Acetaminophen Adsorption on Carbon Materials from Citrus Waste
Abstract
1. Introduction
2. Materials and Methods
2.1. Raw Materials
2.2. Synthesis of Biochar and Carbon Adsorbents
2.3. Characterization
2.4. Adsorption Tests
3. Results and Discussion
3.1. Precursor Characterization
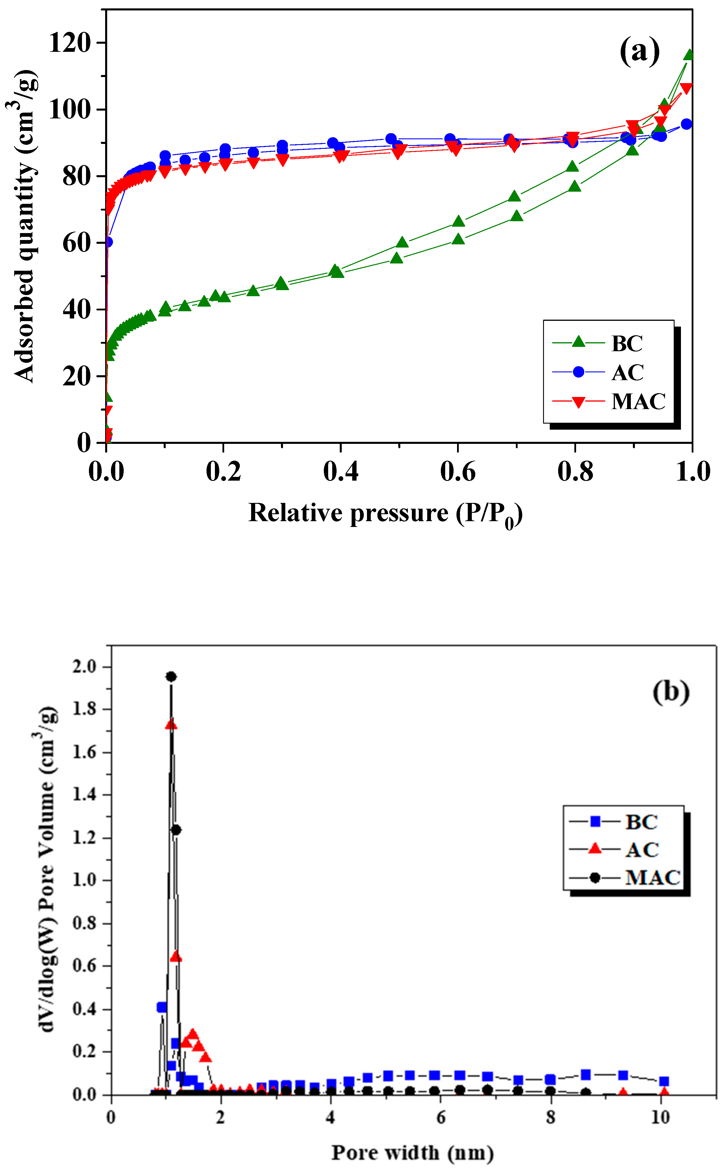
3.2. Adsorbents Characterization
3.3. Acetaminophen Adsorption
3.3.1. Adsorption Kinetics
3.3.2. Adsorption Equilibrium and Thermodynamics
4. Conclusions
Author Contributions
Funding
Data Availability Statement
Acknowledgments
Conflicts of Interest
References
- Capanoglu, E.; Nemli, E.; Tomas-Barberan, F. Novel approaches in the valorization of agricultural wastes and their applications. J. Agric. Food Chem. 2022, 70, 6787–6804. [Google Scholar] [CrossRef]
- Ahmadian, A.; Goharrizi, B.A.; Shahriari, T.; Ahmadi, S. Adsorption of chromium (VI) and Acid Orange 7 on lemon peel biochar: A response surface methodology approach. Int. J. Environ. Sci. Technol. 2023, 20, 2939–2958. [Google Scholar] [CrossRef]
- Aljeboree, A.M.; Alshirifi, A.N.; Alkaim, A.F. Kinetics and equilibrium study for the adsorption of textile dyes on coconut shell activated carbon. Arab. J. Chem. 2017, 10, S3381–S3393. [Google Scholar] [CrossRef]
- Balakrishna, K.; Rath, A.; Praveenkumarreddy, Y.; Guruge, K.S.; Subedi, B. A review of the occurrence of pharmaceuticals and personal care products in indian water bodies. Ecotoxicol. Environ. Saf. 2017, 137, 113–120. [Google Scholar] [CrossRef]
- da Silva, M.D.; Schnorr, C.; Lütke, S.F.; Silva, L.F.O.; Manera, C.; Perondi, D.; Godinho, M.; Collazzo, G.C.; Dotto, G.L. Citrus fruit residues as alternative precursors to developing H2O and CO2 activated carbons and its application for Cu(II) adsorption. Environ. Sci. Pollut. Res. 2023, 30, 63661–63677. [Google Scholar] [CrossRef]
- Kumar, L.; Yadav, V.; Yadav, M.; Saini, N.; Jagannathan, K.; Murugesan, V.; Ezhilsevi, V. Systematic studies on the effect of structural modification of orange peel for remediation of phenol contaminated water. Water Environ. Res. 2023, 95, e10872. [Google Scholar] [CrossRef]
- Awogbemi, O.; Kallon, D.V.V. Pretreatment techniques for agricultural waste. Case Stud. Chem. Environ. Eng. 2022, 6, 100229. [Google Scholar] [CrossRef]
- Tran, H.N.; Tomul, F.; Ha, N.T.H.; Nguyen, D.T.; Lima, E.C.; Le, G.T.; Chang, C.T.; Masindi, V.; Woo, S.H. Innovative spherical biochar for pharmaceutical removal from water: Insight into adsorption mechanism. J. Hazard. Mater. 2020, 394, 122255. [Google Scholar] [CrossRef]
- Chakraborty, R.; Pradhan, M.; Nayak, A.K.; Nayak, A.K. Recent advancement of biomass-derived porous carbon based materials for energy and environmental remediation applications. J. Mater. Chem. 2022, 10, 6965–7005. [Google Scholar]
- Patel, M.; Kumar, R.; Pittman, C.U., Jr.; Mohan, D. Ciprofloxacin and acetaminophen sorption onto banana peel biochars: Environmental and process parameter influences. Environ. Res. 2021, 201, 111218. [Google Scholar] [CrossRef]
- Verma, L.; Siddiquea, M.A.; Singh, J.; Bharagava, R.N. As(III) and As(V) removal by using iron impregnated biosorbents derived from waste biomass of Citrus limmeta (peel and pulp) from the aqueous solution and ground water. J. Environ. Manag. 2019, 250, 109452. [Google Scholar] [CrossRef]
