Multiple Roles of the Low-Affinity Calcium Uptake System in Drechslerella dactyloides, a Nematode-Trapping Fungus That Forms Constricting Rings
Abstract
1. Introduction
2. Materials and Methods
2.1. Strains and Growth Conditions
2.2. Sequence and Phylogenetic Analyses of DdaFIG_1 and DdaFIG_2
2.3. RNAi Vector Construction and Transformation
2.4. Extraction of Genomic DNAs and Total RNAs
2.5. Comparison of Mycelial Growth and Conidial Production
2.6. Analyses of Mycelial Growth under Different Stresses
2.7. Measurement of Constricting Ring Formation and Ring Cell Inflation after Introducing Nematodes
2.8. Real-Time PCR (RT-PCR) Analysis
2.9. Statistical Analysis
3. Results
3.1. Identification of Two FIG1 Homologs Encoded by D. dactyloides
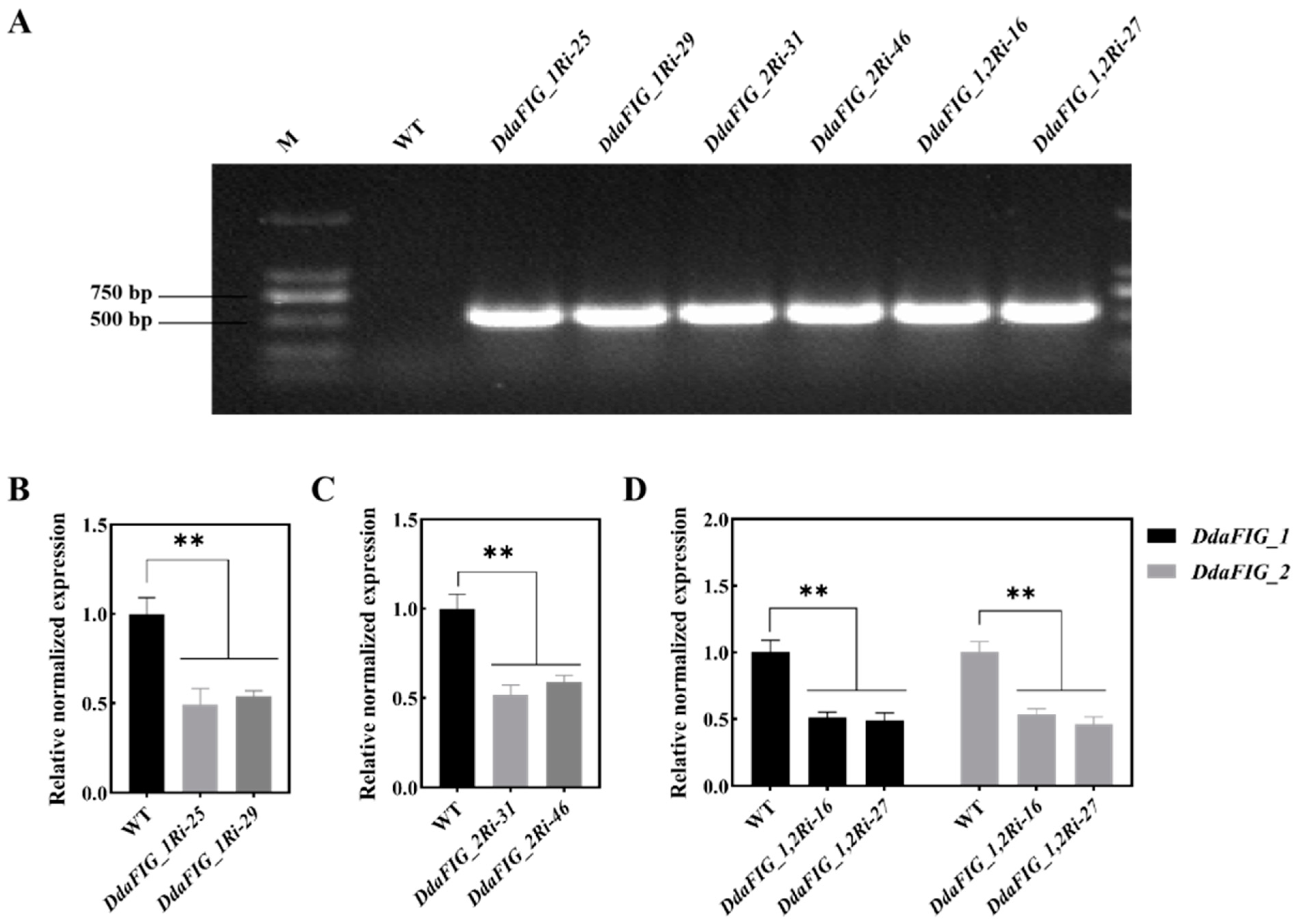
3.2. Suppression of the Expression of DdaFIG_1 and DdaFIG_2, Individually and Simultaneously, via RNAi
3.3. Effects of Knocking Down DdaFIG_1 and DdaFIG_2 on Vegetative Growth and Sporulation
3.4. Effect of Knocking Down DdaFIG_1 and DdaFIG_2 on CR Formation and Ring Cell Inflation
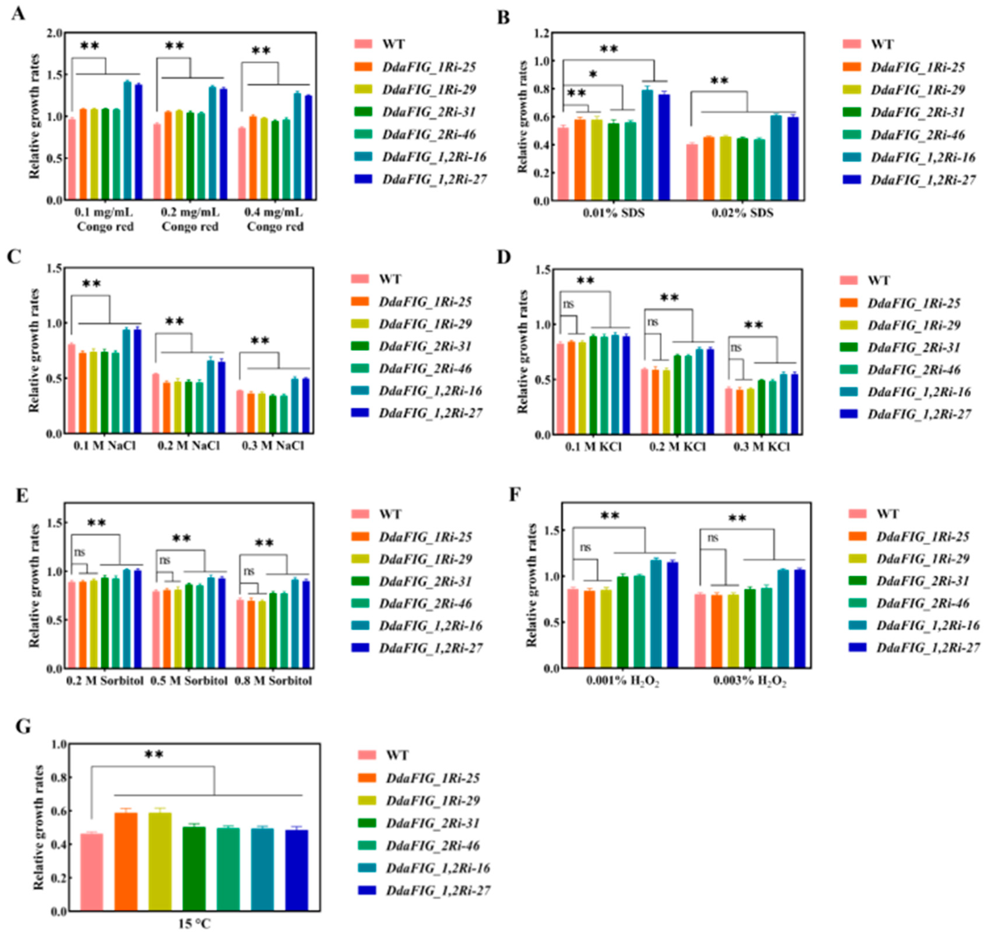
3.5. Effect of Knocking Down DdaFIG_1 and DdaFIG_2 on Abiotic Stress Response
4. Discussion
5. Conclusions
Supplementary Materials
Author Contributions
Funding
Data Availability Statement
Conflicts of Interest
References
- Charpentier, M.; Oldroyd, G.E. Nuclear calcium signaling in plants. Plant Physiol. 2013, 163, 496–503. [Google Scholar] [CrossRef] [PubMed]
- Zheng, L.; Mackrill, J.J. Calcium signaling in Oomycetes: An evolutionary perspective. Front. Physiol. 2016, 7, 123. [Google Scholar] [CrossRef] [PubMed]
- Li, Y.; Zhang, Y.W.; Zhang, C.; Wang, H.C.; Wei, X.L.; Chen, P.Y.; Lu, L. Mitochondrial dysfunctions trigger the calcium signaling-dependent fungal multidrug resistance. Proc. Natl. Acad. Sci. USA 2020, 117, 1711–1721. [Google Scholar] [CrossRef] [PubMed]
- Muller, E.M.; Locke, E.G.; Cunningham, K.W. Differential regulation of two Ca(2+) influx systems by pheromone signaling in Saccharomyces cerevisiae. Genetics 2001, 159, 1527–1538. [Google Scholar] [CrossRef]
- Yang, M.; Brand, A.; Srikantha, T.; Daniels, K.J.; Soll, D.R.; Gow, N.A. Fig1 facilitates calcium influx and localizes to membranes destined to undergo fusion during mating in Candida albicans. Eukaryot. Cell 2011, 10, 435–444. [Google Scholar] [CrossRef]
- Levin, D.E. Cell wall integrity signaling in Saccharomyces cerevisiae. Microbiol. Mol. Bio. Rev. 2005, 69, 262–291. [Google Scholar] [CrossRef]
