Changes in Volatile Compounds and Quality Characteristics of Salted Shrimp Paste Stored in Different Packaging Containers
Abstract
1. Introduction
2. Materials and Methods
2.1. Preparation of Salted Shrimp Paste
2.2. Characterization of Salted Shrimp Paste Quality
2.2.1. Water Activity (aw), pH and Color
2.2.2. Browning Intensity
2.2.3. Thiobarbituric Acid Reactive Substances (TBARS) Value
2.2.4. Amino Nitrogen Content
2.2.5. Inorganic Contaminants
2.2.6. Microbial Loads
2.2.7. Volatile Compounds
2.2.8. Biogenic Amines (BAs)
2.2.9. Sensory Evaluation
2.3. Study on the Quality Changes of Salted Shrimp Paste Stored in Different Packaging Containers during Storage
- (1)
- Polypropylene container (6.5 × 7.0 cm) with plastic lid (PP);
- (2)
- Polyethylene terephthalate container (7.0 × 8.5 cm) with plastic lid (PET);
- (3)
- Glass jar container (6.0 × 7.0 cm) with plastic lid (GJ);
- (4)
- LLDPE/Nylon vacuum bag (15 × 25 cm)(VB) *.
2.4. Statistical Analysis
3. Results and Discussion
3.1. Quality Characteristics of Salted Shrimp Paste
3.2. Quality Changes of Salted Shrimp Paste Stored in Different Packaging Containers during Storage
3.2.1. Changes in aw, pH and Color
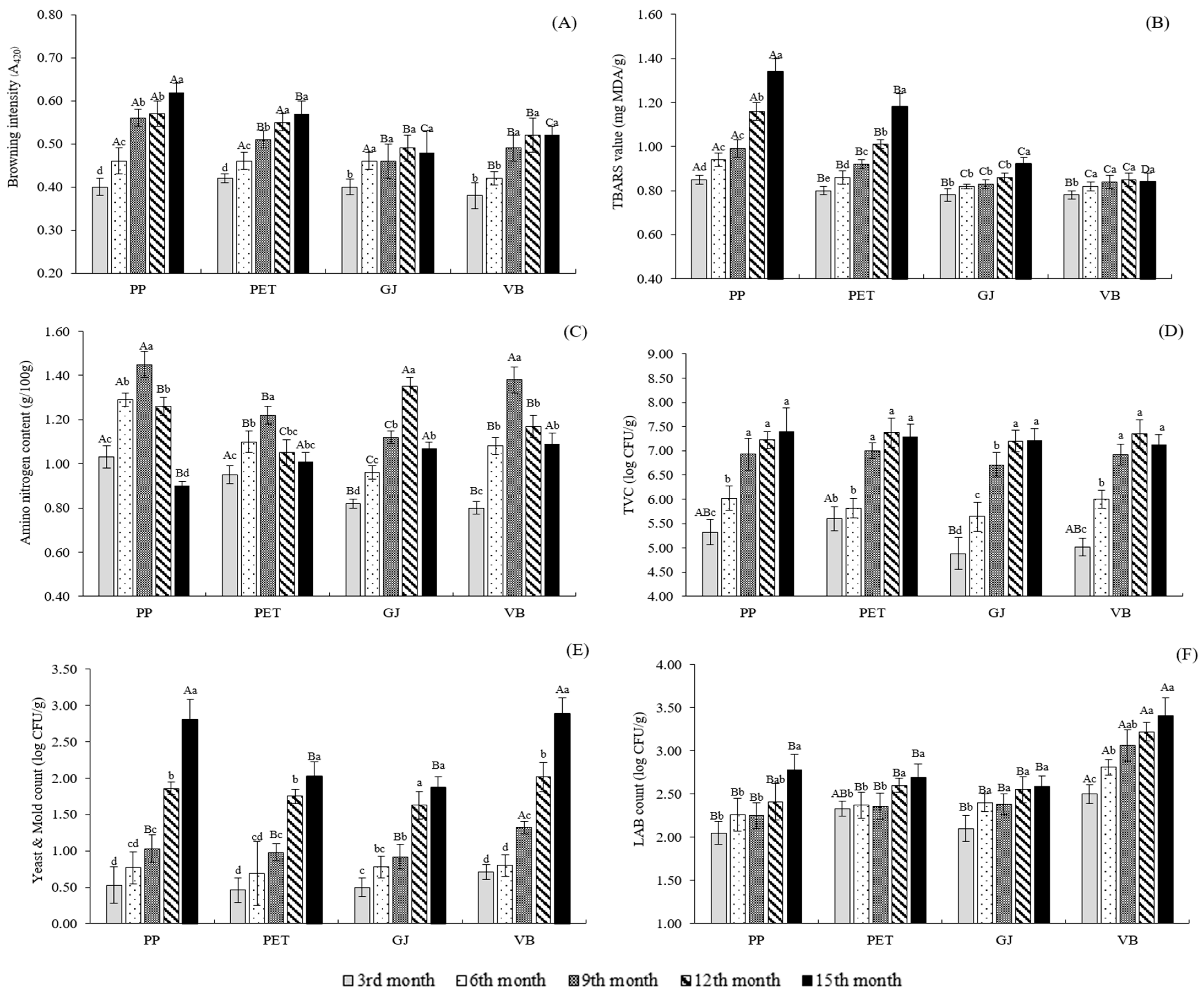
3.2.2. Changes in Browning Intensity (A420)
3.2.3. Changes in TBARS Value
3.2.4. Changes in Amino Nitrogen Content
3.2.5. Changes in Microbial Population
3.2.6. Changes in Volatile Compounds
3.2.7. Changes in BAs
3.2.8. Changes in Sensory Scores
3.2.9. Principle Component Analysis (PCA)
3.2.10. Inorganic Contaminants and Pathogens of Salted Shrimp Paste after 15 Months of Storage
4. Conclusions
Author Contributions
Funding
Institutional Review Board Statement
Informed Consent Statement
Data Availability Statement
Conflicts of Interest
References
- Hajeb, P.; Jinap, S. Umami taste components and their sources in Asian foods. Crit. Rev. Food Sci. Nutr. 2015, 55, 778–791. [Google Scholar] [CrossRef] [PubMed]
- Pongsetkul, J.; Benjakul, S.; Vongkamjan, K.; Sumpavapol, P.; Osako, K.; Faithong, N. Changes in volatile compounds, ATP related compounds and antioxidative properties of Kapi, produced from Acetes vulgaris, during processing and fermentation. Food Biosci. 2017, 19, 49–56. [Google Scholar] [CrossRef]
- Pongsetkul, J.; Benjakul, S.; Sumpavapol, P.; Kazufumi, O.; Faithong, N. Chemical composition and physical properties of salted shrimp paste (Kapi) produced in Thailand. Int. Aquat. Res. 2014, 6, 155–166. [Google Scholar] [CrossRef]
- Fahrudin, F. Innovative Packaging of Shrimp Paste (Belacan). Academia. 2019. Available online: https://www.academia.edu/42838769/INNOVATIVE_PACKAGING_OF_SHRIMP_PASTE_BELACAN (accessed on 16 December 2021).
- Ali, M.; Kusnadi, J.; Aulanniam, A.; Yunianta, Y. Amino acids, fatty acids and volatile compounds of terasi udang, an Indo-nesian shrimp paste, during fermentation. AACL Bioflux. 2020, 13, 938–950. [Google Scholar]
