Effects of Eurotium cristatum Fermentation on Tartary Buckwheat Leaf Tea: Sensory Analysis, Volatile Compounds, Non-Volatile Profile and Antioxidant Activity
Abstract
1. Introduction
2. Materials and Methods
2.1. Sample Processing and Collection
2.2. Processing of Tartary Buckwheat Raw Leaf Tea
2.3. Processing of Fermented Tartary Buckwheat Leaf Tea
2.4. Sensory Evaluation
2.5. Determination of Water Extracts and Content
2.6. Determination of Total Polyphenol Content
2.7. Determination of Total Flavonoid Content
2.8. Determination of Soluble Sugar Content
2.9. Determination of Free Amino Acids Content
2.10. Determination of the Content of Tea Infusions
2.11. Determination of Tea Pigment Content
2.12. Electronic Tongue Intelligent Sensory Analysis
2.13. Analysis of Volatile Aroma Components
2.14. Determination of Antioxidant Activity
2.15. Determination of DPPH Free Radical Clearance
2.16. Determination of ABTS Free Radical Clearance
2.17. Reducing Power Assay
2.18. UPLC Conditions
2.19. ESI-Q TRAP-MS/MS Conditions
2.20. HS-SPME-GC/MS Conditions
2.21. Statistical Analysis
3. Results and Discussion
3.1. Processing of Fermented Tartary Buckwheat Leaf Tea
3.1.1. Tartary Buckwheat Leaves at Different Growth Stages
3.1.2. Optimization of Tartary Buckwheat Raw Leaf Tea Process
3.1.3. Processing of Fermented Tartary Buckwheat Leaf Tea by E. cristatum
3.2. Quality Evaluation of Fermented Tartary Buckwheat Leaf Tea
3.2.1. Sensory Characteristics

3.2.2. Analysis of Volatile Components
3.2.3. Analysis of Non-Volatile Components
- 1.
- Main Tea Chemical Composition
- 2.
- Free amino acid
- 3.
- The metabolic change after E. cristatum fermentation
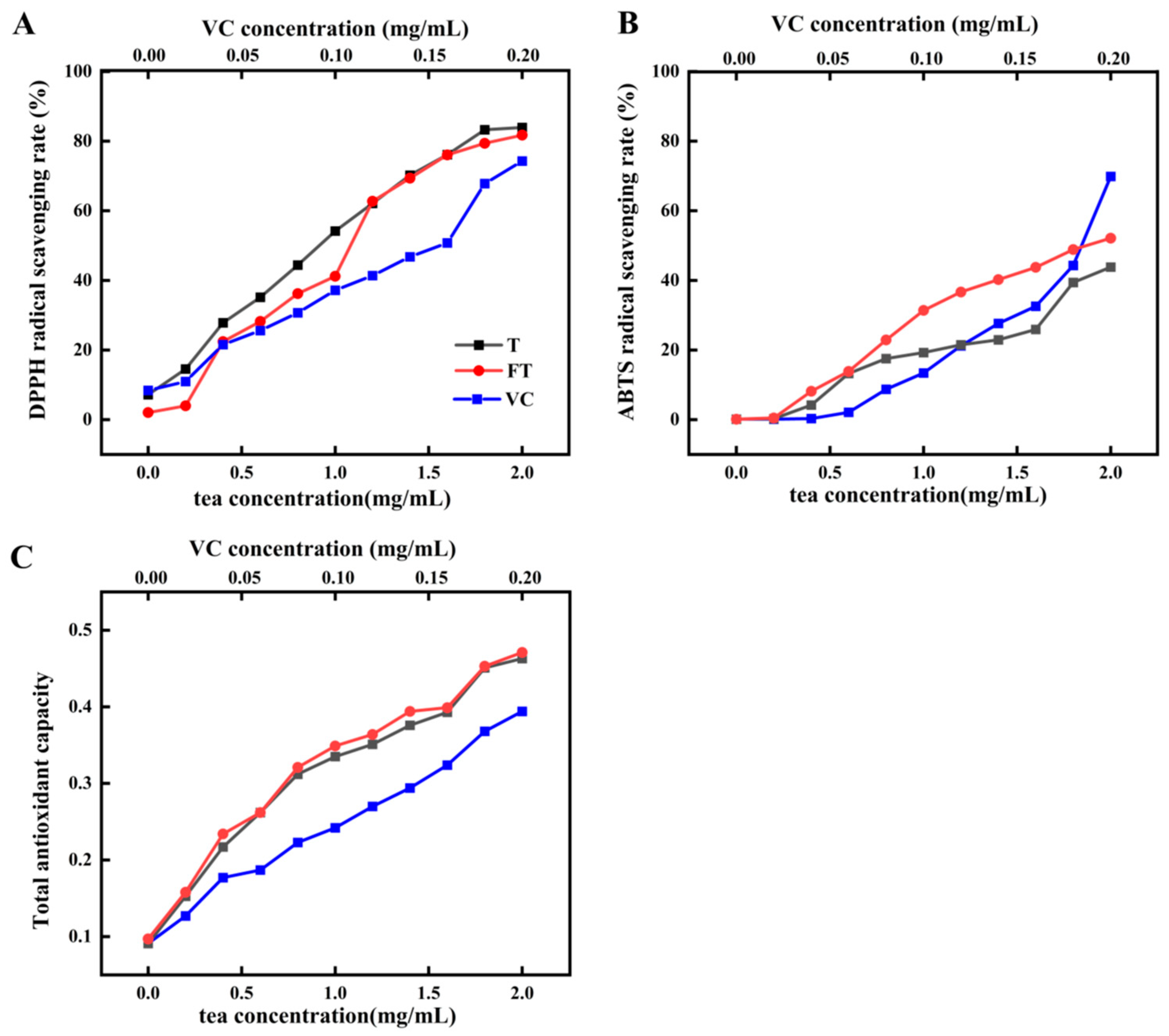
3.2.4. Analysis of the Antioxidant Activity
4. Conclusions
Supplementary Materials
Author Contributions
Funding
Institutional Review Board Statement
Informed Consent Statement
Data Availability Statement
Acknowledgments
Conflicts of Interest
References
- Zinn, J. On variation in Tartary buckwheat, Fagopyrum tataricum (L.) Gaertn. Genetics 1919, 4, 534–586. [Google Scholar] [CrossRef]
- Zhu, F. Buckwheat starch: Structures, properties, and applications. Trends Food Sci. Technol. 2016, 49, 121–135. [Google Scholar] [CrossRef]
