Cocoa Mucilage as a Novel Ingredient in Innovative Kombucha Fermentation
Abstract
1. Introduction
2. Materials and Methods
2.1. Research Design
2.2. Activities Involved in the Process of Elaboration of the Fermented Beverage
2.3. Physicochemical Analysis
2.4. Sensorial Analysis
2.5. Statistical Analysis
3. Results and Discussion
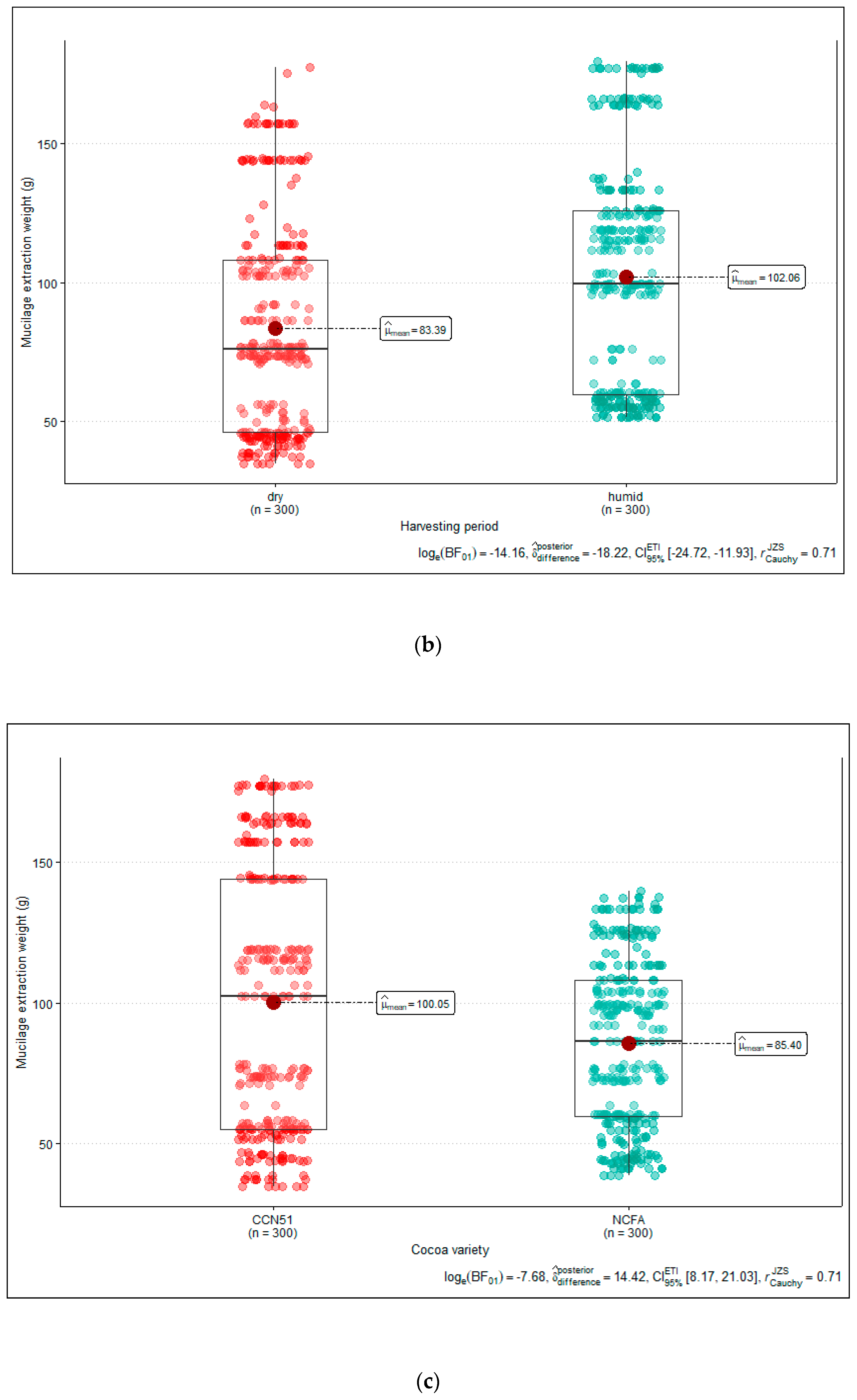
3.1. Characterization of the Cocoa Cobs
3.2. Fermented Beverage
4. Conclusions
Supplementary Materials
Author Contributions
Funding
Institutional Review Board Statement
Informed Consent Statement
Data Availability Statement
Acknowledgments
Conflicts of Interest
References
- Motamayor, J.C.; Lachenaud, P.; da Silva e Mota, J.W.; Loor, R.; Kuhn, D.N.; Brown, J.S.; Schnell, R.J. Geographic and Genetic Population Differentiation of the Amazonian Chocolate Tree Theobroma cacao L. PLoS ONE 2008, 3, e3311. [Google Scholar] [CrossRef] [PubMed]
- Quingaísa, E.; Riveros, H. Estudio de Caso: Denominacion de Origen Cacao Arriba; IICA: Quito, Ecuador, 2007. [Google Scholar]
- Almeida, A.-A.; Valle, R.R. Ecophysiology of the cacao tree. Braz. J. Plant Physiol. 2007, 19, 425–448. [Google Scholar] [CrossRef]
- Cruz Chaustre, R.A.; Cañas Castillo, P.C. La importancia de la exportación del cacao en Colombia y los países en América Latina. Rev. Investig. Gest. 2018, 1, 18–27. [Google Scholar]
- Cedeño, C.; Otoniel Dilas Jiménez, E.J. Producción y exportación del cacao ecuatoriano y el potencial del cacao fino de aroma. Rev. Investig. Cient. Tecnol. Qantu Yachay 2022, 2, 8–15. [Google Scholar] [CrossRef]
- García Briones, A.; Pico, B.; Jaimez, R. La cadena de producción del Cacao en Ecuador: Resiliencia en los diferentes actores de la producción. Rev. Digit. Novasinerg. 2021, 4, 152–172. [Google Scholar] [CrossRef]
- García Batista, R.M.; Quevedo Guerrero, J.N.; Socorro Castro, A.R. Valoración del estado agronómico de las plantaciones de cacao nacional en el Ecuador. Rev. Metrop. Cienc. Apl. 2019, 2, 109–119. [Google Scholar] [CrossRef]
- Anecacao. Tipos de Cacaco—Cacao en el Ecuador; Anecacao: Samborondón, Ecuador, 2023. [Google Scholar]
- Nieto Figueroa, K.H.; Mendoza García, N.V.; Campos Vega, R. Cocoa By-products. In Food Wastes By-Products; John Wiley & Sons Ltd.: Hoboken, NJ, USA, 2019; pp. 373–411. [Google Scholar] [CrossRef]
