Abstract
Methyl Violet (MV) was removed from aqueous solutions by adsorption onto halloysite nanoclay (HNC) employing equilibrium, kinetics, thermodynamic data, molecular modellingR (MD), and Monte Carlo (MC) simulations. The chosen experimental variables were pH, temperature, starting MV concentration, contact time, and adsorbent dosage. The adsorption rate was determined to increase with increasing contact time, initial dye concentration, pH, and temperature. The Langmuir, Freundlich, Temkin, and Dubinin–Radushkevich (D-R) isotherms were utilized to determine the adsorption capacity of HNC. The Langmuir equation matched equilibrium data better than the other models, whereas the pseudo-second-order model better described kinetic data, and thermodynamic analyses revealed that the adsorption process was spontaneous, endothermic, and physisorption-based. This study focused on two distinct molecular mechanics-based theoretical approaches (MC and MD). These techniques enabled a molecular comprehension of the interaction between the MV molecule and the halloysite surface. Theoretical results were consistent with experimental findings. The outcomes revealed that HNC is an excellent dye adsorbent for industrial effluents.
1. Introduction
Water is a crucial component for life, human evolution, and biodiversity conservation. Unfortunately, human activities have caused a serious degeneration in the quality of water resources. Even though a number of regulations are designed to ensure the safe disposal of industrial effluents, over 80 percent of the world’s wastewater is still disposed of without sufficient treatment [1,2,3]. The release of dye-containing effluents into the natural water bodies can cause harmful effects on the living systems because of their toxic, allergenic, mutagenic, and carcinogenic nature. Dyes obstruct light penetration, impede photosynthetic activity, and as a result, hinder the growth of biota and also cause micro-toxicity to fish and other organisms because of their predisposition to chelate metal ions [4,5].
In several industries such as food, plastic, textile, leather, paper, cosmetics, etc., organic dye effluent is one of the main water pollution problems [6]. Methyl violet (MV) is vital because of its extensive use in textiles, paints, and print inks, and the dying of cotton, silk, paper, and leather, among other applications [7]. MV is also used in medicine as an active ingredient in Gram’s biological stain for bacteria categorization [8,9,10,11]. Sometimes it can be used as a second-rate disinfectant but has been found to be toxic to most animals. Inhaling MV may irritate the respiratory tract, while ingesting it typically irritates the digestive tract [12,13].
Numerous technologies have been devised and implemented to eliminate synthetic dyes from aqueous solutions and limit their environmental impact [14,15,16,17,18]. Among the methods mentioned above, adsorption is better than the other techniques because of its low cost, simplicity of design, pliability, ease of working, and insensitivity to toxic pollutants [19,20]. Due to this, adsorption is currently recognized as a viable operation for the removal of dyes from the environment; it is a simple and economically viable procedure [21]. Materials such as walnut husk [22], modified chitosan composite [23], biochars from crop residues [24], natural zeolite [25], cross-linked succinyl chitosan [26], modified bentonite [27], quaternized poly(4-vinylpyridine) copolymers [28], natural clinoptilolite [29], activated carbon [30], chromium-intercalated montmorillonite [31], metal oxides [32,33,34,35], have been used to remove dyes from aqueous solutions. As well, alumina [36,37,38], silica gel [39,40], and clay minerals [41,42,43,44] are effective and they can support oxidizing environments.
Clay minerals are low-cost, exist in abundance, and are ordinarily innoxious for environmental applications. Their large specific surface area, high porosity, surface charge, and surface functional groups enable the use of clay minerals as adsorbents, flocculants, and filtration media [45,46]. It was discovered that the adsorption capabilities of clays may be greater than those of activated carbon at the same temperature and pH conditions [47]. Adsorption and desorption of organic compounds on clays are primarily determined by the interfacial characteristics of these materials and the chemical properties of their molecules [48]. Clays have a high adsorption capacity for positively charged cations such as cationic dyes, heavy metals, etc., due to their net negative charge.
In this work, the removal of MV from aqueous solutions by adsorption utilizing HNC as an adsorbent was examined. Compared to the earlier published research on the adsorption of MV by HNC published by Liu et al. [49], this work explores the experimental part in more depth and employs theoretical calculations.
The Langmuir, Freundlich, Temkin and Dubinin Radushkeviq (D-R) equations were used to fit the equilibrium isotherms. A kinetic study was carried out with first-order, pseudo first-order, second-order, pseudo second-order, intraparticle and film diffusion models. The thermodynamic parameters derived from adsorption experiments in the present work are extremely useful for elucidating the nature of MV adsorption on halloysite. On the molecular level, the theoretical calculations are of utmost importance as they offer the possibility to evaluate the interaction of molecules on the surfaces. MC and MD provided insights into the theoretical description of the interaction between MV and HNC surface at a molecular level.
2. Materials and Methods
2.1. Adsorbent and Adsorbate
In this study commercial halloysite nanoclay (Al2Si2O5 (OH)4 × 29H2O) supplied by Aldrich, was used as an adsorbent.
As adsorbate, Methyl Violet dye purchased from Fluka was utilized and was used without further purification. The stock solution (1 g L−1) was prepared by dissolving 1 g of the dye into distilled water. The experimental dye solution was made by diluting the stock solution with the necessary amount of distilled water.
2.2. Batch Experimental Procedure
Batch experiments were performed by stirring 25 mL of known concentration of MV solution with 0.2 g of HNC using magnetic stirrer.
Several parameters such as effect of contact time (1–240 min), effect of initial concentration (100, 125, 150, 175, and 200 mg/L), effect of pH (4–10), and effect of temperature (11, 25, and 40 °C) were done for optimizing the experimental conditions.
The pH was adjusted using 0.1 M HCl and 0.1 M NaOH.
After adsorption, the adsorbent and the supernatants were separated by centrifugation at 5000 rpm for 10 min and samples were investigated for residual dye concentration using a UV–Visible Spectrophotometer (type T70+), at wavelength 579 nm, using a 1 cm quartz cell.
All experiments were repeated three times and mean values were presented with a maximum deviation of 5%.
The amount of MV adsorbed per unit adsorbent (mg/g) was calculated using Equation (1):
where Ci is the initial dye concentration (mg/L), Ce is the equilibrium dye concentration (mg/L), V is the volume of MV solution used (L), and m(g) is the mass of HNC used.
The MV percent removal was calculated using Equation (2).
To construct and evaluate an adsorption process, it is necessary to fit equilibrium adsorption data with various adsorption isotherm and kinetic models. Thus, several theoretical models (Table 1) are used for experimental data in order to identify a model that predicts kinetic and isotherm data adequately. The validity of the models was determined by calculating the regression coefficient (R2) and the root mean square errors (RMSE):
where qexp is the experimental value while qcal is the calculated value and N is the number of observations in the experiment. The smaller the RMSE values, the better the curve fitting [50,51]. Exel 2016 was used to create all of the graphs.
