in the Common Use Center “Geoanalitik” using a Cameca SX100 electron probe microanalyzer and a Jeol JSM6390LV scanning electron microscope with an Oxford Inca Energy 450 X-Max80 EDS detector (the re-equipment and comprehensive development of the “Geoanalitik” shared research facilities of the IGG UB RAS is supported by a grant of the Ministry of Science and Higher Education of the Russian Federation, agreement No. 075-15-2021-680). Three grains of AuAgTe were studied using EDS and EBSD detectors on SEM at room temperature before carrying out the pressure experiment. The grains were glued to conductive adhesive tape and evaporated by carbon. The spectra were recorded from flat horizontal sections. Polarized Raman measurements in the temperature range of 80 to 550 K were performed in backscattering geometry from the cleaved chips of these crystals using an RM1000 Renishaw microspectrometer equipped with a 532 nm solid-state laser and 633 helium–neon laser. The respective Linkam stage was used for temperature variation. Very low power (up to 1 mW) was used to avoid local heating of the sample. A pair of notch filters with a cut-off at 60 cm were used to reject light from the 633 nm laser line. To reach as close to the zero frequency as possible, we used a set of three volume Bragg gratings (VBG) at 532 nm excitation to analyze the scattered light. The resolution of our Raman spectrometer was estimated to be 2–3 cm. For the high pressure experiments, nonoriented crystal chips were loaded into a custom-made diamond anvil cell (DAC) using KCl as a pressure medium together with a small ruby chip for pressure control. The first principle calculations were performed within the framework of Density Functional Theory (DFT) [29] using the projector-augmented wave (PAW) method [30] implemented in the Vienna ab initio simulation package (VASP) [31] with the exchange correlation energy described by the generalized gradient approximation (GGA) using the Perdew–Burke–Ernzerhof (PBE) functional [32]. The cut-off energy was chosen to be 500 eV and a mesh size of 4 × 4 × 2 was used for integration over the Brillouin zone according to the Monkhorst–Pack scheme [33]. The correlation effects were taken into account via the GGA+U approach as introduced in [34]. The crystal structure in the GGA calculations was relaxed unless the interatomic forces were larger than 0.005 eV/Å.
4. Conclusions
The structure features, symmetry, and phonon spectrum of AuAgTe were studied by the method of inelastic light scattering in a wide range of temperatures and pressures. At ambient pressure, almost all Raman active phonons were observed and their energies were found to agree well with the first-principles calculation results.
With increasing temperature, the frequencies of almost all lines in the spectra soften and their widths increase, which can be attributed to anharmonic processes. The phonon spectrum is superimposed by a background, with the most probable source being inelastic light scattering due to electronic excitations. This makes it possible to estimate the magnitude of the electron–phonon interaction. A structural phase transition was recorded in accordance with theoretical predictions and x-ray diffraction measurements [15], however, spectra in the pressure range of 4–6 GPa may indicate two-phase behavior. At pressures above 8 GPa, unexpected transformation of the observed spectra suggests the appearance of at least local structural disorder at higher pressures. This made it possible to experimentally observe the pressure evolution of the spectrum of the density of vibrational states in AuAgTe.
Author Contributions
Conceptualization, Y.S.P. and D.A.Z.; investigation, Y.S.P., S.V.S., E.A.P. and D.A.Z.; writing—original draft preparation, Y.S.P., S.V.S. and E.A.P.; writing—review and editing, Y.S.P., S.V.S. and D.A.Z.; visualization, Y.S.P. All authors have read and agreed to the published version of the manuscript.
Funding
This research was funded by the state assignment of the Ministry of Science and Higher Education of the Russian Federation (Theme “Electron” No. 122021000039-4). The Phonon spectra interpretation was funded within the framework of research project No. 122011300125-2. The SEM and EPMA analysis was funded within the framework of IGG UB RAS research project No. AAAA-A19-119071090011-6.
Acknowledgments
We are very much grateful to Gregory Rozenberg, Eran Greenberg, and Karl Syassen for detailed and extremely useful discussions of the Raman results and to Gyanu Kafle, Alexey Ushakov, Evgenya Komleva, Igor Mazin, and Elena Margine for various communications with respect to the DFT calculations. The authors wish to thank Valeriy Murzin for providing the samples.
Conflicts of Interest
The authors declare no conflict of interest.
