Abstract
A new series of some biologically active Cr(III), Fe(III), Co(II), Ni(II), Cu(II), and Zn(II) complexes was synthesized from the reaction of Ethyl 6-amino-4-(4-chlorophenyl)-5-cyano-2-methyl-4H-pyran-3-carboxylate (L) with the previous biological metals in the presence of 1,10-phenanthroline monohydrate (Phen). The structures of the obtained L along with their complexes were authenticated by different analytical and spectral techniques. The data prove that L chelates with all metal ions as bidentate through the nitrogen of the amino group and the nitrogen of the cyano group. Furthermore, Phen chelated with metal ions via two nitrogen atoms. The molar conductance values reflect that all complexes are electrolyte, confirming the 1:3 electrolytic natures for trivalent metal ions and 1:2 electrolytic for bivalent metal ions. The thermal stability and the general thermal decomposition pathways of metal complexes, L, and Phen were evaluating according to the thermogravimetric technique. The activation thermodynamic parameters were estimated from TG curves by utilizing Horowitz–Metzger (HM) and Coats–Redfern (CR) techniques. Powder X-ray diffraction (XRD) analysis proved that L, Cu(II), and Zn(II) compounds have a crystalline nature, whereas, Cr(III), Fe(III), Co(II), and Ni(II) complexes are semicrystalline. The investigated compounds were examined in vitro for their antimicrobial activity towards G(+ve) Staphylococcus aureus and Bacillus subtilis and G(−ve) Escherichia coli and Pseudomonas aeruginosa bacteria, and two fungi: Candida albicans and Aspergillus flavus. According to the findings, the Co(II) complex has a significant efficiency toward bacteria, additionally, Cr(III) complex is highly significant towards fungal strains.
1. Introduction
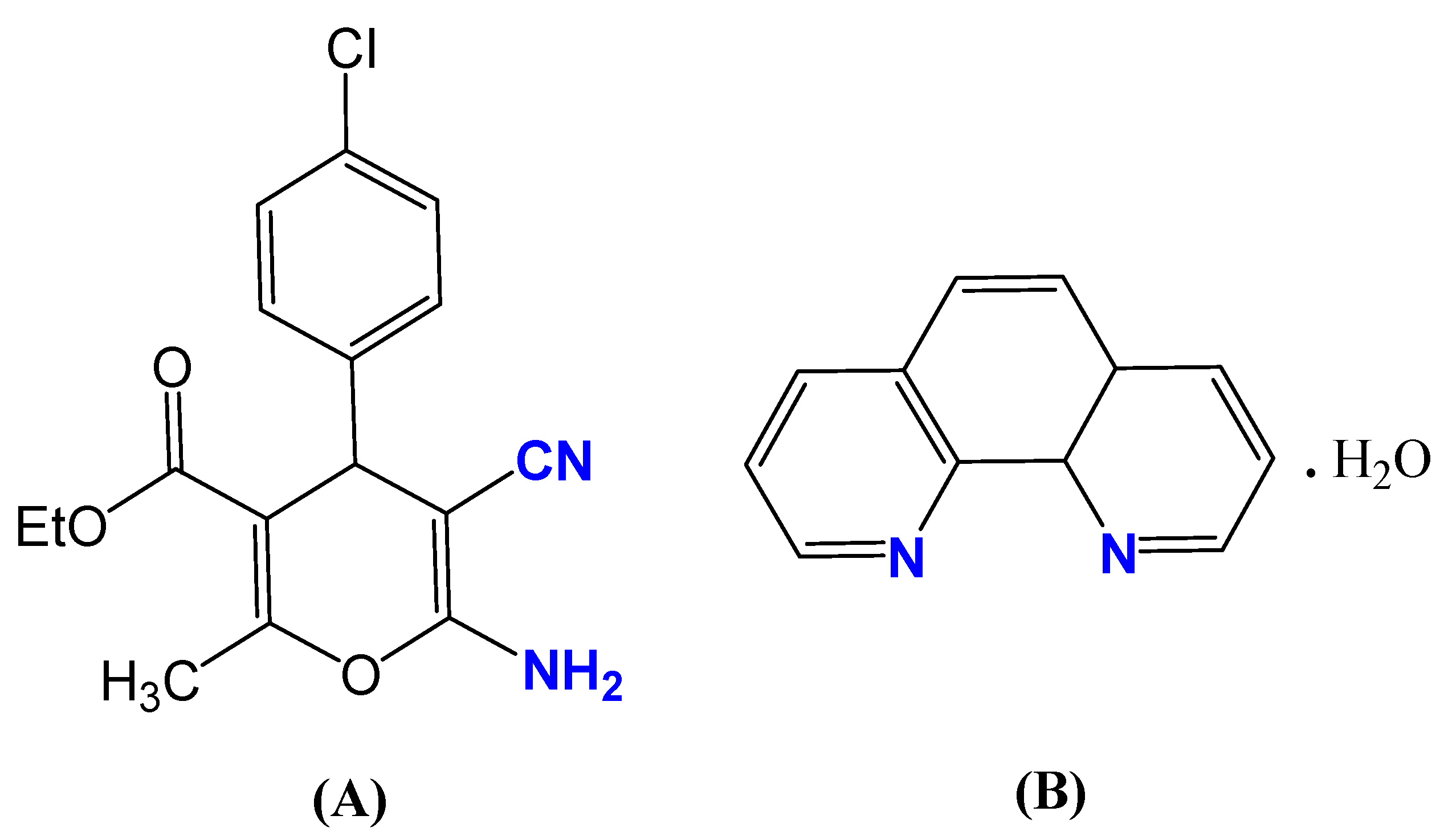
Pyrans are heterocyclic components found in many natural substances, including alkaloids, carbohydrates, pheromones, polyether antibiotics, and iridoids [1,2]. Cardiotonic, anti-tumor, anti-bronchitic, antibacterial, antimicrobial, anti-inflammatory, antimalarial, antihistamine, antiplatelet, antigenic, and antiviral actions are demonstrated by pyrano pyrimidines [3,4,5,6,7,8,9,10,11,12,13,14]. A number of condensed pyrimidine molecular systems have recently been created and tested for biological activity and fluorescence characteristics [15,16,17,18,19]. Many chemists are interested in 4H-pyran-annulated compounds because they have a wide range of biological and pharmacological activities as emetic, anti-HIV, anti-tumor, anti-cancer, anti-coagulant, anti-Alzheimer, anti-bacterial, anti-malaria, diuretic, spasmolytic, anti-leukemic, anti-hyperglycemic, and anti-dyslipidemic [20]. Moreover, these compounds have potential to be employed as cognitive enhancers for the therapy of neurodegenerative disorders such as Alzheimer’s, amyotrophic lateral sclerosis, AIDS-associated dementia, and Down syndrome, as well as schizophrenia and Huntington’s diseases [21]. Furthermore, such functionalized 4H-pyran derivatives have been playing a greater part in synthetic methods for potential agricultural molecules, cosmetics, and pigment industries [22,23]. Between both different pyran derivatives, 4H-pyrans with cyan functionality have the potential to be used in the treatment of rheumatoid arthritis, psoriasis, and cancer, as well as laser dyes, optical brighteners, fluorescence markers, pigments, cosmetics, and potent biodegradable agrochemicals [24,25,26,27,28,29]. Some of the 4H-pyrans derivatives had high pharmacological activity. The research survey confirmed no reports on ethyl 6-amino-4-(4-chlorophenyl)-5-cyano-2- methyl-4H-pyran-3-carboxylate (L) (Scheme 1A) with metal ions.
Scheme 1.
(A) Ethyl 6-amino-4-(4-chlorophenyl)-5-cyano-2- methyl-4H-pyran-3-carboxylate (L) and (B) 1,10-phenanthroline monohydrate (Phen).
