Processing and Real-Time Monitoring Strategies of Aflatoxin Reduction in Pistachios: Innovative Nonthermal Methods, Advanced Biosensing Platforms, and AI-Based Predictive Approaches
Abstract
1. Introduction
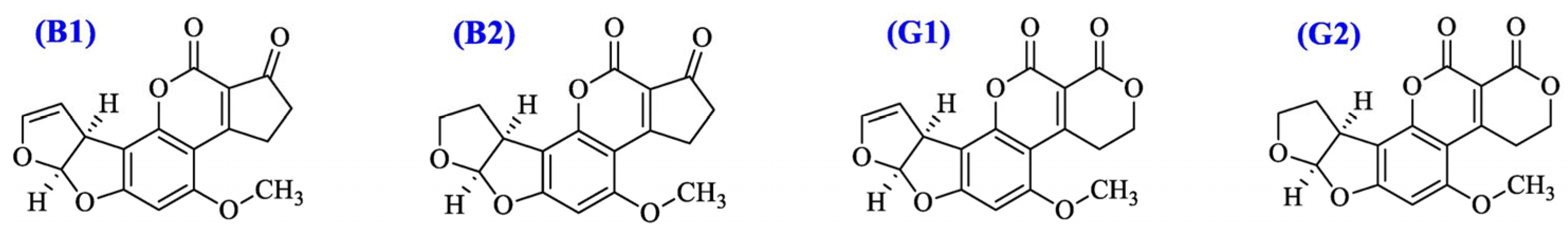
2. Aflatoxin Contamination in Pistachios
2.1. Sources
2.2. Health Risks and Acceptable Levels
2.3. Regulatory Alerts and Trade Issues
2.4. Global Limits and Economic Implications
3. Conventional Methods for Aflatoxin Reduction
3.1. Thermal Treatments
3.2. Physicochemical Treatments
3.2.1. Radiation-Based Approaches
3.2.2. Ozone Oxidation
3.2.3. Acid/Alkaline Chemical Treatments
4. Emerging Nonthermal Methods for Aflatoxin Reduction
4.1. Photon/Energy-Based Methods
4.1.1. Pulsed Light
4.1.2. Cold Plasma
4.2. Adsorptive/Nanomaterial-Based Methods
4.3. Bioactive/Biological-Based Methods
4.3.1. Natural Bioactive Compounds
4.3.2. Microbial Biocontrol Agents
4.4. Comparative Assessment of Nonthermal Decontamination Methods
5. Advanced Biosensing Platforms for Aflatoxin Monitoring
5.1. Electrochemical Immunosensors
5.2. Aptamer-Based Electrochemical Sensors
5.3. Laser-Induced Fluorescence Sensors
5.4. Imaging Sensors
6. AI- and ML-Driven Prediction and Control for Aflatoxin Contamination
7. Conclusions and Future Directions
Author Contributions
Funding
Institutional Review Board Statement
Informed Consent Statement
Data Availability Statement
Conflicts of Interest
Abbreviations
| AFB1 | Aflatoxin B1 |
| AI | Artificial Intelligence |
| ANNs | Artificial Neural Networks |
| AuNW | Gold Nanowire |
| BGYF | Bright Greenish Yellow Fluorescence |
| BSA | Bovine Serum Albumin |
| CAP | Cold Atmospheric Plasma |
| CARS | Competitive Adaptive Reweighted Sampling |
| CCD | Charge-Coupled Device |
| CMD | Carbo-Methyldextran |
| CNNs | Convolutional Neural Networks |
| DBD | Dielectric Barrier Discharge |
| DCGANs | Deep Convolutional Generative Adversarial Networks |
| dpi | Days Post Inoculation |
| DPV | Differential Pulse Voltammetry |
| EBI | Electron Beam Irradiation |
| EIS | Electrochemical Impedance Spectroscopy |
| ELISA | Enzyme-Linked Immunosorbent Assay |
| EW | Electrolyzed Water |
| FDA | Food and Drug Administration |
| FLD | Fluorescence Detection |
| FLIR | Forward-Looking Infrared |
| GO | Graphene Oxide |
| GRAS | Generally Recognized As Safe |
| HPLC | High Performance Liquid Chromatography |
| HRP | Horseradish Peroxidase |
| HSI | Hyperspectral Imaging |
| IAC | Immunoaffinity Column |
| IARC | International Agency for Research on Cancer |
| IoT | Internet of Things |
| LDA | Linear Discriminant Analysis |
| KNN | K-Nearest Neighbors |
| LIF | Laser-Induced Fluorescence |
| LRC | Logistic Regression Classification |
| ML | Machine Learning |
| MCNPX | Monte Carlo N-Particle eXtended |
| MS | Mass Spectrometry |
| NASA | National Aeronautics and Space Administration |
| (N)FS | Non-Fluorescent Stain |
| NIR | Near-Infrared |
| OPIF | One-Photon Induced Fluorescence |
| PAni | Polyaniline |
| PCA | Principal Component Analysis |
| PGCC | Persian Gulf Cooperation Council |
| PL | Pulsed Light |
| PLSR | Partial Least Squares Regression |
| PSM | Pistachio Safety Management |
| QDA | Quadratic Discriminant Analysis |
| RASFF | Rapid Alert System for Food and Feed |
| ResNet | Residual Networks |
| RGB | Red-Green-Blue |
| RMSEP | Root Mean Square Error of Prediction |
| RNNs | Recurrent Neural Networks |
| RSD | Relative Standard Deviation |
| SERS | Surface-Enhanced Raman Scattering |
| SMLR | Stepwise Multiple Linear Regression |
| SNV | Standard Normal Variate |
| SP(C)Es | Screen-Printed (Carbon) Electrodes |
| SVM | Support Vector Machine |
| THz-TDS | Terahertz-Time-Domain Spectroscopy |
| TLC | Thin Layer Chromatography |
| TPIF | Two-Photon Induced Fluorescence |
| TRL | Technology Readiness Level |
| VAEs | Variational Autoencoders |
References
- He, D.; Cheng, R.; Zhang, X.; Han, X.; Zhou, F. Environmentally Friendly Detoxification of Pistachios from Aflatoxins Using Citric Acid and Glycine-Based Bio-MOF. Food Chem. 2025, 476, 143448. [Google Scholar] [CrossRef] [PubMed]
- Soares Mateus, A.R.; Barros, S.; Pena, A.; Sanches Silva, A. Mycotoxins in Pistachios (Pistacia vera L.): Methods for Determination, Occurrence, Decontamination. Toxins 2021, 13, 682. [Google Scholar] [CrossRef] [PubMed]
- Mokhtarian, M.; Tavakolipour, H.; Bagheri, F.; Fernandes Oliveira, C.A.; Corassin, C.H.; Mousavi Khaneghah, A. Aflatoxin B1 in the Iranian Pistachio Nut and Decontamination Methods: A Systematic Review. Qual. Assur. Saf. Crops Foods 2020, 12, 15–25. [Google Scholar] [CrossRef]
- Esmaeilpour, A.; Shakerardekani, A. Effect of Harvesting Time and Delay in the Hulling Process on the Aflatoxin Content of Pistachio Nuts. J. Food Qual. 2022, 2022, 7831016. [Google Scholar] [CrossRef]