- Jin, J.; Ohanenye, I.C.; Udenigwe, C.C. Buckwheat proteins: Functionality, safety, bioactivity, and prospects as alternative plant-based proteins in the food industry. Crit. Rev. Food Sci. 2022, 62, 1752–1764. [Google Scholar] [CrossRef] [PubMed]
- Zhu, F. Chemical composition and health effects of Tartary buckwheat. Food Chem. 2016, 203, 231–245. [Google Scholar] [CrossRef]
- Zou, L.; Wu, D.; Ren, G.; Hu, Y.; Peng, L.; Zhao, J.; Xiao, J. Bioactive compounds, health benefits, and industrial applications of Tartary buckwheat (Fagopyrum tataricum). Crit. Rev. Food Sci. 2021, 63, 657–673. [Google Scholar] [CrossRef]
- Zhao, C.Y.; Wang, F.; Lian, Y.H.; Xiao, H.; Zheng, J.K. Biosynthesis of citrus flavonoids and their health effects. Crit. Rev. Food Sci. 2020, 60, 566–583. [Google Scholar] [CrossRef] [PubMed]
- Grosso, G. Effects of Polyphenol-Rich Foods on Human Health. Nutrients 2018, 10, 1089. [Google Scholar] [CrossRef]
- Li, J.; Yang, P.; Yang, Q.; Gong, X.; Ma, H.; Dang, K.; Chen, G.; Gao, X.; Feng, B. Analysis of Flavonoid Metabolites in Buckwheat Leaves Using UPLC-ESI-MS/MS. Molecules 2019, 24, 1310. [Google Scholar] [CrossRef] [PubMed]
- Dziadek, K.; Kopec, A.; Piatkowska, E.; Leszczynska, T.; Pisulewska, E.; Witkowicz, R.; Bystrowska, B.; Francik, R. Identification of polyphenolic compounds and determination of antioxidant activity in extracts and infusions of buckwheat leaves. Eur. Food Res. Technol. 2018, 244, 333–343. [Google Scholar] [CrossRef]
- Zhang, X.Y.; Chen, J.; Li, X.L.; Yi, K.; Ye, Y.; Liu, G.; Wang, S.F.; Hu, H.L.; Zou, L.; Wang, Z.G. Dynamic changes in antioxidant activity and biochemical composition of tartary buckwheat leaves during Aspergillus niger fermentation. J. Funct. Foods 2017, 32, 375–381. [Google Scholar] [CrossRef]
- Zhu, M.Z.; Li, N.; Zhou, F.; Jian, O.Y.; Lu, D.M.; Xu, W.; Li, J.; Lin, H.Y.; Zhang, Z.; Xiao, J.B.; et al. Microbial Bioconversion of the chemical components in dark tea. Food Chem. 2020, 312, 126043. [Google Scholar] [CrossRef] [PubMed]
- Xiao, Y.; Li, M.Y.; Liu, Y.; Xu, S.R.; Zhong, K.; Wu, Y.P.; Gao, H. The effect of E. cristatum (MF800948) fermentation on the quality of autumn green tea. Food Chem. 2021, 358, 129848. [Google Scholar] [CrossRef]
- Chen, M.X.; Zu, Z.Q.; Shen, S.S.; An, T.T.; Zhang, H.W.; Lu, H.Q.; Fu, M.Y.; Wen, Y.; Chen, Q.; Gao, X.L. Dynamic changes in the metabolite profile and taste characteristics of loose-leaf dark tea during solid-state fermentation by E. cristatum. LWT-Food Sci. Technol. 2023, 176, 114528. [Google Scholar] [CrossRef]
