Abstract
The present work presents an investigation of the effects of xanthan gum (XG) and soy lecithin (SL) on the physicochemical stability, fatty acid profile (FAP), and antioxidant capacity (AC) of macadamia nut-based beverages with thermal treatment (TT), as well as physicochemical changes during storage and sensorial acceptability. An extreme vertices mixture design was used, varying the macadamia nut, SL, and XG. The results show that adding XG and SL decreased the Sauter (D[3,2]) and Brouckere (D[4,3]) diameters of particles in macadamia beverages and increased the zeta potential (ZP), which represents greater stability. After applying TT in beverages, D[3,2], D[4,3], and ZP increased. After processing and TT, the FAP and fat nutritional indices changed due to reducing SFA and PUFA and increasing MUFA relative to macadamia nut. No significant difference (p ≥ 0.05) was observed in the FAP of beverages with and without TT. The AC determined by DPPH and ABTS decreased in most beverages upon TT application. During storage for two months, the beverage particle size increased, there was a decrease in brightness, and no significant difference (p ≥ 0.05) was observed in ZP. Sensory analysis showed that the most stable beverage was not the most acceptable due to its viscosity.
1. Introduction
There is an increasing number of consumers who avoid consuming bovine milk because they prefer an animal-free protein diet as part of a lifestyle choice to reduce their environmental footprint, promote animal welfare, and improve human health [1]. Medical reasons such as lactose intolerance, cow protein allergies, or avoiding cholesterol consumption also contribute to this consumer base [2]. The consumer’s desire for new flavors could also be a contributor. For these reasons, vegetable-based beverages are gradually gaining popularity, especially clean-label beverages with minimal additives and no artificial ingredients.
Consumers appreciate the macadamia nut for its sensory properties and nutrient content [3], and a macadamia-based beverage may be attractive in today’s market. Additionally, macadamia nuts are a less common food allergen than almonds, walnuts, pecans, Brazil nuts, or cashews [4].
A vegetable beverage is an unstable diluted emulsion of fat globules. Moreover, beverages contain protein, sugars, minerals, and vitamins dispersed in water. The colloidal structure of vegetable beverages somewhat resembles that of cow’s milk; however, it cannot fully mimic cow’s milk’s physicochemical and sensory attributes [5].
The stability of emulsions depends on the conformation of the colloidal system of fat droplets or oil bodies and protein-coated fat droplets dispersed in water. One stabilizer option is hydrocolloids and emulsifiers. The structure of colloidal systems is influenced by processing operations. For instance, homogenization can reduce the size of fat droplets, leading to a more stable emulsion. At the same time, heat treatment can alter the structure and interactions of proteins, affecting the emulsion’s stability [6]. During storage, some physicochemical breakdown processes affect emulsions, such as sedimentation, flocculation, coalescence, or creaming; microbiological spoilage can also affect stability [5].
Heat treatment plays a crucial role in the production of industrialized vegetable beverages, extending their shelf life by reducing the bacteria and enzymes that cause spoilage [5]. However, from a gastronomic and culinary perspective, vegetable beverages can be consumed without heat treatment, which preserves the antioxidant capacity of some components.
To our knowledge, no information has been reported on the elaboration and stability of a macadamia nut-based beverage. Therefore, the aim of the present work was to evaluate the effect of xanthan gum (XG) and soy lecithin (SL) on the physicochemical stability, fatty acid profile, and antioxidant capacity of a macadamia nut-based beverage with and without thermal treatment, as well as physicochemical changes during storage and sensorial acceptability.
The results obtained in this study provide information on formulation possibilities for macadamia nut beverages in the growing vegetable beverage market.
2. Materials and Methods
2.1. Raw Materials
Macadamia nut (Macadamia integrifolia) was obtained from the geographical origin of Veracruz and was purchased from the Central de Abasto market in Mexico City. Whole macadamia nuts were ground in a blender (Oster® Xpert Series, Model BLST3A-R2G, Oster, MX, Mexico) at speed 3, which corresponds to 16,000 rpm (measured with a digital tachometer Extech Model 461893, Extech Instruments Corp., MA, USA) to obtain ground macadamia nut (MN).
SL powder (food grade) was purchased from Droguería Cosmopolita® (Ciudad de México, Mexico). XG was provided by Maprysa® (Querétaro, Mexico). Drinking water was purchased from Bonafont® Danone Group (Toluca, Mexico).
2.2. Reagents and Standards
A standard mixture of 37 fatty acid methyl esters was obtained from Restek (Cat 35077, Bellefonte, PA, USA). The solvents were purchased from Golden Bell (Orange, CA, USA) and reagents from Sigma–Aldrich (St. Louis, MO, USA).
2.3. Chemical Composition of Raw Material
The determination of moisture (AOAC method 934.01) and ash (AOAC method 967.05) contents was performed using standard methods of the AOAC [7]. The total lipid content was determined according to the Soxhlet method [8]. The protein was determined by the Kjeldahl procedure [9], and the nitrogen-to-protein conversion factor was 6.25. The carbohydrate content was determined by difference (%carbohydrates = 100 − %moisture − %protein − %lipid − %ash).
2.4. Beverage Preparation
Nine MN formulations of beverages were prepared in duplicate according to an extreme vertices mixture design with three components. Ground MN (4.0–5.62% w/w), SL powder (0.3–1.92% w/w), and XG (0.08–0.50% w/w) were used to obtain a mixture with six percent solids. Experiments were randomized and carried out in duplicate. The experimental design and optimization procedure was performed using Minitab® software version 17 (State College, PA, USA). The mixture design is shown in Table 1.
