The Prognostic Role of Preoperative Hematological and Inflammatory Indices in Canine Appendicular Osteosarcoma
Abstract
Simple Summary
Abstract
1. Introduction
2. Materials and Methods
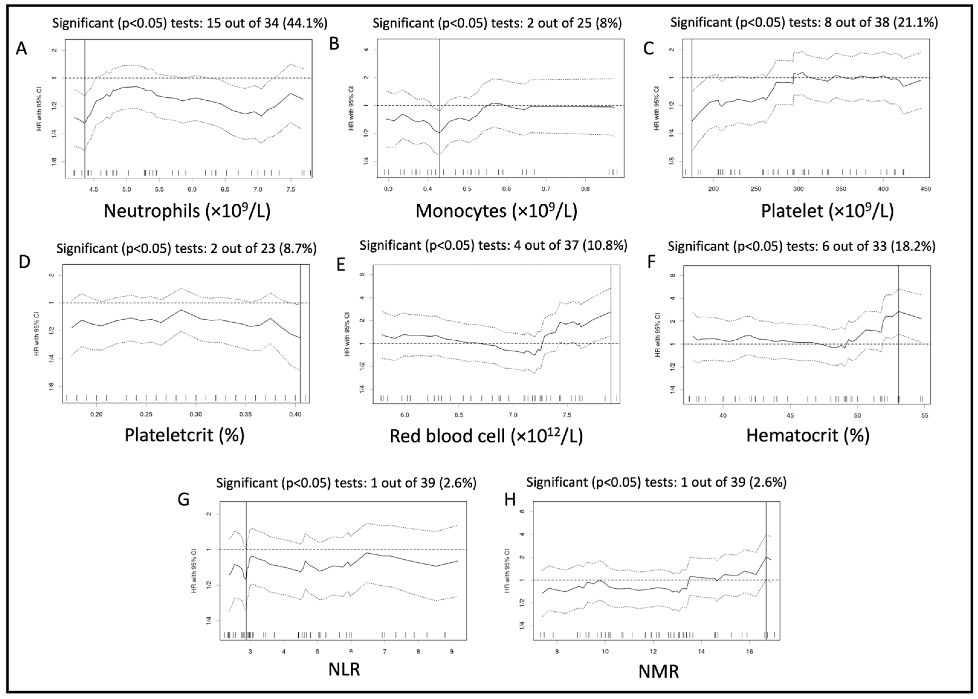
3. Results
3.1. Study Population
3.2. Hematology/Biochemistry
3.3. Staging
3.4. Chemotherapy and AE
3.5. Outcome
3.6. Overall Survival Time
3.7. Analysis of Possible Prognostic Factors
3.7.1. Whole Population
3.7.2. Focus on Sighthounds
3.7.3. Sighthounds-Excluded Population
4. Discussion
5. Conclusions
Supplementary Materials
Author Contributions
Funding
Institutional Review Board Statement
Informed Consent Statement
Data Availability Statement
Acknowledgments
Conflicts of Interest
References
- Thompson, K.G.; Dittmer, K.E. Tumors of Bone. In Tumors in Domestic Animals, 5th ed.; Meuten, D.J., Ed.; Wiley Blackwell: Ames, IA, USA, 2016; pp. 356–424. [Google Scholar]
- Selmic, L.E.; Burton, J.H.; Thamm, D.H.; Withrow, S.J.; Lana, S.E. Comparison of carboplatin and doxorubicin-based chemotherapy protocols in 470 dogs after amputation for treatment of appendicular osteosarcoma. J. Vet. Intern. Med. 2014, 28, 554–563. [Google Scholar] [CrossRef] [PubMed]
- Skorupski, K.A.; Uhl, J.M.; Szivek, A.; Allstadt Frazier, S.D.; Rebhun, R.B.; Rodriguez, C.O., Jr. Carboplatin versus alternating carboplatin and doxorubicin for the adjuvant treatment of canine appendicular osteosarcoma: A randomized, phase III trial. Vet. Comp. Oncol. 2016, 14, 81–87. [Google Scholar] [CrossRef] [PubMed]
- Matsuyama, A.; Schott, C.R.; Wood, G.A.; Richardson, D.; Woods, J.P.; Mutsaers, A.J. Evaluation of metronomic cyclophosphamide chemotherapy as maintenance treatment for dogs with appendicular osteosarcoma following limb amputation and carboplatin chemotherapy. J. Am. Vet. Med. Assoc. 2018, 252, 1377–1383. [Google Scholar] [CrossRef] [PubMed]
- Boerman, I.; Selvarajah, G.T.; Nielen, M.; Kirpensteijn, J. Prognostic factors in canine appendicular osteosarcoma—A meta-analysis. BMC Vet. Res. 2012, 5, 56. [Google Scholar] [CrossRef] [PubMed]
- Sottnik, J.L.; Rao, S.; Lafferty, M.H.; Thamm, D.H.; Morley, P.S.; Withrow, S.J.; Dow, S.W. Association of blood monocyte and lymphocyte count and disease-free interval in dogs with osteosarcoma. J. Vet. Intern. Med. 2010, 24, 1439–1444. [Google Scholar] [CrossRef]
- Biller, B.J.; Guth, A.; Burton, J.H.; Dow, S.W. Decreased ratio of CD8+ T cells to regulatory T cells associated with decreased survival in dogs with osteosarcoma. J. Vet. Intern. Med. 2010, 24, 1118–1123. [Google Scholar] [CrossRef]