Phen (Scheme 1B) is a heterocyclic compound acting as a ligand, which is appealing owing to its capacity to serve as a powerful binder for double-stranded DNA and to assist in the extraction of the hydrogen atom from the sugar unit [30,31]. In the literature, there are several studies of mixed ligands metal complexes that integrate Phen with other ligands [32,33,34,35,36]. Numerous studies have also shown that the biologically relevant elements Co(II), Ni(II), Cu(II), and Zn(II) participate in a variety of structures and activities of the components of biology, thus they have also shown strong cytotoxic action when combined with a variety of ligands [37,38,39].
To carry out more research on mixed ligand metal complexes [40,41,42,43], the goal of the current research was to observe the interaction of some biological metals such as Cr(III), Fe(III), Co(II), Ni(II), Cu(II), and Zn(II) with L and Phen for producing some novel mixed ligand metal complexes. Elemental studies, molar conductivity, magnetic susceptibility tests, FT-IR, UV-vis, 1H NMR, XRD, and thermal gravimetric analyses were used to explain the complexes’ structures. Furthermore, biological activities towards some bacteria and fungi strains of the synthesized compounds were assessed.
2. Results and Discussion
2.1. Elemental Analysis and Molar Conductance
L chelated with chromium(III), iron(III), cobalt(II), nickel(II), copper(II), and zinc(II) in the existence of Phen to obtain complexes. The reaction system proceeds in the absence of any oxidizing agent which stabilizes the oxidation state of Co(II) in the reaction mixture in the absence of atmospheric oxygen. All complexes are stable in air, coloured, non-hygroscopic powders, and soluble in DMSO and DMF. Table 1 shows the data of CHN, melting points, and molar conductance for L, Phen, and investigated complexes. The values of molar conductance of all compounds in DMF were obtained and observed between 125.94 and 198.65 Ω cm2 mol−1 for complexes, these values confirmed that the trivalent complexes were 1:3 electrolytes while, the divalent complexes were 1:2 electrolytes with chloride existing outside the complex sphere [44,45], and L and Phen ligands were found to be nonelectrolytes with values of 6.28 and 5.00, respectively.
Table 1.
Elemental analysis and physico-analytical data for L, Phen, and their metal complexes.
2.2. FT-IR Spectra
The spectra of L, Phen, and our complexes were observed (Figure S1) with details listed in Table S1. The positions of the important bands in the spectra of L and Phen were demonstrated to identify the binding sites that could be linked in coordination. The spectrum of L was characterized mainly by medium to very strong intensity absorption bands at 3263, 3223, and 2192 cm−1. The first two bands are due to ν(N-H), while, the last band is related to ν(C≡N) [46]. In terms of a contrast of the IR data of the complexes with those of L, the shift of ν(N-H) to higher and/or lower frequency values (Table S1) in the spectra of the complexes could imply an increase in N-H bond strength throughout chelation [46,47]. The change in intensity of C≡N in all complexes from very strong to medium proves that the L molecule binds with metal ions via the nitrogen atom of the cyano group (Scheme 2) [47]. Furthermore, the shift of ν(C≡N) in some complexes from 2192 to around 2228 confirmed the chelation from the lone pair of electrons on the N atom in the cyano group with metal ions [48,49]. The potential that coordination to metal ions reduces the electron density on the nitrogen atom means that it attracts single bond electrons, resulting in a stronger N-H bond and then a higher frequency bond. While the shift of ν(C≡N) intensity to a lower value confirms the presence of a CN group in the interaction with L forming five membered rings around the metal ion. The detected peak at 1586 cm−1 in Phen, which may be assigned to ν(C=N), moved to lower frequencies in the metal complexes, showing the role of pyridine ring nitrogen in complex development [31,32,50]. The existence of strong and broad bands at 3321–3406 cm−1 represents ν(O–H) stretching vibrations, proving that all complexes contain coordinated and/or hydrated water molecules [31,32,51]. The complexes’ spectra involve some new bands with different intensities for ν(M-O) and ν(M-N), which were discovered at 719 and 505, 722 and 516, 721 and 506, 725 and 507, 719 and 629, and 732 and 507 cm−1 for complexes (1), (2), (3), (4), (5), and (6), respectively.
Scheme 2.
Proposed structure for metal complexes.
2.3. UV-vis. Spectra and Magnetic Moment
In DMSO, the electronic absorption spectra of L, Phen, and their complexes were observed between 200 and 800 nm (Figure S2). The outcomes assigned that L showed two bands at 284 and 343 nm, which may be related to π-π* and n-π* transitions, respectively (Table 2). Furthermore, Phen bands were observed at 300 and 340 nm, which referred to π-π* and n-π*transitions [31,52]. The complexes (1), (2), (3), (4), and (5) are paramagnetic because of the presence of an unpaired electron and their d-d transition spectra obtained at 19,047 cm−1 for complex (1) with 10Dq value at 227.8 kJmol−1 with CFSE at −273.36, which is assigned as 4A2g(F)→4T2g(F), at 13,850 cm−1 for complex (2) with 10Dq at 165.6 kJmol−1, which is referred to as 6A1g → 4T1g(G), at 16,129 for complex (3) with 10Dq at 192.9 kJmol−1 and CFSE at −154.3+2p, which refer to 4T1g(F) → 4A2g(F), at 15,384 cm−1 for complex (4) with 10Dq at 184.0 kJmol−1 and CFSE at 220.8+3p, which is assigned as 3A2g(F) → 3T2g, and at 16,260 cm−1 for complex (5) with 10Dq at 194.5 kJmol−1 and CFSE at 116.7+4p, which is assigned as 2Eg→2T2g [53,54,55,56,57]. The magnetic susceptibilities (μeff) of the complexes were evaluated and found at 3.32, 5.90, 4.22, 3.05, and 1.76 B.M. for complexes (1), (2), (3), (4), and (5), respectively. The molar absorptivity (ε) values of the synthesized complexes were obtained by using Equation (1):
where A = absorbance, l = cell length of 1 cm, and c = 1.0 × 10−3 M.
Table 2.
UV-vis. Spectra for L, Phen, and their metal complexes.
2.4. 1H NMR and 13C NMR Spectra
The proposed structures of L, Phen and Zn(II) complex were characterized by 1H, 13C NMR spectroscopy in DMSO-d6 as a solvent (Figure 1). 1H NMR of L: δ (1.03) (t, J = 3.09, 3H, –CH2CH3), 2.30 (s, J = 6.9, 3H, –CH3), 3.96 (q, J = 11.88, 2H, –CH2CH3), 4.31 (s, J = 12.93, 1H, –H-pyran) 6.95 (s, J =28.95,2H, –NH2), 7.15–7.35 (d, J = 0.6, 2H, -H-aromatic), 3.82 (s, J =11.46, 2H, H2O). 13C NMR (DMSO-d6, 100 MHz): δC = 18.50, 24.26, 57.86, 61.96, 108.4, 116.2, 123.5, 128.6, 130.6, 131.6, 142.7, 157.3, 162.3 and 165.5. Furthermore, 1H NMR spectrum of Zn(II) complex was obtained: δ(1.01–3.95) (t, J = 8.82, 3H, –CH2CH3), 2.29 (s, J = 6.87, 3H, –CH3), 4.29 (s, J = 12.87, 1H, –H-pyran) 6.97 (s, J =20.91, 2H, –NH2), 7.29–8.00 (d, J = 2.13, 2H, -H-aromatic). In Zn(II) complex spectrum, L peaks possess some shifts from the binding of L to Zn(II). Furthermore, H2O has a new peak at δ 3.82 [58].
Figure 1.
1H NMR spectra, for L, Phen, and Zn(II) complex.