Table 1.
Extreme vertices design for three-component mixture of macadamia nut, soy lecithin, and xanthan gum.
The temperature of the grinding water was kept constant at 70 °C. The ingredients were homogenized with a blender (Oster® Xpert Series, Oster, MX, Mexico) for three cycles of five minutes at 16,000 rpm. Finally, all samples were collected in sterile glass bottles with a 350 mL capacity and screw caps.
Notably, the beverages with the most physicochemical stability and sensory acceptability were used in the second stage of the study. In this second stage, beverages with and without heat treatment were analyzed to address the effect of temperature on vegetable beverages’ chemical and physicochemical properties.
Heat treatment was performed at 85 °C (inside the bottle) for a holding time of 15 min. Then, the beverages were refrigerated (4 °C) for up to one week until physicochemical analysis or for up to two months to monitor physicochemical stability.
2.5. Physicochemical Analysis
The pH, total soluble solids (TSSs), and density of the beverages were tested on the first day of storage. The pH measurement was recorded using a Conductronic pH 10 digital pH meter (Conductronic S.A., Puebla, Mexico), TSSs using a refractometer Extech RF15 (Extech Instruments Corp., Waltham, MA, USA), and density using a pycnometer.
2.6. Color Analysis
The analysis of samples, with and without thermal treatment, was performed at 1 and 60 days. The color values were measured using the CIE L*a*b* color system and obtained using illuminant D65. A colorimeter was used (ColorFlex EZ, HunterLab, Reston, VA, USA). The color of the samples was characterized according to the color index (CI) and the total color difference (∆E), defined as
where is the initial value of L*, is the initial value of a*, and is the initial value of b*. The L* (whiteness), a* (redness/greenness), and b* (yellowness/blueness) values were recorded as the mean of triplicate readings.
2.7. Fatty Acid Methyl Ester Determination
Total lipids were extracted from 3 g of lyophilized MN or beverage by homogenizing them with 20 mL of chloroform/methanol 2:1 v/v [10] by magnetic stirring for 20 min and subsequently sonicated in a 50 W ultrasonic bath at 40 kHz for 15 min. The extraction was carried out two times, and the chloroform in the total lipid extract was removed with a rotavapor at 43 °C. Aliquots of the whole lipid extract were used to prepare and then analyze fatty acid methyl esters (FAMEs) according to Hernández-Martínez et al. [11] in a PerkinElmer gas chromatograph, model Clarus 500, with a flame ionization detector (FID), and an SP-2380 column (100 m × 0.25 mm i.d. × 0.20 µm film thickness) (Supelco, Bellefonte, PA, USA). Nitrogen was used as the carrier gas with a pressure of 276 KPa (40 psi), and the split ratio was 1:50.
2.8. Antioxidant Capacity Determination
For the extraction, 0.5 g of nut or lyophilized beverage sample and 20 mL of methanol/water 4:1 (v/v) solution were magnetically stirred for 180 min at room temperature and subsequently centrifuged at 3500× g rpm for 15 min to obtain the supernatant. The sediment was treated one more time under the same procedure. The extract’s antioxidant capacity was quantified by using DPPH and ABTS radicals, according to Rufino et al. [12].
2.9. Particle Size Determination
The particle size distribution analyses were carried out using a laser light diffraction analyzer (Malvern IM 026, series 2600, Malvern Instruments Ltd., Worcestershire, UK) using a 100 mm lens. Approximately 0.1 mL of beverage was dispersed with distilled water until an obscuration rate of 3% was achieved. The particle size distribution was characterized by the Sauter diameter (D[3,2]), Brouckere diameter (D[4,3]), and polydispersity (Span) index of the emulsion droplets.
2.10. Zeta Potential
The zeta potential (ζ) was measured with a zeta potential meter ZetaPlus 21471 (Brookhaven Instruments, Holtsville, NY, USA). The MN beverages were diluted to a concentration of 0.125 mg/mL with deionized water at 20 °C.
2.11. Colloidal Stability of Beverages
Changes in the stability of MN beverages with and without thermal treatment and during storage were also evaluated by visual phase separation analysis (photography analysis). Approximately 20 mL of MN beverage was placed in 25 mL glass test tubes with screw caps and stored at 4 °C. The observations were performed at 1, 8, 15, 30, 45, and 60 days.
After two months of storage, aliquots of MN beverages were taken and diluted in 10% sodium dodecyl sulfate (SDS) solution (1:4 v/v) before particle size measurement to determine the size of individual droplets [13] and identify whether colloidal instability was due to flocculation or coalescence.
2.12. Sensory Analysis
A sensory test evaluated the acceptability between MN beverages with the best physicochemical stability after pasteurization at 85 °C. The test was based on a nine-point hedonic scale (like extremely–dislike extremely) where flavor, aroma, and consistency similar to cow’s milk were evaluated. The test was conducted with 60 untrained evaluators; samples (20 mL) were presented to the evaluators with a randomized code and under white light.
2.13. Statistical and Multivariate Analysis
The mean values obtained were analyzed by one-way analysis of variance (ANOVA) with Tukey’s test (p < 0.05). Moreover, principal component analysis (PCA) was performed to explore the relationships between responses and samples across time. Minitab Statistical Software version 17 (State College, PA, USA) was used for the analyses.
