Abstract
A national baseline study of offal hygiene was undertaken at 17 Australian export establishments. A total of 1756 samples of different offal types were analysed for aerobic plate count (APC), generic Escherichia coli, and coliform bacteria. Average APC values varied from 1.51 to 5.26 Log10 CFU/g, depending on species and offal type. The average APC on beef, sheep, lamb, and goat offal was 3.25, 3.38, 3.70, and 2.97 Log10 CFU/g, respectively. There is a small but significant difference in APC on offal sampled frozen (3.26 Log10 CFU/g) and offal sampled fresh (3.73 Log10 CFU/g). Escherichia coli prevalence on beef, sheep, lamb, and goat offal was 15.4%, 28.1%, 17.5%, and 39.3%, respectively. The number of E. coli on positive offal samples ranged from 1.42 to 1.82 Log10 CFU/g. While the quality of some offal approach that of muscle meat, the hygienic quality of red meat offal can be understood by considering the anatomical site from which it is harvested, the usual bacterial levels found at that site, the difficulty in hygienically removing the offal from the carcase, the process prior to packing, and the chilling method used.
1. Introduction
Offal is an important component of some diets and is an important contributor to gaining value from an animal at Australian export meat processing establishments. Exports of beef and sheep offal from Australia have tripled over the last twenty years, with current export volumes reaching around 200,000 tonnes per annum [1]. Offal has always been considered of lower microbiological quality than meat [2]. While some studies support this assumption [3,4], others suggest that it is possible to process offal hygienically [5,6,7]. However, most of these studies looked at a limited number of samples from relatively few offal types.
It is generally accepted that the initial microbiological quality of offal is related to hygienic practices during harvest and, to a lesser extent, the nature of the offal itself. Inadequate chilling during the initial stages of storage can also be a contributing factor to poor microbiological quality [8]. Im et al. [9] showed that the microbiological quality of offal can vary widely between slaughter establishments, possibly indicating variability in hygienic processing between establishments.
A number of countries apply microbiological criteria to raw meat products, which can be interpreted as applying to both muscle meat and all types of offal. In addition to there being little to no widely accepted justification to set microbiological criteria for raw meats [10], little is known about how differences in the nature of the offal, processing steps, or other factors may influence the microbiological profile of various products. As a major exporter of meat and meat products, it is important for Australia to demonstrate to markets the hygienic quality of products produced under the Australian Export Meat Inspection System (AEMIS). It is also important to establish expected microbiological profiles for these products, as these data are generally lacking compared to muscle meats. This paper details the findings of a nationwide survey of the hygienic quality of beef, sheep, lamb, and goat offal produced at Australian export establishments and provides an interpretation of these data by considering their origin and processing methods.
2. Materials and Methods
2.1. Sample Collection
Seventeen export establishments, distributed across five out of six Australian states, took part in the survey. Ten processed beef, five processed lamb, six processed sheep, and three processed goats (some plants processed multiple species). All establishments operated under the supervision of the Australian Department of Agriculture, Fisheries, and Forestry (current name) and similar sample collection arrangements were made to those employed in previous studies [11,12]. Samples were collected between August 2018 and June 2019, with most samples collected in 2018. Generally, samples were collected on a weekly basis or when required offal types were processed. Sampling was carried out after refrigeration by establishment personnel from both frozen and chilled product, depending on how the offal type was processed at the establishment. A minimum 50 g sample was collected from the surface of frozen product in cartons. For chilled product, an individual piece of offal weighing at least 50 g was collected. All samples were individually bagged, labelled, and transported refrigerated (≤7 °C) by a commercial courier to a laboratory accredited to the ISO 17025-2005 standard [13] by the National Association of Testing Authorities, Australia. Analysis of samples commenced no later than the day following sample collection. Frozen samples that thawed during transport were not re-frozen. Offal types included in the survey were selected based on Australian export statistics and varied between species.
2.2. Indicator Bacteria
Samples (n = 1756, Table 1) were analysed for aerobic plate count (APC), Escherichia coli, and coliforms following the procedure detailed in AOAC 990.12 [14], AOAC 998.08 [15], and AOAC 991.14 [16], respectively. Briefly, a 25 g sample was homogenised in nine times its weight of peptone salt solution (PSS, ISO 6887-1:1999 [17]). Serial dilutions in PSS were prepared to ensure that a count was obtained for every sample where possible. Samples were plated onto appropriate PetrifilmTM plates and incubated for 24 to 48 h at 35 ± 1 °C. Colonies were enumerated according to the AOAC procedure.