Table 1.
Isotherm, kinetic, and other equations used in this study.
2.3. Molecular Modelling and Monte Carlo Calculations
2.3.1. MV and HNC Molecular Modelling
For the interaction amongst the HNC surface and the MV molecule (Figure 1) in the Monte Carlo (MC) and Molecular dynamic (MD) calculations, the simulation was done using the halloysite model (under Periodic Boundary Condition) with cell size of: 61.80 Å × 53.40 Å × 30.14 Å with the inclusion of a 25 Å vacuum layer at C axis containing inside 2500 water molecules and 1 MV molecule.
Figure 1.
Molecular models used in the theoretical calculations: (a) HNC surface, (b) MV molecule (with MAC charges).
2.3.2. Monte Carlo and Molecular Dynamic Simulation Details
Six cycles of simulated annealing, each with 15,000 steps, were used to do the MC computations. The annealing temperature was automatically selected between 105 and 102 K for each cycle. As the temperature steadily decreased, potential adsorption structures were uncovered [52,53]. The MD is performed under an NVT ensemble at 25 °C with a 1 fs time step and 1 ns total simulation period. The temperature control is realized using the Berendsen thermostat MD [54]. MC and MD simulations use COMPASS II’s force field. Radial Distribution Function (RDF) is computed using 1 ns of MD trajectory [55,56].
3. Results and Discussion
3.1. Effect of pH
Solution pH affects adsorption. It affects the adsorbent’s surface charge, the solution’s ionization, and the dissociation of functional groups on the active sites, as well as solution dye chemistry [57,58]. Figure 2 shows the effect of pH on MV removal effectiveness from 4.0 to 10.5. As illustrated in Figure 2, the pH rise from 4 to 10.5, has an insignificant effect on the adsorption capacity. This is in line with other studies such as the adsorption of methyl violet on halloysite nanotube [49] and the adsorption of MG on treated ginger waste [59].
Figure 2.
Effect of pH on adsorption of MV onto HNC.
3.2. Effect of Contact Time and Initial Concentration
In Figure 3, the effects of the initial concentrations of MV (100, 125, 150, 175, and 200 mg/L) and contact time (1–240 min) on the adsorption capacity of HNC at 298.15 K are shown.
Figure 3.
Time and dye concentration affect MV adsorption on HNC.
MV adsorption was faster in the first 10 min, but slowed when the halloysite became saturated, reaching equilibrium after 240 min. High beginning adsorption rates may be owing to a large number of binding sites, whereas lower rates at the end are due to saturation and equilibrium. Similar conclusions have been proposed [60] for the adsorption of MG by neem sawdust.
Also, adsorption increases with increasing initial dye concentration. According to the results obtained, adsorption capacity increased from 12.46 mg/g to 24.66 mg/g as the initial concentration of MV dye increased from 100 mg/L to 200 mg/L. As initial concentration increases, mass transfer driving force overcomes resistances to dye molecule mass transfer from solution to the solid phase. Also, increasing concentration promotes dye adsorption by increasing dye-halloysite interaction [61,62].
3.3. Effect of Adsorbent Dosage
It was noticed (Figure 4), that the percent of MV adsorption grew significantly from 91–99.9%, with the increase of adsorbent dosage from 0.025 to 0.2 g. Thereafter, by increasing the adsorbent dosage up to 0.4 g, an insignificant increase in the removal efficiency was observed [63].
Figure 4.
Effect of adsorbent dosage on adsorption of of MV onto HNC.
It was also found that the enhancement of adsorbent dosage, resulted in a decrease in the amount of adsorbed dye per unit mass of adsorbent, from 91.3 to 6.3 mg/g.
Due to a divide in the concentration gradient between dye concentration in the solution and dye concentration on the HNC surface, qe (mg/g) decreases with increasing adsorbent mass [64].
A similar way of behaving was reported for mercury (II) removal on EB [65] and MB adsorption on guava leaf [66], on gulmohar plant leaf [67], and on cashew nutshell activated carbon [68].
3.4. Effect of Temperature
The effect of temperature on MV dye adsorption onto HNC is introduced in Figure 5.
Figure 5.
Effect of temperature on adsorption of MV onto HNC.
The equilibrium adsorption capacity of MV onto HNC was found to increase slightly with increasing temperature, from 18.63 mg/g at 284.15 K to 18.71 mg/g at 313.15 K. With increasing temperature, the viscosity of the solution decreases, and consequently the rate of diffusion of dye molecules increases. This leads to an increase in mobility of molecules from the bulk solution to the surface of the adsorbent, and as a result, an increase in the amount of MV adsorbed [69,70].
A similar temperature effect was reported for adsorption of MV adsorption by clinoptilolite [71] and adsorption of the dyestuff astrazon red violet 3 rn (basic violet 16) on montmorillonite clay [72].
3.5. Adsorption Isotherms
Four isotherm equations specifically Langmuir, Freundlich, Temkin and Dubinin–Radushkevich (D-R) (Table 1) were employed to interpret the experimental data for MV adsorption on HNC at different temperatures.
The results are shown in Table 2.
Table 2.
Isotherm parameters for the adsorption of MV onto HNC.
Based on the R2, RMSE values, qe,calc values, and modelled isotherms, the Langmuir isotherm model fitted best amongst all the isotherm models investigated. Langmuir isotherm model assumes similar, energetically equivalent adsorption sites and monolayer adsorption [73].
The Langmuir isotherm constants, KL and qm, were calculated from the slope and intercept respectively, of linear plot of Ce/qe against Ce (Figure 5 and Table 2).
The separation factor (RL), an essential parameter of the Langmuir isotherm, is generally used to show if the adsorption process is unfavorable (RL > 1), linear (RL = 1), favorable (0 < RL > 1), or irreversible (RL = 0). It can be calculated by Equation (4).
The values of RL in Table 2 indicate that the adsorption of MV on HNC is favorable.
The Freundlich isotherm which assumes multilayer sorption on the heterogeneous adsorbent surface was also utilized to evaluate experimental data. KF and 1/n were calculated from the intercept and slope of the linear plot of log qe versus log Ce. The values of n greater than unity in Freundlich adsorption isotherm, for all temperatures, indicated that the HNC is suitable for the adsorption of MV.
The Temkin isotherm model includes a factor that takes into account the interactions between the adsorbent and adsorbate. The heat of molecular adsorption in the layer would reduce due to these interactions and the adsorption is identified by a dissipation of binding energies. The determined Temkin parameters (bT and KT) exhibited that the interactions between the adsorbent surface and the MV dyes are weak and may be a physical adsorption process. The increased value of bT with temperature also supports increased adsorption efficiency with increasing temperature [74,75].