- Kaminiaris, M.D.; Varveri, M.; Dimakopoulou, M.G.; Tsitsigiannis, D.I. Effective Chemical Management of Aspergillus flavus and Aflatoxin Contamination in Pistachio Nuts and Orchards. Pest Manag. Sci. 2025, 81, 5062–5070. [Google Scholar] [CrossRef]
- Esmaeili, Z.; Hosseinzadeh Samani, B.; Nazari, F.; Rostami, S.; Nemati, A. The Green Technology of Cold Plasma Jet on the Inactivation of Aspergillus flavus and the Total Aflatoxin Level in Pistachio and Its Quality Properties. J. Food Process Eng. 2023, 46, e14189. [Google Scholar] [CrossRef]
- Pérez-Fernández, B.; Maestroni, B.M.; Nakaya, S.; Bussalino, S.; Vlachou, C.; de la Escosura-Muñiz, A. Development, Optimization and Validation of an Electrochemical Immunosensor for Determination of Total Aflatoxins in Pistachio. Food Control 2023, 152, 109859. [Google Scholar] [CrossRef]
- Wu, Q.; Xu, H. Design and Development of an On-Line Fluorescence Spectroscopy System for Detection of Aflatoxin in Pistachio Nuts. Postharvest Biol. Technol. 2020, 159, 111016. [Google Scholar] [CrossRef]
- Mahroudi, A.; Eslami, H.; Mehrabpour, M.; Dolatabadi, M. Aflatoxin Contamination of Pistachio and the Problems and Strategies of Decontamination: A Review Study. Pistachio Health J. 2020, 3, 21–32. [Google Scholar]
- Campbell, B.C.; Molyneux, R.J.; Schatzki, T.F. Current Research on Reducing Pre- and Post-Harvest Aflatoxin Contamination of U.S. Almond, Pistachio, and Walnut. Toxin Rev. 2003, 22, 225–266. [Google Scholar] [CrossRef]
- Chen, C.; Pan, Z. Postharvest Processing of Tree Nuts: Current Status and Future Prospects—A Comprehensive Review. Compr. Rev. Food Sci. Food Saf. 2022, 21, 1702–1731. [Google Scholar] [CrossRef]
- Torres, A.M.; Barros, G.G.; Palacios, S.A.; Chulze, S.N.; Battilani, P. Review on Pre- and Post-Harvest Management of Peanuts to Minimize Aflatoxin Contamination. Food Res. Int. 2014, 62, 11–19. [Google Scholar] [CrossRef]
- Hojjati, M.; Shahbazi, S.; Askari, H.; Makari, M. Use of X-Irradiations in Reducing the Waste of Aflatoxin-Contaminated Pistachios and Evaluation of the Physicochemical Properties of the Irradiated Product. Foods 2023, 12, 3040. [Google Scholar] [CrossRef] [PubMed]
- Babaee, R.; Karami-Osboo, R.; Mirabolfathy, M. Evaluation of the Use of Ozone, UV-C and Citric Acid in Reducing Aflatoxins in Pistachio Nut. J. Food Compos. Anal. 2022, 106, 104276. [Google Scholar] [CrossRef]
- Sánchez-Bravo, P.; Noguera-Artiaga, L.; Gómez-López, V.M.; Carbonell-Barrachina, Á.A.; Gabaldón, J.A.; Pérez-López, A.J. Impact of Non-Thermal Technologies on the Quality of Nuts: A Review. Foods 2022, 11, 3891. [Google Scholar] [CrossRef] [PubMed]
- Savaş, S.; Gharibzahedi, S.M.T. Whole Cell FRET Immunosensor Based on Graphene Oxide and Graphene Dot for Campylobacter jejuni Detection. Food Chem. 2025, 489, 144889. [Google Scholar] [CrossRef]
- Savaş, S.; Gharibzahedi, S.M.T. Smartphone-Integrated Electrochemical Devices for Contaminant Monitoring in Agriculture and Food: A Review. Biosensors 2025, 15, 574. [Google Scholar] [CrossRef]
- Ge, H.; Jiang, Y.; Lian, F.; Zhang, Y.; Xia, S. Quantitative Determination of Aflatoxin B1 Concentration in Acetonitrile by Chemometric Methods Using Terahertz Spectroscopy. Food Chem. 2016, 209, 286–292. [Google Scholar] [CrossRef]
- Hu, J.; Zhan, C.; Wang, Q.; Shi, H.; He, Y.; Ouyang, A. Research on Highly Sensitive Quantitative Detection of Aflatoxin B2 Solution Based on THz Metamaterial Enhancement. Spectrochim. Acta Part A Mol. Biomol. Spectrosc. 2023, 300, 122809. [Google Scholar] [CrossRef]
- Kaminiaris, M.D.; Mavrikou, S.; Georgiadou, M.; Paivana, G.; Tsitsigiannis, D.I.; Kintzios, S. An Impedance Based Electrochemical Immunosensor for Aflatoxin B1 Monitoring in Pistachio Matrices. Chemosensors 2020, 8, 121. [Google Scholar] [CrossRef]
- Sedighi-Khavidak, S.; Mazloum-Ardakani, M.; Rabbani Khorasgani, M.; Emtiazi, G.; Hosseinzadeh, L. Detection of aflD Gene in Contaminated Pistachio with Aspergillus flavus by DNA Based Electrochemical Biosensor. Int. J. Food Prop. 2017, 20, S119–S130. [Google Scholar] [CrossRef]
- Kaur, G.; Sharma, S.; Bhardwaj, N.; Nayak, M.K.; Deep, A. Highly Sensitive and Selective Electrochemical Detection of Aflatoxin B1 in Water and Pistachio Samples with MOF/MXene Composite Based Sensor. Food Control 2024, 165, 110694. [Google Scholar] [CrossRef]
- Mavrikou, S.; Flampouri, E.; Iconomou, D.; Kintzios, S. Development of a Cellular Biosensor for the Detection of Aflatoxin B1, Based on the Interaction of Membrane Engineered Vero Cells with Anti-AFB1 Antibodies on the Surface of Gold Nanoparticle Screen Printed Electrodes. Food Control 2017, 73, 64–70. [Google Scholar] [CrossRef]
- Rezaee, Z.; Mohtasebi, S.S.; Firouz, M.S. Monitoring Pistachio Health Using Data Fusion of Machine Vision and Electronic Nose (E-nose). J. Food Meas. Charact. 2025, 19, 1851–1858. [Google Scholar] [CrossRef]
- Kaminiaris, M.D.; Camardo Leggieri, M.; Tsitsigiannis, D.I.; Battilani, P. AFLA-pistachio: Development of a mechanistic model to predict the aflatoxin contamination of pistachio nuts. Toxins 2020, 12, 445. [Google Scholar] [CrossRef] [PubMed]
