Environmentally Relevant Concentrations of Triphenyl Phosphate (TPhP) Impact Development in Zebrafish
Abstract
1. Introduction
2. Materials and Methods
2.1. Chemicals
2.2. Zebrafish
2.3. Chemical Exposure to TPhP
2.4. Phenotypic Assessment and Scoring
2.5. RNA Extraction and qPCR
2.6. Measurement of Glutathione
2.7. Statistical Analysis
3. Results
3.1. Effect of Environmental TPhP Concentrations on Heart Morphology
3.2. Effect of TPhP on Larval Length
3.3. Impacts of TPhP on RXR and Cardiac Gene Expression
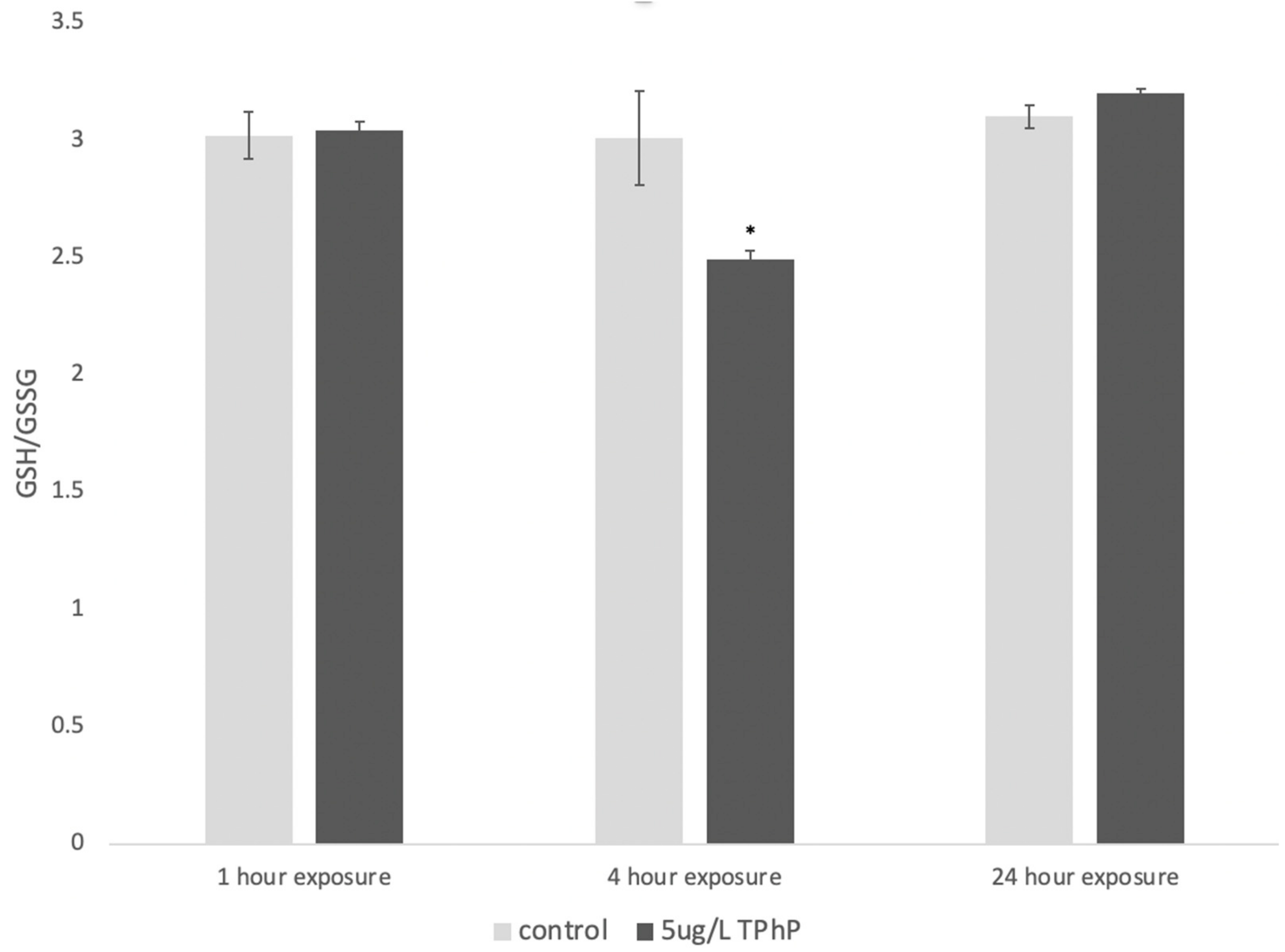
3.4. Effects of TPhP on Glutathione Metabolism and the Oxidative Stress Response
4. Discussion
5. Conclusions
Supplementary Materials
Author Contributions
Funding
Institutional Review Board Statement
Informed Consent Statement
Data Availability Statement
Acknowledgments
Conflicts of Interest
References
- Alzualde, A.; Behl, M.; Sipes, N.S.; Hsieh, J.-H.; Alday, A.; Tice, R.R.; Paules, R.S.; Muriana, A.; Quevedo, C. Toxicity profiling of flame retardants in zebrafish embryos using a battery of assays for developmental toxicity, neurotoxicity, cardiotoxicity and hepatotoxicity toward human relevance. Neurotoxicol. Teratol. 2018, 70, 40–50. [Google Scholar] [CrossRef] [PubMed]
- Darnerud, P.O. Toxic effects of brominated flame retardants in man and in wildlife. Environ. Int. 2003, 29, 841–853. [Google Scholar] [CrossRef] [PubMed]
- Usenko, C.Y.; Abel, E.L.; Hopkins, A.; Martinez, G.; Tijerina, J.; Kudela, M.; Norris, N.; Joudeh, L.; Bruce, E.D. Evaluation of Common Use Brominated Flame Retardant (BFR) Toxicity Using a Zebrafish Embryo Model. Toxics 2016, 4, 21. [Google Scholar] [CrossRef] [PubMed]
- Marques, M.L.; Cairrao, E. Occurrence and Health Effects of Hexabromocyclododecane: An Updated Review. Toxics 2023, 11, 409. [Google Scholar] [CrossRef] [PubMed]
