Abstract
Campylobacteriosis outbreaks have repeatedly been associated with the consumption of raw milk. This study aimed to explore the variation in the prevalence and concentration of Campylobacter spp. in cows’ milk and feces, the farm environment and on the teat skin over an entire year at a small German dairy farm. Bi-weekly samples were collected from the environment (boot socks), teats, raw milk, milk filters, milking clusters and feces collected from the recta of dairy cows. Samples were analyzed for Campylobacter spp., E. coli, the total aerobic plate count and for Pseudomonas spp. The prevalence of Campylobacter spp. was found to be the highest in feces (77.1%), completely absent in milking equipment and low in raw milk (0.4%). The mean concentration of Campylobacter spp. was 2.43 log10 colony-forming units (CFU)/g in feces and 1.26 log10 CFU/teat swab. Only a single milk filter at the end of the milk pipeline and one individual cow’s raw milk sample were positive on the same day, with a concentration of 2.74 log10 CFU/filter and 2.37 log10 CFU/mL for the raw milk. On the same day, nine teat swab samples tested positive for Campylobacter spp. This study highlights the persistence of Campylobacter spp. for at least one year in the intestine of individual cows and within the general farm environment and demonstrates that fecal cross-contamination of the teats can occur even when the contamination of raw milk is a rare event.
    1. Introduction
Campylobacteriosis, caused by bacteria of the genus Campylobacter, is the most commonly reported bacterial foodborne gastrointestinal infection in humans in the European Union (EU) []. Aside from Salmonella spp. and the shigatoxin-producing Escherichia coli (STEC), Campylobacter spp., predominantly Campylobacter (C.) jejuni, have been regarded as the most notable health hazards, with clear links between drinking raw milk and human illness [,,]. Between 2011 and 2020, raw milk was one of the main food vehicles causing “strong evidence” for foodborne campylobacteriosis outbreaks reported in the EU [].
Thermophilic Campylobacter spp. colonize the intestinal tract of cattle and are shed intermittently with the feces [,,,]. Therefore, it is assumed that in raw milk, this pathogen mainly originates from fecal cross-contamination during milking. However, it is not clear how this contamination takes place and how often raw milk is contaminated during milking [,,,].
The limited number of studies on and low concentrations of Campylobacter spp. along the raw milk supply chain have challenged previous risk assessments for raw milk consumption. Some studies investigated the prevalence of Campylobacter spp. in the bulk milk tank and milk filter. A meta-analysis of results from North America, Europe and New Zealand provided an estimated mean prevalence of 1.54% for Campylobacter spp. in bulk tank milk and 1.75% in milk filters []. Two studies attempted to quantify the contamination using the most probable number (MPN) method. They found 16 ± 30 MPN/100 mL in the bulk tank milk [] and 1 MPN/21 mL in raw milk from farm vats []. Despite the low bacterial prevalence and concentration, the consumption of raw milk is considered a high-risk behavior []. Consumers are advised to boil raw milk prior to consumption to inactivate pathogens []. However, surveys in Italy found that 13.9% to 43% of consumers did not boil raw milk before consumption [].
The prevalence of Campylobacter spp. in the feces of dairy cows vary widely from 0 to 100% []. The studies included in the meta-analysis differed in their design and the size of the herds investigated []. Seven studies reported quantitative data for Campylobacter spp. in cow feces [,,,,,,]. The concentration ranged from 2 log10 colony-forming units (CFU)/g feces to 4 log10 CFU/g feces [,]. One study in New Zealand investigated the differences in the fecal concentrations of C. jejuni between individual cows based on rectal sampling []. Three cows on a pasture and three cows in confinement housing were grouped together as a “high-shedder group”, harboring a median concentration of 3–3.6 log10 C. jejuni per g of fresh feces [].
Few studies have focused on the raw milk supply chain and the herd-level epidemiology of Campylobacter spp. [,,,,]. To estimate the transmission of Campylobacter spp. from feces to milk, it is necessary to investigate both in the same setting. Limited longitudinal data on cross-contamination with Campylobacter spp. from feces to raw milk are available. Frequent sampling is required to detect contamination events and to estimate their frequency because the contamination of milk with Campylobacter spp. is expected to occur only sporadically. To the best of our knowledge, only one study from Norway provides concurrent qualitative prevalence data on Campylobacter spp. in cows’ feces, on teat skin, in raw milk and in environmental samples []. However, Campylobacter spp. were not quantified in that study.
In our study, the prevalence and concentration of Campylobacter spp. in fecal samples, teat swabs, raw milk, milk filters and boot sock samples from the stable alley were determined to close the gaps in the described knowledge and data. We determined the frequency of fecal shedding of Campylobacter spp. in individual cows and in different seasons. We compared the occurrence of Campylobacter spp. on teat skin, in raw milk and in milk filters with the fecal shedding of this pathogen. Escherichia coli, Pseudomonas spp. and the total aerobic colony count (TACC) were analyzed as indicators of fecal and environmental contamination throughout the milking process.
2. Materials and Methods
2.1. Sampling Site
A Holstein cow herd with 22 lactating animals in Berlin, Germany, was sampled over a period of one year, from the 19th of April 2021 to the 8th of April 2022. Cows were kept in a free-stall barn with a concrete floor and access to an outdoor sand paddock throughout the year. Samples were taken on two consecutive days every two weeks from primiparous (n = 19) and second lactation (n = 3; cow ID 4301, 4317, and 4320) cows. The animals were fed a diet consisting of 27.7% grass silage, 29.5% maize silage, 6.0% straw, 30.1% hay, 6.0% beet pulp, and 0.61% minerals ad libitum throughout the year. Concentrates were provided individually in a transponder-controlled automatic feeder to meet the energy requirements for 25 kg/d of energy-corrected milk. On the first day, samples were collected from raw milk, milk filters, teat skin and milking clusters at 6 a.m. Teat swabs and raw milk samples were taken from twelve lactating cows over the entire period. The same cows were sampled on every occasion with some exceptions: (1) dry cows on specific sampling days were replaced by lactating cows; (2) two cows had to be treated with antibiotics against mastitis during the trial period. These were excluded once from teat swab and raw milk sampling during treatment. These exceptions resulted in teat swab and raw milk samples from 21 different cows.
On the second day, rectal fecal samples were taken from twelve cows and boot sock samples were obtained from the stable corridor. A mathematical randomization fixed the twelve cows always used for rectal fecal sampling. One cow (6057) left the herd for a reason unrelated to the study and was replaced by a new cow (6005), who was used for rectal fecal sampling. Samples were transported on ice to the laboratory, and microbiological processing was carried out within two hours of sampling at the latest. The entire experiment was approved by the State Office for Health and Social Affairs (LAGESO) (Reg.-No.: G 0215/20).
2.2. Sample Preparation
2.2.1. Teat Swab Samples
Two gauze pads (10 × 10 cm, 8-fold) were placed in a plastic bag and moistened with 8 mL 0.9% NaCl. The bag was closed and stored at 4 °C until sampling. One bag was used per cow. On two occasions, teat swabs could only be collected from 11 cows, resulting in a total of 286 teat swab samples (instead of 288, 24 × 12 cows) during the study.
All four teats of a cow were wiped with the two gauze pads while wearing gloves before being cleaned by the milkers with moist cleaning wipes (udder wipes, clean paper®, Lauchhammer, Germany). The gloves were changed between sampling each individual cow to avoid cross-contamination. In the laboratory, the gauze pads were visually scored to assess the fecal contamination of the teat skin. Four scoring categories were used: K1: gauze pad clean; K2: gauze pad colored yellowish; K3: gauze pad discolored brown, possibly with fecal particles; K4: gauze pad brownish in color, feces clearly visible on the gauze pads.
Twenty-five milliliters of 1% phosphate-buffered peptone water (PW) was added to each teat swab sample (consisting of two gauze pads) and homogenized using a GRINDOMIX GM200 (Retsch GmbH, Haan, Germany) for 120 s at 4000 rpm.
2.2.2. Raw Milk Samples
While wearing gloves and after the teats were cleaned with udder wipes (clean paper®, Lauchhammer, Germany), raw milk samples were obtained from all four teats and pooled in 50 mL falcon tubes. No disinfectant was applied before the raw milk was sampled. On two occasions, raw milk samples could only be collected from 11 cows, resulting in a total of 286 raw milk samples (instead of 288, 24 × 12 cows) during the study.
2.2.3. Milking Clusters Samples
