Lotus Root Polysaccharide-Phenol Complexes: Interaction, Structure, Antioxidant, and Anti-Inflammatory Activities
Abstract
1. Introduction
2. Materials and Methods
2.1. Materials and Chemicals
2.2. Isolation and Proximate Composition of Lotus Root Polysaccharides
2.3. Preparation of LRP-GA and LRP-EGC Complexes
2.4. Characterization of LRP-GA and LRP-EGC Complexes
2.4.1. Ultraviolet–Visible (UV–Vis) Spectrum Analysis
2.4.2. Fourier-Transform Infrared (FTIR) Spectrum Analysis
2.4.3. High-Performance Size-Exclusion Chromatography
2.5. Antioxidant Activities of LRP-GA and LRP-EGC Complexes
2.6. Immunomodulatory Activity of LRP-GA and LRP-EGC Complexes
2.7. Statistical Analysis
3. Results and Discussion
3.1. Physicochemical Properties of LRPs
3.2. Factors That Influence the Binding Ratio of GA/EGC to LRPs
3.2.1. Effect of pH
3.2.2. Effect of Temperature
3.2.3. Effect of NaCl Concentration
3.2.4. Effect of Phenol Concentration
3.3. Characterization of LRP-GA and LRP-EGC Complexes
3.3.1. UV–Vis Spectrum Analysis
3.3.2. FTIR Spectrum Analysis
3.4. Molecular Weight (MW) Distributions of LRP-Phenol Complexes
3.5. Antioxidant Activities of LRPs and LRPs-GA/EGC Complexes
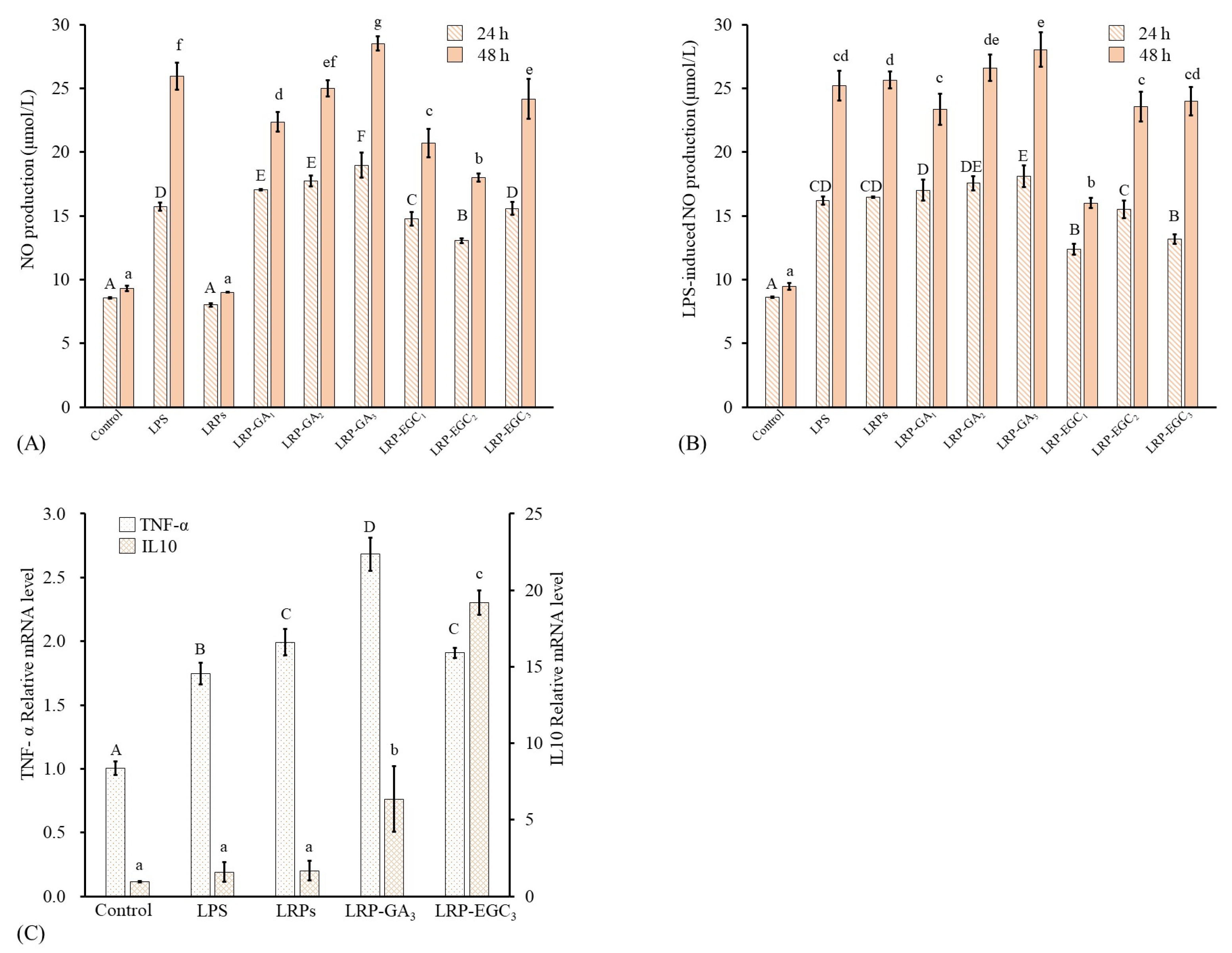
3.6. Immunomodulatory Activity of LRPs-GA/EGC Complexes on RAW264.7 Cells
4. Conclusions
Author Contributions
Funding
Data Availability Statement
Conflicts of Interest
Abbreviations
| GA | gallic acid |
| EGC | epigallocatechin |
| UV–Vis | ultraviolet–visible |
| FTIR | Fourier-transform infrared |
| MW | molecular weight |
| LPS | liposaccharide |
| DMEM | Gibco Dulbecco’s Modified Eagle Medium |
| PBS | phosphate-buffered saline |
| DPPH | 2,2-diphenyl-1-picrylhydrazyl |
| DNS | 3,5-dinitrosalicylic acid |
| HPSEC | high-performance size-exclusion chromatography |
| DPPH | 2,2-diphenyl-1-picrylhydrazyl |
| FRAP | ferric-reducing antioxidant power |
| TNF- | tumor necrosis factor- |
| IL-10 | interleukin-10 |
References
- Yi, Y.; Sun, J.; Xie, J.; Min, T.; Wang, L.-M.; Wang, H.-X. Phenolic profiles and antioxidant activity of lotus root varieties. Molecules 2016, 21, 863. [Google Scholar] [CrossRef] [PubMed]
- Wang, H.-X.; Yi, Y.; Sun, J.; Lamikanra, O.; Min, T. Fingerprint Profiling of Polysaccharides from Different Parts of Lotus Root Varieties. RSC Adv. 2018, 8, 16574–16584. [Google Scholar] [CrossRef] [PubMed]
- Yi, Y.; Lamikanra, O.; Sun, J.; Wang, L.-M.; Min, T.; Wang, H.-X. Activity Diversity Structure-Activity Relationship of Polysaccharides from Lotus Root Varieties. Carbohydr. Polym. 2018, 190, 67–76. [Google Scholar] [CrossRef]
