Abstract
The column photobioreactor has become the predominant approach for carbon sequestration by microalgae in power plant settings, owing to its capacity for high-density cultivation and efficient light energy utilization. Due to the dense arrangement of the columnar photobioreactor and its height, insufficient light became one of the main factors limiting the carbon sequestration rate of microalgae growth. In this paper, a light resource optimization method of reflective baffle and top diffusing glass was proposed. When the angle of reflective baffle on the north and east walls was 35°, and the angle of reflective baffle on the west and south floors was 0°, the overall light radiation intensity of the reactor array became the largest, reaching up to 916.81 W/m2, which was 14.39% higher than that before the optimization. The replacement of the top glass with diffusing material converted the direct radiation of solar radiation into scattered radiation. When the transmittance was 95% and the haze was 95%, the overall average light radiation intensity of the algal solution reached 830.93 W/m2, which was an increase of 3.7%. Four new exhaust air distribution methods were proposed, in which the three-entrance staggered-arrangement type glasshouse had the lowest algal liquid temperature.
1. Introduction
The solar biological CO2 conversion method uses microbial photosynthesis to directly convert CO2 into valuable products, including proteins, carbohydrates, fats and pigments [1,2,3]. Notably, microalgae carbon sequestration shows promising advancement due to its high efficiency, environmental friendliness, and efficacy [4]. The formation of a beneficial annular flow in the reactor, facilitated by the rising CO2 bubbles, promotes microalgae growth. Moreover, column reactors occupy less space compared to raceway ponds, making them more suitable for proximity to coal-fired power plants and contributing to their rapid development. Sunlight is the optimal light source in large-scale outdoor microalgae cultures due to its cleanliness, stability, and cost-effectiveness. Light and temperature play crucial roles in determining carbon sequestration and biomass accumulation in microalgae [5,6].
Optimizing light supply is a critical challenge in large-scale microalgae carbon sequestration endeavors [7,8]. Researchers have explored enhancing light utilization by investigating light distribution within algal liquid in reactors through small-scale trials or simulations [9,10]. They have noted that augmenting the frequency of light exposure to algal cells can induce a flash effect, altering microalgae growth dynamics to achieve maximal growth rates. However, implementing such high-frequency light-dark cycles with artificial light sources on a large scale is hindered by cost and operational complexity. Additionally, the actual flash frequency experienced by microalgae may deviate from the preset value due to uncertainties in individual cell trajectories between light and dark zones within the reactor. An alternative approach to enhance light utilization involves optimizing reactor configuration or increasing flow perturbations within the system. A simpler and more practical approach is to enhance the flow and flow field disturbance of algal fluid in the reactor. Ye et al. [11] designed a light-covered column reactor, and increased the flash frequency of microalgae cells in the reactor from 0.268 Hz to 0.474 Hz through an irregular baffle, thus achieving an increase in microalgae biomass yield. Sierra et al. [12] recorded the light resources of a stationary photobioreactor in Spain and found that the vertical and east-west orientation usually increased the light resources by more than 60% compared with the horizontal north-south orientation in one year. Some researchers have utilized LED lighting or incorporated photoconductors as additional light sources both internally and externally in the reactor, leading to enhanced microalgal biomass production [13,14]. Nevertheless, optimizing light intensity in a single reactor has limited effects on reactor tube rows or arrays comprising multiple reactors. This approach is also costly. Therefore, further research is needed to explore the overall distribution of light resources and optimization methods for such projects.
Temperature significantly influences the growth of microalgae in large-scale carbon sequestration projects. To safeguard the reactor and the algal growth environment, greenhouse glass walls are commonly utilized in most column photobioreactors. Due to the blocking of long-wave radiation by glass and the relatively closed space in the glass chambers, heat accumulation in the room is difficult to discharge, and high temperatures will inhibit the biological activity of microalgae and the growth carbon sequestration efficiency [15,16,17]. As a very complex system, the distribution of the reactor in the glass chamber affects the distribution of the air flow field in the glass chamber. At the same time, the reactor, algal liquid, and the glass wall will affect the solar radiation path, so it is necessary to consider the influence of various factors on the temperature distribution in the glass chamber. Konstantinos et al. [18] analyzed factors such as radiation, ventilation, and convection in the greenhouse microclimate, and established a dynamic temperature model of the microclimate greenhouse based on the conservation of energy and matter, effectively predicting the temperature distribution of the air in the greenhouse. Wu et al. [19] used the CFD method to model the greenhouse thermal environment under mechanical ventilation. In the model, crops, solar radiation, and thermal radiation are considered, and the standard k-ε turbulence model and the finite volume method of the SIMPLE algorithm are used to discretize the flow field differential equation. By collecting temperature and velocity data at key locations in the Venlo greenhouse and comparing them with simulation results, it is found that the temperature error of test points is mostly within 3 °C. The relative error is controlled within 10%, which verifies the validity of the CFD model. Techniques such as shading, spraying, wet curtains, and ventilation are effective methods for decreasing heat within greenhouse enclosures, thereby lowering the overall air temperature [20]. Nam et al. [21] used fans and evaporation pad to reduce the temperature in the greenhouse, effectively reducing the temperature difference in the greenhouse and reducing the temperature in the greenhouse by a maximum of 9.7 °C. Pakari et al. [22] investigated the impact of covering material, spatial expansion, and water circulation on greenhouse temperature. Increasing space and introducing water within double glazing can lower greenhouse temperatures efficiently, albeit at a higher construction and maintenance cost. However, in tropical and subtropical areas, most of the energy consumption in greenhouses is to meet the demand for refrigeration. Therefore, enhancing the efficiency of cooling methods with reduced energy and water consumption is imperative for microalgae carbon sequestration projects in glasshouses during the summer months.
In algal photobioreactor modeling research, it is essential to incorporate thermodynamic processes and light energy transfer and utilization. Previous studies have introduced diverse thermal and solar models for algal photobioreactors. Ye et al. [9] conducted a simulation of light distribution within a 900 L tubular tower reactor, accurately delineating bright and dark zones within the reactor. Their findings revealed an elliptical bright zone near the light source, with weaker light intensity on the back-lit side. Konstantinos et al. examined factors such as radiation, ventilation, and convection in the microclimate of a greenhouse and developed a dynamic temperature model based on energy and mass conservation principles. This model effectively predicted the air temperature distribution within the greenhouse. Androga et al. [23] developed a dynamic thermal model to investigate the impact of heat transfer mechanisms, such as convection and radiation, on the overall temperature of an outdoor bioreactor. Wu et al. employed computational fluid dynamics (CFD) to simulate the thermal conditions within a greenhouse under mechanical ventilation. Their model accounted for crops, solar radiation, and thermal radiation, utilizing the standard k-ε turbulence model and the finite volume method within the SIMPLE algorithm to discretize the differential equations governing the flow field. These models have been instrumental in enhancing our comprehension of reactor performance. However, most of the models have mainly concentrated on individual reactors rather than large-scale arrays. They fail to adequately consider the dynamic variations in environmental conditions throughout different seasons and periods, which still pose certain limitations and challenges.
This study streamlines the reactor model in a practical engineering project for a power plant that fixes CO2 from microalgae flue gas, based on the solar radiation model. Light radiation distribution within the reactor array was analyzed across seasons, times of day, and locations to assess variations in light availability. Reflector optimization was performed on the microalgae glass chamber to enhance light radiation intensity in the low-light side reactor. The study also investigated the effect of top glass atomization on overall light radiation in the reactor array. A model of the microalgae glass chamber was developed to analyze air temperature distribution within the chamber and liquid temperature distribution in the reactor at different positions. Optimization of the mechanical ventilation system in the glass room was conducted, and the impact of implementing external sunshades and adjusting sunshade curtain parameters on air temperature within the glass room was examined. This study offered empirical evidence and theoretical insights to inform the development and refinement of large-scale microalgae carbon sequestration systems. Specifically, it presented a precise, measurable, and actionable optimization strategy to improve the carbon sequestration efficiency and operational effectiveness of photobioreactor systems. Such findings were crucial for advancing the real-world implementation of microalgae carbon sequestration technology.