Table 1.
Number of offal samples analysed for each species.
2.3. Data Analysis
For the purpose of analysis, unless otherwise stated, count data below the limit of detection (LOD) of the analytical method were assigned a value of ½ the LOD. During analysis of E. coli and coliform prevalence, no account was made for the sensitivity of the analytical test or of the effect of sample size on the likelihood of detection. Standard deviations were calculated using the STDEV function in Microsoft® Excel® (version 2208, Microsoft Corporation, Redmond WA, USA). Data were visualised in R [18] and statistical analysis (ANOVA and chi-squared test) was carried out in R or Minitab14 (Minitab Inc., State College, PA, USA) at a significance level of 0.05.
3. Results
Indicator bacteria were enumerated in 16 offal types collected from four species (lamb and sheep being considered separate ‘species’, segregated according to age by examining dentition): beef (n = 975), sheep (n = 160), lamb (n = 486), and goat (n = 135) processed at 17 Australian export establishments (Table 1). Sample numbers for each offal type and for each species were based on average export volumes.
A difference in the microbiological quality of offal due to source species can be estimated by examining the average prevalence and concentration of bacterial types across all offal collected. The average log10 APC on beef, sheep, lamb, and goat offal of 3.25, 3.38, 3.70, and 2.97 log10 CFU/g, respectively (Table 2). The log10 APC on offal from goats was significantly lower than that of offal from other species, while the log10 APC on lamb offal was significantly higher. Prevalence data obtained for faecal indicator bacteria (Table 2) revealed a higher prevalence of E. coli in goat offal with a significantly lower prevalence in beef and lamb offal. There was a lower prevalence of coliforms on beef offal compared to offal from other species (lamb and sheep data combined).
Table 2.
Prevalence and level of indicator bacteria quantified on beef, sheep, lamb, and goat offal samples. Prevalence values in columns for each indicator with the same letter are not significantly different. Data presented are for both chilled and frozen samples combined.
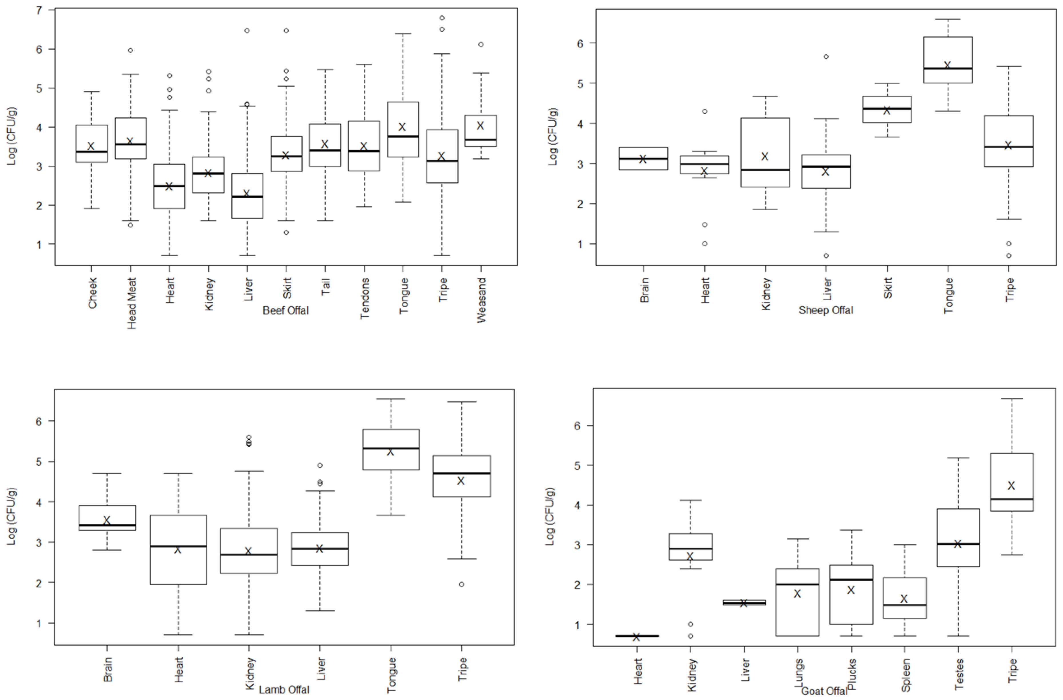
The average log10 APC varied between offal type within species (Figure 1), with some types having significantly different average log10 APC values (Table 3), though the mean counts of all the offal were similar for each species (beef 3.28 log10 CFU/g, sheep 3.42 log10 CFU/g, lamb 3.37 log10 CFU/g, and goat 3.34 log10 CFU/g). E. coli prevalence can vary considerably between offal types, although concentrations were low and not dissimilar (Table 4). Since coliform prevalence and concentration followed the same pattern as E. coli (Table 2), these results have not been further analysed.
