Abstract
Dry-cured ham (DCH) could support the growth of Staphylococcus aureus as a halotolerant bacterium, which may compromise the shelf-stability of the product according to the growth/no growth boundary models and the physicochemical parameters of commercial DCH. In the present study, the behavior of S. aureus is evaluated in sliced DCH with different water activity (aw 0.861–0.925), packaged under air, vacuum, or modified atmosphere (MAP), and stored at different temperatures (2–25 °C) for up to 1 year. The Logistic and the Weibull models were fitted to data to estimate the primary kinetic parameters for the pathogen Log10 increase and Log10 reduction, respectively. Then, polynomial models were developed as secondary models following their integration into the primary Weibull model to obtain a global model for each packaging. Growth was observed for samples with the highest aw stored at 20 and 25 °C in air-packaged DCH. For lower aw, progressive inactivation of S. aureus was observed, being faster at the lowest temperature (15 °C) for air-packaged DCH. In contrast, for vacuum and MAP-packaged DCH, a higher storage temperature resulted in faster inactivation without a significant effect of the product aw. The results of this study clearly indicate that the behavior of S. aureus is highly dependent on factors such as storage temperature, packaging conditions and product aw. The developed models provide a management tool for evaluating the risk associated with DCH and for preventing the development of S. aureus by selecting the most appropriate packaging according to aw range and storage temperature.
1. Introduction
Dry-cured ham (DCH) has traditionally been considered a safe and microbiologically shelf-stable product because of the combination of hurdles (e.g., low moisture, high salt content and the presence of curing agents) that contribute to inhibiting pathogen growth and/or even promote pathogen inactivation [1,2,3]. However, DCH with high aw has been reported to be associated particularly with commercial pre-packaged sliced products, which may compromise food safety [4]. For instance, according to the survey performed by Hereu [5], 50% of the DCH products sampled from retail showed an aw equal to or higher than 0.92.
Serra-Castelló et al. [6] reported a progressive inactivation of Listeria monocytogenes in vacuum-packaged Serrano and Iberian DCH (aw = 0.85–0.91) stored at different temperatures (4 to 25 °C). Salmonella viability also decreased on vacuum-packaged DCH stored at 1 to 25 °C [7]. However, compared with other pathogens, Staphylococcus aureus is a pathogen of concern for DCH due to its halotolerant nature, which enables it to grow over many adverse conditions, including at low aw (≥0.83) and with high salt concentrations (up to 20%) [8,9,10]. Enterotoxigenic S. aureus strains are able to produce staphylococcal enterotoxins (SEs) when the concentration exceeds 5 Log10 CFU/g, although SE production requires higher aw (i.e., 0.86) than growth [10,11,12].
The behavior of S. aureus has been quite widely studied through challenge tests under laboratory conditions in which food characteristics are mimicked [13,14,15]. However, only a few studies have evaluated the behavior of S. aureus on DCHs through challenge testing. Christieans et al. [16] observed no growth at 8 °C for any of the aw studied (0.89–0.96). Conversely, growth was found on DCH samples stored at 20 °C regardless of the aw. In another study, S. aureus growth on slices of vacuum-packaged DCH was reported at the highest temperature (25 °C); however, no SE was produced after storage for 28 days at 2 and 25 °C [1]. Márta et al. [17] detected SE in Serrano ham with low aw and high salt and fat levels after 5 days when stored aerobically at 23 °C. Unterman and Müller [18] showed that in minced DCH with aw of 0.89, enterotoxin was produced when it was stored at 35 °C for 7 days. These studies tested specific experimental conditions, but none of them were designed to simultaneously cover a wide range of aw, storage temperature (from refrigeration to room temperature) and atmosphere compositions (such as air, vacuum and modified atmosphere packaging (MAP) with CO2) usually found in commercial DCH. Accordingly, additional studies are needed to be able to draw conclusions regarding the conditions that pose a risk. In this respect, the development and application of predictive models, if available, represent a valuable complementary approach to challenge testing to quantitatively characterize the behavior of pathogens in food [19], to identify either the growth/no growth boundaries, or the growth or the inactivation (survival) kinetics throughout storage [20], which are used to assess the impact of relevant intrinsic and extrinsic factors taking into account the DCH variability [21,22,23].
The overall aim of the present study was to evaluate the behavior of S. aureus in Spanish dry-cured ham considering intrinsic (aw and pH) and extrinsic factors (storage temperature and packaging conditions) through predictive modeling and challenge testing approaches. First, the physicochemical characteristics of pre-packaged sliced DCH were used as inputs of selected growth/no-growth (G/NG) models to assess the growth probability of S. aureus at different temperatures (Study 1). Afterwards, the growth of S. aureus was evaluated through challenge testing in DCH slices packaged using different packaging methods (air, vacuum and MAP) and stored at different temperatures (2 to 25 °C) with the subsequent development of three predictive models (Study 2).
2. Materials and Methods
2.1. Dry-Cured Ham (DCH) Samples
For Study 1, a total of 20 pH and aw historical data provided by a food producer of Spanish DCH, corresponding to different batches and representative of their products, were used. Data representing the physicochemical characteristics of the sliced product (before the final packaging) was used.
For Study 2, blocks of deboned DCH (pH 5.80 ± 0.06) showing three different levels of aw—low, medium and high—were provided by the same food producer and were selected to cover the range of aw variability usually found (ca. 0.860, 0.901, 0.925, respectively). To equalize the value of aw throughout the matrix, DCH blocks were vacuum packaged and stored at 4 °C for 15 days. In this way, the differences in aw value within different sections of a DCH block were lower than 0.028.
Figure S1 shows a graphical summary of the experimental design of Study 1 and Study 2.
2.2. Challenge Test
2.2.1. Inoculum Preparation
A cocktail of three strains of S. aureus was used: CECT976 (SEA producer) and CECT4466 (SED producer), from the Spanish Type Culture Collection, and CTC1008, as a meat isolate from the IRTA culture collection. Each strain was independently grown in Brain Heart Infusion (BHI) broth (Becton Dickinson, Sparks, MD, USA) at 37 °C for 24 h. The cultures were cryopreserved at −80 °C with 20% glycerol until use. Thawed cultures of each strain were mixed at equal concentrations before being inoculated on DCH.
