Upcycling Shellfish Waste: Distribution of Amino Acids, Minerals, and Carotenoids in Body Parts of North Atlantic Crab and Shrimp
Abstract
1. Introduction
2. Materials and Methods
2.1. Chemicals and Reagents
2.2. Raw Materials (Shrimp and Crab Samples)
2.3. Proximate Analysis
2.4. Amino Acid Analysis
2.5. Determination of Macro- and Micro-Elements
2.6. Determination of Carotenoid Content
2.7. Statistical Analysis
3. Results and Discussions
3.1. Proximate Composition
3.2. Amino Acid Composition
3.3. Micro- and Macro-Element Analysis
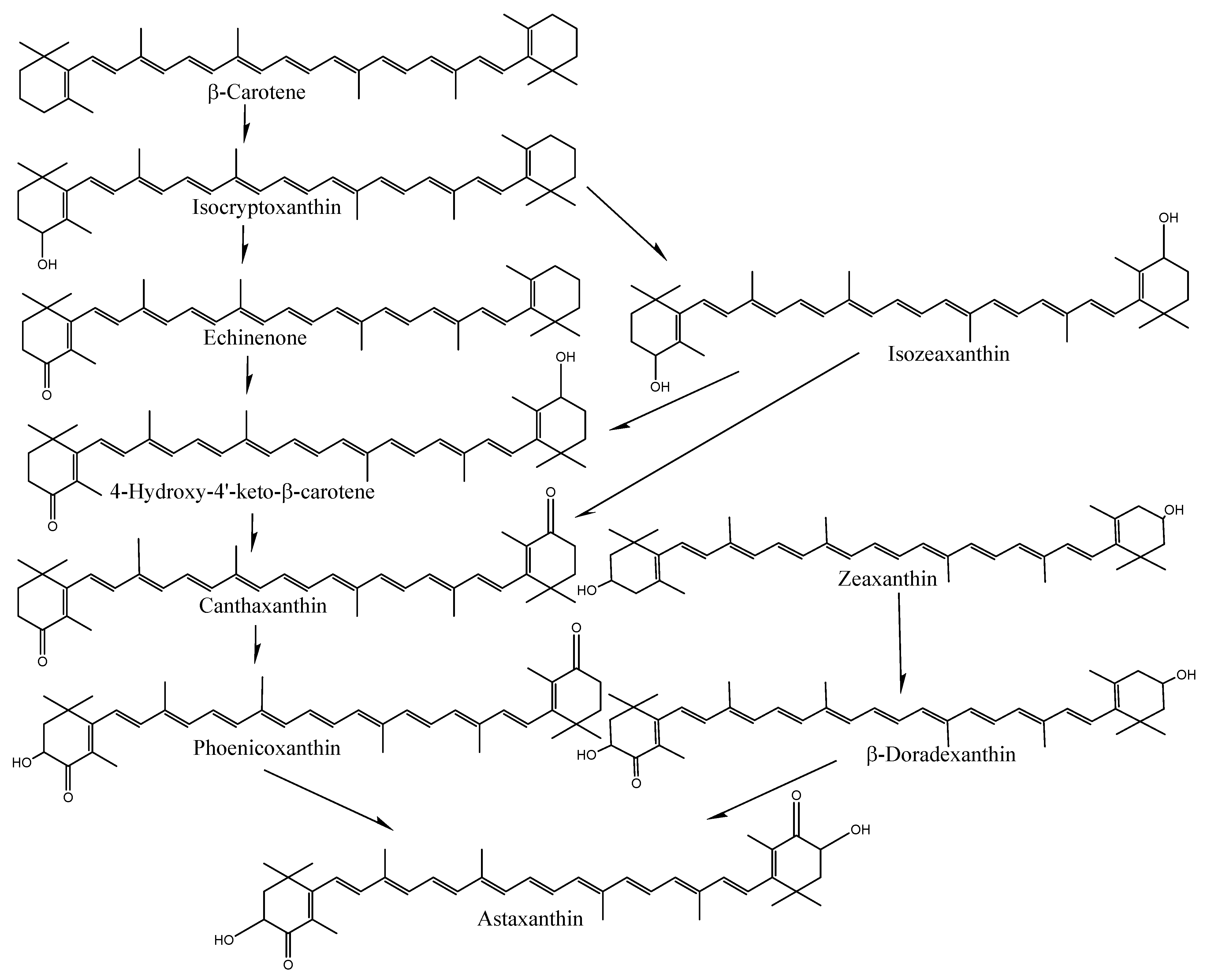
3.4. Carotenoids
4. Conclusions
Author Contributions
Funding
Data Availability Statement
Acknowledgments
Conflicts of Interest
References
- Senadheera, T.R.L.; Hossain, A.; Shahidi, F. Marine bioactives and their application in the food industry: A review. Appl. Sci. 2023, 13, 12088. [Google Scholar] [CrossRef]
- Šimat, V.; Rathod, N.B.; Čagalj, M.; Hamed, I.; Mekinić, I.G. Astaxanthin from crustaceans and their byproducts: A bioactive metabolite candidate for therapeutic application. Mar. Drugs 2022, 20, 206. [Google Scholar] [CrossRef] [PubMed]
- Onodenalore, A.C.; Hossain, A.; Banoub, J.; Shahidi, F. Unique heterocyclic phenolic compounds from shrimp (Pandalus borealis) and beyond. Food Prod. Process. Nutr. 2024, 6, 29. [Google Scholar] [CrossRef]
- Rødde, R.H.; Einbu, A.; Vårum, K.M. A seasonal study of the chemical composition and chitin quality of shrimp shells obtained from northern shrimp (Pandalus borealis). Carbohydr. Polym. 2008, 71, 388–393. [Google Scholar] [CrossRef]
- Burke, H.J.; Kerton, F. Sequential extraction of valuable bio-products from snow crab (Chionoecetes opilio) processing discards using eco-friendly methods. Mar. Drugs 2023, 21, 366. [Google Scholar] [CrossRef]
- Tremblay, A.; Corcuff, R.; Goulet, C.; Godefroy, S.B.; Doyen, A.; Beaulieu, L. Valorization of snow crab (Chionoecetes opilio) cooking effluents for food applications. J. Sci. Food Agric. 2020, 100, 384–393. [Google Scholar] [CrossRef]
- Lim, C.K.; Yusof, M.F.; Sharif, M.; Kamarudin, S.M. Astaxanthin as feed supplement in aquatic animals. Rev. Aquacult. 2017, 10, 738–773. [Google Scholar] [CrossRef]