- Henriques, J.; Felisberto, R.; Constantino-Casas, F.; Cabeçadas, J.; Dobson, J. Peripheral blood cell ratios as prognostic factors in canine diffuse large B-cell lymphoma treated with CHOP protocol. Vet. Comp. Oncol. 2021, 19, 242–252. [Google Scholar] [CrossRef]
- Camerino, M.; Giacobino, D.; Iussich, S.; Ala, U.; Riccardo, F.; Cavallo, F.; Martano, M.; Morello, E.; Buracco, P. Evaluation of prognostic impact of pre-treatment neutrophil to lymphocyte and lymphocyte to monocyte ratios in dogs with oral malignant melanoma treated with surgery and adjuvant CSPG4-antigen electrovaccination: An explorative study. Vet. Comp. Oncol. 2021, 19, 353–361. [Google Scholar] [CrossRef]
- Macfarlane, M.J.; Macfarlane, L.L.; Scase, T.; Parkin, T.; Morris, J.S. Use of neutrophil to lymphocyte ratio for predicting histopathological grade of canine mast cell tumours. Vet. Rec. 2016, 179, 491. [Google Scholar] [CrossRef]
- Skor, O.; Fuchs-Baumgartinger, A.; Tichy, A.; Kleiter, M.; Schwendenwein, I. Pretreatment leukocyte ratios and concentrations as predictors of outcome in dogs with cutaneous mast cell tumours. Vet. Comp. Oncol. 2017, 15, 1333–1345. [Google Scholar] [CrossRef]
- Macfarlane, L.; Morris, J.; Pratschke, K.; Mellor, D.; Scase, T.; Macfarlane, M.; Mclauchlan, G. Diagnostic value of neutrophil-lymphocyte and albumin-globulin ratios in canine soft tissue sarcoma. J. Small. Anim. Pract. 2016, 57, 135–141. [Google Scholar] [CrossRef] [PubMed]
- Chiti, L.E.; Ferrari, R.; Boracchi, P.; Morello, E.; Marconato, L.; Roccabianca, P.; Avallone, G.; Iussich, S.; Giordano, A.; Ferraris, E.I.; et al. Prognostic impact of clinical, haematological, and histopathological variables in 102 canine cutaneous perivascular wall tumours. Vet. Comp. Oncol. 2021, 19, 275–283. [Google Scholar] [CrossRef] [PubMed]
- Zaldívar-López, S.; Marín, L.M.; Iazbik, M.C.; Westendorf-Stingle, N.; Hensley, S.; Couto, C.G. Clinical pathology of Greyhounds and other sighthounds. Vet. Clin. Pathol. 2011, 40, 414–425. [Google Scholar] [CrossRef]
- Liu, T.; Fang, X.C.; Ding, Z.; Sun, Z.G.; Sun, L.M.; Wang, Y.L. Pre-operative lymphocyte-to-monocyte ratio as a predictor of overall survival in patients suffering from osteosarcoma. FEBS Open Bio. 2015, 5, 682–687. [Google Scholar] [CrossRef] [PubMed]
- Liu, B.; Huang, Y.; Sun, Y.; Zhang, J.; Yao, Y.; Shen, Z.; Xiang, D.; He, A. Prognostic value of inflammation-based scores in patients with osteosarcoma. Sci. Rep. 2016, 6, 39862. [Google Scholar] [CrossRef]
