Abstract
Rice’s geographic origin and variety play a vital role in commercial rice trade and consumption. However, a method for rapidly discriminating the geographical origins of rice from a different region is still lacking. Therefore, the current study developed a volatile organic compound (VOC) based geographical discrimination method using headspace gas chromatography-mass spectrometry (HS-GC-MS) to discriminate rice samples from Heilongjiang, Jilin, and Liaoning provinces. The rice VOCs in Heilongjiang, Liaoning, and Jilin were analyzed by agglomerative hierarchical clustering (AHC), principal component analysis (PCA), and partial least squares discriminant analysis (PLS-DA). The results show that the optimum parameters for headspace solid phase microextraction (HS-SPME) involved the extraction of 3.0 g of rice at 80 °C within 40 min. A total of 35 VOCs were identified from 30 rice varieties from Northeast China. The PLS-DA model exhibited good discrimination (R2 = 0.992, Q2 = 0.983, and Accuracy = 1.0) for rice samples from Heilongjiang, Liaoning, and Jilin. Moreover, K-nearest neighbors showed good specificity (100%) and accuracy (100%) in identifying the origin of samples. In conclusion, the present study established VOC fingerprinting as a highly efficient approach to identifying rice’s geographical origin. Our findings highlight the ability to discriminate rice from Heilongjiang, Liaoning, and Jilin provinces rapidly.
1. Introduction
Rice is one of the important cereals that provide energy for human beings. Therefore, more than half of the world’s population eats rice as a staple food [1]. Northeast China is the most important commercial rice production base in China, and northeast rice is the most popular rice among consumers. Northeast rice has been cultivated in fertile black soil, and the unique climate of Northeast China provides enough light and water. It has a good taste and rich nutrition and is widely loved by people [2]. Rice food quality is often associated with geographical sources, the primary consideration for rice consumers [3]. Rice with a geographic origin label in China, such as Wuchang rice in Heilongjiang, Panjin rice in Liaoning, and Baijinxiang rice in Jilin, are considered high-quality rice and favored by consumers [4]. While there are significant differences in rice quality and composition across regions, it seems impossible to discriminate rice’s geographic origin by appearance or regular analysis [5]. Therefore, illegal delivery and misnaming for tax avoidance concern rice-consuming countries [6]. To avoid fraudulent rice trading, efficient and high-throughput identification techniques using modern analytical chemistry, which has heightened sensitivity and accuracy, are now more critical than before.
Whether accidentally or intentionally, adulteration in rice is possible from the crop harvest to the grain arrival to consumers. According to the needs of consumers and to avoid fraud, researchers have proposed different analysis methods, such as targeted and nontargeted analysis, to restrain rice false description, adulteration, or fake origin labeling [7,8]. The specific origin determines the specific quality of rice. Geographical origin indications have a crucial role in the unique characteristics of rice [9]. Therefore, it has improved the economic return of rice. For the last decade, the geographical indications of rice have been determined according to physical and chemical properties such as morphology (shape, width, and length), amylose, starch, protein content, cooking quality, and element concentration [9,10,11].
In addition to these technologies, DNA-based methods have proven reliable and can detect adulteration and identify geographical indications [12]. However, a recent study reported rice fingerprint identification using spectroscopy, but this technology cannot identify the marker fingerprint [3]. Therefore, metabolomic-based methods have attracted increased focus on solving the defects of the aforementioned method of determining metabolite fingerprinting for geographical identification. Nuclear magnetic resonance spectroscopy and mass spectrometry are the more commonly used analytical techniques in metabolomics [10]. The high chromatographic resolution, assay-specific detection, metabolite quantification, and ability to identify unknown substances of GC-MS make it a suitable tool for fingerprinting studies [13]. Rice is rich in carbohydrates, vitamins, other significant metabolites, and low molecular weight secondary metabolites. In addition, volatile organic compounds (VOCs) are composited during paddy growth and development [1]. Therefore, VOC metabolomics can be utilized to distinguish the peculiarity of rice, the identifiability of rice, and the properties of rice varieties from a specific place of origin. Therefore, it has been applied to evaluate geographical origin [4,14].
VOCs are the diagnostic aspects of rice quality that can determine consumers’ acceptance. They are also essential indicators of geographical origins. Although VOC metabolites have been studied in various food authenticity studies, such as geographic [1,4,14] and botanical origin identification [15,16,17], a method for quick identification of the geographic origin of rice from a different region is still lacking. Therefore, in the current study, a non-targeted VOC metabolomics method was applied to study the phenotype of rice from Heilongjiang, Jilin, and Liaoning provinces. Specifically, HS-SPME and GC-MS and multivariate pattern recognition analysis identified the potential variation markers of VOCs in rice. The chromatographic data were analyzed by agglomerative hierarchical clustering (HCA) and principal component analysis (PCA). Partial least squares discriminant analysis (PLS-DA) was applied to develop an estimation model to discriminate samples based on geographical origin. Finally, projection of importance (VIP) scores of variables were calculated to determine the important VOCs of rice.
2. Material and Methods
2.1. Chemicals and Reagents
HS-SPME fibers Divinylbenzene/carboxen/polydimethylsiloxane (2 cm, 50/30 µm DVB/CAR/PDMS), headspace vials (20 mL), and liner (2637501) were purchased from SUPELCO (Bellefonte, PA, USA). Mixed standard C7–C30 saturated alkanes (1000 μg/mL, hexanes) were purchased from Sigma-Aldrich (St. Louis, MO, USA) and used to calculate the retention index (RI) for each compound. Internal standard (2-methyl-3-heptanone) for GC-MS analysis and n-alkane for calculating the retention index were purchased from Beijing BioDee Biotechnology Company (Beijing, China).