2.5. Thermal Analyses
Thermal analyses were carried out with the aim to investigate the kind of H2O in the investigated compounds. In the proposed structure for our complexes, the type of adsorbed or lattice H2O molecules that are found outside the inner coordination sphere of the central metal ion will move away from the structure at below 120 °C. However, the second type of H2O molecules were found inside the complex sphere and formed coordinated bonds with metal ions; this type of water moves away from the structure at above 120 °C. The TG curve (Figure S3) of L with melting point (M.P.) at 165 °C initiated at 137 °C and completed at 761 °C (Table S2), with two steps. The 1st stage occurs at Tmax 239 °C with a drop in mass of 62.95% (calc. 62.63%), relating to the removal of CH4+2C2H2+2CO+C3H4+0.5Cl2; this step is characterized by activation energy (Ea) of 185.56 kJ mol−1 and the reaction order is 0.981. Furthermore, it was confirmed with DTA endothermic peaks at −24.85 and −8.40 μV. The 2nd step at Tmax of 318 and 520 °C with a drop in mass of 36.94% (calc. 37.37%), refers to the loss of C4H2+0.5N2+HCN, and is confirmed by exothermic DTA at 3.39 μV. According to the literature survey, the thermogram of Phen with M.P. at 100 °C indicates two successive stages of degradation [54]. The TG diagram of complex (1) (M.P. 200 °C) initiated at 40 °C and completed at 889 °C, with three steps. The 1st one was found at Tmax 85 °C with mass loss of 6.00% (calc. 6.09%) and was assigned to the removal of 2.5H2O with DTA endothermic peak at −0.75 and −2.24 μV. The 2nd stage at a maximum of 255 °C with a drop in mass of 29.11% (calc. 29.27%) was assigned to the removal of 6C2H2+2NO and supported by Ea = 35.11 kJ mol−1. The last step at Tmax 477 and 770 °C with 57.41% overall weight loss (calc. 57.59%) was assigned to the removal of 7C2H2+NO+CO2+2Cl2+HCN and supported by endothermic DTA peak at −1.19, −2.29, and −0.67 μV, leaving Cr as residue. Complex (2) with M.P. at 95 °C follows three degradation phases: The 1st step at 87 °C, with a weight loss of 3.70% (calc. 3.74%) was related to removal of 1.5 H2O. The 2nd step at Tmax 226 °C with a drop in mass of 44.88% (calc. 44.55%) was assigned to the loss of 6C2H2+2NO+1.5Cl2, and confirmed with endothermic DTA peak at 3.56 μV and Ea at 27.96 kJ mol−1. The 3rd step at Tmax 383 and 511 °C with mass loss of 45.15% (calc. 44.01%) associated with liberation of 7C2H2+HCN+NO+CO2+0.5Cl2, with one endothermic peak at 15.40 μV, leaving iron as a residue. Complex (3) with M.P. at 210 °C follows four degradation phases. The 1st step found at 79 °C, with a drop in mass of 3.88% (calc. 3.90%), involved the removal of lattice water with DTA endothermic peak at −8.63 μV. The 2nd decomposition step at Tmax 198 °C with 32.76% overall weight loss (calc. 31.24%) liberated 6C2H2+N2+O2, and was confirmed with two DTA endothermic peaks at −6.73 and −3.78 μV with Ea at 44.16 kJ mol−1. The 3rd step at Tmax 388 °C with 10.37% overall weight loss (calc. 10.12%) was assigned to the removal of Cl2. The 4th step at Tmax 640 °C with a drop in mass of 43.41% (calc. 43.74%) liberated 7C2H2+2CO+HCl+N2, with one endothermic peak at −1.32 μV, leaving CoO as residue. Complex (4) (M.P. 280 °C) follows three degradation phases. The 1st step obtained at 68 °C, with a drop in mass of 6.31% (calc. 6.34%) related to the release of 2.5H2O with two DTA endothermic peaks at −5.34 and −1.68 μV. The 2nd step at Tmax 183 °C with a drop in mass of 39.68% (calc. 40.46%) liberated 6C2H2+Cl2+O2+N2, and was confirmed with a DTA exothermic peak at −2.20 μV and Ea at 30.38 kJ mol−1. The 3rd step at Tmax 405 °C with a drop in mass of 47.19% (calc. 46.97%) was assigned to removal of 7C2H2+HCN+NO+CO2+0.5Cl2, with one endothermic peak at −0.88 μV, leaving Ni as a residue. Complex (5) with M.P. at 180 °C follows three decomposition phases: the 1st step at 58 °C, with a drop in mass of 1.34% (calc. 1.33%) corresponding to the release of 0.5 H2O. The 2nd step at Tmax 182 and 358 °C with a drop in mass of 41.76% (calc. 42.33%) was assigned to the removal of 6C2H2+2NO+Cl2, and was confirmed with DTA endothermic peak at −4.24 μV and Ea at 48.70 kJ mol−1. The 3rd step at 639 and 844 °C maxima with 47.16% overall weight loss (calc. 46.98%) liberated 7C2H2+CO+CO2+N2+HCl, with one endothermic peak at −0.99 μV, leaving Cu as a final product. Finally, complex (6) (M.P. 105 °C) follows four degradation phases. The 1st step at 87 °C, with 2.66% overall weight loss (calc. 2.61%) related to the release of H2O, and was validated with DTA endothermic peak at −10.23 μV. The 2nd stage at 164, 268, and 491 °C maxima with 57.58% overall weight loss (calc. 57.99%) was assigned to removal of 8C2H2+HCl+Cl2+2CO+N2, and was proven by DTA endothermic peak at −7.47 μV and DTA exothermic peak at 3.20 μV with Ea at 42.50 kJ mol−1. The 3rd step at Tmax 607 °C with 18.00% overall weight loss (calc. 17.99%) liberated 3C2H2+CO+H2O, with one exothermic peak at 24.68 μV. The last step at Tmax 844 °C with a drop in mass of 12.39% (calc. 11.90%) was assigned to the removal of C2H2+CO+N2, with one endothermic peak at −2.90 μV, leaving Zn metal as residue.
2.6. The Kinetic Data
The activated thermodynamic parameters, activation energy (Ea), enthalpy (ΔH*), entropy (ΔS*), and Gibbs free energy (ΔG*) were computed using Coats–Redfern (CR) and Horowitz–Metzger (HM) methods (Figure S4) [59,60].
Table 3.
Thermal behavior and kinetic parameters for L, Phen, and metal complexes.
2.7. XRD
The crystallinity and the diffraction patterns of L, Phen, and their metal complexes were obtained over the assessing range of 2θ = 0–80° (Figure 2). According to the strong sharp peaks, the prepared complexes have high crystallinity. Table 4 includes details of the diffractograms and associated data, such as the relative intensity, the inter-planar spacing (d-values), and the 2θ values (for each peak). Significant peaks with relative intensity greater than 10% were found in the XRD pattern of our compounds. The last outcome proved that the ligand and the complexes are crystalline in nature. The XRD pattern of L found at 100% intensity was determined at 2θ = 17.99°. The data recorded in the literature review for Phen showed the crystallinity in the range 2θ = 0–56° [32]. The main peaks for Phen were determined at 2θ = 19.87°. Sharp peaks represent strong crystallinity in the synthesized complexes [45,63]. The diffraction peaks at maximum intensity (100%) for complex (1) were found at 2θ = 21.90°. The XRD peaks of (2) were recognized at 2θ = 22.33°; for (3), at 2θ = 28.54°; for (4), at 2θ = 24.34°; for (5), at 2θ = 27.66°; and for (6), at 2θ = 31.66°. The Debye–Scherer Equation (8) was used to determine the crystallite sizes of tested compounds.
where, k is the Scherer constant = 0.9, λ is the X-ray beam wavelength = 0.15405 nm, β is the full width at half maximum (FWHM) of the diffracted peak in radians, and θ is the diffraction angle (radians) [64,65].
Figure 2.
XRD spectra of L, Phen, and their metal complexes.
Table 4.
The average crystallite size of L, Phen, and their metal complexes estimated from XRD patterns.
Cs values of the investigated compounds were obtained in the range of 31.65 to 82.22 nm (nano-size structures) as listed in Table 4. Dislocation density value (D) was in the range of 1.47 × 10−4 to 9.98 × 10−4 nm−2, by which D and micro strain (ɛ) can be determined using Equations (10) and (11) [66].