- Tang, W.; Wang, J.; Hou, H.; Li, Y.; Wang, J.; Fu, J.; Lu, L.; Gao, D.; Liu, Z.; Zhao, F.; et al. Review: Application of chitosan and its derivatives in medical materials. Int. J. Biol. Macromol. 2023, 240, 124398. [Google Scholar] [CrossRef]
- AlFaris, N.A.; Alshammari, G.M.; AlTamimi, J.Z.; AlMousa, L.A.; Alagal, R.I.; AlKehayez, N.M.; Aljabryn, D.H.; Alsayadi, M.M.; Yahya, M.A. Evaluating the effects of different processing methods on the nutritional composition of shrimp and the antioxidant activity of shrimp powder. Saudi J. Biol. Sci. 2022, 29, 640–649. [Google Scholar] [CrossRef]
- Ammar, E.E.; Rady, H.A.; Khattab, A.M.; Amer, M.H.; Mohamed, S.A.; Elodamy, N.I.; AL-Farga, A.; Aioub, A.A.A. A comprehensive overview of eco-friendly bio-fertilizers extracted from living organisms. Environ. Sci. Pollut. Res. 2023, 30, 113119–113137. [Google Scholar] [CrossRef]
- Bligh, E.G.; Dyer, W.J. A rapid method of total lipid extraction and purification. Can. J. Biochem. Physiol. 1959, 37, 911–917. [Google Scholar] [CrossRef]
- Shahidi, F.; Synowiecki, J. Isolation and characterization of nutrients and value-added products from snow crab (Chionoecetes opilio) and shrimp (Pandalus borealis) processing discards. J. Agric. Food Chem. 1991, 39, 1527–1532. [Google Scholar] [CrossRef]
- Heu, M.S.; Kim, J.S.; Shahidi, F. Components and nutritional quality of shrimp processing by-products. Food Chem. 2003, 82, 235–242. [Google Scholar] [CrossRef]
- Hossain, A.; Moon, H.K.; Kim, J.K. Effect of drying and harvest time on the physicochemical properties of the most common Korean persimmon leaves. Korean J. Food Preserv. 2018, 25, 428–435. [Google Scholar] [CrossRef]
- Li, M.; Wen, H.; Huang, F.; Wu, M.; Yu, L.; Jiang, M.; Lu, X.; Tian, J. Role of arginine supplementation on muscular metabolism and flesh quality of Pacific white shrimp (Litopenaeus vannamei) reared in freshwater. Front. Nutr. 2022, 9, 980188. [Google Scholar] [CrossRef] [PubMed]
- Naczk, M.; Williams, J.; Brennan, K.; Liyanapathirana, C.; Shahidi, F. Compositional characteristics of green crab (Carcinus maenas). Food Chem. 2004, 88, 429–434. [Google Scholar] [CrossRef]
- Pattanaik, S.S.; Sawant, P.B.; Xavier, K.A.M.; Dube, K.; Srivastava, P.P.; Dhanabalan, V.; Chadha, N.K. Characterization of carotenoprotein from different shrimp shell waste for possible use as supplementary nutritive feed ingredient in animal diets. Aquaculture 2020, 515, 734594. [Google Scholar] [CrossRef]