2.2. Sample Collection
Samples were purchased from seed companies in Heilongjiang, Jilin, and Liaoning. All 30 rice samples (10 per province) were analyzed from three provinces. The samples of rice varieties in each province are shown in Table S1. Four rice samples, Longing, Suijing, Longie, and Jinhua, were collected from Heilongjiang. Five different rice samples, including Jijing, Jiyang, Tonghe, Tongyuan, and Tongke were collected from Jilin. In addition, four different varieties of rice samples, including, Liaojing, Liaoxing, Yanjing, and Yanfeng, were collected from Liaoning. The rice grain was ridged and milled by an experimental ridging machine (THU35C, SATAKE, Suzhou, China) and an experimental rice milling machine (TM05C, SATAKE, Suzhou, China). The broken rice rate is less than 10%, and the moisture content of rice is 15.5%. Therefore, according to GB/T 1354-2018, rice meets the standard of first-class commercial japonica rice. Samples were packed in polythene bags after milling and stored at −40 °C.
2.3. Optimization of the HS-SPME Method
Following the method of our previous study [18,19], the DVB/CAR/PDMS HS-SPME fiber was applied to rice VOC analysis. To obtain the best conditions for the HS-SPME of the VOCs in rice samples, the effect of extraction time (20–60 min), extraction temperature (50–90 °C), and sample weight (1.0–5.0 g) were investigated. The optimized method approached the one-factor-at-a-time approach (OFAT) referred to by NPK et al. [15]. The total concentration of VOCs was calculated and identified, and the optimal conditions were found by comparing the total concentration.
2.4. Sample Preparation
Before sample testing, we avoid interference between the samples of the extracted fiber and treat the fiber at 270 °C for 1 h. A total of 3 g of rice sample was weighed in a 20 mL SPME vial and 1 μL content was added, 0.816 μg/mL of 2-methyl-3-heptanone, and the vial was immediately sealed with PTFE/silicon-lined nuts. After sealing, the vial was thermally balanced on an automatic heating incubator for 20 min.
2.5. Extraction of VOCs in Rice Sample
VOCs in rice samples were extracted according to optimal HS-SPME extraction conditions. After extraction, the HS-SPME fiber was desorbed at the GC injection port at 270 °C for 5 min.
2.6. GC-MS Data Acquisition
GC-MS analysis was performed according to our previous research [20]. A Gas Chromatography (7890A, Agilent, Santa Clara, CA, USA) system coupled with a Mass Spectrometer (5975C, Agilent, Santa Clara, CA, USA) was used to analyze VOCs. GC conditions: DB-WAX capillary column (30 m × 0.25 mm, 0.25 μm); carrier gas was helium, the flow rate was 1.2 mL/min; splitless injection; inlet temperature was 250 °C; the temperature program was as follows: the initial temperature was 40 °C, maintained for 3 min, increased to 200 °C at 5 °C/min, and then increased to 230 °C at 10 °C/min, and held for 3 min. Mass spectrometry conditions: electron ionization source; electron energy 70 eV; transmission line temperature 280 °C; ion source temperature 230 °C; quadrupole temperature 150 °C; mass scan range m/z 55–500.
2.7. Identification of VOCs in Rice Sample
Qualitative analysis: Agilent Mass Hunter Software (B.08.00, Agilent, Santa Clara, CA, USA) was applied for data analysis. Firstly, the mass spectrometry of volatile aroma compounds was compared with the standard mass spectrometry in the NIST 14 mass spectrometry library to identify the compounds. The RI (Retention Index) value was compared with the standard odor description for confirmation [19].
Quantitative analysis: the flavor component is calculated by the area normalization method of peak area ratio, according to the internal standard substance of 2-methyl-3-heptanone, and the volatile flavor compounds of the chromatographic peak area were compared, and the volatile flavor compounds relative to the internal standard substance content were calculated according to:
where C is the mass concentration of volatile flavor compounds/(µg/kg); Ci is the mass concentration of internal standard/(µg/µL); Sj is the peak area of volatile flavor compounds. Si is the peak area of internal standard and mo sample weight (g).
2.8. Statistical Analysis
Each sample was repeated at least three times. The significant differences (p < 0.05) in means were analyzed statistically by one-way analysis of variance (ANOVA) and Duncan’s multiple range tests by using IBM SPSS software of version 23 (SPSS Institute, Chicago, IL, USA).
2.9. Multivariate Analysis
Metaboanalyst [1] (www.metaboanalyst.ca, accessed on 4 March 2022) was used for multivariate statistical analysis, such as PCA, PLS-DA, and HCA. Among them, PCA analysis was performed to better visualize all the information in the dataset. PCA analysis visualizes differences between groups by projecting the objects of the dataset into the space of the first few principal components. PLS-DA analysis allows further identification of different VOCs leading to separation between different regions [13,21]. The established PLS-DA model was verified by leave-one-out cross-validation, and the quality of the model was evaluated based on R2 and Q2 scores [22]. In addition, the model was validated with 1000 times permutation tests [22,23]. The PLS-DA model generates Variable Importance Projection (VIP) scores. VOCs with VIP values greater than 1 were recognized as potentially differential compounds [23]. HCA was performed based on the measured characteristics to identify relatively homogeneous clusters within each sample group. This study analyzed the complete dataset using HCA defined by Ward link and Euclidean distance.