2. Materials and Methods
2.1. Calculation Model and Boundary Parameter Setting of Reactor Array
The discrete coordinate (DO) radiation model has a wide range of optical thickness application scenarios, which can be applied to the propagation of light in different kinds of materials and integrated with other heat transfer models, such as convection and conduction. The DO radiation model is the most suitable method to calculate the solar radiation distribution of the reactor array in the glass chamber. It was used to deal with the transmission, scattering, absorption, and other processes of solar light passing through glass in air and algal liquid. The three-dimensional unstructured grid of the reactor array and the simplified glass chamber was drawn using ICEM CFD 2021 R1, and the reactor area was encrypted.
2.2. Reactor Array Design and Numerical Calculation Model
Due to prohibitive computational costs associated with modeling the full-scale photobioreactor array comprising 11,414 individual reactors, a representative subset and geometric simplification were implemented. A key section containing 36 reactor groups arranged in a 6 × 6 configuration within the glasshouse was selected as the computational domain. Crucially, clusters of 16 actual cylindrical reactors—specifically two rows of eight reactors each—were simplified into equivalent rectangular prisms measuring 3.9 m height × 1.3 m length × 0.17 m thickness. This approach reduced grid complexity while preserving the overall array geometry and fluid dynamics. Model boundary conditions, parameters, and validation of this simplification approach are detailed in the Supporting Information, Figures S3 and S4.
2.3. Glasshouse Parameters and Calculation Model
The prototype of the glasshouse is located in a biomass power plant and belongs to the Venlo type structure. The roof ridge of the glasshouse is distributed north-south, the shoulder height is 5 m, the top height is 6 m, and the spacing of each roof ridge is 3.5 m. The calculation model used in this study is a simplified model of the real greenhouse. As shown in Figure S5, the scale of the real greenhouse is 1/6, covering an area of 336 m2 (24 m × 14 m). The outer covering material is 5 mm + 9A + 5 mm white glass double steel insulating glass, the greenhouse is equipped with mechanical ventilation system, adopts TH-1380B heavy weight negative pressure fan, ICEM CFD 2021 R1 is used to draw. Its length and width are both 1380mm, the air volume can reach 44,000 m3/h, the distance between the two fans is 4400 mm. The simplified model and arrangement of the column photobioreactor are consistent with the above. The specific calculation model, boundary conditions, and material properties (Figure S6, Tables S1–S3) are provided in the Supporting Information.
3. Results and Discussion
3.1. Light Resource Distribution and Optimization Method of Engineering-Scale Column Reactor Array
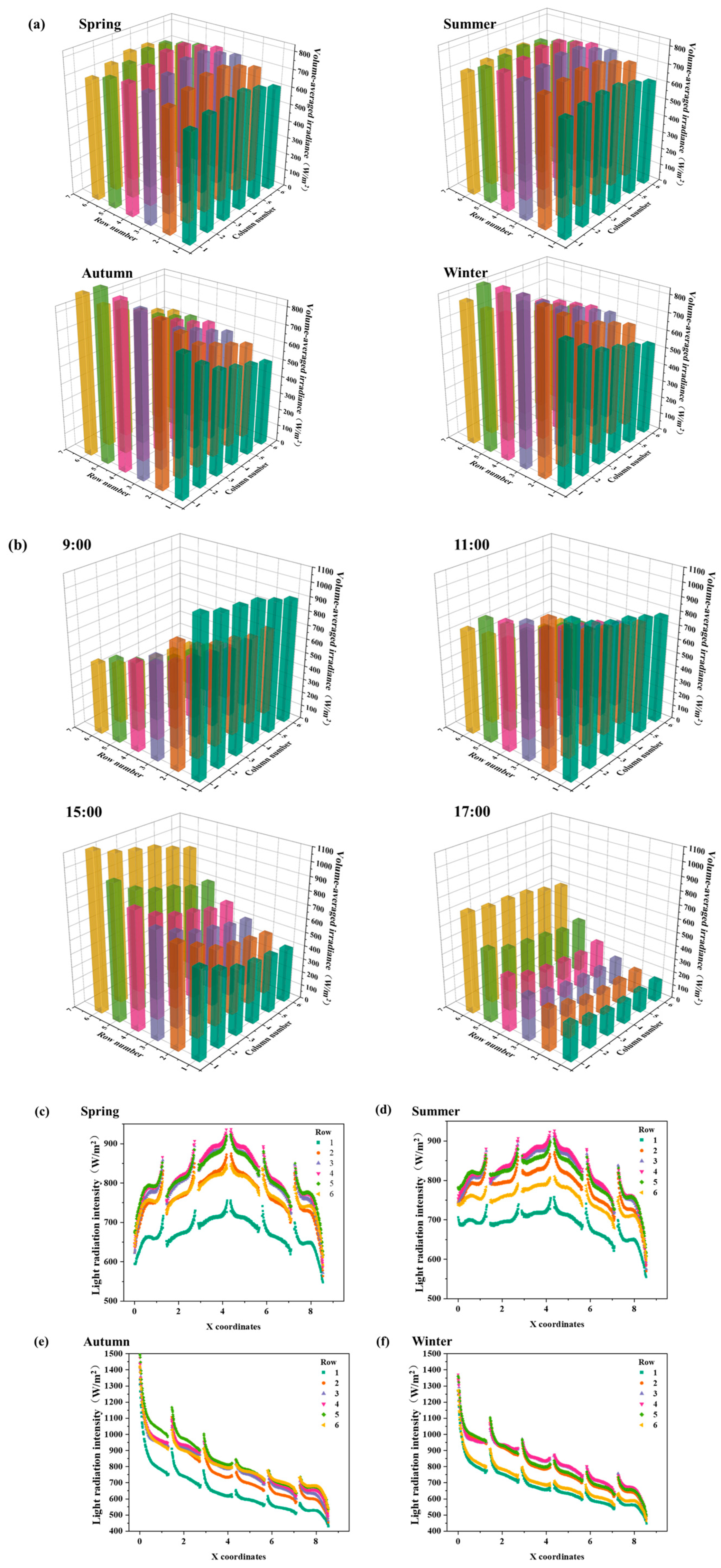
In this section, a test model was established to calculate and compare the radiation intensity of a reactor array composed of single tubes and a reactor array with reactor groups as the minimum calculation unit. The flue gas CO2 demonstration project of a microalgae stationary power plant was used as a prototype to explore the distribution of solar resources in the reactor array at different times of the day and seasonal changes. 15 May, 15 August, 15 November, and 15 February are chosen to represent the distribution characteristics of solar radiation in spring, summer, autumn, and winter, respectively. On each equinox and solstice, time points at 9:00, 11:00, 13:00, 15:00, and 17:00 were selected to characterize diurnal variations in solar radiation conditions across different periods of the day.