References
- Shackleton, J.M.; Spry, P.G.; Bateman, R. Telluride mineralogy of the golden mile deposit, Kalgoorlie, Western Australia. Can. Mineral. 2003, 41, 1503–1524. [Google Scholar] [CrossRef]
- Ewald, P.P.; Friedrich, W. Röntgenaufnahmen von kubischen Kristallen, insbesondere Pyrit. Ann. Der Phys. 1914, 349, 1183–1196. [Google Scholar] [CrossRef]
- Tokuda, M.; Yoshiasa, A.; Mashimo, T.; Arima, H.; Hongu, H.; Tobase, T.; Sugiyama, K. Crystal structure refinement of MnTe2, MnSe2, and MnS2: Cation-anion and anion–anion bonding distances in pyrite-type structures. Z. FüR-Krist.-Cryst. Mater. 2019, 234, 371–377. [Google Scholar] [CrossRef]
- Kitahara, G.; Yoshiasa, A.; Tokuda, M.; Nespolo, M.; Hongu, H.; Momma, K.; Sugiyama, K. Crystal structure, XANES and charge distribution investigation of krennerite and sylvanite: Analysis of Au–Te and Te–Te bonds in Au1-xAgxTe2 group minerals. Acta Crystallogr. Sect. B Struct. Sci. Cryst. Eng. Mater. 2022, B78, 117–132. [Google Scholar] [CrossRef] [PubMed]
- Dam, B.; Janner, A.; Donnay, J.D.H. Incommensurate Morphology of Calaverite (AuTe2) Crystals. Phys. Rev. Lett. 1985, 55, 2301–2304. [Google Scholar] [CrossRef] [PubMed]
- Streltsov, S.V.; Roizen, V.V.; Ushakov, A.V.; Oganov, A.R.; Khomskii, D.I. Old puzzle of incommen-surate crystal structure of calaverite AuTe2 and predicted stability of novel AuTe compound. Proc. Natl. Acad. Sci. USA 2018, 115, 9945–9950. [Google Scholar] [CrossRef] [PubMed]
- Kitagawa, S.; Kotegawa, H.; Tou, H.; Ishii, H.; Kudo, K.; Nohara, M.; Harima, H. Pressure-induced super-conductivity in mineral calaverite AuTe2. J. Phys. Soc. Jpn. 2013, 82, 113704. [Google Scholar] [CrossRef]
- Kudo, K.; Ishii, H.; Takasuga, M.; Iba, K.; Nakano, S.; Kim, J.; Nohara, M. Superconductivity induced by breaking Te2 dimers of AuTe2. J. Phys. Soc. Jpn. 2013, 82, 063704. [Google Scholar] [CrossRef]
- Ootsuki, D.; Takubo, K.; Kudo, K.; Ishii, H.; Nohara, M.; Saini, N.L.; Mizokawa, T. Effect of Pt substitution on the electronic structure of AuTe2. Phys. Rev. B 2014, 90, 144515. [Google Scholar] [CrossRef]
- Reithmayer, K.; Steurer, W.; Schulz, H.; De Boer, J.L. High-pressure single-crystal structure study on ca-laverite, AuTe2. Acta Crystallogr. Sect. B Struct. Sci. 1993, B49, 6–11. [Google Scholar] [CrossRef]
- Nespolo, M. The ash heap of crystallography: Restoring forgotten basic knowledge. J. Appl. Crystallogr. 2015, 48, 1290–1298. [Google Scholar] [CrossRef]
- Tunnell, G.; Pauling, L. The atomic arrangement and bonds of the gold–silver ditellurides. Acta Crystallogr. 1952, 5, 375–381. [Google Scholar] [CrossRef]
- Tunell, G. The atomic arrangement of sylvanite. Am. Mineral. J. Earth Planet. Mater. 1941, 26, 457–477. [Google Scholar]
- Ushakov, A.V.; Streltsov, S.V.; Khomskii, D.I. Structural transition in AuAgTe4 under pressure. J. Phys. Condens. Matter 2019, 31, 235601. [Google Scholar] [CrossRef] [PubMed]
- Amiel, Y.; Kafle, G.P.; Komleva, E.V.; Greenberg, E.; Ponosov, Y.S.; Chariton, S.; Lavina, B.; Zhang, D.; Palevski, A.; Ushakov, A.V.; et al. Silvanite AuAgTe4: A rare case of gold superconducting material. arXiv 2023, arXiv:2301.08033. [Google Scholar]
- Klemens, P.G. Anharmonic Decay of Optical Phonons. Phys. Rev. 1966, 148, 845. [Google Scholar] [CrossRef]
- Balkanski, M.; Wallis, R.F.; Haro, E. Anharmonic effects in light scattering due to optical phonons in silicon. Phys. Rev. B 1983, 28, 1928. [Google Scholar] [CrossRef]