2.8. Antimicrobial Efficiency
The antimicrobial effectiveness of L, Phen, and their metal complexes against two gram-positive bacteria (Staphylococcus aureus and Bacillus subtilis), two gram-negative bacteria (Escherichia coli and Pseudomonas aeruginosa) and two fungi (Candida albicans and Aspergillus flavus) using the disk diffusion technique. MIC and AI values are illustrated in Table 5 and in Figure 3 and Figure S5, respectively. For metal salts, no growth inhibition was obtained, indicating that they are not subjected to the observed antimicrobial activity obtained from the studied metal complexes [67,68,69,70]. Complex (1) was significant against S. aureus, B. subtilis, P. aeruginosa, C. albicans, and A. flavus and showed non-significant activity towards E. coli. For complex (2), no detectable effects against all tested fungi and bacteria except B. subtilis were non-significant. Complex (3) explicated high significance towards all tested bacteria except E. coli and significance against E. coli and two fungi. Complex (4) indicated non-significant effect towards all tested microorganisms except C. albicans, which is significant. Complex (5) is non-significant towards all tested microorganisms and non-detectable towards C. albicans. Complex (6) indicated non-significant activity towards all microorganisms but significant towards C. albicans. The data reported in a comparative study of two ligands and their metal complexes showed that the complexes exhibited higher antimicrobial activity than the ligands and standard references. The increase in activity of metal chelates can be explained based on the overtone concept and chelation theory. Complex (3) is the most active of the two ligands, other complexes, and standard references towards tested bacterial and fungi. The higher antimicrobial activity of Co(II) complex might be attributed to the higher reactivity of Co(II), replacing the metals of metalloenzyme, especially respiratory enzymes and all oxidoreductase enzymes causing cellular growth arrest, as well as, the displacement of metals from metalloenzymes, causing enzyme denaturation with predictable loss to enzyme activity [71]. The second explanation for the Co(II) complex’s greater antimicrobial activity may be related to the production of DNA-metals adducts that damage, mutate, and ultimately prevent DNA replication as well as transcription and translation [72]. Of note, the lipid membrane that surrounds the cell, which permits lipid-soluble chemicals to penetrate and is an essential component of antimicrobial action, can be used to characterize increasingly more beneficial complexes. This indicates that chelation might promote metal complex diffusion across the lipid section of the cell membrane and into the action region [73,74,75].
Table 5.
Antimicrobial activities of L, Phen, and metal complexes.
Figure 3.
MIC of the microorganisms for L, Phen, and metal complexes.
3. Experimental
3.1. Materials
The chemicals and solvents employed in this study for synthesis of L and its metal complexes, ethyl acetoacetate, pyridine, cinnamonitrile derivative, Phen, ethanol AgNO3, CrCl3.6H2O, FeCl3, CoCl2.6H2O, NiCl2.6H2O, CuCl2, and ZnCl2 were of analytical grade (Merck, Sigma Aldrich, and BDH) and utilized unpurified.
3.2. Physical Techniques
Fourier-transform infrared spectra were located between 4000 and 400 cm−1 using an FT-IR 460 Plus spectrophotometer. A Perkin Elmer-2400 elemental analyzer was employed to carry out CHN analyses. Metal ion contents of investigated complexes were observed complexometrically, gravimetrically, and by atomic absorption [51,56]. To this aim, a PYE-UNICAM SP 1900 spectrometer equipped with the appropriate lamp was employed. The chloride content was determined using Mohr’s technique [76]. Molar conductivity analysis was performed in DMF solution (10−3 M) by CONSORT K410. Melting points were measured using a Buchi apparatus. A Shimadzu UV3101PC was utilized to obtain the electronic absorption spectra in DMSO. A Varian Mercury VX300 NMR spectrometer was used to obtain 1H NMR spectra by using DMSO-d6. The thermal analyses (TG, DTG and DTA) were performed using a Shimadzu TG-60H thermal analyzer under nitrogen atmosphere with a flow rate of 30 mL/min and heating rate of 10 °C/min within the range of 25–1000 °C using platinum crucibles. A Sherwood scientific magnetic balance was employed to perform the magnetic susceptibilities using a modified Gouy methodology and diamagnetic corrections were computed using Pascal’s constants [77]. X-ray powder diffraction investigations (XRD) were obtained by utilizing a diffractometer (Panalytical XPERT PRO MPD). Cu-Kα radiation (λ = 1.5418 Å) was performed at 40 kV to 40 mA. Antimicrobial activity of the investigated compounds was carried out at the Laboratory of Phytopathology, SAFE, University of Basilicata, Potenza, Italy.
3.3. Synthesis of L
L was prepared according to the published literature [78,79]. A mixture of 4-chlorobenzylidenemalononitrile (0.01 mol, 1.8861 g) and ethyl acetoacetate (0.01 mol, 1.27 mL) was mixed in 20 mL ethanol with a few drops of pyridine. The mixture was refluxed at 60 degrees for 6 h. The mixture was cooled overnight and a yellow precipitate developed which was filtered and dried under vacuum over CaCl2.
3.4. Syntheses of Metal Complexes
The faint green solid complex [Cr(L)(Phen)(H2O)2]Cl3.2.5H2O (1), brown red complex [Fe(L)(Phen)(H2O)2]Cl3.1.5H2O (2), dark green complex [Co(L)(Phen)(H2O)2]Cl2.1.5H2O (3), dark brown complex [Ni(L)(Phen)(H2O)2]Cl2.2.5H2O (4), brown complex [Cu(L)(Phen)(H2O)2]Cl2.0.5H2O (5), and brown complex [Zn(L)(Phen)(H2O)2]Cl2.H2O (6) were synthesized by adding 0.5 mmol of chloride salts of the metal ions used in 20 mL ethanol to form a mixture of 50 mL of 0.5 mmol of L and Phen. The reactants were stirred with reflux for 16 h at ≈85 °C. The obtained colored solids were filtered, cleaned with C2H5OH, and dried under vacuum over CaCl2.
3.5. Antimicrobial and Minimal Inhibitory Concentrations
Antibacterial activity of L, Phen, and their complexes were examined by a modified Beecher and Wong methodology [80] against two gram-positive bacteria (S. aureus and B. subtilis), two gram-negative bacteria (E. coli and P. aeruginosa) and two fungi (C. albicans and A. flavus). The strains of microorganisms used were obtained from the microbiological collection of the School of Agricultural, Forestry, Food and Environmental Sciences (SAFE), University of Basilicata, Potenza, Italy, and were recultured and conserved as explained by Elshafie et al. [81,82]. The Müller–Hinton agar medium (MHA) for antibacterial activity (0.2 g/L beef extract, 17.5 g/L acid hydro lysate of casein, 1.5 g/L starch and 17 g/L agar) was prepared. After autoclaving, it was cooled to 47 °C and then poured onto sterilized Petri dishes (plate of 12 cm diameter). Plates were infected with tested bacteria by dipping a sterile swab into the inoculum and then streaking the swab all over the surface of the medium twice, rotating the plates by 60 °C after every attempt. After this, swabs were discarded into an appropriate container. Furthermore, the inoculum was left to dry for a few minutes at room temperature. Whatman No. 1 filter papers with a diameter of 6 mm were put in a Petri dish and sterilized in an autoclave for 40 min. After this, disks impregnated with appropriated antimicrobial were carefully lowered down onto the agar surface with a pair of sterile forceps to achieve total connection with the agar surface. The plates had been left at 37 degrees Celsius in an incubator. After being left overnight, the diameter of each inhibitory zone (which involves the diameter of the disk) was obtained and documented in mm using a ruler. The Czapex–Dox agar medium (30 g/L sucrose, 3 g/L sodium nitrate, 1 g/L dipotassium hydrogen phosphate, 0.05% potassium chloride, 0.001% ferrous sulphate, and 20 g/L agar) was prepared. After autoclaving, it was left to cool to 47 °C and then seeded with tested fungal strain. After this, media was poured into sterile Petri dishes and left to solidify. After solidification, 5 mm diameter holes were punched with a sterile cork-borer. Ligands and their complexes were dissolved in DMSO (1 × 10−3 M), and then inoculated in Petri dishes (only 0.1 mL). After this, plates were incubated at 30 °C for 7 days. The diameter of the inhibitory zone was used to calculate activity (in mm). The index percent activity of the compounds was calculated (Equation (12)):
MIC determined for L, Phen, and metal complexes towards the above-mentioned tested bacterial and fungal strains were obtained using the standard broth microdilution method in LB broth [83]. Metal compounds were investigated at concentrations ranging from 0.025 to 0.100 μg/mL, using DMSO solvent as standard.