2.2.2. DCH Inoculation
DCH was aseptically sliced (ca. 20 g/slice) and inoculated in a laminar flow cabinet. The cocktail of the S. aureus strains was inoculated on the surface of DCH slices at 0.5% (v/w) to reach a different final concentration, i.e., from 5 × 102 (to characterize growth) to 2.5 × 106 CFU/g (to characterize inactivation). For air- and vacuum-packaged samples, the inoculum was spread on the surface with a single-use Digralsky spreader. The DCH was packaged in PA/PE bags (oxygen permeability of 50 cm3/m2/24 h and a low water vapor permeability of 2.8 g/m2/24 h; Sistemvac, Estudi Graf SA, Girona, Spain) thermosealed or vacuum packaged (EV-15-2-CD; Tecnotrip, Terrassa, Spain), respectively. Meanwhile, MAP samples were inoculated after packaging (80% N2 and 20% CO2) with a sterile syringe through a septum to avoid gas leakage.
2.2.3. DCH Storage and Sampling
DCH samples were stored at different temperatures depending on the packaging type: air-packaged samples were kept at 15, 20 and 25 °C; vacuum-packaged samples at 2, 8, 15, 20 and 25 °C; and MAP samples at 2, 8, 15 and 25 °C. Storage time ranged from 1 month for the DCH with the highest aw at the highest temperature up to 1 year for the DCH with the lowest aw at the lower temperature. Sampling points were distributed throughout the storage time. A total of 36 experimental conditions combining aw, packaging format and storage temperature were assayed (resulting in 615 data points).
2.3. Microbiological and Physicochemical Determinations
For microbiological analysis, 10 g of sample were transferred into a bag blender Smasher® (bioMérieux, Marcy-l’Étoile, France) and 10-fold diluted and homogenized in physiological saline (0.85% NaCl and 0.1 % Bacto Peptone (Becton Dickinson, Sparks, MD, USA)) for 60 s with a SmasherTM device (bioMérieux Espãna S.A, Madrid, Spain). Serial decimal dilutions were prepared in physiological saline. Enumeration of S. aureus was performed on selective and differential chromogenic agar (CHROMagar Staphylococcus, CHROMagar, Paris, France) incubated at 37 °C for 48 h. LAB levels were determined in Man–Rogosa–Sharpe (MRS) agar (Merck, Darmstadt, Germany), incubated at 30 °C for 72 h anaerobically in sealed jars with an AnaeroGen sachet (Oxoid Ltd.)
The aw was measured with an AquaLabTM instrument (Series 3; Decagon Devices Inc., Pullman, WA, USA). The pH was measured with a penetration probe (52-32; Crison Instrument SA, Alella, Spain) connected to a portable pH meter (PH25; Crison Instruments). The detection of SEs was determined according to ISO 19020 [24] by automated immunofluorescence.
The gas concentration of MAP-packaged samples was measured with the gas analyzer PBI Dansensor CheckMate II (Ametek Instrumentos, S.L.U., Barcelona).
2.4. Predictive Microbiology Approaches
2.4.1. Growth/No Growth Prediction
For Study 1, predictive models about G/NG boundaries for S. aureus were used to identify the pH and aw combinations defining the 10% probability (as a moderately conservative threshold) and predict the growth probability of S. aureus associated with the physicochemical characteristics of commercial DCH (Section 2.1). The main features of the selected predictive models used are summarized in Table S1. The G/NG model of Borneman et al. [25] is a logistic regression-based polynomial that determines the probability of S. aureus growth on vacuum-packaged RTE meat products at 21 °C with pH and aw as input factors. Polese et al. [14] used a gamma-concept model with pH, aw and temperature as input factors, and the model was tested for a variety of foods stored between 2 to 30 °C. Finally, the model available in the Sym’Previus [26] portal predicts the G/NG interface for S. aureus depending on aw, pH and temperature using a gamma-concept approach and the mean cardinal parameters for the growth of eight S. aureus strains.
2.4.2. Primary Model Fitting
For Study 2, challenge test data were used to estimate kinetic parameters of growth or inactivation by fitting a primary model. For each data point, the Log10 change in the concentration in relation to the initial inoculum concentration (e.g., Log10 increase or Log10 reduction) was calculated as Log10 (N/N0), N is the concentration (CFU/g) at the sampling time and N0 is the initial concentration (CFU/g) after inoculation of DCH samples.
For conditions supporting the growth of S. aureus, the Logistic model (Equation (1)) [27] was used to estimate the growth kinetic parameters.
where N0 is the concentration of the pathogen (CFU/g) at time zero; Nt is the concentration of the pathogen (CFU/g) at time t; MGP is the maximum growth potential as the ratio Nmax/N0 (Nmax is the maximum population density, CFU/g); λ is the lag time (h); μmax is the maximum specific growth rate (ln/h); and t is the storage time (h).
For conditions causing the inactivation of S. aureus, the Weibull model (Equation (2)) [6] was used to estimate the inactivation kinetic parameters.
where Log10 (N/N0) is the inactivation in Log10 reduction (Log10 units) at a given time (t) of the storage, being equal to 0 at storage time 0; t is the storage time (h); δ is the time (h) for the first Log10 reduction and p is the shape of the inactivation curve.
Model fitting was performed with the nls2 package of R software [28]. In addition to the standard error of the estimates, to evaluate the goodness of fit, the Root Mean Square Error (RMSE) values were calculated.
2.4.3. Secondary and Global Model Fitting
To evaluate the effect of storage temperature and DCH’s aw on the inactivation kinetics parameters (δ, p), a secondary model was developed based on a second-order polynomial equation (Equation (3)) for each packaging condition.
where y is the dependent variable, i.e., the primary kinetic parameter (e.g., δ), X is the independent variable, i.e., the environmental factor (e.g., temperature), and a, b and c are the model coefficients to be estimated.
y = a + b·X + c·X2
Different parameter transformations (including square root and Log10) were assessed. The stepwise linear regression was applied throughout the step function of the R software [28] to obtain the polynomial models with only significant parameters according to the parsimony principle. In addition to the standard error of the estimates, the goodness of fit was assessed in terms of RMSE and the adjusted coefficient of determination (R2adj).