- Muller, E.M.; Mackin, N.A.; Erdman, S.E.; Cunningham, K.W. Fig1p facilitates Ca2+ influx and cell fusion during mating of Saccharomyces cerevisiae. J. Biol. Chem. 2003, 278, 38461–38469. [Google Scholar] [CrossRef]
- Kim, H.S.; Kim, J.E.; Son, H.; Frailey, D.; Cirino, R.; Lee, Y.W.; Duncan, R.; Czymmek, K.J.; Kang, S. Roles of three Fusarium graminearum membrane Ca2+ channels in the formation of Ca2+ signatures, growth, development, pathogenicity and mycotoxin production. Fungal. Genet. Biol. 2018, 111, 30–46. [Google Scholar] [CrossRef]
- Cavinder, B.; Trail, F. Role of Fig1, a component of the low-affinity calcium uptake system, in growth and sexual development of filamentous fungi. Eukaryot. Cell 2012, 11, 978–988. [Google Scholar] [CrossRef]
- Qian, H.; Chen, Q.Y.; Zhang, S.Z.; Lu, L. The Claudin family protein FigA mediates Ca(2+) homeostasis in response to extracellular stimuli in Aspergillus nidulans and Aspergillus fumigatus. Front. Microbiol. 2018, 9, 977. [Google Scholar] [CrossRef]
- Meerupati, T.; Andersson, K.M.; Friman, E.; Kumar, D.; Tunlid, A.; Ahrén, D. Genomic mechanisms accounting for the adaptation to parasitism in nematode-trapping fungi. PLoS Genet. 2013, 9, e1003909. [Google Scholar] [CrossRef] [PubMed]
- Su, H.; Zhao, Y.; Zhou, J.; Feng, H.; Jiang, D.; Zhang, K.Q.; Yang, J.K. Trapping devices of nematode-trapping fungi: Formation, evolution, and genomic perspectives. Biol. Rev. Camb. Philos. Soc. 2017, 92, 357–368. [Google Scholar] [CrossRef] [PubMed]
- Ahrén, D.; Tholander, M.; Fekete, C.; Rajashekar, B.; Friman, E.; Johansson, T.; Tunlid, A. Comparison of gene expression in trap cells and vegetative hyphae of the nematophagous fungus Monacrosporium haptotylum. Microbiology 2005, 151, 789–803. [Google Scholar] [CrossRef] [PubMed][Green Version]
- Liu, K.K.; Zhang, W.W.; Lai, Y.L.; Xiang, M.C.; Wang, X.N.; Zhang, X.Y.; Liu, X.Z. Drechslerella stenobrocha genome illustrates the mechanism of constricting rings and the origin of nematode predation in fungi. BMC Genom. 2014, 15, 114. [Google Scholar] [CrossRef] [PubMed]
- Andersson, K.M.; Kumar, D.; Bentzer, J.; Friman, E.; Ahrén, D.; Tunlid, A. Interspecific and host-related gene expression patterns in nematode-trapping fungi. BMC Genom. 2014, 15, 968. [Google Scholar] [CrossRef]
- Khan, A.; Williams, K.L.; Soon, J.; Nevalainen, H.K.M. Proteomic analysis of the knob-producing nematode-trapping fungus Monacrosporium lysipagum. Mycol. Res. 2008, 112, 1447–1452. [Google Scholar] [CrossRef]