- Hou, R.; Luo, X.; Liu, C.; Zhou, L.; Wen, J.; Yuan, Y. Enhanced degradation of triphenyl phosphate (TPHP) in bioelectrochemical systems: Kinetics, pathway and degradation mechanisms. Environ. Pollut. 2019, 254, 113040. [Google Scholar] [CrossRef] [PubMed]
- Marklund, A.; Andersson, B.; Haglund, P. Screening of organophosphorus compounds and their distribution in various indoor environments. Chemosphere 2003, 53, 1137–1146. [Google Scholar] [CrossRef] [PubMed]
- Wang, G.; Du, Z.; Chen, H.; Su, Y.; Gao, S.; Mao, L. Tissue-Specific Accumulation, Depuration, and Transformation of Triphenyl Phosphate (TPHP) in Adult Zebrafish (Danio rerio). Environ. Sci. Technol. 2016, 50, 13555–13564. [Google Scholar] [CrossRef] [PubMed]
- Andresen, J.A.; Grundmann, A.; Bester, K. Organophosphorus flame retardants and plasticisers in surface waters. Sci. Total Environ. 2004, 332, 155–166. [Google Scholar] [CrossRef] [PubMed]
- Kolpin, D.W.; Furlong, E.T.; Meyer, M.T.; Thurman, E.M.; Zaugg, S.D.; Barber, L.B.; Buxton, H.T. Pharmaceuticals, Hormones, and Other Organic Wastewater Contaminants in U.S. Streams, 1999−2000: A National Reconnaissance. Environ. Sci. Technol. 2002, 36, 1202–1211. [Google Scholar] [CrossRef] [PubMed]
- Li, J.; Yu, N.; Zhang, B.; Jin, L.; Li, M.; Hu, M.; Zhang, X.; Wei, S.; Yu, H. Occurrence of organophosphate flame retardants in drinking water from China. Water Res. 2014, 54, 53–61. [Google Scholar] [CrossRef]
- Lassen, C.; Lokke, S. Danish Environmental Protection Agency (EPA), Brominated Flame Retardants: Substance Flow Analysis and Assessment of Alternatives; Danish Environmental Protection Agency: Odense, Denmark, 1999. [Google Scholar]
- Brooke, D.; Crookes, M.; Quarterman, P.; Burns, J. Environmental Risk Evaluation Report: Triphenyl Phosphate (CAS no. 115-86-6); Environment Agency: Bristol, UK, 2009; pp. 1–140. Available online: https://assets.publishing.service.gov.uk/media/5a7c2054ed915d210ade1bd3/scho0809bquk-e-e.pdf (accessed on 5 April 2024).