- Williams, L.; Shukla, P.; Sheikh-Akbari, A.; Mahroughi, S.; Mporas, I. Measuring the Level of Aflatoxin Infection in Pistachio Nuts by Applying Machine Learning Techniques to Hyperspectral Images. Sensors 2025, 25, 1548. [Google Scholar] [CrossRef] [PubMed]
- Mateo, F.; Mateo, E.M.; Tarazona, A.; García-Esparza, M.Á.; Soria, J.M.; Jiménez, M. New Strategies and Artificial Intelligence Methods for the Mitigation of Toxigenic Fungi and Mycotoxins in Foods. Toxins 2025, 17, 231. [Google Scholar] [CrossRef] [PubMed]
- Di Salvo, E.; Bartolomeo, G.; Vadalà, R.; Costa, R.; Cicero, N. Mycotoxins in Ready-to-Eat Foods: Regulatory Challenges and Modern Detection Methods. Toxics 2025, 13, 485. [Google Scholar] [CrossRef]
- He, H.; Wang, J.; Ahmad, W.; Wang, F.; Peng, L.; Chang, J.; Xu, Y.; Chen, Q.; Jiao, T. A Novel Surface-Enhanced Raman Scattering Strategy Integrating Spectral and Mapping Data for Stable and Rapid Detection of Aflatoxin B1 via Supervised Learning. J. Hazard. Mater. 2025, 497, 139609. [Google Scholar] [CrossRef]
- Mahroughi, S.; Mehrabinejad, H.; Ispoglou, T.; George, J.; Sheikh-Akbari, A. Innovative Technologies for Non-Intrusive Aflatoxin Detection in Pistachios. In Proceedings of the 2025 14th Mediterranean Conference on Embedded Computing (MECO), Budva, Montenegro, 10–14 June 2025; IEEE: New York, NY, USA, 2025; pp. 20–27. [Google Scholar]
- Owolabi, I.O.; Karoonuthaisiri, N.; Elliott, C.T.; Petchkongkaew, A. A 10-Year Analysis of RASFF Notifications for Mycotoxins in Nuts. Trend in Key Mycotoxins and Impacted Countries. Food Res. Int. 2023, 172, 112915. [Google Scholar] [CrossRef]
- Notification 2025.6565 Aflatoxins Above Legal Limits in Pistachio Pesto from Italy with Raw Materials from Turkey. Available online: https://webgate.ec.europa.eu/rasff-window/screen/notification/784839?utm_source=chatgpt.com (accessed on 30 August 2025).
- Nishimwe, K.; Wanjuki, I.; Karangwa, C.; Darnell, R.; Harvey, J. An Initial Characterization of Aflatoxin B1 Contamination of Maize Sold in the Principal Retail Markets of Kigali, Rwanda. Food Control 2017, 73, 574–580. [Google Scholar] [CrossRef]
- Alshannaq, A.; Yu, J.H. Analysis of EU Rapid Alert System (RASFF) Notifications for Aflatoxins in Exported US Food and Feed Products for 2010–2019. Toxins 2021, 13, 90. [Google Scholar] [CrossRef] [PubMed]
- Pankaj, S.K.; Shi, H.; Keener, K.M. A Review of Novel Physical and Chemical Decontamination Technologies for Aflatoxin in Food. Trends Food Sci. Technol. 2018, 71, 73–83. [Google Scholar] [CrossRef]
- Babaee, R.; Karami-Osboo, R.; Mirabolfathy, M. An Overview of Effective Detoxification Methods for Aflatoxin-Contaminated Pistachio. Pistachio Health J. 2021, 4, 75–93. [Google Scholar]
- Rastegar, H.; Shoeibi, S.; Yazdanpanah, H.; Amirahmadi, M.; Khaneghah, A.M.; Campagnollo, F.B.; Sant’Ana, A.S. Removal of Aflatoxin B1 by Roasting with Lemon Juice and/or Citric Acid in Contaminated Pistachio Nuts. Food Control 2017, 71, 279–284. [Google Scholar] [CrossRef]
- Morshedi, A.; Mohammadi-Moghaddam, T.; Razavi, S.M.A. Modeling the Moisture Loss Kinetics for Different Cultivars of Pistachio Kernels during the Infrared Roasting and Its Effect on the Aflatoxin and Microbial Contamination. J. Food Chem. Nanotechnol. 2023, 9, 163–171. [Google Scholar] [CrossRef]
- Sadeghi, E.; Solaimanimehr, S.; Mirzazadeh, M.; Jamshidpoor, S. The Effect of Gamma Irradiation, Microwaves, and Roasting on Aflatoxin Levels in Pistachio Kernels. World Mycotoxin J. 2022, 16, 75–84. [Google Scholar] [CrossRef]
- Makari, M.; Hojjati, M.; Shahbazi, S.; Askari, H. Effect of Co-60 Gamma Irradiation on Aspergillus flavus, Aflatoxin B1 and Qualitative Characteristics of Pistachio Nuts (Pistacia vera L.). J. Food Meas. Charact. 2021, 15, 5256–5265. [Google Scholar] [CrossRef]
- Rezaie, M.R.; Zareie, N. Impact of Granite Irradiation on Aflatoxin Reduction in Pistachio. Toxicon 2021, 199, 7–11. [Google Scholar] [CrossRef]
- Hassanpour, M.; Rezaie, M.; Faruque, M.R.I.; Khandaker, M.U. A Novel Approach for the Reduction of Aflatoxin in Pistachio Nuts Using Experimental and MCNP Simulation. Radiat. Phys. Chem. 2021, 189, 109752. [Google Scholar] [CrossRef]
- Ghanem, I.; Orfi, M.; Shamma, M. Effect of Gamma Radiation on the Inactivation of Aflatoxin B1 in Food and Feed Crops. Braz. J. Microbiol. 2008, 39, 787–791. [Google Scholar] [CrossRef]
- Shahbazi, H.; Shawrang, P.; Sadeghi, A. Effects of Gamma and Electron-Beam Irradiation on Aflatoxin B1 Content of Corn Grain. Pajouhesh Sazandegi 2010, 3, 56–61. [Google Scholar]
- Serra, M.S.; Pulles, M.B.; Mayanquer, F.T.; Vallejo, M.C.; Rosero, M.I.; Ortega, J.M.; Naranjo, L.N. Evaluation of the Use of Gamma Radiation for Reduction of Aflatoxin B1 in Corn (Zea mays) Used in the Production of Feed for Broiler Chickens. J. Agric. Chem. Environ. 2018, 7, 21–33. [Google Scholar] [CrossRef]
