Abstract
The high water and nutritional contents of meat and fish products make them susceptible to spoilage. Thus, one of the most important challenges faced by the meat industry is extending the shelf life of meat and fish products. In recent years, increasing concerns associated with synthetic compounds on health have limited their application in food formulations. Thus, there is a great need for natural bioactive compounds. Direct use of these compounds in the food industry has faced different obstacles due to their hydrophobic nature, high volatility, and sensitivity to processing and environmental conditions. Nanotechnology is a promising method for overcoming these challenges. Thus, this article aims to review the recent knowledge about the effect of biopolymer-based edible films or coatings on the shelf life of meat and fish products. This study begins by discussing the effect of biopolymer (pectin, alginate, and chitosan) based edible films or coatings on the oxidation stability and microbial growth of meat products. This is followed by an overview of the nano-encapsulation systems (nano-emulsions and nanoliposomes) and the effect of edible films or coatings incorporated with nanosystems on the shelf life of meat and fish products.
1. Introduction
Meat and fish products are highly nutritious due to their high contents of nutrients such as vitamins, fats, essential amino acids, minerals, and proteins [1,2]. However, their high water and nutritional contents make them susceptible to oxidative deterioration and microbial contamination [2,3]. The most common bacteria involved in meat spoilage are Pseudomonas and Streptococcus, among other classes, and the most common spoilage molds are Cladosporium and Sporotrichum, among other classes [4,5]. Generally, chemical alteration and microbial growth in meat and fish products lead to quality degradation, wastage, economic loss, and health risks [6,7]. In recent years, numerous innovative food-preservation strategies have been developed to overcome these issues [8].
Food packaging plays a crucial role in food preservation by creating a protective layer around the food product. Food packaging protects the product against any physicochemical, microbial, and environmental damages during transport and storage of food products such as meat and processed meat [9,10,11]. In this regard, edible films or coatings are an effective technology that can improve meat and fish products’ quality and shelf life [12]. They act as good oxygen barriers, prevent moisture transfer (especially lipid-based), and inhibit microbial growth and invasion of pathogenic microorganisms, reducing lipid oxidation and microbial contamination in meat and fish products [13,14,15].
Due to environmental problems, there is currently a global focus on the reduction in waste, in addition to industry demand for cost-effective food preservation methods. As a result, films and coatings from edible biopolymers such as polysaccharides (e.g., alginates, chitosan, pectin, natural gums) and proteins (e.g., zein, whey protein concentrate, collagen, gelatin) have been widely developed [15,16,17,18,19]. Such films or coatings have various advantages over traditional films or coatings from synthetic polymers: edibility, biodegradability, renewability, bioactivity, non-toxicity, being carbon-free or carbon-neutral, reduction in waste, environmentally friendly, and different application methods such as immersion, aspersion, spreading, and brushing (Figure 1) [1,20,21,22]. Additionally, one significant advantage of such films or coatings is the possibility of incorporating various active compounds within their matrix that could even be consumed with the food products, leading to safety enhancement or improvement in nutritional quality and sensory properties [23]. Therefore, the demand for biopolymer-based edible films or coatings incorporated with active compounds has increased.
Figure 1.
Some methods of applying edible coating.
In recent years, increasing concerns associated with the impact of synthetic compounds on health have led to high demand for natural bioactive compounds [24,25]. However, directly applying bioactive compounds such as essential oils and extracts of plants and fruits in food formulations, films, or edible coatings may adversely affect the sensory quality of food products because of the compounds’ bitter taste and intense flavor [26,27]. Furthermore, their direct use in the food industry faces different obstacles due to their hydrophobic nature, high volatility, and sensitivity to processing, gastrointestinal, and environmental conditions [28,29,30]. They can be degraded by exposure to light, oxygen, and undesirable pH and temperature, causing a reduction or even loss of their bioactive properties [31].
Nanotechnology is a promising method for overcoming these challenges. It is defined as an applied science and technology that aims to develop devices and dosage forms in the range of 1 to100 nm [32,33,34]. Nano-encapsulation technology provides efficient carriers for loading bioactive compounds such as peptides, vitamins, essential oils, and plant extracts, protecting them from undesirable environmental conditions, improving their biological activity, modifying their release profile, and reducing unwanted organoleptic effects [35]. The greater surface area per mass of nanoparticles compared to larger particles with the same chemical composition increases the nanoparticles’ bioactivity, leading to their higher efficiency in increasing the shelf life of foods [25,36]. Moreover, incorporating nanosystems in edible films or coatings improves the gas transport properties, transparency, and mechanical resistance [37,38,39]. It also prevents interactions between the bioactive compound and the food, the biopolymer, or both [25,39,40].
In recent years, different nano-encapsulation systems have been incorporated with edible films or coatings, including nano-emulsions, nanoliposomes, nanofibers, solid lipid nanoparticles, and nanolipid carriers [29,41,42,43]. As previously mentioned, the high sensitivity of meat and meat products to spoilage during storage is a severe challenge in the food industry. However, the high potential of edible films or coatings incorporated with nanosystems in preserving various food products such as vegetables and fresh-cut fruits has been proven in different studies. As a result, the evaluation of their application potential in preserving meat and meat products has received much attention from researchers.
Hence, this work aimed to review the most used nanosystems incorporated with biopolymer-based edible films or coatings for preserving meat and meat products (Figure 2). Their effects on oxidative stability, physicochemical properties, and microbial quality are discussed.
Figure 2.
Preservation of meat and meat products by biopolymer-based edible films or coatings incorporated with nano-encapsulated bioactive compounds.
2. Polysaccharide Edible Films or Coatings in the Preservation of Meat and Fish Products
Polysaccharide-based edible films or coatings, such as pectin and alginate-based coatings, have received significant attention from researchers for application in food products due to their various advantages, such as high biodegradability, insolubility in non-polar solvents, high solubility in water, non-toxicity, and the ability to form tasteless, odorless, and colorless films or coatings [44,45]. However, they have some disadvantages, including low extensibility and water vapor permeability [46,47]. Nonetheless, different studies reported their combined use with other biopolymers improved their physicochemical properties [48,49].
Various studies have reported using different polysaccharide-based edible films or coatings alone or in combination with other biopolymers in food packaging. Some of these polysaccharides, such as alginate, chitosan, pectin, and starch, are the most available polysaccharides and are commonly used in the food industry. Thus, in the following, we review the application of these polysaccharides alone or in combination with other biopolymers in preserving meat or fish products.
2.1. Pectin-Based Films or Coatings
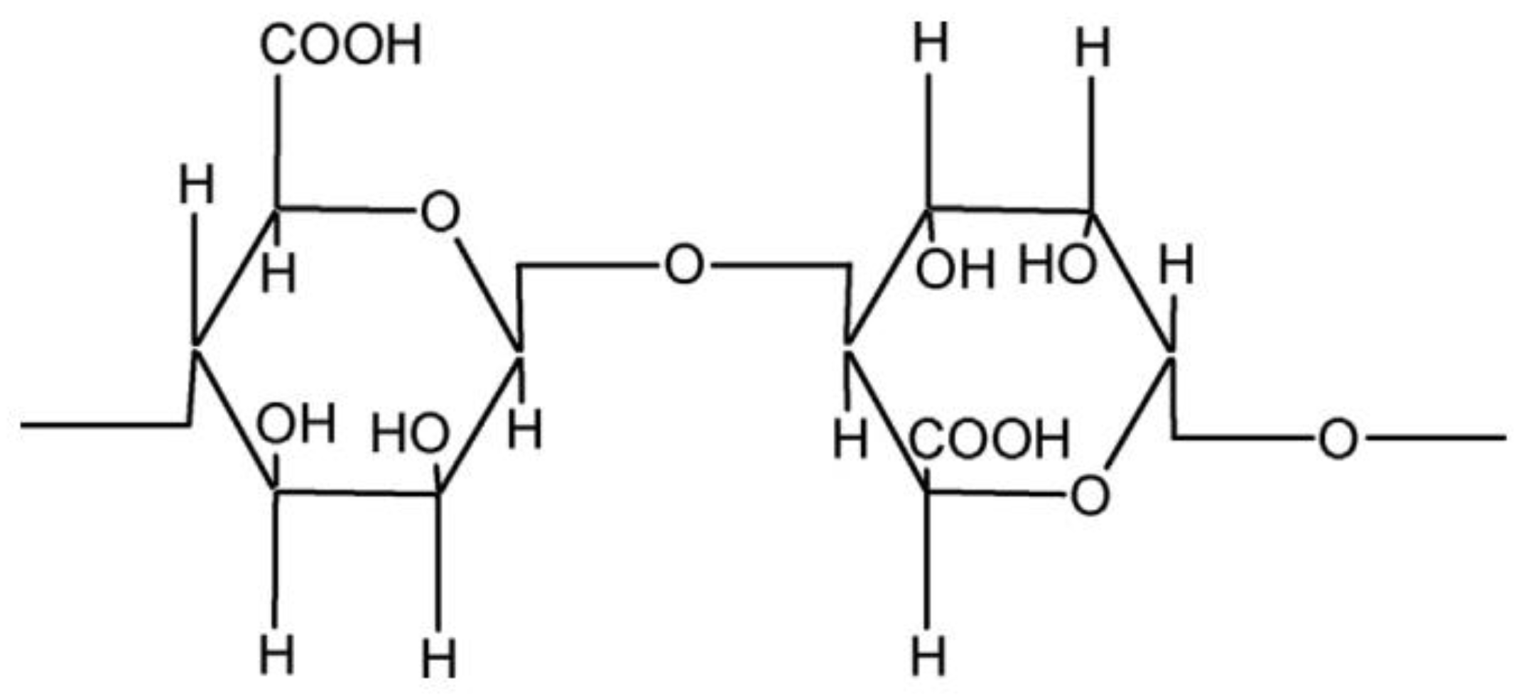
Pectin is a polysaccharide of galacturonic acid units linked by α-(1→4) linkages and is found abundantly in plant cell walls (Figure 3). High concentrations of pectin can be found in the ripened stage of some fruits such as apples and citrus [50,51]. Pectin is produced commercially, having a white to brown color, and is used in the food industry as a gelling, thickening, and stabilizing agent [52,53].