3. Results
3.1. Chemical Composition of Macadamia Nut
The MN chemical composition was 2.59 ± 0.07% moisture, 69.13 ± 0.15% fat, 9.12 ± 0.2% protein, 12.61 ± 0.01% carbohydrates, and 1.46 ± 0.11% ash. The chemical composition of MN depends on the growing conditions, but the chemical composition is comparable to that reported by Alasalvar & Shahidi [4]. MN has a low protein content compared with other nuts but also has a high fat content. Thus, MN has a fat/protein ratio of 7.58, forming an unstable emulsion and resulting in the need for emulsifiers to stabilize it.
3.2. Analysis of Mixture Design to Estimate the Stability of Macadamia Nut-Based Beverages
In the first study stage, the beverage proposed by mixture design (Table 1) was evaluated after seven days of storage at 4 °C. The mixture design results were assessed with the response variables Sauter diameter (D[3,2]), Brouckere diameter (D[4,3]), Span, and zeta potential (ζ). The measurement of particle size and zeta potential is related to estimating the beverage stability. Thus, the physicochemically stable beverages had smaller particle sizes and larger zeta potentials.
To jointly evaluate the four response variables for time, a principal component analysis (PCA) was performed. D[3,2] and D[4,3] diameters were found to be positively correlated, and both diameters decreased with higher Span values. No correlation of diameters or Span with zeta potential was observed. On Day 8, beverages 2, 4, 5, and 7 showed the most negative zeta potential, low Span, and acceptable values of D[3,2] and D[4,3] (Figure 1).
Figure 1.
PCA biplot (2D scatter plot and loading plot) for beverages on Day 1 (▲) and Day 8 (●). The sample code consists of the sample number, according to Table 1, plus the day on which it was analyzed.
The mixture design results show three stable formulations: two derived from principal component analysis (PCA) (Figure 1), since samples 4 and 5 and 2 and 7 are replicas, and one from mixture design optimization by Minitab (sample O: MN 4.39%, SL 1.13% and XG 0.48%). The optimization considered minimum values of D[3,2] and D[4,3] and high and negative zeta potential values. The predicted responses have desirability (D) close to 1, indicating that the model responses are within acceptable limits [14]. It is worth mentioning that the optimized beverage was not the only one analyzed in the second stage of the study because it needed better sensory acceptance, as shown in Section 3.4.5.
3.3. Evaluation of Beverages after Thermal Treatment
Table 2 shows the selected beverages for the second stage of the study: formulations 2 and 4 and optimized formulation from mixture design (O). The beverages were prepared in duplicate, and one batch was subjected to thermal treatment. Additionally, a sample without additives (M) was considered to compare the effect of SL and XG on the beverages when thermal treatment was applied.
Table 2.
Composition, density, and pH of macadamia nut-based beverages selected for the physicochemical stability study.
3.3.1. Fatty Acid Profile
The fatty acid profiles (FAPs) of the MN and MN beverages are presented in Table 3. The saturated fatty acid (SFA) content for the macadamia nut beverage without emulsifiers (MB) and macadamia nut oil obtained by hexane solvent extraction (MN) showed significant differences (p < 0.05). The SFA of MN is below that reported by Aquino-Bolaños et al. [15] (25.7%) and higher than that reported by Shuai et al. [3] (16%). Regarding the monounsaturated fatty acid (MUFA) content, the value for MN is significantly lower (p < 0.05) than MB. It is important to mention the high content of palmitoleic fatty acid (18.26%) in MN. The MUFA of MN is lower than that reported by Shuai et al. [3] (2021) (82.63%) and comparable to Aquino-Bolaños [15] (72%). The polyunsaturated fatty acid (PUFA) content for MB and MN showed significant differences (p < 0.05) and is higher than those reported in Aquino-Bolaños [15] (1.9%) and Shuai et al. [3] (1.43%).
Table 3.
Profile of saturated (SFA), monounsaturated (MUFA), and polyunsaturated (PUFA) fatty acids of macadamia nut and macadamia nut-based beverage before and after thermal treatment.
The results show significant differences (p < 0.05) between the FAP of MN and MN beverages. After elaboration processing, the MUFA proportion increased, and the SFA and PUFA proportions decreased in beverages relative to MN. The exception is the OT beverage with high XG content, which increased in PUFA. The noncorrespondence between the FAP may be due to the FA availability in the matrices during extraction and the polarity of extraction solvents. For MN, the FAP analysis starts from oil extracted with hexane; in the processing of beverages, macadamia oil was first released with aqueous extraction, and then in the freeze-dried beverage, the oil was extracted with a chloroform/methanol mixture. Moreover, Magalhães et al. [16] reported that oil from hexane extraction had a higher proportion of saturated FA and a lower proportion of unsaturated FA than oils from aqueous extractions.
On the other hand, no significant differences were found between beverages with (OB, OT, 4B, 4T, 2B, 2T) and without stabilizers (MB, MT), so the addition of SL did not influence SFA and MUFA content, but PUFA was slightly modified. Moreover, no significant differences were found between beverages before (NTT) and after thermal treatment (BTT).
The intensive heat treatments may affect the quantitative composition of fatty acids, mainly PUFA, due to lipid oxidation reactions or the formation of trans isomers. However, according to Table 3, the thermal treatment (85 °C/15 min) applied to MN beverages did not promote oxidation, and no significant difference was observed in FAP; similar results were reported in pasteurized beverages made of soy, almonds [17], or Brazil nuts [18].
The positive effect of MN fatty acids can be understood by lipid nutritional indices [19], such as the index of atherogenicity (IA) and the index of thrombogenicity (IT), which should be small in foods. A low IA indicates less tendency to accumulate lipids (plaque) in arterial walls, and a low TI indicates less tendency to form clots in the blood vessels.