4. Conclusions
This investigation was accepted for the synthesis previously prepared new mixed ligand complexes of Cr and Fe trivalent and Co, Ni, Cu, and Zn divalent ions with L and Phen. Spectroscopic and physicochemical techniques were utilized to characterize the new mixed metal complexes. In all these complexes, both L and Phen behaved as bidentate ligands via the nitrogen of the amino group, nitrogen of the cyano group, and two nitrogen atoms of the pyridine group, respectively. Molar conductance proved that all prepared complexes are electrolyte in nature with different Cl- ions found out the outer sphere of the complexes. The antimicrobial activity of two ligands and all generated complexes has been examined towards Gram-positive and Gram-negative bacteria and two fungi strains. In addition, Co(II) complex has a significant efficiency toward bacteria, and Cr(III) complex is highly significant towards fungal strains compared to other compounds.
Supplementary Materials
The following supporting information can be downloaded at: https://www.mdpi.com/article/10.3390/inorganics11050220/s1. Figure S1: FT-IR spectra for L, Phen and their complexes; Figure S2: UV-vis. spectra for L, Phen and their complexes; Figure S3: TG, DTG and DTA diagrams for L, Phen and their complexes; Figure S4: Kinetic parameters diagrams of L, Phen and their metal complexes; Figure S5: Statistical representation for biological activity for L, Phen and their metal complexes; Table S1: Selected FT-IR bands for L, Phen and their metal complexes; Table S2: Maximum temperature (Tmax, οC) and mass loss of the decomposition steps for L, phen and metal complexes.
Author Contributions
Conceptualization, M.S.E.-A., S.A.S., H.A.E.-S. and H.M.K.; formal analysis, M.S.E.-A. and H.M.K.; investigation, S.A.S., H.A.E.-S., H.M.K. and H.S.E.; methodology, M.S.E.-A. and H.M.K.; resources, S.A.S.; software, M.S.E.-A. and H.M.K.; supervision, S.A.S. and H.S.E.; validation, S.A.S. and H.S.E.; writing—original draft, M.S.E.-A. and H.A.E.-S.; writing—review and editing, S.A.S. and H.S.E. All authors have read and agreed to the published version of the manuscript.
Funding
This research received no external funding.
Institutional Review Board Statement
Not applicable.
Informed Consent Statement
Not applicable.
Data Availability Statement
Not applicable.
Conflicts of Interest
The authors declare no conflict of interest.
References
- Boger, D.L.; Weinreb, S.M. Hetero Diels-Alder Methodology in Organic Synthesis; Academic Press: Cambridge, MA, USA, 1987. [Google Scholar] [CrossRef]
- Tietze, L.F.; Kettschau, G. Hetero Diels-Alder reactions in organic chemistry. Top. Curr. Chem. 1997, 12, 189. [Google Scholar] [CrossRef]
- Grivsky, E.M.; Lee, S.; Sigel, C.W.; Duch, D.S.; Nichol, C.A. Synthesis and antitumor activity of 2,4-diamino-6-(2,5-dimethoxybenzyl)-5-methylpyrido[2,3-d]pyrimidine. J. Med. Chem. 1980, 23, 327–329. [Google Scholar] [CrossRef] [PubMed]
- Broom, A.D.; Shim, J.L.; Anderson, G.L. Pyrido[2,3-d]pyrimidines. IV. Synthetic studies leading to various oxopyrido[2,3-d]pyrimidines. J. Org. Chem. 1976, 41, 1095–1099. [Google Scholar] [CrossRef] [PubMed]
- Heber, D.; Heers, C.; Ravens, U. Positive inotropic activity of 5-amino-6-cyano-1,3-dimethyl-1,2,3,4-tetrahydropyrido[2,3-d]pyrim idine-2,4-dione in cardiac muscle from guinea-pig and man. Part 6: Compounds with positive inotropic activity. Die Pharm. 1993, 48, 537–541. [Google Scholar]
- Asadian, M.; Davoodnia, A.; Beyramabadi, S.A. Efficient Synthesis of New Pyrimido[5′,4′:5,6]pyrano[2,3-d]pyrimidine-2,4,6(1H,3H)-triones via the Tandem Intramolecular Pinner–Dimroth Rearrangement, and Their Antibacterial Activity. Russ. J. Gen. Chem. 2018, 88, 2658–2663. [Google Scholar] [CrossRef]
- Poola, S.; Shaik, M.S.; Sudileti, M.; Yakkate, S.; Nalluri, V.; Chippada, A.; Cirandur, S.R. Nano CuO–Ag-catalyzed synthesis of some novel pyrano[2,3-d] pyrimidine derivatives and evaluation of their bioactivity. J. Chin. Chem. Soc. 2020, 67, 805–820. [Google Scholar] [CrossRef]
- Amininia, A.; Pourshamsian, K.; Sadeghi, B. Nano-ZnO Impregnated on Starch—A Highly Efficient Heterogeneous Bio-Based Catalyst for One-Pot Synthesis of Pyranopyrimidinone and Xanthene Derivatives as Potential Antibacterial Agents. Russ. J. Org. Chem. 2020, 56, 1279–1288. [Google Scholar] [CrossRef]
- Tozkoparan, B.; Ertan, M.; Kelicen, P.; Demirdamar, R. Synthesis and anti-inflammatory activities of some thiazolo[3,2-a]pyrimidine derivatives. Il Farm. 1999, 54, 588–593. [Google Scholar] [CrossRef]
- Agarwal, A.; Srivastava, K.; Puri, S.; Chauhan, P.M. Synthesis of 2,4,6-trisubstituted pyrimidines as antimalarial agents. Bioorganic Med. Chem. 2005, 13, 4645–4650. [Google Scholar] [CrossRef]
- Cerecetto, H.; Di Maio, R.; González, M.; Risso, M.; Sagrera, G.; Seoane, G.; Denicola, A.; Peluffo, G.; Quijano, C.; Stoppani, A.O.; et al. Synthesis and antitrypanosomal evaluation of E-isomers of 5-nitro-2-furaldehyde and 5-nitrothiophene-2-carboxaldehyde semicarbazone derivatives. Structure–activity relationships. Eur. J. Med. Chem. 2000, 35, 343–350. [Google Scholar] [CrossRef]
- Bruno, O.; Brullo, C.; Schenone, S.; Bondavalli, F.; Ranise, A.; Tognolini, M.; Impicciatore, M.; Ballabeni, V.; Barocelli, E. Synthesis, antiplatelet and antithrombotic activities of new 2-substituted benzopyrano[4,3-d]pyrimidin-4-cycloamines and 4-amino/cycloamino-benzopyrano[4,3-d]pyrimidin-5-ones. Bioorganic Med. Chem. 2006, 14, 121–130. [Google Scholar] [CrossRef] [PubMed]
- Chabchoub, F.; Messaâd, M.; Ben Mansour, H.; Chekir-Ghedira, L.; Salem, M. Synthesis and antigenotoxic activity of some naphtho[2,1-b]pyrano[3,2-e][1,2,4]triazolo[1,5-c]pyrimidine derivatives. Eur. J. Med. Chem. 2007, 42, 715–718. [Google Scholar] [CrossRef] [PubMed]
- Fan, X.; Feng, D.; Qu, Y.; Zhang, X.; Wang, J.; Loiseau, P.; Andrei, G.; Snoeck, R.; De Clercq, E. Practical and efficient synthesis of pyrano[3,2-c]pyridone, pyrano[4,3-b]pyran and their hybrids with nucleoside as potential antiviral and antileishmanial agents. Bioorganic Med. Chem. Lett. 2010, 20, 809–813. [Google Scholar] [CrossRef] [PubMed]