Figure 1a,b show the solar radiation distribution of the column model and the simplified reactor group model in the glasshouse. It can be seen that the maximum radiation positions of both appear at the top of the reactor and are located in the direction of solar incidence. Additionally, the radiation intensity on the surface of the two groups of reactors rapidly decreases as the height decreases. This is because the attenuation of the light beam in the algal solution accelerates with the increase of the propagation distance. In Figure 1a, each group of reactors, composed of 16 single tubes, is defined as one set. After integrating to obtain the average volumetric radiation intensity of the algal solution in each set and comparing it with the simplified model in Figure 1b, the difference in the radiation amount of the corresponding reactor groups is less than 5%. Therefore, it is considered that the simplification of the reactor model does not affect the calculation results. Figure 1c shows the cloud image of the solar radiation distribution of the reactor array at 13:00 in summer. Since it is summer, the sun is directly above the reactor array in a southerly direction, so it can be seen from the figure that the maximum amount of incident radiation is 2390 W/m2, which is located in the negative X-axis (south) of the reactor array. The lowest incident radiation value is located at the bottom of the reactor, towards the north side of the reactor array. It can also be clearly seen from the outermost row of reactors that the intensity of incident radiation at the same height gradually decreases along the positive direction of the X-axis. Figure 1b shows the variation of the mean radiation amount of the reactor array in different seasons and at different time periods on the same day. This section examines the diurnal variation in solar radiation incident on the reactor array from 9:00 to 17:00. As the sun ascends and the solar altitude angle increases from 9:00 onwards, solar radiation, as calculated by the solar radiation calculator, progressively rises until peaking at 13:00. Theoretically, the maximum incident radiation on the reactor array should correspondingly increase with solar radiation, reaching its zenith at 13:00. However, analysis of the figure reveals that the average volumetric radiation absorbed by the algal liquid within the four seasonal reactor arrays exhibits an ascending trend from 9:00 to 11:00, followed by a slight decline from 11:00 to 13:00, and subsequently rises again at 15:00 in all groups except for autumn. The reason for the decrease in the average amount of incident radiation received by the algae solution at the time point of the maximum solar radiation intensity is the change in the incident Angle of solar radiation. The Z-axis component of the incident Angle peaks at 13:00, causing he sunlight to enter from the top of the glass room of the reactor array. The effect is that when the incidence Angle is inclined vertically downwards, the amount of incident light through the walls around the glass room is greatly reduced, which is equivalent to the area receiving radiation being reduced. In addition, the reactor array’s thinness makes it more susceptible to light penetration. This results in an increased vertical downward component of sunlight along the algal liquid in the reactor, and the attenuation of algal liquid in the process of light transmission is more obvious. As a result, the penetration and scattering of light in the reactor array are weakened [24], so there is a downward trend at 13:00. From 13:00 to 15:00, the sun Angle decreases, and the solar radiation intensity decreases less, so it rises again.
Figure 1.
Solar radiation distribution on reactor wall surfaces (a) Column model (b) Simplified reactor assembly model. Reactor array (c) Solar radiation distribution cloud at 13:00 in summer; (d) The average incident radiation amount of algal liquid in the reactor array at different seasons.
The power plant is located at 21° north latitude within the tropical region, so the he change of the direct point of the sun in a year has little impact on the amount of solar radiation, and in winter, the Earth is closest to the sun, so the solar incident radiation is the strongest season. Comparing the average incident radiation amount of algal solution in the reactor array of four seasons, the sun’s direct point in spring is closest to the power plant. Consequently, the daily rise time is earlier, and the average incident radiation amount is stronger at 9:00. From 11:00 to 15:00, the incident intensity is manifested as summer > spring > winter > autumn. Its law is consistent with the position of direct sunlight and the variation of solar radiation intensity. Due to its location in the tropics, there is no significant difference in the amount of all-day incident radiation in the three dates of summer, autumn and winter, while in autumn, because the direct point of the sun returns to the Tropic of Capricorn to reach the farthest point, its light intensity and light time decrease significantly, resulting in much lower incident radiation.
Figure 2a shows the distribution of light resources in the reactor array in four seasons at 13:00 in spring, summer, autumn, and winter. At 13:00 in spring, the maximum average incident radiation of algal liquid appeared in 4 rows and 3 columns, which was 831.59 W/m2, and the minimum incident radiation appeared in 1 row and 6 columns, which was 607.59 W/m2. In the northeast corner of the glass room, the incident radiation intensity showed a trend of decreasing from the center to the surrounding area. At 1:00 PM in summer, the light resource distribution resembles that of spring, with both the maximum (827.72 W/m2) and minimum (608.57 W/m2) incident radiation occurring at the same position. The direct solar point in spring and summer is located in the northern hemisphere, so at noon, the sunlight is almost incident on the surface of the glass room at a top-down vertical Angle. Therefore, the algal liquid in the reactor group at the central position has a higher incident radiation intensity, and the overall distribution of light resources is more uniform, and the difference between the maximum and the minimum incident radiation intensity is less than 30%. In the autumn and winter, the sun is directly in the southern hemisphere, so the reactor group on the south side of the glass chamber shows a higher incident radiation intensity at noon. At 13:00 in autumn, the maximum incident radiation appeared in 5 rows and 1 column, which was 974.01 W/m2, and the minimum radiation intensity appeared in 1 row and 6 columns, which was 495.07 W/m2. At 13:00 in winter, the maximum incident radiation appears in 4 rows and 1 column, which is 938.52 W/m2; the minimum radiation intensity appears in 1 rows and 6 columns, which is 528.18 W/m2; among them, the extreme value difference of incident radiation in autumn is 49.17%, and that in winter is 43.72%, which is significantly higher than that in spring and summer. Figure 2b shows the distribution of light resources of the reactor array at different times from 9:00 to 17:00 in autumn, which is consistent with the common sense characteristic that the sun rises in the east and sets in the west. At 9:00, the solar incidence direction is east, and the incident radiation is the largest from the east side of the glass room, and the maximum incident radiation appears in row 1, which is on the east side of the glass room. The maximum incident radiation intensity shifts from the east side to the west, and the final maximum incident radiation intensity appears on the west side of the glass room. The highest incident radiation value recorded throughout the day for the algal liquid in a specific group of reactors was observed in a single cell located at the intersection of the 6th row and the 1st column at 15:00, reaching a peak of 1140 W/m2. This maximum value was not recorded during the peak solar radiation period at 13:00. The reason is that at 15:00, the incidence Angle of solar radiation is smaller, and the algal liquid located in the southwest corner of the reactor receives solar radiation through the top glass and the side glass at the same time. This shows that the limiting factor of the light resource of the column reactor array is the small illuminated area caused by the too dense reactor arrangement.
Figure 2.
Reactor array (a) Reactor incident radiation distribution at 13:00 in different seasons and (b) reactor incident radiation distribution at different times of the day in autumn, different colors represent different rows, as labeled in (c–f). (c–f) The intensity of incident radiation of algal liquid in column reactor array at 13:00 in different seasons varied with the X-axis.