- Liu, T.T.; Xia, N.; Wang, Q.Z.; Chen, D.W. Identification of the non-volatile taste-active components in crab sauce. Foods 2019, 8, 324. [Google Scholar] [CrossRef] [PubMed]
- Chen, D.-W.; Zhang, M. Non-volatile taste active compounds in the meat of Chinese mitten crab (Eriocheir sinensis). Food Chem. 2007, 104, 1200–1205. [Google Scholar] [CrossRef]
- Luquet, G. Biomineralizations: Insights and prospects from crustaceans. Zookeys 2012, 176, 103–121. [Google Scholar] [CrossRef]
- Matos, W.O.; da Silva, F.L.F.; Sinaviwat, S.; Menzies, E.J.; Raab, A.; Krupp, E.M.; Feldmann, J. Wild shrimp have an order of magnitude higher arsenic concentrations than farmed shrimp from Brazil illustrating the need for a regulation based on inorganic arsenic. J. Trace Elem. Med. Biol. 2022, 71, 126968. [Google Scholar] [CrossRef] [PubMed]
- Liao, Z.H.; Chuang, H.C.; Huang, H.T.; Wang, P.H.; Chen, B.Y.; Lee, P.T.; Wu, Y.S.; Nan, F.H. Bioaccumulation of arsenic and immunotoxic effect in white shrimp (Penaeus vannamei) exposed to trivalent arsenic. Fish Shellfish Immunol. 2022, 122, 376–385. [Google Scholar] [CrossRef] [PubMed]
- Da Le, N.; Ha Hoang, T.T.; Phung, V.P.; Nguyen, T.L.; Duong, T.T.; Dinh, L.M.; Huong Pham, T.M.; Binh Phung, T.X.; Nguyen, T.D.; Duong, T.N.; et al. Trace Metal Element Analysis in Some Seafood in the Coastal Zone of the Red River (Ba Lat Estuary, Vietnam) by Green Sample Preparation and Inductively Coupled Plasma-Mass Spectrometry (ICP-MS). J. Anal. Methods Chem. 2021, 2021, 6649362. [Google Scholar] [CrossRef] [PubMed]
- Biswas, C.; Soma, S.S.; Rohani, M.F.; Rahman, M.H.; Bashar, A.; Hossain, M.S. Assessment of heavy metals in farmed shrimp, Penaeus monodon sampled from Khulna, Bangladesh: An inimical to food safety aspects. Heliyon 2021, 7, e06587. [Google Scholar] [CrossRef] [PubMed]
- Baki, M.A.; Hossain, M.M.; Akter, J.; Quraishi, S.B.; Haque Shojib, M.F.; Atique Ullah, A.K.M.; Khan, M.F. Concentration of heavy metals in seafood (fishes, shrimp, lobster and crabs) and human health assessment in Saint Martin Island, Bangladesh. Ecotoxicol. Environ. Saf. 2018, 159, 153–163. [Google Scholar] [CrossRef]