- Bermúdez-Oria, A.; Rodríguez-Gutiérrez, G.; Fernández-Prior, Á.; Vioque, B.; Fernández-Bolaños, J. Strawberry Dietary Fiber Functionalized with Phenolic Antioxidants from Olives. Interactions between Polysaccharides and Phenolic Compounds. Food Chem. 2019, 280, 310–320. [Google Scholar] [CrossRef] [PubMed]
- Hayashi, N.; Ujihara, T.; Kohata, K. Reduction of Catechin Astringency by the Complexation of Gallate-Type Catechins with Pectin. Biosci. Biotechnol. Biochem. 2005, 69, 1306–1310. [Google Scholar] [CrossRef]
- Tudorache, M.; Bordenave, N. Phenolic Compounds Mediate Aggregation of Water-Soluble Polysaccharides and Change Their Rheological Properties: Effect of Different Phenolic Compounds. Food Hydrocoll. 2019, 97, 105193. [Google Scholar] [CrossRef]
- Jakobek, L.; Matić, P. Non-Covalent Dietary Fiber—Polyphenol Interactions and Their Influence on Polyphenol Bioaccessibility. Trends Food Sci. Technol. 2019, 83, 235–247. [Google Scholar] [CrossRef]
- Guo, Q.; Ma, Q.; Xue, Z.; Gao, X.; Chen, H. Studies on the Binding Characteristics of Three Polysaccharides with Different Molecular Weight and Flavonoids from Corn Silk (Maydis Stigma). Carbohydr. Polym. 2018, 198, 581–588. [Google Scholar] [CrossRef]
- Zhang, D.; Zhu, J.; Ye, F.; Zhao, G. Non-Covalent Interaction between Ferulic Acid and Arabinan-Rich Pectic Polysaccharide from Rapeseed Meal. Int. J. Biol. Macromol. 2017, 10, 307–315. [Google Scholar] [CrossRef]
- Gao, R.; Liu, H.; Peng, Z.; Wu, Z.; Wang, Y.; Zhao, G. Adsorption of (-)-Epigallocatechin-3-Gallate (EGCG) onto Oat β-Glucan. Food Chem. 2012, 132, 1936–1943. [Google Scholar] [CrossRef]
- Yi, Y.; Huang, X.-Y.; Zhong, Z.-T.; Huang, F.; Li, S.-Y.; Wang, L.-M.; Min, T.; Wang, H.-X. Structural and Biological Properties of Polysaccharides from Lotus Root. Int. J. Biol. Macromol. 2019, 130, 454–461. [Google Scholar] [CrossRef] [PubMed]
- Dubois, M.; Gilles, K.A.; Hamilton, J.K.; Rebers, P.T.; Smith, F. Colorimetric Method for Determination of Sugars and Related Substances. Anal. Chem. 1956, 28, 350–356. [Google Scholar] [CrossRef]
- Yi, Y.; Tang, H.-S.; Sun, Y.; Xu, W.; Min, T.; Wang, H.-X. Comprehensive Characterization of Lotus Root Polysaccharide-Phenol Complexes. Food Chem. 2022, 366, 130693. [Google Scholar] [CrossRef]
- Zhao, K.; Xue, P.; Gu, G. Study on Determination of Reducing Sugar Content Using 3, 5-Dinitrosalicylic Acid Method. Food Sci. 2008, 29, 534–536. [Google Scholar]
- Guo, X.-D.; Wu, C.-S.; Ma, Y.-J.; Parry, J.; Xu, Y.-Y.; Liu, H.; Wang, M. Comparison of Milling Fractions of Tartary Buckwheat for Their Phenolics and Antioxidant Properties. Food Res. Int. 2012, 49, 53–59. [Google Scholar] [CrossRef]