Table 3 shows the nutritional indices for MN and MN beverage; the values are small compared to those obtained for cow’s milk (1.6 < IA < 5.1; 2.1 < IT < 4.7) [19].
3.3.2. Antioxidant Capacity
The antioxidant capacity (AC) in MN was 20 ± 1.94 µmoles Trolox equivalent (TE)/g nut and 12.51 ± 0.15 µmoles TE/g nut for the ABTS and DPPH methods, respectively. Alasalvar et al. [20] reported 4.2 µmoles TE/g by DPPH for MN.
The AC in MN beverages is shown in Figure 2. The ABTS and DPPH methods show a similar tendency, but ABTS shows the highest values; MN contains hydrophilic antioxidant compounds, mainly phenolic acids [21], which can react with the aqueous soluble ABTS radical. Additionally, polyphenols, tocopherols, squalene, and phytosterols contribute to AC [3].
Figure 2.
The antioxidant capacity of macadamia nut-based beverages before and after heat treatment. Different lowercase letters in the same color indicate significant differences (p < 0.05) between beverages using the same method (ABTS or DPPH). Different capital letters indicate significant differences (p < 0.05) for the same sample before and after heat treatment. The code of the beverages is shown in Table 2.
The average AC for the NTT beverage was 116.77 ± 13.78 µmol TE/100 mL and 100.24 ± 7.68 µmol TE/100 mL for the ABTS and DPPH methods, respectively. Moreover, for the BTT beverage, values of 100.48 ± 13.61 µmol TE/100 mL and 92.4 µmol TE/100 mL were obtained for ABTS and DPPH, respectively. TT decreases the AC of beverages, except for OT and 2T beverages, which did not show significant changes (p ≥ 0.05) in AC, possibly due to the protective effect of XG during heat treatment, as these beverages have a high XG content. The sample with the highest AC was sample 4B, with values of 136.80 ± 7.72 and 103.05 ± 1.16 µmol TE/100 mL for the ABTS and DPPH methods, respectively. This sample contained a high amount of SL and a lower amount of XG. In this study, XG was used as a beverage stabilizer, and it has been reported that it can exert antioxidant behavior [22]; the same antioxidant power is present in SL [23], which acts as an antioxidant because it is a complex mixture of phospholipids, glycolipids, and triglycerides [24].
3.3.3. pH, Density, and Total Soluble Solids
The NTT beverage presented a pH of 6.24 ± 0.09 and the BTT beverage of 6.17 ± 0.12, so there was a decrease in pH when heat treatment was applied (Table 2), but the change was not significant (p ≥ 0.05) in the MT and OT beverages. Sidhu and Singh [25] reported a reduction in the pH of soy beverages upon applying drastic heat treatments with temperatures above 85 °C, possibly due to the change in the conformation of certain proteins that affect their charge and/or solubility, leading to a change in pH. The NTT beverage presented density values of 0.996 ± 0.003 g/cm3 and BTT beverage values of 0.991 ± 0.011 g/cm3, so a slight decrease in density occurred during the thermal treatment. However, the change was not significant (p ≥ 0.05). The density of an emulsion is related to the densities of the continuous and dispersed phases. Dispersed particles can become destabilized after collisions with each other due to thermal fluctuation of the solvent during heat treatment, resulting in a change in density. Bernat et al. [26] reported the same effect in density when studying the properties of hazelnut vegetable beverages, attributed to changes in components (especially biopolymers), which inhibit the ionization of some acid groups and produce small changes in the density of the beverages. Moreover, the total soluble solid content of all beverages was 1 °Brix without significant differences (p ≥ 0.05).
3.4. Physicochemical Evaluation of Beverages during Storage
3.4.1. Particle Size Distribution
The measurement of particle size distributions is directly related to the colloidal stability of vegetable beverages as diluted emulsions. Figure 3a shows the typical particle size distribution obtained for MN beverages affected by thermal treatment on storage at Day 1. The beverages showed a bimodal distribution in terms of volume distribution percentage. All beverages followed a polydisperse distribution characterized by a broader peak and a secondary group of larger particles. Similar behaviors and particle sizes have been reported by Bernat et al. [27] for a heat-treated (85 °C/30 min) almond beverage exhibiting similar particle sizes. The finest particle fraction observed is probably mainly composed of proteins. In contrast, the largest particles could be individual oil droplets and other aggregates formed from oil droplets, proteins, and/or polysaccharides in macadamia nut [28]. BTT beverages also have a wider distribution due to increased aggregation processes caused by the collision of particles during the thermal process.
Figure 3.
(a) Typical droplet size distribution of macadamia nut-based beverage on Day 1 with and without thermal treatment (85 °C, 15 min); (b) at different storage days and with sodium dodecyl sulfate (SDS) on Day 60.