- Zhang, Z.; Xie, Q.; Che, L. Effects of Gamma Irradiation on Aflatoxin B1 Levels in Soybean and on the Properties of Soybean and Soybean Oil. Appl. Radiat. Isot. 2018, 139, 224–230. [Google Scholar] [CrossRef]
- Patil, H.; Shah, N.G.; Hajare, S.N.; Gautam, S.; Kumar, G. Combination of Microwave and Gamma Irradiation for Reduction of Aflatoxin B1 and Microbiological Contamination in Peanuts (Arachis hypogaea L.). World Mycotoxin J. 2019, 12, 1–11. [Google Scholar] [CrossRef]
- Li, C.; Zhang, R.; Sogore, T.; Feng, J.; Liao, X.; Wang, X.; Ding, T. Electron Beam Irradiation in Food Processing: Current Applications and Strategies for Commercial Scale Implementation. Sustain. Food Technol. 2025, 3, 875–893. [Google Scholar] [CrossRef]
- Hashemi, S.; Ehrampoush, M.H.; Jalili, M.; Limaki, S.K.; Hajimohammadi, B. Discrimination of Sensorial Characteristics, Fungal, and Aflatoxin B1 Contamination of Pistachio Kernels after E-Beam Irradiation. Int. J. Environ. Health Eng. 2020, 9, 19. [Google Scholar]
- Wang, Y.; Zhou, A.; Yu, B.; Sun, X. Recent Advances in Non-Contact Food Decontamination Technologies for Removing Mycotoxins and Fungal Contaminants. Foods 2024, 13, 2244. [Google Scholar] [CrossRef]
- Liu, R.; Wang, R.; Lu, J.; Chang, M.; Jin, Q.; Du, Z.; Wang, S.; Li, Q.; Wang, X. Degradation of AFB1 in Aqueous Medium by Electron Beam Irradiation: Kinetics, Pathway and Toxicology. Food Control 2016, 66, 151–157. [Google Scholar] [CrossRef]
- Niu, J.; Li, Y.; Deng, Y.; Wei, C.; Jin, J.; Zhang, H.; Xie, Y. Degradation of Aflatoxin B1 by X-ray Irradiation. LWT 2025, 217, 117384. [Google Scholar] [CrossRef]
- Pravallika, K.; Pradhan, S.; Prabha, A.; Chakraborty, S. Ultraviolet and Pulsed Light Treatment of Spices and Herbs and Their Products: Microbial Safety, Enzyme Inactivation, Bioactive Retention, and Shelf-Life Extension. Compr. Rev. Food Sci. Food Saf. 2025, 24, e70107. [Google Scholar] [CrossRef]
- Raesi, S.; Mohammadi, R.; Khammar, Z.; Paimard, G.; Abdalbeygi, S.; Sarlak, Z.; Rouhi, M. Photocatalytic Detoxification of Aflatoxin B1 in an Aqueous Solution and Soymilk Using Nano Metal Oxides Under UV Light: Kinetic and Isotherm Models. LWT 2022, 154, 112638. [Google Scholar] [CrossRef]
- Jubeen, F.; Bhatti, I.A.; Khan, M.Z.; Zahoor-Ul, H.; Shahid, M. Effect of UVC Irradiation on Aflatoxins in Ground Nut (Arachis hypogea) and Tree Nuts (Juglans regia, Prunus duclus and Pistachio vera). J. Chem. Soc. Pak. 2012, 34, 1366–1374. [Google Scholar]
- Xue, W.; Macleod, J.; Blaxland, J. The Use of Ozone Technology to Control Microorganism Growth, Enhance Food Safety and Extend Shelf Life: A Promising Food Decontamination Technology. Foods 2023, 12, 814. [Google Scholar] [CrossRef]
- Freitas-Silva, O.; Venâncio, A. Ozone Applications to Prevent and Degrade Mycotoxins: A Review. Drug Metab. Rev. 2010, 42, 612–620. [Google Scholar] [CrossRef]
- Jalili, M. A Review on Aflatoxins Reduction in Food. Iran. J. Health Saf. Environ. 2016, 3, 445–459. [Google Scholar]
- Akbas, M.Y.; Ozdemir, M. Effect of Different Ozone Treatments on Aflatoxin Degradation and Physicochemical Properties of Pistachios. J. Sci. Food Agric. 2006, 86, 2099–2104. [Google Scholar] [CrossRef]
- Baazeem, A.; Medina, A.; Magan, N. Impacts of Gaseous Ozone (O3) on Germination, Mycelial Growth, and Aflatoxin B1 Production In Vitro and In Situ Contamination of Stored Pistachio Nuts. Toxins 2022, 14, 416. [Google Scholar] [CrossRef]
- Shakerardekani, A.; Saberi, N. Effect of Ozone Gassing Time and Stirring Duration on Peroxide Value, Microbial Decontamination, Aflatoxin Detoxification and Sensorial Characteristics of Dried Pistachios. Appl. Food Res. 2024, 4, 100458. [Google Scholar] [CrossRef]
- Panahirad, S.; Zaare-Nahandi, F.; Mohammadi, N.; Alizadeh-Salteh, S.; Safaie, N. Effects of Salicylic Acid on Aspergillus flavus Infection and Aflatoxin B1 Accumulation in Pistachio (Pistacia vera L.) Fruit. J. Sci. Food Agric. 2014, 94, 1758–1763. [Google Scholar] [CrossRef]
- Sandlin, N.; Lee, J.; Zaccaria, M.; Domin, M.; Momeni, B. Degradation of Aflatoxins in Weakly Alkaline Conditions. Front. Sustain. Food Syst. 2025, 8, 1445232. [Google Scholar] [CrossRef]
- Esmaeilzadeh Nooghi, M.; Jafari, A.A.; Sedighi Khavidak, S.; Jafari, H. Impacts of Dehydroacetic Acid and Ozonated Water on Aspergillus flavus Colonization and Aflatoxin B1 Accumulation in Iranian Pistachio. J. Food Qual. Hazards Control 2016, 3, 87–92. [Google Scholar]
- Jubeen, F.; Sher, F.; Hazafa, A.; Zafar, F.; Ameen, M.; Rasheed, T. Evaluation and Detoxification of Aflatoxins in Ground and Tree Nuts Using Food Grade Organic Acids. Biocatal. Agric. Biotechnol. 2020, 29, 101749. [Google Scholar] [CrossRef]
- Vidal, A.; Marin, S.; Sanchis, V.; De Saeger, S.; De Boevre, M. Hydrolysers of Modified Mycotoxins in Maize: α-Amylase and Cellulase Induce an Underestimation of the Total Aflatoxin Content. Food Chem. 2018, 248, 86–92. [Google Scholar] [CrossRef]