- Babu, S.; Rathore, S.S.; Singh, R.; Kumar, S.; Singh, V.K.; Yadav, S.K.; Yadav, V.; Raj, R.; Yadav, D.; Shekhawat, K.; et al. Exploring agricultural waste biomass for energy, food and feed production and pollution mitigation: A review. Bioresour. Technol. 2022, 360, 127566. [Google Scholar] [CrossRef]
- Marsh, H.; Rodríguez-Reinoso, F. Activated Carbon; Elsevier Ltd.: Amsterdam, The Netherlands, 2006; ISBN 9780080444635. [Google Scholar]
- Bedia, J.; Peñas-Garzón, M.; Gómez-Avilés, A.; Rodriguez, J.J.; Belver, C. Review on Activated Carbons by Chemical Activation with FeCl3. J. Carbon Res. 2020, 6, 21. [Google Scholar] [CrossRef]
- Gomez-Aviles, A.; Penas-Garzon, M.; Belver, C.; Rodriguez, J.J.; Bedia, J. Equilibrium, kinetics and breakthrough curves of acetaminophen adsorption onto activated carbons from microwave-assisted FeCl3-activation of lignin. Sep. Purif. Technol. 2022, 278, 119654. [Google Scholar] [CrossRef]
- Cesano, F.; Cravanzola, S.; Brunella, V.; Damin, A.; Scarano, D. From Polymer to Magnetic Porous Carbon Spheres: Combined Microscopy, Spectroscopy, and Porosity Studies. Front. Mater. 2019, 6, 84. [Google Scholar] [CrossRef]
- Demarchi, C.A.; Michel, B.S.; Nedelko, N.; S’lawska-Waniewska, A.; Dłuzewski, P.; Kaleta, A.; Minikayev, R.; Strachowski, T.; Lipinska, L.; Dal Magro, J.; et al. Preparation, characterization, and application of magnetic activated carbon from termite feces for the adsorption of Cr(VI) from aqueous solutions. Powder Technol. 2019, 354, 432–441. [Google Scholar] [CrossRef]
- Holmes, A.M.; Mackenzie, L.; Roberts, M.S. Disposition and measured toxicity of zinc oxide nanoparticles and zinc ions against keratinocytes in cell culture and viable human epidermis. Nanotoxicology 2020, 14, 263–274. [Google Scholar] [CrossRef]
- Ye, N.; Wang, Z.; Wang, S.; Peijnenburg, W.J.G.M. Toxicity of mixtures of zinc oxide and graphene oxide nanoparticles to aquatic organisms of different trophic level: Particles outperform dissolved ions. Nanotoxicology 2018, 12, 423–438. [Google Scholar] [CrossRef]
- Xu, Z.; Sun, Z.; Zhou, Y.; Chen, W.; Zhang, T.; Huang, Y.; Zhang, D. Insights into the pyrolysis behavior and adsorption properties of activated carbon from waste cotton textiles by FeCl3-activation. Colloids Surf. A Physicochem. Eng. Asp. 2019, 582, 123934. [Google Scholar] [CrossRef]
- Xu, Z.; Zhou, Y.; Sun, Z.; Zhang, D.; Huang, Y.; Gu, S.; Chen, W. Understanding reactions and pore-forming mechanisms between waste cotton woven and FeCl3 during the synthesis of magnetic activated carbon. Chemosphere 2020, 241, 125120. [Google Scholar] [CrossRef]
- Bansal, R.C.; Goyal, M. Activated Carbon Adsorption; CRC Press: Boca Raton, FL, USA, 2005; ISBN 9781420028812. [Google Scholar]
- Palomo, J.; Rodríguez-Cano, M.A.; Rodríguez-Mirasol, J.; Cordero, T. On the kinetics of methanol dehydration to dimethyl ether on Zr-loaded P-containing mesoporous activated carbon catalyst. Chem. Eng. J. 2019, 378, 122198. [Google Scholar] [CrossRef]
- Fang, R.; Huang, H.; Ji, J.; He, M.; Feng, Q.; Zhan, Y.; Leung, D.Y.C. Effcient MnOx supported on coconut shell activated carbon for catalytic oxidation of indoor formaldehyde at room temperature. Chem. Eng. J. 2018, 334, 2050–2057. [Google Scholar] [CrossRef]
- Bedia, J.; Ruiz-Rosas, R.; Rodríguez-Mirasol, J.; Cordero, T. Kinetic study of the decomposition of 2-butanol on carbon-based acid catalyst. AIChE J. 2010, 56, 1557–1568. [Google Scholar] [CrossRef]