3. Results and Discussion
3.1. Optimization of the HS-SPME Method
3.1.1. Sample Weight
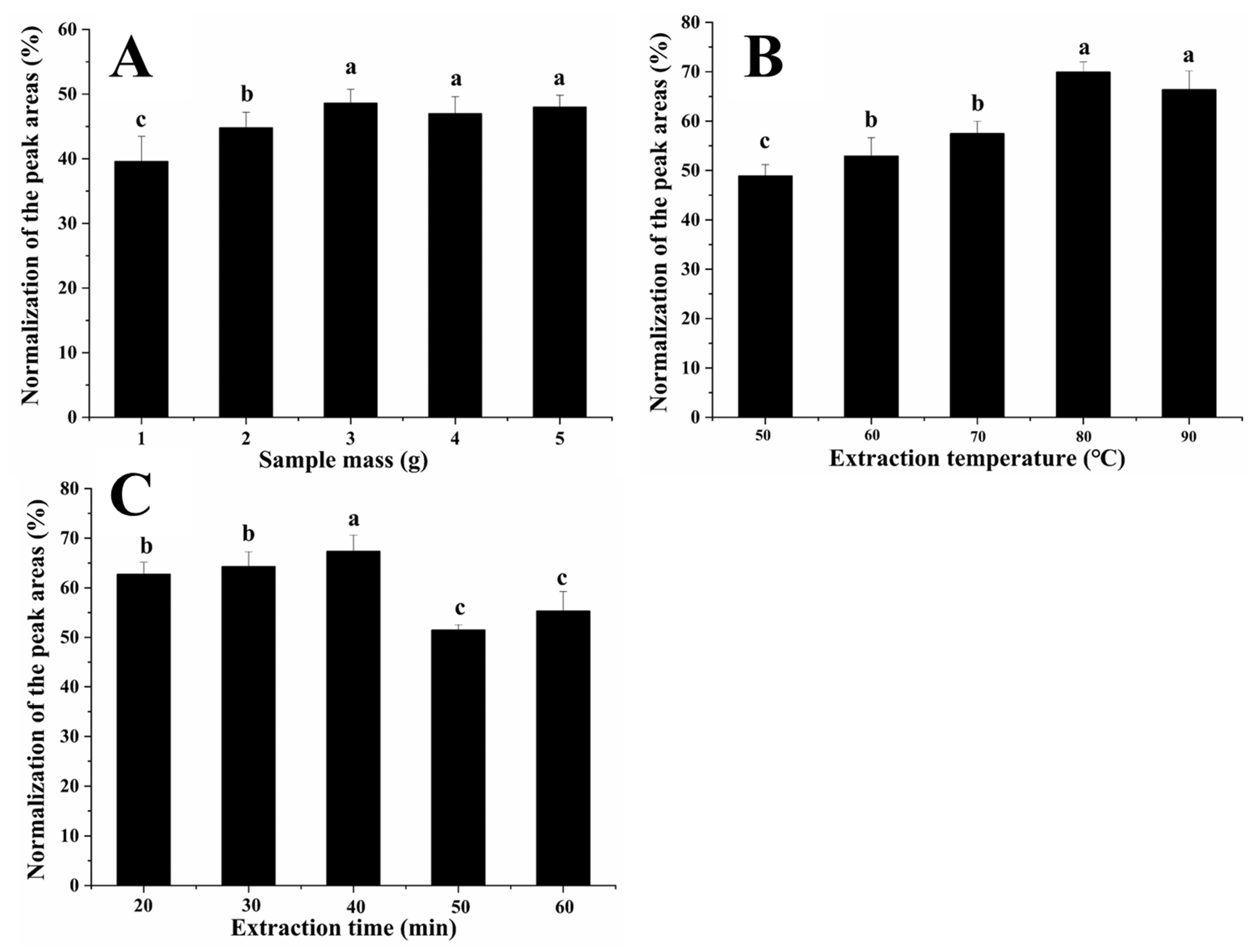
To study the effects of different sample quantities on the total concentration of rice VOCs, we chose sample weights of 1.0, 2.0, 3.0, 4.0, and 5.0 g for extraction of rice odorant active compounds. The relationship between the sample weight and the total concentration of the VOCs is shown in Figure 1A. When the sample weight was 1.0–3.0 g, the VOCs content of rice significantly increased from 39.56% to 48.57%. In general, the amount of analyte adsorbed is directly proportional to the quality of the sample [15]. Therefore, higher extraction efficiency can be obtained by increasing the sample quality. However, when the sample weight is 3.0–5.0 g, the VOCs content of rice has no significant difference. It might be because fiber overload may adversely affect the sample’s relative response to volatile compounds [15]. The sample weight of 3.0 g was chosen for further study.
Figure 1.
Effect of (A) sample weight, (B) extraction temperature, and (C) extraction time on the extraction efficiency. Different small letters a, b, c in the figure indicate the significant difference between different treatment groups (p < 0.05).