To more intuitively represent the variation of the incident radiation intensity received by the algae liquid of the reactor array with the spatial position, six characteristic lines with a height of 2.5 m passing through the center of the reactor were drawn for the 6-row reactor group, and the incident radiation intensity on the characteristic lines at 13:00 in each season was derived to draw the scatter diagram, as shown in Figure 2c–f. It can be found from the figure that, similar to what is shown in Figure 2a, the maximum incident radiation intensity of algal liquid in the reactor group in different seasons of spring and summer all appeared in the middle of the glass room, near x = 4.2 m, in which the maximum incident radiation amount of algal liquid in summer was 936.25 W/m2, and then gradually decreased along the north and south sides. The minimum incident radiation intensity of 547.84 W/m2 was observed on the northernmost side. The algal liquid in each reactor group exhibits a noticeable trend of radiation variation. Specifically, in the fourth column reactor spanning from x = 4 m to x = 5 m, incident radiation intensity decreases with increasing x. However, upon reaching the fifth column reactor, there is a sudden, significant increase in incident radiation intensity. This is because there is a 13.5 cm gap between the same row of reactor groups, and the light radiation received by the algal fluid on the south side of the fifth column reactor is not only transmitted through the front reactor, but also directly obtained through the gap and reflected from the front reactor. At the same time, in the two working conditions of spring and summer, the incident radiation value of algal liquid at the same height is closer to each other, because the light is more incident from above, and the height of algal liquid is the main factor affecting the incident radiation intensity. During autumn and winter, because the sun is more inclined to the south, the algal liquid in the reactor is subjected to stronger incident radiation in the south direction (negative X-axis direction). As sunlight angles shift from south to north, light attenuation within the algal liquid becomes more pronounced with increasing X-axis values. In autumn, the incident radiation intensity received by algal liquid at the southernmost x = 0 can reach 1496.02 W/m2. Moving towards the north within the glass chamber, this intensity rapidly diminishes, reaching a minimum of 428.28 W/m2 at the northernmost point. This seasonal variation highlights the unequal distribution of light resources between the northern and southern regions during autumn and winter. In conclusion, when the direct solar point falls on the northern hemisphere in spring and summer, because the Angle between the solar radiation and the ground normal is small, the region with abundant light resources of the reactor array in the glass chamber appears in the center, and decreases gradually as the direct solar point falls on the south or north side. In autumn and winter, it can be obviously observed that the light resources of the reactor array are more abundant in the south side. On the north side, it is the dark side, and the incident radiation intensity of algal fluid is low.
The Z-axis center line of the reactor group in row 3 and column 4 in the central region of the reactor array was taken as the characteristic line, and the incident radiation intensity of algal liquid on the line was derived to show the distribution of algal liquid light resources at different heights in the reactor, as shown in Figure 3a,b. Figure 3a shows the distribution of incident radiation intensity of algal liquid on the characteristic line at 13:00 in different seasons. The maximum incident radiation intensity appears at the top of the reactor when the height is 3.9 m, and the maximum radiation intensity at the top of the reactor in summer can reach 2670.24 W/m2. As the height of the algal liquid in the reactor decreases, the optical radiation intensity shows an exponential decreasing trend. At the same time, it can be observed that at the top 20 cm of the reactor, the decrease rate of the light radiation intensity is much higher than that in the remaining height area. The reason is that in this area, due to the gap between the reactor groups, the algal liquid is simultaneously exposed to the light radiation attenuated by the algal liquid after entering the reactor at the top and the light radiation radiated from the side of the reactor. The amount of radiation entering the reactor from the side decreases rapidly. However, the attenuation of light radiation intensity of algal liquid in the reactor section lower than 3.7 m is only related to the absorption of light by algal liquid, and the light radiation intensity decreases until it reaches the minimum value of 107.89 W/m2 at a height of 0. At the low part of the reactor, the light radiation intensity is close to that of the algal liquid in different seasons and shows a lack of light resources.
Figure 3.
Incident radiation of algal liquid varies with height (a) Incident radiation varies with height at 13:00 in different seasons; (b) Incident radiation varies with height at different times in autumn; (c) Incident radiation distribution on the reactor surface at 13:00 in autumn.
In Figure 3b, we chose autumn as the object to study the distribution of light radiation intensity at different heights over a day. Among them, the top optical radiation intensity at 13:00 is the largest, reaching 2215.52 W/m2. Observing the changes of the optical radiation height curve at different times, it can be found that the optical radiation intensity at 11:00 and 13:00 is greater than the rest of the time, and the minimum maximum optical radiation intensity at 17:00 is 469.95 W/m2. The solar radiation Angle becomes smaller, the characteristic line of the reactor is taken from the center of the reactor array, and the light radiation is obviously affected by the occlusion. Figure 3c shows the distribution of light radiation on the side of the reactor at 13:00 in autumn. The variation of light radiation intensity with height is represented by color in the figure. The light radiation intensity decreases significantly from 2390 W/m2 (red) to 1690 W/m2 (yellow) at the top of the algal liquid reactor, indicating rapid attenuation of light radiation within the liquid. Then, at most altitudes in the reactor, the algae level is in the low-light radiation area. However, in the column reactor, the aeration position is located in the bottom center, and algal liquid can form a circulating flow field with air rising in the reactor, and algal liquid moves rapidly between different heights in the reactor. Therefore, the uneven distribution of light radiation intensity in height has a limited influence on the growth of microalgae. The reactor arrangement is tight. The growth of microalgae is primarily constrained by inadequate light availability resulting from limited light radiation within the confined reactor setup.
In order to make up for the limitation of microalgae growth due to insufficient light resources, the light radiation intensity of the whole reactor array was increased without increasing the footprint. Taking the distribution of light resources at 14:00 on September 15 as the research object (Figure 4a), the distribution of excess light resources around the walls and on the ground of the microalgae glasshouse was analyzed. Figure 4b shows the distribution of solar radiation on the floor of the glass chamber. It can be seen that there are 36 low-radiation shadow ares in 6 rows and 6 columns, which are the locations of 36 groups of reactors. It can be observed that the glasshouse floor on the west and south sides of the reactor array has a richer distribution of light radiation, up to 1026.64 W/m2. Figure 4c,d shows the distribution of light radiation on the north and east walls of the glass house, respectively. The reduced light radiation intensity on the low-height area of the north wall is attributed to the obstruction caused by the reactor array, which is positioned to the southwest of the sun. However, as the height increases, the wall at a higher height can still receive higher light radiation. Among them, the maximum optical radiation on the north wall can reach 1821.63 W/m2, and the maximum optical radiation on the east wall can reach 1913.64 W/m2, indicating that the illuminated area of the glass room is not fully utilized, and the excess radiation on the glass room wall and the ground can be utilized by effective means.
Figure 4.
Microalgae glass room (a) overall light radiation distribution (b) ground light radiation distribution (c) north wall light radiation distribution (d) east wall light radiation distribution.
Based on the above research results on the distribution of light radiation on the wall of the glass chamber, reflective baffles with a width of 1 m were set on the ground of the south and west side of the glass chamber, and the glass walls of the north and east side respectively (Figure 5a). The excess light radiation projected on the wall of the glass chamber and the ground would be reflected by the reflective baffles to the reactor array and used by microalgae. In this way, the light resources of the reactor array in the glass chamber can be improved. The UDF function is used to calculate the incident radiation intensity of the reflector No. 1~4, and the radiation boundary condition is set according to the incidence Angle of solar radiation and the installation Angle of the reflector. To enhance the light radiation within the reactor array, the optimal installation angle of the light baffle was investigated across nine conditions: 0, 5, 10, 15, 20, 25, 30, 35, and 40 degrees. To observe the effect of the reflector on the distribution of light radiation of algal liquid in the reactor, the four reactor groups P1, P2, P3, and P4 in Figure 5a were taken as objects to draw the center lines and the distribution of light radiation on the four center lines.

Figure 5.
(a) Glass room reflector distribution; (b) Reflector installation Angle optimization; (c–f) Effect of reflector on the distribution of light radiation along characteristic lines of algal fluid in four characteristic reactors; (e) Light radiation distribution of reactor array after optimization of reflector; (g) The optical radiation distribution of the reactor array after the optimization of the reflector.