In addition to the classical two-step modeling (primary and secondary model fitting), the one-step modeling approach was applied by integrating the secondary polynomial model for δ into the primary Weibull model. The global model was fitted to the whole dataset to obtain a global model with re-adjusted coefficients for each type of packaging [29,30]. Estimation of the model parameters with the standard error was carried out using nls2 package of R software [28]. The goodness of fit of the global model was assessed on the basis of RMSE. The F-test (Equation (4)) was used to evaluate the statistical differences (p < 0.05) between the models developed to characterize the behavior of S. aureus in air, vacuum, and MAP conditions [31].
where RSSNH and dfNH are the Residual Sum of Squares and the degrees of freedom (number of points minus the number of parameters of the model), respectively, of the global model common to all types of packages (null hypothesis), and RSSAH and dfAH are the Residual Sum of Squares and the number of degrees of freedom, respectively, of the global model with specific parameter coefficients for each type of package (alternative hypothesis).
Moreover, due to the statistical correlation between δ and p parameters [32], the F-test was applied to test the statistical significance of the effect of storage temperature and the DCH’s aw on the shape of the inactivation curve of S. aureus. The global model with a fixed p value independent of environmental conditions (null hypothesis) was compared with the global model with a polynomial model describing the effect of environmental conditions on the p parameter (alternative hypothesis).
2.4.4. Model Validation
In order to evaluate the predictive performance of the developed model, the Acceptable Simulated Zone (ASZ) was applied [33]. Independent data were obtained from three published articles dealing with the behavior of S. aureus in dry-cured ham, with a total of 80 sampling points: 7 for air-packaged DCH, 24 for vacuum-packaged DCH, and 49 for MAP-packaged DCH. Log10 count data over time were extracted from published scientific literature using WebPlotDigitizer v.4.4 software. The observed and predicted Log10 reduction data during the storage time were compared. The predictive performance of the model was considered acceptable when at least 70% of the independent data were inside the ASZ ± 0.5 Log10.
3. Results
3.1. Characteristics of Commercial DCH and the Associated Probability of S. aureus Growth (Study 1)
The distribution of physicochemical characteristics (aw and pH) of commercial vacuum-packaged DCH is shown in Figure 1, with the prediction of the growth boundaries according to the predictive models available for S. aureus. Despite a 50% probability of growth being frequently used to assess the G/NG boundary, in the present study, a growth probability of 10% was used as a conservative reference boundary. Although the variability of the pH was rather limited (within 5.5. to 6.0), the values of aw were scattered within a range from 0.85 to 0.92, with a considerable proportion (82%) of samples at above 0.88, the minimum aw for growth reported for anaerobic conditions when the other factors (pH and temperature) were optimal for growth [34]. In fact, according to the models of Borneman et al. [25] and Polese et al. [14], for all the observed DCH characteristics, a growth probability higher than 10% was predicted at temperatures above 15 °C, while only 15% of samples would not support growth (probability below 10%) at these temperatures according to the model of the Sym’Previus portal [26]. Only when storage temperature decreased to below 8 °C for Polese et al. model [14] and to below 5 °C for Sym’Previus model [26] did the growth probability fall below 10% for almost all samples, indicating that refrigeration storage would be needed to control the growth of S. aureus in DCH during the shelf life.
Figure 1.
Distribution of pH and aw values of commercial dry-cured ham (DCH, diamond dots) and pH–aw boundaries for the growth probability of 10% for S. aureus at different temperatures according to the predictive models (lines) available in Borneman et al. [25] (A), Polese et al. [14] (B) and the Sym’Previus portal [26] (C).
However, these predictive models were not specifically developed for DCH, and do not take into consideration the effect of relevant factors related to the specific characteristics of the product (i.e., lactic acid concentration, lactic acid bacteria) and packaging (e.g., oxygen reduction of vacuum packaging and CO2 concentration of MAP), which may contribute to further inhibiting the growth of S. aureus. Therefore, product-specific studies were required.