Dubinin-Radushkevich (D-R) isotherm model determines whether adsorption is physical or chemical. The values of constants qm and β are given in Table 2. The parameter β could be used to calculate the mean free energy (E = 1/√2β), which could distinguish the type of the adsorption process. If the value of E is less than 8 kJ mol−1, the adsorption process is physical, and when E is between 8 kJ mol−1 and 16 kJ mol−1, the process is chemical adsorption [76].
The value of apparent energy E (less than 8.0 kJ mol−1) indicated that the adsorption of MV onto the HNC is a physical process and is consonant with the ∆G parameter results [77].
The nonlinear relationship of the isotherm models used, is shown in Figure 6.
Figure 6.
Comparison of the experimental and modelled isotherms for the adsorption of MV by HNC.
3.6. Adsorption Kinetics
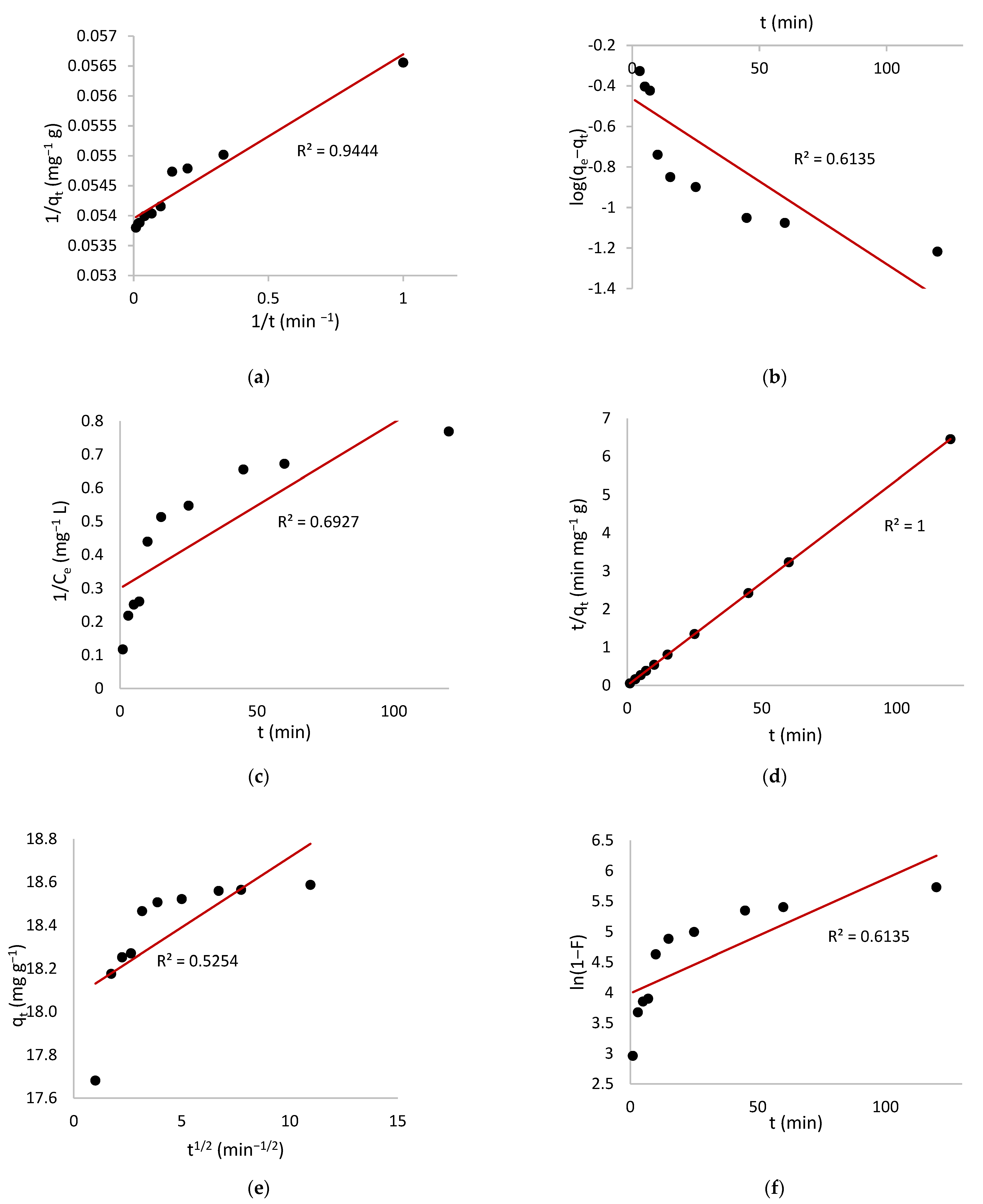
In order to investigate the adsorption process and potential rate controlling step of MV adsorption onto HNC first order, pseudo-first-order, second order, pseudo-second-order, and intra-particle diffusion kinetic models were studied (Table 1).
Figure 7 shows the linear relationship of kinetic models for the MV adsorption process and the value of kinetics parameters determined using these models are given in Table 3.
Figure 7.
Kinetic model plots for MV adsorption onto HNC (a) first order, (b) pseudo-first order, (c) (second order, (d) pseudo-second order, (e) intraparticle diffusion and (f) liquid film diffusion.
Table 3.
Comparison of HNC adsorption capacities with various adsorbents.
On the basis of the high values of the regression coefficient, (R = 1) and very close values of qe,calc with qe,exp, the pseudo-second-order rate model fitted the experimental data better than any other model studied, providing evidence that the adsorption of MV on HNC followed the pseudo-second-order kinetic model. Considerable reduction of dye amount during batch adsorption experiments and longer time needed for adsorbing species to diffuse to remote locations deep within a network of fine pores are the two contributing explanations for these results [79,80].
Similar findings are also reported for adsorption of methylene blue by coconut husks/polylactide blended films [81], adsorption of CV dye on zeolites from coal fly and bottom ashes [78], and adsorption of CV dye on coffee husks [82].
Adsorbate molecules travel from the aqueous phase to the adsorbent surface, then diffuse into pores. External mass transfer (boundary layer diffusion) or intraparticle diffusion determines the adsorption rate. The experimental adsorption kinetics data were fitted using the intraparticle diffusion model and the liquid film diffusion model to determine the rate-determining step.
If the intraparticle diffusion is the sole rate-limiting step, the plot of qt vs. t0.5 gives a straight line with zero intercept. As the intraparticle diffusion plot did not pass through the origin some other mechanism might be included. For that reason, the kinetic data were examined by the liquid film diffusion model. Linear graphs of ln (1 − F) vs. t with zero intercept suggest that adsorption kinetics are driven by diffusion through the liquid film surrounding solid adsorbents. The low values of R2 (Table 4) and the non-zero intercept plots of the liquid film diffusion model indicate that the liquid film diffusion is also not the sole rate-determining step.