- Hou, R.; Xu, Y.; Wang, Z. Review of OPFRs in animals and humans: Absorption, bioaccumulation, metabolism, and internal exposure research. Chemosphere 2016, 153, 78–90. [Google Scholar] [CrossRef] [PubMed]
- Waaijers, S.L.; Kong, D.; Hendriks, H.S.; de Wit, C.A.; Cousins, I.T.; Westerink, R.H.S.; Leonards, P.E.G.; Kraak, M.H.S.; Admiraal, W.; de Voogt, P.; et al. Persistence, Bioaccumulation, and Toxicity of Halogen-Free Flame Retardants. In Reviews of Environmental Contamination and Toxicology; Whitacre, D.M., Ed.; Springer: New York, NY, USA, 2013; pp. 1–71. [Google Scholar]
- Wei, K.; Yin, H.; Peng, H.; Lu, G.; Dang, Z. Bioremediation of triphenyl phosphate by Brevibacillus brevis: Degradation characteristics and role of cytochrome P450 monooxygenase. Sci. Total Environ. 2018, 627, 1389–1395. [Google Scholar] [CrossRef] [PubMed]
- U.S. Environmental Protection Agency [EPA]. An Alternatives Assessment for the Flame-Retardant Decabromodiphenyl Ether (DecaBDE). 2014. Available online: https://www.epa.gov/sites/default/files/2014-05/documents/decabde_final.pdf (accessed on 5 April 2024).
- U.S. Environmental Protection Agency [EPA]. Flame Retardants; Significant New Uses Rules for Certain Non-Ongoing Uses. Federal Register, 2023, 88 FR 40728. Available online: https://www.federalregister.gov/documents/2023/06/22/2023-13250/flame-retardants-significant-new-uses-rules-for-certain-non-ongoing-uses/ (accessed on 5 April 2024).
- Okeke, E.S.; Huang, B.; Mao, G.; Chen, Y.; Zhengjia, Z.; Qian, X.; Wu, X.; Feng, W. Review of the environmental occurrence, analytical techniques, degradation and toxicity of TBBPA and its derivatives. Environ. Res. 2022, 206, 112594. [Google Scholar] [CrossRef] [PubMed]
- Zhu, B.; Zhao, G.; Yang, L.; Zhou, B. Tetrabromobisphenol A caused neurodevelopmental toxicity via disrupting thyroid hormones in zebrafish larvae. Chemosphere 2018, 197, 353–361. [Google Scholar] [CrossRef] [PubMed]
- McCormick, J.M.; Paiva, M.S.; Häggblom, M.M.; Cooper, K.R.; White, L.A. Embryonic exposure to tetrabromobisphenol A and its metabolites, bisphenol A and tetrabromobisphenol A dimethyl ether disrupts normal zebrafish (Danio rerio) development and matrix metalloproteinase expression. Aquat. Toxicol. 2010, 100, 255–262. [Google Scholar] [CrossRef] [PubMed]
- Du, Z.; Zhang, Y.; Wang, G.; Peng, J.; Wang, Z.; Gao, S. TPhP exposure disturbs carbohydrate metabolism, lipid metabolism, and the DNA damage repair system in zebrafish liver. Sci. Rep. 2016, 6, 21827. [Google Scholar] [CrossRef] [PubMed]
- Shi, Q.; Wang, M.; Shi, F.; Yang, L.; Guo, Y.; Feng, C.; Liu, J.; Zhou, B. Developmental neurotoxicity of triphenyl phosphate in zebrafish larvae. Aquat. Toxicol. 2018, 203, 80–87. [Google Scholar] [CrossRef] [PubMed]
- Li, Y.; Wang, C.; Zhao, F.; Zhang, S.; Chen, R.; Hu, J. Environmentally Relevant Concentrations of the Organophosphorus Flame Retardant Triphenyl Phosphate Impaired Testicular Development and Reproductive Behaviors in Japanese Medaka (Oryzias latipes). Environ. Sci. Technol. Lett. 2018, 5, 649–654. [Google Scholar] [CrossRef]
- Adhish, M.; Manjubala, I. Effectiveness of zebrafish models in understanding human diseases-A review of models. Heliyon 2023, 9, e14557. [Google Scholar] [CrossRef]