- Ahmed, A.A. Mineral and amino profile of crab (Sudanonaonautes aubryi). Food Chem. Adv. 2022, 1, 100070. [Google Scholar] [CrossRef]
- Galasso, C.; Corinaldesi, C.; Sansone, C. Carotenoids from marine organisms: Biological functions and industrial applications. Antioxidants 2017, 6, 96. [Google Scholar] [CrossRef]
- Hamdi, M.; Nasri, R.; Dridi, N.; Li, S.; Nasri, M. Development of novel high-selective extraction approach of carotenoproteins from blue crab (Portunus segnis) shells, contribution to the qualitative analysis of bioactive compounds by HR-ESI-MS. Food Chem. 2020, 302, 125334. [Google Scholar] [CrossRef]
- Su, F.; Huang, B.; Liu, J. The carotenoids of shrimps (Decapoda: Caridea and Dendrobranchiata) cultured in China. J. Crustac. Biol. 2018, 38, 523–530. [Google Scholar] [CrossRef]
- Castenmiller, J.J.M.; West, C.E. Bioavailability and bioconversion of carotenoids. Annu. Rev. Nutr. 1998, 18, 19–38. [Google Scholar] [CrossRef]





| % | Crab (Chionoecetes opilio) | Shrimp (Padalus borealis) | ||||
|---|---|---|---|---|---|---|
| Carapace | Shoulder | Claw | Tip | Leg | Shell Waste | |
| Moisture | 66.63 ± 2.40 b | 59.47 ± 1.34 c | 45.80 ± 0.66 f | 51.03 ± 1.81 d | 48.67 ± 0.21 e | 73.40 ± 2.08 a |
| Proteins | 9.40 ± 0.70 b | 12.50 ± 0.20 a | 8.90 ± 0.30 c | 10.03 ± 1.37 bc | 7.63 ± 0.35 d | 10.73 ± 1.37 b |
| Lipids | 0.93 ± 0.10 b | 0.30 ± 0.10 c | 0.43 ± 0.15 c | 0.37 ± 0.06 c | 0.40 ± 0.10 c | 1.50 ± 0.19 a |
| Ash | 17.93 ± 1.33 b | 15.23 ± 1.31 c | 20.17 ± 0.31 a | 15.97 ± 0.31 c | 17.60 ± 0.87 b | 7.83 ± 0.23 d |
| Chitin * | 75.01 ± 2.10 b | 69.04 ± 1.48 c | 77.02 ± 2.08 b | 75.04 ± 1.75 b | 82.03 ± 1.98 a | 42.02 ± 0.52 d |
| Amino Acid | Crab Shoulder | Shrimp Shell |
|---|---|---|
| g/100 g Protein | g/100 g Protein | |
| Alanine | 6.48 ± 0.01 | 6.62 ± 0.10 |
| α-Aminoadipic acid | 0.10 ± 0.01 | - |
| α-Aminobutyric acid | 0.05 ± 0.00 | - |
| δ-Aminobutyric acid | 0.02 ± 0.00 | - |
| Arginine | 12.92 ± 0.09 | 8.22 ± 0.05 |
| Aspartic acid | 6.17 ± 0.15 | 5.92 ± 0.24 |
| Citrulline | 0.01 ± 0.00 | - |
| Cystathionine | 0.02 ± 0.00 | - |
| Cystine | 0.64 ± 0.01 | 0.10 ± 0.02 |
| Glutamic acid | 7.47 ± 0.07 | 8.19 ± 0.22 |
| Glycine | 11.37 ± 0.05 | 12.90 ± 0.27 |
| Histidine | 1.81 ± 0.08 | 1.35 ± 0.00 |