- Wang, B.; Mahoney, N.E.; Pan, Z.; Khir, R.; Wu, B.; Ma, H.; Zhao, L. Effectiveness of Pulsed Light Treatment for Degradation and Detoxification of Aflatoxin B1 and B2 in Rough Rice and Rice Bran. Food Control 2016, 59, 461–467. [Google Scholar] [CrossRef]
- Moreau, M.; Lescure, G.; Agoulon, A.; Svinareff, P.; Orange, N.; Feuilloley, M. Application of the Pulsed Light Technology to Mycotoxin Degradation and Inactivation. J. Appl. Toxicol. 2013, 33, 357–363. [Google Scholar] [CrossRef] [PubMed]
- Zhou, A.; Zhang, Q.; Adegoke, T.V.; Cheng, D.; Neng, J.; Wang, Y. Pulsed Light Inhibits Aflatoxins Production of Aspergillus flavus, Degrades Aflatoxin B1 and Its Potential Mechanisms. Food Chem. 2025, 492, 145655. [Google Scholar] [CrossRef]
- Akhavan-Mahdavi, S.; Mirzazadeh, M.; Alam, Z.; Solaimanimehr, S. The Effect of Chitosan Coating Combined with Cold Plasma on the Quality and Safety of Pistachio During Storage. Food Sci. Nutr. 2023, 11, 4296–4307. [Google Scholar] [CrossRef]
- Laika, J.; Viteritti, E.; Molina-Hernandez, J.B.; Sergi, M.; Neri, L.; Laurita, R.; Chaves-López, C. Efficiency of Cold Atmospheric Plasma under Ozone (O3) and Nitrogen Oxide (NOx) Regimes on the Degradation of Aflatoxins and Ochratoxin A in Solid State and in Spiked Pistachio Kernels. Food Control 2024, 159, 110286. [Google Scholar] [CrossRef]
- Makari, M.; Hojjati, M.; Shahbazi, S.; Askari, H. Elimination of Aspergillus flavus from Pistachio Nuts with Dielectric Barrier Discharge (DBD) Cold Plasma and Its Impacts on Biochemical Indices. J. Food Qual. 2021, 2021, 9968711. [Google Scholar] [CrossRef]
- Bi, C.; Ma, T. Effect of Dielectric Barrier Discharge Cold Plasma Treatment on the Nutritional Quality of Ground Pistachios. Int. J. Food Sci. Technol. 2025, 60, vvaf020. [Google Scholar] [CrossRef]
- Bakhtiyari-Ramezani, M.; Amani, F.; Naeimabadi, A. Evaluation of the Nutritional and Biochemical Variation in Pistachios Exposed to Dielectric Barrier Discharge Plasma. Future Foods 2025, 12, 100746. [Google Scholar] [CrossRef]
- Devi, Y.; Thirumdas, R.; Sarangapani, C.; Deshmukh, R.R.; Annapure, U.S. Influence of Cold Plasma on Fungal Growth and Aflatoxins Production on Groundnuts. Food Control 2017, 77, 187–191. [Google Scholar] [CrossRef]
- Tasouji, M.A.; Ghorashi, A.H.; Hamedmoosavian, M.T.; Mahmoudi, M.B. Inactivation of Pistachio Contaminant Aspergillus flavus by Atmospheric Pressure Capacitive Coupled Plasma (AP-CCP). J. Microbiol. Biotechnol. Food Sci. 2018, 8, 668–671. [Google Scholar] [CrossRef]
- Ghorashi, A.H.; Tasouji, M.R.; Kargarian, A. Optimum Cold Plasma Generating Device for Treatment of Aspergillus flavus from Nuts Surface. J. Food Sci. Technol. 2020, 57, 3988–3994. [Google Scholar] [CrossRef]
- Zeraatpisheh, F.; Mosallaie, F.; Sanaei, F.; Falah, F.; Vasiee, A.; Yazdi, F.T. The Simultaneous Influence of Ultraviolet Rays and Cold Plasma on the Physicochemical Attributes and Shelf Life of Dried Pistachios during the Storage Period. J. Food Process Eng. 2023, 46, e14403. [Google Scholar] [CrossRef]
- Asghar, N.; Hussain, A.; Nguyen, D.A.; Ali, S.; Hussain, I.; Junejo, A.; Ali, A. Advancement in Nanomaterials for Environmental Pollutants Remediation: A Systematic Review on Bibliometrics Analysis, Material Types, Synthesis Pathways, and Related Mechanisms. J. Nanobiotechnol. 2024, 22, 26. [Google Scholar] [CrossRef]
- Rahaie, S.; Emam-Djomeh, Z.; Razavi, S.H.; Mazaheri, M. Immobilized Saccharomyces cerevisiae as a Potential Aflatoxin Decontaminating Agent in Pistachio Nuts. Braz. J. Microbiol. 2010, 41, 82–90. [Google Scholar] [CrossRef]
- Abdolshahi, A.; Marvdashti, L.M.; Salehi, B.; Sharifi-Rad, M.; Ghobakhloo, S.; Iriti, M.; Sharifi-Rad, J. Antifungal Activities of Coating Incorporated with Saccharomyces cerevisiae Cell Wall Mannoprotein on Aspergillus flavus Growth and Aflatoxin Production in Pistachio (Pistacia vera L.). J. Food Saf. 2019, 39, e12608. [Google Scholar] [CrossRef]
- Abdolshahi, A.; Shabani, A.A.; Mortazavi, S.A.; Marvdashti, L.M. Aflatoxin Binding Efficiency of Saccharomyces cerevisiae Mannoprotein in Contaminated Pistachio Nuts. Food Control 2018, 87, 17–21. [Google Scholar] [CrossRef]
- Karami-Osboo, R.; Ahmadpoor, F.; Nasrollahzadeh, M.; Maham, M. Polydopamine-Coated Magnetic Spirulina Nanocomposite for Efficient Magnetic Dispersive Solid-Phase Extraction of Aflatoxins in Pistachio. Food Chem. 2022, 377, 131967. [Google Scholar] [CrossRef] [PubMed]
- Ansari, F.; Rezaei, K.; Khodaiyan, F.; Rahmani, A. Optimisation of Aflatoxin B1 Reduction in Pistachio Nuts by Kefir Grains Using Statistical Experimental Methods. Qual. Assur. Saf. Crops Foods 2016, 8, 509–517. [Google Scholar] [CrossRef]
- Rahaie, S.; Emam-Djomeh, Z.; Razavi, S.H.; Mazaheri, M. Evaluation of Aflatoxin Decontamination by Two Strains of Saccharomyces cerevisiae and Lactobacillus rhamnosus Strain GG in Pistachio Nuts. Int. J. Food Sci. Technol. 2012, 47, 1647–1653. [Google Scholar] [CrossRef]
