Advancing Parameter Estimation in Differential Equations: A Hybrid Approach Integrating Levenberg–Marquardt and Luus–Jaakola Algorithms
Abstract
1. Introduction
2. Methodology
2.1. Parameter Estimation
2.2. Selection of Case Studies
2.3. Finite Difference Discretization of Non-Linear Partial Differential Equations
2.4. Numerical Solution of Ordinary Differential Equation Systems
2.5. Implementation of the Luus–Jaakola Algorithm
| Algorithm 1: Pseudocode for the implementation of the Luus–Jaakola algorithm |
| Start of the Luus–Jaakola Algorithm Initialize parameters: Define number of parameters/variables to estimate, Define objective function, For solving system of equations, For solving parameters, Define constrains, and Define maximum number of iterations, Define maximum number of random values per iteration, Define contraction factor, (epsilon) Define scaling factor, Initialize variable values for each in Initialize search range for each in For to do: For to do: For l to do: Generate random value, , within the range Evaluate constraints and If all constraints are satisfied: Evaluate the objective function at If improves the current solution: Update the best solution found with Update the initial set for the next iteration: For to do: = Best value found for that minimized Reduce search range: Save Display the best solution found, that minimized End |
2.6. Implementation of the Levenberg–Marquardt Algorithm
| Algorithm 2: Pseudocode for the implementation of the Levenberg–Marquardt algorithm |
| Start of the Levenberg–Marquardt Algorithm Initialize parameters: Set initial LAMBDA Define convergence tolerance, Set maximum number of iterations, Initialize the parameter vector, with values from Luus–Jaakola that minimized For solving system of equations, For solving parameter estimation, For to do: Calculate the gradient of , Calculate the Hessian matrix, Adjust the with : Solve the equation system using LU factorization. Update the parameter vector: Calculate using the new parameters, If then: Reduce λ by a factor, e.g., 0.9 Else: Increase λ by a factor, e.g., 1.1 Check for convergence: If for all components then: Stop iterations. Display the current parameter vector, End |
2.7. Computation Algorithm
3. Results and Discussion
3.1. Case Study 1: Solution of MESH Equations in Distillation Column
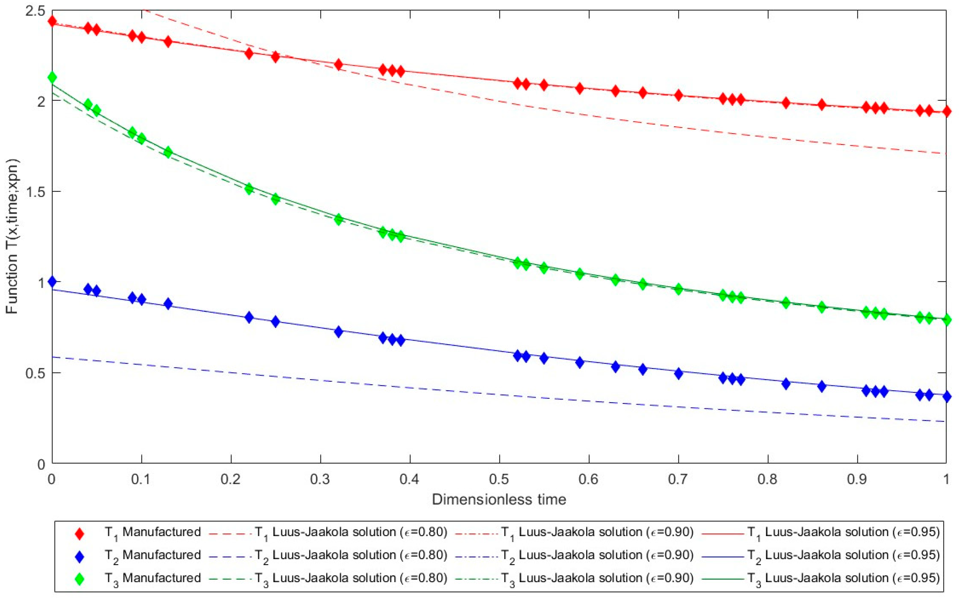
3.2. Case Study 2: Estimation of Four Parameters in a Manufactured PDE Set
3.3. Case Study 3: Controlled Diffusion of an Antimicrobial Peptide in Biopolymer Films
3.4. Case Study 4. Estimation of Kinetic Parameters in the Conversion of Lactose to Lactic Acid Using Lactobacillus Bulgaricus
3.5. Case Study 5: Parameter Estimation at Heat and Mass Transfer in Drying of Cylindrical Quince Slices
4. Conclusions
Author Contributions
Funding
Data Availability Statement
Acknowledgments
Conflicts of Interest
References
- Luus, R.; Jaakola, T.H.I. Optimization by direct search and systematic reduction of the size of search region. AIChE J. 1973, 19, 760–766. [Google Scholar] [CrossRef]