3.1.2. Extraction Temperature
To obtain the best extraction temperature, five temperatures (50, 60, 70, 80, and 90 °C) were studied. By heightening extraction temperature, the above concentrations of analyses are predicted to be delivered into the headspace to improve the extraction capability [24]. As shown in Figure 1B, as the extraction temperature increased from 50 to 80 °C, the VOC content of rice significantly increased from 48.84% to 69.86%. It shows that the extraction efficiency of all analytes increases with the increase in extraction temperature. Usually, an 80 °C extraction temperature is widely used to extract VOCs from rice samples [1]. Therefore, the same extraction temperature was selected in this study.
3.1.3. Extraction Time
Extraction time is essential for SPME equilibrium abilities [15]. The HS-SPME extraction time was investigated at 20, 30, 40, 50, and 60 min to find the optimum extraction time. As shown in Figure 1C, when the extraction time increased from 20 to 40 min, VOCs from 62.71% increased to 67.35%. Our previous studies showed that 40 min extraction time best separates VOCs from rice [19]. Thus, we chose the same extraction time as Wang et al. [19] (40 min) in this study.
3.2. GC-MS Analysis
The VOCs in rice samples were extracted using the optimum extraction parameters and analyzed by GC-MS. Overall, 30 samples, including 10 from Heilongjiang, 10 from Jilin, and 10 from Liaoning, were analyzed using HS-SPME-GC–MS (Figure 2A). The VOCs are expressed as the chromatographic peaks in the total ion chromatogram (TIC) (Figure S1). A total of 33 VOCs were identified based on their respective mass spectra and RI. The detected VOCs are listed in Table S2. Heilongjiang and Jilin have 32 identical VOCs, Jilin and Liaoning samples have 30 identical VOCs, Heilongjiang and Liaoning samples have 31 identical VOCs (Figure 2B). Detected VOCs were classified into 10 chemical classes, including alkane hydrocarbons, aromatic hydrocarbons, other volatile hydrocarbons, aldehydes, aromatic aldehyde, alcohols, organic acids, fatty acids, phenol-containing, and others. The qualitative analysis was performed by class percentage, as shown in Figure 3A.
Figure 2.
(A) Differentiation of Heilongjiang, Jilin, and Liaoning rice. (B) Sample gathering provinces from Heilongjiang, Jilin, and Liaoning. The number in the figure represents the number of VOCs detected in rice in this region, and the numbers with overlapping circles represent the number of VOCs common to rice in these regions.
Figure 3.
(A) Qualitative analysis of VOCs, alkane hydrocarbons, aromatic hydrocarbons, other volatile hydrocarbons, aldehydes, aromatic aldehydes, alcohols, organic acids, fatty acids, phenol-containing, other compounds in a % pie chart. (B) Quantitative analysis of VOCs compounds analyzed by HCA. (C) K-means clustering of VOC compounds.
Alkanes are the primary class in the rice from three areas. Among them, alkane hydrocarbons were the highest concentration, up to 41.3% in Liaoning rice samples, compared to 27.9% and 18.6% in Heilongjiang and Jilin rice samples. Aldehydes are the second largest group in Heilongjiang and Liaoning rice samples, with 14.2% and 25.3%. At the same time, Jilin rice samples showed the highest composition at 61.5% of aldehydes. Aldehydes are critical substances in the formation of rice flavor and play an important role in rice flavor [19]. Samples from Heilongjiang were found to be enriched in other volatile hydrocarbons (23.0%), aldehydes, aromatic aldehydes (6.7%), and alcohols (9.1%) in comparison with Liaoning and Jilin rice samples. Similarly, phenol-containing (1.5%) was more abundant in samples from Heilongjiang than in the Liaoning and Jilin rice samples. At the same time, aromatic hydrocarbons were found in more significant amounts in Liaoning (2.0%) and Heilongjiang (1.8%) than in Jilin (0.7%). The relative levels of organic acids and fatty acids were the same in all rice samples.
The unsupervised hierarchical clustering and K-means clustering quantitative analysis of 10 chemical classes in rice samples from Heilongjiang, Jilin, and Liaoning provinces are shown in Figure 3B. Heilongjiang and Jilin rice samples clustered together and away from Liaoning rice samples. The Liaoning rice samples showed a higher quantity of other volatile hydrocarbons, alkane hydrocarbons, aromatic hydrocarbons, alcohols, aromatic aldehyde, and fatty acids. Higher amounts of phenol-containing and others were found in the Heilongjiang rice samples. Higher quantities of aldehydes and organic acids were present in the Jilin rice sample.
The unsupervised hierarchical clustering and K-means clustering quantitative analysis of 10 chemical classes in rice samples from Heilongjiang, Jilin, and Liaoning provinces are shown in Figure 3B. Heilongjiang and Jilin rice samples clustered together and away from Liaoning rice samples. The Liaoning rice samples showed a higher quantity of other volatile hydrocarbons, alkane hydrocarbons, aromatic hydrocarbons, alcohols, aromatic aldehyde, and fatty acids. Higher amounts of phenol-containing and others were found in the Heilongjiang rice samples. Higher quantities of aldehydes and organic acids were present in the Jilin rice sample.
The unsupervised hierarchical clustering and K-means clustering quantitative analysis of 10 chemical classes in rice samples from Heilongjiang, Jilin, and Liaoning provinces are shown in Figure 3B. Heilongjiang and Jilin rice samples clustered together and away from Liaoning rice samples. The Liaoning rice samples showed a higher quantity of other volatile hydrocarbons, alkane hydrocarbons, aromatic hydrocarbons, alcohols, aromatic aldehyde, and fatty acids. Higher amounts of phenol-containing and others were found in the Heilongjiang rice samples. Higher quantities of aldehydes and organic acids were present in the Jilin rice sample.