Figure 3.
Chemical structure of pectin.
Pectin is a favorable biopolymer for producing edible films or coatings due to its unique properties, including being odorless, non-toxicity, biodegradability, being inexpensive, renewability, and low gas permeability [52,54]. The extensive use of pectin in the food industry faces some challenges due to its high water solubility and hydrophilicity, which results in a poor moisture protective effect [55]. To overcome these challenges, the combination of pectin with other biopolymers is an effective method leading to the improvement in stability and physicochemical properties of pectin-based edible films or coatings [56,57].
Hence, pectin-based edible films or coatings incorporated with bioactive compounds have been used widely for preserving meat and meat products (summarized in Table 1). For instance, Bermúdez-Oria et al. [58] evaluated the effect of edible pectin-fish gelatin films containing the olive antioxidants (hydroxytyrosol and 3,4-dihydroxyphenylglycol) on beef meat during refrigerated storage for 7 days. They stated that the applied edible coating significantly reduced oxidation in terms of TBA value. In this regard, hydroxytyrosol showed more potent antioxidant activity than 3,4-dihydroxyphenylglycol, as at the end of storage time, the TBA value of coated samples containing 0.5% hydroxytyrosol was considerably lower than that of coated samples containing 0.5% 3,4-dihydroxyphenylglycol. The results showed that 0.5% hydroxytyrosol improved lipid stabilization by 68%, while 0.5% 3,4-dihydroxyphenylglycol improved oxidation stability by 59% compared to coated samples without antioxidants. They reported that using edible films containing hydroxytyrosol and beeswax reduced lipid oxidation by 100% during 7 days of storage. They attributed these results to the oxygen barrier property of the used biopolymer-based film and the antioxidant potential of the hydroxytyrosol.
Table 1.
The effect of pectin-based edible films or coatings on the preservation of meat and fish products.
Recently, Guo et al. [59] prepared an active edible film containing pectin and polyphenol of watermelon peel and evaluated its effect on the quality of chilled mutton during super-chilled storage for 35 days. The pectin-based film containing 1.5% polyphenol could significantly control bacterial growth, as the total bacterial counts of active coated samples reached the limit value (7 log CFU/g) after 35 days of storage, while the total bacterial counts of control samples reached the limit value after 21 days of storage. The TBA and TVN values of coated samples were about 0.7 (mg MDA/Kg) and 20 (mg/100 g), respectively, at the end of the storage time (day of 35), which were significantly lower than control groups. They stated that the oxidative stability of coated samples could be related to the low storage temperature, the inhibition effect of watermelon extracts on the growth of the microorganisms, and the decomposition reduction of nitrogen-containing macromolecules and proteins. Generally, they attributed the preservative effect of active film to the polyphenol compounds of watermelon peel, such as chlorogenic acid, myricetin, and caprylic acid.
2.2. Alginate Based Films or Coatings
Alginate is a non-branched polysaccharide from brown seaweeds, composed of β-D-mannuronic acid (M) and α-L-guluronic acid residues (G) (Figure 4) [18,66]. The sequence of G and M residues of alginate depends on its sources. It has been reported that the G content of alginate extracted from algae, L. hyperborean stems is about 60%, while the G content of alginates extracted from other commercial algae species is about 14–31% [67]. Generally, alginate forms a hydrogel by crosslinking with divalent or multivalent ions, and the carboxylate groups of its G residues crosslink with such ions to form a 3D network [68].
Figure 4.
Chemical structure of alginate.
Alginate is a biocompatible and non-toxic polysaccharide, and is known as an effective biopolymer for the production of edible films or coatings due to its distinctive functions as a stabilizing, film and gel-forming, and thickening agent [69,70]. It has different advantages such as renewability, biodegradability, biocompatibility, non-toxicity, and low cost [71,72]. It has been reported that the chemical composition of alginate (the molecular weight, the proportion of G residues to M residues, and the length of G-blocks) mainly affects its hydrogels’ physical properties [73,74]. In recent years, alginate-based edible films or coatings have received significant attention for extending the shelf life of food products such as meat and meat products due to alginate’s high potential in controlling permeability, reducing dehydration, and improving the mechanical properties of edible films or coatings [75]. Despite the mentioned advantages, low stability under wet conditions and the high sensitivity to degradation processes were identified as the disadvantages of alginate-based edible films or coatings [76]. It has been reported that combining alginate with other polymers, such as protein [77], chitosan [78], or cellulose [79], is an effective modification to overcome these disadvantages.
Recent studies of the effect of alginate-based edible films or coatings are reviewed in Table 2. Heydari et al. [80] investigated the effect of alginate-based edible coating containing horsemint essential oil on the quality of bighead carp fillets during storage at 4 °C. The results of this study showed that the applied edible coating enriched with the horsemint essential oil could significantly reduce the spoilage of fillets and enhance their shelf life by increasing oxidation stability and reducing microbial deterioration. The wrapped sample with an alginate-based edible coating enriched with 1% horsemint essential oil had the lowest TVN, TBA, peroxide, and free fatty acid at the end of the storage time. The total viable counts and total psychrotrophic counts of the uncoated sample exceeded the maximum acceptable limit of 6 log CFU/g after 8 days of storage, but the coated sample containing 1% horsemint essential oil exceeded the limit after 12 days of storage. They attributed this considerable microbial reduction to the role of the coating as an effective barrier to oxygen transfer, leading to growth inhibition of the aerobic bacteria. In another study, Golpaigani et al. [81] investigated the effect of alginate–chia-seed-based edible coating containing rainbow trout roe protein hydrolysate on the quality of fresh meat during storage at 4 °C. They revealed that the applied coating could considerably control lipid oxidation and microbial growth, and, by increasing the concentration of rainbow trout roe protein hydrolysate, better results were achieved. It should be noted that in most cases the mentioned coating had better function than the coating containing BHA.
Table 2.
The effect of alginate-based edible films or coatings on the preservation of meat and fish products.
2.3. Chitosan-Based Films or Coatings
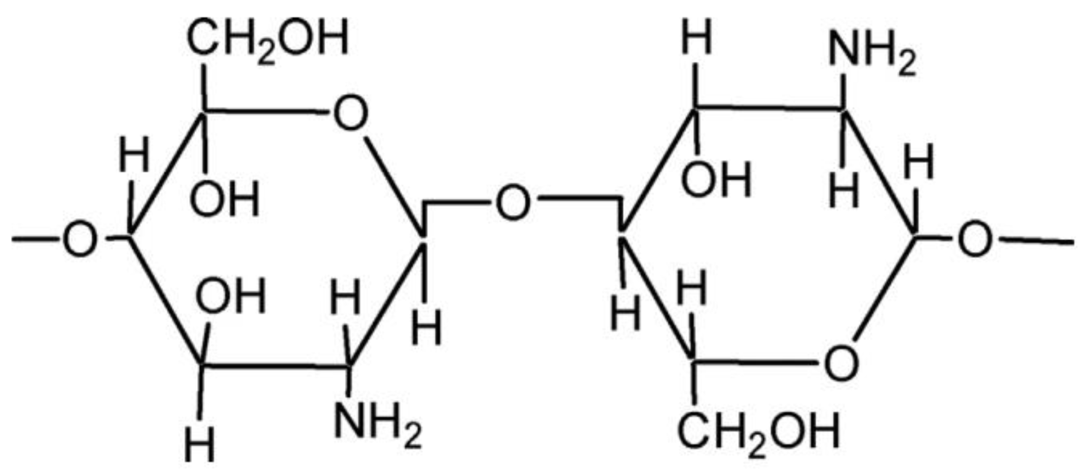
Chitosan is a polymer (Figure 5) obtained from crustacean shells by deacetylation of chitin under alkaline solutions [85]. Chitosan is a non-toxic, safe, renewable, biodegradable, allergen-free, eco-friendly, and biocompatible polymer with health-beneficial properties. It is soluble in acidic pH but highly insoluble in water [86,87]. In addition, chitosan has effective antibacterial activity because of its positive charge. It has been suggested that the primary mechanism of the antibacterial property of chitosan is the electrostatic interactions between the anionic groups of the bacterial cell membrane and the cationic structure of chitosan, leading to membrane permeability and leakage of biological components of the bacterial cell and, finally, cell death [88,89]. However, chitosan has some disadvantages, such as low solubility in neutral and alkaline pH and low mechanical resistance [90].
Figure 5.
Chemical structure of chitosan.
Furthermore, chitosan exhibits considerable film-forming properties, which attracted researchers’ attention for its application in edible packaging [91]. In recent years, the suitable structure properties of chitosan have made it an attractive choice for producing edible films or coatings. Chitosan films or coatings are effective barriers against oxygen and carbon dioxide transfer, which can preserve the quality of the wrapped foods and extend their shelf life [92]. It has been proven that the incorporation of chitosan with bioactive compounds such as natural essential oils and extracts makes them effective active films or coatings for the preservation of meat and fish products (as summarized in Table 3). Fang et al. [93] investigated the effect of chitosan coating incorporated with gallic acid on the quality of fresh pork in modified atmosphere packaging. They stated that the incorporation of gallic acid in chitosan edible coating could significantly inhibit microbial growth during 20 days of storage at 4 °C, but no significant differences were observed between coated samples containing 0.2 and 0.4 gallic acid (p > 0.05). In addition, the mentioned samples had the lowest TBA value compared to the control (uncoated) and chitosan-coated sample without gallic acid. Conversely, the gallic acid concentration had a significant effect on protein oxidation, as the coated sample containing 0.4% gallic acid showed the lowest free thiol group values. Xiong et al. [94] evaluated the effect of a chitosan–gelatin-based edible coating containing nisin and grape seed extract on the quality of fresh pork during cold storage at 4 °C for 20 days. They reported that the coated samples incorporating 0.5 grape seed extract and 0.5 grape seed extract + 0.1 nisin showed the lowest TBA value at the end of the storage time. They attributed these findings to the high antioxidant potential of phenolic compounds in grape seed extract. Regarding the total viable counts, the coating could significantly control the microbial growth of samples, even without grape seed extract or nisin.