- Valdez, F. El cacao fino de aroma, el cacao ancestral emblemático del Ecuador. Am. Lat. IRD Éd. 2021, 48, 135–159. [Google Scholar]
- Girón Guerrero, M.F.; Márquez Coronel, A.; Salazar Román, E. Análisis de los Niveles de Desperdicio del Mucílago de Cacao y su Aprovechamiento Como Alternativa de Biocombustible. Bachelor’s Thesis, Universidad Estatal de Milagro, Milagro, Ecuador, 2015. [Google Scholar]
- Peñaloza Albarracín, D.F.; Laiton Daza, L.J.; Caballero Yáñez, D.F.; BlancoTirado, T.d.S.; Acevedo Argüello, C.; Cervantes Díaz, M. Estudio cienciométrico de tendencias en el aprovechamiento de los subproductos del cacao Theobroma cacao L. Rev. Divulg. Cient. Cult. Multidiscip. 2021, 10, 83–94. [Google Scholar] [CrossRef]
- Andrade, J.A.; Rivera-García, J.; Chire-Fajardo, G.C.; Ureña-Peralta, M.O. Propiedades físicas y químicas de cultivares de cacao Theobroma cacao L. de Ecuador y Perú. SciELO Anal. 2019, 10, 1–12. [Google Scholar] [CrossRef]
- Nguyen, T.; Tien, N.; Hòa, H.; Thị, N. A study of wine fermentation from mucilage of Cocoa beans Theobroma cacao L. Dalat Univ. J. Sci. 2016, 6, 387–397. [Google Scholar] [CrossRef]
- Cornejo Lucero, O.J. Evaluación del uso de mucilago de cacao Theobroma cacao L. como sustrato para la producción de polihidroxialcanoatos. Bachelor’s Thesis, Universidad Técnica del Norte: Ibarra, Ecuador, 2023. [Google Scholar]
- Anvoh, K.; Bi, A.Z.; Gnakri, D. Production and Characterization of Juice from Mucilage of Cocoa Beans and its Transformation into Marmalade. Pak. J. Nutr. 2009, 8, 129–133. [Google Scholar] [CrossRef]
- Arana, A.; Rugel, E. Propuesta de Aprovechamiento del Desecho Mucilago de Cacao en la Hacienda Santa Rita; Universidad de Guayaquil Facultad de Ciencias Administrativas: Guayaquil, Ecuador, 2017. [Google Scholar]
- Soares, T.F.; Oliveira, M.B.P.P. Cocoa By-Products: Characterization of Bioactive Compounds and Beneficial Health Effects. Molecules 2022, 27, 1625. [Google Scholar] [CrossRef] [PubMed]
- Kim-Ngoc, V.-T.; Cong-Hau, N.; Bui-Phuc, T.; Thang, N. Quality Assessment During the Fermentation of Cocoa Beans: Effects of Partial Mucilage Removal. J. Appl. Sci. Environ. Manag. 2022, 26, 1369–1374. [Google Scholar] [CrossRef]