Table 4.
Kinetic parameters for the sorption of MV onto HNC.
So the adsorption mechanism is a combination of the two processes mentioned above [51,77].
3.7. Adsorption Thermodynamics
The free energy change (ΔG0), enthalpy change (ΔH0), and entropy change (ΔS0) were evaluated using the following equations:
where Kc is the equilibrium constant (dimensionless), [83,84] R is the gas constant (J/Kmol), and T is the temperature (K).
The ΔH0 and ΔS0 were determined from the slope and intercept of the plot of lnKc versus 1/T (Figure 8), and the results are shown in Table 5.
Figure 8.
Plot of ln Kc versus 1/T of the adsorption process.
Table 5.
The thermodynamic parameters of adsorption of MV onto HNC.
The positive value of ΔH0 (+37.84 kJ/mol) indicated that the adsorption process was endothermic and since this value is less than 80 kJ/mol (80 kJ/mol is the upper limit of the change of enthalpy for physisorption), it shows that the adsorption follows a physisorption.
The positive value of ΔS0 indicated increased disorder and randomness at the solid-liquid interface; however, the negative value of ΔG0 suggested spontaneous and thermodynamically favorable adsorption of MV onto HNC.
Meantime, the value of ΔG0 became more negative with increasing temperature, which exhibits that higher temperature is contributory to adsorption [19].
The activation energy Ea was obtained using the Arrhenius equation:
where k2 is the pseudo-second-order rate constant, A is the Arrhenius constant, Ea refers to the energy of activation (J mol−1), R is the ideal gas constant (8.314 J mol−1 K−1), and T is the temperature (K).
The slope of the plot of ln k2 versus 1/T (Figure 9) is used to evaluate Ea, which was found to be 44 kJ/mol.
Figure 9.
Plot of ln k2 versus 1/T of the adsorption process.
This value is consistent with the values of the activation energy (43.0 kJ/mol) for the adsorption of reactive red 189 on cross-linked chitosan beads [85], and (5.6–49.1 kJ/mol) for the adsorption of polychlorinated biphenyls on fly ash [86].
3.8. Monte Carlo and Molecular Dynamic Simulations
Figure 10 depicts the lowest energy configurations for the MV on the HNC surface under the simulated adsorption circumstances that were employed (as chosen above). As evidenced by Mulliken charges (Figure 1), the adsorption geometries of the MV demonstrate that nitrogen atoms are mostly responsible for this behavior.
Figure 10.
Final MC poses of the lowest adsorption configurations for the MV in the simulated corrosion media on the HNC surface PBC model.
The following equation may be used to calculate the adsorption energies of the adsorbate molecule on the halloysite surface.
where: Etotal is the total energy of the system as a result of adsorbent-adsorbate; Esurface+water and EMV+water is system energy in the absence and presence of MV.
Figure 11 depicts the distribution of the adsorption energies for the large number of adsorptive configurations developed and computed by the Monte Carlo approach for the MV adsorbate, which was based on the results of the Monte Carlo method.
Figure 11.
Distribution of adsorption energies for MV onto the halloysite surface.
The Adsorption Energy (Eads) values for the adsorption of MV onto the HNC surface are presented in Table 6.
Table 6.
The distribution Eads values for MV onto the Halloysite surface.
As indicated by the high Eads, the MV has a strong contact with the halloysite surface, resulting in good adsorptive properties. Adsorption of MV onto the halloysite surface was determined by both the MC and MD calculations, respectively. In the case of the adsorption process, Monte Carlo simulations (see Figure 10 and Figure 12) have indicated that the ensuing negative values of adsorption are indicative of the spontaneity with which the process occurs (Figure 11). It is important to employ MD simulations because they give a very simple means of tracking and recording the kinetics of inhibitor adsorption on the metal surface under study. Figure 12 shows the final arrangements of MV on the halloysite surface as depicted in the previous figure.
Figure 12.
Final MD pose of the lowest adsorption configurations for the MV in the simulated corrosion media on the HNC surface PBC model.
The presence of an RDF peak between 1 and 3.5 Å from the surface plane of the material and the adsorbate atom confirms adsorption, but for physisorption, RDF peaks at greater distances confirm physisorption, and vice versa.
The RDF of the nitrogen atoms in the MV (Figure 13 is close to the surface plane, suggesting that these components have an increased interaction with the adsorbent surface. The findings of the MD and RDF analyses confirm that these inhibitors have a high proclivity to adsorb onto the surface, owing to their peculiar attraction to share and accept electrons with the surface in question. [55].
Figure 13.
RDF of nitrogen MV the halloysite surface obtained via MD.
3.9. FTIR Spectroscopy
FTIR-8400S was used for Total Attenuated Reflection (ATR) measurements with the following parameters: resolution 2 cm−1, 100 scans, 500–4000 cm−1. Figure 14 exhibits the peaks that appeared at certain wave numbers of MV FTIR spectra before and after adsorption onto HNC.
Figure 14.
The FTIR spectrum of MV and MV-HNC.
The following peaks: 3082 and 1496 cm−1 show -CH- aromatic and 2927 cm−1 –CH3 methyl vibrating vibrations, respectively 1688 cm−1, aromatic ring vibrations –C=C– vibrations from the skeleton of aromatic ring structures of MV, while we have new displays of vibrations of the group -OH at 3345 cm−1 stretching, 1127.2 cm−1 bending by the group connections -Si-O-Si- bending and 990.3 cm−1 from the -Al-O-OH- bond arising from the Halloysite and MV groups with distinctive features (as shown in Figure 14).
The interaction of MV molecules with Halloysite functional groups was confirmed by the emergence and disappearance or depletion of various peaks.
4. Conclusions
This study established the viability of halloysite nanoclay as a dye-removal adsorbent in wastewater. The findings of the batch trials revealed that adsorption was affected by adsorbent dose, contact time, initial dye concentration, and temperature.
Adsorption of MV is very little affected by changing the temperature and pH. The optimal adsorption capacity (27.7 mg/g) was reached at ambient temperature (298 K) and pH (4.26).
Among the investigated isotherm models, the Langmuir isotherm model demonstrated the best fit.
The experimental data were best suited by the pseudo-second-order rate model, indicating that the adsorption of MV on HNC followed the pseudo-second-order kinetic model. The kinetic analysis indicated that the adsorption mechanism is a combination of intra-particle diffusion and film diffusion.
Thermodynamic investigations demonstrated that the removal of MV by HNC is possible, exothermic, and spontaneous.