- Xia, W.K.; Liu, Z.L.; Shen, D.; Lin, Q.F.; Su, J.; Mao, W.D. Prognostic performance of pre-treatment NLR and PLR in patients suffering from osteosarcoma. World J. Surg. Oncol. 2016, 14, 127. [Google Scholar] [CrossRef]
- Vasquez, L.; León, E.; Beltran, B.; Maza, I.; Oscanoa, M.; Geronimo, J. Pretreatment Neutrophil-to-Lymphocyte Ratio and Lymphocyte Recovery: Independent Prognostic Factors for Survival in Pediatric Sarcomas. J. Pediatr. Hematol. Oncol. 2017, 39, 538–546. [Google Scholar] [CrossRef]
- Gou, B.; Cao, H.; Cheng, X.; Shang, W.; Xu, M.; Qian, W. Prognostic value of mean platelet volume to plateletcrit ratio in patients with osteosarcoma. Cancer Manag. Res. 2019, 11, 1615–1621. [Google Scholar] [CrossRef]
- Yang, S.; Wu, C.; Wang, L.; Shan, D.; Chen, B. Pretreatment inflammatory indexes as prognostic predictors for survival in osteosarcoma patients. Int. J. Clin. Exp. Pathol. 2020, 13, 515–524. [Google Scholar]
- Lipking, K.; Melissa, A.; Kacena, J.; Konopka, A.; Mayo, L.D.; Sandusky, G.E. Elevated levels of platelets and Mdm2 expression are contributing factors to facilitating the metastasis of osteosarcoma. In Proceedings of the IUPUI Research Day, Indianapolis, Indiana, 13 April 2012. [Google Scholar]
- Ouyang, H.; Wang, Z. Predictive value of the systemic immune-inflammation index for cancer-specific survival of osteosarcoma in children. Front. Public Health 2022, 10, 879523. [Google Scholar] [CrossRef]
- Veterinary Cooperative Oncology Group. Common terminology criteria for adverse events (VCOG-CTCAE) following chemotherapy or biological antineoplastic therapy in dogs and cats v1.1. Vet. Comp. Oncol. 2016, 14, 417–446. [Google Scholar] [CrossRef] [PubMed]
- Rizzi, T.E.; Meinkoth, J.H.; Clinkenbeard, K.D. Normal Hematology of the Dog. In Schalm’s Veterinary Hematology, 6th ed.; Weiss, D.J., Wardrop, K.J., Eds.; Wiley Blackwell: Ames, IA, USA, 2011; pp. 799–810. [Google Scholar]
- Marconato, L.; Buracco, P.; Polton, G.A.; Finotello, R.; Stefanello, D.; Skor, O.; Bicanova, L.; Capitani, O.; Floch, F.; Morello, E.; et al. Timing of adjuvant chemotherapy after limb amputation and effect on outcome in dogs with appendicular osteosarcoma without distant metastases. J. Am. Vet. Med. Assoc. 2021, 259, 749–756. [Google Scholar] [CrossRef]
- Open Database: Cut-Off Finder Web Application Institut Für Pathologie, Charité—Universitäts Medizin Berlin, Berlin, Germany. Available online: https://molpathoheidelberg.shinyapps.io/CutoffFinder_v1/ (accessed on 29 November 2022).