- Andersson, K.M.; Meerupati, T.; Levander, F.; Friman, E.; Ahrén, D.; Tunlid, A. Proteome of the nematode-trapping cells of the fungus Monacrosporium haptotylum. Appl. Environ. Microbiol. 2013, 79, 4993–5004. [Google Scholar] [CrossRef]
- Yang, J.K.; Wang, L.; Ji, X.L.; Feng, Y.; Li, X.M.; Zou, C.G.; Xu, J.P.; Ren, Y.; Mi, Q.L.; Wu, J.L.; et al. Genomic and proteomic analyses of the fungus Arthrobotrys oligospora provide insights into nematode-trap formation. PLoS Pathog. 2011, 7, e1002179. [Google Scholar] [CrossRef]
- Wang, B.L.; Chen, Y.H.; He, J.N.; Xue, H.X.; Yan, N.; Zeng, Z.J.; Bennett, J.W.; Zhang, K.Q.; Niu, X.M. Integrated metabolomics and morphogenesis reveal volatile signaling of the nematode-trapping fungus Arthrobotrys oligospora. Appl. Environ. Microbiol. 2018, 84, e02749. [Google Scholar] [CrossRef]
- Zhang, W.W.; Hu, C.C.; Hussain, M.; Chen, J.Z.; Xiang, M.C.; Liu, X.Z. Role of Low-affinity calcium system member Fig1 homologous proteins in conidiation and trap-formation of nematode-trapping fungus Arthrobotrys oligospora. Sci. Rep. 2019, 9, 4440. [Google Scholar] [CrossRef]
- Zhao, X.Z.; Fan, Y.N.; Zhang, W.W.; Xiang, M.C.; Kang, S.C.; Wang, S.X.; Liu, X.Z. DhFIG_2, a gene of nematode-trapping fungus Dactylellina haptotyla that encodes a component of the low-affinity calcium uptake system, is required for conidiation and knob-trap formation. Fungal. Genet. Biol. 2023, 166, 103782. [Google Scholar] [CrossRef] [PubMed]
- Fan, Y.N.; Zhang, W.W.; Chen, Y.; Xiang, M.C.; Liu, X.Z. DdaSTE12 is involved in trap formation, ring inflation, conidiation, and vegetative growth in the nematode-trapping fungus Drechslerella dactyloides. Appl. Microbiol. Biot. 2021, 105, 7379–7393. [Google Scholar] [CrossRef] [PubMed]
- Zhao, X.Z.; Fan, Y.N.; Xiang, M.C.; Kang, S.C.; Wang, S.X.; Liu, X.Z. DdaCrz1, a C2H2-Type transcription factor, regulates growth, conidiation, and stress resistance in the nematode-trapping fungus Drechslerella dactyloides. J. Fungi 2022, 8, 750. [Google Scholar] [CrossRef] [PubMed]
- Chen, Y.; Liu, J.; Fan, Y.N.; Xiang, M.C.; Kang, S.C.; Wei, D.S.; Liu, X.Z. SNARE protein DdVam7 of the nematode-trapping fungus Drechslerella dactyloides regulates vegetative growth, conidiation, and the predatory process via vacuole assembly. Microbiol. Spectr. 2022, 10, e0187222. [Google Scholar] [CrossRef]
- Wang, S.X.; Liu, X.Z. Tools and basic procedures of gene manipulation in nematode-trapping fungi. Mycology 2023, 14, 75–90. [Google Scholar] [CrossRef]