This study focuses on two distinct molecular mechanics-based theoretical approaches (MC and MD). These techniques enabled a molecular comprehension of the interaction between the MV molecule and the halloysite surface. Simulations using Monte Carlo and molecular dynamics revealed that this molecule spontaneously adsorbs onto surfaces. The negative value of the adsorption energies supports a strong interaction between the MV and HNC surface, which is consistent with experimental findings.
Author Contributions
Conceptualization, M.S. and N.H.; methodology, M.S. and A.B.; software, A.B.; formal analysis, M.S. and A.B.; investigation, M.S., V.T. and A.M.; resources, T.S., V.M. and A.M.; data curation, A.B. and V.M.; writing—original draft preparation, N.H., A.B. and M.S.; visualization, A.B., M.S., V.T. and N.H.; All authors have read and agreed to the published version of the manuscript.
Funding
This research received no external funding.
Institutional Review Board Statement
Not applicable.
Informed Consent Statement
Not applicable.
Data Availability Statement
Not applicable.
Acknowledgments
The authors gratefully acknowledge the support from the Ministry of Education, Science and Technology of Kosovo (Nr.2-5069) for providing the computing resources.
Conflicts of Interest
The authors declare no conflict of interest.
References
- Abdel Ghafar, H.H.; Radwan, K.E.; El-Wakeel, T.S. Removal of Hazardous Contaminants from Water by Natural and Zwitterionic Surfactant-modified Clay. ACS Omega 2020, 5, 6834–6845. [Google Scholar] [CrossRef] [PubMed] [Green Version]
- Da Silva, B.C.; Zanutto, A.; Pietrobelli, J.M. Biosorption of reactive yellow dye by malt bagasse. Adsorpt. Sci. Technol. 2019, 37, 236–259. [Google Scholar] [CrossRef]
- Conradi, E.; Goncalves, A.C.; Schwantes, D.; Manfrin, J.; Schiller, A.; Zimmerman, J.; Klassen, G.J.; Ziemer, G.L. Development of renewable adsorbent from cigarettes for lead removal from water. J. Environ. Chem. Eng. 2019, 7, 103200. [Google Scholar] [CrossRef]
- Akar, S.T.; Özcan, A.S.; Akar, T.; Özcan, A.; Kaynak, Z. Biosorption of a reactive textile dye from aqueous solutions utilizing an agro-waste. Desalination 2009, 249, 757–761. [Google Scholar] [CrossRef]
- Malik, R.; Ramteke, D.S.; Wate, S.R. Adsorption of malachite green on groundnut shell waste based powdered activated carbon. Waste Manag. 2007, 27, 1129–1138. [Google Scholar] [CrossRef] [PubMed]
- Monvisade, P.; Siriphannon, P. Chitosan intercalated montmorillonite: Preparation, characterization and cationic dye adsorption. Appl. Clay Sci. 2009, 42, 427–431. [Google Scholar] [CrossRef]
- Ofomaja, A.E.; Ukpebor, E.E.; Uzoekwe, S.A. Biosorption of Methyl violet onto palm kernel fiber: Diffusion studies and multistage process design to minimize biosorbent mass and contact time. Biomass Bioenergy 2011, 35, 4112–4123. [Google Scholar] [CrossRef]
- Esteva, M.; Ruiz, A.M.; Stoka, A.M. Trypanosoma cruzi: Methoprene is a potent agent to sterilize blood infected with trypomastigotes. Exp. Parasitol. 2002, 100, 248–251. [Google Scholar] [CrossRef]
- Laube, S. Skin infections and ageing. Ageing Res. Rev. 2004, 3, 69–89. [Google Scholar] [CrossRef]
- Saji, M.; Taguchi, S.; Uchiyama, K.; Osono, E.; Hayama, N.; Ohkuni, H. Efficacy of gentian violet in the eradication of methicillin-resistant Staphylococcus aureus from skin lesions. J. Hosp. Infect. 1995, 31, 225–228. [Google Scholar] [CrossRef] [Green Version]
- Wainwright, M. Dyes for the medical industry. In Handbook of Textile and Industrial Dyeing; Woodhead Publishing: London, UK, 2011; pp. 204–230. [Google Scholar]
- Li, P.; Su, Y.J.; Wang, Y.; Liu, B.; Sun, L.M. Bioadsorption of methyl violet from aqueous solution onto Pu-erh tea powder. J. Hazard. Mater. 2010, 179, 43–48. [Google Scholar] [CrossRef]
- Bonetto, L.R.; Ferrarini, F.; De Marco, C.; Crespo, J.S.; Guégan, R.; Giovanela, M. Removal of methyl violet 2B dye from aqueous solution using a magnetic composite as an adsorbent. J. Water Process Eng. 2015, 6, 11–20. [Google Scholar] [CrossRef] [Green Version]
- Wu, J.; Eiteman, M.A.; Law, S.E. Evaluation of membrane filtration and ozonation processes for treatment of reactive-dye wastewater. J. Environ. Eng. 1998, 124, 272–277. [Google Scholar] [CrossRef]
- Vimonses, V.; Lei, S.; Jin, B.; Chow, C.W.K.; Saint, C. Kinetic study and equilibrium isotherm analysis of Congo Red adsorption by clay materials. Chem. Eng. J. 2009, 148, 354–364. [Google Scholar] [CrossRef]
- Moghaddam, S.S.; Moghaddam, M.R.A.; Arami, M. Coagulation/flocculation process for dye removal using sludge from water treatment plant: Optimization through response surface methodology. J. Hazard. Mater. 2010, 175, 651–657. [Google Scholar] [CrossRef]
- Hisaindee, S.; Meetani, M.A.; Rauf, M.A. Application of LC-MS to the analysis of advanced oxidation process (AOP) degradation of dye products and reaction mechanisms. TrAC Trends Anal. Chem. 2013, 49, 31–44. [Google Scholar] [CrossRef]
- Turhan, K.; Durukan, I.; Ozturkcan, S.A.; Turgut, Z. Decolorization of textile basic dye in aqueous solution byozone. Dye. Pigment. 2012, 92, 897–901. [Google Scholar] [CrossRef]