- TCPS. Thai Community Product Standard No. TCPS 61/2018: Kapi (Shrimp Paste); Thai Industrial Standards Institute: Bangkok, Thailand, 2018. [Google Scholar]
- AOAC. Official Method of Analysis; Association of Official Chemists: Gaithersberg, MA, USA, 2000. [Google Scholar]
- Nirmal, N.P.; Benjakul, S. Effect of ferulic acid on inhibition of polyphenoloxidase and quality changes of Pacific white shrimp (Litopenaeus vannamei) during iced storage. Food Chem. 2009, 116, 323–331. [Google Scholar] [CrossRef]
- Che, H.; Yu, J.; Sun, J.; Lu, K.; Xie, W. Bacterial composition changes and volatile compounds during the fermentation of shrimp paste: Dynamic changes of microbial communities and flavor composition. Food Biosci. 2021, 43, 101169. [Google Scholar] [CrossRef]
- Morgano, M.A.; Rabonato, L.C.; Milani, R.F.; Miyagusku, L.; Balian, S.C. Assessment of trace elements in fishes of Japanese foods marketed in São Paulo (Brazil). Food Control 2011, 22, 778–785. [Google Scholar] [CrossRef]
- BAM. Aerobic plate count. In Bacteriological Analytical Manual; Bryce, J., Ed.; U.S. Food and Drug Administration, E-Con Pub-lishing: New York, NY, USA, 2001; pp. 53–67. [Google Scholar]
- Sang, X.; Li, K.; Zhu, Y.; Ma, X.; Hao, H.; Bi, J.; Zhang, G.; Hou, H. The impact of microbial diversity on biogenic amines formation in grasshopper sub shrimp paste during the fermentation. Front. Microbiol. 2020, 11, 1–13. [Google Scholar] [CrossRef]
- Fennema, O.R. Water and ice. In Food Chemistry; Fennema, O.R., Ed.; Marcel Dekker: New York, NY, USA, 1996; pp. 17–94. [Google Scholar]
- Goulas, A.E.; Kontominas, M.G. Effect of salting and smoking-method on the keeping quality of chub mackerel (Scomber ja-ponicus): Biochemical and sensory attributes. Food Chem. 2005, 93, 511–520. [Google Scholar] [CrossRef]
- Cho, S.D.; Kim, G.H. Changes of quality characteristics of salt-fermented shrimp prepared with various salts. Korean J. Food Nutr. 2010, 23, 291–298. [Google Scholar]
- Handayani, B.R.; Ariyana, Z.M.D.; Amaro, R.M.; Ulfa, L.R. Quality Profiles of the Traditional Shrimp Paste of Lombok. In IOP Conference Series: Earth and Environmental Science; IOP Publishing: Bristol, UK, 2021; Volume 913, p. 012033. [Google Scholar]
- Cha, Y.J.; Cadwallader, K.R. Volatile compounds in salt-fermented fish and shrimp pastes. J. Food Sci. 1995, 60, 19–27. [Google Scholar] [CrossRef]
- Phithakpol, B. Fish fermentation technology in Thailand. In Fish Fermentation Technology, 4th ed.; Steinkraus, K.H., Reilly, P.J., Eds.; United Nation University Press: Tokyo, Japan, 1993; pp. 155–166. [Google Scholar]
- Pongsetkul, J.; Benjakul, S.; Vongkamjan, K.; Sumpavapol, P.; Osako, K.; Faithong, N. Microbiological and chemical changes of shrimp Acetes vulgaris during Kapi production. J. Food Sci. Tech. 2017, 54, 3473–3482. [Google Scholar] [CrossRef] [PubMed]
- Nakamura, A.; Kondo, A.; Takahashi, H.; Keeratipibul, S.; Kuda, T.; Kimura, B. Microbiological safety and microbiota of Kapi, Thai traditional fermented shrimp paste, from different sources. LWT-Food Sci. Technol. 2022, 154, 112763. [Google Scholar] [CrossRef]