- Meena, V.P.; Yadav, U.K.; Mathur, A.; Singh, V.P.; Guerrero, J.M.; Khan, B. Location and size selection using hybrid Jaya-Luus-Jaakola algorithm for decentralized generations in distribution system considering demand-side management. IET Renew. Power Gener. 2023, 17, 1535–1544. [Google Scholar] [CrossRef]
- Pal, T.; Kaushik, M. Aircraft parameter estimation using a novel hybrid Luus–Jaakola/Hooke–Jeeves neural-network based optimization technique. Proc. Inst. Mech. Eng. Part G J. Aerosp. Eng. 2023, 237, 2196–2208. [Google Scholar] [CrossRef]
- Fernandes, K.M.; Tenenbaum, R.A.; Meza, E.B.M.; Silva, J.B.L.; da Brandão, D.N. Use of the Luus–Jaakola optimization method to minimize water and energy consumption in scheduling irrigation with center pivot systems. Irrig. Sci. 2020, 38, 213–221. [Google Scholar] [CrossRef]
- Ferreira, F.F.; Temperini, M.D.O.; Telles, W.R.; Lyra, G.B.; Silva Neto, A.J. An Inverse Problem Approach for the Estimation of the Haverkamp and van Genuchten Retention Curves Parameters with the Luus-Jaakola Method. Trends Comput. Appl. Math. 2021, 22, 265–278. [Google Scholar] [CrossRef]
- Krieger, J.M.; Lyra, G.B.; Ferreira, F.F.; Telles, W.R.; de Souza, J.L. Inverse Modeling of Radiative Transfer by Two-Stream Approximation using the Luus-Jaakola Method. Trends Comput. Appl. Math. 2021, 22, 325–340. [Google Scholar] [CrossRef]
- Li, N.; Yang, H.; Mu, A. Improved Grey Particle Swarm Optimization and New Luus-Jaakola Hybrid Algorithm Optimized IMC-PID Controller for Diverse Wing Vibration Systems. Complexity 2019, 2019, 8283178. [Google Scholar] [CrossRef]
- Holaysan, S.A.K.; Razon, L.F.; Tan, R.R. Development of a modified Luus-Jaakola adaptive random search algorithm for design of integrated algal bioenergy system. Chem. Eng. Trans. 2015, 45, 1627–1632. [Google Scholar]
- Blaudt, C.A.; Sanches, E.L.; Knupp, D.C.; Abreu, L.A.S.; Silva Neto, A.J. Timewise Varying Heat Flux Estimation Employing Infrared Thermography and the Luus-Jaakola Method. Rev. Cereus 2018, 10, 142–155. [Google Scholar] [CrossRef]
- De Palma, G.; Marvian, M.; Rouzé, C.; França, D.S. Limitations of Variational Quantum Algorithms: A Quantum Optimal Transport Approach. PRX Quantum 2023, 4, 010309. [Google Scholar] [CrossRef]
- Marquardt, D.W. An Algorithm for Least-Squares Estimation of Nonlinear Parameters. J. Soc. Ind. Appl. Math. 1963, 11, 431–441. Available online: http://www.jstor.org/stable/2098941 (accessed on 1 April 2022). [CrossRef]
- Žic, M.; Pereverzyev, S. Application of self-adapting regularization, machine learning tools and limits in Levenberg–Marquardt algorithm to solve CNLS problem. J. Electroanal. Chem. 2023, 939, 117420. [Google Scholar] [CrossRef]
- Foroutan, A.; Basumallik, S.; Srivastava, A. Estimating and Calibrating DER Model Parameters Using Levenberg–Marquardt Algorithm in Renewable Rich Power Grid. Energies 2023, 16, 3512. [Google Scholar] [CrossRef]
- Zhang, X.; Gao, S.; Chen, C.; Huang, J. Optimal Control Algorithm for Stochastic Systems with Parameter Drift. Sensors 2023, 23, 5743. [Google Scholar] [CrossRef]
- Huang, X.; Cao, H.; Jia, B. Optimization of Levenberg Marquardt Algorithm Applied to Nonlinear Systems. Processes 2023, 11, 1794. [Google Scholar] [CrossRef]
- Rajan, M.P.; Salam, N. A modified Levenberg–Marquardt scheme for solving a class of parameter identification problems. Appl. Anal. 2024, 103, 1080–1097. [Google Scholar] [CrossRef]