3.2. Behavior of S. aureus on Sliced DCH Stored under Different Conditions (Challenge Test Experiment, Study 2)
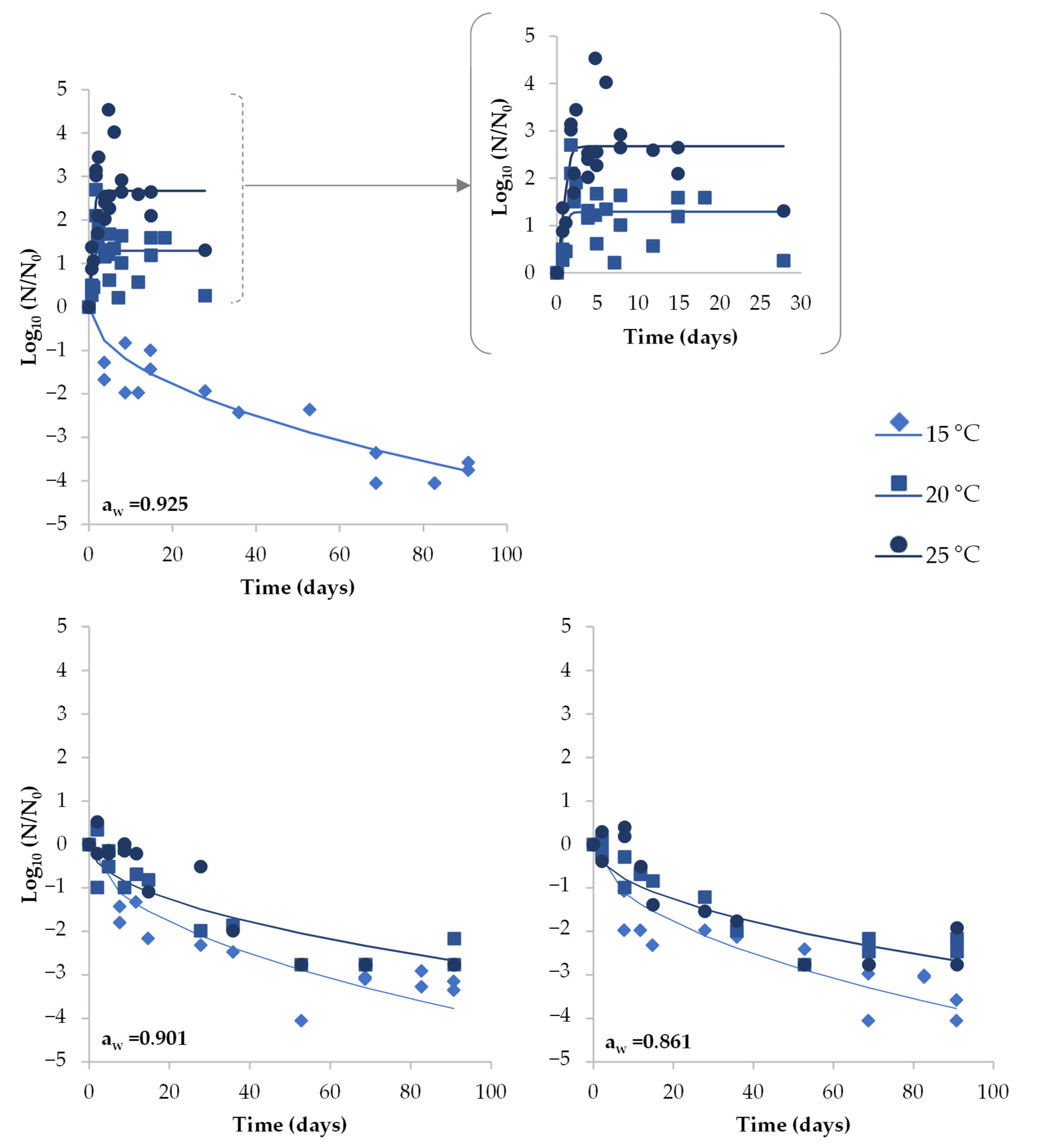
Growth of S. aureus was observed in three out of the 36 trials, which corresponded to those where DCH had the highest aw (0.925) stored in air at temperatures ≥20 °C and under vacuum at 25 °C (Figure 2 and Figure 3). The growth kinetic parameters estimated for each trial are shown in Table 1, including the growth rate (μmax) and the maximum growth potential (MGP). No lag time was observed. In air-packaged DCH, S. aureus increased by up to 2.7 and 4.54 Log10 units after 1.7 and 4.7 days of storage at 20 and 25 °C, respectively. At 25 °C, the growth rate was slightly higher compared to the growth at 20 °C. However, due to the high variability in Log10 increase data (especially at 20 °C), growth rates were not statistically different. Under vacuum, a slight increase in S. aureus (1.62 Log10 units in 22 days) was observed during the early stages of storage at 25 °C in the DCH with the highest aw. Afterwards, the pathogen started to die off, and growth kinetic parameters could not be estimated.
Figure 2.
Behavior of S. aureus in sliced DCH with different aw (0.861, 0.901 and 0.925) when air packaged and stored at different temperatures (15, 20 and 25 °C). Dots represent the observed S. aureus values (Log10 N/N0). Lines show the fit of the global model.
Figure 3.
Behavior of S. aureus in DCH sliced with different aw (0.861, 0.901 and 0.925) when vacuum packaged and stored under different storage temperatures (2, 8, 15, 20 and 25 °C). Dots represent the observed S. aureus values (Log10 N/N0). Lines show the fit of the global model.
Table 1.
Estimated kinetic parameters (for the inactivation or growth) resulting from fitting the primary models to data obtained for each challenge test of S. aureus on DCH with different aw contents and types of packaging when stored at various storage temperatures.
Under the rest of assessed conditions, inactivation of S. aureus was observed, and the kinetic parameters estimated with the Weibull model fit, i.e., the time for the first Log10 reduction (δ) and the shape of the inactivation curve (p) were obtained (Table 1).
In air-packaged DCH with medium aw (0.902) and low aw (0.861), S. aureus concentration had decreased by 2.5 Log10 units after 91 days at 20 and 25 °C, while higher inactivation occurred at 15 °C, with reductions of 3.66, 3.25 and 3.81 Log10 in DCH with high, medium and low aw after 91 days, respectively (Figure 2). Higher δ values were found with increasing storage temperature (Table 1), although the kinetic curve at 20 °C was very similar to that at 25 °C (Figure 2). Conversely, similar δ values were observed for DCH with different aw values for each storage temperature. Regarding the shape of the inactivation curve, the fit of the Weibull model resulted in p values below 1 for all the studied conditions, regardless of the storage temperature and DCH aw, indicating a more pronounced inactivation of S. aureus at the early stages of the storage followed by a sort of a resistance tail showing a slower inactivation.
Under vacuum conditions, the progressive inactivation of S. aureus after a slight increase during the first 22 days in DCH with the highest aw stored at 25 °C resulted in an overall 4.05 Log10 reduction after 91 days. For the rest of the temperatures studied, S. aureus was unable to grow at all (Figure 3). Instead, a progressive reduction was observed, which was dependent on the storage temperature but not on the product aw. Contrary to air-packaged DCH, for vacuum-packaged the time for the first Log10 reduction (δ value) decreased as the temperature increased from 2 to 25 °C (Table 1).
Storage under MAP promoted the loss of viability of S. aureus in all combinations of aw and temperature tested from the beginning of the storage. As in other packaging types, the aw of DCH had no relevant effect on inactivation (Figure 4), with similar δ values for DCH with different aw for each storage temperature. The extent of the inactivation in MAP tended to be lower than under vacuum-packaged conditions. Moreover, at the lowest temperature (2 °C), no microbiologically relevant inactivation (less than 1 Log10) occurred in DCH with medium and high aw during the 365 days of storage, making the estimates of δ values higher than the studied storage time.
Figure 4.
Behavior of S. aureus in sliced DCH with different aw (0.861, 0.901 and 0.925) when MAP packaged and stored under different storage temperatures (2, 8, 15 and 25 °C). Symbols represent the observed S. aureus inactivation (Log10 N/N0). Lines show the fit of the global model.