- Valero-Romero, M.J.; Calvo-Muñoz, E.M.; Ruiz-Rosas, R.; Rodríguez-Mirasol, J.; Cordero, T. Phosphorus-Containing Mesoporous Carbon Acid Catalyst for Methanol Dehydration to Dimethyl Ether. Ind. Eng. Chem. Res. 2019, 58, 4042–4053. [Google Scholar] [CrossRef]
- Chen, C.; Mi, S.; Lao, D.; Shi, P.; Tong, Z.; Li, Z.; Hu, H. Single-step synthesis of eucalyptus sawdust magnetic activated carbon and its adsorption behavior for methylene blue. RSC Adv. 2019, 9, 22248–22262. [Google Scholar] [CrossRef]
- Tian, D.; Xu, Z.; Zhang, D.; Chen, W.; Cai, J.; Deng, H.; Sun, Z.; Zhou, Y. Micro–mesoporous carbon from cotton waste activated by FeCl3/ZnCl2: Preparation, optimization, characterization and adsorption of methylene blue and eriochrome black T. J. Solid State Chem. 2019, 269, 580–587. [Google Scholar] [CrossRef]
- Cazetta, A.L.; Pezoti, O.; Bedin, K.C.; Silva, T.L.; Paesano Junior, A.; Asefa, T.; Almeida, V.C. Magnetic Activated Carbon Derived from Biomass Waste by Concurrent Synthesis: Efficient Adsorbent for Toxic Dyes. ACS Sustain. Chem. Eng. 2016, 4, 1058–1068. [Google Scholar] [CrossRef]
- Ahmed, M.J.; Theydan, S.K. Adsorptive removal of p-nitrophenol on microporous activated carbon by FeCl3 activation: Equilibrium and kinetics studies. Desalin. Water Treat. 2015, 55, 522–531. [Google Scholar] [CrossRef]
- Mojoudi, N.; Soleimani, M.; Mirghaffari, N.; Belver, C.; Bedia, J. Removal of phenol and phosphate from aqueous solutions using activated carbons prepared from oily sludge through physical and chemical activation. Water Sci. Technol. 2019, 80, 575–586. [Google Scholar] [CrossRef]
- Qiu, L.; Suo, C.; Zhang, N.; Yuan, R.; Chen, H.; Zhou, B. Adsorption of heavy metals by activated carbon: Effect of natural organic matter and regeneration methods of the adsorbent. Desal. Water Treat. 2022, 252, 148–166. [Google Scholar] [CrossRef]
- Sultana, M.; Rownok, M.H.; Sabrin, M.; Rahaman, M.H.; Nur Alam, S.M. A review on experimental chemically modified activated carbon to enhance dye and heavy metals adsorption. Clean. Eng. Technol. 2022, 6, 100382. [Google Scholar] [CrossRef]
- Kumar, A.; Patra, C.; Kumar Rajendran, H.; Narayanasamy, S. Activated carbon-chitosan based adsorbent for the efficient removal of the emerging contaminant diclofenac: Synthesis, characterization and phytotoxicity studies. Chemosphere 2022, 307, 135806. [Google Scholar] [CrossRef]
- Sellaoui, L.; Gomez-Aviles, A.; Dhaouadi, F.; Bedia, J.; Bonilla-Petriciolet, A.; Rtimi, S.; Belver, C. Adsorption of emerging pollutants on lignin-based activated carbon: Analysis of adsorption mechanism via characterization, kinetics and equilibrium studies. Chem. Eng. J. 2023, 452, 139399. [Google Scholar] [CrossRef]
- Peña-Guzman, C.; Ulloa-Sanchez, S.; Mora, K.; Helena-Bustos, R.; Lopez-Barrera, E.; Alvarez, J.; Rodriguez-Pinzon, M. Emerging pollutants in the urban water cycle in Latin America: A review of the current literature. J. Environ. Manag. 2019, 237, 408–423. [Google Scholar] [CrossRef]
- Farre, M.; Perez, S.; Kantiani, L.; Barcelo, D. Fate and toxicity of emerging pollutants, their metabolites and transformation products in the aquatic environment. TrAC Trends Anal. Chem. 2008, 27, 991–1007. [Google Scholar] [CrossRef]
- Fu, K.; Yue, Q.; Gao, B.; Sun, Y.; Wang, Y.; Li, Q.; Zhao, P.; Chen, S. Physicochemical and adsorptive properties of activated carbons from Arundo donax Linn utilizing different iron salts as activating agents. J. Taiwan Inst. Chem. Eng. 2014, 45, 3007–3015. [Google Scholar] [CrossRef]