- Aravkin, A.Y.; Baraldi, R.; Orban, D. A Levenberg-Marquardt Method for Nonsmooth Regularized Least Squares. arXiv 2023, arXiv:2301.02347. [Google Scholar] [CrossRef]
- Krejić, N.; Malaspina, G.; Swaenen, L. A split Levenberg-Marquardt method for large-scale sparse problems. Comput. Optim. Appl. 2023, 85, 147–179. [Google Scholar] [CrossRef]
- Serafin, H.d.S.; Oroski, E.; Lazzaretti, A.E. Estimation of Kautz Poles in Wiener-Volterra Models Using Levenberg-Marquardt Algorithm. Learn. Nonlinear Models 2023, 21, 5–18. [Google Scholar] [CrossRef]
- Qin, Y.; Han, X.; Li, X.; Tong, J.; Gao, M. Parameter Estimation in Spectral Resolution Enhancement Based on Forward–Backward Linear Prediction Total Least Square Method. Appl. Spectrosc. 2023, 77, 1025–1032. [Google Scholar] [CrossRef]
- Pramesti, G. Parameter least-squares estimation for time-inhomogeneous Ornstein–Uhlenbeck process. Monte Carlo Methods Appl. 2023, 29, 1–32. [Google Scholar] [CrossRef]
- Jing, L. Parameter estimation of quantized DARMA systems using weighted least squares. IET Control Theory Appl. 2023, 17, 1732–1738. [Google Scholar] [CrossRef]
- Holland, C.D. Fundamentals of Multicomponent Distillation; McGraw-Hill: New York, NY, USA, 1981; Volume 13, p. 192. [Google Scholar]
- Sebti, I.; Carnet, A.R.; Blanc, D.; Saurel, R.; Coma, V. Controlled diffusion of an antimicrobial peptide from a biopolymer film. Chem. Eng. Res. Des. 2003, 81, 1099–1104. [Google Scholar] [CrossRef]
- Tzempelikos, D.A.; Mitrakos, D.; Vouros, A.P.; Bardakas, A.V.; Filios, A.E.; Margaris, D.P. Numerical modeling of heat and mass transfer during convective drying of cylindrical quince slices. J. Food Eng. 2015, 156, 10–21. [Google Scholar] [CrossRef]
- Flores-Martínez, N.L.; Pérez-Pérez, M.C.I.; Oliveros-Muñoz, J.M.; López-González, M.L.; Jiménez-Islas, H. Estimation of diffusion coefficients of essential oil of Pimenta dioica in edible films formulated with Aloe vera and gelatin, using Levenberg-Marquardt method. Rev. Mex. De Ing. Química 2018, 17, 485–506. [Google Scholar] [CrossRef]
- Burgos-Rubio, C.N.; Okos, M.R.; Wankat, P.C. Kinetic study of the conversion of different substrates to lactic acid using Lactobacillus bulgaricus. Biotechnol. Prog. 2000, 16, 305–314. [Google Scholar] [CrossRef]
- Jiménez-Islas, H.; Navarrete-Bolaños, J.L.; Botello-Álvarez, E. Numerical Study of the Natural Convection of Heat and 2-D Mass of Grain Stored in Cylindrical Silos. Agrociencia 2004, 38, 325–342. [Google Scholar]
- Jiménez-Islas, H.; Calderon-Ramirez, M.; Molina-Herrera, F.I.; Martinez-Gonzalez, G.M.; Navarrete-Bolaños, J.L.; Castrejon-Gonzalez, O. Low-RAM algorithm for solving 3-D natural convection problems using orthogonal collocation. Rev. Mex. De Ing. Química 2014, 13, 251–269. [Google Scholar]










| Algorithm | CPU Time | ||
|---|---|---|---|
| Luus–Jaakola | Stage 1 [ … Stage 5 | 2906.47366 | 9 s |
| Levenberg–Marquardt | Without convergence | Without convergence | ----- |
| Hybrid strategy | Stage 1 [ … Stage 5 [ | 2.67 × 10−12 | 51.6 s |
| Nodes | Solution | Quadratic Sum of Residues (S) | CPU Time (s) |
|---|---|---|---|