| Hydroxyproline | 0.03 ± 0.01 | 0.05 ± 0.04 |
| Isoleucine | 2.81 ± 0.00 | 3.13 ± 0.01 |
| Leucine | 4.39 ± 0.03 | 4.38 ± 0.09 |
| Lysine | 2.79 ± 0.01 | 3.98 ± 0.07 |
| Methionine | 1.62 ± 0.01 | 0.98 ± 0.01 |
| 1-Methylhistidine | 0.01 ± 0.00 | - |
| 3-Methylhistidine | 0.12 ± 0.01 | - |
| Ornithine | 0.14 ± 0.01 | 0.76 ± 0.01 |
| Phenylalanine | 3.15 ± 0.03 | 2.95 ± 0.05 |
| Proline | 6.57 ± 0.02 | 9.56 ± 0.4 |
| Serine | 2.67 ± 0.03 | 3.21 ± 0.00 |
| Taurine | 8.43 ± 0.02 | 7.56 ± 0.01 |
| Threonine | 2.75 ± 0.08 | 2.68 ± 0.02 |
| Tryptophan | 0.39 ± 0.00 | 0.46 ± 0.01 |
| Tyrosine | 2.28 ± 0.02 | 2.01 ± 0.06 |
| Valine | 5.32 ± 0.02 | 4.60 ± 0.26 |
| Sarcosine | 2.86 ± 0.00 | 4.66 ± 0.10 |
| Amino Acid | Crab Shoulder | Shrimp Shell | ||
|---|---|---|---|---|
| mg/g Protein | mg/100 g Shells | mg/g Protein | mg/100 g Shells | |
| Alanine | 16.56 ± 0.01 | 6.64 ± 0.09 | 26.85 ± 0.75 | 9.56 ± 0.26 |
| α-Aminoadipic acid | 0.57 ± 0.01 | 0.20 ± 0.00 | 0.56 ± 0.00 | 0.20 ± 0.00 |
| α-Aminobutyric acid | 0.25 ± 0.01 | 0.10 ± 0.00 | - | - |
| δ-Aminobutyric acid | 0.16 ± 0.00 | 0.06 ± 0.00 | 0.24 ± 0.00 | 0.08 ± 0.0 |
| Arginine | 42.73 ± 0.27 | 17.13 ± 0.11 | 40.94 ± 1.37 | 14.57 ± 0.48 |
| Aspartic acid | 1.77 ± 0.01 | 0.71 ± 0.00 | 6.81 ± 0.39 | 2.42 ± 0.14 |
| Asparagine | 0.37 ± 0.00 | 0.15 ± 0.00 | 1.11 ± 0.01 | 0.40 ± 0.00 |
| Citrulline | 0.35 ± 0.01 | 0.14 ± 0.00 | 0.41 ± 0.13 | 0.15 ± 0.05 |
| Cystathionine | 0.45 ± 0.01 | 0.18 ± 0.00 | 0.83 ± 0.03 | 0.30 ± 0.01 |
| Cystine | 0.65 ± 0.00 | 0.26 ± 0.00 | 0.23 ± 0.00 | 0.08 ± 0.00 |
| Glutamic acid | 4.25 ± 0.10 | 1.7 ± 0.04 | 12.39 ± 0.02 | 4.41 ± 0.01 |
| Glutamine | 2.37 ± 0.05 | 0.95 ± 0.02 | 6.67 ± 0.01 | 2.34 ± 0.00 |
| Glycine | 16.95 ± 0.17 | 6.8 ± 0.07 | 92.62 ± 4.21 | 32.51 ± 1.5 |
| Histidine | 3.15 ± 0.26 | 1.26 ± 0.10 | 2.08 ± 0.02 | 0.73 ± 0.01 |
| Hydroxyproline | 0.65 ± 0.02 | 0.26 ± 0.01 | - | - |
| Isoleucine | 5.93 ± 0.17 | 2.38 ± 0.07 | 8.52 ± 0.05 | 2.99 ± 0.02 |
| Leucine | 8.14 ± 0.18 | 3.26 ± 0.07 | 12.02 ± 0.38 | 4.22 ± 0.12 |
| Lysine | 3.83 ± 0.08 | 1.53 ± 0.03 | 10.85 ± 0.38 | 3.81 ± 0.13 |
| Methionine | 6.83 ± 0.10 | 2.74 ± 0.04 | 1.4 ± 0.00 | 0.50 ± 0.00 |
| 1-Methylhistidine | 0.4 ± 0.00 | 0.16 ± 0.00 | - | - |
| 3-Methylhistidine | 0.81 ± 0.0 | 0.32 ± 0.00 | - | - |