- Zhang, Q.; Zheng, S.; Shi, X.; Luo, C.; Huang, W.; Lin, H.; Peng, J.; Tan, W.; Wu, K. Neurodevelopmental toxicity of organophosphate flame retardant triphenyl phosphate (TPhP) on zebrafish (Danio rerio) at different life stages. Environ. Int. 2023, 172, 107745. [Google Scholar] [CrossRef]
- Isales, G.M.; Hipszer, R.A.; Raftery, T.D.; Chen, A.; Stapleton, H.M.; Volz, D.C. Triphenyl phosphate-induced developmental toxicity in zebrafish: Potential role of the retinoic acid receptor. Aquat. Toxicol. 2015, 161, 221–230. [Google Scholar] [CrossRef] [PubMed]
- McGee, S.P.; Konstantinov, A.; Stapleton, H.M.; Volz, D.C. Aryl phosphate esters within a major PentaBDE replacement product induce cardiotoxicity in developing zebrafish embryos: Potential role of the aryl hydrocarbon receptor. Toxicol. Sci. 2013, 133, 144–156. [Google Scholar] [CrossRef] [PubMed]
- Reddam, A.; Mitchell, C.A.; Dasgupta, S.; Kirkwood, J.S.; Vollaro, A.; Hur, M.; Volz, D.C. mRNA-Sequencing Identifies Liver as a Potential Target Organ for Triphenyl Phosphate in Embryonic Zebrafish. Toxicol. Sci. 2019, 172, 51–62. [Google Scholar] [CrossRef] [PubMed]
- Mitchell, C.A.; Dasgupta, S.; Zhang, S.; Stapleton, H.M.; Volz, D.C. Disruption of Nuclear Receptor Signaling Alters Triphenyl Phosphate-Induced Cardiotoxicity in Zebrafish Embryos. Toxicol. Sci. 2018, 163, 307–318. [Google Scholar] [CrossRef] [PubMed]
- Hao, Z.; Zhang, Z.; Lu, D.; Ding, B.; Shu, L.; Zhang, Q.; Wang, C. Organophosphorus Flame Retardants Impair Intracellular Lipid Metabolic Function in Human Hepatocellular Cells. Chem. Res. Toxicol. 2019, 32, 1250–1258. [Google Scholar] [CrossRef] [PubMed]
- Liu, X.; Ji, K.; Choi, K. Endocrine disruption potentials of organophosphate flame retardants and related mechanisms in H295R and MVLN cell lines and in zebrafish. Aquat. Toxicol. 2012, 114–115, 173–181. [Google Scholar] [CrossRef] [PubMed]
- Ramesh, M.; Angitha, S.; Haritha, S.; Poopal, R.-K.; Ren, Z.; Umamaheswari, S. Organophosphorus flame retardant induced hepatotoxicity and brain AChE inhibition on zebrafish (Danio rerio). Neurotoxicol. Teratol. 2020, 82, 106919. [Google Scholar] [CrossRef] [PubMed]
- Li, Y.; Chen, R.; He, J.; Ma, H.; Zhao, F.; Tao, S.; Liu, J.; Hu, J. Triphenyl Phosphate at Environmental Levels Retarded Ovary Development and Reduced Egg Production in Japanese Medaka (Oryzias latipes). Environ. Sci. Technol. 2019, 53, 14709–14715. [Google Scholar] [CrossRef]
- Jönsson, M.E.; Jenny, M.J.; Woodin, B.R.; Hahn, M.E.; Stegeman, J.J. Role of AHR2 in the Expression of Novel Cytochrome P450 1 Family Genes, Cell Cycle Genes, and Morphological Defects in Developing Zebra Fish Exposed to 3,3′,4,4′,5-Pentachlorobiphenyl or 2,3,7,8-Tetrachlorodibenzo-p-dioxin. Toxicol. Sci. 2007, 100, 180–193. [Google Scholar] [CrossRef]
- Panzica-Kelly, J.M.; Zhang, C.X.; Danberry, T.L.; Flood, A.; DeLan, J.W.; Brannen, K.C.; Augustine-Rauch, K.A. Morphological score assignment guidelines for the dechorionated zebrafish teratogenicity assay. Birth Defects Res. B Dev. Reprod. Toxicol. 2010, 89, 382–395. [Google Scholar] [CrossRef]