- Li, S.; Li, J.; Zhu, Z.; Cheng, S.; He, J.; Lamikanra, O. Soluble Dietary Fiber and Polyphenol Complex in Lotus Root: Preparation, Interaction and Identification. Food Chem. 2020, 314, 126219. [Google Scholar] [CrossRef]
- Dridi, W.; Bordenave, N. Influence of Polysaccharide Concentration on Polyphenol-Polysaccharide Interactions. Carbohydr. Polym. 2021, 274, 118670. [Google Scholar] [CrossRef] [PubMed]
- Tsirigotis-Maniecka, M.; Pawlaczyk-Graja, I.; Ziewiecki, R.; Balicki, S.; Matulová, M.; Capek, P.; Czechowski, F.; Gancarz, R. The Polyphenolic-Polysaccharide Complex of Agrimonia Eupatoria L. as an Indirect Thrombin Inhibitor-Isolation and Chemical Characterization. Int. J. Biol. Macromol. 2019, 125, 124–132. [Google Scholar] [CrossRef]
- Rodríguez, R.; Jaramillo, S.; Rodríguez, G.; Espejo, J.A.; Guillén, R.; Fernández-Bolaños, J.; Heredia, A.; Jiménez, A. Antioxidant Activity of Ethanolic Extracts from Several Asparagus Cultivars. J. Agric. Food Chem. 2005, 53, 5212–5217. [Google Scholar] [CrossRef]
- Shao, P.; Chen, X.; Sun, P. Chemical Characterization, Antioxidant and Antitumor Activity of Sulfated Polysaccharide from Sargassum Horneri. Carbohydr. Polym. 2014, 105, 260–269. [Google Scholar] [CrossRef]
- Badhani, B.; Kakkar, R. DFT Study of Structural and Electronic Properties of Gallic Acid and Its Anions in Gas Phase and in Aqueous Solution. Struct. Chem. 2017, 28, 1789–1802. [Google Scholar] [CrossRef]
- Karimova, N.V.; Luo, M.; Sit, I.; Grassian, V.H.; Gerber, R.B. Absorption Spectra and the Electronic Structure of Gallic Acid in Water at Different PH: Experimental Data and Theoretical Cluster Models. J. Phys. Chem. A 2022, 126, 190–197. [Google Scholar] [CrossRef] [PubMed]
- Phan, A.D.T.; D’Arcy, B.R.; Gidley, M.J. Polyphenol–Cellulose Interactions: Effects of PH, Temperature and Salt. Int. J. Food Sci. Technol. 2016, 51, 203–211. [Google Scholar] [CrossRef]
- Liu, J.; Li, J.; Ma, Y.; Chen, F.; Zhao, G. Synthesis, Characterization, and Aqueous Self-Assembly of Octenylsuccinate Oat β-Glucan. J. Agric. Food Chem. 2013, 61, 12683–12691. [Google Scholar] [CrossRef] [PubMed]
- Kumamoto, M.; Sonda, T.; Nagayama, K.; Tabata, M. Effects of PH and Metal Ions on Antioxidative Activities of Catechins. Biosci. Biotechnol. Biochem. 2001, 65, 126–132. [Google Scholar] [CrossRef]
- Le Bourvellec, C.; Guyot, S.; Renard, C. Non-Covalent Interaction between Procyanidins and Apple Cell Wall Material: Part I. Effect of Some Environmental Parameters. Biochim. Biophys. Acta-BBA-Gen. Subj. 2004, 1672, 192–202. [Google Scholar] [CrossRef]