- Bedia, J.; Belver, C.; Ponce, S.; Rodriguez, J.; Rodriguez, J.J. Adsorption of antipyrine by activated carbons from FeCl3-activation of Tara gum. Chem. Eng. J. 2018, 333, 58–65. [Google Scholar] [CrossRef]
- Diaz, E.; Manzano, F.J.; Villamil, J.; Rodriguez, J.J.; Mohedano, A.F. Low-Cost Activated Grape Seed-Derived Hydrochar through Hydrothermal Carbonization and Chemical Activation for Sulfamethoxazole Adsorption. Appl. Sci. 2019, 9, 5127. [Google Scholar] [CrossRef]
- Lima, D.R.; Hosseini-Bandegharaei, A.; Thue, P.S.; Lima, E.C.; de Albuquerque, Y.R.T.; dos Reis, G.S.; Umpierres, C.S.; Dias, S.L.P.; Tran, H.N. Efficient acetaminophen removal from water and hospital effluents treatment by activated carbons derived from Brazil nutshells. Colloids Surf. A 2019, 583, 123966. [Google Scholar] [CrossRef]
- Murray, K.E.; Thomas, S.M.; Boduor, A.A. Prioritizing research for trace pollutants and emerging contaminants in the freshwater environment. Environ. Pollut. 2010, 158, 3462–3471. [Google Scholar] [CrossRef]
- Islam, M.A.; Nazal, M.K.; Sajidm, M.; Suliman, M.A. Adsorptive removal of paracetamol from aqueous media: A review of adsorbent materials, adsorption mechanisms, advancements, and future perspectives. J. Mol. Liq. 2024, 396, 123976. [Google Scholar] [CrossRef]
- Aus der Beek, T.; Weber, F.A.; Bergmann, A.; Hickmann, S.; Ebert, I.; Hein, A.; Küster, A. Pharmaceuticals in the environment—Global occurrences and perspectives. Environ. Toxicol. Chem. 2016, 35, 823–835. [Google Scholar] [CrossRef]
- Barasarathi, J.; Abdullah, P.S.; Uche, E.C. Application of magnetic carbon nanocomposite from agro-waste for the removal of pollutants from water and wastewater. Chemosphere 2022, 305, 135384. [Google Scholar] [CrossRef]
- Kleywegt, S.; Payne, M.; Ng, F.; Fletcher, T. Environmental loadings of active pharmaceutical ingredients from manufacturing facilities in Canada. Sci. Total Environ. 2019, 646, 257–264. [Google Scholar] [CrossRef]
- Nguyen, D.V.; Nguyen, H.M.; Bui, Q.L.N.; Do, T.V.T.; Lam, H.H.; Tran-Thuy, T.-M.; Nguyen, L.Q. Magnetic Activated Carbon from ZnCl2 and FeCl3 Coactivation of Lotus Seedpod: One-Pot Preparation, Characterization, and Catalytic Activity towards Robust Degradation of Acid Orange 10. Bioinorg. Chem. Appl. 2023, 2023, 3848456. [Google Scholar] [CrossRef]
- Jagiello, J.; Ania, C.; Parra, J.B.; Cook, C. Dual gas analysis of microporous carbons using 2D-NLDFT heterogeneous surface model and combined adsorption data of N2 and CO2. Carbon 2015, 91, 330–337. [Google Scholar] [CrossRef]
- Issa, A.A.; Al-Degs, Y.S.; Al-Ghouti, M.A.; Olimat, A.A.M. Studying competitive sorption behavior of methylene blue and malachite green using multivariate calibration. Chem. Eng. J. 2014, 240, 554–564. [Google Scholar] [CrossRef]
- Aboli, E.; Jafari, D.; Esmaeili, H. Heavy metal ions (lead, cobalt, and nickel) biosorption from aqueous solution onto activated carbon prepared from Citrus limetta leaves. Carbon Lett. 2020, 30, 683–698. [Google Scholar] [CrossRef]
- Chaudhary, H.; Dinakaran, J.; Notup, T.; Vikram, K.; Rao, K.S. Comparison of Adsorption Performance of Biochar Derived from Urban Biowaste Materials for Removal of Heavy Metals. Environ. Manag. 2024, 73, 408–424. [Google Scholar] [CrossRef]
- Lee, S.-M.; Lee, S.-H.; Roh, J.-S. Analysis of Activation Process of Carbon Black Based on Structural Parameters Obtained by XRD Analysis. Crystals 2021, 11, 153. [Google Scholar] [CrossRef]