3.3. Partial Least Square Discriminant Analysis
The unsupervised PCA analysis of VOCs obtained from all rice samples is shown in Figure 4A. The two principal components accounted for 95.2% of the total variance (Figure 4A). Pearson correlation analysis is performed on the sample groups to correlate between the sample groups. There is a strong positive correlation between each sample group and the corresponding sample group (Figure 4B).
Figure 4.
(A) PCA analysis for Heilongjiang (red color), Jilin (green color), and Liaoning (blue color) rice samples. (B) Pearson correlation of rice samples from Heilongjiang, Jilin, and Liaoning.
PLS-DA is a supervised pattern identification approach that searches for relationships and suitable classes for each sample [23]. Thus, PLS-DA continued to predict to the class members and explained the majority of the modifiability of the VOCs of Heilongjiang, Jilin, and Liaoning rice samples (Figure S2A). The Heilongjiang, Jilin, and Liaoning rice samples identified a clear separation. As presented in Figure S2A, three separate clusters were found in the PLS-DA score plot, wherein the two components together accounted for 95.2% of the total variation. The first component explained (76.6%) the variation between the Heilongjiang, Jilin province rice samples from the Liaoning rice samples. The second part explains the difference (18.6%) among Heilongjiang and Jilin rice samples. The corresponding loadings plot accounted for the discovered division among the rice samples from three regions (Figure S2B,C). Validation of the prediction accuracy and fit of the polynomial model was performed using five-fold cross-validation (Figure S2D). The results show cumulative values of PLS-DA with R2 = 0.992, Q2 = 0.983, and accuracy = 1.0, presenting an excellent fitting model. Further validation of the supervised model was performed with 1000 permutation trials (Figure S2E). These distribution results indicated that the ability of the best model to predict the VOCs in the sample group was found to be significant at p < 0.001. The established model was applied to predict rice samples from Heilongjiang, Jilin, and Liaoning. As a result, all trial samples were accurately appointed with 100% correctness (Figure 5A–F). In addition, the area under the curve (AUC) is 1, meaning that the receiver operating characteristic (ROC) analysis on the basis of PLS-DA is reasonable, with great susceptivity (100%) and characteristics (Figure 5A–F).
Figure 5.
Predictive class probabilities for samples and ROC plots based on the cross-validation (CV) performance. (A,B) Heilongjiang and rice samples, AUC = 1. (C,D) Heilongjiang and Liaoning rice samples, AUC = 1. (E,F) Jilin and Liaoning rice samples, AUC = 1.
3.4. Specific VOC Compounds Analysis
Orthogonal projection latent structure discriminant analysis (OPLS-DA) is an essential method for dimensionality reduction and identification of spectral features that drive group separation. It is a supervised modeling method used to discriminate among the varieties in a dataset relevant to predicting group labels and variations unrelated to predicting group labels [25]. Figure 6A shows the OPLS-DA biplot for the discrimination between Heilongjiang, Jilin, and Liaoning rice samples. In total, 33 VOCs were used as the independent variable X for OPLS-DA analysis, X variance R2X = 0.986, Y variance R2Y = 0.998, and cross-validation predictive power Q2 = 0.964, R2X − R2Y < 0.3, indicating that the model is reliable. Thus, the variable importance for the projection (VIP) applied to determine specific VOCs for geographical discrimination of rice samples [15] and obtained from the corresponding loadings plot is shown in Figure 6B, Table 1. In total, 14 VOCs with VIP > 1 were selected as marked compounds to identify rice samples from three regions.
Figure 6.
(A) Biplot for the discrimination between Heilongjiang (yellow color), Jilin (pink color), and Liaoning (origin color) rice samples. (B) Important features identified by OPLS-DA. The colored boxes on the right indicate the relative concentrations of the corresponding metabolite in each group under study. The red line in Figure B indicated that VIP > 1 by OPLS-DA.
Table 1.
Distinguishing VOCs in Heilongjiang, Jilin, and Liaoning.
The numbers corresponding to the volatile compounds’ names are as follows:
1. Decane; 2. Undecane; 3. 2-methyl-decane; 4. Dodecane; 5. Tridecane; 6. Tetradecane; 7. Hexadecane; 8. 2,6,10,14-tetramethyl-hexadecane; 9. Styrene; 10. 2,6-dimethyl-decane; 11. 2-methyl-dodecane; 12. 2,6,10-trimethyl-dodecane; 13. Heptanal; 14. (E,E)-2,4-nonadienal; 15. Nonanal; 16. (E)-2-heptenal; 17. Decanal; 18. Pentadecanal; 19. Hexadecanal; 20. (E)-6,10-dimethyl-5,9 undecadien-2-one; 21. 6,10-dimethyl-2-undecanone; 22. Hexanol; 23. 1-octanol; 24. n-heptadecanol; 25. 2-hexyl-1-decanol; 26. 3,7,11-trimethyl-1-dodecanol; 27. Octanoic acid; 28. n-Hexadecanoic acid; 29. Hexanoic acid; 30. Nonanoic acid; 31. Benzyl alcohol; 32. Toluene; 33. 2-butyl-1-octanol.