After the completion of the milking process, one pooled sample was taken from each milking cluster (with four teat cups). One swab (nerbe plus, Winsen/Luhe, Germany) was used for each teat cup. Four swabs from the same cluster were pooled into one sample. Four milking clusters were used at the farm. One of the clusters was not used on seven occasions for technical reasons. Therefore, only 89 samples (instead of 96, 24 × 4 clusters) were analyzed.
Each sample was covered with 18 mL PW and homogenized as previously described.
During the study, intermediate disinfection of the teat cups with 3% peracetic acid between cows was introduced on the farm. The disinfection was introduced to achieve better milking hygiene between cows due to the poor udder health of some cows. However, we continued to take samples from the teat cup at the end of the completed milking process of all cows.
2.2.4. Milk Filter Samples
The milk filter was installed at the end of the milk pipeline, at the start of the milking process, i.e., all milk collected on that day passed through the filter. One milk filter was taken on each sampling day (n = 24). The filters measured 6 cm × 52.5 cm, and the pore size ranged from 100 µm to 250 µm. After the milking process was finished, the milk filter was removed and transferred to a plastic bag. In the laboratory, it was homogenized after being covered with 35 mL PW.
2.2.5. Boot Sock Samples
Socks (romerlabs, surface boot cover swabs, 10001911 (BTSW200BPW)) were placed on shoes before sampling. One pair of boot socks was taken on each sampling day (n = 24). The entire barn corridor was walked with the boot socks (approx. 80 steps), avoiding fresh fecal pats. After sampling, the socks were placed in a stomacher bag and transported to the laboratory in a cool box. At the laboratory, 180 mL PW, enough to cover the socks, was added to the stomacher bag, and the same procedure as described above was applied for homogenization.
2.2.6. Fecal Samples
Fecal samples were obtained from the recta of twelve cows, using gloved hands and a lubricant gel. On one sampling day, only eleven cows were sampled. Therefore, 287 samples were analyzed (instead of 288, 12 cows × 24 samplings). The samples were placed in plastic cups with a screw-on lid. Gloves were changed between individual cows to avoid cross-contamination. In the laboratory, 10 g of feces per sample was transferred into stomacher bags and mixed with 90 mL PW. Three scoring categories were used to assess the consistency of the feces (K1: liquid; K2: mushy (normal) consistency; K3: dry and compact). The samples were homogenized individually for 120 s at 4000 rpm.
2.3. Microbiological Analysis
2.3.1. Detection and Quantification of Microorganisms
The detection limits of all microorganisms in the samples are provided in Table S1.
Escherichia coli (beta-glucoronidase-positive), TACC and Pseudomonas spp. were quantified according to ISO 16649-2:2001 (using the spread plate method instead of the pour plate method), ISO 4833:2015 and ISO 13720:2010, respectively. The samples were further diluted 1:10 in PW, and 100 µL per dilution step was spread on agar plates. Escherichia coli was cultured on tryptone bile X-glucuronide (TBX) agar (Oxoid Deutschland GmbH, Wesel, Germany) for 24 h at 41.5 °C, TACC on plate count agar (carl roth® GmbH + Co., KG, Karlsruhe, Germany) for 72 h at 30 °C and Pseudomonas spp. on cephaloridine fucidin cetrimide (CFC) agar (Merck KGaA, Darmstadt, Germany) for 24 h at 25 °C. Thermophilic Campylobacter spp. were detected according to ISO 10272-1:2017, using modified charcoal cefoperazone deoxycholate agar (mCCDA, mixture of Merck & Co., Kenilworth, NJ, USA and Oxoid; 48 h, 41.5 °C). For the enrichment of Campylobacter spp., Preston broth (Merck KGaA, Darmstadt, Germany; 24 h, 41.5 °C) was used. The enrichment for teat swabs, milk, swabs from milk clusters and milk filters was performed using 5 mL of the sample dilution and 45 mL of Preston broth. For boot sock samples, 1 mL of sample dilution was used in 9 mL of Preston broth. One gram of fecal sample was weighed into a test tube and covered with 9 mL of Preston broth.
Concurrently, ISO 10272-2:2017 was used for the enumeration of thermophilic Campylobacter spp. The samples were further diluted 1:10 in PW, and 100 µL per dilution step was spread on agar plates. In addition, 1 mL of the initial sample (raw milk) or sample suspension (all other sample matrices) was spread on agar plates.
2.3.2. Species Identification
One colony from each sample was selected for Campylobacter spp. identification. Campylobacter spp. colonies were sub-cultured on Columbia blood agar plates with defibrinated sheep blood (Oxoid Deutschland GmbH, Wesel, Germany) in a microaerobic atmosphere for 24 h at 41.5 °C. Afterwards, further analyses were performed according to ISO 10272-1:2017. In short, characteristic morphology and motility were observed via phase contrast microscopy. A catalase activity test was performed by streaking a loop of culture into a drop of hydrogen peroxide solution on a clean microscope slide. The test was positive if bubbles appeared within 30 s. The detection of cytochrome oxidase activity was performed using a Bactident™ Oxidase test strip (Merck KGaA, Darmstadt, Germany), following the manufacturer’s instructions. A color change to violet/blue indicated that hydrolysis had taken place.
In addition, the genus and species identification of the colonies from sheep blood agar plates was performed using a Bruker MALDI-TOF Biotyper System (Bruker Scientific LLC, Billerica, MA, USA). Colonies were transferred to the MALDI-TOF target and covered with 1.0 µL of α-cyano-4-hydroxycinnamic acid, according to the manufacturer’s instructions (Bruker Scientific LLC, Billerica, MA, USA). The reference database for species identification was provided by Bruker Scientific LLC (MBT-BDAL-8468).
2.3.3. Somatic Cell Count
Somatic cell counts were determined using a simple cell count meter (DCC, DeLaval; Glinde, Germany). Sixty microliters of raw milk from individual cows was loaded into the cassette, and the measurement was carried out according to the operating manual.
2.4. Weather Data
Weather data were acquired from an official weather station close to the farm (https://openweathermap.org/ (accessed on 22 June 2022)). The meteorological data collected were temperature (°C) (hourly), pressure (hPa), humidity (%), wind (m/s) and rain (mm/h) data.
2.5. Statistical Analysis
Microsoft Excel® 2016 (Microsoft Corp., Redmond, WA, USA) was used to store the data. The software R, version 4.2.1 (Vienna, Austria) [], was used for data analysis.
2.5.1. Multi-Level Modeling
The effect of the environment data and cross-contamination was evaluated using multi-level modeling, which clusters the observations for each cow (repeated measurements) and offers variation effects on both the sample and cow level.
Due to the large number of zero values in the final results, a multivariate generalized linear regression model was not possible because numerous zero values result in heteroscedasticity and collinearity. They also caused the distribution to be skewed and non-normal. As a result, the Campylobacter spp. concentration data were classified as a binary variable (0 and 1), and a multi-level mixed logistic regression was performed. Level one of the model comprised the bi-weekly observations for each cow. Level two consisted of the cows.
Only the teat and feces samples were selected as dependent variables for modeling since the occurrence of Campylobacter spp. in almost all other samples was negative. The occurrence of Campylobacter spp. in the teats and feces was modeled against weather data (minimum temperature, pressure, wind and humidity), seasons, the concentration values of other microorganisms (E. coli, Pseudomonas spp. and TACC), teat cleanliness scores, fecal consistency scores and somatic cell count. Each parameter was added to the model in a stepwise manner, and the goodness-of-fit was decided based on the Akaike information criterion (AIC). Due to the relatively small number of observations and the difficulty in merging the model, only parameters with a significant effect were retained in the final model. To test whether the effect of minimum temperature was related to the occurrence of Campylobacter spp. in the teat or feces samples, an interaction variable was integrated into the multi-level model.
The intraclass correlation coefficient (ICC) was calculated to evaluate the variation in concentration values between the cows (Level 2) and for each cow throughout the year (Level 1). Multi-level modeling was performed using the lme4 package [].
2.5.2. Correlation Analysis
The correlation of the concentration of Campylobacter spp. on teat skin with its concentration in feces was graphically and statistically assessed using the Spearman rank correlation coefficient for non-parametric data.
3. Results
3.1. Species Identification
Campylobacter spp. were isolated from 263 of the 997 samples tested. Of the 263 isolates, 256 (97.3%) were identified as C. jejuni and 7 as C. hyointestinalis (2.7%). The latter was only isolated from feces. Five of the seven isolates were obtained from one cow (6001). The remaining two isolates were obtained from two other cows (4664 and 4652). All Campylobacter spp. isolates were positive for catalase activity and cytochrome oxidase activity.
3.2. Prevalence and Concentration Data
An overview of all prevalence data for the specific sample types and analyzed bacteria is shown in Table 1.
 