- Zhu, F. Interactions between Cell Wall Polysaccharides and Polyphenols. Crit. Rev. Food Sci. Nutr. 2018, 58, 1808–1831. [Google Scholar] [CrossRef]
- Wu, Y.; Lin, Q.; Chen, Z.; Xiao, H. The Interaction between Tea Polyphenols and Rice Starch during Gelatinization. Food Sci. Technol. Int. 2011, 17, 569–577. [Google Scholar] [CrossRef]
- Le Bourvellec, C.; Renard, C. Interactions between Polyphenols and Macromolecules: Quantification Methods and Mechanisms. Crit. Rev. Food Sci. Nutr. 2012, 52, 213–248. [Google Scholar] [CrossRef]
- Arizmendi-Cotero, D.; Villanueva-Carvajal, A.; Gómez-Espinoza, R.M.; Dublán-García, O.; Dominguez-Lopez, A. Radical Scavenging Activity of an Inulin-Gallic Acid Graft and Its Prebiotic Effect on Lactobacillus Acidophilus in Vitro Growth. J. Funct. Foods 2017, 29, 135–142. [Google Scholar] [CrossRef]
- Liu, J.; Lu, J.; Kan, J.; Wen, X.; Jin, C. Synthesis, Characterization and in Vitro Anti-Diabetic Activity of Catechin Grafted Inulin. Int. J. Biol. Macromol. 2014, 64, 76–83. [Google Scholar] [CrossRef] [PubMed]
- Wu, Z.; Li, H.; Ming, J.; Zhao, G. Optimization of Adsorption of Tea Polyphenols into Oat β-Glucan Using Response Surface Methodology. J. Agric. Food Chem. 2011, 59, 378–385. [Google Scholar] [CrossRef]
- Zhang, M.; Huang, C.; Xie, J.; Shao, Z.; Li, X.; Bian, X.; Xue, B.; Gan, J.; Sun, T. Physical, Mechanical and Biological Properties of Phenolic Acid-Grafted Soluble Soybean Polysaccharide Films. Foods 2022, 11, 3747. [Google Scholar] [CrossRef] [PubMed]
- Xia, J.; Wang, D.; Liang, P.; Zhang, D.; Du, X.; Ni, D.; Yu, Z. Vibrational (FT-IR, Raman) Analysis of Tea Catechins Based on Both Theoretical Calculations and Experiments. Biophys. Chem. 2020, 256, 106282. [Google Scholar] [CrossRef] [PubMed]
- Poljansek, I.; Krajnc, M. Characterization of Phenol-Formaldehyde Prepolymer Resins by in Line FT-IR Spectroscopy. Acta Chim. Slov. 2005, 52, 238. [Google Scholar]
- Yong, H.; Hu, H.; Wang, Z.; Yun, D.; Kan, J.; Liu, J. Structure, Stability and Antioxidant Activity of Dialdehyde Starch Grafted with Epicatechin, Epicatechin Gallate, Epigallocatechin and Epigallocatechin Gallate. J. Sci. Food Agric. 2022, 102, 6373–6386. [Google Scholar] [CrossRef]
- Sidek, N.; Manan, N.S.; Mohamad, S. Efficient Removal of Phenolic Compounds from Model Oil Using Benzyl Imidazolium-Based Ionic Liquids. J. Mol. Liq. 2017, 240, 794–802. [Google Scholar] [CrossRef]
- Su, Y.; Li, L. Structural Characterization and Antioxidant Activity of Polysaccharide from Four Auriculariales. Carbohydr. Polym. 2020, 229, 115407. [Google Scholar] [CrossRef]