- Zolfaghari, H.; Khezerlou, A.; Banihashemi, S.A.; Tavassoli, M.; Ehsani, A. Review on Bio-Detoxification of Aflatoxins Based on Lactic Acid Bacteria: Mechanism and Applications. J. Microbiol. Biotechnol. Food Sci. 2023, 13, e9424. [Google Scholar] [CrossRef]
- Gharibzahedi, S.M.T.; Ahmadigol, A.; Khubber, S.; Altintas, Z. Bionanocomposite Films with Plasticized WPI-Jujube Polysaccharide/Starch Nanocrystal Blends for Packaging Fresh-Cut Carrots. Food Packag. Shelf Life 2023, 36, 101042. [Google Scholar] [CrossRef]
- Gharibzahedi, S.M.T.; Ahmadigol, A.; Khubber, S.; Altintas, Z. Whey Protein Isolate/Jujube Polysaccharide-Based Edible Nanocomposite Films Reinforced with Starch Nanocrystals for the Shelf-Life Extension of Banana: Optimization and Characterization. Int. J. Biol. Macromol. 2022, 222, 1063–1077. [Google Scholar] [CrossRef]
- Mahdavi-Yekta, M.; Karimi-Dehkordi, M.; Hadian, Z.; Salehi, A.; Deylami, S.; Rezaei, M.; Mousavi Khaneghah, A. Silver Nanoparticles and Quinoa Peptide Enriched Nanocomposite Films for the Detoxification of Aflatoxins in Pistachio. Int. J. Environ. Anal. Chem. 2024, 104, 5240–5253. [Google Scholar] [CrossRef]
- Jannatizadeh, A.; Aminian-Dehkordi, R.; Razavi, F. Effect of Exogenous Melatonin Treatment on Aspergillus Decay, Aflatoxin B1 Accumulation and Nutritional Quality of Fresh “Akbari” Pistachio Fruit. J. Food Process. Preserv. 2021, 45, e15518. [Google Scholar] [CrossRef]
- Soleimani Aghdam, M.; Luo, Z.; Aminian-Dehkordi, R.; Jannatizadeh, A.; Farmani, B.; Younessi-Hamzekhanlu, M.; Razavi, F. Exogenous β-Aminobutyric Acid Application Attenuates Aspergillus Decay, Minimizes Aflatoxin B1 Accumulation, and Maintains Nutritional Quality in Fresh-in-Hull Pistachio Kernels. J. Sci. Food Agric. 2020, 100, 2130–2135. [Google Scholar] [CrossRef]
- Khodaverdi, M.; Karami-Osboo, R.; Hosseinian, L.; Mirabolfathy, M. Evaluation of the Effect of Neem Extract Formulation on Reducing Aflatoxin-Producing Fungi in Pistachio. Pistachio Health J. 2021, 4, 16–24. [Google Scholar]
- Shahdadi, F.; Khorasani, S.; Salehi-Sardoei, A.; Fallahnajmabadi, F.; Fazeli-Nasab, B.; Sayyed, R.Z. GC–MS Profiling of Pistachio vera L., and Effect of Antioxidant and Antimicrobial Compounds of Its Essential Oil Compared to Chemical Counterparts. Sci. Rep. 2023, 13, 21694. [Google Scholar] [CrossRef] [PubMed]
- Zhou, W.; Hu, L.B.; Zhao, Y.; Wang, M.Y.; Zhang, H.; Mo, H.Z. Inhibition of Fungal Aflatoxin B1 Biosynthesis by Diverse Botanically-Derived Polyphenols. Trop. J. Pharm. Res. 2015, 14, 605–609. [Google Scholar] [CrossRef]
- Cadenillas, L.F.; Hernandez, C.; Bailly, S.; Billerach, G.; Durrieu, V.; Bailly, J.D. Role of Polyphenols from the Aqueous Extract of Aloysia citrodora in the Inhibition of Aflatoxin B1 Synthesis in Aspergillus flavus. Molecules 2023, 28, 5123. [Google Scholar] [CrossRef]
- Karami-Osboo, R.; Mahboubifar, M.; Mirabolfathy, M.; Hosseinian, L.; Jassbi, A.R. Encapsulated Zataria multiflora’s Essential Oil Inhibited the Growth of Aspergillus flavus and Reduced Aflatoxins Levels in Contaminated Pistachio Nut. Biocatal. Agric. Biotechnol. 2023, 51, 102796. [Google Scholar] [CrossRef]
- Siahmoshteh, F.; Siciliano, I.; Banani, H.; Hamidi-Esfahani, Z.; Razzaghi-Abyaneh, M.; Gullino, M.L.; Spadaro, D. Efficacy of Bacillus subtilis and Bacillus amyloliquefaciens in the Control of Aspergillus parasiticus Growth and Aflatoxins Production on Pistachio. Int. J. Food Microbiol. 2017, 254, 47–53. [Google Scholar] [CrossRef]
- Farzaneh, M.; Shi, Z.Q.; Ahmadzadeh, M.; Hu, L.B.; Ghassempour, A. Inhibition of the Aspergillus flavus Growth and Aflatoxin B1 Contamination on Pistachio Nut by Fengycin- and Surfactin-Producing Bacillus subtilis UTBSP1. Plant Pathol. J. 2016, 32, 209–215. [Google Scholar] [CrossRef]
- Farzaneh, M.; Shi, Z.Q.; Ghassempour, A.; Sedaghat, N.; Ahmadzadeh, M.; Mirabolfathy, M.; Javan-Nikkhah, M. Aflatoxin B1 Degradation by Bacillus subtilis UTBSP1 Isolated from Pistachio Nuts of Iran. Food Control 2012, 23, 100–106. [Google Scholar] [CrossRef]
- Afsharmanesh, H.; Ahmadzadeh, M.; Javan-Nikkhah, M.; Behboudi, K. Improvement in Biocontrol Activity of Bacillus subtilis UTB1 against Aspergillus flavus Using Gamma-Irradiation. Crop Prot. 2014, 60, 83–92. [Google Scholar] [CrossRef]
- Moradi, M.; Rohani, M.; Fani, S.R.; Mosavian, M.T.H.; Probst, C.; Khodaygan, P. Biocontrol Potential of Native Yeast Strains against Aspergillus flavus and Aflatoxin Production in Pistachio. Food Addit. Contam. Part A 2020, 37, 1963–1973. [Google Scholar] [CrossRef]
- Pakizeh, M.; Nouri, L.; Azizi, M.H. Probiotic-Based Optimization of Pistachio Paste Production and Detoxification of Aflatoxin B1 Using Bifidobacterium lactis. J. Food Qual. 2022, 2022, 2504482. [Google Scholar] [CrossRef]
- Javed, M.; Cao, W.; Tang, L.; Keener, K.M. A Review of Decontamination of Aspergillus spp. and Aflatoxin Control for Grains and Nuts with Atmospheric Cold Plasma. Toxins 2025, 17, 129. [Google Scholar] [CrossRef]