Figure 1.
Box plots of the log10 APC on offal from beef, sheep, lamb, and goat (both chilled and frozen). The box encompasses data between the 25th and 75th percentile, with the mean indicated by ‘X’ and median by ‘− ’. The statistically expected values are indicated by the whiskers above and below the box, and outlier values by ‘o’. For some sheep and goat offal types, only a small number of samples were analysed and omitted from this figure.
Table 3.
Microbiological loads for different offal types. Log10 APCs with the same letter in the same column are not significantly different (p < 0.05). Some sheep and goat offal types were combined under the heading ‘Other’ (brain, heart, skirt, and tongue for sheep and heart, liver, and spleen for goat). Lung and pluck data for goat were combined as ‘pluck’.
Table 4.
Faecal indicators (average log10 E. coli prevalence and count) for different offal types. For some sheep and goat offal types, only a small number of samples was analysed and combined under the heading ‘Other’ (brain, heart, skirt, and tongue for sheep and heart, liver, and spleen for goat). Lung and pluck data for goat were combined under the category ‘pluck’.
There was a significant (p < 0.001) difference in the log10 APC on offal samples collected chilled and those collected frozen (Table 5), with counts generally being lower on frozen samples.
Table 5.
APC on offal samples (all species combined) collected chilled or frozen. Only counts for offal types where more than 30 samples were analysed from both frozen and chilled samples.
The difference between the APC on chilled (average, 3.73 log10 CFU/g) and frozen (average, 3.26 log10 CFU/g) samples varied with offal type. Where 30 or more samples were analysed for both chilled and frozen offal, a significant (p < 0.001) reduction in log10 APC was noted (tripe, tongue kidney, and liver). The log10 APC on chilled and frozen skirt samples was not significantly different (p > 0.05).
4. Discussion
The microbiological quality of offal varied between offal type and species. While the APC and prevalence of E. coli were higher on non-organ offal, such as tongue, tripe, and tendons, than typically found on meat, the average levels of contamination on all offal were considered acceptable. The hygienic quality of red meat offal can be understood by considering the anatomical site from which they are harvested, the usual bacterial levels found at that site, the difficulty in hygienically removing the offal from the carcase, the process prior to packing, and the chilling method used. The survey conducted here presents data that can be used to benchmark other processes.
The variability in bacterial counts on different offal types is not unexpected as they are harvested from different anatomical locations in the animal and are generally processed differently [19]. Further, some offal types are more likely to be contaminated either inherently or through cross contamination with other parts of the carcase during processing. Offal derived from organs such as the heart, kidney, and liver would be expected to be almost certainly sterile at the time of harvest, becoming contaminated during processing where they may be cross-contaminated with other products, either on the viscera table or during further processing and packaging. In the current study, organ offal (kidneys, livers, and hearts) generally had lower APCs than other offal types. Based on the amount of processing, we would expect organ offal to have a similar count to meat at the completion of processing. In the 2011 Australian national meat microbiological baseline study [11], the average APC on boneless beef was 2.22 Log10 CFU/g with E. coli found in 2.1% of samples, similar to beef kidneys, livers, and hearts in the current study. Similarly, bulk packed sheep meat in the 2011 baseline study had an APC and E. coli prevalence of 2.8 Log10 CFU/g and 12.5%, respectively [12], similar to levels found on sheep/lamb kidneys, livers, and hearts in the current study. The similarity of these data between organ offal and muscle meat indicates that they are harvested with a similar degree of attention to maintaining their hygienic quality.