Generally, alkane and alkenes compounds have no contribution to the rice aroma or flavor; these compounds were considered to be related to lipid decomposition [4]. In this study, eight alkane compounds (tridecane, tetradecane, hexadecane, 2,6,10,14-tetramethyl-hexadecane, styrene, 2,6-dimethyl-decane, 2-methyl-dodecane, and 2,6,10-trimethyl-dodecane) were detected as discriminative markers to identify Heilongjiang, Jilin, and Liaoning rice samples (Figure 7, Table 1). Except for 2,6,10,14-tetramethyl-hexadecane, the other seven compounds were higher in Liaoning rice samples than in the Heilongjiang and Jilin rice samples. The average concentration of tridecane, tetradecane, hexadecane, styrene, 2,6-dimethyl-decane, 2-methyl-dodecane, and 2,6,10-trimethyl-dodecane) in Liaoning rice samples were 56.73, 456.68, 14.96, 28.36, 12.15, 178.96, and 149.58 μg/kg, respectively. Dong et al. [4] and Ch et al. [1] also demonstrated the occurrence of alkanes in Chinese rice. Alkanes are also highly sensitive to environmental factors such as light conditions, temperature, and humidity [4]. Thus, the concentration of alkanes in rice varies from region to region. In conclusion, although alkanes did not contribute to rice flavor, they played an important role in rice VOC identification.
Figure 7.
Box plot for distinguishing VOCs in Heilongjiang, Jilin, and Liaoning rice.
Aldehydes are the key volatile odorant in the formation of rice flavor, which plays an essential role in rice flavor [26]. Relevant studies show that the odor activity value of aldehydes accounts for 97% of the odor activity value of various flavor substances in rice [27]. In the present study, (E)-2-heptenal and decanal were found as a marked odorant with the highest concentration in Liaoning rice samples compared to the Heilongjiang and Jilin. The average concentration of (E)-2-heptenal and decanal was 13.09 and 171.43 μg/kg in Liaoning rice samples. (E)-2-heptenal is a significant VOC in rice [28], it is produced by the decomposition of hydrogen peroxide [28] and contributes to rice’s herbaceous flavor character [29,30]. The decanal contributed to rice as a fatty and citrusy flavor [28].
On the other hand, the alcohols had higher odor threshold odorants, given rice banana sweetness and slight alcohol flavor [28,31]. The hexanol,1-octanol and 2-hexyl-1-decanol were found as odorants with the highest concentration in Liaoning rice samples compared to the Heilongjiang and Jilin. The average concentration of these compounds was 40.53, 10.82, and 31.15 μg/kg in Liaoning rice samples. However, the nonanoic acid was a marked odorant with the highest concentration in Jilin rice samples compared to Heilongjiang and Liaoning. The average concentration of these was 2.75 μg/kg. In this study, higher concentrations of nonanoic acid were present in the Jilin rice sample. The average concentration of nonanoic acid in the Jilin rice sample was 1.7 μg/kg, and it contributed to rice as a waxy type of odor [28].
4. Conclusions
This research analyzed the geographical discrimination of 30 rice samples from Northeast China (Heilongjiang, Jilin, and Liaoning province) by HS-SPME-GC-MS and multivariate statistics. The optimal conditions for HS-SPME of VOCs in rice are as follows: rice weight is 3.0 g, the extraction temperature is 30 °C, and the extraction time is 30 min. Overall, 33 VOCs were detected. PCA analysis of VOCs showed that the rice samples from Heilongjiang, Jilin, and Liaoning were significantly distinguished on the score map. A PLS-DA model was constructed, in which the first two principal components explained 95.2% of the total variance, and all samples were correctly classified. A total of 14 characteristic compounds were screened by OPLS-DA analysis for differentiation in rice from Heilongjiang, Jilin, and Liaoning provinces. Applying nontargeted VOC metabolomics to determine rice from different geographic regions has proven to be a hopeful and mighty method for confirming the assuredness and origin of rice from Heilongjiang, Jilin, and Liaoning provinces. The potential for establishing sample banks from other regions is obvious and may result in changes in the authenticity of rice in the future. In addition, this method provides an effective way for the origin identification of other foods (fruits, vegetables, dairy, etc.). Therefore, it can effectively avoid fake and shoddy favorite and high-quality agricultural products and geographical indication of agricultural products.
Supplementary Materials
The following supporting information can be downloaded at: https://www.mdpi.com/article/10.3390/foods11121695/s1, Table S1. Geographical origin of the rice samples; Table S2 VOCs identified in the rice sample with GC–MS (μg/kg); Figure S1. Total ion chromatogram of VOCs profile of Heilongjiang, Liaoning, and Jilin rice samples were obtained from HS-SPME-GC-MS; Figure S2. Significant differences in VOCs profile of Heilongjiang, Jilin, and Liaoning rice samples
Author Contributions
Methodology, Z.W. (Zhenhua Wang), S.L. (Shan Liang), Z.W. (Ziyuan Wang); software, S.A.; data curation, S.A., S.L. (Sixuan Li), L.G.; writing—original draft preparation, S.A.; writing—review and editing, X.R.; project administration, M.Z. All authors have read and agreed to the published version of the manuscript.
Funding
This research was funded by National Science Foundation of China, grant number [32101876]. General S&T project of Beijing Municipal Commission of Education, grant number [KM202010011006].