- Budczies, J.; Klauschen, F.; Sinn, B.V.; Győrffy, B.; Schmitt, W.D.; Darb-Esfahani, S.; Denkert, C. Cutoff Finder: A comprehensive and straightforward Web application enabling rapid biomarker cutoff optimization. PLoS ONE 2012, 7, e51862. [Google Scholar] [CrossRef]
- Leisch, F. Flexmix: A general framework for finite mixture models and latent class regression in R. J. Stat. Softw. 2004, 11, 1–18. [Google Scholar] [CrossRef]
- R Core Team. R: A Language and Environment for Statistical Computing; R Foundation for Statistical Computing: Vienna, Austria, 2020. [Google Scholar]
- Wickham, H. ggplot2: Elegant Graphics for Data Analysis; Springer: New York, NY, USA, 2016. [Google Scholar]
- Li, C.; Tian, W.; Zhao, F.; Li, M.; Ye, Q.; Wei, Y.; Li, T.; Xie, K. Systemic immune-inflammation index, SII, for prognosis of elderly patients with newly diagnosed tumors. Oncotarget 2018, 9, 35293–35299. [Google Scholar] [CrossRef]
- Yapar, A.; Tokgöz, M.A.; Yapar, D.; Atalay, İ.B.; Ulucaköy, C.; Güngör, B.Ş. Diagnostic and prognostic role of neutrophil/lymphocyte ratio, platelet/lymphocyte ratio, and lymphocyte/monocyte ratio in patients with osteosarcoma. Jt. Dis. Relat. Surg. 2021, 32, 489–496. [Google Scholar] [CrossRef] [PubMed]
- Li, H.; Wang, Y.; Liu, Z.; Yuan, Y.; Huang, W.; Zhang, N.; He, A.; Shen, Z.; Sun, Y.; Yao, Y. Lack of association between platelet indices and disease stage in osteosarcoma at diagnosis. PLoS ONE 2017, 12, e0174668. [Google Scholar] [CrossRef] [PubMed]
- Tu, J.; Wen, L.; Huo, Z.; Wang, B.; Wang, Y.; Liao, H.; Liu, W.; Zhong, X.; Kong, J.; Wang, M.; et al. Predictive value of dynamic change of haemoglobin levels during therapy on treatment outcomes in patients with Enneking stage IIB extremity osteosarcoma. BMC Cancer 2018, 18, 428. [Google Scholar] [CrossRef]
- Tuohy, J.L.; Lascelles, B.D.; Griffith, E.H.; Fogle, J.E. Association of Canine Osteosarcoma and Monocyte Phenotype and Chemotactic Function. J. Vet. Intern. Med. 2016, 30, 1167–1178. [Google Scholar] [CrossRef]
- Polley, M.C.; Dignam, J.J. Statistical Considerations in the Evaluation of Continuous Biomarkers. J. Nucl. Med. 2021, 62, 605–611. [Google Scholar] [CrossRef]
- Tustumi, F. Choosing the most appropriate cut-point for continuous variables. Rev. Col. Bras. Cir. 2022, 49, e20223346. [Google Scholar] [CrossRef]
- Watt, D.G.; Proctor, M.J.; Park, J.H.; Horgan, P.G.; McMillan, D.C. The Neutrophil-Platelet Score (NPS) Predicts Survival in Primary Operable Colorectal Cancer and a Variety of Common Cancers. PLoS ONE 2015, 10, e0142159. [Google Scholar] [CrossRef][Green Version]
- Masucci, M.T.; Minopoli, M.; Carriero, M.V. Tumor Associated Neutrophils. Their Role in Tumorigenesis, Metastasis, Prognosis and Therapy. Front. Oncol. 2019, 9, 1146. [Google Scholar] [CrossRef]