3.3. Physicochemical Determinations and Lactic Acid Bacteria Counts
The physicochemical characteristics were measured throughout the study. As all DCH samples were packaged with impermeable bags, values of aw of DCH did not change during the storage at any temperature. The values of pH changed slightly depending on the packaging type and temperature or the aw values (Table S2). The behavior of LAB levels during the storage time depended on the aw of the DCH, the packaging type and the storage temperature (Table S3). Under air packaging, LAB was not able to grow at lower aw, irrespective of the temperature; LAB was able to grow only in the DCH with medium and high aw at all three temperatures tested, with a slight pH reduction (i.e., a 4.39 Log10 increase in LAB was associated with a 0.17 pH decrease in DCH with high aw stored at 25 °C). Under vacuum packaging gand MAP, a similar trend was observed. At lower temperatures, no LAB growth was observed. Additionally, at higher temperatures (>15 °C), in general, LAB was able to grow, and a reduction in pH was observed, especially at 40 days of storage.
No differences in the gas composition on MAP-packaged DCH were detected over the course of the storage time.
The potential occurrence of staphylococcus enterotoxin (SE) was analyzed in DCH samples where the S. aureus grew at the maximum concentration, which corresponded to air-packaged DCH with higher aw stored at 25 °C (6.38 and 5.87 Log10 CFU/g). No SEs were detected.
3.4. Secondary and Global Modeling
To describe the effect of storage temperature and aw on the inactivation kinetics of S. aureus through a polynomial model, different transformations of the parameters (δ and p) were assessed, and the Log10 transformation of δ values provided the best results. Table 2 gathers the coefficients of the polynomial model and Figure 5 shows the Log10 δ values as a function of temperature for the three different packaging conditions. Only the temperature, and not the aw, was found to significantly affect δ values in each packaging type. The effect of storage temperature on the time for the first Log10 reduction (δ values) in air-packaged DCH (δ decreased as temperature decreased) was the opposite of that in packaging systems without oxygen, i.e., vacuum packaging and MAP (δ decreased as temperature increased).
Table 2.
Coefficients of polynomial models describing the effect of storage temperature (T, °C) on Log10 δ.
Figure 5.
Time for the first Log10 reduction (δ value) of S. aureus in dry-cured ham (DCH) as a function of storage temperature for different packaging conditions (air, vacuum and MAP). Dots are the values estimated with the primary inactivation model (Weibull) and lines correspond the fit of the second-order polynomial model to Log10 transformed δ values.
Regarding the p parameter, no clear relationship could be established with either storage temperature or the product aw, as indicated by the lack of fit of the polynomial model, not even with the different parameter transformations. Therefore, a fixed parameter corresponding to the mean p value for all the tested temperatures for each packaging condition (air, vacuum and MAP) was assumed.
A global (one-step) model integrating the secondary model for δ values into the Weibull primary model with a fixed p value for each packaging type was fitted to Log10 reduction data. The re-adjusted parameter estimates are shown in Table 3 (see the final equation in Table S4). All were statistically significant (p < 0.05). Despite the similar trend, the global model for vacuum and MAP were significantly different according to the F-test (F = 16.61, p > 0.05); therefore, specific model coefficients for each type of packaging are needed to predict the inactivation of S. aureus during the storage of DCH.
Table 3.
Coefficients of the global (one-step) model about the effect of storage temperature (T, °C) on S. aureus inactivation in DCH, integrating the secondary polynomial model into the primary Weibull model for each packaging type.
3.5. Predictive Performance of the Model
The predictive performance of the obtained global models (Table S5) was assessed using independent data obtained from three scientific articles dealing with S. aureus behavior during the storage of DCH for each packaging condition (i.e., Christieans et al. [16]; Untermann and Müller [18] and Iacumin et al. [35]), with a total of 80 data points. Considering an Acceptable Simulation Zone (ASZ) of ±0.5 Log10 units around the model predictions, 85.7% (6/7), 75% (18/24) and 83.67% (41/49) of agreement between the observed values and the model predictions were found for air, vacuum and MAP packaging, respectively. These results indicate a good predictive performance of the developed model in the wide range of aw and temperature conditions assayed (Figure 6, Table S4).
Figure 6.
Observed Log10 reduction values (dot circles) and acceptable prediction zone −0.5 (fail—safe) to +0.5 (fail—dangerous) from different studies with respect to time (days); (a–e) data from Christieans et al. [16] in DCH with aw values of 0.888 (a), 0.890 (b), 0.905 (c), 0.921 (d), 0.925 (e); (f) data from Untermann and Müller [18]; (g–j) data from Iacumin et al. [35] stored at 4 °C (g), 10 ºC (h), 15 °C (i) and 25 °C (j).
4. Discussion
According to available predictive models, the physicochemical characteristics of most commercial DCH would support the growth of S. aureus with a probability higher than 10% when stored at >15 °C. The challenge test results confirmed the ability of S. aureus to grow on DCH, with the highest aw tested (0.925) being obtained when stored at ≥20 °C under air conditions. These results are in agreement with those reported in Untermann and Müller [18] regarding the growth of S. aureus in DCH stored aerobically at temperature ≥20 °C, with an aw of 0.918 and a pH of 5.60–6.07. However, staphylococcal enterotoxin (SE) was not detected in any of the DCH in which the maximum growth was observed (up to 105 CFU/g). Several studies have reported the production of SEs in different food matrixes when S. aureus reached 105–106 CFU/g [36,37,38], while others have reported no detection of SEs even at pathogen levels of up to 109–1010 CFU/g [39].
In DCH of medium and low aw, under storage temperatures equal to or below 15 °C or when DCH was packaged without oxygen (i.e., vacuum and MAP), the viability of the pathogen was compromised. It is known that S. aureus grows better under air conditions, as it is a poorly competitive pathogen compared with other microorganisms, in particular LAB, which usually exerts a growth-inhibitory effect on S. aureus during meat fermentation processes associated with acidification and the production of antimicrobial substances [40,41]. In general, greater S. aureus inhibition is observed with higher LAB concentration and lower pH [42]. Although DCH does not go through a fermentation process, the DCHs studied in this work (i.e., medium- and high-aw products) supported the growth of LAB, which grew faster and reached higher concentrations in DCH with oxygen-reduced packaging (i.e., vacuum packaging and, particularly, MAP) compared with air-packaged DCH. This LAB growth explains, at least partially, the small amount and lack of growth of S. aureus observed on DCH when vacuum packaged, as has been reported for raw beef [37]. Moreover, the addition of CO2 in MAP-packaged DCH may have favored the selective growth of LAB that, in addition to the antimicrobial effect of CO2, could promote the greater inactivation of S. aureus behavior.