Data Availability Statement
All data included in this study are available upon request by contact with the corresponding author.
Acknowledgments
Our native English speaker colleague Amjad Sohail helped revise the English grammar in the manuscript. We sincerely thank him for his help.
Conflicts of Interest
The authors declare no conflict of interest.
References
- Ch, R.; Chevallier, O.; Mccarron, P.; Mcgrath, T.F.; Elliott, C.T. Metabolomic Fingerprinting of Volatile Organic Compounds for the Geographical Discrimination of Rice Samples from China, Vietnam and India. Food Chem. 2020, 334, 127553. [Google Scholar] [CrossRef] [PubMed]
- Hou, W.J.; Geng, T.; Chen, Q.; Chen, C.Q. Impacts of Climate Warming on Growth Period and Yield of Rice in Northeast China During Recent Two Decades. Chin. J. Appl. Ecol. 2015, 26, 249–259. [Google Scholar]
- Teye, E.; Amuah, C.L.Y.; Mcgrath, T.; Elliott, C. Innovative and Rapid Analysis for Rice Authenticity Using Hand-Held Nir Spectrometry and Chemometrics. Spectrochim. Acta Part A Mol. Biomol. Spectrosc. 2019, 217, 147–154. [Google Scholar] [CrossRef] [PubMed]
- Dong, K.L.; Mo, C.; Lee, D.K.; Long, N.P.; Kwon, S.W. Non-Destructive Profiling of Volatile Organic Compounds Using Hs-SPME/GC–MS and its Application for the Geographical Discrimination of White Rice. J. Food Drug Anal. 2018, 26, 260. [Google Scholar] [CrossRef]
- Suzuki, Y.; Chikaraishi, Y.; Ogawa, N.O.; Ohkouchi, N.; Korenaga, T. Geographical Origin of Polished Rice Based on Multiple Element and Stable Isotope Analyses. Food Chem. 2008, 109, 470–475. [Google Scholar] [CrossRef]
- Vemireddy, L.R.; Satyavathi, V.V.; Siddiq, E.A.; Nagaraju, J. Review of Methods for the Detection and Quantification of Adulteration of Rice: Basmati as a Case Study. J. Food Sci. Technol. 2014, 52, 3187–3202. [Google Scholar] [CrossRef] [Green Version]
- Kalogiouri, N.P.; Aalizadeh, R.; Thomaidis, N.S. Investigating the Organic and Conventional Production Type of Olive Oil with Target and Suspect Screening by LC-QTOF-MS, a Novel Semi-Quantification Method Using Chemical Similarity and Advanced Chemometrics. Anal. Bioanal. Chem. 2017, 409, 5413–5426. [Google Scholar] [CrossRef]
- Cuadros-Rodríguez, L.; Ruiz-Samblás, C.; Valverde-Som, L.; Pérez-Castaño, E.; González-Casado, A. Chromatographic Fingerprinting: An Innovative Approach for Food ‘Identitation’ and Food Authentication—A Tutorial. Anal. Chim. Acta 2016, 909, 9–23. [Google Scholar] [CrossRef]
- Chung, I.M.; Kim, J.K.; Prabakaran, M.; Yang, J.H.; Kim, S.H. Authenticity of Rice (Oryza sativa L.) Geographical Origin Based on Analysis of C, N, O and S Stable Isotope Ratios: A Preliminary Case Report in Korea, China and Philippine. J. Sci. Food Agric. 2016, 96, 2433–2439. [Google Scholar] [CrossRef]
- Custodio, M.C.; Cuevas, R.P.; Ynion, J.; Laborte, A.G.; Velasco, M.L.; Demont, M. Rice Quality: How is It Defined by Consumers, Industry, Food Scientists, and Geneticists? Trends Food Sci. Technol. 2019, 92, 122–137. [Google Scholar] [CrossRef]
- Bhat, F.M.; Riar, C.S. Effect of Amylose, Particle Size and Morphology on the Functionality of Starches of Traditional Rice Cultivars. Int. J. Biol. Macromol. 2016, 92, 637–644. [Google Scholar] [CrossRef] [PubMed]
- Wang, W.; Mauleon, R.; Hu, Z.; Chebotarov, D.; Tai, S.; Wu, Z.; Li, M.; Zheng, T.; Fuentes, R.R.; Zhang, F.; et al. Genomic Variation in 3,010 Diverse Accessions of Asian Cultivated Rice. Nature 2018, 557, 43–49. [Google Scholar] [CrossRef] [PubMed]
- Beale, D.J.; Pinu, F.R.; Kouremenos, K.A.; Poojary, M.M.; Dias, D.A. Review of Recent Developments in GC–MS Approaches to Metabolomics-Based Research. Metabolomics 2018, 14, 152. [Google Scholar] [CrossRef] [PubMed]
- Song, X.; Jing, S.; Zhu, L.; Ma, C.; Song, T.; Wu, J.; Zhao, Q.; Zheng, F.; Zhao, M.; Chen, F. Untargeted and Targeted Metabolomics Strategy for the Classification of Strong Aroma-Type Baijiu (Liquor) According to Geographical Origin Using Comprehensive Two-Dimensional Gas Chromatography-Time-of-Flight Mass Spectrometry. Food Chem. 2020, 314, 126098. [Google Scholar] [CrossRef] [PubMed]