- Puerari, C.; Magalhães, K.T.; Schwan, R.F. New cocoa pulp-based kefir beverages: Microbiological, chemical composition and sensory analysis. Food Res. Int. 2012, 48, 634–640. [Google Scholar] [CrossRef]
- Barazarte, H.; Sangronis, E.; Emaldi, U. La cáscara de cacao Theobroma cacao L.: Una posible fuente comercial de pectinas. Arch. Latinoam. Nutr. 2008, 58, 64–70. [Google Scholar] [PubMed]
- Vásquez, Z.S.; de Carvalho Neto, D.P.; Pereira, G.V.M.; Vandenberghe, L.P.S.; de Oliveira, P.Z.; Tiburcio, P.B.; Rogez, H.L.G.; Góes Neto, A.; Soccol, C.R. Biotechnological approaches for cocoa waste management: A review. Waste Manag. 2019, 90, 72–83. [Google Scholar] [CrossRef] [PubMed]
- Guirlanda, C.P.; da Silva, G.G.; Takahashi, J.A. Cocoa honey: Agro-industrial waste or underutilized cocoa by-product? Futur. Foods 2021, 4, 100061. [Google Scholar] [CrossRef]
- Arteaga Estrella, Y. Estudio del Desperdicio del Mucilago de Cacao en el Cantón Naranjal Provincia del Guayas; Universidad Estatal de Milagro Ecuador: Milagro, Ecuador, 2013; pp. 18–22. [Google Scholar]
- Yuliana, N.; Nurainy, F.; Sari, G.W.; Sumardi; Widiastuti, E.L. Total microbe, physicochemical property, and antioxidative activity during fermentation of cocoa honey into kombucha functional drink. Appl. Food Res. 2023, 3, 100297. [Google Scholar] [CrossRef]
- Braudeau, J. El Cacao: Técnicas Agricolas y Producciones Tropicales; Maisonneuve & Larose: Paris, France, 2012. [Google Scholar]
- Lecumberri, E.; Mateos, R.; Izquierdo-Pulido, M.; Rupérez, P.; Goya, L.; Bravo, L. Dietary fibre composition, antioxidant capacity and physico-chemical properties of a fibre-rich product from cocoa (Theobroma cacao L.). Food Chem. 2007, 104, 948–954. [Google Scholar] [CrossRef]
- Martínez, R.; Torres, P.; Meneses, M.M.; Figueroa, J.G.; Pérez-Álvarez, J.A.; Viuda-Martos, M. Chemical, technological and in vitro antioxidant properties of cocoa (Theobroma cacao L.) co-products. Food Res. Int. 2012, 49, 39–45. [Google Scholar] [CrossRef]
- Montesdeoca, S.L.; Cepeda, J.G.; Beltrán, J.C.; Cruz, V.R. Elaboración de una bebida fermentada utilizando tres variedades de limón (Citrus limón). Rev. Cient. Multidiscip. Pentaciencias 2023, 5, 93–103. [Google Scholar] [CrossRef]
- Falcón-Romero, P.; Aguirre-Vargas, E.; Asnate-Salazar, E. Elaboración y caracterización de una bebida fermentada elaborada con el fruto de capulí Prunus serotina y miel de abeja. Dominio Cienc. 2021, 7, 59–78. [Google Scholar] [CrossRef]