Table 3.
The effect of chitosan-based edible films or coatings on the preservation of meat and fish products.
2.4. Starch-Based Films or Coatings
Starch is a biopolymer in the plant storage organs (endosperm), such as roots, legumes, unripe fruits, and tubers [100]. It is considered to be one of the most important natural polysaccharides to replace plastics due to its unique properties such as low cost, thermoplastic nature, low permeability to oxygen, easy access, and high resolution [101,102]. There are two types of starch molecules: amylose (a linear polymer in which D-glucose units are linked by α-1,4 glucosidic bonds) and amylopectin (a branched polymer in which the main chain is linked to the branches via α-1,6 glucosidic bonds) [103]. The type of starch and the ratio of amylose/amylopectin affects the properties of films or coatings, such as color, thickness, moisture content, and mechanical properties [104]. Amylose has a helical structure and is responsible for the development of films, and starch-based films having a higher amount of amylose have better film characteristics, such as plasticity, gas barrier properties, and mechanical strength [105,106]. Generally, the properties of starch-based edible films and coatings depend on the type of applied starch. Various studies evaluated the effect of starch edible films or coatings on the preservation of meat and fish products (Table 4). In this regard, research was conducted by Yıldırım-Yalçın et al. [107] on the effect of crosslinked maize starch edible film incorporated with grape juice on the quality of chicken breast fillets during storage. They revealed that the coating significantly reduced the moisture loss of samples during all days of storage. This was the result of covering the surface of chicken samples, which reduced the moisture transfer between the atmosphere and the sample. In addition, the coating reduced the growth of mesophilic aerobic, psychrophilic, and Enterobacteriaceae bacteria by 1.58, 0.94, and 0.85 log, respectively, after 8 days of storage.
Table 4.
The effect of starch-based edible films or coatings on the preservation of meat and fish products.
Asyila Marzlan et al. [108] evaluated the effect of starch-based edible films incorporating torch ginger inflorescence essential oil on the preservation of chicken meat. The addition of torch ginger inflorescence essential oil significantly affected the mechanical properties of starch films. The tensile strength decreased by adding 0.1 and 0.2% essential oils, while higher concentrations (0.4 and 0.8%) increased the edible films’ tensile strength. In addition, the results showed that the antioxidant potential of starch-based edible films increased by increasing the concentration of essential oil in terms of DPPH and ABTS radical scavenging activity. Moreover, they revealed that the active edible film significantly reduced the samples’ weight loss and limited the samples’ pH increase during 6 days of storage. At the end of the storage time, the TBA value of all packed samples was lower than that of uncoated ones, and the lowest value (0.2 mg MDA/Kg) was from coated samples with starch-based films incorporated with essential oil. The antioxidant compounds of torch ginger inflorescence essential oil react with free radicals and convert them to more stable molecules, inhibiting lipid oxidation. In addition, starch-based active film significantly limited the growth of coliforms during 6 days of chilled storage, and coated samples with starch-based films incorporated with essential oil had the lowest coliform counts (4.98 ± 0.07 log CFU/g) at the end of the storage time in comparison to uncoated samples.
3. Biopolymer Edible Films or Coatings Incorporated with Nanosystems in the Preservation of Meat and Fish Products
The direct use of bioactive compounds in edible films or coatings faces some challenges due to their sensitivity to oxygen, light, and heat. In addition, the interaction between the bioactive compounds and the components of edible films or coatings can change the bioactive compounds’ activity and modify the chemical structure of films or coatings and, subsequently, their functional properties [117,118]. In this regard, nanotechnology is an innovative technology that is a promising means of overcoming these challenges. Various studies showed that different nano-encapsulation systems, such as nanoliposome and nano-emulsion, are effective for applying bioactive compounds in edible films or coatings. In the following, we review the application of edible films or coatings incorporated with nano-emulsion and nanoliposomes in preserving meat and fish products.
3.1. Biopolymer Edible Films or Coatings Incorporated with Nano-Emulsions
Emulsions are categorized into microemulsions (4–200 nm), nano-emulsions (20–200 nm), and macroemulsions (200 nm–200 µm) based on their particle size, which affects their function [119]. Generally, nano-emulsions are defined as colloidal systems consisting of oil and aqueous phases, and there are two kinds of nano-emulsions according to the phases: oil/water (o/w) or water/oil (w/o) [25]. Nowadays, nano-emulsion-based edible films or coatings are used increasingly in food preservation. The o/w nano-emulsions are preferred for application in edible films or coatings due to their suitable capability to incorporate various lipophilic bioactive compounds into the hydrophilic biopolymer matrix [25]. The efficiency of nano-emulsions in edible films or coatings depends on the particle size of emulsions, their release behavior, and their stability during storage time. The desirable particle size can be achieved by homogenization, which leads to a reduction in the particle size of emulsions through mechanical sheer force. Nano-emulsions are kinetically stable but thermodynamically unstable; surfactants are used to reduce the interfacial tension between the dispersed phase and the dispersed medium of nano-emulsions [120,121]. Generally, nano-emulsions are effective delivery systems for bioactive compounds such as natural extracts and essential oils, and have great potential for application in edible films or coatings [122,123]. In the following, we review some recent studies about the effect of edible films or coatings incorporating nano-emulsions in the preservation of meat and fish products (summarized in Table 5). Xiong et al. [27] investigated the effect of a pectin edible coating incorporating oregano essential oil and resveratrol nano-emulsion on the preservation of pork loin in modified atmosphere packaging. They revealed that the edible coating could significantly extend the shelf life of samples by retarding lipid and protein oxidation, maintaining meat tenderness, and inhibiting microbial growth. They stated that the coated sample containing microemulsion had a lower TBA value compared to the coated sample containing nano-emulsion at the end of the storage time. They attributed this finding to the weak ability of the coating with a smaller particle size to inhibit the lipid oxidation.
Table 5.
The effect of edible films or coatings incorporated with nano-emulsions on the preservation of meat and fish products.
3.2. Biopolymer Edible Films or Coatings Incorporated with Nanoliposome
Nanolipid-based carriers such as nanoliposomes are known to be effective carriers to enhance stability and solubility and control the release of bioactive compounds such as natural extracts and bioactive peptides [132]. It has been reported that nanoliposome systems are biodegradable, non-toxic, and have the suitable ability for loading both hydrophilic and lipophilic compounds [133]. Despite all the advantages of nanoliposomes, it has been reported that their direct application in food formulations can lead to rupture or aggregation of the system; also, the leakage of encapsulated bioactive compounds may occur [134]. Thus, edible films or coatings are considered suitable carriers for loaded nanoliposomes to be applied in food preservation. In this regard, some studies evaluated the effect of edible films or coatings incorporated with nanoliposomes on the shelf life of meat and fish products. Cui et al. [135] investigated the effect of a chitosan coating incorporated with a phage-loaded nanoliposome on E. coli in beef. They reported that the encapsulation efficiency and particle size of the loaded nanoliposome was 57.66% and 150.1 nm, respectively. The sample coated with chitosan film containing the liposome-encapsulated phage had the lowest E. coli after 15 days of storage. Cui et al. [42] evaluated the effect of xanthan gum-based edible coating incorporated with Litsea cubeba essential oil nanoliposomes in the preservation of salmon. They stated that the particle sizes of nanoliposomes were in the range of 149.92–185.39 nm. They reported that increasing the concentration of Litsea cubeba essential oil from 4 to 7 mg/mL increased the particle size but significantly reduced the encapsulation efficiency. The TBA values of coated samples were significantly lower than that of the control and the lowest value was related to the coated sample containing liposome: xanthan gum in the proportion of 1:3.
4. The Safety of Edible Films or Coatings Incorporated with Nano-Encapsulated Bioactive Compounds
Food safety is crucial in food legislation [136]. In this regard, edible films or coatings incorporated with nano-encapsulated bioactive compounds in packaging technology should be safe in terms of health and without any adverse effects on consumers’ health. In other words, since they are an edible part of wrapped food products, they directly impact consumers; hence, they should follow the required regulations for food ingredients [137]. In this regard, all used components of edible films or coatings, as well as their bioactive additives such as natural essential oils, extracts, and bioactive peptides, should be GRAS and be approved by the FDA [138]. In addition, all ingredients applied in the edible films or coating should be clearly declared on the label, especially as some can be allergens for some consumers [139].
The toxicity effect of nanomaterials is another significant aspect of the safety of edible films or coatings incorporated with nano-encapsulated compounds. Experimental studies showed that nanomaterials have the potential to cause inflammatory and toxic effects depending on their chemical composition, size distribution, and shape. In addition, the usage doses have a considerable impact on their toxicity potential [140,141].
Scientists believe that nanomaterials with smaller sizes have more toxicity potential. It has been reported that nanomaterials’ chemical composition and size have the most significant effect on their toxicity toward humans. In this regard, studies showed that nanoparticles with a size less than 100 nm penetrate cells, and those smaller than 35 nm can cross the blood–brain barrier. Moreover, smaller nanoparticles have higher catalytic activity, which may produce more reactive oxygen species, higher adsorption rates, and binding ability, and finally affect residence times inside the human body [141,142,143].
FDA guidelines for using nanomaterials in food products suggest that a change in the production of the materials via nanotechnology may have considerable effects on their essence, safety, and supervision status. Thus, the FDA suggests that safety evaluations of the products can be consistent with information obtained by the nanometer version [144]. In other words, nanoparticles exhibit different biological and physicochemical properties compared to larger materials, so the evaluation of their inherent safety, either alone or in food products, is a critical issue from scientists’ perspectives. This led to the provision of various opinions by the FDA and EFSA on the adequacy of the risk evaluation guidelines for the industry concerning the safety evaluation of nanoparticles [144,145,146].