       
    
    Table 1.
    Prevalence data for all sample types and taxa analyzed.
  
The prevalence of Campylobacter spp. was the highest in fecal samples (77.1%), followed by boot sock samples (29.2%), teat swabs (12.2%), milk filters (4.2%) and raw milk samples (0.4%). No Campylobacter spp. were detected in the milking clusters.
Escherichia coli was most frequently detected in the fecal samples (94.8%), boot sock samples (100%) and teat swab samples (81.8%). Pseudomonas spp. were most frequently detected on the teats (97.5%), in the milk filters (95.8%), the milking clusters (51.7%) and in raw milk (71.7%). Fecal samples were not tested for Pseudomonas spp.
The somatic cell count in the 286 milk samples ranged from 3 to 933 × 103 cells/mL. One sample taken on 7 July 2020 had a somatic cell count of 4.7 × 106 cells/mL. This sample appeared normal, without signs indicative of inflammation such as flocculation.
An overview of the quantitative data on all bacterial microorganisms in all sample types can be found in Table 2.
 
       
    
    Table 2.
    Mean log10 concentration and standard deviation for all sample types and microorganisms analyzed.
  
Campylobacter spp. were only detected in one raw milk sample and one milk filter, with a concentration of 2.37 log10 CFU/mL and 2.74 log10 CFU/filter, respectively. These samples were taken on the same sampling day. Otherwise, the highest mean concentration of Campylobacter spp. detected in the boot sock samples was 3.01 ± 1.05 log10 CFU/2 socks and 2.43 ± 0.9 log10 CFU/g in the cow feces. The mean concentration of Campylobacter spp. at the cow teats was 1.26 ± 0.75 log10 CFU/4 teats. It is important to note the different units in the concentration data.
3.3. Campylobacter spp. Prevalence and Concentration in Feces
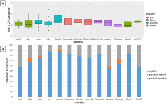
The fecal consistency scores were not related to the Campylobacter spp.-positive fecal samples. In total, 26, 191 and 70 teat swab samples were categorized as K1, K2 and K3, respectively. The scoring for the positive Campylobacter spp. samples ranged from K1 to K3 (Table S2). A seasonal overview indicated that Campylobacter spp. could be detected in the herd’s feces throughout the year. The mean concentration of the positive Campylobacter spp. samples ranged between 1.9 log10 CFU/g and 2.9 log10 CFU/g (Figure 1A). The proportion of negative samples was lower in the warm months (July and August) compared to colder months (November, January, February and April) except for December and March (Figure 1B).
 