- Grzesik, M.; Naparlo, K.; Bartosz, G.; Sadowska-Bartosz, I. Antioxidant Properties of Catechins: Comparison with Other Antioxidants. Food Chem. 2018, 241, 480–492. [Google Scholar] [CrossRef]
- de Morais, F.P.; Pessato, T.B.; Rodrigues, E.; Mallmann, L.P.; Mariutti, L.R.; Netto, F.M. Whey Protein and Phenolic Compound Complexation: Effects on Antioxidant Capacity before and after in Vitro Digestion. Food Res. Int. 2020, 133, 109104. [Google Scholar] [CrossRef]
- Surin, S.; Surayot, U.; Seesuriyachan, P.; You, S.; Phimolsiripol, Y. Antioxidant and Immunomodulatory Activities of Sulphated Polysaccharides from Purple Glutinous Rice Bran (Oryza Sativa L.). Int. J. Food Sci. Technol. 2018, 53, 994–1004. [Google Scholar] [CrossRef]
- PeÑarando, J.; Aranda, E.; RodrÍguez-Ariza, A. Immunomodulatory Roles of Nitric Oxide in Cancer: Tumor Microenvironment Says “NO” to Antitumor Immune Response. Transl. Res. 2019, 210, 99–108. [Google Scholar] [CrossRef] [PubMed]








| Complex | Name | Preparation Conditions | |||
|---|---|---|---|---|---|
| Concentration of GA/EGC (mg/mL) | Mass Ratio of LRPs to GA/EGC | pH | Temperature (°C) | ||
| LRP-GA | LRP-GA | 8.0 | 1:4 | 7 | 0 |
| LRP-GA | 2.0 | 1:1 | 7 | 0 | |
| LRP-GA | 0.5 | 4:1 | 7 | 0 | |
| LRP-EGC | LRP-EGC | 8.0 | 1:4 | 5 | 0 |
| LRP-EGC | 2.0 | 1:1 | 5 | 0 | |
| LRP-EGC | 0.5 | 4:1 | 5 | 0 | |
| Sample | Retention Time (min) | Molecular Weight (Da) | Peak Area Percentage (%) | Average Molecular Weight (Da) |
|---|---|---|---|---|
| LRP | 7.237–11.370 | 2.561 × 10 (±1.031%) | 12.5 | 3.618 × 10 |
| 11.370–12.244 | 8.771 × 10 (±8.120%) | 8.3 | ||
| 12.244–13.934 | 4.055 × 10 (±10.646%) | 26.8 | ||
| 13.934–16.950 | 2.782 × 10 (±16.105%) | 47.1 | ||
| 16.950–20.058 | 3.320 × 10 (±29.285%) | 2.5 | ||
| 21.204–23.165 | 8.040 × 10 (±44.484%) | 2.7 | ||
| LRP-GA | 7.156–8.877 | 1.540 × 10 (±10.451%) | 0.9 | 1.106 × 10 |
| 8.877–11.089 | 3.246 × 10 (±40.231%) | 5.8 | ||
| 11.089–12.283 | 1.736 × 10 (±27.878%) | 18.9 | ||
| 12.283–14.285 | 1.065 × 10 (±39.474%) | 28.1 | ||
| 14.285–17.411 | 2.357 × 10 (±28.070%) | 46.3 | ||
| LRP-GA | 6.842–8.870 | 1.350 × 10 (±4.031%) | 2.5 | 6.501 × 10 |
| 8.870–11.177 | 1.786 × 10 (±19.428%) | 9.6 | ||
| 11.177–12.296 | 6.790 × 10 (±21.058%) | 20.4 | ||
| 12.296–14.078 | 2.497 × 10 (±31.497%) | 25.3 | ||
| 14.078–16.980 | 1.505 × 10 (±24.199%) | 34.7 | ||
| 17.015–19.601 | 1.584 × 10 (±11.543%) | 7.5 | ||
| LRP-GA | 6.815–8.896 | 1.617 × 10 (±1.334%) | 2.9 | 6.663 × 10 |
| 8.926–11.038 | 1.749 × 10 (±0.784%) | 9.5 | ||
| 11.038–12.727 | 3.523 × 10 (±11.649%) | 35.5 | ||
| 12.727–14.024 | 1.291 × 10 (±27.174%) | 18.2 | ||