- Jiang, C.K.; Zeng, Z.; Huang, Y.H.; Zhang, X. Chemical compositions of Pu’er tea fermented by E. cristatum and their lipid-lowering activity. LWT-Food Sci. Technol. 2018, 98, 204–211. [Google Scholar] [CrossRef]
- Li, Q.; Liu, Z.H.; Huang, J.A.; Luo, G.A.; Liang, Q.L.; Wang, D.; Ye, X.Y.; Wu, C.B.; Wang, L.L.; Hu, J.H. Anti-obesity and hypolipidemic effects of Fuzhuan brick tea water extract in high-fat diet-induced obese rats. J. Sci. Food Agric. 2013, 93, 1310–1316. [Google Scholar] [CrossRef]
- Keller, A.C.; Weir, T.L.; Broeckling, C.D.; Ryan, E.P. Antibacterial activity and phytochemical profile of fermented Camellia sinensis (fuzhuan tea). Food Res. Int. 2013, 53, 945–949. [Google Scholar] [CrossRef]
- GB/T 23776-2018; Methodology for Sensory Evaluation of Tea. Standards Press of China: Beijing, China, 2018.
- GB 5009.3-2016; Determination of Water Content in Food. Standards Press of China: Beijing, China, 2016.
- GB/T 8313-2018; Determination of Total Polyphenols and Catechins Content in Tea. Standards Press of China: Beijing, China, 2018.
- Salman, S.; Oz, G.; Felek, R.; Haznedar, A.; Turna, T.; Ozdemir, F. Effects of fermentation time on phenolic composition, antioxidant and antimicrobial activities of green, oolong, and black teas. Food Biosci. 2022, 49, 01884. [Google Scholar] [CrossRef]
- NY/T 1295-2007; Determination of Flavones in Buckwheat and Its Products. Standards Press of China: Beijing, China, 2007.
- Huang, W.M.; Zhang, C.Y.; Gu, Z.P.; Li, C.; Fang, Z.F.; Zeng, Z.; Zhang, Z.Q.; Hu, B.; Chen, H.; Wu, W.J.; et al. Effect of microbial fermentation on the sensory characteristics and chemical compositions of Chinese sweet tea (Lithocarpus litseifolius (Hance) Chun). Food Biosci. 2022, 46, 101567. [Google Scholar] [CrossRef]
- Jabeen, S.; Alam, S.; Saleem, M.; Ahmad, W.; Bibi, R.; Hamid, F.S.; Shah, H.U. Withering timings affect the total free amino acids and mineral contents of tea leaves during black tea manufacturing. Arab. J. Chem. 2019, 12, 2411–2417. [Google Scholar] [CrossRef]
- GB/T 8305-2013; Tea-Determination of Water Extracts Content. Press of China: Beijing, China, 2013.
- ISO 9768: 1994; Determination of Water Extracts Contents. Standards Press of China: Beijing, China, 1994.