In this regard, the FDA provided a guidance document entitled “The evaluation of whether the product adjusted according to FDA entails nanotechnology or not” and intends to enforce the stated policies. It should be noted that the FDA has declared some nanomaterials, such as nano-clay, aluminum, carbon, and zinc oxide. Generally, information certifying that the product is made in compliance with the FDA guidance document should be provided by the manufacturer for the users [147].
5. Conclusions
Due to increasing demand for food products having minimum processing, researchers’ attention has been attracted to active packaging. In recent years, due to environmental problems, global demand for waste reduction, and industry demand for cost-effective food preservation methods, edible films or coatings have gained significant attention and are used as alternatives to synthetic polymers due to their eco-friendly and non-toxic nature. In this regard, different studies have evaluated the effect of active edible films or coatings from biopolymers, such as polysaccharides and proteins, on the shelf life of food products, especially highly perishable ones such as meat and fish products. However, there are some challenges in the direct use of bioactive compounds in edible films or coatings; they can have undesirable effects on organoleptic food products’ properties, and their sensitivity to adverse conditions makes them unstable and reduces their bioactivity. Nanotechnology is a promising method for overcoming these challenges. Nano-encapsulation technology provides efficient carriers for loading bioactive compounds such as peptides, essential oils, and plant extracts, protecting them from undesirable environmental conditions and improving their biological activity. The greater surface area per mass of nanoparticles compared to larger particles with the same chemical composition increases the bioactivity of nanoparticles. Moreover, incorporating nanosystems in edible films or coatings prevents interactions between the bioactive compound and the food, the biopolymer, or both. It has been reported that different nanosystems, such as nano-emulsions and nanoliposomes, have the potential to be used in edible films or coatings to extend the shelf life of food products by inhibiting microbial growth and increasing protein and lipid oxidation stability. As reviewed in this paper, biopolymer-based edible films or coatings incorporated with nanosystems are effective choices for the preservation of meat and fish products without the application of synthetic preservative compounds. Finally, despite the studies reviewed here, identifying cost-effective, safe, and effective edible films or coatings with high consumer acceptability will require significantly more work. In particular, the behavior of active films or coatings incorporated with nanosystems after consumption should be clear, to be safe and without any undesirable effects.
Author Contributions
Conceptualization, S.M.B.H., S.K. and Y.P.; supervision, E.A. and Y.P.; writing—original draft preparation, S.K.; writing—review and editing; S.M.B.H. and E.A. All authors have read and agreed to the published version of the manuscript.
Funding
This research was funded by Chiang Mai University. Moreover, the authors would like to thank the “Reinventing University Program”.
Institutional Review Board Statement
Not applicable.
Informed Consent Statement
Not applicable.
Data Availability Statement
The data used to support the findings of this study can be made available by the corresponding author upon request.
Conflicts of Interest
The authors declare no conflict of interest.
References
- Umaraw, P.; Munekata, P.E.S.; Verma, A.K.; Barba, F.J.; Singh, V.P.; Kumar, P.; Lorenzo, J.M. Edible Films/Coating with Tailored Properties for Active Packaging of Meat, Fish and Derived Products. Trends Food Sci. Technol. 2020, 98, 10–24. [Google Scholar] [CrossRef]
- Bohrer, B.M. Nutrient Density and Nutritional Value of Meat Products and Non-Meat Foods High in Protein. Trends Food Sci. Technol. 2017, 65, 103–112. [Google Scholar] [CrossRef]
- Kaveh, S.; Hashemi, S.M.B.; Abedi, E.; Amiri, M.J.; Conte, F.L. Bio-Preservation of Meat and Fermented Meat Products by Lactic Acid Bacteria Strains and Their Antibacterial Metabolites. Sustainability 2023, 15, 10154. [Google Scholar] [CrossRef]
- Gautam, S.; Lapčík, L.; Lapčíková, B.; Gál, R. Emulsion-Based Coatings for Preservation of Meat and Related Products. Foods 2023, 12, 832. [Google Scholar] [CrossRef]
- Cheng, L.; Sun, D.-W.; Zhu, Z.; Zhang, Z. Emerging Techniques for Assisting and Accelerating Food Freezing Processes: A Review of Recent Research Progresses. Crit. Rev. Food Sci. Nutr. 2017, 57, 769–781. [Google Scholar] [CrossRef] [PubMed]
- Yu, D.; Regenstein, J.M.; Xia, W. Bio-Based Edible Coatings for the Preservation of Fishery Products: A Review. Crit. Rev. Food Sci. Nutr. 2019, 59, 2481–2493. [Google Scholar] [CrossRef]
- Vatavali, K.; Karakosta, L.; Nathanailides, C.; Georgantelis, D.; Kontominas, M.G. Combined Effect of Chitosan and Oregano Essential Oil Dip on the Microbiological, Chemical, and Sensory Attributes of Red Porgy (Pagrus Pagrus) Stored in Ice. Food Bioprocess Technol. 2013, 6, 3510–3521. [Google Scholar] [CrossRef]
- Akhila, V.; Badwaik, L.S. Recent Advancement in Improvement of Properties of Polysaccharides and Proteins Based Packaging Film with Added Nanoparticles: A Review. Int. J. Biol. Macromol. 2022, 203, 515–525. [Google Scholar]
- Khalid, M.Y.; Arif, Z.U. Novel Biopolymer-Based Sustainable Composites for Food Packaging Applications: A Narrative Review. Food Packag. Shelf Life 2022, 33, 100892. [Google Scholar] [CrossRef]
- Kumar, L.; Deshmukh, R.K.; Hakim, L.; Gaikwad, K.K. Halloysite Nanotube as a Functional Material for Active Food Packaging Application: A Review. Food Bioprocess Technol. 2023, 1–14. [Google Scholar] [CrossRef]
- Rathod, S. Modern Intelligent Packaging System. Pharma Innov. J. 2022, SP-11, 2063–2071. [Google Scholar]
- Fang, Z.; Zhao, Y.; Warner, R.D.; Johnson, S.K. Active and Intelligent Packaging in Meat Industry. Trends Food Sci. Technol. 2017, 61, 60–71. [Google Scholar] [CrossRef]
- Aloui, H.; Khwaldia, K. Natural Antimicrobial Edible Coatings for Microbial Safety and Food Quality Enhancement. Compr. Rev. Food Sci. Food Saf. 2016, 15, 1080–1103. [Google Scholar] [CrossRef] [PubMed]
- Shin, S.-H.; Chang, Y.; Lacroix, M.; Han, J. Control of Microbial Growth and Lipid Oxidation on Beef Product Using an Apple Peel-Based Edible Coating Treatment. LWT 2017, 84, 183–188. [Google Scholar] [CrossRef]
- Gagaoua, M.; Bhattacharya, T.; Lamri, M.; Oz, F.; Dib, A.L.; Oz, E.; Uysal-Unalan, I.; Tomasevic, I. Green Coating Polymers in Meat Preservation. Coatings 2021, 11, 1379. [Google Scholar] [CrossRef]
- Parry, A.; James, K.; LeRoux, S. Strategies to Achieve Economic and Environmental Gains by Reducing Food Waste; WRAP: London, UK, 2015. [Google Scholar]
- Mailoa, M.N.; Tapotubun, A.M.; Matrutty, T.E. Analysis Total Plate Counte (TPC) on Fresh Steak Tuna Applications Edible Coating Caulerpa sp during Stored at Chilling Temperature. IOP Conf. Ser. Earth Environ. Sci. 2017, 89, 12014. [Google Scholar] [CrossRef]
- Hassan, B.; Chatha, S.A.S.; Hussain, A.I.; Zia, K.M.; Akhtar, N. Recent Advances on Polysaccharides, Lipids and Protein Based Edible Films and Coatings: A Review. Int. J. Biol. Macromol. 2018, 109, 1095–1107. [Google Scholar] [CrossRef]
- Dehghani, S.; Hosseini, S.V.; Regenstein, J.M. Edible Films and Coatings in Seafood Preservation: A Review. Food Chem. 2018, 240, 505–513. [Google Scholar] [CrossRef]
- Liu, J.; Shibata, M.; Ma, Q.; Liu, F.; Lu, Q.; Shan, Q.; Hagiwara, T.; Bao, J. Characterization of Fish Collagen from Blue Shark Skin and Its Application for Chitosan-collagen Composite Coating to Preserve Red Porgy (Pagrus major) Meat. J. Food Biochem. 2020, 44, e13265. [Google Scholar] [CrossRef]