The progressive loss of viability of microorganisms in harsh conditions occurring in shelf-stable foods such as DCH has been related to the metabolic exhaustion phenomenon associated with antimicrobial hurdles [6,43]. Due to this phenomenon, microorganisms tend to die, and their rate of death is faster when shelf-stability conditions approach the limits of growth [3], which in the present study would be the storage of DCH with the highest aw at the highest temperature when vacuum or MAP packaged. Similar behavior has been reported for L. monocytogenes in vacuum-packaged DCH (aw = 0.85–0.91) stored at different temperatures (4 to 25 °C) [6]. On the contrary, in DCH stored under air conditions, the inactivation of S. aureus at 15 °C was significantly enhanced compared to that observed at 20 and 25 °C. To the best of the authors’ knowledge, there are no previous studies dealing with the effect of temperature on the non-thermal inactivation of S. aureus in DCH that compare aerobic and anaerobic environments. However, in the study of Ha et al. [44], the inactivation of S. aureus inoculated on beef jerky (aw = 0.81) followed a similar trend during aerobic storage, and δ values at 20 and 25 °C were very similar, and were longer than that at 10 °C, confirming the higher inactivation at lower temperature. Therefore, the non-thermal inactivation seems to be affected by different mechanisms when oxygen is present compared with the anaerobic conditions occurring in vacuum and MAP. In any case, the aw of the DCH did not have a significant effect on the S. aureus behavior for any of packaging types, in contrast to the reported behavior of L. monocytogenes in DCH [6] and Salmonella in dry-fermented sausages [43]. The halotolerance of S. aureus may explain the lack of the effect of decreasing the aw of the DCH, at least within the range studied in the present study.
The modeling approach provided predictive models for the three packaging types with a satisfactory performance when assessed with independent data, which supports their suitability for predictive and simulation purposes. This fact provides a management tool for evaluating the risk associated with DCH and to prevent the development of S. aureus by selecting the most appropriate packaging according to aw range and storage temperature.
5. Conclusions
DCH can support the growth of S. aureus at the aw values found in commercial products (ca. 0.92) when stored at room temperature under aerobic conditions, although no staphylococcal enterotoxin was detected. Storage temperature ≤15 °C and reduced-oxygen packaging (i.e., vacuum packaging and, particularly, MAP) inhibits S. aureus growth and promotes its inactivation. The product aw does not affect the survival of S. aureus on DCH, while the storage temperature has contrary effects in aerobic (higher inactivation at lower storage temperature) and anaerobic packaging (higher inactivation at higher storage temperature), suggesting the involvement of different mechanisms depending on the presence of oxygen in the environment. The predictive models developed are useful tools for stakeholders (e.g., risk assessors, food business operators, competent authority, etc.) for assessing and quantifying the behavior of S. aureus on sliced DCH commercialized in different packaging types as a function of storage temperature.
Supplementary Materials
The following supporting information can be downloaded at: https://www.mdpi.com/article/10.3390/foods12112199/s1, Figure S1: Graphical scheme of the experimental design of Study 1 and Study 2. Table S1: Main features of predictive models for growth/no growth (G/NG) boundaries of S. aureus used in Study 1; Table S2: pH values of DCH with different aw content and type of packaging stored at various storage temperatures; Table S3: Lactic acid bacteria counts (Log10 CFU/g) measured in DCH with different aw content and type of packaging stored at various storage temperatures; Table S4. Main features of predictive models for growth/no growth (G/NG) boundaries of S. aureus used in Study 1. Table S5: Comparison of observed and predicted S. aureus inactivation in sliced DCH.
Author Contributions
Data curation, C.S.-C., P.G. and S.B.-C.; Formal analysis, A.A.-C. and C.S.-C.; Funding acquisition, A.J. and S.B.-C.; Investigation, A.A.-C., C.S.-C. and M.V.; Methodology, A.A.-C., P.G., A.J. and S.B.-C.; Project administration, S.B.-C.; Resources, A.A.-C.; Supervision, P.G., A.J. and S.B.-C.; Visualization, A.J.; Writing—original draft, A.A.-C. and C.S.-C.; Writing—review and editing, P.G., A.J. and S.B.-C. All authors have read and agreed to the published version of the manuscript.
Funding
Pla de doctorats industrials de la Secretaria d’Universitats i Recerca del Departament d’empresa i coneixement (2018 DI 94), the Consolidated Research Group (2021 SGR00468) and CERCA Program of the Generalitat de Catalunya.
Data Availability Statement
Data available on request.
Conflicts of Interest
The authors declare no conflict of interest.
References
- Ng, W.F.; Langlois, B.E.; Moody, W.G. Fate of Selected Pathogens in Vacuum-Packaged Dry-Cured (Country-Style) Ham Slices Stored at 2 and 25 °C. J. Food Prot. 1997, 60, 1541–1547. [Google Scholar] [CrossRef] [PubMed]
- Menéndez, R.A.; Rendueles, E.; Sanz, J.J.; Santos, J.A.; García-Fernández, M.C. Physicochemical and Microbiological Characteristics of Diverse Spanish Cured Meat Products. CYTA J. Food 2018, 16, 199–204. [Google Scholar] [CrossRef]
- Leistner, L. Basic Aspects of Food Preservation by Hurdle Technology. Int. J. Food Microbiol. 2000, 55, 181–186. [Google Scholar] [CrossRef] [PubMed]
- Chitrakar, B.; Zhang, M.; Adhikari, B. Dehydrated Foods: Are They Microbiologically Safe? Crit. Rev. Food Sci. Nutr. 2019, 59, 2734–2745. [Google Scholar] [CrossRef]
- Hereu, A. High Pressures and Biopreservation as Control Strategies for Listeria monocytogenes in Ready-to-Eat Meat Products. Inoculation Tests and Mathematical Modeling. Ph.D. Thesis, University of Girona, Girona, Spain, 2014. [Google Scholar]
- Serra-Castelló, C.; Jofré, A.; Garriga, M.; Bover-Cid, S. Modeling and Designing a Listeria monocytogenes Control Strategy for Dry- Cured Ham Taking Advantage of Water Activity and Storage Temperature. Meat Sci. 2020, 165, 108131. [Google Scholar] [CrossRef] [PubMed]
- Bover-Cid, S.; Jofré, A.; Garriga, M. Inactivation Kinetics of Salmonella and L. monocytogenes in Dry-Cured Ham Stored at Different Temperatures. In Proceedings of the 25th International ICFMH Conference—FoodMicro 2016. One Health Meets Food Microbiology, Dublin, Ireland, 19–22 July 2016; p. 472. [Google Scholar]
- FDA Bad Bug Book, Foodborne Pathogenic Microorganisms and Natural Toxins, 2nd ed.; 2012; pp. 87–91. Available online: https://www.fda.gov/files/food/published/Bad-Bug-Book-2nd-Edition-(PDF).pdf (accessed on 26 April 2023).