Figure 5b shows the influence of four baffle plates on the overall light radiation of the reactor array, respectively, and explores the influence of changing the baffle Angle on the overall light radiation intensity of the reactor array. The total average radiation amount of algal liquid without a reflector is 802.13 W/m2, and the maximum average radiation amount of algal liquid is 851.75 W/m2 when the reflector 1 is installed at 35° on the east side. The optical radiation of the western reflector 2 is similar to that of the reflector 1, reaching the maximum optical radiation of 832.61 W/m2 at 35°. The peak radiation levels of the west reflector 3 and the southern reflector 4 occurred at an installation angle of 0°, measuring 823.75 W/m2 and 813.15 W/m2, respectively. The influence of the installation Angle on the overall radiation distribution of the reactor array was related to the incidence Angle of solar radiation and the distribution of reflected light in the reactor. It can be seen that the influence of the four light baffle plates on the amount of light radiation 1 > 2 > 3 > 4, among which, the influence of the light baffle plate on the glass room wall on the overall radiation increase is greater than that of the glass room ground reflector, which corresponds to the distribution of light resources on the glass room wall above, and the maximum light radiation intensity on the north and east sides of the glass room is twice that of the maximum light radiation intensity on the ground. In addition, the influence of the light baffle on the eastern side of the wall is greater than that on the northern side of the wall, and the influence of the ground baffle on the western side is greater than that on the southern side of the ground, because the reactor arrangement is north-south, so the light radiation reflected by the light baffle on the eastern and western sides has a larger light area of the reactor.
Figure 5c,d shows the variation trend of the light radiation intensity of algal liquid tubes in the reactor group near the east side and the north side of the reactor array with height when the reflector plate is installed at 35°. As can be seen from the figure, when the installation Angle of the reflector on the upper side of the northeast side of the glass room is 35°, the solar radiation falls on the reflector and is reflected to the upper side of the reactor near the wall. It can be seen that the eastern side of the reactor is more than 2 m high. In the optimized reactor with the same height, the algae liquid has stronger light radiation, and the elevation at 3.77 m is the most obvious. It reached 473.22 W/m2, an increase of 29.54%. As the reactor height decreased, the reflector’s impact on light radiation enhancement diminished gradually until it closely resembled the original distribution in areas below 2 m in height. Figure 5d shows the distribution of light radiation in the reactor on the north side after optimization of the reflector. Due to the distribution of the reactor in a north-south direction, the optimization effect of the reflector on the reactor on the north side is not as obvious as that on the east side due to the small light area, and the maximum increase of light radiation occurs at 3.55 m, with an increase of 259.25 W/m2, or 19.06%. As shown in Figure 5e,f, when ground 0° reflectors are installed on the southwest side of the glass chamber, the light radiation intensity of algal liquid in the reactor at the corresponding position changes with the height. It can be seen that the reflective baffle installed on the ground of the glass chamber can enhance the light radiation intensity of algal liquid in the low-height area of the reactor. The maximum radiation increase in the west reactor was 0.62 m, and the optical radiation increased by 182.55 W/m2, an increase of 34.55%. In the western reactor, the maximum radiation elevation was 0.62 m, with a corresponding optical radiation rise of 182.55 W/m2, representing a 34.55% increase. Similarly, the southern reactor exhibited a peak radiation elevation of 1.65 m, accompanied by a 27.69% optical radiation increase to 185.72 W/m2.
Following optimization of the reflector installation angle to maximize the overall average light radiation intensity within the reactor array in the glass chamber, the optimal angles for all four reflectors are concurrently determined and implemented on both the wall of the glass chamber and the ground on each side for further analysis. Figure 5g is the cloud map of the optical radiation distribution of the reactor array after the optimization of the reflector. Compared with Figure 4a, the maximum optical radiation intensity in the reactor array has not been significantly increased, but the optical radiation of the reactor in the outermost (east) line is observed. As the height decreases, the distribution of the medium light radiation intensity region indicated by green is also wider, indicating that the reflector significantly increases the light radiation intensity of the reactor near the wall. The average light radiation intensity of the optimized reactor array is 916.81 W/m2, representing a 14.39% increase compared to the non-optimized reactor array’s average intensity of 801.47 W/m2. This difference of 115.34 W/m2 underscores the efficacy of the reflector in enhancing the light availability within the glass chamber reactor array. In industrial settings, microalgae are commonly cultivated in reactors at high culture densities to enhance production efficiency. The presence of microalgal cells and CO2 bubbles in the solution leads to pronounced forward scattering and light absorption, resulting in accelerated light attenuation with increasing transmission distance. Consequently, light intensity distribution within a reactor is non-uniform, with significant disparities observed among reactors in an array [25]. Therefore, optimizing the lighting parameters across the system is essential to elevate the average light exposure of microalgal cells in high-density solutions, thereby enhancing photosynthetic efficiency and ultimately promoting microalgae growth rates.
Figure 6 illustrates the impact of varying levels of transmittance and fog density on the average light radiation absorbed by the entire algal solution within the array of reactors employing astigmatic material on the glass roof. All data points have been verified by three independent calculations, with a maximum relative deviation of <0.12%. It can be seen that when the transmittance is unchanged, as the fog degree of the top astigmatism material increases, that is, the greater the proportion of scattered light entering through the boundary of the glass roof, the greater the total average light radiation amount of algal liquid. At the same time, the transmittance of the astigmatic material determines whether replacing the top with the astigmatic glass material can improve the overall light radiation amount. When the transmittance of the astigmatic material is 90%, augmenting the fog density can enhance the mean light radiation level of the algal liquid. However, even at a fog density of 95%, it remains inferior to that achieved with standard transparent glass. Notably, the mean light radiation intensity of the algal solution surpasses that of conventional glass when the fog density exceeds 75%. When the transmittance is 95% and the fog degree is 95%, the overall average light radiation intensity of the algal solution can reach 830.93 W/m2, an increase of 3.7%. However, due to the higher production cost of astigmatic materials with both high transmittance and high fog, the effect of switching the glass roof to astigmatic materials to improve the overall light resources is limited.
Figure 6.
Effect of transmittance and fog degree of astigmatic materials on average light radiation intensity of algal liquid.
3.2. Cooling Optimization of High-Temperature Exposure Glasshouse in Summer Based on Numerical Simulation
This section introduces the radiation model to calculate the temperature distribution of algal liquid in a single tube column reactor, building upon the flue gas-algal liquid heat transfer model. Figure 7a,b shows the temperature distribution and incident radiation distribution of algal liquid after adding a solar radiation model when the flue gas at 70 °C is injected into the smoke-algal liquid model at 2 L/min. Figure 7a shows the cross-section of the temperature distribution of the algal liquid in the reactor. The highest temperature appears at the inlet of the flue gas, reaching 37.64 °C, and then the temperature decreases gradually as the height rises. In most areas of the algal liquid in the reactor, the temperature is relatively close and evenly distributed, and the temperature difference is less than 0.1 °C. Figure 7b is the cross-section cloud diagram of the distribution of incident radiation intensity received by the algal liquid in the reactor. The solar radiation Angle has the largest component in the z-axis, so it can be seen that the maximum radiation intensity appears at the top of the reactor, reaching 2545 W/m2. In the region below the top, since the solar radiation Angle is to the west, the incident radiation tends to decrease along the X-axis and reaches its minimum in the lower left corner. Although it can be seen that the incident radiation is not evenly distributed with height and orientation in the algal liquid, due to the small radiated area at the top and the small reactor inner diameter, there is no obvious change in the temperature distribution of the algal liquid. To elucidate the temperature distribution patterns of algal liquid within the single-tube reactor, we examined the velocity distribution of the algal liquid within the column reactor. Figure 7c illustrates the cloud diagram depicting the velocity distribution of the algal liquid. Smoke is introduced into the reactor through the aeration port at the base and ascends due to buoyancy, transporting the algal liquid upwards as it moves. Therefore, the speed in the center of the reactor is significantly higher than that on both sides of the edge. Figure 7d shows the flow field vector distribution of algal liquid in the column reactor. Algal liquid in the central region moves upward, while algal liquid on the two sides moves downward, forming a good circulation in the reactor. Therefore, the difference of incident radiation intensity in height and direction has no obvious influence on algal liquid temperature distribution. In the temperature simulation of the microalgae glass chamber, the effects of flue gas intake are incorporated by allocating the residual heat and evaporation heat of the flue gas to the algal liquid region as a source phase.