- Araki, Y.; Yamamoto, N.; Hayashi, K.; Takeuchi, A.; Miwa, S.; Igarashi, K.; Higuchi, T.; Abe, K.; Taniguchi, Y.; Yonezawa, H.; et al. Pretreatment Neutrophil Count and Platelet-lymphocyte Ratio as Predictors of Metastasis in Patients with Osteosarcoma. Anticancer Res. 2022, 42, 1081–1089. [Google Scholar] [CrossRef]
- Mantovani, A.; Cassatella, M.A.; Costantini, C.; Jaillon, S. Neutrophils in the activation and regulation of innate and adaptive immunity. Nat. Rev. Immunol. 2011, 11, 519–531. [Google Scholar] [CrossRef]
- Opdenakker, G.; Van Damme, J. The countercurrent principle in invasion and metastasis of cancer cells. Recent insights on the roles of chemokines. Int. J. Dev. Biol. 2004, 48, 519–527. [Google Scholar] [CrossRef] [PubMed]
- Yang, B.; Su, Z.; Chen, G.; Zeng, Z.; Tan, J.; Wu, G.; Zhu, S.; Lin, L. Identification of prognostic biomarkers associated with metastasis and immune infiltration in osteosarcoma. Oncol. Lett. 2021, 21, 180. [Google Scholar] [CrossRef] [PubMed]
- Shaul, M.E.; Fridlender, Z.G. Tumour-associated neutrophils in patients with cancer. Nat. Rev. Clin. Oncol. 2019, 16, 601–620. [Google Scholar] [CrossRef] [PubMed]
- Wustefeld-Janssens, B.G.; Séguin, B.; Ehrhart, N.P.; Worley, D.R. Analysis of outcome in dogs that undergo secondary amputation as an end-point for managing complications related to limb salvage surgery for treatment of appendicular osteosarcoma. Vet. Comp. Oncol. 2020, 18, 84–91. [Google Scholar] [CrossRef]
- Liptak, J.M.; Dernell, W.S.; Ehrhart, N.; Lafferty, M.H.; Monteith, G.J.; Withrow, S.J. Cortical allograft and endoprosthesis for limb-sparing surgery in dogs with distal radial osteosarcoma: A prospective clinical comparison of two different limb-sparing techniques. Vet. Surg. 2006, 35, 518–533. [Google Scholar] [CrossRef]
- Pollard, J.W. Tumour-educated macrophages promote tumour progression and metastasis. Nat. Rev. Cancer 2004, 4, 71–78. [Google Scholar] [CrossRef] [PubMed]
- Withers, S.S.; Skorupski, K.A.; York, D.; Choi, J.W.; Woolard, K.D.; Laufer-Amorim, R.; Sparger, E.E.; Rodriguez, C.O.; McSorley, S.J.; Monjazeb, A.M.; et al. Association of macrophage and lymphocyte infiltration with outcome in canine osteosarcoma. Vet. Comp. Oncol. 2019, 17, 49–60. [Google Scholar] [CrossRef] [PubMed]
- Boonmee, A.; Benjaskulluecha, S.; Kueanjinda, P.; Wongprom, B.; Pattarakankul, T.; Palaga, T. The chemotherapeutic drug carboplatin affects macrophage responses to LPS and LPS tolerance via epigenetic modifications. Sci. Rep. 2021, 11, 21574. [Google Scholar] [CrossRef] [PubMed]