| 14.024–14.959 | 9.475 × 10 (±17.222%) | 17.3 | ||
| 14.990–17.493 | 8.874 × 10 (±25.312%) | 16.6 | ||
| LRP-EGC | 6.875–8.866 | 1.102 × 10 (±1.355%) | 2.5 | 4.691 × 10 |
| 8.866–11.279 | 1.016 × 10 (±0.856%) | 16.4 | ||
| 11.279–12.516 | 3.479 × 10 (±15.877%) | 37.9 | ||
| 12.516–13.964 | 3.221 × 10 (±17.625%) | 20.6 | ||
| 13.964–14.899 | 2.195 × 10 (±12.611%) | 13.7 | ||
| 14.899–16.317 | 4.688 × 10 (±14.529%) | 8.9 | ||
| LRP-EGC | 6.905–8.926 | 1.066 × 10 (±1.419%) | 2.4 | 7.895 × 10 |
| 8.926–11.128 | 1.213 × 10 (±0.931%) | 10.8 | ||
| 11.128–13.994 | 1.446 × 10 (±17.875%) | 62.7 | ||
| 13.994–14.959 | 9.786 × 10 (±22.227%) | 15.5 | ||
| 14.959–17.041 | 1.886 × 10 (±31.802%) | 8.6 | ||
| LRP-EGC | 7.026–8.806 | 2.169 × 10 (±1.727%) | 1.8 | 5.799 × 10 |
| 8.836–10.978 | 1.960 × 10 (±2.232%) | 8.3 | ||
| 10.978–13.964 | 3.035 × 10 (±12.892%) | 63.1 | ||
| 13.994–16.166 | 2.196 × 10 (±16.236%) | 26.1 | ||
| 16.166–17.403 | 2.424 × 10 (±25.006%) | 0.8 |
Disclaimer/Publisher’s Note: The statements, opinions and data contained in all publications are solely those of the individual author(s) and contributor(s) and not of MDPI and/or the editor(s). MDPI and/or the editor(s) disclaim responsibility for any injury to people or property resulting from any ideas, methods, instructions or products referred to in the content. |
© 2023 by the authors. Licensee MDPI, Basel, Switzerland. This article is an open access article distributed under the terms and conditions of the Creative Commons Attribution (CC BY) license (https://creativecommons.org/licenses/by/4.0/).
Share and Cite
Peng, K.; Li, Y.; Sun, Y.; Xu, W.; Wang, H.; Zhang, R.; Yi, Y. Lotus Root Polysaccharide-Phenol Complexes: Interaction, Structure, Antioxidant, and Anti-Inflammatory Activities. Foods 2023, 12, 577. https://doi.org/10.3390/foods12030577
Peng K, Li Y, Sun Y, Xu W, Wang H, Zhang R, Yi Y. Lotus Root Polysaccharide-Phenol Complexes: Interaction, Structure, Antioxidant, and Anti-Inflammatory Activities. Foods. 2023; 12(3):577. https://doi.org/10.3390/foods12030577
Chicago/Turabian StylePeng, Kaidi, Yin Li, Ying Sun, Wei Xu, Hongxun Wang, Rui Zhang, and Yang Yi. 2023. "Lotus Root Polysaccharide-Phenol Complexes: Interaction, Structure, Antioxidant, and Anti-Inflammatory Activities" Foods 12, no. 3: 577. https://doi.org/10.3390/foods12030577
APA StylePeng, K., Li, Y., Sun, Y., Xu, W., Wang, H., Zhang, R., & Yi, Y. (2023). Lotus Root Polysaccharide-Phenol Complexes: Interaction, Structure, Antioxidant, and Anti-Inflammatory Activities. Foods, 12(3), 577. https://doi.org/10.3390/foods12030577