- Huang, Y.Y.; Xiao, X.D.; Cong, L.; Wu, M.Y.; Huang, Y.J.; Yao, Y.N. A fermented tea with high levels of gallic acid processed by anaerobic solid-state fermentation. LWT-Food Sci. Technol. 2016, 71, 260–267. [Google Scholar] [CrossRef]
- Wang, Q.P.; Peng, C.X.; Gong, J.S. Effects of enzymatic action on the formation of theabrownin during solid state fermentation of Pu-erh tea. J. Sci. Food Agric. 2011, 91, 2412–2418. [Google Scholar] [CrossRef] [PubMed]
- Qi, D.D.; Miao, A.Q.; Cao, J.X.; Wang, W.W.; Chen, W.; Pang, S.; He, X.G.; Ma, C.Y. Study on the effects of rapid aging technology on the aroma quality of white tea using GC-MS combined with chemometrics: In comparison with natural aged and fresh white tea. Food Chem. 2018, 265, 189–199. [Google Scholar] [CrossRef]
- Wang, Y.X.; Xu, Z.Z.; Wen, X.; Li, M.; Pang, S.C.; Huang, Y.Q.; Ni, Y.Y. The formation and bioactivities of green substances in Chrysanthemum morifolium tea. Food Chem. 2019, 286, 268–274. [Google Scholar] [CrossRef] [PubMed]
- Li, Y.; Bao, T.; Chen, W. Comparison of the protective effect of black and white mulberry against ethyl carbamate-induced cytotoxicity and oxidative damage. Food Chem. 2018, 243, 65–73. [Google Scholar] [CrossRef] [PubMed]
- Tan, L.H.; Zhang, D.; Wang, G.; Yu, B.; Zhao, S.P.; Wang, J.W.; Yao, L.; Cao, W.G. Comparative analyses of flavonoids compositions and antioxidant activities of Hawk tea from six botanical origins. Ind. Crop Prod. 2016, 80, 123–130. [Google Scholar] [CrossRef]
- Qu, F.F.; Zhu, X.J.; Ai, Z.Y.; Ai, Y.J.; Qiu, F.F.; Ni, D.J. Effect of different drying methods on the sensory quality and chemical components of black tea. LWT-Food Sci. Technol. 2019, 99, 112–118. [Google Scholar] [CrossRef]
- Ren, G.X.; Li, T.H.; Wei, Y.M.; Ning, J.M.; Zhang, A.Z. Estimation of Congou black tea quality by an electronic tongue technology combined with multivariate analysis. Microchem. J. 2021, 163, 105899. [Google Scholar] [CrossRef]
- Du, J.J.; Wu, X.H.; Sun, S.L.; Qin, Y.A.; Liao, K.B.; Liu, X.C.; Qiu, R.J.; Long, Z.R.; Zhang, L.Z. Study on inoculation fermentation by fungi to improve the taste quality of summer green tea. Food Biosci. 2023, 51, 102321. [Google Scholar] [CrossRef]
- Wang, K.B.; Liu, F.; Liu, Z.H.; Huang, J.A.; Xu, Z.X.; Li, Y.H.; Chen, J.H.; Gong, Y.S.; Yang, X.H. Comparison of catechins and volatile compounds among different types of tea using high performance liquid chromatograph and gas chromatograph mass spectrometer. Int. J. Food Sci. Technol. 2011, 46, 1406–1412. [Google Scholar] [CrossRef]
- Lv, H.; Zhong, Q.S.; Lin, Z.; Wang, L.; Tan, J.F.; Guo, L. Aroma characterization of Pu-erh tea using headspace-solid phase microextraction combined with GC-MS and GC-olfactometry. Food Chem. 2012, 130, 1074–1081. [Google Scholar] [CrossRef]
- Du, Y.; Yang, W.R.; Yang, C.C.; Yang, X.B. A comprehensive review on microbiome, aromas and flavors, chemical composition, nutrition and future prospects of Fuzhuan brick tea. Trends Food Sci. Technol. 2022, 119, 452–466. [Google Scholar] [CrossRef]
- Cheng, L.Z.; Yang, Q.Q.; Chen, Z.Y.; Zhang, J.R.; Chen, Q.; Wang, Y.F.; Wei, X.L. Distinct changes of metabolic profile and sensory quality during Qingzhuan tea processing revealed by LC-MS-based metabolomics. J. Agric. Food Chem. 2020, 68, 4955–4965. [Google Scholar] [CrossRef] [PubMed]