| Ornithine | 0.26 ± 0.00 | 0.1 ± 0.00 | 5.11 ± 0.22 | 1.8 ± 0.07 |
| Phenylalanine | 8.22 ± 0.26 | 3.3 ± 0.10 | 7.98 ± 0.24 | 2.8 ± 0.08 |
| Proline | 23.25 ± 0.02 | 9.32 ± 0.10 | 48.64 ± 1.91 | 17.0.7 ± 0.68 |
| Serine | 2.55 ± 0.00 | 1.02 ± 0.00 | 6.3 ± 0.24 | 2.21 ± 0.08 |
| Taurine | 20.98 ± 0.03 | 8.41 ± 0.02 | 39.06 ± 0.05 | 13.71 ± 0.02 |
| Threonine | 1.67 ± 0.00 | 0.67 ± 0.00 | 6.25 ± 0.33 | 2.19 ± 0.11 |
| Tryptophan | 1.6 ± 0.01 | 0.64 ± 0.00 | 2.0 ± 0.22 | 0.70 ± 0.01 |
| Tyrosine | 6.55 ± 0.21 | 2.62 ± 0.08 | 7.41 ± 0.23 | 2.6 ± 0.08 |
| Valine | 7.69 ± 0.08 | 3.08 ± 0.04 | 7.85 ± 0.48 | 2.75 ± 0.016 |
| Sarcosine | 16.58 ± 0.12 | 6.64 ± 0.05 | 30.14 ± 1.13 | 10.58 ± 0.40 |
Disclaimer/Publisher’s Note: The statements, opinions and data contained in all publications are solely those of the individual author(s) and contributor(s) and not of MDPI and/or the editor(s). MDPI and/or the editor(s) disclaim responsibility for any injury to people or property resulting from any ideas, methods, instructions or products referred to in the content. |
© 2024 by the authors. Licensee MDPI, Basel, Switzerland. This article is an open access article distributed under the terms and conditions of the Creative Commons Attribution (CC BY) license (https://creativecommons.org/licenses/by/4.0/).
Share and Cite
Hossain, A.; Shahidi, F. Upcycling Shellfish Waste: Distribution of Amino Acids, Minerals, and Carotenoids in Body Parts of North Atlantic Crab and Shrimp. Foods 2024, 13, 2700. https://doi.org/10.3390/foods13172700
Hossain A, Shahidi F. Upcycling Shellfish Waste: Distribution of Amino Acids, Minerals, and Carotenoids in Body Parts of North Atlantic Crab and Shrimp. Foods. 2024; 13(17):2700. https://doi.org/10.3390/foods13172700
Chicago/Turabian StyleHossain, Abul, and Fereidoon Shahidi. 2024. "Upcycling Shellfish Waste: Distribution of Amino Acids, Minerals, and Carotenoids in Body Parts of North Atlantic Crab and Shrimp" Foods 13, no. 17: 2700. https://doi.org/10.3390/foods13172700
APA StyleHossain, A., & Shahidi, F. (2024). Upcycling Shellfish Waste: Distribution of Amino Acids, Minerals, and Carotenoids in Body Parts of North Atlantic Crab and Shrimp. Foods, 13(17), 2700. https://doi.org/10.3390/foods13172700