Figure 7.
(a) Temperature distribution; (b) Incident radiation intensity distribution of algal liquid in a single tube reactor under solar radiation. Velocity distribution cloud of (c) algal liquid in a single tube reactor; (d) velocity vector diagram.
The temperature distribution of the initial microalgae glasshouse model in the hot summer period as shown in Figure S6 was simulated and calculated. The model has two negative pressure fan outlets located on the south glass wall, three air pressure entrances on the east and west sides as Windows, and two pressure entrance Windows corresponding to the negative pressure fan on the north side. The top is evenly distributed with eight skylights, also set for air pressure inlets. Figure 8a shows the temperature distribution of algal fluid in the reactor group at different positions in the microalgal glass chamber under this initial working condition. The reactor group situated in the easternmost row exhibits the lowest temperature at 45.5 °C due to reduced solar exposure on the eastern side, as the sun orientation during operation is in the southwest. Conversely, the temperature of the algal liquid within the reactor group does not exhibit a distinct trend with respect to its north-south orientation. However, a lower temperature is observed in proximity to the window, likely attributable to the cooler air entering through the window and the convection heat exchanger on the reactor wall, which dissipates a portion of the reactor’s heat. The high temperature point of the reactor group appears in the middle of the reactor array, and the highest temperature reaches 55.5 °C. The appearance of the highest temperature may be related to the solar radiation entering from the top window, which is not blocked by glass, and the solar radiation can directly incident into the glass room. Figure 8b shows the temperature distribution of the glass room floor and the glass walls on the east and north sides. It can be seen that the ground temperature in the middle area of the glass room is relatively low, around 36 °C, because the reactor array blocks most of the solar radiation, and the ground is exposed to very little direct radiation. Furthermore, in the vicinity of the array of reactors, particularly on the southern and western sides exposed to unobstructed solar radiation, ground temperatures exceed 40 °C. In the proximity of the window, the maximum ground temperature can reach 42 °C. On the east and west sides, the temperature is low due to the shielding of the reactor array, but on the east side, there are two high temperature points near the wall, which are affected by the solar radiation incoming from the Windows in the glass roof. Figure 8c shows the air temperature distribution at five characteristic sections x = 0.70, 3.85, 7.00, 10.15, 13.30 m. The figure illustrates a rise in air temperature within the glass room corresponding to an increase in height. Notably, temperatures are higher in the central section compared to the eastern and western sides. This disparity arises from cooler air entering through the windows on both sides, resulting in slower air flow within the central region due to flow field distribution characteristics, facilitating heat accumulation. By observing the characteristic section of x = 7 m, it can be found that the air on the south side of the sun has a higher temperature. At the same time, two low temperature areas appear obviously in the middle two places near the top window due to the entry of external low temperature air. Therefore, it can be seen that the radiation intensity and the flow field distribution in the glass chamber are important factors affecting the indoor air temperature distribution.
Figure 8.
Microalgae glass room in hot summer (a) temperature distribution of algal liquid in reactor array; (b) temperature distribution of ground and wall surface; (c) air temperature distribution of characteristic section.
To further study the influence of the flow field distribution in the microalgae glass chamber on the air temperature distribution, we drew the air flow velocity distribution diagram in the glass chamber in the initial working condition, and selected three feature sections x = 4.2 m, y = 16 m, z = 1.8 m to show the flow field flow diagram. We preferred to select the feature plane that touches the air inlet of the window. In order to better display the characteristics of the flow field purpose. The distribution of air velocity in the glass chamber is shown in Figure 9a. At the outlet of the two negative pressure fans, a local power source is formed due to the pressure difference between inside and outside the glass chamber, and the maximum air velocity reaches 6.8 m/s. In certain regions, air velocity distribution is relatively uniform, ranging between 0 to 0.5 m/s, with higher speeds observed at the natural ventilation inlets of various wall windows. Due to factors such as air resistance and gravity, the momentum of external air entering the glass room diminishes gradually, dispersing into the interior air space. Figure 9b illustrates the vector diagram of the flow field on the y-section of the glass room, indicating higher flow rates at the upper four windows. Meanwhile, on the Y section, it can be seen from the vector diagram that the air flow and exchange between different heights are weak, and more eddy currents with lower speed are present, so there is a certain gradient change in air temperature between different heights. Figure 9c is a vector diagram of the air flow field on section x of the glass room. External air enters from the air inlet of the north and top Windows, and exits from the outlet of the negative pressure fan after the pressure difference is met in the glass room. Figure 9d is a vector diagram of the air flow field in section z at a height of 1.8 m in the glass chamber, from which the air flow velocity distribution at different positions of the reactor array in the glass chamber can be clearly observed. Due to the existence of air inlet Windows on the east and west sides of the reactor, cold outdoor air enters and can carry away part of the heat of the reactor’s algal fluid. At the same time, at the north air inlet window corresponding to the negative pressure fan, the air flows along the gap between the two rows of reactors to the negative pressure fan, forming a faster flow rate area, so the temperature of the algae liquid in the reactor of the two rows is also low. The reactors in the middle rows 4 and 5 are in the negative direction of the Y-axis (the north side). Due to the lack of air inlet distribution in this region and the weak transverse flow of air, the corresponding position presents a high temperature region. Near the outlet of the negative pressure fan, the air flow rate near the reactor in row 4 and row 5 suddenly increases, which is because the top air inlet window is closer to the negative pressure fan, so the air flow rate in the height direction is enhanced, so the temperature of the corresponding reactor algal liquid is also reduced. The distribution of the flow field within the glass chamber significantly impacts temperature distribution. Enhanced convection heat transfer occurs between the reactor and the air in regions with higher air velocity, where lower external air temperatures facilitate greater heat transfer capacity.
Figure 9.
The initial working condition of the microalgae glass house (a) air velocity distribution diagram; (b) Y section flow field diagram; (c) X section flow field diagram; (d) Z section flow field diagram. Arrows indicate the direction of fluid flow.