- Tong, Z.; Zheng, P.; Bai, B.; Wang, H.; Suo, Y. Adsorption Performance of Methyl Violet via α-Fe2O3@Porous Hollow Carbonaceous Microspheres and Its Effective Regeneration through a Fenton-Like Reaction. Catalysts 2016, 6, 58. [Google Scholar] [CrossRef] [Green Version]
- Wang, L.; Zhang, J.; Zhao, R.; Li, C.; Li, Y.; Zhang, C. Adsorption of basic dyes on activated carbon prepared from Polygonum orientale Linn: Equilibrium, kinetic and thermodynamic studies. Desalination 2010, 254, 68–74. [Google Scholar] [CrossRef]
- Baouch, Z.; Benabadji, K.I.; Bouras, B. Adsorption of Different Dyes from Aqueous Solutions Using Organo-clay Compposites. Phys. Chem. Res. 2020, 8, 767–787. [Google Scholar]
- Çelekli, A.; Birecikligil, S.S.; Geyik, F.; Bozkurt, H. Prediction of removal efficiency of lanaset red G on walnut husk using artificial neural network model. Bioresour. Technol. 2012, 103, 64–70. [Google Scholar] [CrossRef]
- Zhu, H.Y.; Jiang, R.; Fu, Y.Q.; Jiang, J.H.; Xiao, L.; Zeng, G.M. Preparation, characterization and dye adsorption properties of γ-Fe2O3/SiO2/Chitosan Composite. Appl. Surf. Sci. 2011, 258, 1337–1344. [Google Scholar] [CrossRef]
- Xu, R.K.; Xiao, S.C.; Yuan, J.H.; Zhao, A.Z. Adsorption of methyl violet from aqueous solutions by the biochars derived from crop residues. Bioresour. Technol. 2011, 102, 10293–10298. [Google Scholar] [CrossRef] [PubMed]
- Akgül, M.; Karabakan, A. Promoted dye adsorption performance over desilicated natural zeolite. Microporous Mesoporous Mater. 2011, 145, 157–164. [Google Scholar] [CrossRef]
- Huang, X.Y.; Bu, H.T.; Jiang, G.B.; Zeng, M.H. Cross-linked succinyl chitosan as an adsorbent for the removal of methylene blue from aqueous solution. Int. J. Biol. Macromol. 2011, 49, 643–651. [Google Scholar] [CrossRef] [PubMed]
- Heddi, D.; Benkhaled, A.; Boussaid, A.; ChoukchouBraham, E. Adsorption of anionic dyes on poly(N-vinylpyrrolidone) modified bentonite. Phys. Chem. Res. 2019, 7, 731–749. [Google Scholar]
- Medjahed, K.; Tennouga, L.; Mansri, A.; Hammouti, B.; Desbrières, J. Interaction between poly(4-vinylpyridine-graft-bromodecane) and textile blue basic dye by spectrophotometric study. Res. Chem. Intermed. 2013, 39, 3199–3208. [Google Scholar] [CrossRef]
- Ghaedi, M.; Hossainian, H.; Montazerozohori, M.; Shokrollahi, A.; Shojaipour, F.; Soylak, M.; Purkait, M.K. A Novel Acorn Based Adsorbent for the Removal of Brilliant Green. Desalination 2011, 281, 226–233. [Google Scholar] [CrossRef]
- Elmoubarki, R.; Mahjoubi, F.Z.; Tounsadi, H.; Moustadraf, J.; Abdennouri, M.; Zouhri, A.; El Albani, A.; Barka, N. Adsorption of textile dyes on raw and decanted moroccan clays: Kinetics, equilibrium and thermodynamics. Water Resour. Ind. 2015, 9, 16–29. [Google Scholar] [CrossRef]
- Bouberka, Z.; Khenifi, A.; Benderdouche, N.; Derriche, Z. Removal of supranol yellow 4GL by adsorption onto Cr-intercalated montmorillonite. J. Hazard. Mater. 2006, 133, 154–161. [Google Scholar] [CrossRef] [PubMed]
- Mousavi, S.M.; Babapoor, A.; Hashemi, S.A.; Medi, B.C. Adsorption and removal characterization of nitrobenzene by graphene oxide coated by polythiophene nanoparticles. Phys. Chem. Res. 2020, 8, 225–240. [Google Scholar]
- Ait Himi, M.; El Ghachtouli, S.; Amarray, A.; Zaroual, Z.; Bonnaillie, P.; Azzi, M. Removal of azo dye calcon using polyaniline films electrodeposited on SnO2 substrate. Phys. Chem. Res. 2020, 8, 111–124. [Google Scholar]
- Salari, H.; Kohantorabi, M. Fabrication of novel Fe2O3/MoO3/AgBr nanocomposites with enhanced photocatalytic activity under visible light irradiation for organic pollutant degradation. Adv. Powder Technol. 2020, 31, 493–503. [Google Scholar] [CrossRef]
- Salari, H.; Kohantorabi, M. Facile template-free synthesis of new α-MnO2 nanorod/silver iodide p-n junction nanocomposites with high photocatalytic performance. N. J. Chem. 2020, 44, 7401–7411. [Google Scholar] [CrossRef]
- Yahyaei, B.; Azizian, S. Rapid adsorption of binary dye pollutants onto the nanostructred mesoporous alumina. J. Mol. Liq. 2014, 199, 88–95. [Google Scholar] [CrossRef]
- Zolgharnein, J.; Bagtash, M.; Shariatmanesh, T. Simultaneous removal of binary mixture of Brilliant Green and Crystal Violet using derivative spectrophotometric determination, multivariate optimization and adsorption characterization of dyes on surfactant modified nano-γ-alumina. Spectrochim. Acta Part A Mol. Biomol. Spectrosc. 2015, 137, 1016–1028. [Google Scholar] [CrossRef] [PubMed]
- Javadian, H.; Angaji, M.T.; Naushad, M. Synthesis and characterization of polyaniline/γ-alumina nanocomposite: A comparative study for the adsorption of three different anionic dyes. J. Ind. Eng. Chem. 2014, 20, 3890–3900. [Google Scholar] [CrossRef]
- Liu, G.; Yang, R.L. Liquid adsorption of basic dye using silica aerogels with different textural properties. J. Non-Cryst. Solids 2010, 356, 250–257. [Google Scholar] [CrossRef]
- Krysztafkiewicz, A.; Binkowski, S.; Jesionowski, T. Adsorption of dyes on a silica surface. Appl. Surf. Sci. 2002, 199, 31–39. [Google Scholar] [CrossRef]
- Errais, E.; Duplay, J.; Elhabiri, M.; Khodja, M.; Ocampo, R.; Baltenweck-Guyot, R.; Darragi, F. Anionic RR120 dye adsorption onto raw clay: Surface properties and adsorption mechanism. Colloids Surf. Physicochem. Eng. Asp. 2012, 403, 69–78. [Google Scholar] [CrossRef]