- Troller, J. Staphylococcal Growth and Enterotoxin Production. Factors and Control. J. Milk Food Technol. 1976, 39, 499–502. [Google Scholar] [CrossRef]
- ANSES. Staphylococcus aureus and Staphylococcal Enterotoxins. Available online: https://www.anses.fr/en/system/files/MIC2011sa0117FiEN_0.pdf (accessed on 26 April 2023).
- Busta, F.F.; Bernard, D.T.; Gravani, R.B.; Hall, P.; Pierson, M.D.; Prince, G.; Schaffner, D.W.; Swanson, K.M.J. Factors That Influence Microbial Growth. Compr. Rev. Food Sci. Food Saf. 2003, 2, 21–32. [Google Scholar] [CrossRef]
- Gunvig, A.; Andresen, M.S.; Jacobsen, T.; Borggaard, C. Staphtox Predictor—A Dynamic Mathematical Model to Predict Formation of Staphylococcus Enterotoxin during Heating and Fermentation of Meat Products. Int. J. Food Microbiol. 2018, 285, 81–91. [Google Scholar] [CrossRef]
- Jamshidi, A.; Kazerani, H.R.; Seifi, H.A.; Moghaddas, E. Growth Limits of Staphylococcus aureus as a Function of Temperature, Acetic Acid, NaCl Concentration, and Inoculum Level. Iran. J. Vet. Res. 2008, 9, 353–359. [Google Scholar] [CrossRef]
- Polese, P.; Del Torre, M.; Spaziani, M.; Stecchini, M.L. A Simplified Approach for Modelling the Bacterial Growth/No Growth Boundary. Food Microbiol. 2011, 28, 384–391. [Google Scholar] [CrossRef]
- Medveďová, A.; Havlíková, A.; Valík, Ľ. Growth of Staphylococcus aureus 2064 Described by Predictive Microbiology: From Primary to Secondary Models. Acta Chim. Slovaca 2019, 12, 175–181. [Google Scholar] [CrossRef]
- Christieans, S.; Denis, C.; Hanin, A.; Picgirard, L. Incidence of Storage Temperature and Water Activity in the Growth of Staphylococcus aureus in Sliced Dry Cured Ham Packed under Modified Atmosphere. Viandes Prod. Carnés 2018, 1–9. Available online: https://www.viandesetproduitscarnes.fr/index.php/en/hygiene2/porc-charcuterie-salaison?download=749:risque-lie-a-staphylococcus-aureus-dans-le-jambon-sec-tranche (accessed on 26 April 2023).
- Márta, D.; Wallin-Carlquist, N.; Schelin, J.; Borch, E.; Rådström, P. Extended Staphylococcal Enterotoxin D Expression in Ham Products. Food Microbiol. 2011, 28, 617–620. [Google Scholar] [CrossRef] [PubMed]
- Untermann, F.; Müller, C. Influence of aw Value and Storage Temperature on the Multiplication and Enterotoxin Formation of Staphylococci in Dry-Cured Raw Hams. Int. J. Food Microbiol. 1992, 16, 109–115. [Google Scholar] [CrossRef]
- CAC—Guidelines for the Validation of Food Safety Control Measures. CAC/GL 69. Available online: http://www.fao.org/input/download/standards/11022/CXG_069e.pdf (accessed on 26 April 2023).
- Stewart, C.M.; Cole, M.B.; Legan, J.D.; Slade, L.; Vandeven, M.H.; Schaffner, D.W. Modeling the Growth Boundary of Staphylococcus aureus for Risk Assessment Purposes. J. Food Prot. 2001, 64, 51–57. [Google Scholar] [CrossRef] [PubMed]
- Bover-Cid, S.; Garriga, M. Microbiología Predictiva: Herramienta de Soporte Para La Gestión de la Seguridad y la Calidad Alimentaria; Eurocarne: Suzhou, China, 2008; Volume 166, pp. 1–8. [Google Scholar]
- Bonilauri, P.; Grisenti, M.S.; Daminelli, P.; Merialdi, G.; Ramini, M.; Bardasi, L.; Taddei, R.; Cosciani-Cunico, E.; Dalzini, E.; Frustoli, M.A.; et al. Reduction of Salmonella spp. Populations in Italian Salami during Production Process and High Pressure Processing Treatment: Validation of Processes to Export to the U.S. Meat Sci. 2019, 157, 107869. [Google Scholar] [CrossRef]
- Bover-Cid, S.; Serra-Castelló, C.; Dalgaard, P.; Garriga, M.; Jofré, A. New Insights on Listeria monocytogenes Growth in Pressurised Cooked Ham: A Piezo-Stimulation Effect Enhanced by Organic Acids during Storage. Int. J. Food Microbiol. 2019, 290, 150–158. [Google Scholar] [CrossRef]
- ISO 19020; Microbiology of the Food Chain—Horizontal Method for the Immunoenzymatic Detection of Staphylococcal Enterotoxins in Foodstuffs. International Organization for Standardization: Geneva, Switzerland, 2017; 22p.