- Kalogiouri, N.P.; Manousi, N.; Rosenberg, E.; Zachariadis, G.A.; Paraskevopoulou, A.; Samanidou, V. Exploring the Volatile Metabolome of Conventional and Organic Walnut Oils by Solid-Phase Microextraction and Analysis by GC-MS Combined with Chemometrics. Food Chem. 2021, 363, 130331. [Google Scholar] [CrossRef]
- Lytou, A.E.; Panagou, E.Z.; Nychas, G. Volatilomics for Food Quality and Authentication. Curr. Opin. Food Sci. 2019, 28, 88–95. [Google Scholar] [CrossRef]
- Matsushita, T.; Zhao, J.J.; Igura, N.; Shimoda, M. Authentication of Commercial Spices Based on the Similarities Between Gas Chromatographic Fingerprints. J. Sci. Food Agric. 2017, 98, 2989. [Google Scholar] [CrossRef]
- Jia, X.; Wang, L.; Zheng, C.; Yang, Y.; Wang, X.; Hui, J.; Zhou, Q. Key Odorant Differences in Fragrant Brassica Napus and Brassica Juncea Oils Revealed by Gas Chromatography–Olfactometry, Odor Activity Values, and Aroma Recombination. J. Agric. Food Chem. 2020, 68, 14950–14960. [Google Scholar] [CrossRef]
- Wang, Z.; Su, H.; Bi, X.; Zhang, M. Effect of Fragmentation Degree on Sensory and Texture Attributes of Cooked Rice. J. Food Process Pres. 2019, 43, e13920. [Google Scholar] [CrossRef]
- Wang, Z.; Wang, K.; Zhang, M.; Duan, M.; Tuersuntuoheti, T.; Li, M.; Wang, J.; Ren, X. Effect of Electron Beam Irradiation on Shelf Life, Noodle Quality, and Volatile Compounds of Fresh Millet-Wheat Noodles. J. Food Process Pres. 2021, 45, e16064. [Google Scholar] [CrossRef]
- Barker, M.; Rayens, W. Partial Least Squares for Discrimination. J. Chemometr. 2003, 17, 166–173. [Google Scholar] [CrossRef]
- Westerhuis, J.A.; Hoefsloot, H.; Smit, S.; Vis, D.J.; Dorsten, F. Assessment of Plsda Cross Validation. Metabolomics 2008, 4, 81–89. [Google Scholar] [CrossRef] [Green Version]
- Hastie, T.; Tibshirani, R.; Friedman, J.H.; Franklin, J. The Elements of Statistical Learning: Data Mining, Inference and Prediction. By. Math. Intelligencer. 2009, 27, 83–85. [Google Scholar] [CrossRef]
- Yang, C.; Luo, L.; Zhang, H.; Yang, X.; Lv, Y.; Song, H. Common Aroma-Active Components of Propolis from 23 Regions of China. J. Sci. Food Agric. 2010, 90, 1268–1282. [Google Scholar] [CrossRef] [PubMed]
- Boccard, J.; Rutledge, D.N. A Consensus Orthogonal Partial Least Squares Discriminant Analysis (OPLS-DA) Strategy for Multiblock Omics Data Fusion. Anal Chim. Acta 2013, 769, 30–39. [Google Scholar] [CrossRef] [PubMed]
- Bi, X.; Asimi, S.; Zhang, M.; Zhou, Q.; Yang, Z. Effects of Fatty Acids on Taste Quality of Cooked Rice. Food Sci. 2019, 40, 8–14. [Google Scholar] [CrossRef]
- Yang, D.S.; Shewfelt, R.L.; Lee, K.S.; Kays, S.J. Comparison of Odor-Active Compounds from Six Distinctly Different Rice Flavor Types. J. Agric. Food Chem. 2008, 56, 2780–2787. [Google Scholar] [CrossRef]
- Verma, D.K.; Srivastav, P.P. Science and Technology of Aroma, Flavor, and Fragrance in Rice; Apple Academic Press Inc.: Palm Bay, FL, USA; Burlington, ON, Canada, 2018. [Google Scholar]
- Zhao, Q.; Xi, J.; Xu, D.; Jin, Y.; Wu, F.; Tong, Q.; Yin, Y.; Xu, X. A Comparative HS-SPME/GC-MS-Based Metabolomics Approach for Discriminating Selected Japonica Rice Varieties from Different Regions of China in Raw and Cooked Form. Food Chem. 2022, 385, 132701. [Google Scholar] [CrossRef]
- Zhi, Z.; Zhang, H.; Tao, Z.; Tamogami, S.; Jie, Y.C. Analysis of Flavor Volatiles of Glutinous Rice During Cooking by Combined Gas Chromatography-Mass Spectrometry with Modified Headspace Solid-Phase Microextraction Method. J. Food Compos. Anal. 2009, 22, 347–353. [Google Scholar] [CrossRef]
- Yajima, I. Volatile Flavor Compounds of Cooked Rice. Agric. Biol. Chem. 1978, 42, 1229–1233. [Google Scholar] [CrossRef]
Publisher’s Note: MDPI stays neutral with regard to jurisdictional claims in published maps and institutional affiliations. |
© 2022 by the authors. Licensee MDPI, Basel, Switzerland. This article is an open access article distributed under the terms and conditions of the Creative Commons Attribution (CC BY) license (https://creativecommons.org/licenses/by/4.0/).