- Nathanael, A.J.; Oh, T.H. Biopolymer Coatings for Biomedical Applications. Polymers 2020, 12, 3061. [Google Scholar] [CrossRef]
- Ncama, K.; Magwaza, L.S.; Mditshwa, A.; Tesfay, S.Z. Plant-Based Edible Coatings for Managing Postharvest Quality of Fresh Horticultural Produce: A Review. Food Packag. Shelf Life 2018, 16, 157–167. [Google Scholar] [CrossRef]
- Rojas-Graü, M.A.; Soliva-Fortuny, R.; Martín-Belloso, O. Edible Coatings to Incorporate Active Ingredients to Fresh-Cut Fruits: A Review. Trends Food Sci. Technol. 2009, 20, 438–447. [Google Scholar] [CrossRef]
- Kaveh, S.; Sadeghi Mahoonak, A.; Ghorbani, M.; Jafari, S.M.; Sarabandi, K. Optimization of Factors Affecting the Antioxidant Activity of Fenugreek Seed’s Protein Hydrolysate by Response Surface Methodology. Iran. J. Nutr. Sci. Food Technol. 2019, 14, 77–88. [Google Scholar]
- Zambrano-Zaragoza, M.L.; González-Reza, R.; Mendoza-Muñoz, N.; Miranda-Linares, V.; Bernal-Couoh, T.F.; Mendoza-Elvira, S.; Quintanar-Guerrero, D. Nanosystems in Edible Coatings: A Novel Strategy for Food Preservation. Int. J. Mol. Sci. 2018, 19, 705. [Google Scholar] [CrossRef] [PubMed]
- Koga, C.C.; Lee, S.; Lee, Y. Consumer Acceptance of Bars and Gummies with Unencapsulated and Encapsulated Resveratrol. J. Food Sci. 2016, 81, S1222–S1229. [Google Scholar] [CrossRef] [PubMed]
- Xiong, Y.; Li, S.; Warner, R.D.; Fang, Z. Effect of Oregano Essential Oil and Resveratrol Nanoemulsion Loaded Pectin Edible Coating on the Preservation of Pork Loin in Modified Atmosphere Packaging. Food Control 2020, 114, 107226. [Google Scholar] [CrossRef]
- Aliakbarian, B.; Paini, M.; Casazza, A.A.; Perego, P. Effect of Encapsulating Agent on Physical-Chemical Characteristics of Olive Pomace Polyphenols-Rich Extracts. Chem. Eng. Trans. 2015, 43, 97–102. [Google Scholar]
- Radi, M.; Shadikhah, S.; Sayadi, M.; Kaveh, S.; Amiri, S.; Bagheri, F. Effect of Thymus Vulgaris Essential Oil-Loaded Nanostructured Lipid Carriers in Alginate-Based Edible Coating on the Postharvest Quality of Tangerine Fruit. Food Bioprocess Technol. 2023, 16, 185–198. [Google Scholar] [CrossRef]
- Ribeiro, A.M.; Estevinho, B.N.; Rocha, F. Spray Drying Encapsulation of Elderberry Extract and Evaluating the Release and Stability of Phenolic Compounds in Encapsulated Powders. Food Bioprocess Technol. 2019, 12, 1381–1394. [Google Scholar] [CrossRef]
- Bakowska-Barczak, A.M.; Kolodziejczyk, P.P. Black Currant Polyphenols: Their Storage Stability and Microencapsulation. Ind. Crop. Prod. 2011, 34, 1301–1309. [Google Scholar] [CrossRef]
- Ansari, S.H.; Islam, F.; Sameem, M. Influence of Nanotechnology on Herbal Drugs: A Review. J. Adv. Pharm. Technol. Res. 2012, 3, 142. [Google Scholar] [CrossRef] [PubMed]
- Londonkar, R.; Kesaralikar, M. Nanotechnology as an Anticancer Approach. J. Cell Sci. Mol. Biol. 2020, 4, 1–4. [Google Scholar]
- Tripathi, M.; Kumar, S.; Kumar, A.; Tripathi, P.; Kumar, S. Agro-Nanotechnology: A Future Technology for Sustainable Agriculture. Int. J. Curr. Microbiol. Appl. Sci. 2018, 7, 196–200. [Google Scholar]
- Das, S.; Singh, V.K.; Chaudhari, A.K.; Dwivedy, A.K.; Dubey, N.K. Fabrication, Physico-Chemical Characterization, and Bioactivity Evaluation of Chitosan-Linalool Composite Nano-Matrix as Innovative Controlled Release Delivery System for Food Preservation. Int. J. Biol. Macromol. 2021, 188, 751–763. [Google Scholar] [CrossRef] [PubMed]
- Dan, N. Compound Release from Nanostructured Lipid Carriers (NLCs). J. Food Eng. 2016, 171, 37–43. [Google Scholar] [CrossRef]
- Mora-Huertas, C.E.; Fessi, H.; Elaissari, A. Polymer-Based Nanocapsules for Drug Delivery. Int. J. Pharm. 2010, 385, 113–142. [Google Scholar] [CrossRef] [PubMed]
- Donsì, F.; Annunziata, M.; Sessa, M.; Ferrari, G. Nanoencapsulation of Essential Oils to Enhance Their Antimicrobial Activity in Foods. LWT-Food Sci. Technol. 2011, 44, 1908–1914. [Google Scholar] [CrossRef]
- Khorasani, S.; Danaei, M.; Mozafari, M.R. Nanoliposome Technology for the Food and Nutraceutical Industries. Trends Food Sci. Technol. 2018, 79, 106–115. [Google Scholar] [CrossRef]
- Lopez-Polo, J.; Monasterio, A.; Cantero-López, P.; Osorio, F.A. Combining Edible Coatings Technology and Nanoencapsulation for Food Application: A Brief Review with an Emphasis on Nanoliposomes. Food Res. Int. 2021, 145, 110402. [Google Scholar] [CrossRef]
- Hashemi Gahruie, H.; Ziaee, E.; Eskandari, M.H.; Hosseini, S.M.H. Characterization of Basil Seed Gum-Based Edible Films Incorporated with Zataria Multiflora Essential Oil Nanoemulsion. Carbohydr. Polym. 2017, 166, 93–103. [Google Scholar] [CrossRef]
- Cui, H.; Yang, M.; Shi, C.; Li, C.; Lin, L. Application of Xanthan-Gum-Based Edible Coating Incorporated with Litsea Cubeba Essential Oil Nanoliposomes in Salmon Preservation. Foods 2022, 11, 1535. [Google Scholar] [CrossRef] [PubMed]
- Abral, H.; Pratama, A.B.; Handayani, D.; Mahardika, M.; Aminah, I.; Sandrawati, N.; Sugiarti, E.; Muslimin, A.N.; Sapuan, S.M.; Ilyas, R.A. Antimicrobial Edible Film Prepared from Bacterial Cellulose Nanofibers/Starch/Chitosan for a Food Packaging Alternative. Int. J. Polym. Sci. 2021, 2021, 6641284. [Google Scholar] [CrossRef]
- Voss, G.T.; Gularte, M.S.; Vogt, A.G.; Giongo, J.L.; Vaucher, R.A.; Echenique, J.V.Z.; Soares, M.P.; Luchese, C.; Wilhelm, E.A.; Fajardo, A.R. Polysaccharide-Based Film Loaded with Vitamin C and Propolis: A Promising Device to Accelerate Diabetic Wound Healing. Int. J. Pharm. 2018, 552, 340–351. [Google Scholar] [CrossRef] [PubMed]
- Arnon, H.; Granit, R.; Porat, R.; Poverenov, E. Development of Polysaccharides-Based Edible Coatings for Citrus Fruits: A Layer-by-Layer Approach. Food Chem. 2015, 166, 465–472. [Google Scholar] [CrossRef]
- Santhosh, R.; Hoque, M.; Syed, I.; Sarkar, P. Polysaccharide–Oil Complexes as Edible Films. In Food, Medical, and Environmental Applications of Polysaccharides; Elsevier: Amsterdam, The Netherlands, 2021; pp. 109–133. [Google Scholar]
- Kocira, A.; Kozłowicz, K.; Panasiewicz, K.; Staniak, M.; Szpunar-Krok, E.; Hortyńska, P. Polysaccharides as Edible Films and Coatings: Characteristics and Influence on Fruit and Vegetable Quality—A Review. Agronomy 2021, 11, 813. [Google Scholar] [CrossRef]
- Dou, L.; Li, B.; Zhang, K.; Chu, X.; Hou, H. Physical Properties and Antioxidant Activity of Gelatin-Sodium Alginate Edible Films with Tea Polyphenols. Int. J. Biol. Macromol. 2018, 118, 1377–1383. [Google Scholar] [CrossRef]
- Mohammadi, R.; Mohammadifar, M.A.; Rouhi, M.; Kariminejad, M.; Mortazavian, A.M.; Sadeghi, E.; Hasanvand, S. Physico-Mechanical and Structural Properties of Eggshell Membrane Gelatin-Chitosan Blend Edible Films. Int. J. Biol. Macromol. 2018, 107, 406–412. [Google Scholar] [CrossRef]
- Mohnen, D. Pectin Structure and Biosynthesis. Curr. Opin. Plant Biol. 2008, 11, 266–277. [Google Scholar] [CrossRef]
- Kanmani, P.; Dhivya, E.; Aravind, J.; Kumaresan, K. Extraction and Analysis of Pectin from Citrus Peels: Augmenting the Yield from Citrus Limon Using Statistical Experimental Design. Iran. J. Energy Environ. 2014, 5, 303–312. [Google Scholar] [CrossRef]
- Espitia, P.J.P.; Du, W.-X.; de Jesús Avena-Bustillos, R.; Soares, N.D.F.F.; McHugh, T.H. Edible Films from Pectin: Physical-Mechanical and Antimicrobial Properties—A Review. Food Hydrocoll. 2014, 35, 287–296. [Google Scholar] [CrossRef]
- Mellinas, C.; Ramos, M.; Jiménez, A.; Garrigós, M.C. Recent Trends in the Use of Pectin from Agro-Waste Residues as a Natural-Based Biopolymer for Food Packaging Applications. Materials 2020, 13, 673. [Google Scholar] [CrossRef] [PubMed]
- Valdés, A.; Burgos, N.; Jiménez, A.; Garrigós, M.C. Natural Pectin Polysaccharides as Edible Coatings. Coatings 2015, 5, 865–886. [Google Scholar] [CrossRef]
- Vartiainen, J.; Tammelin, T.; Pere, J.; Tapper, U.; Harlin, A. Biohybrid Barrier Films from Fluidized Pectin and Nanoclay. Carbohydr. Polym. 2010, 82, 989–996. [Google Scholar] [CrossRef]