The above analysis highlights the significant impact of the air flow distribution on the temperature of the algae liquid within the glass chamber. Initially, the presence of numerous windows in the chamber results in a low air entry velocity. Consequently, the average indoor air flow velocity remains below 0.5 m/s. The convergence of air flow only occurs at the outlet of the negative pressure fan, where a higher flow velocity is observed. Therefore, in order to reduce the temperature in the microalgae glass chamber during the hot summer period, this section will optimize the air flow field in the glass chamber by adjusting the distribution of the negative pressure fan and the window. It has been proved that when the glass roof is equipped with an inlet/outlet, the air in the greenhouse cannot move to the ground, and the speed will be reduced when passing through the top window, and the air vortex on both sides of the east and west will be generated, reducing the ventilation effect [26]. It can also be seen from the above velocity distribution cloud diagram that there will be a high-speed cluster area near the air vent with a higher velocity than the surrounding area. As the number of vents increases, the air inlet flow rate per vent decreases, leading to a reduced average air velocity and an indistinct and unstable flow field. According to the above calculation results, four new ventilation structures of glass houses are designed and calculated in this section. Figure 10 shows the flow velocity distribution calculated by the four improved glass room structures. Figure 10a is obtained by closing the top and east and west wall Windows of the initial model. Two distinct high-speed airflow regions are evident within the enhanced glass enclosure, with air velocities reaching up to 2 m/s. The airflow within the chamber proceeded unimpeded, resulting in diversion, and exhibited non-uniform velocity distribution throughout the entirety of the glass enclosure. In Figure 10b, the top window of the initial model is closed, and the negative pressure fan is installed on the west side, and four air inlet Windows are installed on the opposite wall. The figure illustrates that the presence of the reactor array obstructs the airflow path, resulting in a more uniform distribution of air velocity. However, only a minor portion of the air traverses through the reactor array, with the majority of the air circumventing or flowing over top of the reactor array. Then it is discharged from the negative pressure fan, because the velocity direction is different from the discharge direction of the negative pressure fan, so the air velocity around the outlet is larger than the initial working condition. Figure 10c depicts the revised model following the staggered positioning of the central exhaust outlet and the air inlet window as shown in Figure 10a. Similar to Figure 10a, two distinct high-velocity zones are generated at the two air inlets. After the air flow hits the glass wall on the south side, the air flow is dispersed in an east-west horizontal direction and then discharged from the negative pressure fan. Based on the ventilation structure in Figure 10c, an air inlet window is added to the north side of the glass room in Figure 10d to compensate for the low air flow rate in the reactor array on the east side of the former. Figure 10e shows the average air temperature and algal liquid temperature in the glass chamber under four different ventilation conditions. The average air temperature in the glass chamber under condition b (transverse ventilation) is the lowest, which decreases from 46.78 °C to 41.11 °C under the initial glass chamber condition. It is worth noting that the air temperature in condition b is the lowest, because four air inlets are set for transverse ventilation. After the outdoor air enters, it flows in the same direction and has the widest sweeping area. The sunshade insulation screen is a conventional method to reduce the temperature in the glass chamber by reducing the incident solar radiation in summer [27]. More high-temperature air can be discharged from the glass chamber, but due to its low air velocity and small contact area with the reactor array, the air temperature in the glass chamber can be discharged. Consequently, the reactor in this state exhibits reduced heat dissipation through its walls and limited convective cooling by low-temperature air, resulting in a higher average temperature of the algal liquid compared to other conditions. Under condition d, that is, the ventilation condition with three air intakes staggered arrangement, the algal fluid temperature is the lowest, which reduces the number of air intakes, increases the air flow rate in the glass chamber, and takes into account the air sweep area, reducing the algal fluid temperature from 52.06 °C in the initial glass chamber condition to 46.14 °C. In conclusion, to regulate the temperature of the algal solution, a ventilation system with a staggered arrangement of three entrances was chosen.
Figure 10.
Air flow field distribution in the optimized microalgae glass house (a) side and top Windows are closed; (b) transverse ventilation; (c) dual air inlets staggered arrangement; (d) three air inlets staggered arrangement. (e) The influence of ventilation conditions on the temperature of air and algal fluid in the glass chamber.
Figure 11a,b shows the flow field vector diagram of the z section and x section of the three-inlet staggered glass chamber. Air enters from the north inlet and flows southward along the reactor row gap. The initial flow velocity reaches 1.8 m/s, and then gradually decreases to 1 m/s. At the same time, a small air vortex formed near the southwest corner. Figure 11c,d shows the temperature distribution of algal liquid and air under this ventilation condition, in which the high temperature area appears in the northeast side of the glasshouse. Figure 11a illustrates a region of reduced air circulation in the northern corner of the greenhouse, resulting in stagnant air and heat accumulation. Conversely, the air flow velocity is higher in the inter-row space of the reactors connected to the three air inlets, leading to lower temperatures in the algal solution within these reactors. Lowering both extremely high temperatures and average temperatures in greenhouses can effectively mitigate damage to the photosynthetic system induced by high temperature stress, thereby restoring the efficiency of light energy conversion. At the same time, it reduces oxidative stress, protects cell membrane integrity and key enzyme activity, and reestablishes a stable biochemical foundation for metabolic activities. These adjustments help maintain the continuity of physiological functions and production stability within the cultivation system.
Figure 11.
Three entrance staggered glass room (a) z section flow field vector diagram; (b) x section flow vector diagram; (c) reactor array algal fluid temperature distribution; (d) air temperature distribution. Arrows indicate the direction of fluid flow.
4. Conclusions
This study addresses the challenges of light limitation and high-temperature suppression in a high-density column-type photobioreactor (3.9 m). By implementing a reflective baffle system, radiation intensity increased by 14.39%, reaching a peak of 916.81 W/m2, with a haze of 95%. The astigmatic glass top cover offers an additional 3.7% scattering gain. Furthermore, the innovative design of a three-entrance staggered Venlo greenhouse optimizes airflow distribution, reducing the algae liquid temperature from 52.06 °C to 46.14 °C. This light-temperature synergistic optimization paradigm offers a practical solution for microalgae carbon sequestration systems, potentially enhancing carbon sequestration efficiency and operational stability in large-scale applications.
Supplementary Materials
The following supporting information can be downloaded at: https://www.mdpi.com/article/10.3390/c11030061/s1, Figure S1. Reactor array (a) physical diagram (b) simplified model. Figure S2. Calculation model of reactor array. Figure S3. Column model and simplified model, (a) velocity distribution cloud map and (b) velocity distribution on Y-axis characteristic line. Figure S4. Solar radiation distribution on reactor wall (a) column model, (b) simplified reactor group model. Figure S5. Glass room structure diagram. Figure S6. Glasshouse model structure and physical model diagram. Table S1 Boundary temperature conditions of the Glasshouse calculation model. Table S2 Boundary radiation setting of the Glasshouse calculation model. Table S3 Material property setting of the Glasshouse calculation model.
Author Contributions
Conceptualization, X.L. and J.L.; methodology, X.L.; software, Y.C.; validation, G.Z. and Z.T.; formal analysis, Z.H.; data curation, Y.L.; writing—original draft preparation, Y.L. and Y.X.; writing—review and editing, W.L.; supervision, J.C.; project administration, J.C. All authors have read and agreed to the published version of the manuscript.
Funding
This study was supported by National Key R&D Program of China (2024YFB4106504) and Leading Goose Research and Development Program of Zhejiang Province—China (2024C03110).
Data Availability Statement
The authors confirm that the data supporting the findings of this study are available within the article [and/or its Supplementary Materials].
Conflicts of Interest
The authors Xiangjin Liang, Jun Lu, Yapeng Chen, Guangbiao Zhou and Zeyan Tao are employed by the company SPIC Zhuhai Hengqin Cogeneration Co., Ltd. The remaining authors declare that the research was conducted in the absence of any commercial or financial relationships that could be construed as a potential conflict of interest.