- Haase, T.B.; Naumann-Gola, S.; Ortner, E.; Zorn, H.; Schweiggert-Weisz, U. Thermal stabilisation of cocoa fruit pulp—Effects on sensory properties, colour and microbiological stability. Curr. Res. Food Sci. 2023, 7, 100549. [Google Scholar] [CrossRef]
- Zou, C.; Li, R.-Y.; Chen, J.-X.; Wang, F.; Gao, Y.; Fu, Y.-Q.; Xu, Y.-Q.; Yin, J.-F. Zijuan tea- based kombucha: Physicochemical, sensorial, and antioxidant profile. Food Chem. 2021, 363, 130322. [Google Scholar] [CrossRef]
- Rios-Corripio, G.; Guerrero-Beltrán, J. Physicochemical, Antioxidant and Sensory Characteristics of Black Cherry Prunus Serotina Subsp. Capuli Fermented Juice. Int. J. Fruit Sci. 2020, 20, S145–S163. [Google Scholar] [CrossRef]
- Santos, D.; Rezende, R.; Santos, T.; Marques, E.; Ferreira, A.; Silva, A.; Romano, C.; Santos, D.; Dias, J.; Tavares Bisneto, J. Fermentation in fine cocoa type Scavina: Change in standard quality as the effect of use of starters yeast in fermentation. Food Chem. 2020. [Google Scholar] [CrossRef]
- Zhou, D.-D.; Saimaiti, A.; Luo, M.; Huang, S.-Y.; Xiong, R.-G.; Shang, A.; Gan, R.-Y.; Li, H.-B. Fermentation with Tea Residues Enhances Antioxidant Activities and Polyphenol Contents in Kombucha Beverages. Antioxidants 2022, 11, 155. [Google Scholar] [CrossRef]
- Ivanišová, E.; Meňhartová, K.; Terentjeva, M.; Harangozo, L.; Kántor, A.; Kačániová, M. The evaluation of chemical, antioxidant, antimicrobial and sensory properties of kombucha tea beverage. J. Food Sci. Technol. 2019, 57, 1840–1846. [Google Scholar] [CrossRef]
- Júnior, J.C.d.S.; Mafaldo, Í.M.; Brito, I.d.L.; Tribuzy de Magalhães Cordeiro, A.M. Kombucha: Formulation, chemical composition, and therapeutic potentialities. Curr. Res. Food Sci. 2022, 5, 360–365. [Google Scholar] [CrossRef]







| Treatment | Sample | Sugar Concentration (g/L) |
|---|---|---|
| T1 | N100 | 100 |
| T2 | N80 | 80 |
| T3 | N60 | 60 |
| T4 | N40 | 40 |
| T5 | HV100 | 100 |
| T6 | HV80 | 80 |
| T7 | HV60 | 60 |
| T8 | HV40 | 40 |
| Dry Season | Rainy Season | ||||||
|---|---|---|---|---|---|---|---|
| Variety | Maturation | Weights Rank (g) | x̅ Weights (g) | SD | Weights Rank (g) | x̅ Weights (g) | SD |
| NCFA | Underripe | 240–320 | 290.79 | 22.67 | 280–400 | 380.54 | 20.15 |