      
    
    Figure 1.
      (A) Concentration of Campylobacter spp. in feces per month. (B) Proportion of negative, qualitative positive (enrichment) and quantitative positive samples.
  
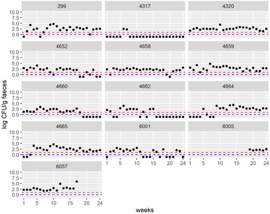
The concentration of Campylobacter spp. in the feces of individual cows over time is depicted in Figure 2 and Table S2. Occasionally, no Campylobacter spp. were detected in individual cows. All cows carried Campylobacter spp. in at least two samples. Cow 4317 only tested positive for Campylobacter spp. on two consecutive sampling occasions in July. Cows 4320, 4659 and 6005 were always positive.
 
      
    
    Figure 2.
      Overview of the concentration of Campylobacter spp. in feces of individual cows (ID numbers). In total, 24 samplings were performed over one year. The first sampling took place in April (week 1). Cow 6057 was replaced by cow 6005 after the 17th sampling. The limits of quantification and detection for enrichment are depicted as a red and blue line, respectively. Dots below the limit of detection indicate negative samples. Dots at the blue line indicate samples that were qualitatively positive but could not be quantified.
  
The highest median concentrations in the feces of individual cows shedding Campylobacter spp. were 2.9 ± 0.9 log10 CFU/g (4659), 2.8 ± 0.96 log10 CFU/g (4664) and 2.7 ± 1.09 log10 CFU/g (6057) and the lowest were 1.6 ± 0.68 log10 CFU/g (4660) and 2.0 ± 0.57 log10 CFU/g (6001).
3.4. Campylobacter spp. in Teat Swab Samples
Among the 286 teat swab samples, 35 were positive for Campylobacter spp. These originated from 15 different cows (Table S3). Teat swab samples from the individual cows were positive for Campylobacter spp. on up to three occasions. On one sampling day (14 June 2021), nine teat swab samples were positive for Campylobacter spp. On the same day, the positive raw milk sample and the positive milk filter were obtained. The positive raw milk sample was from one cow (6005) tested as a replacement for another cow in the dry period. Therefore, no fecal sample was collected from this cow.
On the other sampling days, a maximum of two teat swab samples were positive for Campylobacter spp. The cleanliness scores of the teat samples could not be linked to the Campylobacter spp. positive teat swab samples. In total, 23, 117, 93 and 53 teat swab samples were categorized as K1, K2, K3 and K4 respectively. The scoring for the positive Campylobacter spp. samples ranged from K1 to K4 (Table S3).
Campylobacter spp. positive teat swab samples were detected at minimum outdoor temperatures between −4 °C and 17 °C (Figure 3). The negative samples were observed at all minimum temperatures. The qualitative positive samples occurred within a smaller temperature range. The mean minimum temperature for the detection of negative, qualitative and quantitative positive samples were 5 °C, 4 °C and 7 °C, respectively.
 
      
    
    Figure 3.
      Association of minimum temperature with the occurrence of Campylobacter spp. on teat skin (Campylobacter spp. negative, qualitatively positive (enrichment) and quantitatively positive teat swab samples). The black line indicates the median temperature, and the boxes display the interquartile range.
  
3.5. Multi-Level Model and Correlation Analysis
The multi-level model (Table 3) with a binary outcome of Campylobacter spp. (dependent variable) shows the effective parameters on the occurrence of Campylobacter spp. in the teat swab and fecal samples.
 
       
    
    Table 3.
    Multi-level model with parameters with an effect on the occurrence of Campylobacter spp. in teat swab and feces samples. The confidence intervals (CI) demonstrate the variability of the odds ratio (OR). When confidence interval contains 1, the effect is not significant.
  