| 7 | [2.25703, 0.61139, 1.16794, 0.51272] a1 | 3.08889 | 3.9 |
| [2.88156, 0.90639, 1.99978, 0.49958] a2 | 0.01843 | 3.9 | |
| [2.99828, 0.99928, 1.99524, 0.49996] a3 | 0.00004 | 3.9 | |
| [2.25702, 0.61139, 1.16792, 0.51273] b1 | 3.08903 | 2.0 | |
| [2.87198, 0.89723, 2.00609, 0.49876] b2 | 0.02246 | 2.0 | |
| [2.96524, 0.97154, 1.98258, 0.50055] b3 | 0.00218 | 2.0 | |
| 15 | [2.25796, 0.61267, 1.16962, 0.51642] a1 | 3.04299 | 5.5 |
| [2.85905, 0.89233, 1.98194, 0.50124] a2 | 0.02591 | 5.5 | |
| [2.99448, 0.99971, 1.98668, 0.50146] a3 | 0.00027 | 5.5 | |
| [2.25795, 0.61267, 1.16960, 0.51643] b1 | 3.04312 | 2.8 | |
| [2.84861, 0.88345, 1.98602, 0.49980] b2 | 0.03068 | 2.8 | |
| [2.96929, 0.98880, 1.97909, 0.50283] b3 | 0.00223 | 2.8 | |
| 21 | [2.25801, 0.61280, 1.16964, 0.51659] a1 | 2.98875 | 205.4 |
| [2.93414, 0.95307, 1.97235, 0.50324] a2 | 0.00555 | 238.7 | |
| [3.00096, 1.00956, 1.97129, 0.50273] a3 | 0.00130 | 138.1 | |
| [2.25800, 0.61281, 1.16962, 0.51660] b1 | 2.98888 | 67.3 | |
| [2.92489, 0.94595, 1.97954, 0.50200] b2 | 0.00737 | 69.1 | |
| [2.98567, 0.98985, 1.97134, 0.50100] b3 | 0.00200 | 69.1 | |
| 35 | [2.25247, 0.61618, 1.17278, 0.52120] a1 | 2.78752 | 193.7 |
| [2.96340, 0.99266, 1.91425, 0.50918] a2 | 0.01140 | 192.4 | |
| [2.98273, 1.00899, 1.91535, 0.50900] a3 | 0.01134 | 196.5 | |
| [2.25246, 0.61619, 1.17277, 0.52121] b1 | 2.78764 | 94.5 | |
| [2.95631, 0.98824, 1.91714, 0.50943] b2 | 0.01164 | 122.6 | |
| [2.93932, 0.97236, 1.92994, 0.50622] b3 | 0.01417 | 92.6 |
| Nodes | Solution | Quadratic Sum of Residues (S) | CPU Time(s) |
|---|---|---|---|
| 7 | [2.96524, 0.97154, 1.98258, 0.50055] a | 2.18579 × 10−3 | 2.0 |
| 15 | [2.99937, 0.99998, 1.99861, 0.50005] b | 2.29720 × 10−6 | 7.6 |
| 21 | [2.99969, 0.99996, 1.99943, 0.50001] c | 4.20800 × 10−7 | 41.7 |
| 35 | [2.99989, 0.99994, 1.99995, 0.49998] d | 3.24000 × 10−8 | 213.0 |
| Analytical Solution (Sebti et al. [24]) a | Analytical Solution (Flores-Martínez et al. [26]) b | Numerical Solution (Flores-Martínez et al. [26]) c | |
|---|---|---|---|
| NA | |||
| 230.8 | 236.65 | 236.62 | |
| Quadratic Sum of Residues (S2) | 2005.89577 | 1915.81515 | 1225.28050 |
| MSE | 143.27827 | 136.83394 | 57.87050 |
| RMSE | 11.96989 | 11.69803 | 7.60727 |
| CV(RMSE) (%) | 14.43087 | 14.10312 | 11.10602 |
| Coefficient of Determination (R2) | 0.99908 | 0.99903 | 0.99944 |
| Average Error | 33.28 | 30.89 | 27.87 |
| Parameter | Value Obtained in This Work (LJ) | Value Obtained in This Work (LM) | Value Reported by Burgos-Rubio et al. [27] | Units |
|---|---|---|---|---|
| 1.78983 | 1.78976 | 1.14 | h−1 | |
| 1.72357 | 1.72345 | 3.36 | g/L | |
| 9.31111 | 9.31089 | 16.0 a | g/L | |
| 9.86821 | 9.86796 | 9 | Dimensionless | |
| 8.39280 × 10−9 | 0.00000 | 0 | Dimensionless | |
| 3.67913 | 3.67913 | 0.10 | g cell/g substrate | |
| 0.95786 | 0.95786 | 0.90 | g lactic acid/g substrate | |
| Quadratic Sum of Residues (S2) | 7.51369 | 7.51369 | 2496.322 a | |
| MSE | 0.16697 | 0.16697 | - | |
| RMSE | 0.34584 | 0.34584 | - | |
| CV(RMSE) | 3.90126 | 3.90126 | - | % |
| Coefficient of Determination (R2) | 0.97250 | 0.97250 | - | |
| Average Error | 21.49871 | 21.49871 | - | % |