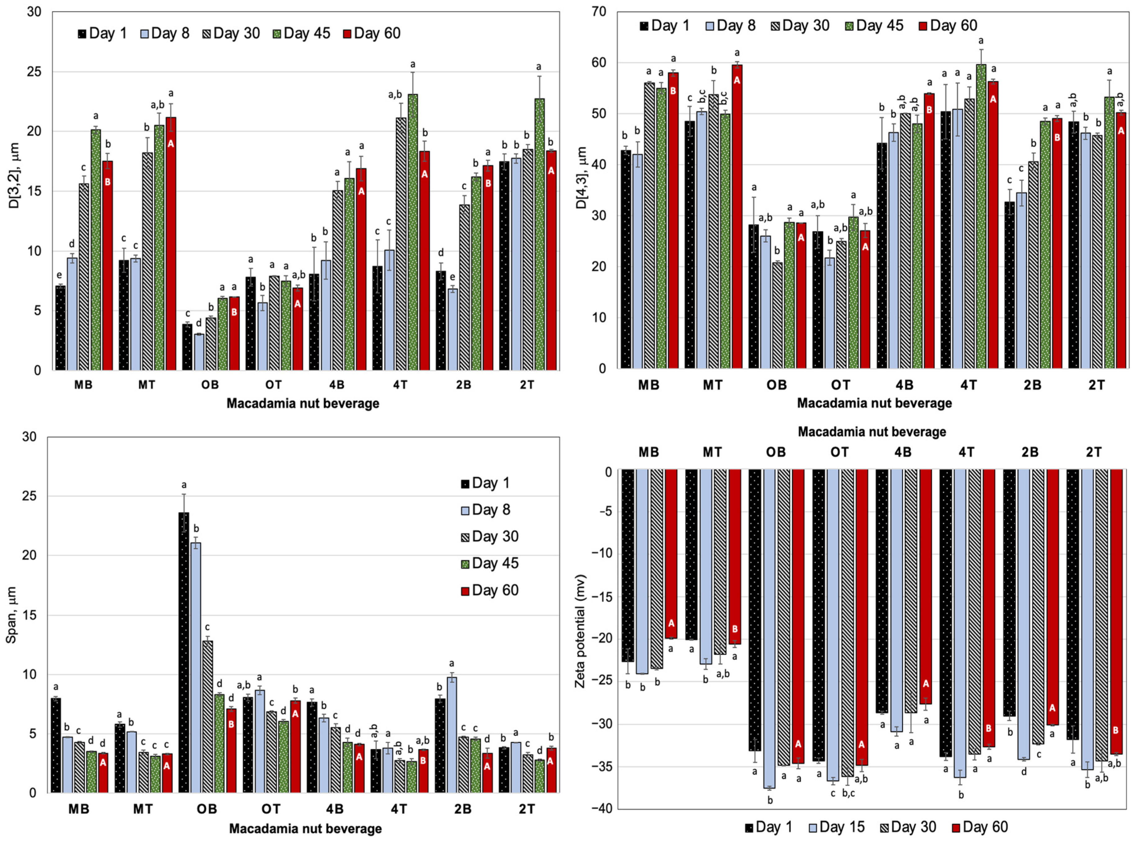
Figure 4 shows the changes in Sauter diameter (D[3,2]), Brouckere diameter (D[4,3]), and polydispersity index (Span) of beverages during 60 days of storage at 4 °C. The Span quantifies the distribution width; a low Span means that the droplet distribution is uniform [29] but not necessarily with smaller particles. The NTT beverages showed mean Span values of 5.47 ± 1.26 μm and a BTT of 4.63 ± 1.10 μm; no significant difference (p ≥ 0.05) was observed among them, and only the value of the OB beverage was atypical. In addition, as shown in Figure 4, storage slightly decreases the Span values.
Figure 4.
Evolution of the Sauter diameter (D[3,2]), Brouckere diameter (D[4,3]), polydispersity (Span) index, and zeta potential of macadamia nut-based beverages during 60 days of storage at 4 °C. Different lowercase letters indicate significant differences (p < 0.05) in the same beverage at different storage times. Different capital letters indicate significant differences (p < 0.05) among beverages with the same formulation but with and without thermal treatment for 60 days of storage at 4 °C. The code of the beverages is shown in Table 2.
The average diameter of the droplet can be calculated by the D[3,2] and D[4,3] values. The MB and MT beverages without stabilizers presented the highest D[3,2] and D[4,3] values, indicating a low stability due to the formation of larger aggregates because of the macadamia nut’s low protein/oil ratio. The beverages with SL and XG had the most inferior D[3,2] and D[4,3] values, mainly the OB and OT beverages with the highest amounts of SL and XG, whose values for OT were 6.91 ± 0.25 μm for D[3,2] and 27.11 ± 1.41 μm for D[4,3] after 60 storage days. SL, an emulsifier, is adsorbed on the oil–water interface, reducing the interfacial tension and increasing the degree of droplet breakup during agitation [5]. Nevertheless, it was observed in previous trials that SL alone does not generate stable beverages over time; this is why XG was needed, as it has another stabilization mechanism and it promotes intense steric repulsive forces and increases the viscosity of the beverage by protecting the emulsion particles from aggregation.
The effect of storage time on the particle size distribution is shown in Figure 3b. Moreover, Figure 4 shows how the beverage becomes more unstable over time, with high D[3,2] and D[4,3] values.
Coalescence and flocculation in emulsions are common undesirable problems; in flocculation, two or more particles stick together, and in coalescence, two or more particles merge [5]. In MN beverages, the destabilization phenomenon is related to flocculation in the finest particle fraction. The test with SDS revealed that the aggregation process was reversible (Figure 3b) since the particle size decreases concerning samples without SDS because the particles maintain their surface integrity and they stick together due to the loss of charge. In the droplet size distribution of the SDS-treated beverages, a second population of larger particles appears, which does not decrease or disappear with SDS since these particles are possibly mainly formed by the coalescence of fat droplets and other larger components in the beverages.
3.4.2. Zeta Potential
The zeta potential (ζ) is a measurement that estimates a particle’s stability and predicts the emulsion’s shelf life. A high zeta potential value (negative or positive) indicates that the surface of the droplets has a charge and the possibility of producing electrostatic repulsion; therefore, the emulsions will be more resistant to destabilization phenomena [30]. The zeta potential values recorded for MN beverages were negative (Figure 4) since the droplet surface charge is negative, possibly because components were far from the isoelectric point under neutral conditions [31]. According to the results, the use of XG (as a stabilizer) and SL (as an emulsifier) in beverages produces higher zeta potential values. Thus, the MB and MT beverages presented the lowest values (mean −22.09 mV).