- Miyamoto, N.; Kawai, R.; Kuroda, K.; Ogawa, M. Adsorption and aggregation of a cationic cyanine dye on layered clay minerals. Appl. Clay Sci. 2000, 16, 161–170. [Google Scholar] [CrossRef]
- Lagaly, G.; Ogawa, M.; Dékány, I. Chapter 10.3—Clay Mineral-Organic Interactions. Dev. Clay Sci. 2013, 5, 215–225. [Google Scholar]
- El Mouzdahir, Y.; Elmchaouri, A.; Mahboub, R.; Gil, A.; Korili, S.A. Equilibrium modeling for the adsorption of methylene blue from aqueous solutions on activated clay minerals. Desalination 2010, 250, 335–338. [Google Scholar] [CrossRef]
- Yuan, G.; Theng, B.; Churchman, G.; Gates, W. Clays and Clay Minerals for Pollution Control. Dev. Clay Sci. 2013, 5, 587–644. [Google Scholar]
- Vargas-Rodríguez, Y.M.; Obaya, A.; García-Petronilo, J.E.; Vargas-Rodríguez, G.I.; Gómez-Cortés, A.; Tavizón, G.; Chávez-Carvayar, J.A. Adsorption Studies of Aqueous Solutions of Methyl Green for Halloysite Nanotubes: Kinetics, Isotherms, and Thermodynamic Parameters. Am. J. Nanomater. 2021, 9, 1–11. [Google Scholar] [CrossRef]
- Ali, I.; Asim, M.; Khan, T.A. Low cost adsorbents for the removal of organic pollutants from wastewater. J. Environ. Manag. 2012, 113, 170–183. [Google Scholar] [CrossRef] [PubMed]
- Özcan, A.S.; Erdem, B.; Özcan, A. Adsorption of acid blue 193 from aqueous solutions onto Na-bentonite and DTMA-bentonite. J. Colloid Interface Sci. 2004, 280, 44–54. [Google Scholar] [CrossRef] [PubMed]
- Liu, R.; Zhang, B.; Mei, D.; Zhang, H.; Li, J. Adsorption of methyl violet from aqueous solution by halloysite nanotubes. Desalination 2011, 268, 111–116. [Google Scholar] [CrossRef]
- Chowdhury, S.; Mishra, R.; Saha, P.; Kushwaha, P. Adsorption thermodynamics, kinetics and isosteric heat of adsorption of malachite green onto chemically modified rice husk. Desalination 2011, 265, 159–168. [Google Scholar] [CrossRef]
- Hasani, N.; Selimi, T.; Mele, A.; Thaçi, V.; Halili, J.; Berisha, A.; Sadiku, M. Theoretical, Equilibrium, Kinetics and Thermodynamic Investigations of Methylene Blue Adsorption onto Lignite Coal. Molecules 2022, 27, 1856. [Google Scholar] [CrossRef]
- Berisha, A.; Podvorica, F.I.; Vataj, R. Corrosion Inhibition Study of Mild Steel in an Aqueous Hydrochloric Acid Solution Using Brilliant Cresyl Blue—A Combined Experimental and Monte Carlo Study. Port. Electrochim. Acta 2021, 39, 393–401. [Google Scholar] [CrossRef]
- Babas, H.; Khachani, M.; Warad, I.; Ajebli, S.; Guessous, A.; Guenbour, A.; Safi, Z.; Berisha, A.; Bellaouchou, A.; Abdelkader, Z.; et al. Sofosbuvir adsorption onto activated carbon derived from argan shell residue: Optimization, kinetic, thermodynamic and theoretical approaches. J. Mol. Liq. 2022, 356, 119019. [Google Scholar] [CrossRef]
- Sun, H.; Jin, Z.; Yang, C.; Akkermans, R.L.C.; Robertson, S.H.; Spenley, N.A.; Miller, S.; Todd, S.M. COMPASS II: Extended coverage for polymer and drug-like molecule databases. J. Mol. Model. 2016, 22, 47. [Google Scholar] [CrossRef]
- Dagdag, O.; Berisha, A.; Safi, Z.; Dagdag, S.; Berrani, M.; Jodeh, S.; Verma, C.; Ebenso, E.E.E.E.; Wazzan, N.; El Harfi, A. Highly durable macromolecular epoxy resin as anticorrosive coating material for carbon steel in 3% NaCl: Computational supported experimental studies. J. Appl. Polym. Sci. 2020, 137, 49003. [Google Scholar] [CrossRef]
- Berisha, A. The influence of the grafted aryl groups on the solvation properties of the graphyne and graphdiyne—A MD study. Open Chem. 2019, 17, 703–710. [Google Scholar] [CrossRef]
- Crini, G.; Peindy, H.N.; Gimbert, F.; Robert, C. Removal of C. I. Basic Green 4 (Malachite Green) from Aqueous Solutions by Adsorption Using Cyclodextrin-based Adsorbent: Kinetic and Equilibrium Studies. Sep. Purif. Technol. 2007, 53, 97–110. [Google Scholar] [CrossRef]
- Hussin, M.Z.; Talib, N.; Hussin, M.N.; Hanafiah, A.K.M.M.; Khalir, K.A.W.M.W. Methylene Blue Adsorption onto NaOH Modified Durian Leaf Powder: Isotherm and Kinetic Studies. Am. J. Environ. Eng. 2015, 5, 38–43. [Google Scholar]
- Ahmad, R.; Kumar, R. Adsorption studies of hazardous malachite green onto treated ginger waste. J. Environ. Manag. 2010, 91, 1032–1038. [Google Scholar] [CrossRef]
- Khattri, S.D.; Singh, M.K. Removal of malachite green from dye wastewater using neem sawdust by adsorption. J. Hazard. Mater. 2009, 167, 1089–1094. [Google Scholar] [CrossRef] [PubMed]
- Mahini, R.; Esmaeili, H.; Foroutan, R. Adsorption of methyl violet from aqueous solution using brown algae Padina sanctae-crucis. Turk. J. Biochem. 2018, 43, 623–631. [Google Scholar] [CrossRef]
- Mane, V.S.; Deo Mall, I.; Chandra Srivastava, V. Kinetic and equilibrium isotherm studies for the adsorptive removal of Brilliant Green dye from aqueous solution by rice husk ash. J. Environ. Manag. 2007, 84, 390–400. [Google Scholar] [CrossRef] [PubMed]
- Ukkund, S.J.; Puthiyillam, P.; Anqi, A.E.; Taqui, S.N.; Ali, M.A.; Syed, U.T.; Alghamdi, M.N.; Siddiqui, M.I.H.; Alshehri, H.M.; Safaei, M.R.; et al. A Recent Study on Remediation of Direct Blue 15 Dye Using Halloysite Nanotubes. Appl. Sci. 2021, 11, 8196. [Google Scholar] [CrossRef]
- Afroze, S.; Sen, T.K.; Ang, M.; Nishioka, H. Adsorption of methylene blue dye from aqueous solution by novel biomass Eucalyptus sheathiana bark: Equilibrium, kinetics, thermodynamics and mechanism. Desalination Water Treat. 2016, 57, 5858–5878. [Google Scholar] [CrossRef]