- Depci, T. Comparison of activated carbon and iron impregnated activated carbon derived from Golbasi lignite to remove cyanide from water. Chem. Eng. J. 2012, 181, 467–478. [Google Scholar] [CrossRef]
- Anyika, C.; Asri, N.A.M.; Majid, Z.A.; Yahya, A.; Jaafar, J. Synthesis and characterization of magnetic activated carbon developed from palm kernel shells. Nanotechnol. Environ. Eng. 2017, 2, 16. [Google Scholar] [CrossRef]
- Ibrahim, M.; Siddiqe, A.; Verma, L.; Singh, J.; Koduru, J.R. Adsorptive removal of fluoride from aqueous solution by biogenic iron permeated activated carbon derived from sweet lime waste. Acta Chim. Slov. 2019, 66, 123–135. [Google Scholar] [CrossRef]
- Lunge, S.; Singh, S.; Sinha, A. Magnetic iron oxide (Fe3O4) nano-particles from tea waste for arsenic removal. J. Magn. Magn. Mater. 2014, 356, 21–31. [Google Scholar] [CrossRef]
- Hosakun, Y.; Halász, K.; Horváth, M.; Csóka, L.; Djokovic, V. ATR-FTIR study of the interaction of CO2 with bacterial cellulose-based membranes. Chem. Eng. J. 2017, 324, 83–92. [Google Scholar] [CrossRef]
- Mastalerz, M.; Goodman, A.; Chirdon, D. Coal Lithotypes before, during, and after Exposure to CO2: Insights from Direct Fourier Transform Infrared Investigation. Energy Fuels 2012, 26, 3586–3591. [Google Scholar] [CrossRef]
- Thines, K.R.; Abdullah, E.C.; Mubarak, N.M.; Ruthiraan, M. In-situ polymerization of magnetic-biochar-polypyrrole composite: A novel application in supercapacitor. Biomass Bioenergy 2017, 98, 95–111. [Google Scholar] [CrossRef]
- Mohan, D.; Sarswat, A.; Singh, V.K.; Alexandre-Franco, M.; Pittman, C. Development of magnetic activated carbon from almond shells for trinitrophenol removal from water. Chem. Eng. J. 2011, 172, 1111–1125. [Google Scholar] [CrossRef]
- Lawal, I.A.; Klink, M.; Ndungu, P. Deep eutectic solvent as an efficient modifier of low-cost adsorbent for the removal of pharmaceuticals and dye. Environ. Res. 2019, 179, 108837. [Google Scholar] [CrossRef]
- Menendez, J.A.; Illan-Gomez, M.J.; Leon, C.A.L.; Radovic, L.R. On the difference between the isoelectric point and the point of zero charge of carbons. Carbon 1995, 33, 1655–1657. [Google Scholar] [CrossRef]
- Nguyen, D.T.; Tran, H.N.; Juang, R.S.; Dat, N.D.; Tomul, F.; Ivanets, A.; Woo, S.H.; Hosseini-Bandegharaei, A.; Nguyen, V.P.; Chao, H.P. Adsorption process and mechanism of acetaminophen onto commercial activated carbon. J. Environ. Chem. Eng. 2020, 8, 104408. [Google Scholar] [CrossRef]
- Cui, H.-J.; Cai, J.-K.; Zhao, H.; Yuan, B.; Ai, C.; Fu, M.-L. One step solvothermal synthesis of functional hybrid γ-Fe2O3/carbon hollow spheres with superior capacities for heavy metal removal. J. Colloid Interface Sci. 2014, 425, 131–135. [Google Scholar] [CrossRef]
- Ramya, V.; Murugan, D.; Lajapathirai, C.; Meenatchisundaram, S. A composite adsorbent of superparamagnetic nanoparticles with sludge biomass derived activated carbon for the removal of chromium (VI). J. Cleaner Prod. 2022, 366, 132853. [Google Scholar] [CrossRef]
- Zhu, Y.; Wang, Y.; Wang, T.; Liu, H.; Liu, H.; Zang, M. One-step preparation of coal-based magnetic activated carbon with hierarchically porous structure and easy magnetic separation capability for adsorption applications. J. Magn. Magn. Mater. 2023, 569, 170480. [Google Scholar] [CrossRef]