- Luangtana-anan, M.; Soradech, S.; Saengsod, S.; Nunthanid, J.; Limmatvapirat, S. Enhancement of Moisture Protective Properties and Stability of Pectin through Formation of a Composite Film: Effects of Shellac and Plasticizer. J. Food Sci. 2017, 82, 2915–2925. [Google Scholar] [CrossRef] [PubMed]
- Soradech, S.; Nunthanid, J.; Limmatvapirat, S.; Luangtana-anan, M. Utilization of Shellac and Gelatin Composite Film for Coating to Extend the Shelf Life of Banana. Food Control 2017, 73, 1310–1317. [Google Scholar] [CrossRef]
- Bermúdez-Oria, A.; Rodríguez-Gutiérrez, G.; Rubio-Senent, F.; Fernández-Prior, Á.; Fernández-Bolaños, J. Effect of Edible Pectin-Fish Gelatin Films Containing the Olive Antioxidants Hydroxytyrosol and 3, 4-Dihydroxyphenylglycol on Beef Meat during Refrigerated Storage. Meat Sci. 2019, 148, 213–218. [Google Scholar] [CrossRef] [PubMed]
- Guo, Z.; Wu, S.; Lin, J.; Zheng, H.; Lei, H.; Yu, Q.; Jiang, W. Active Film Preparation Using Pectin and Polyphenols of Watermelon Peel and Its Applications for Super-Chilled Storage of Chilled Mutton. Food Chem. 2023, 417, 135838. [Google Scholar] [CrossRef]
- Kang, H.J.; Jo, C.; Kwon, J.H.; Kim, J.H.; Chung, H.J.; Byun, M.W. Effect of a Pectin-Based Edible Coating Containing Green Tea Powder on the Quality of Irradiated Pork Patty. Food Control 2007, 18, 430–435. [Google Scholar] [CrossRef]
- Neetoo, H.; Ye, M.; Chen, H. Bioactive Alginate Coatings to Control Listeria Monocytogenes on Cold-Smoked Salmon Slices and Fillets. Int. J. Food Microbiol. 2010, 136, 326–331. [Google Scholar] [CrossRef]
- Gedikoğlu, A. The Effect of Thymus Vulgaris and Thymbra Spicata Essential Oils and/or Extracts in Pectin Edible Coating on the Preservation of Sliced Bolognas. Meat Sci. 2022, 184, 108697. [Google Scholar] [CrossRef]
- Lan, W.; Yang, X.; Chen, M.; Xie, J. Oregano Essential Oil-Pectin Edible Films on Shelf-Life Extension of Large Yellow Croaker (Pseudosciaena crocea) Fillet during Iced Storage. J. Aquat. Food Prod. Technol. 2022, 31, 321–331. [Google Scholar] [CrossRef]
- Tong, W.Y.; Rafiee, A.R.A.; Leong, C.R.; Tan, W.-N.; Dailin, D.J.; Almarhoon, Z.M.; Shelkh, M.; Nawaz, A.; Chuah, L.F. Development of Sodium Alginate-Pectin Biodegradable Active Food Packaging Film Containing Cinnamic Acid. Chemosphere 2023, 336, 139212. [Google Scholar] [CrossRef] [PubMed]
- Azizah, F.; Nursakti, H.; Ningrum, A.; Supriyadi. Development of Edible Composite Film from Fish Gelatin–Pectin Incorporated with Lemongrass Essential Oil and Its Application in Chicken Meat. Polymers 2023, 15, 2075. [Google Scholar] [CrossRef] [PubMed]
- Yang, J.-S.; Xie, Y.-J.; He, W. Research Progress on Chemical Modification of Alginate: A Review. Carbohydr. Polym. 2011, 84, 33–39. [Google Scholar] [CrossRef]
- Raus, R.A.; Nawawi, W.M.F.W.; Nasaruddin, R.R. Alginate and Alginate Composites for Biomedical Applications. Asian J. Pharm. Sci. 2021, 16, 280–306. [Google Scholar] [CrossRef] [PubMed]
- Fu, S.; Thacker, A.; Sperger, D.M.; Boni, R.L.; Buckner, I.S.; Velankar, S.; Munson, E.J.; Block, L.H. Relevance of Rheological Properties of Sodium Alginate in Solution to Calcium Alginate Gel Properties. AAPS Pharmscitech. 2011, 12, 453–460. [Google Scholar] [CrossRef] [PubMed]
- Draget, K.I.; Smidsrød, O.; Skjåk-Bræk, G. Alginates from Algae. In Polysaccharides and Polyamides in the Food Industry: Properties, Production, and Patents; WILEY-VCH Verlag GMBH & Co. KGaA: Weinheim, Germany, 2005; pp. 1–30. [Google Scholar]
- Kothale, D.; Verma, U.; Dewangan, N.; Jana, P.; Jain, A.; Jain, D. Alginate as Promising Natural Polymer for Pharmaceutical, Food, and Biomedical Applications. Curr. Drug Deliv. 2020, 17, 755–775. [Google Scholar] [CrossRef]
- Gheorghita Puscaselu, R.; Lobiuc, A.; Dimian, M.; Covasa, M. Alginate: From Food Industry to Biomedical Applications and Management of Metabolic Disorders. Polymers 2020, 12, 2417. [Google Scholar] [CrossRef]
- Sharma, S.; Sanpui, P.; Chattopadhyay, A.; Ghosh, S.S. Fabrication of Antibacterial Silver Nanoparticle—Sodium Alginate–Chitosan Composite Films. Rsc Adv. 2012, 2, 5837–5843. [Google Scholar] [CrossRef]
- George, M.; Abraham, T.E. Polyionic Hydrocolloids for the Intestinal Delivery of Protein Drugs: Alginate and Chitosan—A Review. J. Control. Release 2006, 114, 1–14. [Google Scholar] [CrossRef]
- Stabler, C.; Wilks, K.; Sambanis, A.; Constantinidis, I. The Effects of Alginate Composition on Encapsulated ΒTC3 Cells. Biomaterials 2001, 22, 1301–1310. [Google Scholar] [CrossRef] [PubMed]
- Kim, S.; Baek, S.-K.; Song, K. Bin Physical and Antioxidant Properties of Alginate Films Prepared from Sargassum Fulvellum with Black Chokeberry Extract. Food Packag. Shelf Life 2018, 18, 157–163. [Google Scholar] [CrossRef]
- Kaczmarek, B. Improving Sodium Alginate Films Properties by Phenolic Acid Addition. Materials 2020, 13, 2895. [Google Scholar] [CrossRef]
- Bishnoi, S.; Trifol, J.; Moriana, R.; Mendes, A.C. Adjustable Polysaccharides-Proteins Films Made of Aqueous Wheat Proteins and Alginate Solutions. Food Chem. 2022, 391, 133196. [Google Scholar] [CrossRef]
- Reyes-Avalos, M.C.; Femenia, A.; Minjares-Fuentes, R.; Contreras-Esquivel, J.C.; Aguilar-González, C.N.; Esparza-Rivera, J.R.; Meza-Velázquez, J.A. Improvement of the Quality and the Shelf Life of Figs (Ficus Carica) Using an Alginate–Chitosan Edible Film. Food Bioprocess Technol. 2016, 9, 2114–2124. [Google Scholar] [CrossRef]
- Deepa, B.; Abraham, E.; Pothan, L.A.; Cordeiro, N.; Faria, M.; Thomas, S. Biodegradable Nanocomposite Films Based on Sodium Alginate and Cellulose Nanofibrils. Materials 2016, 9, 50. [Google Scholar] [CrossRef] [PubMed]
- Heydari, R.; Bavandi, S.; Javadian, S.R. Effect of Sodium Alginate Coating Enriched with Horsemint (M Entha Longifolia) Essential Oil on the Quality of Bighead Carp Fillets during Storage at 4 C. Food Sci. Nutr. 2015, 3, 188–194. [Google Scholar] [CrossRef] [PubMed]
- Golpaigani, M.H.; Ariaii, P.; Ahmadi, M.; Safari, R. Preservation Effect of Protein Hydrolysate of Rainbow Trout Roe with a Composite Coating on the Quality of Fresh Meat during Storage at 4±1° C. J. Food Meas. Charact. 2023, 17, 2416–2428. [Google Scholar] [CrossRef]
- Matiacevich, S.; Acevedo, N.; López, D. Characterization of Edible Active Coating Based on Alginate–Thyme Oil–Propionic Acid for the Preservation of Fresh Chicken Breast Fillets. J. Food Process. Preserv. 2015, 39, 2792–2801. [Google Scholar] [CrossRef]
- Noor, S.; Bhat, Z.F.; Kumar, S.; Mudiyanselage, R.J. Preservative Effect of Asparagus Racemosus: A Novel Additive for Bioactive Edible Films for Improved Lipid Oxidative Stability and Storage Quality of Meat Products. Meat Sci. 2018, 139, 207–212. [Google Scholar] [CrossRef]
- Alves, D.; Marques, A.; Milho, C.; Costa, M.J.; Pastrana, L.M.; Cerqueira, M.A.; Sillankorva, S.M. Bacteriophage ΦIBB-PF7A Loaded on Sodium Alginate-Based Films to Prevent Microbial Meat Spoilage. Int. J. Food Microbiol. 2019, 291, 121–127. [Google Scholar] [CrossRef] [PubMed]
- Sahariah, P.; Másson, M. Antimicrobial Chitosan and Chitosan Derivatives: A Review of the Structure–Activity Relationship. Biomacromolecules 2017, 18, 3846–3868. [Google Scholar] [CrossRef]
- Wang, W.; Meng, Q.; Li, Q.; Liu, J.; Zhou, M.; Jin, Z.; Zhao, K. Chitosan Derivatives and Their Application in Biomedicine. Int. J. Mol. Sci. 2020, 21, 487. [Google Scholar] [CrossRef]
- Joseph, S.M.; Krishnamoorthy, S.; Paranthaman, R.; Moses, J.A.; Anandharamakrishnan, C. A Review on Source-Specific Chemistry, Functionality, and Applications of Chitin and Chitosan. Carbohydr. Polym. Technol. Appl. 2021, 2, 100036. [Google Scholar] [CrossRef]
- Chung, Y.-C.; Chen, C.-Y. Antibacterial Characteristics and Activity of Acid-Soluble Chitosan. Bioresour. Technol. 2008, 99, 2806–2814. [Google Scholar] [CrossRef] [PubMed]