- Zou, Y.; Qi, G.N.; Chen, S.X.; Tan, L.Q.; Li, W.; Liu, T.T. A simple method based on image processing to estimate primary pigment levels of Sichuan Dark Tea during post-fermentation. Eur. Food Res. Technol. 2014, 239, 357–363. [Google Scholar] [CrossRef]
- Zhu, Y.F.; Chen, J.J.; Ji, X.M.; Hu, X.; Ling, T.J.; Zhang, Z.Z.; Bao, G.H.; Wan, X.C. Changes of major tea polyphenols and production of four new B-ring fission metabolites of catechins from post-fermented Jing-Wei Fu brick tea. Food Chem. 2015, 170, 110–117. [Google Scholar] [CrossRef] [PubMed]
- Zou, J.M.; Song, Z.R.; Cai, D.L.; Cai, B.Y.; Zhang, J.H.; Zhang, G.G. Analysis on the Main Active Components and Antioxidant Activity of Tieguanyin Tea Fermentation by E. cristatum. Sci. Technol. Food Ind. 2021, 42, 369–375. [Google Scholar]
- Xiao, Y.; Li, M.Y.; Wu, Y.P.; Zhong, K.; Gao, H. Structural characteristics and hypolipidemic activity of theabrownins from dark tea fermented by single species E. cristatum PW-1. Biomolecules 2020, 10, 204. [Google Scholar] [CrossRef] [PubMed]
- Li, B.R.; Fu, L.; Kojima, R.; Yamamoto, A.; Ueno, T.; Matsui, T. Theaflavins prevent the onset of diabetes through ameliorating glucose tolerance mediated by promoted incretin secretion in spontaneous diabetic Torii rats. J. Funct. Foods 2021, 86, 104702. [Google Scholar] [CrossRef]
- Ma, B.S.; Wang, J.C.; Xu, C.C.; Wang, Z.Y.; Yin, D.F.; Zhou, B.X.; Ma, C.Q. Interrelation analysis between phenolic compounds and in vitro antioxidant activities in Pu-erh tea. LWT-Food Sci. Technol. 2022, 158, 113117. [Google Scholar] [CrossRef]
- Li, Q.; Jin, Y.L.; Jiang, R.G.; Xu, Y.Q.; Zhang, Y.Y.; Luo, Y.; Huang, J.N.; Wang, K.B.; Liu, Z.H. Dynamic changes in the metabolite profile and taste characteristics of Fu brick tea during the manufacturing process. Food Chem. 2021, 344, 128576. [Google Scholar] [CrossRef]
- Zhu, Y.C.; Luo, Y.H.; Wang, P.P.; Zhao, M.Y.; Li, L.; Hu, X.S.; Chen, F. Simultaneous determination of free amino acids in Pu-erh tea and their changes during fermentation. Food Chem. 2016, 194, 643–649. [Google Scholar] [CrossRef]
- Wen, L.H.; Sun, L.L.; Chen, R.H.; Li, Q.H.; Lai, X.F.; Cao, J.X.; Lai, Z.X.; Zhang, Z.B.; Li, Q.; Song, G.; et al. Metabolome and Microbiome Analysis to Study the Flavor of Summer Black Tea Improved by Stuck Fermentation. Foods 2023, 12, 3414. [Google Scholar] [CrossRef] [PubMed]
- Germ, M.; Árvay, J.; Vollmannová, A.; Tóth, T.; Golob, A.; Luthar, Z.; Kreft, I. The temperature threshold for the transformation of rutin to quercetin in Tartary buckwheat dough. Food Chem. 2019, 283, 28–31. [Google Scholar] [CrossRef] [PubMed]
- Zhang, X.; Du, X.; Li, Y.Z.; Nie, C.N.; Wang, C.M.; Bian, J.L.; Luo, F. Are organic acids really related to the sour taste difference between Chinese black tea and green tea? Food Sci. Nutr. 2022, 10, 2071–2081. [Google Scholar] [CrossRef] [PubMed]
- Ou, K.Q.; Gu, L.W. Absorption and metabolism of proanthocyanidins. J. Funct. Foods 2014, 7, 43–53. [Google Scholar] [CrossRef]
- Li, Z.; Feng, C.; Luo, X.; Yao, H.; Zhang, D.; Zhang, T. Revealing the influence of microbiota on the quality of Pu-erh tea during fermentation process by shotgun metagenomic and metabolomic analysis. Food Microbiol. 2018, 76, 405–415. [Google Scholar] [CrossRef] [PubMed]
- Xiao, Y.; He, C.; Chen, Y.L.; Ho, C.T.; Wu, X.; Huang, Y.X.; Gao, Y.; Hou, A.X.; Li, Z.J.; Wang, Y.L.; et al. UPLC-QQQ-MS/MS-based widely targeted metabolomic analysis reveals the effect of solid-state fermentation with Eurotium cristatum on the dynamic changes in the metabolite profile of dark tea. Food Chem. 2022, 378, 131999. [Google Scholar] [CrossRef] [PubMed]