- Palma, J.P.; Aggarwal, S.K. Cisplatin and carboplatin-mediated activation of murine peritoneal macrophages in vitro: Production of interleukin-1 alpha and tumor necrosis factor-alpha. Anticancer Drugs 1995, 6, 311–316. [Google Scholar] [CrossRef]
- Liu, Q.; Xu, R.; Xu, X.; Huang, Y.; Ma, Z. Characteristics and significance of T lymphocyte subsets in peripheral blood of osteosarcoma mice. Transl. Cancer Res. 2022, 11, 1503–1509. [Google Scholar] [CrossRef]
- Casanova, J.M.; Almeida, J.S.; Reith, J.D.; Sousa, L.M.; Fonseca, R.; Freitas-Tavares, P.; Santos-Rosa, M.; Rodrigues-Santos, P. Tumor-Infiltrating Lymphocytes and Cancer Markers in Osteosarcoma: Influence on Patient Survival. Cancers 2021, 13, 6075. [Google Scholar] [CrossRef]
- Sternberg, R.A.; Pondenis, H.C.; Yang, X.; Mitchell, M.A.; O’Brien, R.T.; Garrett, L.D.; Helferich, W.G.; Hoffmann, W.E.; Fan, T.M. Association between absolute tumor burden and serum bone-specific alkaline phosphatase in canine appendicular osteosarcoma. J. Vet. Intern. Med. 2013, 27, 955–963. [Google Scholar] [CrossRef]
- Rodrigues, L.C.; Holmes, K.E.; Thompson, V.; Piskun, C.M.; Lana, S.E.; Newton, M.A.; Stein, T.J. Osteosarcoma tissues and cell lines from patients with differing serum alkaline phosphatase concentrations display minimal differences in gene expression patterns. Vet. Comp. Oncol. 2016, 14, e58–e69. [Google Scholar] [CrossRef]
- Welles, E.G.; Hall, A.S.; Carpenter, D.M. Canine complete blood counts: A comparison of four in-office instruments with the ADVIA 120 and manual differential counts. Vet. Clin. Pathol. 2009, 38, 20–29. [Google Scholar] [CrossRef]
- Friedrichs, K.R.; Harr, K.E.; Freeman, K.P.; Szladovits, B.; Walton, R.M.; Barnhart, K.F.; Blanco-Chavez, J.; American Society for Veterinary Clinical Pathology. ASVCP reference interval guidelines: Determination of de novo reference intervals in veterinary species and other related topics. Vet. Clin. Pathol. 2012, 41, 441–453. [Google Scholar] [CrossRef]
- Biró, A.; Kolozsi, P.; Nagy, A.; Varga, Z.; Káposztás, Z.; Tóth, D. Significance of preoperative blood tests in the prognosis of colorectal cancer: A prospective, multicenter study from Hungary. J. Clin. Lab. Anal. 2022, 36, e24128. [Google Scholar] [CrossRef] [PubMed]
- Khoshbin, A.; Hoit, G.; Nowak, L.L.; Daud, A.; Steiner, M.; Juni, P.; Ravi, B.; Atrey, A. The association of preoperative blood markers with postoperative readmissions following arthroplasty. Bone Jt. Open. 2021, 2, 388–396. [Google Scholar] [CrossRef] [PubMed]




| Parameters | Reference Interval |
|---|---|
| Red blood cells | 5.5–8.5 × 1012/L |
| Hematocrit | 0.37–0.55 L/L |
| Plateletcrit * | 0.1–0.5% |
| Neutrophils | 3–11.5 × 109/L |
| Monocytes | 0.15–1.35 × 109/L |
| Lymphocytes | 1–4.8 × 109/L |
| Platelet count | 200–500 × 109/L |
| Mean Platelet volume | 6.7–11.1 fL |