Non-organ offal, such as tripe and tongue, may have intrinsically higher microbiological counts due to their function/location in the animal. Tripe can be processed in several ways [19], resulting in a large variation in microbiological quality of the final product. For example, while honeycomb tripe is often scalded with hot water prior to cooling, mountain chain tripe is not. While no attempt was made to identify the type of tripe sampled as part of the current study, only scalded tripe was requested. The large variation in counts of tripe may be a result of participating processors not adhering to the sampling specification, inadequate time-temperature during scalding, or cross contamination after scalding. Tongue samples in the present study had the highest APC. Rinsing, sufficient for the visual removal of saliva and other materials, may not be sufficient for the removal of bacteria, particularly given the inherent roughness of the tongue which may protect bacteria from being rinsed off the surface.
Other offal, such as head meat and cheek meat, can be heavily contaminated prior to and during processing as the mouths of animals can contain large numbers of bacteria [20,21]. The head is commonly washed and flushed, causing the spread of bacteria from the mouth. The success of the rinsing process is judged by the visual removal of saliva and other material, not a microbiological specification.
While there was a significant difference in the APC on frozen and chilled samples in the current study, the magnitude of the overall difference was considered not biologically significant. Similar results were observed for E. coli, in chilled and frozen samples, which contrasts with published data suggesting that freezing can result in decreases in E. coli numbers ranging between 0.5 and 0.9 log units compared to chilling alone [8], though the loss in viability may depend on the rate of freezing [22]. The magnitude of the observed reduction during freezing in the current study varied between offal type.
It has been suggested that the inadequate control of cooling can lead to poor microbiological quality of offal [2,20]. Sheridan and Lynch [23] observed significant bacterial growth on beef hearts, livers, and kidneys after overnight refrigeration. While no pre-cooling samples were examined in the current study, final counts on organ offal were similar to those reported on meat, suggesting that cooling, at least for these offal types, is adequately controlled at these processing establishments. The refrigeration of offal for export from Australia, such as muscle meat, is required to comply with the Refrigeration Index criteria, designed to ensure adequate refrigeration [24].
There may be significant differences in processing methods for offal between establishments, such as different methods of transferring single and/or multiple offal from one part of the establishment to another for further processing and packing. Offal can be stored in tubs, dolleys, trays, or buckets before being physically transferred to another room or dropped via a designated chute. Physical inspection, including incision and palpation, which is a regulatory requirement, has been shown to contribute to transferring bacteria from one offal product to another [25]. The transfer of bacteria can occur from contact with viscera while sorting offal on the viscera table, and cross-contamination during washing or rinsing processes. Delmore [20] identified product transfer chutes, holding times before refrigeration, equipment sanitation, packing, and refrigeration as areas where potential improvements in microbiological quality can be made.
The microbiological quality of offal has previously been considered to have a lower standard than muscle meat, although there are few comprehensive studies on the subject. The APC on six beef offal types prior to chilling at two New Zealand plants was reported to be in the range of 3.3 Log10 CFU/g (kidneys) to 4.2 Log10 CFU/g (tripe), with an E. coli prevalence ranging from 30% (kidneys) to 100% (tripe) [26]. Delmore et al. [20] examined 17 offal types in the United States of America finding APC in the range of 3.0–5.2 Log10 CFU/g. Im et al. [9] reported average APCs on beef offal processed in Korea ranging from 4.02 Log10 CFU/g on hearts to 5.55 Log10 CFU/g on tripe. An Australian study conducted across a smaller number of processors but a wider range of offals [27] produced data similar to this study, indicating a lack of selection bias. The microbiological quality of offal reported in this study compares very favourably with results from previously published studies for carcases and cuts of meat. However, laboratory methods used in each study differed and therefore comparisons are not easily made. In general, organ offal are processed separately from non-organ offal, which helps to reduce the level of contamination on these offal types.
This study has set a contemporary baseline for the hygienic quality of offal processed in Australian export establishments and proposed a rationale for the levels of contamination observed. While the quality of some offal approach that of muscle meat, the location of the offal in the animal and the processing steps involved affect the observed hygienic quality. Further attention to hygiene may not result in an improved safety outcome considering most offal are cooked prior to consumption; offal which are consumed raw or undercooked are high risk even for the general population [28].
Author Contributions
Conceptualization, I.J. and L.H.; methodology, I.J. and P.V.; software, P.V. and P.H.; validation, P.V. and P.H.; formal analysis, P.V.; investigation, P.H.; resources, P.H.; data curation, P.V. and P.H.; writing—original draft preparation, I.J., L.H., P.V. and P.H.; writing—review and editing, I.J., L.H., P.V. and P.H.; visualization, P.V.; supervision, I.J. and L.H.; project administration, L.H.; funding acquisition, I.J. and L.H. All authors have read and agreed to the published version of the manuscript.