- Marcone, C. Comparison of different procedures for DNA extraction for poutine diagnosis of phytoplasmas. Methods Mol. Biol. 2019, 1875, 71–81. [Google Scholar] [CrossRef]
- Meng, L.; Feldman, L. A rapid TRIzol-based two-step method for DNA-free RNA extraction from Arabidopsis siliques and dry seeds. Biotechnol. J. 2010, 5, 183–186. [Google Scholar] [CrossRef]
- Livak, K.J.; Schmittgen, T.D. Analysis of relative gene expression data using real-time quantitative PCR and the 2(-Delta Delta C(T)) method. Methods 2001, 25, 402–408. [Google Scholar] [CrossRef]
- Chen, Y.L.; Gao, Y.; Zhang, K.Q.; Zou, C.G. Autophagy is required for trap formation in the nematode-trapping fungus Arthrobotrys oligospora. Environ. Microbiol. Rep. 2013, 5, 511–517. [Google Scholar] [CrossRef]
- Liu, Q.Q.; Li, D.N.; Jiang, K.X.; Zhang, K.Q.; Yang, J.K. AoPEX1 and AoPEX6 are required for mycelial growth, conidiation, stress response, fatty acid utilization, and trap formation in Arthrobotrys oligospora. Microbiol. Spectr. 2022, 10, e0027522. [Google Scholar] [CrossRef]
- Kuo, C.Y.; Chen, S.A.; Hsueh, Y.P. The high osmolarity glycerol (HOG) pathway functions in osmosensing, trap morphogenesis and conidiation of the nematode-trapping fungus Arthrobotrys oligospora. J. Fungi 2020, 6, 191. [Google Scholar] [CrossRef] [PubMed]
- Yang, C.-T.; de Ulzurrun, G.V.-D.; Gonçalves, A.P.; Lin, H.-C.; Chang, C.-W.; Huang, T.-Y.; Chen, S.-A.; Lai, C.-K.; Tsai, I.J.; Schroeder, F.C.; et al. Natural diversity in the predatory behavior facilitates the establishment of a robust model strain for nematode-trapping fungi. Proc. Natl. Acad. Sci. USA 2020, 117, 6762–6770. [Google Scholar] [CrossRef] [PubMed]
- Jiang, K.X.; Liu, Q.Q.; Bai, N.; Zhu, M.C.; Zhang, K.Q.; Yang, J.K. AoSsk1, a response regulator required for mycelial growth and development, stress responses, trap formation, and the secondary metabolism in Arthrobotrys oligospora. J. Fungi 2022, 8, 260. [Google Scholar] [CrossRef] [PubMed]
- Liang, L.M.; Liu, Z.H.; Liu, L.; Li, J.Z.; Gao, H.; Yang, J.K.; Zhang, K.Q. The nitrate assimilation pathway is involved in the trap formation of Arthrobotrys oligospora, a nematode-trapping fungus. Fungal Genet. Biol. 2016, 92, 33–39. [Google Scholar] [CrossRef]
- Yang, L.; Li, X.M.; Bai, N.; Yang, X.W.; Zhang, K.Q.; Yang, J.K. Transcriptomic analysis reveals that Rho GTPases regulate trap development and lifestyle transition of the nematode-trapping fungus Arthrobotrys oligospora. Microbiol. Spectr. 2022, 10, e0175921. [Google Scholar] [CrossRef]