- Ranjithkumar, V.; Sangeetha, S.; Vairam, S. Synthesis of magnetic activated carbon/α-Fe2O3 nanocomposite and its application in the removal of acid yellow 17 dye from water. J. Hazard. Mater. 2014, 273, 127–135. [Google Scholar] [CrossRef]
- Zhang, S.W.; Zeng, M.Y.; Li, J.X.; Li, J.; Xu, J.Z.; Wang, X.K. Porous magnetic carbon sheets from biomass as an adsorbent for the fast removal of organic pollutants from aqueous solution. J. Mater. Chem. A 2014, 2, 4391–4397. [Google Scholar] [CrossRef]
- Wamba, A.G.N.; Lima, E.C.; Ndi, S.K.; Thue, P.S.; Kayem, J.G.; Rodembusch, F.S.; dos Reis, G.S.; de Alencar, W.S. Synthesis of grafted natural pozzolan with 3-aminopropyltriethoxysilane: Preparation, characterization, and application for removal of Brilliant Green 1 and Reactive Black 5 from aqueous solutions. Environ. Sci. Pollut. Res. 2017, 24, 21807–21820. [Google Scholar] [CrossRef]
- Spessato, L.; Bedin, K.C.; Cazetta, A.L.; Souza, I.P.; Duarte, V.A.; Crespo, L.H.; Silva, M.C.; Pontes RMAlmeida, V.C. KOH-super activated carbon from biomass waste: Insights into the paracetamol adsorption mechanism and thermal regeneration cycles. J. Hazard. Mater. 2019, 371, 499–505. [Google Scholar] [CrossRef]
- Tran, H.N.; You, S.-J.; Chao, H.-P. Fast and efficient adsorption of methylene green 5 on activated carbon prepared from new chemical activation method. J. Environ. Manag. 2017, 188, 322–336. [Google Scholar] [CrossRef]
- Boakye, P.; Tran, H.N.; Lee, D.S.; Woo, S.H. Effect of water washing pretreatment on property and adsorption capacity of macroalgae-derived biochar. J. Environ. Manag. 2019, 233, 165–174. [Google Scholar] [CrossRef]
- Ninh, P.T.T.; Ngoc Tuyen, L.T.; Dat, N.D.; Nguyen, M.L.; Dong, N.T.; Chao, H.-P.; Tran, H.N. Two-stage preparation of highly mesoporous carbon for super-adsorption of paracetamol and tetracycline in water: Important contribution of pore filling and π-π interaction. Environ. Res. 2023, 218, 114927. [Google Scholar] [CrossRef]
- Wang, J.; Guo, X. Adsorption kinetic models: Physical meanings, applications, and solving methods. J. Hazard. Mater. 2020, 390, 122156. [Google Scholar] [CrossRef]
- Mohammadi, S.Z.; Darijani, Z.; Karimi, M.A. Fast and efficient removal of phenol by magnetic activated carbon-cobalt nanoparticles. J. Alloys Compd. 2020, 832, 154942. [Google Scholar] [CrossRef]
- da Silva, M.C.F.; Lütke, S.F.; Nascimento, V.X.; Lima, E.C.; Silva, L.F.O.; Oliveira, M.L.S.; Dotto, G.L. Activated carbon prepared from Brazil nut shells towards phenol removal from aqueous solutions. Environ. Sci. Pollut. Res. 2023, 30, 82795–82806. [Google Scholar] [CrossRef]
- Giles, C.H.; Smith, D.; Huitson, A. A general treatment and classification of the solute adsorption isotherm. I. Theoretical. J. Colloid Interface Sci. 1974, 47, 755–765. [Google Scholar] [CrossRef]
- Galhetas, M.; Mestre, A.S.; Pinto, M.L.; Gulyurtlu, I.; Lopes, H.; Carvalho, A.P. Carbon-based materials prepared from pine gasification residues for acetaminophen adsorption. Chem. Eng. J. 2014, 240, 344–351. [Google Scholar] [CrossRef]
- Garcia-Mateos, F.J.; Ruiz-Rosas, R.; Marques, M.D.; Cotoruelo, L.M.; Rodriguez- Mirasol, J.; Cordero, T. Removal of paracetamol on biomass-derived activated carbon: Modeling the fixed bed breakthrough curves using batch adsorption experiments. Chem. Eng. J. 2015, 279, 18–30. [Google Scholar] [CrossRef]
- Moussavi, G.; Hossaini, Z.; Pourakbar, M. High-rate adsorption of acetaminophen from the contaminated water onto double-oxidized graphene oxide. Chem. Eng. J. 2016, 287, 665–673. [Google Scholar] [CrossRef]