- El-Sayed, H.A.; Said, S.A. Direct Synthesis of Multi-functional Pyrimidine, Pyrazine, and Pyridine Scaffolds via Inter- and Intramolecular Annulations of 3-Amino-thieno[2,3- b ]pyridine-2-carboxylate. J. Heterocycl. Chem. 2019, 56, 1030–1037. [Google Scholar] [CrossRef]
- Assy, M.G.; El-Sayed, H.A.; Ouf, N.H.; Hamza, A.; Morsy, H.A. Cycloaddition of Aroyl Isothiocyanate: A Novel Synthesis of Triazine, Oxazine, Pyrimidine, and Pyridine Derivatives. J. Heterocycl. Chem. 2019, 56, 2954–2959. [Google Scholar] [CrossRef]
- El-Sayed, H.A. Design and synthesis of some tricyclic pyrimidines and triazines via cycloaddition and intermolecular cyclization of cyclic amidine. J. Iran. Chem. Soc. 2017, 14, 2239–2246. [Google Scholar] [CrossRef]
- El-Sayed, H.A.; Morsy, H.A. A facile synthesis of highly fluorescent pyrido[2,3-d]pyrimidines and 1,8-naphthyridines via oxazine transformation and enaminic addition reactions. J. Iran. Chem. Soc. 2019, 16, 723–732. [Google Scholar] [CrossRef]
- El-Sayed, H.A.; Hamid, A.M.A.; Assy, M.G.; Faraj, T.S. Intermolecular cyclization of cinnamoyl isothiocyanate: A new synthetic entry for pyrimidine, triazine, and triazole candidates. Synth. Commun. 2018, 48, 786–794. [Google Scholar] [CrossRef]
- Shijay, G.; Cheng, H.T.; Chi, T.; Ching-Fa, Y. Fluoride ion catalyzed multicomponent reactions for efficient synthesis of 4H-chromene and N-arylquinoline derivatives in aqueous media. Tedrahedron 2008, 64, 9143–9149. [Google Scholar] [CrossRef]
- Oskooie, H.A.; Heravi, M.M.; Karimi, N.; Zadeh, M.E. Caro’s Acid–Silica Gel: An Efficient and Versatile Catalyst for the One-Pot Synthesis of Tetrahydrobenzo[b]pyran Derivatives. Synth. Commun. 2011, 41, 436–440. [Google Scholar] [CrossRef]
- Hafez, E.A.A.; Elnagdi, M.H.; Elagamey, A.G.A.; El-Taweel, F.M.A.A. Nitriles in Heterocyclic Synthesis: Novel Synthesis of Benzo[c]coumarin and of Benzo[c]pyrano[3,2-c]quinoline Derivatives. Heterocycles 1987, 26, 903–907. [Google Scholar] [CrossRef]
- Ellis, G.P. The Chemistry of Heterocyclic Compounds: Chromenes, Chromanes and Chromones; Weissberger, A., Taylor, E.C., Eds.; John Wiley: New York, NY, USA, 1977; pp. 11–139. [Google Scholar]
- Gao, Y.; Yang, W.; Du, D.M. Efficient organocatalytic asymmetric synthesis of 2-amino-4H-chromene-3-carbonitrile derivatives. Tetrahedron Asymm. 2012, 23, 339–344. [Google Scholar] [CrossRef]
- Reynolds, G.; Drexhage, K. New coumarin dyes with rigidized structure for flashlamp-pumped dye lasers. Opt. Commun. 1975, 13, 222–225. [Google Scholar] [CrossRef]
- Zollinger, H. Color chemistry. In Syntheses, Properties, and Applications of Organic Dyes and Pigments/Heinrich Zollinger, 3rd ed.; Verlag Helvetica Chimica Acta; Zurikh and Wiley-VCH: Cambridge, UK, 2003. [Google Scholar]
- Bissell, E.R.; Mitchell, A.R.; Smith, R.E. Synthesis and chemistry of 7-amino-4-(trifluoromethyl)coumarin and its amino acid and peptide derivatives. J. Org. Chem. 1980, 45, 2283–2287. [Google Scholar] [CrossRef]
- Khaksar, S.; Rouhollahpour, A.; Talesh, S.M. A facile and efficient synthesis of 2-amino-3-cyano-4H-chromenes and tetrahydrobenzo[b]pyrans using 2,2,2-trifluoroethanol as a metal-free and reusable medium. J. Fluor. Chem. 2012, 141, 11–15. [Google Scholar] [CrossRef]
- Saha, M.; Pal, A.K. Palladium (0) Nanoparticles: A Novel and Reusable Catalyst for the Synthesis of Various Pyran Derivatives. Adv. Nanoparticles 2012, 1, 61–70. [Google Scholar] [CrossRef]
- Abouzid, K.A.; Al-Ansary, G.H.; El-Naggar, A.M. Eco-friendly synthesis of novel cyanopyridine derivatives and their anticancer and PIM-1 kinase inhibitory activities. Eur. J. Med. Chem. 2017, 134, 357–365. [Google Scholar] [CrossRef]
- Sadeek, S.; El-Hamid, S.A. Preparation, characterization and cytotoxicity studies of some transition metal complexes with ofloxacin and 1,10-phenanthroline mixed ligand. J. Mol. Struct. 2016, 1122, 175–185. [Google Scholar] [CrossRef]
- Sadeek, S.A.; El-Hamid, S.M.A. Synthesis, spectroscopic, thermal analysis and in vitro biological properties of some new metal complexes with gemifloxacin and 1,10-phenanthroline. J. Therm. Anal. Calorim. 2015, 124, 547–562. [Google Scholar] [CrossRef]
- Katsarou, M.E.; Efthimiadou, E.K.; Psomas, G.; Karaliota, A.; Vourloumis, D. Novel Copper(II) Complex of N-Propyl-norfloxacin and 1,10-Phenanthroline with Enhanced Antileukemic and DNA Nuclease Activities. J. Med. Chem. 2008, 51, 470–478. [Google Scholar] [CrossRef]
- Chen, M.-Z.; Zhou, C.-Q.; Lin, W.-E.; Chen, J.-X.; Chen, W.-H.; Jiang, Z.-H. Synthesis, Crystal Structures and DNA-Cleaving Activities of [Cemp]2[MCl4] (Cemp=N-Carbethoxymethyl-1,10-phenanthrolinium, M = CuII, ZnII, CoII, NiII and MnII). Chem. Pharm. Bull. 2013, 61, 714–721. [Google Scholar] [CrossRef] [PubMed][Green Version]
- Kharadi, G.J. Molar conductance, magnetic susceptibility, mass spectra, and thermal decomposition studies on Cu(II) compounds with substituted terpyridines and clioquinol drug. J. Therm. Anal. Calorim. 2014, 117, 333–341. [Google Scholar] [CrossRef]
- Bellér, G.; Lente, G.; Fábián, I. Central Role of Phenanthroline Mono-N-oxide in the Decomposition Reactions of Tris(1,10-phenanthroline)iron(II) and -iron(III) Complexes. Inorg. Chem. 2010, 49, 3968–3970. [Google Scholar] [CrossRef]
- Singh, C.P.; Singh, A.; Nibha; Daniliuc, C.G.; Kumar, B.; Singh, G. Preparation, crystal structure and thermal studies of cadmium perchlorate complex with 2,2′-bipyridine. J. Therm. Anal. Calorim. 2015, 121, 633–640. [Google Scholar] [CrossRef]
- El-Deen, I.; Shoair, A.; El-Bindary, M. Synthesis, characterization and biological properties of oxovanadium(IV) complexes. J. Mol. Struct. 2019, 1180, 420–437. [Google Scholar] [CrossRef]
- Sahyon, H.; El-Bindary, A.; Shoair, A.; Abdellatif, A. Synthesis and characterization of ruthenium(III) complex containing 2-aminomethyl benzimidazole, and its anticancer activity of in vitro and in vivo models. J. Mol. Liq. 2018, 255, 122–134. [Google Scholar] [CrossRef]