- Zawadowski, A.; Cardona, M. Theory of Raman scattering on normal metals with impurities. Phys. Rev. B 1990, 42, 10732. [Google Scholar] [CrossRef]
- Ipatova, I.P.; Kaganov, M.I.; Subashiev, A.V. Scattering of light by electrons of metals and semimetals with complex Fermi surfaces. Zh. Eksp. Teor. Fiz. 1983, 84, 1830. [Google Scholar]
- Ponosov, Y.S.; Streltsov, S.V. Measurements of Raman scattering by electrons in metals: The effects of electron-phonon coupling. Phys. Rev. B 2012, 86, 045138. [Google Scholar] [CrossRef]
- Shulga, S.V.; Dolgov, O.V.; Maksimov, E.G. Electronic states and optical spectra of HTSC with elec-tron-phonon coupling. Phys. C Supercond. 1991, 178, 266–274. [Google Scholar] [CrossRef]
- Brodsky, M.H. Light Scattering in Solids: Raman Scattering in Amorphous Semiconductors; Springer: Berlin/Heidelberg, Germany, 1981; p. 205. [Google Scholar]
- Shuker, R.; Gammon, R.W. Low-Frequency Vibrational Light Scattering in Viscous Liquids. J. Chem. Phys. 1971, 55, 4784. [Google Scholar] [CrossRef]
- Richet, P. (Ed.) Encyclopedia of Glass Science, Technology, History, and Culture; John Wiley & Sons.: Hoboken, NJ, USA, 2021; p. 1568. [Google Scholar]
- Dai, L.; Zhuang, Y.; Li, H.; Wu, L.; Hu, H.; Liu, K.; Pu, C. Pressure-induced irreversible amorphization and metallization with a structural phase transition in arsenic telluride. J. Mater. Chem. C 2017, 5, 12157. [Google Scholar] [CrossRef]
- Zhuang, Y.; Dai, L.; Li, H.; Hu, H.; Liu, K.; Yang, L.; Hong, M. Pressure-induced reversible metallization and phase transition in Zinc Telluride. Mod. Phys. Lett. B 2018, 32, 1850342. [Google Scholar] [CrossRef]
- Kruger, M.B.; Jeanloz, R. Memory glass: An amorphous material formed from AlPO4. Science 1990, 249, 647. [Google Scholar] [CrossRef]
- Gillet, P.; Badro, J.; Varrel, B.; McMillan, P.F. High-pressure behavior in α-AlPO4: Amorphiza-tion and the memory-glass effect. Phys. Rev. B 1995, 51, 11262. [Google Scholar] [CrossRef]
- Hohenberg, P.; Kohn, W. Density functional theory (DFT). Phys. Rev. B 1964, 136, B864. [Google Scholar] [CrossRef]
- Blöchl, P.E. Projector augmented wave method. Phys. Rev. B 1994, 50, 953. [Google Scholar] [CrossRef]
- Kresse, G.; Furthmüller, J. Efficient iterative schemes for ab initio total-energy calculations using a plane-wave basis set. Phys. Rev. B 1996, 54, 11169. [Google Scholar] [CrossRef]
- Perdew, J.P.; Burke, K.; Ernzerhof, M. Perdew, burke, and ernzerhof reply. Phys. Rev. Lett. 1998, 80, 891. [Google Scholar] [CrossRef]
- Monkhorst, H.J.; Pack, J.D. Special points for Brillouin-zone integrations. Phys. Rev. B 1976, 13, 5188. [Google Scholar] [CrossRef]
- Liechtenstein, A.I.; Anisimov, V.I.; Zaanen, J. Density-functional theory and strong interactions: Orbital ordering in Mott-Hubbard insulators. Phys. Rev. B 1995, 52, R5467. [Google Scholar] [CrossRef] [PubMed]
Disclaimer/Publisher’s Note: The statements, opinions and data contained in all publications are solely those of the individual author(s) and contributor(s) and not of MDPI and/or the editor(s). MDPI and/or the editor(s) disclaim responsibility for any injury to people or property resulting from any ideas, methods, instructions or products referred to in the content. |
© 2023 by the authors. Licensee MDPI, Basel, Switzerland. This article is an open access article distributed under the terms and conditions of the Creative Commons Attribution (CC BY) license (https://creativecommons.org/licenses/by/4.0/).