- Chung, Y.-C.; Su, Y.P.; Chen, C.-C.; Jia, G.; Wang, H.L.; Wu, J.C.G.; Lin, J.G. Relationship between Antibacterial Activity of Chitosan and Surface Characteristics of Cell Wall. Acta Pharmacol. Sin. 2004, 25, 932–936. [Google Scholar]
- Garg, U.; Chauhan, S.; Nagaich, U.; Jain, N. Current Advances in Chitosan Nanoparticles Based Drug Delivery and Targeting. Adv. Pharm. Bull. 2019, 9, 195. [Google Scholar] [CrossRef]
- Kumar, S.; Mukherjee, A.; Dutta, J. Chitosan Based Nanocomposite Films and Coatings: Emerging Antimicrobial Food Packaging Alternatives. Trends Food Sci. Technol. 2020, 97, 196–209. [Google Scholar] [CrossRef]
- Casariego, A.; Souza, B.W.S.; Cerqueira, M.A.; Teixeira, J.A.; Cruz, L.; Díaz, R.; Vicente, A.A. Chitosan/Clay Films’ Properties as Affected by Biopolymer and Clay Micro/Nanoparticles’ Concentrations. Food Hydrocoll. 2009, 23, 1895–1902. [Google Scholar] [CrossRef]
- Fang, Z.; Lin, D.; Warner, R.D.; Ha, M. Effect of Gallic Acid/Chitosan Coating on Fresh Pork Quality in Modified Atmosphere Packaging. Food Chem. 2018, 260, 90–96. [Google Scholar] [CrossRef]
- Xiong, Y.; Chen, M.; Warner, R.D.; Fang, Z. Incorporating Nisin and Grape Seed Extract in Chitosan-Gelatine Edible Coating and Its Effect on Cold Storage of Fresh Pork. Food Control 2020, 110, 107018. [Google Scholar] [CrossRef]
- Fan, W.; Sun, J.; Chen, Y.; Qiu, J.; Zhang, Y.; Chi, Y. Effects of Chitosan Coating on Quality and Shelf Life of Silver Carp during Frozen Storage. Food Chem. 2009, 115, 66–70. [Google Scholar] [CrossRef]
- Li, T.; Li, J.; Hu, W.; Li, X. Quality Enhancement in Refrigerated Red Drum (Sciaenops ocellatus) Fillets Using Chitosan Coatings Containing Natural Preservatives. Food Chem. 2013, 138, 821–826. [Google Scholar] [CrossRef] [PubMed]
- Langroodi, A.M.; Tajik, H.; Mehdizadeh, T.; Moradi, M.; Kia, E.M.; Mahmoudian, A. Effects of Sumac Extract Dipping and Chitosan Coating Enriched with Zataria Multiflora Boiss Oil on the Shelf-Life of Meat in Modified Atmosphere Packaging. LWT 2018, 98, 372–380. [Google Scholar] [CrossRef]
- Xiong, Y.; Kamboj, M.; Ajlouni, S.; Fang, Z. Incorporation of Salmon Bone Gelatine with Chitosan, Gallic Acid and Clove Oil as Edible Coating for the Cold Storage of Fresh Salmon Fillet. Food Control 2021, 125, 107994. [Google Scholar] [CrossRef]
- Mojaddar Langroodi, A.; Nematollahi, A.; Sayadi, M. Chitosan Coating Incorporated with Grape Seed Extract and Origanum Vulgare Essential Oil: An Active Packaging for Turkey Meat Preservation. J. Food Meas. Charact. 2021, 15, 2790–2804. [Google Scholar] [CrossRef]
- Wilfer, P.B.; Giridaran, G.; Jeevahan, J.J.; Joseph, G.B.; Kumar, G.S.; Thykattuserry, N.J. Effect of Starch Type on the Film Properties of Native Starch Based Edible Films. Mater. Today Proc. 2021, 44, 3903–3907. [Google Scholar] [CrossRef]
- Jiang, S.; Liu, C.; Wang, X.; Xiong, L.; Sun, Q. Physicochemical Properties of Starch Nanocomposite Films Enhanced by Self-Assembled Potato Starch Nanoparticles. LWT-Food Sci. Technol. 2016, 69, 251–257. [Google Scholar] [CrossRef]
- Hashemi, M.; Hashemi, M.; Daneshamooz, S.; Raeisi, M.; Jannat, B.; Taheri, S.; Noori, S.M.A. An Overview on Antioxidants Activity of Polysaccharide Edible Films and Coatings Contains Essential Oils and Herb Extracts in Meat and Meat Products. Adv. Anim. Vet. Sci. 2020, 8, 198–207. [Google Scholar] [CrossRef]
- Rolland-Sabaté, A.; Guilois, S.; Jaillais, B.; Colonna, P. Molecular Size and Mass Distributions of Native Starches Using Complementary Separation Methods: Asymmetrical Flow Field Flow Fractionation (A4F) and Hydrodynamic and Size Exclusion Chromatography (HDC-SEC). Anal. Bioanal. Chem. 2011, 399, 1493–1505. [Google Scholar] [CrossRef]
- Basiak, E.; Lenart, A.; Debeaufort, F. Effect of Starch Type on the Physico-Chemical Properties of Edible Films. Int. J. Biol. Macromol. 2017, 98, 348–356. [Google Scholar] [CrossRef] [PubMed]
- Mehboob, S.; Ali, T.M.; Sheikh, M.; Hasnain, A. Effects of Cross Linking and/or Acetylation on Sorghum Starch and Film Characteristics. Int. J. Biol. Macromol. 2020, 155, 786–794. [Google Scholar] [CrossRef] [PubMed]
- Liu, Z. Edible Films and Coatings from Starches. In Innovations in Food Packaging; Elsevier: Amsterdam, The Netherlands, 2005; pp. 318–337. [Google Scholar]
- Yıldırım-Yalçın, M.; Sadıkoğlu, H.; Şeker, M. Characterization of Edible Film Based on Grape Juice and Cross-Linked Maize Starch and Its Effects on the Storage Quality of Chicken Breast Fillets. LWT 2021, 142, 111012. [Google Scholar] [CrossRef]
- Marzlan, A.A.; Muhialdin, B.J.; Abedin, N.H.Z.; Manshoor, N.; Ranjith, F.H.; Anzian, A.; Hussin, A.S.M. Incorporating Torch Ginger (Etlingera Elatior Jack) Inflorescence Essential Oil onto Starch-Based Edible Film towards Sustainable Active Packaging for Chicken Meat. Ind. Crop. Prod. 2022, 184, 115058. [Google Scholar] [CrossRef]
- Vásconez, M.B.; Flores, S.K.; Campos, C.A.; Alvarado, J.; Gerschenson, L.N. Antimicrobial Activity and Physical Properties of Chitosan–Tapioca Starch Based Edible Films and Coatings. Food Res. Int. 2009, 42, 762–769. [Google Scholar] [CrossRef]
- Radha Krishnan, K.; Babuskin, S.; Rakhavan, K.R.; Tharavin, R.; Azhagu Saravana Babu, P.; Sivarajan, M.; Sukumar, M. Potential Application of Corn Starch Edible Films with Spice Essential Oils for the Shelf Life Extension of Red Meat. J. Appl. Microbiol. 2015, 119, 1613–1623. [Google Scholar] [CrossRef] [PubMed]
- Supardan, M.D.; Annisa, Y.; Arpi, N.; Satriana, S.; Mustapha, W.A.W. Cassava Starch Edible Film Incorporated with Lemongrass Oil: Characteristics and Application. Int. J. Adv. Sci. Eng. Inf. Technol 2016, 6, 216–220. [Google Scholar] [CrossRef]
- Zhao, Y.; Teixeira, J.S.; Gänzle, M.M.; Saldaña, M.D.A. Development of Antimicrobial Films Based on Cassava Starch, Chitosan and Gallic Acid Using Subcritical Water Technology. J. Supercrit. Fluids 2018, 137, 101–110. [Google Scholar] [CrossRef]
- Mehdizadeh, T.; Tajik, H.; Langroodi, A.M.; Molaei, R.; Mahmoudian, A. Chitosan-Starch Film Containing Pomegranate Peel Extract and Thymus Kotschyanus Essential Oil Can Prolong the Shelf Life of Beef. Meat Sci. 2020, 163, 108073. [Google Scholar] [CrossRef]
- Tongdeesoontorn, W.; Mauer, L.J.; Wongruong, S.; Sriburi, P.; Reungsang, A.; Rachtanapun, P. Antioxidant Films from Cassava Starch/Gelatin Biocomposite Fortified with Quercetin and TBHQ and Their Applications in Food Models. Polymers 2021, 13, 1117. [Google Scholar] [CrossRef]
- Cestari, L.A.; da Silva Scapim, M.R.; Madrona, G.S.; Yamashita, F.; Biondo, P.B.F.; Carvalho, V.M.; Bonin, E.; do Prado, I.N. Production, Antioxidant Characterization and Application of Active Starch-Based Films Containing Essential Oils for Beef Packaging. Res. Soc. Dev. 2021, 10, e4310816903. [Google Scholar] [CrossRef]
- Rahmasari, Y.; Yemiş, G.P. Characterization of Ginger Starch-Based Edible Films Incorporated with Coconut Shell Liquid Smoke by Ultrasound Treatment and Application for Ground Beef. Meat Sci. 2022, 188, 108799. [Google Scholar] [CrossRef] [PubMed]
- Silva-Weiss, A.; Quilaqueo, M.; Venegas, O.; Ahumada, M.; Silva, W.; Osorio, F.; Giménez, B. Design of Dipalmitoyl Lecithin Liposomes Loaded with Quercetin and Rutin and Their Release Kinetics from Carboxymethyl Cellulose Edible Films. J. Food Eng. 2018, 224, 165–173. [Google Scholar] [CrossRef]
- Barradas, T.N.; de Holanda e Silva, K.G. Nanoemulsions of Essential Oils to Improve Solubility, Stability and Permeability: A Review. Environ. Chem. Lett. 2021, 19, 1153–1171. [Google Scholar] [CrossRef]
- Sedaghat Doost, A.; Nasrabadi, M.N.; Kassozi, V.; Nakisozi, H.; Van der Meeren, P. Recent Advances in Food Colloidal Delivery Systems for Essential Oils and Their Main Components. Trends Food Sci. Technol. 2020, 99, 474–486. [Google Scholar] [CrossRef]
- de Oca-Ávalos, J.M.M.; Candal, R.J.; Herrera, M.L. Nanoemulsions: Stability and Physical Properties. Curr. Opin. Food Sci. 2017, 16, 1–6. [Google Scholar] [CrossRef]