| Ripe | 410–580 | 491.74 | 37.65 | 400–600 | 547.52 | 12.35 | |
| Overripe | 460–610 | 547.73 | 47.11 | 430–700 | 617.19 | 89.82 | |
| CCN-51 | Underripe | 280–370 | 281.86 | 37.82 | 300–410 | 362.78 | 17.88 |
| Ripe | 390–620 | 518.82 | 83.70 | 400–620 | 615.50 | 15.09 | |
| Overripe | 460–690 | 625.85 | 108.18 | 410–690 | 634.55 | 59.81 | |
| Dry Season | Rainy Season | ||||||||||||
|---|---|---|---|---|---|---|---|---|---|---|---|---|---|
| Variety | Maturation | Peel Weight | SD | Almond Weight | SD | Mucilage Weight | SD | Peel Weight | SD | Almond Weight | SD | Mucilage Weight | SD |
| NCFA | Underripe | 138.47 | 10.80 | 80.31 | 6.26 | 44.31 | 3.45 | 173.96 | 9.21 | 105.10 | 5.56 | 57.99 | 3.07 |
| Ripe | 211.15 | 16.19 | 142.40 | 10.92 | 78.57 | 6.02 | 191.63 | 4.32 | 175.21 | 3.95 | 98.55 | 2.22 | |
| Overripe | 224.57 | 19.32 | 153.36 | 13.19 | 109.55 | 9.42 | 253.05 | 36.83 | 172.81 | 25.15 | 123.44 | 17.96 | |
| CCN-51 | Underripe | 134.22 | 18.01 | 77.85 | 10.45 | 42.95 | 5.76 | 165.84 | 8.18 | 100.20 | 4.94 | 55.28 | 2.73 |
| Ripe | 223.09 | 35.99 | 150.46 | 24.27 | 83.01 | 13.39 | 225.93 | 5.28 | 206.56 | 4.83 | 116.19 | 2.72 | |
| Overripe | 291.04 | 61.80 | 198.76 | 42.21 | 141.97 | 30.15 | 329.87 | 59.84 | 225.27 | 40.87 | 160.91 | 29.19 | |
| Variety | ||
|---|---|---|
| Parameter | CNFA | CCN51 |
| Acidity (%) | 1.35 | 1.44 |
| °Brix | 21.58 | 21.56 |
| pH | 3.52 | 3.34 |
| Humidity (%) | 84.53 | 85.03 |
| Ash (%) | 2.45 | 1.54 |
| Fat (%) | 0.36 | 0.27 |
| Fiber (%) | 8.56 | 8.35 |
| Protein (%) | 4.56 | 4.12 |
| Vitamin C | 8.82 | 8.03 |
| Total Sugars (%) | 11.6 | 13.4 |
| Total Polyphenols (mg) | 107.03 | 67.43 |
| Sample | Organoleptic Properties | |||||
|---|---|---|---|---|---|---|
| Flavor | Color | Texture | Smell | Sweetness | Aftertaste | |
| NCFA100 | 2.92 b | 3.79 ab | 3.38 ab | 3.25 ab | 2.88 b | 2.92 a |
| NCFA80 | 3.04 ab | 3.92 a | 3.27 ab | 3.27 ab | 2.83 b | 2.77 a |
| NCFA60 | 2.27 b | 3.27 ab | 2.92 b | 3.53 ab | 2.23 b | 2.83 a |
| NCFA40 | 4.84 a | 4.24 ab | 4.48 a | 4.79 a | 3.75 a | 2.61 a |
| CCN100 | 2.92 b | 3.79 ab | 3.38 ab | 3.5 ab | 2.88 b | 2.92 a |
| CCN80 | 3.04 ab | 3.92 a | 3.27 ab | 3.27 ab | 2.83 b | 2.77 a |
| CCN60 | 3.37 b | 3.37 ab | 3.93 b | 3.35 ab | 3.33 b | 3.83 a |