- Ogundipe, S.O.; Usack, J.G.; Pegg, R.B.; Suh, J.H. Thermal and Non-Thermal Processing on the Physical and Chemical Properties of Tree Nuts: A Review. Food Bioproc. Technol. 2024, 17, 1727–1751. [Google Scholar] [CrossRef]
- Gharibzahedi, S.M.T.; Barba, F.J.; Mofid, V.; Altintas, Z. Biosensing technology in food production and processing. In Advanced Sensor Technology; Barhoum, A., Altintas, Z., Eds.; Elsevier: Oxford, UK, 2023; pp. 743–824. [Google Scholar]
- Gharibzahedi, S.M.T.; Hasabnis, G.K.; Akin, E.; Altintas, Z. Molecularly Imprinted Polymers-Based Electrochemical Sensors for Tracking Vitamin B12 Released from Spray-Dried Microcapsules During In Vitro Simulated Gastrointestinal Digestion. Sens. Bio-Sens. Res. 2025, 47, 100759. [Google Scholar] [CrossRef]
- Gharibzahedi, S.M.T.; Altintas, Z. Advancing Food Safety with Molecularly Imprinted Nanozyme-Based Sensors for Detecting Food Contaminants: A Review. Trends Food Sci. Technol. 2025, 163, 105147. [Google Scholar] [CrossRef]
- Gharibzahedi, S.M.T.; Altintas, Z. State-of-the-Art Sensor Technologies for Tracking SARS-COV-2 in Contaminated Food and Packaging: Towards the Future Techniques of Food Safety Assurance. TrAC Trends Anal. Chem. 2024, 170, 117473. [Google Scholar] [CrossRef]
- Palakollu, V.N.; Vattikuti, S.V.; Shim, J.; Mameda, N. Recent Progress, Challenges, and Future Perspectives of Electrochemical Biosensing of Aflatoxins. Microchim. Acta 2025, 192, 1–24. [Google Scholar]
- Gharibzahedi, S.M.T.; Moghadam, M.; Amft, J.; Tolun, A.; Hasabnis, G.; Altintas, Z. Recent Advances in Dietary Sources, Health Benefits, Emerging Encapsulation Methods, Food Fortification, and New Sensor-Based Monitoring of Vitamin B12: A Critical Review. Molecules 2023, 28, 7469. [Google Scholar] [CrossRef]
- Savas, S.; Kılıç, Y.; Gharibzahedi, S.M.T.; Altintas, Z. A Novel Smartphone-Based Nanozyme-Enhanced Electrochemical Immunosensor for Ultrasensitive Direct Detection of Staphylococcus Aureus in Milk and Blood Serum. Sens. Bio-Sens. Res. 2025, 49, 100822. [Google Scholar] [CrossRef]
- Savas, S.; Saricam, M. Rapid Method for Detection of Vibrio cholerae from Drinking Water with Nanomaterials Enhancing Electrochemical Biosensor. J. Microbiol. Methods 2024, 216, 106862. [Google Scholar] [CrossRef]
- Savas, S. Electrochemical-Based Biosensors for the Detection and Diagnosis of Common Pathogens. In Current Developments in Biosensors and Emerging Smart Technologies; Karakuş, S., Ed.; IntechOpen: London, UK, 2025. [Google Scholar]
- Mousavi Nodoushan, S.; Nasirizadeh, N.; Kachuei, R.; Fooladi, A.A.I. Electrochemical Detection of Aflatoxin B1: An Aptasensor Prepared Using Graphene Oxide and Gold Nanowires. Anal. Methods 2019, 11, 6033–6042. [Google Scholar] [CrossRef]
- Ong, J.Y.; Phang, S.W.; Goh, C.T.; Pike, A.; Tan, L.L. Impedimetric Polyaniline-Based Aptasensor for Aflatoxin B1 Determination in Agricultural Products. Foods 2023, 12, 1698. [Google Scholar] [CrossRef] [PubMed]
- Jamali Paghaleh, S.; Askari, H.R.; Marashi, S.M.B.; Rahimi, M.; Bahrampour, A.R. A method for the measurement of in line pistachio aflatoxin concentration based on the laser induced fluorescence spectroscopy. J. Lumin. 2015, 161, 135–141. [Google Scholar] [CrossRef]
- Wu, Q.; Xu, J.; Xu, H. Discrimination of Aflatoxin B1 Contaminated Pistachio Kernels Using Laser Induced Fluorescence Spectroscopy. Biosyst. Eng. 2019, 179, 22–34. [Google Scholar] [CrossRef]
- Wu, Q.; Xu, H. Application of multiplexing fiber optic laser induced fluorescence spectroscopy for detection of aflatoxin B1 contaminated pistachio kernels. Food Chem. 2019, 290, 24–31. [Google Scholar] [CrossRef]
- Magnus, I.; Abbasi, F.; Thienpont, H.; Smeesters, L. Laser-Induced Fluorescence Spectroscopy Enhancing Pistachio Nut Quality Screening. Food Control 2024, 158, 110192. [Google Scholar] [CrossRef]
- Lunadei, L.; Ruiz-Garcia, L.; Bodria, L.; Guidetti, R. Image-Based Screening for the Identification of Bright Greenish Yellow Fluorescence on Pistachio Nuts and Cashews. Food Bioproc. Technol. 2013, 6, 1261–1268. [Google Scholar] [CrossRef]
- Mastrodimos, N.; Lentzou, D.; Templalexis, C.; Tsitsigiannis, D.I.; Xanthopoulos, G. Thermal and Digital Imaging Information Acquisition Regarding the Development of Aspergillus flavus in Pistachios against Aspergillus carbonarius in Table Grapes. Comput. Electron. Agric. 2022, 192, 106628. [Google Scholar] [CrossRef]
- Bertani, F.R.; Businaro, L.; Gambacorta, L.; Mencattini, A.; Brenda, D.; Di Giuseppe, D.; Gerardino, A. Optical Detection of Aflatoxins B in Grained Almonds Using Fluorescence Spectroscopy and Machine Learning Algorithms. Food Control 2020, 112, 107073. [Google Scholar] [CrossRef]
- Castaño-Duque, L.; Vaughan, M.; Lindsay, J.; Barnett, K.; Rajasekaran, K. Gradient Boosting and Bayesian Network Machine Learning Models Predict Aflatoxin and Fumonisin Contamination of Maize in Illinois—First USA Case Study. Front. Microbiol. 2022, 13, 1039947. [Google Scholar] [CrossRef]