- Sant, K.E.; Moreau, H.M.; Williams, L.M.; Jacobs, H.M.; Bowsher, A.M.; Boisvert, J.D.; Smolowitz, R.M.; Pantazis, J.; Annunziato, K.; Nguyen, M.; et al. Embryonic exposures to mono-2-ethylhexyl phthalate induce larval steatosis in zebrafish independent of Nrf2a signaling. J. Dev. Orig. Health Dis. 2021, 12, 132–140. [Google Scholar] [CrossRef] [PubMed]
- Livak, K.J.; Schmittgen, T.D. Analysis of relative gene expression data using real-time quantitative PCR and the 2(-Delta Delta C(T)) Method. Methods 2001, 25, 402–408. [Google Scholar] [CrossRef]
- McCurley, A.T.; Callard, G.V. Characterization of housekeeping genes in zebrafish: Male-female differences and effects of tissue type, developmental stage and chemical treatment. BMC Mol. Biol. 2008, 9, 102. [Google Scholar] [CrossRef] [PubMed]
- Grassini, D.R.; Lagendijk, A.K.; De Angelis, J.E.; Da Silva, J.; Jeanes, A.; Zettler, N.; Bower, N.I.; Hogan, B.M.; Smith, K.A. Nppa and Nppb act redundantly during zebrafish cardiac development to confine AVC marker expression and reduce cardiac jelly volume. Development 2018, 145, dev160739. [Google Scholar] [CrossRef] [PubMed]
- Chen, L.; Zhong, S.; Wang, Y.; Wang, X.; Liu, Z.; Hu, G. Bmp4 in Zebrafish Enhances Antiviral Innate Immunity through p38 MAPK (Mitogen-Activated Protein Kinases) Pathway. Int. J. Mol. Sci. 2023, 24, 14444. [Google Scholar] [CrossRef] [PubMed]
- Timme-Laragy, A.R.; Karchner, S.I.; Franks, D.G.; Jenny, M.J.; Harbeitner, R.C.; Goldstone, J.V.; McArthur, A.G.; Hahn, M.E. Nrf2b, novel zebrafish paralog of oxidant-responsive transcription factor NF-E2-related factor 2 (NRF2). J. Biol. Chem. 2012, 287, 4609–4627. [Google Scholar] [CrossRef] [PubMed]
- Mathew, L.K.; Sengupta, S.; Franzosa, J.A.; Perry, J.; La Du, J.; Andreasen, E.A.; Tanguay, R.L. Comparative expression profiling reveals an essential role for raldh2 in epimorphic regeneration. J. Biol. Chem. 2009, 284, 33642–33653. [Google Scholar] [CrossRef]
- Sankar, S.; Jayabalan, M.; Venkatesh, S.; Ibrahim, M. Effect of hyperglycemia on tbx5a and nppa gene expression and its correlation to structural and functional changes in developing zebrafish heart. Cell Biol. Int. 2022, 46, 2173–2184. [Google Scholar] [CrossRef] [PubMed]
- Jaja-Chimedza, A.; Gantar, M.; Mayer, G.D.; Gibbs, P.D.; Berry, J.P. Effects of cyanobacterial lipopolysaccharides from microcystis on glutathione-based detoxification pathways in the zebrafish (Danio rerio) embryo. Toxins 2012, 4, 390–404. [Google Scholar] [CrossRef]
- Glisic, B.; Mihaljevic, I.; Popovic, M.; Zaja, R.; Loncar, J.; Fent, K.; Kovacevic, R.; Smital, T. Characterization of glutathione-S-transferases in zebrafish (Danio rerio). Aquat. Toxicol. 2015, 158, 50–62. [Google Scholar] [CrossRef]
- Keen, J.H.; Jakoby, W.B. Glutathione transferases. Catalysis of nucleophilic reactions of glutathione. J. Biol. Chem. 1978, 253, 5654–5657. [Google Scholar] [CrossRef] [PubMed]
- Timme-Laragy, A.R.; Van Tiem, L.A.; Linney, E.A.; Di Giulio, R.T. Antioxidant responses and NRF2 in synergistic developmental toxicity of PAHs in zebrafish. Toxicol. Sci. 2009, 109, 217–227. [Google Scholar] [CrossRef] [PubMed]
- Hahn, M.E.; Timme-Laragy, A.R.; Karchner, S.I.; Stegeman, J.J. Nrf2 and Nrf2-related proteins in development and developmental toxicity: Insights from studies in zebrafish (Danio rerio). Free Radic. Biol. Med. 2015, 88, 275–289. [Google Scholar] [CrossRef] [PubMed]