After 60 storage days, the BTT beverages with SL and XG showed a larger zeta potential (mean −33.68 mV) and, therefore, more stability in comparison to the NTT beverage (mean −30.78 mV) (Figure 4). The increase in zeta potential values may be attributed to the protein denaturation after the heat treatment. The structural changes in adsorbed proteins on the surface of the fat droplets confer charges, generating electrostatic forces. Similar zeta potential values were reported for a hazelnut-based beverage with heat treatment by applying ultrasound [30]. It is important to mention that, in global terms for BTT, the zeta potential has no statistically significant differences during storage (p ≥ 0.05).
3.4.3. Optical Properties
The color and appearance in emulsions are produced by droplet size since the wavelength of the scattered light depends on the size of the dispersed particles [6]. The results of the colorimetric analysis of the beverages are shown in Table 4. According to the color index, the beverages are slightly yellow, and the color is provided mainly by SL, which is a yellow powder. In the BTT beverages, the color index (CI) ranged from −0.03 to −1.37, with the highest values found in the beverages with the highest amount of additives. The NTT beverages showed a range of −0.11 to −1.67.
Table 4.
Colorimetric analysis of macadamia nut-based beverages.
The NTT beverages showed a higher lightness value (L*) than the BTT beverages, indicating that MN beverages undergo slight browning due to heat treatment. This color may be produced by changing particle size or even the occurrence of Maillard reactions. This effect has also been reported for almond and hazelnut beverages [27].
A decrease in luminosity (L*) value was observed during storage due to the flocculation and coalescence process. Likewise, an increase in chromaticity parameters a* and b* was observed during storage, except for samples MB and MT, in which the b* value diminished. After 60 storage days, BTT beverages heated at 85 °C showed a color change from 0.48 to 4.6, and NTT beverages ranged from 2.87 to 7.4; the differences are considered perceptible to very perceptible according to the tolerance threshold for color change [32]. It should be noted that only sample 4T showed imperceptible changes.
Color variation has been related to the change in size and concentration of particles in the beverage. An increase in particle size increases scattered light, but excessively large particles decrease luminosity [5].
3.4.4. Colloidal Stability
Sedimentation and phase separation are phenomena related to the physical instability of vegetable beverages; they are due to the increase in particle size due to the generation of agglomerates of the components. Figure 5 shows the appearance of MN beverages over 60 storage days. The MB and MT beverages (without SL and XG) show phase separation from day one. The OB and OT beverages presented no phase separation. The results of the more stable beverage correspond with the small D[3,2] and D[4,3] values and low changes in color. The BTT beverages had greater stability during storage, as clearly observed by comparing 2T vs. 2B and 4T vs. 4B at 45 storage days. Bernat et al. [27] attributed the increased stability of vegetable beverages to thermal treatments due to the appearance of a three-dimensional network (weak gel) due to protein denaturation that increases viscosity. This effect did not significantly impact the MB and MT beverages, although on Day 45 of storage, the high stability of MT was evident.
Figure 5.
Evolution of phase separation of macadamia nut-based beverages. The codes of the beverages are shown in Table 2.
3.4.5. Sensory Analysis
Table 5 shows the sensory analysis results of the most physicochemically stable MN beverages. The flavor was liked most, and the aroma was the least accepted. The 2T beverage had the highest acceptability for the flavor and aroma attributes, the 4T beverage had the highest acceptability for consistency, and the OT beverage had the lowest acceptability for consistency. It is important to mention that the OT beverage had the highest amount of XG, and the 2T beverage had the lowest amount. According to the nine-point hedonic scale (Table 5), the flavor, aroma, and consistency had average values of 5.82, 5.03, and 5.54, respectively. According to the hedonic scale (Table 5), the attributes ranged from “neither like nor dislike” to “like moderately”. These results are probably due to the untrained evaluators, of which only 40% had consumed vegetable beverages, mainly almond, soy, and coconut.
Table 5.
Sensory acceptability test of macadamia nut-based beverages pasteurized at 85 °C.
Physicochemical instability is related to the beverages’ sensory unacceptability and suitability for consumption [28]. For instance, some aggregates may become so large that they cause the mouthfeel to become gritty or grainy [5]. However, in the present study, high stability may have resulted in a beverage with unacceptable consistency because it differs from cow’s milk. According to the results, the most stable beverage, OT, had the most viscosity aspect, but the 2T beverage had an acceptable stability and the highest acceptability. Therefore, it is crucial to combine stability with sensory acceptability in the development of beverages.
4. Conclusions
Using XG as a stabilizer and SL as an emulsifier in MN beverages generates a synergy that produce a beverage that is physicochemically stable for two months, especially after thermal treatment. The high content of XG and SL was appropriate to maintain stability after thermal processing since they have a protective effect based on their antioxidant capacity. The addition of SL did not modify the SFA and MUFA content but slightly modified the PUFA content. The physicochemical results indicated that using XG and SL has a positive effect in generating low-fat droplet sizes measured as D[3,2] and D[4,3] diameters. The small particle size is strongly related to the colloidal particle stability, which correlates with sensory acceptability and affects the shelf life of beverages. This parameter could, therefore, be a reason for the rejection of MN beverages. It is important to mention that the zeta potential had no statistically significant differences during storage (p ≥ 0.05), but an increase was noticed due to the thermal process or the presence of SL and XG. More physicochemical stability was presented for the OT beverage (MN: 4.39%; SL: 1.13%; XG: 0.48%) with higher stabilizer content and thermal treatment. However, the 2T beverage (MN: 4.95%; SL: 0.65%; XG: 0.40%) is also proposed because of sensory acceptability. The use of XG provides excellent physicochemical stability; however, sensory acceptance is also crucial, so using XG was not the best alternative to produce viscosity in a beverage. It could be used as the basis for vegetable-based yogurt substitute products. Further studies should be proposed regarding rheological properties, improved sensory acceptance, microbiological growth, or the beverage’s functional benefits for human health after gastrointestinal simulation.