The seasons fall, spring and summer were individually compared to the winter. The effect of the season as a whole also significantly improved the model fit. The effect of the sample type is shown by the comparison of the teat and feces samples.
An integrated interaction term between the minimum temperature and the sample type (feces or teat swab) demonstrated a different temperature effect of the occurrence of Campylobacter spp. for the two sample types.
Other parameters tested, including the weather conditions (humidity, wind and rain), other microorganisms (Pseudomonas spp. and TACC), the scoring of teat and fecal samples and somatic cell counts, did not show an influence on the occurrence of Campylobacter spp.
The ICC of the multi-level model was 0.11, indicating that 11% of the variation in the model comes from the variation between the cows, whereas the rest of the heterogeneity originates from the variation in the measurements for each cow that happened throughout the year.
Correlation analyses were performed for the concentrations of Campylobacter spp. in teat swab samples and the concentrations of Campylobacter spp. in the feces samples. No correlations were detected in these analyses.
4. Discussion
To explore the risk associated with the consumption of raw milk, the occurrence of Campylobacter spp. in a small German dairy herd was studied. In our study, the highest proportion of positive samples was found in the feces (77.1%), and the lowest proportion of positive samples was found in the milking clusters (0%) and raw milk (0.4%, one sample).
The high prevalence of Campylobacter spp. in the cows’ fecal samples is consistent with some previous studies, which reported a prevalence between 66.7% and 78.5% [,,,]. A lower prevalence (7–38%) of Campylobacter spp. in cow feces was reported in other studies [,,,]. Two of these studies used comparable study designs and detection methods [,]. One study did not mention the interval between sampling and testing []. The last study reported that the samples were analyzed one day after sampling []. The interval between sampling and testing could have influenced the detection of Campylobacter spp. in the samples as Campylobacter spp. is a fastidious organism (with a low oxygen tolerance and sensitivity to temperature and pH) []. In addition, a low prevalence was observed in a study carried out on smaller farms, while a larger farm displayed a higher prevalence [].
This is the first study to monitor the concentration of Campylobacter spp. in individual dairy cows in Germany over a period of one year using rectal fecal sampling. The concentration of Campylobacter spp. in the fecal samples varied between individual cows. It ranged between high concentrations (over 5 log10 CFU/g) and negative samples. Some cows shed Campylobacter spp. consistently (4320, 4659), whereas other cows shed Campylobacter spp. less often (4662) or only twice (4317) throughout the year. The proportion of negative samples was lower in the warmer months than in colder months, whereas the mean concentration in any individual month was relatively constant, between 1.9 log10 CFU/g and 2.9 log10 CFU/g.
The overall mean concentration of Campylobacter spp. in fecal samples determined in this study was 2.43 ± 0.9 log10 CFU/g. A similar value of 2.1 ± 0.45 log10 CFU/g was reported in a Danish study []. A longitudinal study in New Zealand examined the concentration of Campylobacter spp. in feces from individual cows on pasture and in confinement housing []. The concentration of C. jejuni varied between 0 and 6.0 log10 CFU/g in the herd on pasture and between 0 and 5.7 log10 CFU/g in the confinement-housed herd. The median concentration of Campylobacter spp. in feces per cow was between 2.9 log10 CFU/g and 1.6 log10 CFU/g for the individual cows. Significant differences in the frequency and range of the C. jejuni concentrations occurred among individual cows. At least three cows in the two different herds were identified as high shedders of Campylobacter spp., with a median concentration between 3.3 log10 to 3.6 log10 CFU/g []. Our study underscores the previous finding that cows excrete Campylobacter spp. intermittently [,,], although according to the criteria of the New Zealand study, the cows we sampled would not be classified as high shedders.
Overall, 29.2% of the boot sock samples tested positive for Campylobacter spp., with a mean concentration in positive samples of 3.01 ± 1.05 log10 CFU/2 socks. The samples were taken in the barn corridor, avoiding direct contact with fresh cowpats. The positive boot sock samples were found once each in January, May, June and July. In November, both boot sock samples were positive. Both the prevalence and the concentration values show that Campylobacter spp. can be found in the barn environment, and that this can represent a contamination risk throughout the year.
Another study found a higher prevalence (60%) of Campylobacter spp.-positive boot sock samples []. However, they did not avoid fresh dung pats, and it was described that all parts of the socks were in contact with the feces []. The intensity of the fecal contamination of the boot sock samples could explain the differences in the concentrations found in our study.
The finding of Campylobacter spp. in 12.2% of teat swabs with a mean concentration of 1.26 ± 0.75 log10 CFU/4 teats underlines that the teat skin can become contaminated with Campylobacter spp. The origin of these bacteria is likely the fecal contamination of the environment. The occurrence of Campylobacter spp. in teat swab samples was not at a specific minimum temperature (Figure 3), although the multi-level model indicated the minimum temperature as an effective parameter. However, the weak but reliable effect of the temperature on the occurrence of Campylobacter spp. was based on feces and teat swab samples. An interaction term indicated that both sample types were influenced differently. However, the number of positive teat swab samples is too small to effectively analyze the effect. Further, the negative, qualitative positive and quantitative positive samples all lay in the same temperature range. The minimum temperature was used for the analysis since the teat swab samples were taken early in the morning. Previous in vitro studies demonstrated a slower inactivation of C. jejuni by oxygen at cooler temperatures [,,]. This was not observed in our study, as all classes of results occurred in the same temperature range.