- Timme-Laragy, A.R.; Goldstone, J.V.; Imhoff, B.R.; Stegeman, J.J.; Hahn, M.E.; Hansen, J.M. Glutathione redox dynamics and expression of glutathione-related genes in the developing embryo. Free Radic. Biol. Med. 2013, 65, 89–101. [Google Scholar] [CrossRef] [PubMed]
- Sant, K.E.; Hansen, J.M.; Williams, L.M.; Tran, N.L.; Goldstone, J.V.; Stegeman, J.J.; Hahn, M.E.; Timme-Laragy, A. The role of Nrf1 and Nrf2 in the regulation of glutathione and redox dynamics in the developing zebrafish embryo. Redox Biol. 2017, 13, 207–218. [Google Scholar] [CrossRef] [PubMed]
- Wiegand, J.; Cheng, V.; Reddam, A.; Avila-Barnard, S.; Volz, D.C. Triphenyl phosphate-induced pericardial edema is associated with elevated epidermal ionocytes within zebrafish embryos. Environ. Toxicol. Pharmacol. 2022, 89, 103776. [Google Scholar] [CrossRef] [PubMed]
- Tran, C.M.; Kim, K.-T. miR-137 and miR-141 regulate tail defects in zebrafish embryos caused by triphenyl phosphate (TPHP). Environ. Pollut. 2020, 262, 114286. [Google Scholar] [CrossRef] [PubMed]
- Du, Z.; Wang, G.; Gao, S.; Wang, Z. Aryl organophosphate flame retardants induced cardiotoxicity during zebrafish embryogenesis: By disturbing expression of the transcriptional regulators. Aquat. Toxicol. 2015, 161, 25–32. [Google Scholar] [CrossRef] [PubMed]
- Noyes, P.D.; Haggard, D.E.; Gonnerman, G.D.; Tanguay, R.L. Advanced morphological—Behavioral test platform reveals neurodevelopmental defects in embryonic zebrafish exposed to comprehensive suite of halogenated and organophosphate flame retardants. Toxicol. Sci. 2015, 145, 177–195. [Google Scholar] [CrossRef]
- White, J.A.; Guo, Y.-D.; Baetz, K.; Beckett-Jones, B.; Bonasoro, J.; Hsu, K.E.; Dilworth, F.J.; Jones, G.; Petkovich, M. Identification of the Retinoic Acid-inducible All-trans-retinoic Acid 4-Hydroxylase*. J. Biol. Chem. 1996, 271, 29922–29927. [Google Scholar] [CrossRef]
- Dobbs-McAuliffe, B.; Zhao, Q.; Linney, E. Feedback mechanisms regulate retinoic acid production and degradation in the zebrafish embryo. Mech. Dev. 2004, 121, 339–350. [Google Scholar] [CrossRef] [PubMed]
- Bruneau, B.G.; Nemer, G.; Schmitt, J.P.; Charron, F.; Robitaille, L.; Caron, S.; Conner, D.A.; Gessler, M.; Nemer, M.; Seidman, C.E.; et al. A murine model of Holt-Oram syndrome defines roles of the T-box transcription factor Tbx5 in cardiogenesis and disease. Cell 2001, 106, 709–721. [Google Scholar] [CrossRef] [PubMed]
- Steimle, J.D.; Moskowitz, I.P. TBX5: A Key Regulator of Heart Development. Curr. Top. Dev. Biol. 2017, 122, 195–221. [Google Scholar] [CrossRef] [PubMed]
- Basson, C.T.; Bachinsky, D.R.; Lin, R.C.; Levi, T.; Elkins, J.A.; Soults, J.; Grayzel, D.; Kroumpouzou, E.; Traill, T.A.; Leblanc-Straceski, J.; et al. Mutations in human TBX5 [corrected] cause limb and cardiac malformation in Holt-Oram syndrome. Nat. Genet. 1997, 15, 30–35. [Google Scholar] [CrossRef] [PubMed]
- Chiavacci, E.; Dolfi, L.; Verduci, L.; Meghini, F.; Gestri, G.; Evangelista, A.M.; Wilson, S.W.; Cremisi, F.; Pitto, L. MicroRNA 218 mediates the effects of Tbx5a over-expression on zebrafish heart development. PLoS ONE 2012, 7, e50536. [Google Scholar] [CrossRef]