- Coimbra, R.N.; Calisto, V.; Ferreira, C.I.A.; Esteves, V.I.; Otero, M. Removal of pharmaceuticals from municipal wastewater by adsorption onto pyrolyzed pulp mill sludge. Arab. J. Chem. 2015, 12, 3611–3620. [Google Scholar] [CrossRef]
- Nche, N.A.G.; Bopda, A.; Tchuifon, D.R.T.; Ngakou, C.S.; Kuete, I.-H.T.; Gabche, A.S. Removal of paracetamol from aqueous solution by adsorption onto activated carbon prepared from rice husk. J. Chem. Pharm. Res. 2017, 9, 56–68. [Google Scholar]
- Nourmoradi, H.; Moghadam, K.F.; Jafari, A.; Kamarehie, B. Removal of acetaminophen and ibuprofen from aqueous solutions by activated carbon derived from Quercus brantii (Oak) acorn as a low-cost biosorbent. J. Environ. Chem. Eng. 2018, 6, 6807–6815. [Google Scholar] [CrossRef]
- Mestre, A.S.; Pires, R.A.; Aroso, I.; Fernandes, E.M.; Pinto, M.L.; Reis, R.L.; Andrade, M.A.; Pires, J.; Silva, S.P.; Carvalho, A.P. Activated carbons prepared from industrial pre-treated cork: Sustainable adsorbents for pharmaceutical compounds removal. Chem. Eng. J. 2014, 253, 408–417. [Google Scholar] [CrossRef]
- Mestre, A.S.; Bexiga, A.S.; Proença, M.; Andrade, M.; Pinto, M.L.; Matos, I.; Fonseca, I.M.; Carvalho, A.P. Activated carbons from sisal waste by chemical activation with K2CO3: Kinetics of paracetamol and ibuprofen removal from aqueous solution. Bioresour. Technol. 2011, 102, 8253–8260. [Google Scholar] [CrossRef]
- Langmuir, I. The adsorption of gases on plane surfaces of glass, mica and platinum. J. Am. Chem. Soc. 1918, 40, 1361–1403. [Google Scholar] [CrossRef]
- Freundlich, H. Über die Adsorption in Lösungen. Zeitschrift Für Phys. Chemie 1906, 57, 385–471. [Google Scholar] [CrossRef]
- Sips, R. On the structure of a catalyst surface. J. Chem. Phys. 1948, 16, 490–495. [Google Scholar] [CrossRef]
- Redlich, O.; Peterson, D.L. A useful adsorption isotherm. J. Phys. Chem. 1959, 63, 1024. [Google Scholar] [CrossRef]
- Toth, J. State Equation of the Solid-Gas Interface Layers. Acta Chim. Hung. 1971, 69, 311–328. [Google Scholar]
- Lima, E.C.; Hosseini-Bandegharaei, A.; Moreno-Pirajan, J.C.; Anastopoulos, I. A critical review of the estimation of the thermodynamic parameters on adsorption equilibria. Wrong use of equilibrium constant in the Van’t Hoof equation for calculation of thermodynamic parameters of adsorption. J. Mol. Liq. 2019, 273, 425–434. [Google Scholar] [CrossRef]
- Almeida, C.A.P.; Debacher, N.A.; Downs, A.J.; Cottet, L.; Mello, C.A.D. Removal of methylene blue from colored effluents by adsorption on montmorillonite clay. J. Colloid Interface Sci. 2009, 332, 46–53. [Google Scholar] [CrossRef]
- Chang, R.; Thoman, J.W., Jr. Intermolecular Forces. Chapter 17. Physical Chemistry for Chemical Sciences; University Science Books: Sausalito, CA, USA, 2014; pp. 779–808. [Google Scholar]
- Wang, R.Z.; Huang, D.L.; Liu, Y.G.; Zhang, C.; Lai, C.; Wang, X.; Zeng, G.M.; Zhang, Q.; Gong, X.M.; Xu, P. Synergistic removal of copper and tetracycline from aqueous solution by steam-activated bamboo-derived biochar. J. Hazard. Mater. 2020, 384, 121470. [Google Scholar] [CrossRef]
- Saha, P.; Chowdhury, S. Insight Into Adsorption Thermodynamics. In Thermodynamics; InTech: Vienna, Austria, 2011; pp. 349–364. [Google Scholar] [CrossRef]














| Sample | Yield (%) | C (wt%) | H (wt%) | N (wt%) | O * (wt%) | Ash (wt%) | Fe (wt%) |
|---|---|---|---|---|---|---|---|