- Ma, N.; Jiang, K.X.; Bai, N.; Li, D.N.; Zhang, K.Q.; Yang, J.K. Functional analysis of two affinity cAMP phosphodiesterase in the nematode-trapping fungus Arthrobotrys oligospora. Pathogens 2022, 11, 405. [Google Scholar] [CrossRef]
- Zhang, W.W.; Chen, J.Z.; Fan, Y.N.; Hussain, M.; Liu, X.Z.; Xiang, M.C. The E3-ligase AoUBR1 in N-end rule pathway is involved in the vegetative growth, secretome, and trap formation in Arthrobotrys oligospora. Fungal Biol. 2021, 125, 532–540. [Google Scholar] [CrossRef]
- Liu, Y.K.; Yang, X.W.; Zhu, M.C.; Bai, N.; Wang, W.J.; Yang, J.K. Involvement of AoMdr1 in the regulation of the fluconazole resistance, mycelial fusion, conidiation, and trap formation of Arthrobotrys oligospora. Microorganisms 2023, 11, 1612. [Google Scholar] [CrossRef]
- Wang, S.; Cao, J.L.; Liu, X.; Hu, H.Q.; Shi, J.; Zhang, S.Z.; Keller, N.P.; Lu, L. Putative calcium channels CchA and MidA play the important roles in conidiation, hyphal polarity and cell wall components in Aspergillus nidulans. PLoS ONE 2012, 7, e46564. [Google Scholar] [CrossRef]
- Yu, Q.L.; Wang, F.; Zhao, Q.; Chen, J.T.; Zhang, B.; Ding, X.H.; Wang, H.; Yang, B.P.; Lu, G.Q.; Zhang, B.; et al. A novel role of the vacuolar calcium channel Yvc1 in stress response, morphogenesis and pathogenicity of Candida albicans. Int. J. Med. Microbiol. 2014, 304, 339–350. [Google Scholar] [CrossRef]
- Fan, W.H.; Idnurm, A.; Breger, J.; Mylonakis, E.; Heitman, J. Eca1, a sarcoplasmic/endoplasmic reticulum Ca2+-ATPase, is involved in stress tolerance and virulence in Cryptococcus neoformans. Infect. Immun. 2007, 75, 3394–3405. [Google Scholar] [CrossRef] [PubMed]
- Bates, S.; MacCallum, D.M.; Bertram, G.; Munro, C.A.; Hughes, H.B.; Buurman, E.T.; Brown, A.J.; Odds, F.C.; Gow, N.A. Candida albicans Pmr1p, a secretory pathway P-type Ca2+/Mn2+-ATPase, is required for glycosylation and virulence. J. Biol. Chem. 2005, 280, 23408–25415. [Google Scholar] [CrossRef] [PubMed]
- Cui, J.J.; Kaandorp, J.A.; Ositelu, O.O.; Beaudry, V.; Knight, A.; Nanfack, Y.F.; Cunningham, K.W. Simulating calcium influx and free calcium concentrations in yeast. Cell Calcium 2009, 45, 123–232. [Google Scholar] [CrossRef]
- Espeso, E.A. The CRaZy Calcium Cycle. Adv. Exp. Med. Biol. 2016, 892, 169–186. [Google Scholar] [CrossRef] [PubMed]