- Wen, M.C.; Han, Z.S.; Cui, Y.Q.; Ho, C.T.; Wan, X.C.; Zhang, L. Identification of 4-O-p-coumaroylquinic acid as astringent compound of Keemun black tea by efficient integrated approaches of mass spectrometry, turbidity analysis and sensory evaluation. Food Chem. 2022, 368, 130803. [Google Scholar] [CrossRef] [PubMed]
- Fu, N.; Wang, X.C. Research Progress in Interactions between Taste-Active Components. Food Sci. 2014, 35, 269–275. [Google Scholar]
- Liu, G.Y.; Zhu, W.Q.; Zhang, J.; Song, D.D.; Xu, X. Antioxidant capacity of phenolic compounds separated from tea seed oil in vitro and in vivo. Food Chem. 2022, 371, 131122. [Google Scholar] [CrossRef]
- Yang, J.; Liu, R.H. The phenolic profiles and antioxidant activity in different types of tea. Int. J. Food Sci. Technol. 2012, 48, 163–171. [Google Scholar] [CrossRef]






| Growth Stages | Leaf Number | Leaf Area | Leaf State | Content of Total Flavonoids |
|---|---|---|---|---|
| cotyledon | 2 | quite small | - | 40.78 ± 0.67 mg/g |
| seedling | ~10 | 6 cm × 4 cm | soft | 42.21 ± 0.72 mg/g |
| flowering | ~50 | 10 cm × 10 cm | strong and firm | 46.41 ± 0.56 mg/g |
| filling | ~50 | 12 cm × 10 cm | strong and firm | 47.45 ± 0.82 mg/g |
| maturation | <50 | 12 cm × 10 cm | aged and dotted | 36.66 ± 1.11 mg/g |
Disclaimer/Publisher’s Note: The statements, opinions and data contained in all publications are solely those of the individual author(s) and contributor(s) and not of MDPI and/or the editor(s). MDPI and/or the editor(s) disclaim responsibility for any injury to people or property resulting from any ideas, methods, instructions or products referred to in the content. |
© 2024 by the authors. Licensee MDPI, Basel, Switzerland. This article is an open access article distributed under the terms and conditions of the Creative Commons Attribution (CC BY) license (https://creativecommons.org/licenses/by/4.0/).
Share and Cite
Jiang, L.; Han, X.; Wang, L.; Zheng, H.; Ma, G.; Wang, X.; Tang, Y.; Zheng, X.; Liu, C.; Wan, Y.; et al. Effects of Eurotium cristatum Fermentation on Tartary Buckwheat Leaf Tea: Sensory Analysis, Volatile Compounds, Non-Volatile Profile and Antioxidant Activity. Fermentation 2024, 10, 369. https://doi.org/10.3390/fermentation10070369
Jiang L, Han X, Wang L, Zheng H, Ma G, Wang X, Tang Y, Zheng X, Liu C, Wan Y, et al. Effects of Eurotium cristatum Fermentation on Tartary Buckwheat Leaf Tea: Sensory Analysis, Volatile Compounds, Non-Volatile Profile and Antioxidant Activity. Fermentation. 2024; 10(7):369. https://doi.org/10.3390/fermentation10070369
Chicago/Turabian StyleJiang, Liangzhen, Xiao Han, Luo Wang, Haonan Zheng, Gen Ma, Xiao Wang, Yuanmou Tang, Xiaoqin Zheng, Changying Liu, Yan Wan, and et al. 2024. "Effects of Eurotium cristatum Fermentation on Tartary Buckwheat Leaf Tea: Sensory Analysis, Volatile Compounds, Non-Volatile Profile and Antioxidant Activity" Fermentation 10, no. 7: 369. https://doi.org/10.3390/fermentation10070369
APA StyleJiang, L., Han, X., Wang, L., Zheng, H., Ma, G., Wang, X., Tang, Y., Zheng, X., Liu, C., Wan, Y., & Xiang, D. (2024). Effects of Eurotium cristatum Fermentation on Tartary Buckwheat Leaf Tea: Sensory Analysis, Volatile Compounds, Non-Volatile Profile and Antioxidant Activity. Fermentation, 10(7), 369. https://doi.org/10.3390/fermentation10070369