- Becker, J.R.; Chatterjee, S.; Robinson, T.Y.; Bennett, J.S.; Panáková, D.; Galindo, C.L.; Zhong, L.; Shin, J.T.; Coy, S.M.; Kelly, A.E.; et al. Differential activation of natriuretic peptide receptors modulates cardiomyocyte proliferation during development. Development 2014, 141, 335–345. [Google Scholar] [CrossRef]
- Keyes, W.M.; Logan, C.; Parker, E.; Sanders, E.J. Expression and function of bone morphogenetic proteins in the development of the embryonic endocardial cushions. Anat. Embryol. 2003, 207, 135–147. [Google Scholar] [CrossRef] [PubMed]
- Tessadori, F.; Tsingos, E.; Colizzi, E.S.; Kruse, F.; van den Brink, S.C.; van den Boogaard, M.; Christoffels, V.M.; Merks, R.M.; Bakkers, J. Twisting of the zebrafish heart tube during cardiac looping is a tbx5-dependent and tissue-intrinsic process. eLife 2021, 10, e61733. [Google Scholar] [CrossRef] [PubMed]
- Miyanishi, H.; Okubo, K.; Kaneko, T.; Takei, Y. Role of cardiac natriuretic peptides in seawater adaptation of medaka embryos as revealed by loss-of-function analysis. Am. J. Physiol. Regul. Integr. Comp. Physiol. 2013, 304, R423–R434. [Google Scholar] [CrossRef]
- Zhang, Q.; Luo, C.; Li, Z.; Huang, W.; Zheng, S.; Liu, C.; Shi, X.; Ma, Y.; Ni, Q.; Tan, W.; et al. Astaxanthin activates the Nrf2/Keap1/HO-1 pathway to inhibit oxidative stress and ferroptosis, reducing triphenyl phosphate (TPhP)-induced neurodevelopmental toxicity. Ecotoxicol. Environ. Saf. 2024, 271, 115960. [Google Scholar] [CrossRef]
- Lukaszewicz-Hussain, A. Role of oxidative stress in organophosphate insecticide toxicity—Short review. Pestic. Biochem. Physiol. 2010, 98, 145–150. [Google Scholar] [CrossRef]
- Pearson, J.N.; Patel, M. The role of oxidative stress in organophosphate and nerve agent toxicity. Ann. N. Y. Acad. Sci. 2016, 1378, 17–24. [Google Scholar] [CrossRef]
- Yu, F.; Liu, Y.; Wang, W.; Yang, S.; Gao, Y.; Shi, W.; Hou, H.; Chen, J.; Guo, R. Toxicity of TPhP on the gills and intestines of zebrafish from the perspectives of histopathology, oxidative stress and immune response. Sci. Total Environ. 2024, 908, 168212. [Google Scholar] [CrossRef] [PubMed]
- Umamaheswari, S.; Karthika, P.; Suvenitha, K.; Kadirvelu, K.; Ramesh, M. Dose-Dependent Molecular Responses of Labeo rohita to Triphenyl Phosphate. Chem. Res. Toxicol. 2021, 34, 2500–2511. [Google Scholar] [CrossRef]
- Loboda, A.; Damulewicz, M.; Pyza, E.; Jozkowicz, A.; Dulak, J. Role of Nrf2/HO-1 system in development, oxidative stress response and diseases: An evolutionarily conserved mechanism. Cell. Mol. Life Sci. 2016, 73, 3221–3247. [Google Scholar] [CrossRef]
- Kulkarni, C.A.; Fink, B.D.; Gibbs, B.E.; Chheda, P.R.; Wu, M.; Sivitz, W.I.; Kerns, R.J. A Novel Triphenylphosphonium Carrier to Target Mitochondria without Uncoupling Oxidative Phosphorylation. J. Med. Chem. 2021, 64, 662–676. [Google Scholar] [CrossRef]
- Liu, Q.; Tang, X.; Zhang, X.; Tong, X.; Sun, Z.; Zhang, X. Mechanistic understanding of the toxicity of triphenyl phosphate (TPhP) to the marine diatom Phaeodactylum tricornutum: Targeting chloroplast and mitochondrial dysfunction. Environ. Pollut. 2022, 295, 118670. [Google Scholar] [CrossRef] [PubMed]