In this study, the raw milk samples were taken after the teats had been cleaned. No sterile milk sampling with teat disinfection was performed to mimic the routine milking situation. Only one raw milk sample (0.4%) was positive. The Campylobacter spp. concentration in the raw milk sample was 2.37 log10 CFU/mL. The contamination of the milk sample indicates that not all Campylobacter spp. had been removed from the teat skin by the routine cleaning process. A concentration of Campylobacter spp. of 2.74 log10 CFU/filter was detected in the milk filter on the same sampling day. The entry of Campylobacter spp. into the milk pipeline, as indicated by the positive milk filter, could have occurred through the transmission of Campylobacter spp. from the teat skin to the milk during milking, which is in line with the positive milk sample on the same day. In addition, the nine positive teat swab samples on the same sampling day indicated a cross-contamination event of the raw milk and milk filter samples. The milking clusters did not test positive for Campylobacter spp. and were therefore not assumed to be an entry source. A recent meta-analysis estimated the prevalence of Campylobacter spp. in raw milk samples at 1.18% []. Two studies estimated concentration data for Campylobacter spp. in raw milk using the MPN method [,]. They found low concentrations of ≤5 MPN/100 mL, but one outlier of 100 MPN/100 mL was detected []. In the other study, the Campylobacter spp. level of one sample was 1 CFU/21 mL of raw milk from the farm vats [].
A recent study indicated that there is only a limited detection of Campylobacter spp. CFU in raw milk, possibly due to the Campylobacter spp. entering a viable but non-culturable (VBNC) state []. This was underlined by a newly developed viable qPCR using propidium monazide (PMA). This qPCR allows for the detection of intact and putatively infectious units (IPIUs) comprising CFU and VBNC bacteria. It demonstrated an underestimation of the survival of Campylobacter spp. with a difference of up to 4.5 log10 between the CFUs and IPIUs. Furthermore, within a certain time period, the CFUs of those IPIUs could be restored using a special “low-oxygen” atmosphere, confirming the viability of the bacteria []. However, in field samples, the application of the viable qPCR method is difficult due to the low concentration of Campylobacter spp. in raw milk, and the detection limit and application of different atmospheres is beyond the current ISO 10272-1.
Recent studies have shown that milk filter sampling is a potential approach to assessing the risk of Campylobacter spp. contamination in milk. The milk filter is installed at the end of the milking line so that all raw milk from all cows passes through it before ending up in the bulk tank. The reported prevalence of positive milk filters ranged from 0–14% [,,,]. In some studies, none of the concurrently collected bulk milk tank samples were positive, or a low prevalence was detected. In our study, one milk filter was positive, with a concentration of 2.74 log10 CFU/filter. On the same sampling day, nine teat swab samples and one raw milk sample were positive.
In summary, our data indicate a low risk of Campylobacter spp. contamination in the raw milk of the herd under study. Still, even in such a small herd, the contamination of milk can occur sporadically. Further research is required to better understand the reasons for sporadic contamination events.
We have used a multi-level logistic model to investigate the effective parameters on the presence of Campylobacter spp. in the feces and teat swab samples. The ICC shows that 11% of the variation in the occurrence was between the cows, whereas the rest of the variation happened throughout the year for each cow. The effect of the seasons was confirmed in the multi-level model, indicating the significant difference between the summer and winter. Based on our model, temperature affects the concentration of Campylobacter spp. in teat and feces samples differently. However, other weather data were not shown to have an effect.
We used E. coli as a fecal contamination indicator since feces are considered the primary source of milk contamination during or after the milking process [,]. Pseudomonas spp. were used as an indicator of environmental contamination. We could show that the prevalence of E. coli was the highest in the feces, on the teat swab and in the boot sock samples. In contrast, the prevalence of Pseudomonas spp. was the highest on the teat swab and in the milk filter, milk equipment and raw milk samples. The Escherichia coli concentration data comprised a parameter effecting the occurrence of Campylobacter spp. in the feces and teat swab samples. This strengthens the assumption that the cross-contamination of teats with Campylobacter spp. had a fecal origin. However, Pseudomonas spp. and TACC had no effect on the occurrence. Another study assumed a relationship between the presence of C. jejuni in the bulk tank milk and a high load of Enterobacteriaceae in the same samples []. They found no association and supposed that fecal contamination might not be the only mechanism responsible for the presence of C. jejuni in raw milk. It has been suggested that udder infection may play a role in raw milk contamination, whereby the pathogen is directly excreted into the raw milk [,,]. Unfortunately, the somatic cell count was not measured in any of these studies.
The health status of the studied cows is often not reported []. Campylobacter spp. commonly colonizes the intestine of asymptomatic cows [,,,,,,,]. Our data confirm that Campylobacter spp. are part of the intestinal microbiota of healthy dairy cattle.
In one sample, 7 July 2022, there was a somatic cell count of 4.7 × 106 cells/mL. In this sampling event, we found no association between the occurrence of Campylobacter spp. and the high somatic cell count. In the following sampling runs, this cow was excluded from the milk samples for as long as the local antibiotic treatment continued. The Campylobacter spp.-positive raw milk sample in this study had a low somatic cell count of 11 × 103 cells/mL. However, there was only one positive sample, and future research might therefore be necessary to determine whether there is an association of Campylobacter spp. with high somatic cell counts.
The scoring was used to either monitor whether the cows had diluted feces or a severe fecal contamination of the teats. In the experimental setup of this study, the teat scores were not found to be a parameter that influenced the occurrence Campylobacter spp. in the multi-level model. Another study also found no association between scores and the detection of Campylobacter spp. in bulk milk tanks, milk filters or feces. They demonstrated an association between cow hygiene and the detection of Campylobacter spp. in the teat milk []. However, they used a mean score calculated for the herd at each visit and not only a teat skin score directly related to the Campylobacter spp. concentration.
This study demonstrated that the contamination of raw milk with Campylobacter spp. was a rare event, although the cows were consistently colonized with Campylobacter spp. in the intestine, and cross-contamination of the teats with Campylobacter spp. did occur. On one sampling day, nine teat swab samples, one raw milk sample and the milk filter tested positive for Campylobacter spp. In terms of the annual study, we could not demonstrate a parameter that influenced this sporadic contamination event.
5. Conclusions