Funding
This research was funded by Meat & Livestock Australia, grant number V.MFS.0430. Meat & Livestock Australia acknowledges the matching funds provided by the Australian Government and contributions from the Australian Meat Processor Corporation to support the research detailed in this publication. The authors declare that this study received funding from Meat & Livestock Australia and the Australian Government. The Meat & Livestock Australia staff contributions as authors were funded.
Data Availability Statement
The data presented in this study are available on request from the corresponding author. The data are not publicly available due to privacy obligations to the participating processing establishments.
Acknowledgments
The authors wish to thank the staff of processing establishments for collection of the required samples, and Joe Liu who coordinated sample submission and the testing process. The authors also wish to thank the industry training organisation (National Meat Industry Training Advisory Council Limited (MINTRAC)), quality assurance staff, and meat inspectors who provided insights into industry practices and the effect that these could have on the observed results.
Conflicts of Interest
Author Paul Vanderlinde was employed by the company Vanderlinde Consulting. Author Peter Horchner was employed by the company Symbio Laboratories. Authors Ian Jenson and Long Huynh were employed by Meat & Livestock Australia.
References
- Department of Agriculture Water and the Environment. Red Meat Export Statistics. 2020. Available online: https://www.agriculture.gov.au/export/controlled-goods/meat/statistics (accessed on 15 September 2021).
- Gill, C.O.; Jones, S.D.M. Evaluation of a commercial process for collection and cooling of beef offals by a temperature function integration technique. Int. J. Food Microbiol. 1992, 15, 131–143. [Google Scholar] [CrossRef]
- Gill, C.O.; Jeremiah, L.E. The storage life of non-muscle offals packaged under vacuum or carbon dioxide. Food Microbiol. 1991, 8, 339–353. [Google Scholar] [CrossRef]
- Abd-El-Malek, A.M.; El-Khateib, T. Microbiological evaluation of some edible bovine by-products. Int. J. Curr. Microbiol. App. Sci. 2018, 7, 3449–3458. [Google Scholar] [CrossRef]
- Khalil, A.; Mousa, M.; El-Bahy, E. Sanitary condition of some raw edible beef offal. Alexandria J. Vet. Sci. 2018, 59, 165–172. [Google Scholar] [CrossRef]
- Cohen, N.; Ennaji, H.; Hassar, M.; Karib, H. The bacterial quality of red meat and offal in Casablanca (Morocco). Mol. Nutr. Food Res. 2006, 50, 557–562. [Google Scholar] [CrossRef] [PubMed]
- Rivas, T.; Herrera, A.; Yanguela, J. Microbial and organoleptic qualities of lamb liver during storage at 0 or 3 °C. J. Food Protect. 1992, 55, 874–879. [Google Scholar] [CrossRef] [PubMed]
- Gill, C.O.; Harrison, J.C.L. Evaluation of the hygienic efficiency of offal cooling procedures. Food Microbiol. 1985, 2, 63–69. [Google Scholar] [CrossRef]
- Im, M.C.; Seo, K.W.; Bae, D.H.; Lee, Y.J. Bacterial quality and prevalence of foodborne pathogens in edible offal from slaughterhouses in Korea. J. Food Protect. 2016, 79, 163–168. [Google Scholar] [CrossRef] [PubMed]
- Codex Alimentarius Commission. Principles and Guidelines for the Establishment and Application of Microbiological Criteria Related to Foods. Guideline CAC/GL 21-1997. 2013. Available online: https://www.fao.org/fao-who-codexalimentarius/sh-proxy/en/?lnk=1&url=https%253A%252F%252Fworkspace.fao.org%252Fsites%252Fcodex%252FStandards%252FCXG%2B21-1997%252FCXG_021e.pdf (accessed on 15 September 2021).
- Phillips, D.; Bridger, K.; Jenson, I.; Sumner, J. An Australian national survey of the microbiological quality of frozen boneless beef and beef primal cuts. J. Food Protect. 2012, 75, 1862–1866. [Google Scholar] [CrossRef] [PubMed]
- Phillips, D.; Tholath, S.; Jenson, I.; Sumner, J. Microbiological quality of Australian sheep meat in 2011. Food Control 2013, 31, 291–294. [Google Scholar] [CrossRef]
- ISO/IEC 17025:2005; General Requirements for the Competence of Testing and Calibration Laboratories. International Standards Organization: Geneva, Switzerland, 2005.