| Alkaline phosphatase | 0–140 U/L |
| Parameters | Descriptive Statistics | Reported Numbers |
|---|---|---|
| Breed | Number (percentage) |
|
| Age (years) | Median (range) | 8.8 (1.5–13.5) |
| Body weight (kg) | Median (range) | 33 (6.2–54) |
| Sex | Number (percentage) |
|
| Tumor location | Number (percentage) |
|
| Thoracic imaging | Number (percentage) |
|
| Univariable Analysis | Multivariable Analysis | ||||
|---|---|---|---|---|---|
| Cut-Off | HR (95% CI) | p-Value | HR (95% CI) | p-Value | |
| N | 4.37 | 0.33 | <0.001 | 0.28 | 0.001 |
| (0.16–0.64) | (0.13–0.61) | ||||
| M | 0.43 | 0.51 | 0.013 | 0.55 | 0.06 |
| (0.29–0.87) | (0.3–1.02) | ||||
| PLT | 174.5 | 0.34 | 0.003 | - | - |
| (0.16–0.71) | |||||
| MPV | 11.25 | 0.61 | 0.19 | - | - |
| (0.28–1.29) | |||||
| PCT | 0.41 | 0.42 | 0.03 | - | - |
| (0.19–0.95) | |||||
| L | 1.75 | 1.55 | 0.14 | - | - |
| (0.86–2.81) | |||||
| RBC | 7.91 | 2.6 | 0.007 | 3.5 (1.56–7.9) | 0.002 |
| (1.26–5.33) | |||||
| HCT | 53.05 | 2.68 | 0.003 | - | - |
| (1.35–5.3) | |||||
| NLR | 2.88 | 0.55 | 0.04 | - | - |
| (0.3–0.99) | |||||
| LMR | 1.87 | 1.45 | 0.23 | - | - |
| (0.79–2.67) | |||||
| PLR | 158.9 | 0.58 | 0.073 | - | - |
| (0.32–1.06) | |||||
| PNR | 33.08 | 0.51 | 0.06 | - | - |
| (0.25–1.03) | |||||
| PMR | 1065 | 1.46 | 0.23 | - | - |
| (0.78–2.72) | |||||
| NMR | 16.7 | 2.01 | 0.04 | - | - |
| (1.02–3.95) | |||||
| SII | 1243 | 0.63 | 0.09 | - | - |
| (0.37–1.08) | |||||
| Sex | 0.93 | 0.8 | - | - | |
| (Male vs. Female) | (0.54–1.6) | ||||
| AGE | 7.5 | 0.73 | 0.29 | - | - |
| (0.41–1.31) | |||||
| BW | 39.8 | 0.65 | 0.19 | - | - |
| (0.34–1.24) | |||||
| Staging modality | - | 0.75 | 0.4 | - | - |
| (CT vs. XR) | (0.38–1.47) | ||||
| ALP | 133.5 | 1.4 | 0.25 | - | - |
| (0.79–2.51) | |||||
| OSA location | - | 2.25 (1.18–4.3) | 0.01 | 3.0 (1.48–6.1) | 0.002 |
| (Prox. hum vs. other) | |||||
| Amputation to chemotherapy | 14.5 | 0.67 (0.34–1.31) | 0.24 | ||
| Univariable Analysis | Multivariable Analysis | ||||
|---|---|---|---|---|---|
| Cut-Off | HR (95% CI) | p-Value | HR (95% CI) | p-Value | |
| N | 4.44 | 0.27 | <0.001 | 0.29 | 0.002 |
| (0.12–0.6) | (0.13–0.64) | ||||
| M | 0.43 | 0.51 | 0.03 | 0.44 (0.22–0.87) | 0.01 |
| (0.28–0.95) | |||||
| PLT | 305 | 1.47 | 0.22 | - | - |
| (0.79–2.75) | |||||
| MPV | 8.45 | 0.7 | 0.28 | - | - |
| (0.36–1.34) | |||||
| PCT | 0.405 | 0.48 | 0.08 | - | - |
| (0.21–1.1) | |||||
| L | 1.745 | 1.71 | 0.11 | - | - |
| (0.88–3.32) | |||||
| RBC | 7.19 | 0.46 | 0.02 | - | - |
| (0.23–0.92) | |||||
| HCT | 49.05 | 0.52 | 0.08 | - | - |
| (0.25–1.11) | |||||
| NLR | 2.875 | 0.53 (0.27–1.02) | 0.053 | - | - |
| LMR | 1.87 | 1.58 | 0.22 | - | - |
| (0.76–3.32) | |||||
| PLR | 158.9 | 0.68 | 0.28 | - | - |