- Focker, M.; Liu, C.; Wang, X.; van der Fels-Klerx, H.J. The Use of Artificial Intelligence to Improve Mycotoxin Management: A Review. Mycotoxin Res. 2025, 1–12. [Google Scholar] [CrossRef]
- Branstad-Spates, E.H.; Castaño-Duque, L.; Mosher, G.A.; Hurburgh, C.R., Jr.; Owens, P.; Winzeler, E.; Bowers, E.L. Gradient Boosting Machine Learning Model to Predict Aflatoxins in Iowa Corn. Front. Microbiol. 2023, 14, 1248772. [Google Scholar] [CrossRef] [PubMed]
- Zhu, H.; Zhao, Y.; Gu, Q.; Zhao, L.; Yang, R.; Han, Z. Spectral Intelligent Detection for Aflatoxin B1 Via Contrastive Learning Based on Siamese Network. Food Chem. 2024, 449, 139171. [Google Scholar] [CrossRef] [PubMed]









| Method | Efficacy (AF Reduction, %) | Impact on Product Quality | Scalability/TRL * | Cost/Practicality | Ref. |
|---|---|---|---|---|---|
| Pulsed light (PL) | Up to 93–98% in solutions; 22–58% on pistachios depending on dose/time | Minimal chemical changes; Shadowing decreases effectiveness on irregular kernels | Medium TRL (=6–8); Suitable for conveyor integration | Moderate; Requires line-of-sight engineering | [15] |
| Ozone | AFB1/AFG1 are more sensitive than AFB2/AFG2; Effective across nuts | Risk of lipid oxidation and sensory changes at high doses | High TRL (=9); Already used in food industry | Relatively low-cost; Process control required | [15,36] |
| Cold atmospheric plasma (CAP) | Up to ~99% AFB1/AFG1; ~4–5 log Aspergillus reduction | Minimal heating; Residue-free; Matrix effects may reduce efficacy | Medium to high TRL (=5–7); Requires standardization and scale-up validation | Moderate; Equipment cost but efficient treatment | [103] |
| Nanomaterial Adsorption/Packaging | Selective binding of AFs (e.g., polydopamine sorbents, silver nanoparticles-loaded films) | Non-destructive; Potential migration/regulatory issues | Low TRL (=2–4); Emerging, Needs industrial validation | Unclear cost; Regeneration/migration challenges | [104] |
| Platform (Target) * | Matrix | LOD | Analysis Time ** | Complexity ** | Relative Cost | Ref. |
|---|---|---|---|---|---|---|
| Electrochemical immunosensor (AFB1) | Buffer; Spiked pistachio | 0.5 ng/mL (buffer); 1.0 ng/mL (pistachio) | n.r. | Moderate (SPE + EIS) | Moderate | [20] |
| Electrochemical immunosensor (MOF/MXene–EIS, AFB1) | Spiked pistachio | 0.008 ng/mL | n.r. | Moderate-High | Moderate | [22] |
| Competitive electrochemical immunosensor (SPCE + HRP, Total AFs) | Buffer; pistachio (with IAC) | 0.017 µg/L (buffer); 0.066 µg/kg (pistachio) | n.r. (includes IAC step) | High | Moderate-High | [7] |
| Aptasensor (GO/AuNW–DPV, AFB1) | Spiked & naturally contaminated pistachio | 1.4 pM | n.r. | Moderate | Low-Moderate | [114] |
| Aptasensor (PAni–EIS, AFB1) | Real foods incl. pistachio | 10 pM | ~30 min | Low-Moderate | Low | [115] |
| THz metamaterial sensor (AFB2) | Solution | 7.28 × 10−11 mg/mL; 4.19 × 10−9 mg/mL; 1.22 × 10−7 mg/mL (low/medium/high concentration models) | n.r. | High | High | [19] |
Disclaimer/Publisher’s Note: The statements, opinions and data contained in all publications are solely those of the individual author(s) and contributor(s) and not of MDPI and/or the editor(s). MDPI and/or the editor(s) disclaim responsibility for any injury to people or property resulting from any ideas, methods, instructions or products referred to in the content. |
© 2025 by the authors. Licensee MDPI, Basel, Switzerland. This article is an open access article distributed under the terms and conditions of the Creative Commons Attribution (CC BY) license (https://creativecommons.org/licenses/by/4.0/).
Share and Cite
Gharibzahedi, S.M.T.; Savas, S. Processing and Real-Time Monitoring Strategies of Aflatoxin Reduction in Pistachios: Innovative Nonthermal Methods, Advanced Biosensing Platforms, and AI-Based Predictive Approaches. Foods 2025, 14, 3411. https://doi.org/10.3390/foods14193411
Gharibzahedi SMT, Savas S. Processing and Real-Time Monitoring Strategies of Aflatoxin Reduction in Pistachios: Innovative Nonthermal Methods, Advanced Biosensing Platforms, and AI-Based Predictive Approaches. Foods. 2025; 14(19):3411. https://doi.org/10.3390/foods14193411
Chicago/Turabian StyleGharibzahedi, Seyed Mohammad Taghi, and Sumeyra Savas. 2025. "Processing and Real-Time Monitoring Strategies of Aflatoxin Reduction in Pistachios: Innovative Nonthermal Methods, Advanced Biosensing Platforms, and AI-Based Predictive Approaches" Foods 14, no. 19: 3411. https://doi.org/10.3390/foods14193411
APA StyleGharibzahedi, S. M. T., & Savas, S. (2025). Processing and Real-Time Monitoring Strategies of Aflatoxin Reduction in Pistachios: Innovative Nonthermal Methods, Advanced Biosensing Platforms, and AI-Based Predictive Approaches. Foods, 14(19), 3411. https://doi.org/10.3390/foods14193411