- Shoair, A.; El-Bindary, A.; El-Ghamaz, N.; Rezk, G. Synthesis, characterization, DNA binding and antitumor activities of Cu(II) complexes. J. Mol. Liq. 2018, 269, 619–638. [Google Scholar] [CrossRef]
- Sadeek, S.A.; El-Hamid, S.M.A.; Mohamed, A.A.; Zordok, W.A.; El-Sayed, H.A. Spectroscopic characterization, thermogravimetry, density functional theory and biological studies of some mixed-ligand complexes of meloxicam and 2,2′-bipyridine with some transition metals. Appl. Organomet. Chem. 2019, 33, e4889. [Google Scholar] [CrossRef]
- Elshafie, H.S.; Sakr, S.H.; Sadeek, S.A.; Camele, I. Biological Investigations and Spectroscopic Studies of New Moxifloxacin/Glycine-Metal Complexes. Chem. Biodivers. 2019, 16, e1800633. [Google Scholar] [CrossRef]
- Abd El-Hamid, S.M.; Sadeek, S.A.; Zordok, W.A.; El-Shwiniy, W.H. Synthesis, spectroscopic studies, DFT calculations, cytotoxicity and antimicrobial activity of some metal complexes with ofloxacin and 2,2′-bipyridine. J. Mol. Struct. 2019, 1176, 422–433. [Google Scholar] [CrossRef]
- El-Hamid, S.M.A.; Sadeek, S.A.; Mohammed, S.F.; Ahmed, F.M.; El-Gedamy, M.S. N2O2-chelate metal complexes with Schiff base ligand: Synthesis, characterisation and contribution as a promising antiviral agent against human cytomegalovirus. Appl. Organomet. Chem. 2023, 37, e6958. [Google Scholar] [CrossRef]
- Geary, W.J. The use of conductivity measurements in organic solvents for the characterisation of coordination compounds. Co-ord. Chem. Rev. 1971, 7, 81–122. [Google Scholar] [CrossRef]
- El-Shwiniy, W.; Sadeek, S. Synthesis and characterization of new 2-cyano-2-(p-tolyl-hydrazono)-thioacetamide metal complexes and a study on their antimicrobial activities. Spectrochim. Acta Part A Mol. Biomol. Spectrosc. 2015, 137, 535–546. [Google Scholar] [CrossRef] [PubMed]
- Zordok, W.; Sadeek, S. Synthesis, spectroscopic characterization, biological studies and DFT calculations on some transition metal complexes of NO donor ligand. J. Mol. Struct. 2018, 1158, 205–220. [Google Scholar] [CrossRef]
- Mayr, A.; Mao, L.F. Cyanoisocyanoarene Metal Complexes as Building Blocks for Coordination Polymers: Structural Nonrigidity of a Metal−Nitrile Linkage1. Inorg. Chem. 1998, 37, 5776–5780. [Google Scholar] [CrossRef]
- Cordiner, R.L.; Jove´, D.A.; Roberts, R.L.; Farmer, J.D.; Puschmann, H.; Corcoran, D.; Goeta, A.E.; Howard, J.A.K.; Low, P.J. Syntheses and molecular structures of group 8 benzonitrile complexes. J. Organomet. Chem. 2005, 690, 4908–4919. [Google Scholar] [CrossRef]
- Li, Y.; Chai, Y.; Yuan, R.; Liang, W. Synthesis and application of a new copper(II) complex containing oflx and leof. Russ. J. Inorg. Chem. 2008, 53, 704–706. [Google Scholar] [CrossRef]
- Nakamoto, K. Infrared and Raman Spectra of Inorganic and Coordination Compounds, 4th ed.; Wiley: New York, NY, USA, 1986; p. 230. [Google Scholar]
- Mohamed, A.A.; Nassr, A.A.; Sadeek, S.A.; Elshafie, H.S. Synthesis and Spectral, Thermal and Antimicrobial Investigation of Mixed Ligand Metal Complexes of N-Salicylidene Aniline and 1,10-Phenanthroline. Compounds 2023, 3, 298–309. [Google Scholar] [CrossRef]
- Kamal, H.M.; El-Sayed, H.A.; Sadeek, S.A.; Zordok, W.A.-A.; El-Attar, M.S. Spectroscopic characterization, DFT modeling and antimicrobial studies of some novel nanoparticles mixed ligand complexes of NS bidentate ligand in presence of 2,2′-bipyridine. J. Mol. Liq. 2023, 376, 121404. [Google Scholar] [CrossRef]
- Almond, M.J.; Redman, H.; Rice, D.A. Growth of thin layers of metal sulfides by chemical vapour deposition using dual source and single source precursors: Routes to Cr2S3, α-MnS and FeS. J. Mater. Chem. 2000, 10, 2842–2846. [Google Scholar] [CrossRef]
- Yousef, T.; Abu El-Reash, G.; Rakha, T.; El-Ayaan, U. First row transition metal complexes of (E)-2-(2-(2-hydroxybenzylidene) hydrazinyl)-2-oxo-N-phenylacetamide complexes. Spectrochim. Acta Part A Mol. Biomol. Spectrosc. 2011, 83, 271–278. [Google Scholar] [CrossRef] [PubMed]
- Lehmann, U.; Lach, J.; Loose, C.; Hahn, T.; Kersting, B.; Kortus, J. Binuclear nickel complexes with an edge sharing bis(square-pyramidal) N3Ni(μ-S2)NiN3core: Synthesis, characterization, crystal structure and magnetic properties. Dalton Trans. 2013, 42, 987–996. [Google Scholar] [CrossRef] [PubMed]
- Sathyadevi, P.; Krishnamoorthy, P.; Jayanthi, E.; Butorac, R.R.; Cowley, A.H.; Dharmaraj, N. Studies on the effect of metal ions of hydrazone complexes on interaction with nucleic acids, bovine serum albumin and antioxidant properties. Inorganica Chim. Acta 2012, 384, 83–96. [Google Scholar] [CrossRef]
- Elshafie, H.S.; Sadeek, S.A.; Camele, I.; Mohamed, A.A. Biochemical Characterization of New Gemifloxacin Schiff Base (GMFX-o-phdn) Metal Complexes and Evaluation of Their Antimicrobial Activity against Some Phyto- or Human Pathogens. Int. J. Mol. Sci. 2022, 23, 2110. [Google Scholar] [CrossRef] [PubMed]
- Coats, A.W.; Redfern, J.P. Kinetic Parameters from Thermogravimetric Data. Nature 1964, 201, 68–69. [Google Scholar] [CrossRef]
- Horowitz, H.H.; Metzger, G. A New Analysis of Thermogravimetric Traces. Anal. Chem. 1963, 35, 1464–1468. [Google Scholar] [CrossRef]
- Rahmouni, N.T.; Bensiradj, N.E.H.; Megatli, S.A.; Djebbar, S.; Baitich, O.B. New mixed amino acids complexes of iron(III) and zinc(II) with isonitrosoacetophenone: Synthesis, spectral characterization, DFT study and anticancer activity. Spectrochim. Acta Part A Mol. Biomol. Spectrosc. 2019, 213, 235–248. [Google Scholar] [CrossRef]
- Moore, J.W.; Pearson, R.G. Kinetic and Mechanism; John Wiley & Sons: New York, NY, USA, 1981. [Google Scholar]
- Ilhan, S.; Temel, H.; Yilmaz, I.; Şekerci, M. Synthesis and characterization of new macrocyclic Schiff base derived from 2,6-diaminopyridine and 1,7-bis(2-formylphenyl)-1,4,7-trioxaheptane and its Cu(II), Ni(II), Pb(II), Co(III) and La(III) complexes. Polyhedron 2007, 26, 2795–2802. [Google Scholar] [CrossRef]