| (0.34–1.38) | |||||
| PNR | 77.16 | 1.97 | 0.055 | - | - |
| (0.97–3.98) | |||||
| PMR | 1065 | 1.53 | 0.22 | - | - |
| (0.77–3.06) | |||||
| NMR | 12.8 | 0.58 | 0.1 | - | - |
| (0.3–1.11) | |||||
| SII | 1243 | 0.68 | 0.22 | - | - |
| (0.37–1.26) | |||||
| Sex | 1.05 | 0.80 | - | - | |
| (Male vs. Female) | (0.56–1.93) | ||||
| AGE | 8.25 | 0.73 | 0.33 | - | - |
| (0.38–1.39) | |||||
| BW | 25.65 | 1.56 | 0.22 | - | - |
| (0.77–3.17) | |||||
| Staging modality | - | 0.68 | 0.36 | - | - |
| (CT vs. XR) | (0.30–1.55) | ||||
| ALP | 133.5 | 1.42 | 0.3 | - | - |
| (0.73–2.75) | |||||
| OSA location | - | 2.14 (1.02–4.5) | 0.04 | 3.19 (1.42–7.19) | 0.01 |
| (Prox. hum vs. other) | |||||
| Amputation to chemotherapy | 14.5 | 0.61 (0.3–1.28) | 0.19 | ||
Disclaimer/Publisher’s Note: The statements, opinions and data contained in all publications are solely those of the individual author(s) and contributor(s) and not of MDPI and/or the editor(s). MDPI and/or the editor(s) disclaim responsibility for any injury to people or property resulting from any ideas, methods, instructions or products referred to in the content. |
© 2023 by the authors. Licensee MDPI, Basel, Switzerland. This article is an open access article distributed under the terms and conditions of the Creative Commons Attribution (CC BY) license (https://creativecommons.org/licenses/by/4.0/).
Share and Cite
Rigas, K.; Tanis, J.-B.; Morello, E.; Polton, G.; Marconato, L.; Carroll, M.; Ciriano Cerda, E.; Ramos, S.; Baker, C.; Finotello, R. The Prognostic Role of Preoperative Hematological and Inflammatory Indices in Canine Appendicular Osteosarcoma. Vet. Sci. 2023, 10, 495. https://doi.org/10.3390/vetsci10080495
Rigas K, Tanis J-B, Morello E, Polton G, Marconato L, Carroll M, Ciriano Cerda E, Ramos S, Baker C, Finotello R. The Prognostic Role of Preoperative Hematological and Inflammatory Indices in Canine Appendicular Osteosarcoma. Veterinary Sciences. 2023; 10(8):495. https://doi.org/10.3390/vetsci10080495
Chicago/Turabian StyleRigas, Konstantinos, Jean-Benoit Tanis, Emanuela Morello, Gerry Polton, Laura Marconato, Marlon Carroll, EstelLa Ciriano Cerda, Sofia Ramos, Charlotte Baker, and Riccardo Finotello. 2023. "The Prognostic Role of Preoperative Hematological and Inflammatory Indices in Canine Appendicular Osteosarcoma" Veterinary Sciences 10, no. 8: 495. https://doi.org/10.3390/vetsci10080495
APA StyleRigas, K., Tanis, J.-B., Morello, E., Polton, G., Marconato, L., Carroll, M., Ciriano Cerda, E., Ramos, S., Baker, C., & Finotello, R. (2023). The Prognostic Role of Preoperative Hematological and Inflammatory Indices in Canine Appendicular Osteosarcoma. Veterinary Sciences, 10(8), 495. https://doi.org/10.3390/vetsci10080495