- Official Method 990.12, Aerobic Plate Count in Foods. Dry Rehydratable Film Method; Official Methods of Analysis of AOAC International; AOAC: Rockville, MD, USA, 2016.
- Official Method 998.08. Confirmed Escherichia coli Counts in Poultry, Meats, and Seafood. Dry Rehydratable Film Method; Official Methods of Analysis of AOAC International; AOAC: Rockville, MD, USA, 2002.
- Official Method 991.14, Coliform and Escherichia coli Counts in Foods. Dry Rehydratable Film Method; Official Methods of Analysis of AOAC International; AOAC: Rockville, MD, USA, 2002.
- ISO 6887-1:1999; Microbiology of Food and Animal Feeding Stuffs—Preparation of Test Samples, Initial Suspension and Decimal Dilutions for Microbiological Examination—Part 1: General Rules for the Preparation of the Initial Suspension and Decimal Dilutions. International Standards Organization: Geneva, Switzerland, 1999.
- R Core Team. R 3.5.0: A Language and Environment for Statistical Computing; R Foundation for Statistical Computing: Vienna, Austria, 2018. [Google Scholar]
- Spooncer, W.F.; Caballero, B. “Offal—Types of offal”. In Encyclopedia of Food Science and Nutrition, 2nd ed.; Caballero, B., Trugo, L.C., Finglas, P.M., Eds.; Academic Press: Oxford, UK, 2003; pp. 442–455. [Google Scholar]
- Delmore, R.J.; Sofos, J.N.; Belk, K.E.; Lloyd, W.R.; Bellinger, G.L.; Schmidt, G.R.; Smith, G.C. Good manufacturing practices for improving the microbiological quality of beef variety meats. Dairy Food Environ. Sanit. 1999, 19, 742–752. [Google Scholar]
- Yang, X. Microbial ecology of beef carcasses and beef products. In Quantitative Microbiology in Food Processing; Wiley: Hoboken, NJ, USA, 2017; pp. 442–462. [Google Scholar]
- Dykes, G.A. Laboratory-based simulation of freezing profiles of beef trim for Escherichia coli O157 survival determinations. J. Microbiol. Methods 2006, 64, 266–274. [Google Scholar] [CrossRef] [PubMed]
- Sheridan, J.J.; Lynch, B. The influence of processing and refrigeration on the bacterial numbers on beef and sheep offals. Meat Sci. 1988, 24, 143–150. [Google Scholar] [CrossRef]
- Department of Agriculture Water and the Environment. Guideline for the Application of the Refrigeration Index to Refrigeration of Meat and Meat Products. 20-06. Meat Notice. 2020. Available online: https://www.agriculture.gov.au/export/controlled-goods/meat/elmer-3/notices/2020 (accessed on 15 September 2021).
- Pointon, A.; Hamilton, D.; Kiermeier, A. Assessment of the post-mortem inspection of beef, sheep, goats and pigs in Australia: Approach and qualitative risk-based results. Food Control 2018, 90, 222–232. [Google Scholar] [CrossRef]
- Bell, R.G.; Mills, J.; Moorhead, S.M.; Haines, J.M.; Withers, K.M.; Forkert, G.D. Hygienic Status of Seven Internationally Traded Beef Offals; Meat Industry Research Institute of New Zealand: Palmerston North, New Zealand, 2000. [Google Scholar]
- Jolley, J.; Kiermeier, A.; Sumner, J. Process Monitoring for the Australian Meat Industry—A Comparative Industry Trial; Australian Meat Processor Corporation: Sydney, Australia, 2019. [Google Scholar]
- Hernandez-Jover, M.; Culley, F.; Heller, J.; Ward, M.P.; Jenson, I. Semi-quantitative food safety risk profile of the Australian red meat industry. Int. J. Food Microbiol. 2021, 353, 109294. [Google Scholar] [CrossRef] [PubMed]
Publisher’s Note: MDPI stays neutral with regard to jurisdictional claims in published maps and institutional affiliations. |
© 2022 by the authors. Licensee MDPI, Basel, Switzerland. This article is an open access article distributed under the terms and conditions of the Creative Commons Attribution (CC BY) license (https://creativecommons.org/licenses/by/4.0/).