- Borneman, D.L.; Ingham, S.C.; Ane, C. Predicting Growth-No Growth of Staphylococcus aureus on Vacuum-Packaged Ready-to-Eat Meats. J. Food Prot. 2009, 72, 539–548. [Google Scholar] [CrossRef]
- Leporq, B.; Membré, J.-M.; Dervin, C.; Buche, P.; Guyonnet, J.P. The “Sym’Previus” Software, a Tool to Support Decisions to the Foodstuff Safety. Int. J. Food Microbiol. 2005, 100, 231–237. [Google Scholar] [CrossRef]
- Rosso, L.; Bajard, S.; Flandrois, J.P.; Lahellec, C.; Fournaud, J.; Veit, P. Differential Growth of Listeria monocytogenes at 4 and 8 °C: Consequences for the Shelf Life of Chilled Products. J. Food Prot. 1996, 59, 944–949. [Google Scholar] [CrossRef]
- Core Team, R. R: A Language and Environment for Statistical Computing. Available online: https://www.r-project.org/ (accessed on 26 April 2023).
- Jewell, K. Comparison of 1-Step and 2-Step Methods of Fitting Microbiological Models. Int. J. Food Microbiol. 2012, 160, 145–161. [Google Scholar] [CrossRef]
- Martino, K.; Marks, B. Comparing Uncertaintly Resulting from Two-Step and Global Regression Procedures Applied to Microbial Growth Models. J. Food Prot. 2007, 70, 2811–2818. [Google Scholar] [CrossRef] [PubMed]
- Zwietering, M.H.; Jongenburger, I.; Rombouts, F.M.; van’t Riet, K. Modeling of the Bacterial Growth Curve. Appl. Environ. Microbiol. 1990, 56, 1871–1875. [Google Scholar] [CrossRef]
- Couvert, O.; Gaillard, S.; Savy, N.; Mafart, P.; Leguérinel, I. Survival Curves of Heated Bacterial Spores: Effect of Environmental Factors on Weibull Parameters. Int. J. Food Microbiol. 2005, 101, 73–81. [Google Scholar] [CrossRef]
- Møller, C.O.A.; Ilg, Y.; Aabo, S.; Christensen, B.B.; Dalgaard, P.; Hansen, T.B. Effect of Natural Microbiota on Growth of Salmonella spp. in Fresh Pork—A Predictive Microbiology Approach. Food Microbiol. 2013, 34, 284–295. [Google Scholar] [CrossRef] [PubMed]
- ICMSF (International Commission of Microbial Specifications of Food). Microorganisms in Foods 6: Microbial Ecology of Food Commodities, 2nd ed.; Roberts, T.A., Cordier, J.-L., Gram, L., Tompkin, R., Pitt, J.I., Gorris, L.G.M., Swanson, K.M.J., Eds.; Springer: New York, NY, USA, 2005; ISBN 978-0-306-48675-3. [Google Scholar]
- Iacumin, L.; Zuccolo, C.; Comi, G. Fate of Staphylococcus aureus in Dry Cured Ham Packaged under Vacuum and Stored at Different Temperatures. Ind. Aliment. 2019, 58, 24–30. [Google Scholar]
- Lindqvist, R.; Sylve, S.; Vagsholm, I. Quantitative Microbial Risk Assessment Exemplified by Staphylococcus aureus in Unripened Cheese Made from Raw Milk. Int. J. Food Microbiol. 2002, 78, 155–170. [Google Scholar] [CrossRef] [PubMed]
- Yu, H.H.; Song, Y.J.; Kim, Y.J.; Lee, H.Y.; Choi, Y.S.; Lee, N.K.; Paik, H.D. Predictive Model of Growth Kinetics for Staphylococcus aureus in Raw Beef under Various Packaging Systems. Meat Sci. 2020, 165, 108108. [Google Scholar] [CrossRef]
- Medina, M. Caracterización de Staphylococcus aureus Procedentes de Indústrias Cárnicas. In Innovación en Productos Cárnicos Seguros y Saludables; Córdoba, J.J., Medina, M., Carballo, J., Eds.; Agència Catalana de Seguretat Alimentària: Barcelona, Spain, 2021; p. 73. [Google Scholar]
- Notermans, S.; van Otterdijk, R.L.M. Production of Enterotoxin A by Staphylococcus aureus in Food. Int. J. Food Microbiol. 1985, 2, 145–149. [Google Scholar] [CrossRef]
- Kaban, G.; Kaya, M. Effect of Starter Culture on Growth of Staphylococcus aureus in Sucuk. Food Control 2006, 17, 797–801. [Google Scholar] [CrossRef]
- Charlier, C.; Cretenet, M.; Even, S.; Le Loir, Y. Interactions between Staphylococcus aureus and Lactic Acid Bacteria: An Old Story with New Perspectives. Int. J. Food Microbiol. 2009, 131, 30–39. [Google Scholar] [CrossRef] [PubMed]
- Metaxopoulos, J.; Genigeorgis, C.; Fanelli, M.J.; Franti, C.; Cosma, E. Production of Italian Dry Salami. I. Initiation of Staphylococcal Growth in Salami Under Commercial Manufacturing Conditions. J. Food Prot. 1981, 44, 347–352. [Google Scholar] [CrossRef] [PubMed]
- Serra-Castelló, C.; Bover-Cid, S.; Garriga, M.; Beck Hansen, T.; Gunvig, A.; Jofré, A. Risk Management Tool to Define a Corrective Storage to Enhance Salmonella Inactivation in Dry Fermented Sausages. Int. J. Food Microbiol. 2021, 346, 109160. [Google Scholar] [CrossRef] [PubMed]
- Ha, J.; Lee, J.; Lee, S.; Kim, S.; Choi, Y.; Oh, H.; Kim, Y.; Lee, Y.; Seo, Y.; Yoon, Y. Mathematical Models to Describe the Kinetic Behavior of Staphylococcus Aureus in Jerky. Food Sci. Anim. Resour. 2019, 39, 371–378. [Google Scholar] [CrossRef] [PubMed]
Disclaimer/Publisher’s Note: The statements, opinions and data contained in all publications are solely those of the individual author(s) and contributor(s) and not of MDPI and/or the editor(s). MDPI and/or the editor(s) disclaim responsibility for any injury to people or property resulting from any ideas, methods, instructions or products referred to in the content. |
© 2023 by the authors. Licensee MDPI, Basel, Switzerland. This article is an open access article distributed under the terms and conditions of the Creative Commons Attribution (CC BY) license (https://creativecommons.org/licenses/by/4.0/).