Abbreviations
The following abbreviations are used in this manuscript:
| CO2 | Carbon Dioxide |
| LED | Light Emitting Diode |
References
- Sung, Y.J.; Lee, J.S.; Yoon, H.K.; Ko, H.; Sim, S.J. Outdoor cultivation of microalgae in a coal-fired power plant for conversion of flue gas CO2 into microalgal direct combustion fuels. Syst. Microbiol. Biomanuf. 2020, 1, 90–99. [Google Scholar] [CrossRef]
- Premaratne, M.; Liyanaarachchi, V.C.; Nishshanka, G.K.S.H.; Nimarshana, P.H.V.; Ariyadasa, T.U. Nitrogen-limited cultivation of locally isolated Desmodesmus sp. for sequestration of CO2 from simulated cement flue gas and generation of feedstock for biofuel production. J. Environ. Chem. Eng. 2021, 9, 105765. [Google Scholar] [CrossRef]
- Nagappan, S.; Tsai, P.-C.; Devendran, S.; Alagarsamy, V.; Ponnusamy, V.K. Enhancement of biofuel production by microalgae using cement flue gas as substrate. Environ. Sci. Pollut. Res. 2019, 27, 17571–17586. [Google Scholar] [CrossRef] [PubMed]
- Khan, S.; Naushad, M.; Iqbal, J.; Bathula, C.; Sharma, G. Production and harvesting of microalgae and an efficient operational approach to biofuel production for a sustainable environment. Fuel 2022, 311, 122543. [Google Scholar] [CrossRef]
- Kalinina, A.; Naumov, V.; Verakhina, A.; Ovchinnikova, S.; Yakovleva, D.; Dobrov, A.; Sokolova, T.; Lukyanova, J.; Afanasieva, P. Study of the Influence of the Temperature and Time of Microalgae Cultivation on the Reproduction Rate of Chlorella and Scenedesmus Microalgae When Cultured in a Tubular Photobioreactor. Microbiol. Res. 2023, 14, 2105–2112. [Google Scholar] [CrossRef]
- Gani, P.; Hua, A.K.; Sunar, N.M.; Matias-Peralta, H.M.; Apandi, N. The influence of photoperiod, light intensity, temperature and salinity on the growth rate and biomass productivity of Botryococcus sp. IOP Conf. Ser. Earth Environ. Sci. 2021, 646, 012006. [Google Scholar]
- Guo, W.; Cheng, J.; Song, Y.; Liu, S.; Ali, K.A.; Kumar, S. Three-dimensional numerical simulation of light penetration in an optimized flow field composed of microalgae cells, carbon dioxide bubbles and culture medium. Bioresour. Technol. 2019, 292, 121979. [Google Scholar] [CrossRef]
- Abu-Ghosh, S.; Fixler, D.; Dubinsky, Z.; Iluz, D. Flashing light in microalgae biotechnology. Bioresour. Technol. 2016, 203, 357–363. [Google Scholar] [CrossRef]
- Ye, Q.; Cheng, J.; Liu, S.; Qiu, Y.; Zhang, Z.; Guo, W.; An, Y. Improving light distribution and light/dark cycle of 900 L tangential spiral−flow column photobioreactors to promote CO2 fixation with Arthrospira sp. cells. Sci. Total Environ. 2020, 720, 137611. [Google Scholar] [CrossRef]
- Keramati, A.; Azizi, S.; Hashemi, A.; Shariati, F.P. Effects of flashing light-emitting diodes (LEDs) on membrane fouling in a reciprocal membrane photobioreactor (RMPBR) to assess nitrate and phosphate removal from whey wastewater. J. Appl. Phycol. 2021, 33, 1513–1524. [Google Scholar] [CrossRef]
- Ye, Q.; Cheng, J.; Guo, W.; Xu, J.; Li, H.; Zhou, J. Numerical simulation on promoting light/dark cycle frequency to improve microalgae growth in photobioreactor with serial lantern-shaped draft tube. Bioresour. Technol. 2018, 266, 89–96. [Google Scholar] [CrossRef] [PubMed]
- Sierra, E.; Acién, F.G.; Fernández, J.M.; García, J.L.; González, C.; Molina, E. Characterization of a flat plate photobioreactor for the production of microalgae. Chem. Eng. J. 2008, 138, 136–147. [Google Scholar] [CrossRef]
- Ooms, M.D.; Dinh, C.T.; Sargent, E.H.; Sinton, D. Photon management for augmented photosynthesis. Nat. Commun. 2016, 7, 12699. [Google Scholar] [CrossRef] [PubMed]
- Sun, Y.; Huang, Y.; Liao, Q.; Fu, Q.; Zhu, X. Enhancement of microalgae production by embedding hollow light guides to a flat-plate photobioreactor. Bioresour. Technol. 2016, 207, 31–38. [Google Scholar] [CrossRef]
- Razzak, S.A.; Ali, S.A.M.; Hossain, M.M.; deLasa, H. Biological CO2 fixation with production of microalgae in wastewater—A review. Renew. Sustain. Energy Rev. 2017, 76, 379–390. [Google Scholar] [CrossRef]
- Choi, Y.Y.; Hong, M.-E.; Chang, W.S.; Sim, S.J. Autotrophic Biodiesel Production from the Thermotolerant Microalga Chlorella sorokiniana by Enhancing the Carbon Availability with Temperature Adjustment. Biotechnol. Bioprocess Eng. 2019, 24, 223–231. [Google Scholar] [CrossRef]
- Zhang, S.; Liu, Z. Advances in the biological fixation of carbon dioxide by microalgae. J. Chem. Technol. Biotechnol. 2021, 96, 1475–1495. [Google Scholar] [CrossRef]
- Raptis, K.; Spinellis, D.; Katsikas, S. Multi-technology distributed objects and their integration. Comput. Stand. Interfaces 2001, 23, 157–168. [Google Scholar] [CrossRef]
- Wu, F.; Zhang, L.; Xu, F.; Chen, J.; Chen, X. Numerical simulation of the thermal environment in a mechanically ventilated greenhouse. Nongye Jixie Xuebao = Trans. Chin. Soc. Agric. Mach. 2010, 41, 153–158. [Google Scholar]
- De-Bashan, L.E.; Trejo, A.; Huss, V.A.; Hernandez, J.P.; Bashan, Y. Chlorella sorokiniana UTEX 2805, a heat and intense, sunlight-tolerant microalga with potential for removing ammonium from wastewater. Bioresour. Technol. 2008, 99, 4980–4989. [Google Scholar] [CrossRef]
- Nam, S.W.; Kim, Y.S. Greenhouse cooling using air duct and integrated fan and pad system. J. Bio-Environ. Control 2011, 20, 176–181. [Google Scholar]
- Pakari, A.; Ghani, S. Evaluation of a novel greenhouse design for reduced cooling loads during the hot season in subtropical regions. Sol. Energy 2019, 181, 234–242. [Google Scholar] [CrossRef]
- Androga, D.D.; Uyar, B.; Koku, H.; Eroglu, I. Dynamic modeling of temperature change in outdoor operated tubular photobioreactors. Bioprocess Biosyst. Eng. 2017, 40, 1017–1031. [Google Scholar] [CrossRef] [PubMed]
- Song, Y.; Cheng, J.; Lai, X.; Guo, W.; Yang, W. Developing a three-dimensional tangential swirl plate photobioreactor to enhance mass transfer and flashlight effect for microalgal CO2 fixation. Chem. Eng. Sci. 2021, 244, 116837. [Google Scholar] [CrossRef]
- Hindersin, S.; Leupold, M.; Kerner, M.; Hanelt, D. Key parameters for outdoor biomass production of Scenedesmus obliquus in solar tracked photobioreactors. J. Appl. Phycol. 2014, 26, 2315–2325. [Google Scholar] [CrossRef]
- Wang, X.-W.; Luo, J.-Y.; Li, X.-P. CFD Based Study of Heterogeneous Microclimate in a Typical Chinese Greenhouse in Central China. J. Integr. Agric. 2013, 12, 914–923. [Google Scholar] [CrossRef]
- Rasheed, A.; Kwak, C.S.; Kim, H.T.; Lee, H.W. Building Energy an Simulation Model for Analyzing Energy Saving Options of Multi-Span Greenhouses. Appl. Sci. 2020, 10, 6884. [Google Scholar] [CrossRef]
Disclaimer/Publisher’s Note: The statements, opinions and data contained in all publications are solely those of the individual author(s) and contributor(s) and not of MDPI and/or the editor(s). MDPI and/or the editor(s) disclaim responsibility for any injury to people or property resulting from any ideas, methods, instructions or products referred to in the content. |
© 2025 by the authors. Licensee MDPI, Basel, Switzerland. This article is an open access article distributed under the terms and conditions of the Creative Commons Attribution (CC BY) license (https://creativecommons.org/licenses/by/4.0/).