Author Contributions
Conceptualization, D.M.H.-M. and E.C.-P.; formal analysis, J.D.C.-T.; investigation, J.D.C.-T.; methodology, C.V.-C. and D.M.H.-M.; project administration, D.M.H.-M.; resources, T.G.-V. and G.O.-R.; supervision, T.G.-V. and G.O.-R.; visualization, E.C.-P. and M.C.-M.; writing—original draft, D.M.H.-M.; writing—review and editing, D.M.H.-M. All authors have read and agreed to the published version of the manuscript.
Funding
This research was supported by the funds granted to Project SIP number 20200066 of the Secretaría de Investigación y Posgrado (SIP) from Instituto Politécnico Nacional (IPN).
Data Availability Statement
All data generated or analyzed during this study are available on request.
Acknowledgments
The authors thank Instituto Politécnico Nacional (IPN) and the Consejo Nacional de Humanidades, Ciencias y Tecnologías (CONAHCYT) from Mexico.
Conflicts of Interest
The authors declare no conflicts of interest.
References
- Alcorta, A.; Porta, A.; Tárrega, A.; Alvarez, M.D.; Vaquero, M.P. Foods for plant-based diets: Challenges and innovations. Foods 2021, 10, 293. [Google Scholar] [CrossRef]
- Jeske, S.; Zannini, E.; Arendt, E.K. Evaluation of physicochemical and glycaemic properties of commercial plant-based milk substitutes. Plant Foods Hum. Nutr. 2017, 72, 26–33. [Google Scholar] [CrossRef]
- Shuai, X.; Dai, T.; Chen, M.; Liang, R.; Du, L.; Chen, J.; Liu, C. Comparative study of chemical compositions and antioxidant capacities of oils obtained from 15 macadamia (Macadamia integrifolia) cultivars in China. Foods 2021, 10, 1031. [Google Scholar] [CrossRef]
- Alasalvar, C.; Shahidi, F. Tree Nuts: Composition, Phytochemicals, and Health Effects, 1st ed.; CRC Press: Boca Raton, FL, USA, 2008; pp. 249–258. [Google Scholar] [CrossRef]
- McClements, D.J. Development of next-generation nutritionally fortified plant-based milk substitutes: Structural design principles. Foods 2020, 9, 421. [Google Scholar] [CrossRef]
- Walstra, P. Physical Chemistry of Foods; Marcel Dekker Inc.: New York, NY, USA, 2003; pp. 300–333. [Google Scholar]
- Association of Official Analytical Chemists (AOAC). Official Methods of Analysis, 18th ed.; Association of Official Analytical Chemists: Gaithersburg, MD, USA, 2005. [Google Scholar]
- ISO 659:1988; Oilseeds—Determination of Hexane Extract (or Light Petroleum Extract), Called “Oil Content”. ISO: Geneva, Switzerland, 1988.
- Pearson, D. The Chemical Analysis of Foods, 7th ed.; Churchill Living Stone: London, UK, 1976. [Google Scholar]
- Folch, J.; Less, M.; Sloane-Stanley, G.H. A simple method for the isolation and purification of total lipides from animal tissues. J. Biol. Chem. 1957, 226, 497–509. Available online: https://www.jbc.org/article/S0021-925864849-5/pdf (accessed on 20 January 2019). [CrossRef] [PubMed]
- Hernández-Martínez, M.; Gallardo-Velázquez, T.; Osorio-Revilla, G. Rapid characterization and identification of fatty acids in margarines using horizontal attenuate total reflectance Fourier transform infrared spectroscopy (HATR-FTIR). Eur. Food Res. Technol. 2010, 231, 321–329. [Google Scholar] [CrossRef]
- Rufino, M.S.M.; Alves, R.E.; de Brito, E.S.; Pérez-Jiménez, J.; Saura-Calixto, F.; Mancini-Filho, J. Bioactive compounds and antioxidant capacities of 18 non-traditional tropical fruits from Brazil. Food Chem. 2010, 121, 996–1002. [Google Scholar] [CrossRef]
- Ho, K.K.H.Y.; Schroën, K.; San Martín-González, M.F.; Berton-Carabin, C.C. Synergistic and antagonistic effects of plant and dairy protein blends on the physicochemical stability of lycopene-loaded emulsions. Food Hydrocoll. 2018, 81, 180–190. [Google Scholar] [CrossRef]
- Minitab Soporte de Minitab® 18. Available online: https://support.minitab.com/es (accessed on 20 January 2023).