- Liu, B.; Hu, X. Hollow Micro-and Nanomaterials: Synthesis and Applications. In Advanced Nanomaterials for Pollutant Sensing and Environmental Catalysis; Elsevier: Amsterdam, The Netherlands, 2020; pp. 1–38. [Google Scholar]
- Khalil, H.E.; Alqahtani, N.K.; Darrag, H.M.; Ibrahim, H.-I.M.; Emeka, P.M.; Badger-Emeka, L.I.; Matsunami, K.; Shehata, T.M.; Elsewedy, H.S. Date Palm Extract (Phoenix dactylifera) PEGylated Nanoemulsion: Development, Optimization and Cytotoxicity Evaluation. Plants 2021, 10, 735. [Google Scholar] [CrossRef]
- Lou, Z.; Chen, J.; Yu, F.; Wang, H.; Kou, X.; Ma, C.; Zhu, S. The Antioxidant, Antibacterial, Antibiofilm Activity of Essential Oil from Citrus Medica L. Var. Sarcodactylis and Its Nanoemulsion. LWT 2017, 80, 371–377. [Google Scholar] [CrossRef]
- Noori, S.; Zeynali, F.; Almasi, H. Antimicrobial and Antioxidant Efficiency of Nanoemulsion-Based Edible Coating Containing Ginger (Zingiber officinale) Essential Oil and Its Effect on Safety and Quality Attributes of Chicken Breast Fillets. Food Control 2018, 84, 312–320. [Google Scholar] [CrossRef]
- Keykhosravy, K.; Khanzadi, S.; Hashemi, M.; Azizzadeh, M. Chitosan-Loaded Nanoemulsion Containing Zataria Multiflora Boiss and Bunium persicum Boiss Essential Oils as Edible Coatings: Its Impact on Microbial Quality of Turkey Meat and Fate of Inoculated Pathogens. Int. J. Biol. Macromol. 2020, 150, 904–913. [Google Scholar] [CrossRef]
- Majdinasab, M.; Niakousari, M.; Shaghaghian, S.; Dehghani, H. Antimicrobial and Antioxidant Coating Based on Basil Seed Gum Incorporated with Shirazi Thyme and Summer Savory Essential Oils Emulsions for Shelf-Life Extension of Refrigerated Chicken Fillets. Food Hydrocoll. 2020, 108, 106011. [Google Scholar] [CrossRef]
- Zhou, X.; Zong, X.; Zhang, M.; Ge, Q.; Qi, J.; Liang, J.; Xu, X.; Xiong, G. Effect of Konjac Glucomannan/Carrageenan-Based Edible Emulsion Coatings with Camellia Oil on Quality and Shelf-Life of Chicken Meat. Int. J. Biol. Macromol. 2021, 183, 331–339. [Google Scholar] [CrossRef] [PubMed]
- Kazemeini, H.; Azizian, A.; Adib, H. Inhibition of Listeria Monocytogenes Growth in Turkey Fillets by Alginate Edible Coating with Trachyspermum Ammi Essential Oil Nano-Emulsion. Int. J. Food Microbiol. 2021, 344, 109104. [Google Scholar] [CrossRef] [PubMed]
- Huang, M.; Wang, H.; Xu, X.; Lu, X.; Song, X.; Zhou, G. Effects of Nanoemulsion-Based Edible Coatings with Composite Mixture of Rosemary Extract and ε-Poly-L-Lysine on the Shelf Life of Ready-to-Eat Carbonado Chicken. Food Hydrocoll. 2020, 102, 105576. [Google Scholar] [CrossRef]
- Qiu, L.; Zhang, M.; Chitrakar, B.; Adhikari, B.; Yang, C. Effects of Nanoemulsion-Based Chicken Bone Gelatin-Chitosan Coatings with Cinnamon Essential Oil and Rosemary Extract on the Storage Quality of Ready-to-Eat Chicken Patties. Food Packag. Shelf Life 2022, 34, 100933. [Google Scholar] [CrossRef]
- Yuan, D.; Hao, X.; Liu, G.; Yue, Y.; Duan, J. A Novel Composite Edible Film Fabricated by Incorporating W/O/W Emulsion into a Chitosan Film to Improve the Protection of Fresh Fish Meat. Food Chem. 2022, 385, 132647. [Google Scholar] [CrossRef] [PubMed]
- Kaveh, S.; Mahoonak, A.S.; Ghorbani, M.; Jafari, S.M. Fenugreek Seed (Trigonella foenum graecum) Protein Hydrolysate Loaded in Nanosized Liposomes: Characteristic, Storage Stability, Controlled Release and Retention of Antioxidant Activity. Ind. Crop. Prod. 2022, 182, 114908. [Google Scholar] [CrossRef]
- Imran, M.; Revol-Junelles, A.-M.; René, N.; Jamshidian, M.; Akhtar, M.J.; Arab-Tehrany, E.; Jacquot, M.; Desobry, S. Microstructure and Physico-Chemical Evaluation of Nano-Emulsion-Based Antimicrobial Peptides Embedded in Bioactive Packaging Films. Food Hydrocoll. 2012, 29, 407–419. [Google Scholar] [CrossRef]
- Cui, H.Y.; Wu, J.; Li, C.Z.; Lin, L. Anti-Listeria Effects of Chitosan-Coated Nisin-Silica Liposome on Cheddar Cheese. J. Dairy Sci. 2016, 99, 8598–8606. [Google Scholar] [CrossRef]
- Cui, H.; Yuan, L.; Lin, L. Novel Chitosan Film Embedded with Liposome-Encapsulated Phage for Biocontrol of Escherichia coli O157: H7 in Beef. Carbohydr. Polym. 2017, 177, 156–164. [Google Scholar] [CrossRef]
- Majid, I.; Nayik, G.A.; Dar, S.M.; Nanda, V. Novel Food Packaging Technologies: Innovations and Future Prospective. J. Saudi Soc. Agric. Sci. 2018, 17, 454–462. [Google Scholar] [CrossRef]
- Martín-Belloso, O.; Rojas-Graü, M.A.; Soliva-Fortuny, R. Delivery of Flavor and Active Ingredients Using Edible Films and Coatings. In Edible Films and Coatings for Food Applications; Springer: New York, NY, USA, 2009; pp. 295–313. [Google Scholar]
- Galus, S.; Arik Kibar, E.A.; Gniewosz, M.; Kraśniewska, K. Novel Materials in the Preparation of Edible Films and Coatings—A Review. Coatings 2020, 10, 674. [Google Scholar] [CrossRef]
- Wan, V.C.-H.; Lee, C.M.; Lee, S.-Y. Understanding Consumer Attitudes on Edible Films and Coatings: Focus Group Findings. J. Sens. Stud. 2007, 22, 353–366. [Google Scholar] [CrossRef]
- Malakar, A.; Kanel, S.R.; Ray, C.; Snow, D.D.; Nadagouda, M.N. Nanomaterials in the Environment, Human Exposure Pathway, and Health Effects: A Review. Sci. Total Environ. 2021, 759, 143470. [Google Scholar] [CrossRef] [PubMed]
- Vlachogianni, T.; Valavanidis, A. Nanomaterials: Environmental Pollution, Ecolological Risks and Adverse Health Effects. Nano Sci. Nano Technol. Indian J 2014, 8, 208–226. [Google Scholar]
- Bumbudsanpharoke, N.; Choi, J.; Ko, S. Applications of Nanomaterials in Food Packaging. J. Nanosci. Nanotechnol. 2015, 15, 6357–6372. [Google Scholar] [CrossRef] [PubMed]
- Bizymis, A.-P.; Tzia, C. Edible Films and Coatings: Properties for the Selection of the Components, Evolution through Composites and Nanomaterials, and Safety Issues. Crit. Rev. Food Sci. Nutr. 2022, 62, 8777–8792. [Google Scholar] [CrossRef]
- Food and Drug Administration. Guidance for industry: Assessing the effects of significant manufacturing process changes, including emerging technologies, on the safety and regulatory status of food ingredients and food contact substances, including food ingredients that are color additives. In Book Guidance for Industry: Assessing the Effects of Significant Manufacturing Process Changes, Including Emerging Technologies, on the Safety and Regulatory Status of Food Ingredients and Food Contact Substances, Including Food Ingredients that are Color Additives-Draft Guidance; FDA: Silver Spring, MD, USA, 2014. [Google Scholar]
- Committee, E.S.; Hardy, A.; Benford, D.; Halldorsson, T.; Jeger, M.J.; Knutsen, H.K.; More, S.; Naegeli, H.; Noteborn, H.; Ockleford, C. Guidance on Risk Assessment of the Application of Nanoscience and Nanotechnologies in the Food and Feed Chain: Part 1, Human and Animal Health. EFSA J. 2018, 16, e05327. [Google Scholar]
- Bouwmeester, H.; Brandhoff, P.; Marvin, H.J.P.; Weigel, S.; Peters, R.J.B. State of the Safety Assessment and Current Use of Nanomaterials in Food and Food Production. Trends Food Sci. Technol. 2014, 40, 200–210. [Google Scholar] [CrossRef]
- Paidari, S.; Tahergorabi, R.; Anari, E.S.; Nafchi, A.M.; Zamindar, N.; Goli, M. Migration of Various Nanoparticles into Food Samples: A Review. Foods 2021, 10, 2114. [Google Scholar] [CrossRef]
Disclaimer/Publisher’s Note: The statements, opinions and data contained in all publications are solely those of the individual author(s) and contributor(s) and not of MDPI and/or the editor(s). MDPI and/or the editor(s) disclaim responsibility for any injury to people or property resulting from any ideas, methods, instructions or products referred to in the content. |
© 2023 by the authors. Licensee MDPI, Basel, Switzerland. This article is an open access article distributed under the terms and conditions of the Creative Commons Attribution (CC BY) license (https://creativecommons.org/licenses/by/4.0/).