- Ghodbane, I.; Hamdaoui, O. Removal of mercury (II) from aqueous media using eucalyptus bark: Kinetic and equilibrium studies. J. Hazard. Mater. 2008, 160, 301–309. [Google Scholar] [CrossRef] [PubMed]
- Ponnusami, V.; Vikram, S.; Srivastava, S. Guava (Psidium guajava) leaf powder: Novel adsorbent for removal of methylene blue from aqueous solutions. J. Hazard. Mater. 2008, 152, 276–286. [Google Scholar] [CrossRef] [PubMed]
- Ponnusami, V.; Gunasekar, V.; Srivastava, S. Kinetics of methylene blue removal from aqueous solution using gulmohar (Delonix regia) plant leaf powder: Multivariate regression analysis. J. Hazard. Mater. 2009, 169, 119–127. [Google Scholar] [CrossRef] [PubMed]
- Kumar, P.S.; Ramalingam, S.; Sathishkumar, K. Removal of methylene blue dye from aqueous solution by activated carbon prepared from cashew nut shell as a new low-cost adsorbent. Korean J. Chem. Eng. 2011, 28, 149–155. [Google Scholar] [CrossRef]
- Zhao, M.; Liu, P. Adsorption behavior of methylene blue on halloysite nanotubes. Microporous Mesoporous Mater. 2008, 112, 419–424. [Google Scholar] [CrossRef]
- Dahri, M.K.; Kooh, M.R.R.; Lim, L.B.L. Removal of Methyl Violet 2B from Aqueous Solution Using Casuarina equisetifolia Needle. ISRN Environ. Chem. 2013, 8. [Google Scholar] [CrossRef] [Green Version]
- Yener, J.; Kopac, T.; Dogu, G.; Dogu, T. Adsorption of Basic Yellow 28 from aqueous solutions with clinoptilolite and amberlite. J. Colloid Interface Sci. 2006, 294, 255–264. [Google Scholar] [CrossRef] [PubMed]
- Fil, B.A.; Yilmaz, M.T.; Bayar, S.; Elkoca, M.T. Investigation of adsorption of the dyestuff astrazon red violet 3rn (basic violet 16) on montmorillonite clay. Braz. J. Chem. Eng. 2014, 31, 171–182. [Google Scholar] [CrossRef] [Green Version]
- Langmuir, I. The adsorption of gases on plane surfaces of glass, mica and platinum. J. Am. Chem. 1918, 40, 1361–1403. [Google Scholar] [CrossRef] [Green Version]
- Irannajad, M.; Haghighi, K.H.; Safarzade, E. Kinetic, thermodynamic and equilibrium studies on the removal of copper ions from aqueous solutions by natural and modified clinoptilolites. Korean J. Chem. Eng. 2015, 32, 1–11. [Google Scholar] [CrossRef]
- Khan, T.; Dahiya, A.S.; Ali, I. Use of kaolinite as adsorbent: Equilibrium, dynamics and thermodynamic studies on the adsorption of Rhodamine B from aqueous solution. Appl. Clay Sci. 2012, 69, 58–66. [Google Scholar] [CrossRef]
- Hu, Q.; Zhang, Z. Application of Dubinin–Radushkevich isotherm model at the solid/solution interface: A theoretical analysis. J. Mol. Liq. 2018, 277, 646–648. [Google Scholar] [CrossRef]
- Mittal, H.; Kumar, V.; Saruchi; Ray, S.S. Adsorption of methyl violet from aqueous solution using gum xanthan/Fe3O4 based nanocomposite hydrogel. Int. J. Biol. Macromol. 2016, 89, 1–11. [Google Scholar] [CrossRef]
- Bertolini, T.C.; Izidoro, J.D.; Magdalena, C.P.; Fungaro, D.A. Adsorption of Crystal Violet Dye from Aqueous Solution onto Zeolites from Coal Fly and Bottom Ashes. Orbital Electron. J. Chem. 2013, 5, 179–191. [Google Scholar]
- Hubbe, M.A.; Azizian, S.; Douven, S. Implications of apparent pseudo-second-order adsorption kinetics onto cellulosic materials: A review. BioResources 2019, 43, 7582–7626. [Google Scholar] [CrossRef]
- Oloo, M.C.; Onyari, M.J.; Wanyonyi, C.W.; Wabomba, N.J.; Muinde, M.V. Adsorptive removal of hazardous crystal violet dye form aqueous solution using Rhizophora mucronata stem-barks: Equilibrium and kinetics studies. Environ. Chem. Ecotoxicol. 2020, 2, 64–72. [Google Scholar] [CrossRef]
- Shee, A.; Onyari, J.M.; Wabomba, J.N.; Munga, D. Methylene Blue Adsorption onto Coconut husks/Polylactide Blended Films: Equilibrium and Kinetic Studies. Chem. Mater. Res. 2014, 6, 28–37. [Google Scholar]
- Cheruiyot, G.K.; Wanyonyi, W.C.; Kiplimo, J.J.; Maina, E.N. Adsorption of toxic crystal violet dye using coffee husks: Equilibrium, kinetics and thermodynamics study. Sci. Afr. 2019, 5, e00116. [Google Scholar] [CrossRef]
- Tran, H.N.; You, S.J.; Chao, H.P. Thermodynamic parameters of cadmium adsorption onto orange peel calculated from various methods: A comparison study. J. Environ. Chem. Eng. 2016, 4, 2671–2682. [Google Scholar] [CrossRef]
- Xie, S.; Zhang, C.; Zhou, X.; Yang, J.; Zhang, X.; Wang, J. Comments on “removal of uranium (VI) from aqueous solution by adsorption of hematite”. J. Environ. Radioact. 2009, 100, 921–922. [Google Scholar]
- Chiou, M.S.; Li, H.Y. Adsorption behaviour of reactive dye in aqueous solution on chemical cross-linked chitosan beads. Chemosphere 2003, 50, 1095–1105. [Google Scholar] [CrossRef]
- Nollet, H.; Roels, M.; Lutgen, P.; Van der Meeren, P.; Verstraete, W. Removal of PCBs from wastewater using fly ash. Chemosphere 2003, 53, 655–665. [Google Scholar] [CrossRef]
Publisher’s Note: MDPI stays neutral with regard to jurisdictional claims in published maps and institutional affiliations. |
© 2022 by the authors. Licensee MDPI, Basel, Switzerland. This article is an open access article distributed under the terms and conditions of the Creative Commons Attribution (CC BY) license (https://creativecommons.org/licenses/by/4.0/).