The obtained data can be integrated into risk assessments for Campylobacter spp. along the raw milk supply chain. The occurrence of Campylobacter spp. in feces differs between individual cows throughout the year. The season, E. coli concentration, minimum temperature and sampling type are effective parameters for the occurrence of Campylobacter spp. in feces and teat swab samples. No correlation was observed between the concentrations of Campylobacter spp. in feces and teat swab samples. Further research is required to explain sporadic Campylobacter spp. contamination in raw milk.
Supplementary Materials
The following supporting information can be downloaded at: https://www.mdpi.com/article/10.3390/foods12081639/s1, Table S1: Detection limits of microorganisms. Table S2: Concentration data for Campylobacter spp. in feces of individual cows per sampling. Table S3: Concentration data for Campylobacter spp. on teat swab samples of individual cows per sampling.
Author Contributions
Conceptualization, A.-D.K., K.S., N.B. and T.C.; formal analysis, A.-D.K. and N.G.; investigation, A.-D.K. and S.G.; resources, C.F.-T.; data curation, A.-D.K., N.G. and T.C.; writing—original draft preparation, A.-D.K.; writing—review and editing, A.-D.K., S.G., N.G., K.S., C.F.-T., N.B., B.-A.T. and T.C.; visualization, A.-D.K., N.G. and T.C.; supervision, T.C.; project administration, T.C. All authors have read and agreed to the published version of the manuscript.
Funding
This research was funded by the German Federal Institute for Risk Assessment (BfR) as part of the Junior Research Group Supply Chain Models (Project 1323-104).
Institutional Review Board Statement
The entire experiment was approved by the State Office for Health and Social Affairs (LAGESO) (Reg.-No.: G 0215/20).
Data Availability Statement
Data is contained within the article or Supplementary Material.
Acknowledgments
The authors appreciate the support of Stephen F. Marino for the critical reading of the manuscript.
Conflicts of Interest
The authors declare no conflict of interest.
References
- EFSA. The European Union One Health 2021 Zoonoses Report. EFSA J. 2022, 20, e07666. [Google Scholar] [CrossRef]
- EFSA. Scientific opinion on the public health risks related to the consumption of raw drinking milk. EFSA J. 2015, 13, 3940. [Google Scholar] [CrossRef]
- Mungai, E.A.; Behravesh, C.B.; Gould, L.H. Increased outbreaks associated with nonpasteurized milk, United States, 2007–2012. Emerg. Infect. Dis. 2015, 21, 119–122. [Google Scholar] [CrossRef] [PubMed]
- Oliver, S.P.; Boor, K.J.; Murphy, S.C.; Murinda, S.E. Food Safety Hazards Associated with Consumption of Raw Milk. Foodborne Pathog. Dis. 2009, 6, 793–806. [Google Scholar] [CrossRef]
- EFSA. The European Union One Health 2020 Zoonoses Report. EFSA J. 2021, 19, e06971. [Google Scholar] [CrossRef]
- Bianchini, V.; Borella, L.; Benedetti, V.; Parisi, A.; Miccolupo, A.; Santoro, E.; Recordati, C.; Luini, M. Prevalence in bulk tank milk and epidemiology of Campylobacter jejuni in dairy herds in Northern Italy. Appl. Environ. Microbiol. 2014, 80, 1832–1837. [Google Scholar] [CrossRef] [PubMed]
- Del Collo, L.P.; Karns, J.S.; Biswas, D.; Lombard, J.E.; Haley, B.J.; Kristensen, R.C.; Kopral, C.A.; Fossler, C.P.; Van Kessel, J.A.S. Prevalence, antimicrobial resistance, and molecular characterization of Campylobacter spp. in bulk tank milk and milk filters from US dairies. J. Dairy Sci. 2017, 100, 3470–3479. [Google Scholar] [CrossRef]
- Modi, S.; Brahmbhatt, M.N.; Chatur, Y.A.; Nayak, J.B. Prevalence of Campylobacter species in milk and milk products, their virulence gene profile and antibiogram. Vet. World. 2015, 8, 1–8. [Google Scholar] [CrossRef]
- Schildt, M.; Savolainen, S.; Hänninen, M.L. Long-lasting Campylobacter jejuni contamination of milk associated with gastrointestinal illness in a farming family. Epidemiol. Infect. 2006, 134, 401–405. [Google Scholar] [CrossRef]
- Giacometti, F.; Serraino, A.; Bonilauri, P.; Ostanello, F.; Daminelli, P.; Finazzi, G.; Losio, M.; Marchetti, G.; Liuzzo, G.; Zanoni, R.; et al. Quantitative Risk Assessment of Verocytotoxin-Producing Escherichia coli O157 and Campylobacter jejuni Related to Consumption of Raw Milk in a Province in Northern Italy. J. Food Prot. 2012, 75, 2031–2038. [Google Scholar] [CrossRef]
- Anonymous. Microbiological Risk Assessment of Raw Cow Milk; Food Standards Australia New Zealand: Canberra, Australia, 2009. [Google Scholar]
- Giacometti, F.; Bonilauri, P.; Albonetti, S.; Amatiste, S.; Arrigoni, N.; Bianchi, M.; Bertasi, B.; Bilei, S.; Bolzoni, G.; Cascone, G.; et al. Quantitative Risk Assessment of Human Salmonellosis and Listeriosis Related to the Consumption of Raw Milk in Italy. J. Food Prot. 2015, 78, 13–21. [Google Scholar] [CrossRef]
- Christidis, T.; Pintar, K.; Butler, A.; Nesbitt, A.; Thomas, M.; Marshall, B.; Pollari, F. Campylobacter spp. Prevalence and Levels in Raw Milk: A Systematic Review and Meta-Analysis. J. Food Prot. 2016, 79, 1775–1783. [Google Scholar] [CrossRef] [PubMed]
- Humphrey, T.J.; Beckett, P. Campylobacter jejuni in dairy cows and raw milk. Epidemiol. Infect. 1987, 98, 263–269. [Google Scholar] [CrossRef]
- Hill, B.; Smythe, B.; Lindsay, D.; Shepherd, J. Microbiology of raw milk in New Zealand. Int. J. Food Microbiol. 2012, 157, 305–308. [Google Scholar] [CrossRef] [PubMed]
- Kenyon, J.; Inns, T.; Aird, H.; Swift, C.; Astbury, J.; Forester, E.; Decraene, V. Campylobacter outbreak associated with raw drinking milk, North West England, 2016. Epidemiol. Infect. 2020, 148, e13. [Google Scholar] [CrossRef] [PubMed]
- Giacometti, F.; Bonilauri, P.; Serraino, A.; Peli, A.; Amatiste, S.; Arrigoni, N.; Bianchi, M.; Bilei, S.; Cascone, G.; Comin, D.; et al. Four-Year Monitoring of Foodborne Pathogens in Raw Milk Sold by Vending Machines in Italy. J. Food Prot. 2013, 76, 1902–1907. [Google Scholar] [CrossRef]
- Knipper, A.-D.; Ghoreishi, N.; Crease, T. Prevalence and concentration of Campylobacter in faeces of dairy cows: A systematic review and meta-analysis. PLoS ONE 2022, 17, e0276018. [Google Scholar] [CrossRef]
- Moriarty, E.M.; Sinton, L.W.; Mackenzie, M.L.; Karki, N.; Wood, D.R. A survey of enteric bacteria and protozoans in fresh bovine faeces on New Zealand dairy farms. J. Appl. Microbiol. 2008, 105, 2015–2025. [Google Scholar] [CrossRef] [PubMed]
- Nielsen, E.M. Occurrence and strain diversity of thermophilic Campylobacters in cattle of different age groups in dairy herds. Lett. Appl. Microbiol. 2002, 35, 85–89. [Google Scholar] [CrossRef] [PubMed]
- Ramonaitė, S.; Rokaitytė, A.; Tamulevičienė, E.; Malakauskas, A.; Alter, T.; Malakauskas, M. Prevalence, quantitative load and genetic diversity of Campylobacter spp. in dairy cattle herds in Lithuania. Acta Vet. Scand. 2013, 55, 87. [Google Scholar] [CrossRef]
- Rapp, D.; Ross, C.M.; Cave, V.; Muirhead, R.W. Prevalence, concentration and genotypes of Campylobacter jejuni in faeces from dairy herds managed in farm systems with or without housing. J. Appl. Microbiol. 2014, 116, 1035–1043. [Google Scholar] [CrossRef]