- Eamim, D.S.; Julia, C.V.R.; Heryk, M.; Andrea, T.; Livia, K. Calcium: A central player in Cryptococcus biology. Fungal Biol. Rev. 2021, 36, 27–41. [Google Scholar] [CrossRef]
- Cruz, M.C.; Fox, D.S.; Heitman, J. Calcineurin is required for hyphal elongation during mating and haploid fruiting in Cryptococcus neoformans. EMBO J. 2001, 20, 1020–1032. [Google Scholar] [CrossRef]
- Cramer, R.A., Jr.; Perfect, B.Z.; Pinchai, N.; Park, S.; Perlin, D.S.; Asfaw, Y.G.; Heitman, J.; Perfect, J.R.; Steinbach, W.J. Calcineurin target CrzA regulates conidial germination, hyphal growth, and pathogenesis of Aspergillus fumigatus. Eukaryot. Cell 2008, 7, 1085–1097. [Google Scholar] [CrossRef]





Disclaimer/Publisher’s Note: The statements, opinions and data contained in all publications are solely those of the individual author(s) and contributor(s) and not of MDPI and/or the editor(s). MDPI and/or the editor(s) disclaim responsibility for any injury to people or property resulting from any ideas, methods, instructions or products referred to in the content. |
© 2023 by the authors. Licensee MDPI, Basel, Switzerland. This article is an open access article distributed under the terms and conditions of the Creative Commons Attribution (CC BY) license (https://creativecommons.org/licenses/by/4.0/).
Share and Cite
Zhao, X.; Fan, Y.; Zhang, L.; Zhang, W.; Xiang, M.; Kang, S.; Wang, S.; Liu, X. Multiple Roles of the Low-Affinity Calcium Uptake System in Drechslerella dactyloides, a Nematode-Trapping Fungus That Forms Constricting Rings. J. Fungi 2023, 9, 975. https://doi.org/10.3390/jof9100975
Zhao X, Fan Y, Zhang L, Zhang W, Xiang M, Kang S, Wang S, Liu X. Multiple Roles of the Low-Affinity Calcium Uptake System in Drechslerella dactyloides, a Nematode-Trapping Fungus That Forms Constricting Rings. Journal of Fungi. 2023; 9(10):975. https://doi.org/10.3390/jof9100975
Chicago/Turabian StyleZhao, Xiaozhou, Yani Fan, Liao Zhang, Weiwei Zhang, Meichun Xiang, Seogchan Kang, Shunxian Wang, and Xingzhong Liu. 2023. "Multiple Roles of the Low-Affinity Calcium Uptake System in Drechslerella dactyloides, a Nematode-Trapping Fungus That Forms Constricting Rings" Journal of Fungi 9, no. 10: 975. https://doi.org/10.3390/jof9100975
APA StyleZhao, X., Fan, Y., Zhang, L., Zhang, W., Xiang, M., Kang, S., Wang, S., & Liu, X. (2023). Multiple Roles of the Low-Affinity Calcium Uptake System in Drechslerella dactyloides, a Nematode-Trapping Fungus That Forms Constricting Rings. Journal of Fungi, 9(10), 975. https://doi.org/10.3390/jof9100975