| CCN40 | 3.33 b | 3.08 b | 3.93 b | 3.79 b | 3.33 b | 3.93 a |
| Average | 2.98 | 3.57 | 3.17 | 3.31 | 2.88 | 2.85 |
| C.V. (%) | 31.11 | 24.53 | 22.97 | 32.47 | 34.42 | 40.54 |
| p-value | 0.002 | 0.3307 | 0.0304 | 0.054 | 0.0105 | 0.9997 |
| Sample | Parameters | ||
|---|---|---|---|
| Acidity (%) | °Brix | pH | |
| NCFA100 | 0.61 b | 12.46 ab | 2.20 a |
| NCFA80 | 0.49 b | 9.31 a | 3.25 b |
| NCFA60 | 0.34 b | 7.25 ab | 3.63 c |
| NCFA40 | 0.20 a | 6.12 ab | 3.87 c |
| CCN100 | 0.72 c | 11.96 ab | 2.43 a |
| CCN80 | 0.51 b | 8.83 a | 3.55 b |
| CCN60 | 0.33 b | 7.27 ab | 3.62 c |
| CCN40 | 0.17 a | 6.78 ab | 3.67 c |
| Average | 0.45 | 8.74 | 3.47 |
| C.V. (%) | 1.11 | 28.53 | 16.97 |
| p-value | 0.002 | 0.3307 | 0.0304 |
Disclaimer/Publisher’s Note: The statements, opinions and data contained in all publications are solely those of the individual author(s) and contributor(s) and not of MDPI and/or the editor(s). MDPI and/or the editor(s) disclaim responsibility for any injury to people or property resulting from any ideas, methods, instructions or products referred to in the content. |
© 2024 by the authors. Licensee MDPI, Basel, Switzerland. This article is an open access article distributed under the terms and conditions of the Creative Commons Attribution (CC BY) license (https://creativecommons.org/licenses/by/4.0/).
Share and Cite
Rodríguez-Castro, R.; Guerrero, R.; Valero, A.; Franco-Rodriguez, J.; Posada-Izquierdo, G. Cocoa Mucilage as a Novel Ingredient in Innovative Kombucha Fermentation. Foods 2024, 13, 1636. https://doi.org/10.3390/foods13111636
Rodríguez-Castro R, Guerrero R, Valero A, Franco-Rodriguez J, Posada-Izquierdo G. Cocoa Mucilage as a Novel Ingredient in Innovative Kombucha Fermentation. Foods. 2024; 13(11):1636. https://doi.org/10.3390/foods13111636
Chicago/Turabian StyleRodríguez-Castro, Rossy, Raquel Guerrero, Antonio Valero, John Franco-Rodriguez, and Guiomar Posada-Izquierdo. 2024. "Cocoa Mucilage as a Novel Ingredient in Innovative Kombucha Fermentation" Foods 13, no. 11: 1636. https://doi.org/10.3390/foods13111636
APA StyleRodríguez-Castro, R., Guerrero, R., Valero, A., Franco-Rodriguez, J., & Posada-Izquierdo, G. (2024). Cocoa Mucilage as a Novel Ingredient in Innovative Kombucha Fermentation. Foods, 13(11), 1636. https://doi.org/10.3390/foods13111636