- Tanaka, K.; Adachi, H.; Akasaka, H.; Tamaoki, J.; Fuse, Y.; Kobayashi, M.; Kitazawa, T.; Teraoka, H. Oxidative stress inducers potentiate 2,3,7,8-tetrachlorodibenzo-p-dioxin-mediated pre-cardiac edema in larval zebrafish. J. Vet. Med. Sci. 2021, 83, 1050–1058. [Google Scholar] [CrossRef]
- Wei, Y.; Meng, Y.; Huang, Y.; Liu, Z.; Zhong, K.; Ma, J.; Zhang, W.; Li, Y.; Lu, H. Development toxicity and cardiotoxicity in zebrafish from exposure to iprodione. Chemosphere 2021, 263, 127860. [Google Scholar] [CrossRef] [PubMed]
- Zhu, J.; Liu, C.; Wang, J.; Liang, Y.; Gong, X.; You, L.; Ji, C.; Wang, S.-L.; Wang, C.; Chi, X. Difenoconazole induces cardiovascular toxicity through oxidative stress-mediated apoptosis in early life stages of zebrafish (Danio rerio). Ecotoxicol. Environ. Saf. 2021, 216, 112227. [Google Scholar] [CrossRef]







| Gene Name | Primer F (5’-3’) | Primer R (5’-3’) | Reference |
|---|---|---|---|
| atrial natriuretic peptide (nppa/anf) | ACAGCTCTGACAGCAACATGG | CTGATGCCTCTTCTGTTGCCA | [39] |
| beta-2-microglobulin (b2m) | GCCTTCACCCCAGAGAAAGG | GCGGTTGGGATTTACATGTTG | [38] |
| bone morphogenetic protein 4 (bmp4) | CGCAGCCCTAAACAAAGAG | TGATTGGTGGAGTTGAGATGAT | [40] |
| brain natriuretic peptide (nppb/bnp) | TGTTTCGGGAGCAAACTGGA | GTTCTTCTTGGGACCTGAGCG | [39] |
| cytochrome P450 26a1 (cyp26a1) | GATGCTCTGGAGCACTACATTC | GTTCTTGCTCGTCCGTCTTTAT | [26] |
| glutathione S-transferase p1(gstp1) | CGACTTGAAAGCCACCTGTGTC | CTGTCGTTTTTGCCATATGCAGC | [41] |
| retinaldehyde dehydrogenase 2 (raldh2) | GGGGTAAAGTGGTAAAACGC | GCAGTGGTCAAAAGCATGGC | [42] |
| t-box transcription factor 5a (tbx5a) | GGAATTTAAGGCCTCACGGTA | GATTTGCTGACGGCTGCATTCTGT | [43] |
Disclaimer/Publisher’s Note: The statements, opinions and data contained in all publications are solely those of the individual author(s) and contributor(s) and not of MDPI and/or the editor(s). MDPI and/or the editor(s) disclaim responsibility for any injury to people or property resulting from any ideas, methods, instructions or products referred to in the content. |
© 2024 by the authors. Licensee MDPI, Basel, Switzerland. This article is an open access article distributed under the terms and conditions of the Creative Commons Attribution (CC BY) license (https://creativecommons.org/licenses/by/4.0/).
Share and Cite
Schmandt, B.; Diduff, M.; Smart, G.; Williams, L.M. Environmentally Relevant Concentrations of Triphenyl Phosphate (TPhP) Impact Development in Zebrafish. Toxics 2024, 12, 368. https://doi.org/10.3390/toxics12050368
Schmandt B, Diduff M, Smart G, Williams LM. Environmentally Relevant Concentrations of Triphenyl Phosphate (TPhP) Impact Development in Zebrafish. Toxics. 2024; 12(5):368. https://doi.org/10.3390/toxics12050368
Chicago/Turabian StyleSchmandt, Benjamin, Mfon Diduff, Gabrielle Smart, and Larissa M. Williams. 2024. "Environmentally Relevant Concentrations of Triphenyl Phosphate (TPhP) Impact Development in Zebrafish" Toxics 12, no. 5: 368. https://doi.org/10.3390/toxics12050368
APA StyleSchmandt, B., Diduff, M., Smart, G., & Williams, L. M. (2024). Environmentally Relevant Concentrations of Triphenyl Phosphate (TPhP) Impact Development in Zebrafish. Toxics, 12(5), 368. https://doi.org/10.3390/toxics12050368