| Description | QSM | Average Error (%) | MSE | RMSE | CV(RMSE) (%) |
|---|---|---|---|---|---|
| Non-Competitive Product Inhibition Model | 7.51370 | 21.49871 | 0.16697 | 0.34584 | 3.90126 |
| Competitive Product Inhibition Model 1 a | 12.05869 | 29.51048 | 0.26797 | 0.46181 | 5.20941 |
| Competitive Product Inhibition Model 2 | 12.49064 | 28.14847 | 0.27757 | 0.48639 | 5.48671 |
| Uncompetitive Inhibition Model a | 8.38326 | 22.67427 | 0.18629 | 0.36403 | 4.10646 |
| Property | Value |
|---|---|
| Slice thickness (L) | 0.0092 m |
| Dry average solid density | 847.83 kg/m3 |
| Dry air density | 1.11 kg/m3 |
| Temperature of drying air | 40 °C |
| Atmospheric pressure | 1 atm |
| Air humidity ( | 0.00895 kg H2O/kg dry air |
| Parameter | Value | Unity |
|---|---|---|
| 4.62926 × 10−4 | m2/s | |
| 3966.07274 | K | |
| 241.83632 | W/m2 K | |
| 10.57547 | W/m2 K | |
| 0.64438 | m/s | |
| 2.60012 × 10−3 | m/s | |
| Quadratic Sum of Residues (S2) | 4.04737 | |
| MSE | 0.08799 | |
| RMSE | 0.23003 | |
| CV(RMSE) | 1.30688 | % |
| Coefficient of Determination (R2) | 0.99983 | |
| Average Error | 2.11108 | % |
Disclaimer/Publisher’s Note: The statements, opinions and data contained in all publications are solely those of the individual author(s) and contributor(s) and not of MDPI and/or the editor(s). MDPI and/or the editor(s) disclaim responsibility for any injury to people or property resulting from any ideas, methods, instructions or products referred to in the content. |
© 2024 by the authors. Licensee MDPI, Basel, Switzerland. This article is an open access article distributed under the terms and conditions of the Creative Commons Attribution (CC BY) license (https://creativecommons.org/licenses/by/4.0/).
Share and Cite
López-González, M.d.l.L.; Jiménez-Islas, H.; Domínguez Campos, C.; Jarquín Enríquez, L.; Mondragón Rojas, F.J.; Flores-Martínez, N.L. Advancing Parameter Estimation in Differential Equations: A Hybrid Approach Integrating Levenberg–Marquardt and Luus–Jaakola Algorithms. ChemEngineering 2024, 8, 115. https://doi.org/10.3390/chemengineering8060115
López-González MdlL, Jiménez-Islas H, Domínguez Campos C, Jarquín Enríquez L, Mondragón Rojas FJ, Flores-Martínez NL. Advancing Parameter Estimation in Differential Equations: A Hybrid Approach Integrating Levenberg–Marquardt and Luus–Jaakola Algorithms. ChemEngineering. 2024; 8(6):115. https://doi.org/10.3390/chemengineering8060115
Chicago/Turabian StyleLópez-González, María de la Luz, Hugo Jiménez-Islas, Carmela Domínguez Campos, Lorenzo Jarquín Enríquez, Francisco Javier Mondragón Rojas, and Norma Leticia Flores-Martínez. 2024. "Advancing Parameter Estimation in Differential Equations: A Hybrid Approach Integrating Levenberg–Marquardt and Luus–Jaakola Algorithms" ChemEngineering 8, no. 6: 115. https://doi.org/10.3390/chemengineering8060115
APA StyleLópez-González, M. d. l. L., Jiménez-Islas, H., Domínguez Campos, C., Jarquín Enríquez, L., Mondragón Rojas, F. J., & Flores-Martínez, N. L. (2024). Advancing Parameter Estimation in Differential Equations: A Hybrid Approach Integrating Levenberg–Marquardt and Luus–Jaakola Algorithms. ChemEngineering, 8(6), 115. https://doi.org/10.3390/chemengineering8060115