- Aquino-Bolaños, E.N.; Mapel-Velazco, L.; Martín-del-Campo, S.T.; Chávez-Servia, J.L.; Martínez, A.J.; Verdalet-Guzmán, I. Fatty acids profile of oil from nine varieties of Macadamia nut. Int. J. Food Prop. 2017, 20, 1262–1269. [Google Scholar] [CrossRef]
- Magalhães, K.T.; Tavares, T.S.; Gomes, T.M.C.; Nunes, C.A. Effect of process variables on the yield and quality of jerivá (Syagrus romanzoffiana) kernel oil from aqueous extraction. Grasas Aceites 2020, 71, e339. [Google Scholar] [CrossRef]
- Toro-Funes, N. Nutritional and Biofunctional Value of Soybean and Almond Beverages Stabilized by Ultra-High Pressure Homogenization. Doctoral Thesis, Universidad de Barcelona, España, Spain, 2014. [Google Scholar]
- Vasquez-Rojas, W.V.; Martín, D.; Fornari, T.; Cano, M.P. Brazil Nut (Bertholletia excelsa) Beverage Processed by High-Pressure Homogenization: Changes in Main Components and Antioxidant Capacity during Cold Storage. Molecules 2023, 28, 4675. [Google Scholar] [CrossRef] [PubMed]
- Chen, J.; Liu, H. Nutritional indices for assessing fatty acids: A mini-review. Int. J. Mol. Sci. 2020, 21, 5695. [Google Scholar] [CrossRef] [PubMed]
- Alasalvar, C.; Chang, S.K.; Shahidi, F. Nuts: Nutrients, natural antioxidants, fat-soluble bioactives, and phenolics. In Health Benefits of Nuts and Dried Fruits, 1st ed; Alasalvar, C., Salas-Salvadó, J., Ros, E., Sabaté, J., Eds.; CRC Press-Taylor & Francis Group: Boca Raton, FL, USA, 2020; pp. 13–58. [Google Scholar]
- Alasalvar, C.; Bolling, B.W. Review of nut phytochemicals, fat-soluble bioactives, antioxidant components and health effects. Br. J. Nutr. 2015, 113, S68–S78. [Google Scholar] [CrossRef] [PubMed]
- Panneerselvam, N.; Sundaramurthy, D.; Maruthapillai, A. Antibacterial/antioxidant activity of CuO impacted xanthan gum/chitosan @ascorbic acid nanocomposite films. J. Polym. Environ. 2022, 30, 3239–3249. [Google Scholar] [CrossRef]
- Nasab, M.E.; Takzaree, N.; Saffari, P.M.; Partoazar, A. In vitro antioxidant activity and in vivo wound-healing effect of lecithin liposomes: A comparative study. J. Comp. Eff. Res. 2019, 8, 633–643. [Google Scholar] [CrossRef] [PubMed]
- National Center for Biotechnology Information, NCBI, PubChem Compound Summary for CID 122218. Available online: https://pubchem.ncbi.nlm.nih.gov/compound/122218 (accessed on 23 April 2023).
- Sidhu, J.; Singh, R. Ultra high pressure homogenization of soy milk: Effect on quality attributes during storage. Beverages 2016, 2, 15. [Google Scholar] [CrossRef]
- Bernat, N.; Chafer, M.; Rodríguez-García, J.; Chiralt, A.; González-Martínez, C. Effect of high pressure homogenisation and heat treatment on physical properties and stability of almond and hazelnut milks. LWT Food Sci. Technol. 2015, 62, 488–496. [Google Scholar] [CrossRef]
- Bernat, N.; Cháfer, M.; Chiralt, A.; González-Martínez, C. Development of a non-dairy probiotic fermented product based on almond milk and inulin. Food Sci. Technol. Int. 2015, 21, 440–453. [Google Scholar] [CrossRef]
- Frühauf, V.; Egea, M.; Hernandes, T.; Takeuchi, K. Relationship between physicochemical and sensory characteristics of commercial plant-based beverages. J. Culinary Sci. Technol. 2023, 21, 886–902. [Google Scholar] [CrossRef]
- Sarraf, M.; Naji-Tabasi, S.; Beig-Babaei, A.; Moros, J.E.; Sánchez, M.C.; Franco, J.M.; Tenorio-Alfonso, A. Improving the structure and properties of whey protein emulsion gel using soluble interactions with xanthan and basil seed gum. Food Sci. Nutr. 2023, 11, 6907–6919. [Google Scholar] [CrossRef]
- Şen, L.; Okur, S. Effect of hazelnut type, hydrocolloid concentrations and ultrasound applications on physicochemical and sensory characteristics of hazelnut-based milks. Food Chem. 2023, 402, 134288. [Google Scholar] [CrossRef] [PubMed]
- Lei, Y.; Ma, L.; Ouyang, H.; Peng, W.; Xu, F.; Wang, P.; Jin, L.; Li, S. Influence of soy protein isolate on the gel properties of walnut protein isolate-κ-carrageenan treated with NaCl. J. Future Foods. 2023, 3, 364–373. [Google Scholar] [CrossRef]
- Francis, F.J. Colorimetric properties of foods. In Engineering Properties of Foods; Rao, M.A., Rizvi, S.S.H., Datta, A.K.J., Eds.; CRC Press-Taylor & Francis Group: Boca Raton, FL, USA, 2005; pp. 703–732. [Google Scholar]
Disclaimer/Publisher’s Note: The statements, opinions and data contained in all publications are solely those of the individual author(s) and contributor(s) and not of MDPI and/or the editor(s). MDPI and/or the editor(s) disclaim responsibility for any injury to people or property resulting from any ideas, methods, instructions or products referred to in the content. |
© 2024 by the authors. Licensee MDPI, Basel, Switzerland. This article is an open access article distributed under the terms and conditions of the Creative Commons Attribution (CC BY) license (https://creativecommons.org/licenses/by/4.0/).