- Rapp, D.; Ross, C.M.; Pleydell, E.J.; Muirhead, R.W. Differences in the fecal concentrations and genetic diversities of Campylobacter jejuni populations among individual cows in two dairy herds. Appl. Environ. Microbiol. 2012, 78, 7564–7571. [Google Scholar] [CrossRef] [PubMed]
- Stanley, K.N.; Wallace, J.S.; Currie, J.E.; Diggle, P.J.; Jones, K. The seasonal variation of thermophilic Campylobacters in beef cattle, dairy cattle and calves. J. Appl. Microbiol. 1998, 85, 472–480. [Google Scholar] [CrossRef] [PubMed]
- Waterman, S.C.; Park, R.W.; Bramley, A.J. A search for the source of Campylobacter jejuni in milk. J. Hyg. 1984, 93, 333–337. [Google Scholar] [CrossRef] [PubMed]
- Hakkinen, M.; Hänninen, M.L. Shedding of Campylobacter spp. in Finnish cattle on dairy farms. J. Appl. Microbiol. 2009, 107, 898–905. [Google Scholar] [CrossRef] [PubMed]
- Hansson, I.; Olsson Engvall, E.; Ferrari, S.; Harbom, B.; Lahti, E. Detection of Campylobacter species in different types of samples from dairy farms. Vet. Rec. 2020, 186, 605. [Google Scholar] [CrossRef]
- Jaakkonen, A.; Castro, H.; Hallanvuo, S.; Ranta, J.; Rossi, M.; Isidro, J.; Lindström, M.; Hakkinen, M. Longitudinal Study of Shiga Toxin-Producing Escherichia coli and Campylobacter jejuni on Finnish Dairy Farms and in Raw Milk. Appl. Environ. Microbiol. 2019, 85, e02910-18. [Google Scholar] [CrossRef] [PubMed]
- McAuley, C.M.; McMillan, K.; Moore, S.C.; Fegan, N.; Fox, E.M. Prevalence and characterization of foodborne pathogens from Australian dairy farm environments. J. Dairy Sci. 2014, 97, 7402–7412. [Google Scholar] [CrossRef] [PubMed]
- Idland, L.; Granquist, E.G.; Aspholm, M.; Lindbäck, T. The prevalence of Campylobacter spp., Listeria monocytogenes and Shiga toxin-producing Escherichia coli in Norwegian dairy cattle farms: A comparison between free stall and tie stall housing systems. J. Appl. Microbiol. 2022, 132, 3959–3972. [Google Scholar] [CrossRef]
- R Core Team. R: A Language and Environment for Statistical Computing; R Foundation for Statistical Computing: Vienna, Austria, 2020. [Google Scholar]
- Bates, D.M.M.; Bolker, B.; Walker, S. Fitting Linear Mixed-Effects Models Using lme4. J. Stat. Softw. 2015, 67, 1–48. [Google Scholar] [CrossRef]
- Oporto, B.; Esteban, J.I.; Aduriz, G.; Juste, R.A.; Hurtado, A. Prevalence and strain diversity of thermophilic campylobacters in cattle, sheep and swine farms. J. Appl. Microbiol. 2007, 103, 977–984. [Google Scholar] [CrossRef] [PubMed]
- Atabay, H.I.; Corry, J.E.L.; On, S.L.W. Isolation and characterization of a novel catalase-negative, urease-positive Campylobacter from cattle faeces. Lett. Appl. Microbiol. 1997, 24, 59–64. [Google Scholar] [CrossRef]
- Wesley, I.V.; Wells, S.J.; Harmon, K.M.; Green, A.; Schroeder-Tucker, L.; Glover, M.; Siddique, I. Fecal shedding of Campylobacter and Arcobacter spp. in dairy cattle. Appl. Environ. Microbiol. 2000, 66, 1994–2000. [Google Scholar] [CrossRef]
- Park, S.F. The physiology of Campylobacter species and its relevance to their role as foodborne pathogens. Int. J. Food Microbiol. 2002, 74, 177–188. [Google Scholar] [CrossRef]
- Boleratz, B.L.; Oscar, T.P. Use of ComBase data to develop an artificial neural network model for nonthermal inactivation of Campylobacter jejuni in milk and beef and evaluation of model performance and data completeness using the acceptable prediction zones method. J. Food Saf. 2022, 42, e12983. [Google Scholar] [CrossRef]
- Olofsson, J.; Berglund, P.G.; Olsen, B.; Ellström, P.; Axelsson-Olsson, D. The abundant free-living amoeba, Acanthamoeba polyphaga, increases the survival of Campylobacter jejuni in milk and orange juice. Infect. Ecol. Epidemiol. 2015, 5, 28675. [Google Scholar] [CrossRef]
- Yoon, K.S.; Burnette, C.N.; Oscar, T.P. Development of predictive models for the survival of Campylobacter jejuni (ATCC 43051) on cooked chicken breast patties and in broth as a function of temperature. J. Food Prot. 2004, 67, 64–70. [Google Scholar] [CrossRef]
- Wulsten, I.F.; Galeev, A.; Stingl, K. Underestimated Survival of Campylobacter in Raw Milk Highlighted by Viability Real-Time PCR and Growth Recovery. Front. Microbiol. 2020, 11, 1107. [Google Scholar] [CrossRef] [PubMed]
- Artursson, K.; Schelin, J.; Thisted Lambertz, S.; Hansson, I.; Olsson Engvall, E. Foodborne pathogens in unpasteurized milk in Sweden. Int. J. Food Microbiol. 2018, 284, 120–127. [Google Scholar] [CrossRef] [PubMed]
- Beumer, R.R.; Cruysen, J.J.; Birtantie, I.R. The occurrence of Campylobacter jejuni in raw cows’ milk. J. Appl. Bacteriol. 1988, 65, 93–96. [Google Scholar] [CrossRef]
- Oliver, S.P.; Jayarao, B.M.; Almeida, R.A. Foodborne pathogens in milk and the dairy farm environment: Food safety and public health implications. Foodborne Pathog. Dis. 2005, 2, 115–129. [Google Scholar] [CrossRef]
- Gudmundson, J.; Chirino-Trejo, J.M. A Case of Bovine Mastitis caused by Campylobacter jejuni. J. Vet. Med. Ser. B 1993, 40, 326–328. [Google Scholar] [CrossRef] [PubMed]
- Hutchinson, D.N.; Bolton, F.J.; Hinchliffe, P.M.; Dawkins, H.C.; Horsley, S.D.; Jessop, E.G.; Robertshaw, P.A.; Counter, D.E. Evidence of udder excretion of Campylobacter jejuni as the cause of milk-borne campylobacter outbreak. J. Hyg. 1985, 94, 205–215. [Google Scholar] [CrossRef]
- Adhikari, B.; Connolly, J.H.; Madie, P.; Davies, P.R. Prevalence and clonal diversity of Campylobacter jejuni from dairy farms and urban sources. N. Z. Vet. J. 2004, 52, 378–383. [Google Scholar] [CrossRef]
- Açik, M.N.; Çetinkaya, B. The heterogeneity of Campylobacter jejuni and Campylobacter coli strains isolated from healthy cattle. Lett. Appl. Microbiol. 2005, 41, 397–403. [Google Scholar] [CrossRef]
- Baserisalehi, M.; Bahador, N.; Kapadnis, B.P. Isolation and characterization of Campylobacter spp. from domestic animals and poultry in south of Iran. Pak. J. Biol. Sci. 2007, 10, 1519–1524. [Google Scholar] [CrossRef]
- Giacoboni, G.I.; Itoh, K.; Hirayama, K.; Takahashi, E.; Mitsuoka, T. Comparison of fecal Campylobacter in calves and cattle of different ages and areas in Japan. J. Vet. Med. Sci. 1993, 55, 555–559. [Google Scholar] [CrossRef]
- Sato, K.; Bartlett, P.C.; Kaneene, J.B.; Downes, F.P. Comparison of Prevalence and Antimicrobial Susceptibilities of Campylobacter spp. Isolates from Organic and Conventional Dairy Herds in Wisconsin. Appl. Environ. Microbiol. 2004, 70, 1442–1447. [Google Scholar] [CrossRef]
| Disclaimer/Publisher’s Note: The statements, opinions and data contained in all publications are solely those of the individual author(s) and contributor(s) and not of MDPI and/or the editor(s). MDPI and/or the editor(s) disclaim responsibility for any injury to people or property resulting from any ideas, methods, instructions or products referred to in the content. | 
© 2023 by the authors. Licensee MDPI, Basel, Switzerland. This article is an open access article distributed under the terms and conditions of the Creative Commons Attribution (CC BY) license (https://creativecommons.org/licenses/by/4.0/).