- Al-Amiery, A.A.; Al-Majedy, Y.K.; Ibrahim, H.H.; Al-Tamimi, A.A. Antioxidant, antimicrobial, and theoretical studies of the thiosemicarbazone derivative Schiff base 2-(2-imino-1-methylimidazolidin-4-ylidene)hydrazinecarbothioamide (IMHC). Org. Med. Chem. Lett. 2012, 2, 4. [Google Scholar] [CrossRef]
- Khan, M.; Khan, A.; Hussain, I.; Gul, S.; Iqbal, M.; Rahman, I.U.; Khuda, F. Spectral, XRD, SEM and biological properties of new mononuclear Schiff base transition metal complexes. Inorg. Chem. Commun. 2013, 35, 104–109. [Google Scholar] [CrossRef]
- El-Bindary, A.; El-Sonbati, A.; Diab, M.; Morgan, S. Geometrical structure, potentiometric and thermodynamic studies of rhodanine azodye and its metal complexes. J. Mol. Liq. 2014, 201, 36–42. [Google Scholar] [CrossRef]
- Abu-Eittah, R.H.; Zordok, W.A. A molecular orbital treatment of piroxicam and its M2+-complexes: The change of the drug configuration in a time of bond formation. J. Mol. Struct. THEOCHEM 2010, 951, 14–20. [Google Scholar] [CrossRef]
- Defazio, S.; Cini, R. Synthesis, X-ray structure and molecular modelling analysis of cobalt(ii), nickel(ii), zinc(ii) and cadmium(ii) complexes of the widely used anti-inflammatory drug meloxicam. J. Chem. Soc. Dalton Trans. 2002, 9, 1888–1897. [Google Scholar] [CrossRef]
- Wang, X.; Ren, Q.; Fan, H.; Chen, J.; Sun, Z.; Li, T.; Liu, X.; Zhang, G.; Xu, D.; Liu, W. Preparation, crystal structure, spectrographic characterization, thermal and third order nonlinear optical properties of benzyltriethylamine bis(2-thioxo-1,3-dithiole-4,5-dithiolato)nickel(III). J. Cryst. Growth 2010, 312, 2206–2214. [Google Scholar] [CrossRef]
- Altürk, S.; Avcı, D.; Başoğlu, A.; Tamer, Ö.; Atalay, Y.; Dege, N. Copper(II) complex with 6-methylpyridine-2-carboxyclic acid: Experimental and computational study on the XRD, FT-IR and UV–Vis spectra, refractive index, band gap and NLO parameters. Spectrochim. Acta Part A Mol. Biomol. Spectrosc. 2018, 190, 220–230. [Google Scholar] [CrossRef]
- El-Sayed, A.S.A.; Shindia, A.A.; Zeid, A.A.A.; Yassin, A.M.; Sitohy, M.Z.; Sitohy, B. Aspergillus nidulans thermostable arginine deiminase-Dextran conjugates with enhanced molecular stability, proteolytic resistance, pharmacokinetic properties and anticancer activity. Enzym. Microb. Technol. 2019, 131, 109432. [Google Scholar] [CrossRef]
- El-Sayed, A.S.A.; Abdel-Azeim, S.; Ibrahim, H.M.; Yassin, M.A.; Abdel-Ghany, S.E.; Esener, S.; Ali, G.S. Biochemical stability and molecular dynamic characterization of Aspergillus fumigatus cystathionine γ-lyase in response to various reaction effectors. Enzym. Microb. Technol. 2015, 81, 31–46. [Google Scholar] [CrossRef]
- Zhao, P.; Shangguan, R.; Wang, H.; Qing, Y.; Jian, F. Synthesis, characterization, crystal structure and ab initio studies on 5-ethoxycarbonly-6-methyl-4-phenyl-2-thioxo-1,2,3,4-tetrahydropyrimidine. Spectrochim. Acta Part A Mol. Biomol. Spectrosc. 2009, 72, 61–67. [Google Scholar] [CrossRef]
- Andruh, M.; Melanson, R.; Stager, C.V.; Rochon, F.D. [Cr(bipy)(C2O4)2]−—A versatile building block for the design of heteropolymetallic systems 2. Syntheses and crystal structures of CuCr2(bipy)2(μ-C2O4)4(C2O4)4(H2O)2·112H2O and (AgCr(bipy)(μ-C2O4)2(H2O)2)2 and magnetic properties of the copper(II) derivative. Inorganica Chim. Acta 1996, 251, 309–317. [Google Scholar] [CrossRef]
- Anderson, R.A.; Cheng, N.; A. Bryden, N.; Polansky, M.M.; Cheng, N.; Chi, J.; Feng, J. Elevated Intakes of Supplemental Chromium Improve Glucose and Insulin Variables in Individuals with Type 2 Diabetes. Diabetes 1997, 46, 1786–1791. [Google Scholar] [CrossRef] [PubMed]
- Bassett, J.; Denney, R.C.; Jeffery, G.H.; Mendham, J. Vogel’s Textbook of Quantitative Inorganic Analysis Including Elementary Instrumental Analysis, 4th ed.; Longman Group: London, UK, 1978. [Google Scholar]
- Lewis, J.; Wilkins, R.G. Modern Coordination Chemistry; Interscience: New York, NY, USA, 1960; pp. 403–406. [Google Scholar]
- El-Sayed, H.A.; Said, S.A.; El-Hamid, A.A.; Mohamed, A.S.A.; Amr, A.E.; Morsy, H.A. Functionalization of Ethyl 6-Amino-4-(4-chlorophenyl)-5-cyano-2-methyl-4H-pyran-3-carboxylate: Facile Synthesis of a New Series of Pyrano[2,3-d]pyrimidine Derivatives. Russ. J. Gen. Chem. 2021, 91, 1403–1408. [Google Scholar] [CrossRef]
- Lalhruaizela; Marak, B.N.; Sran, B.S.; Singh, V.P. Multicomponent Synthesis, Crystal Structure, Hirshfeld Surface Analysis, and Molecular Docking of 4H-Pyrans. Chemistryselect 2021, 6, 11249–11260. [Google Scholar] [CrossRef]
- Beecher, D.J.; Wong, A.C.L. Identification of Hemolysin BL-Producing Bacillus cereus Isolates by a Discontinuous Hemolytic Pattern in Blood Agar. Appl. Environ. Microb. 1994, 60, 1646–1651. [Google Scholar] [CrossRef]
- Elshafie, H.S.; Sakr, S.; Bufo, S.A.; Camele, I. An Attempt of Biocontrol the Tomato-Wilt Disease Caused by Verticillium dahliae Using Burkholderia gladioli pv. agaricicola and Its Bioactive Secondary Metabolites. Int. J. Plant Biol. 2017, 8, 57–60. [Google Scholar] [CrossRef]
- Elshafie, H.S.; Viggiani, L.; Mostafa, M.S.; El-Hashash, M.; Camele, I.; Bufo, S.A. Biological activity and chemical identification of ornithine lipid produced by Burkholderia gladioli pv. agaricicola ICMP 11096 using LC-MS and NMR analyses. J. Biol. Res. Boll. Soc. Ital. Biol. Sper. 2017, 90, 96–103. [Google Scholar] [CrossRef]
- Casey, J.; O’Cleirigh, C.; Walsh, P.; O’Shea, D. Development of a robust microtiter plate-based assay method for assessment of bioactivity. J. Microbiol. Methods 2004, 58, 327–334. [Google Scholar] [CrossRef]
Disclaimer/Publisher’s Note: The statements, opinions and data contained in all publications are solely those of the individual author(s) and contributor(s) and not of MDPI and/or the editor(s). MDPI and/or the editor(s) disclaim responsibility for any injury to people or property resulting from any ideas, methods, instructions or products referred to in the content. |
© 2023 by the authors. Licensee MDPI, Basel, Switzerland. This article is an open access article distributed under the terms and conditions of the Creative Commons Attribution (CC BY) license (https://creativecommons.org/licenses/by/4.0/).