| BC | 31.2 | 78.8 | 1.8 | 1.9 | 11.0 | 6.5 | 0.02 |
| AC | 45.6 | 65.3 | 2.0 | 1.7 | 15.8 | 15.2 | 13.5 |
| MAC | 41.4 | 72.9 | 1.5 | 1.1 | 4.9 | 19.6 | 16.7 |
| Sample | SBET (m2·g−1) | Micropore Surface a (m2·g−1) | Vtotal b (cm3·g−1) |
|---|---|---|---|
| BC | 148 | 57 | 0.08 |
| AC | 280 | 234 | 0.10 |
| MAC | 273 | 232 | 0.11 |
| Model | T (K) | qe (mg·g−1) | k1 (min−1) | R2 |
|---|---|---|---|---|
| Pseudo-first order | 298 | 21.5 | 0.1022 | 0.9843 |
| 318 | 22.1 | 0.1032 | 0.9882 | |
| 338 | 22.7 | 0.1024 | 0.9910 | |
| Model | T (K) | qe (mg·g−1) | k2 (g·mg−1⋅min−1) | R2 |
| Pseudo-second order | 298 | 22.4 | 0.0084 | 0.9948 |
| 318 | 23.0 | 0.0085 | 0.9968 | |
| 338 | 23.6 | 0.0084 | 0.9982 | |
| Model | T (K) | kp (mg·g−1⋅min−0.5) | C (mg·g−1) | R2 |
| Intraparticle difusion | 298 | 0.383 | 16.2 | 0.9953 |
| 318 | 0.373 | 17.0 | 0.9944 | |
| 338 | 0.368 | 17.6 | 0.9924 | |
| Model | T (K) | α (mg·g−1⋅min−1) | β (g·mg−1) | R2 |
| Elovich | 298 | 1040.1 | 0.5318 | 0.9997 |
| 318 | 1718.0 | 0.5396 | 0.9996 | |
| 338 | 2232.5 | 0.5378 | 0.9988 |
| Model | T (K) | qL (mg·g−1) | KL (L·mg−1) | R2 |
|---|---|---|---|---|
| Langmuir | 298 | 49.0 | 0.056 | 0.9921 |
| 318 | 57.0 | 0.050 | 0.9902 | |
| 338 | 68.9 | 0.040 | 0.9901 | |
| Model | T (K) | KF (mg·g−1)/(L·mg−1)n | n | R2 |
| Freundlich | 298 | 3.19 | 0.681 | 0.9414 |
| 318 | 3.08 | 0.724 | 0.9437 | |
| 338 | 2.85 | 0.774 | 0.9556 |
| Model | T (K) | qS (mg·g−1) | KS (L·mg−1) | n | R2 |
|---|---|---|---|---|---|
| Sips | 298 | 39.7 | 0.086 | 1.38 | 0.9991 |
| 318 | 44.4 | 0.082 | 1.44 | 0.9992 | |
| 338 | 51.6 | 0.071 | 1.44 | 0.9987 | |
| Model | T (K) | qRP (mg·g−1) | KRP (L·mg−1) | n | R2 |
| Redlich–Peterson | 298 | 64.5 | 0.032 | 1.45 | 0.9993 |
| 318 | 75.3 | 0.028 | 1.59 | 0.9995 | |
| 338 | 87.1 | 0.024 | 1.71 | 0.9985 | |
| Model | T (K) | qT (mg·g−1) | KT (L·mg−1) | n | R2 |
| Toth | 298 | 93.3 | 0.032 | 1.45 | 0.9993 |
| 318 | 119.8 | 0.028 | 1.59 | 0.9994 | |
| 338 | 148.6 | 0.024 | 1.71 | 0.9985 |
Disclaimer/Publisher’s Note: The statements, opinions and data contained in all publications are solely those of the individual author(s) and contributor(s) and not of MDPI and/or the editor(s). MDPI and/or the editor(s) disclaim responsibility for any injury to people or property resulting from any ideas, methods, instructions or products referred to in the content. |
© 2024 by the authors. Licensee MDPI, Basel, Switzerland. This article is an open access article distributed under the terms and conditions of the Creative Commons Attribution (CC BY) license (https://creativecommons.org/licenses/by/4.0/).
Share and Cite
Gatrouni, M.; Asses, N.; Bedia, J.; Belver, C.; Molina, C.B.; Mzoughi, N. Acetaminophen Adsorption on Carbon Materials from Citrus Waste. C 2024, 10, 53. https://doi.org/10.3390/c10020053
Gatrouni M, Asses N, Bedia J, Belver C, Molina CB, Mzoughi N. Acetaminophen Adsorption on Carbon Materials from Citrus Waste. C. 2024; 10(2):53. https://doi.org/10.3390/c10020053
Chicago/Turabian StyleGatrouni, Marwa, Nedra Asses, Jorge Bedia, Carolina Belver, Carmen B. Molina, and Nadia Mzoughi. 2024. "Acetaminophen Adsorption on Carbon Materials from Citrus Waste" C 10, no. 2: 53. https://doi.org/10.3390/c10020053
APA StyleGatrouni, M., Asses, N., Bedia, J., Belver, C., Molina, C. B., & Mzoughi, N. (2024). Acetaminophen Adsorption on Carbon Materials from Citrus Waste. C, 10(2), 53. https://doi.org/10.3390/c10020053