- Robertson, G.L. Food Packaging and Shelf Life: A Practical Guide; CRC Press: Boca Raton, FL, USA, 2010. [Google Scholar]
- Massey, L.K. Permeability Properties of Plastics and Elastomers: A Guide to Packaging and Barrier Materials, 2nd ed.; William Andrew Publishing: Norwich, NY, USA, 2003. [Google Scholar]
- Ulya, S.; Ria, D.S. The use of Penaeus monodon shrimp head waste for terasi product the study of salt addition and fermentation time. J. Rekapangan 2016, 10, 67–72. [Google Scholar]
- Dissaraphong, S.; Benjakul, S.; Visessanguan, W.; Kishimura, H. The influence of storage conditions of tuna viscera before fermentation on the chemical, physical and microbiological changes in fish sauce during fermentation. Bioresour. Technol. 2006, 96, 2030–2040. [Google Scholar] [CrossRef] [PubMed]
- Kim, J.H.; Ahn, H.J.; Yook, H.S.; Kim, K.S.; Rhee, M.S.; Ryu, G.H.; Byun, M.W. Colour, flavour, and sensory characteristics of gamma-irradiated salted and fermented anchovy sauce. Radiat. Phys. Chem. 2004, 69, 179–187. [Google Scholar] [CrossRef]
- Ajandouz, E.H.; Tchiakpe, L.S.; Ore, F.D.; Benajiba, A.; Puigserver, A. Effects of pH on caramelization and Maillard reaction kinetics in fructose-lysine model systems. J. Food Sci. 2001, 66, 926–931. [Google Scholar] [CrossRef]
- Shahidi, F. Indicators for evaluation of lipid oxidation and off-flavor development in food. In Food Flavors: Formation, Analysis and Packaging Influences; Contis, E.T., Ho, C.-T., Mussinan, C.J., Parliment, T.H., Shahidi, F., Spanier, F.S., Eds.; Elsevier: Amsterdam, The Netherlands, 1998; Volume 40, pp. 55–68. [Google Scholar]
- Kleekayai, T.; Pinitklang, S.; Laohakunjit, N.; Suntornsuk, W. Volatile components and sensory characteristics of Thai tradi-tional fermented shrimp pastes during fermentation periods. J. Food Sci. Technol. 2016, 53, 1399–1410. [Google Scholar] [CrossRef]
- Helinck, S.; Bars, D.L.; Moreau, D.; Yvon, M. Ability of thermophilic lactic acid bacteria to produce aroma compounds from amino acids. Appl. Environ. Microbiol. 2004, 70, 3855–3861. [Google Scholar] [CrossRef]
- Labuda, I. Flavor compounds. In Encyclopedia of Microbiology, 3rd ed.; Schaechter, M., Ed.; Academic: San Diego, CA, USA, 2009; pp. 305–320. [Google Scholar]
- Giri, A.; Osako, K.; Ohshima, T. SPME technique for analyzing headspace volatiles in fish Miso, a Japanese fish meat-based fermented product. Biosci. Biotechnol. Biochem. 2010, 74, 1770–1776. [Google Scholar] [CrossRef][Green Version]
- Wittanalai, S.; Rakariyatham, N.; Deming, R.L. Volatile compounds of vegetarian soybean kapi, a fermented Thai food con-diment. Afr. J. Biotechnol. 2011, 10, 821–830. [Google Scholar]
- Varlet, V.; Fernandez, X. Sulfur-containing volatile compounds in seafood: Occurrence, odorant properties and mechanisms of formation. Food Sci. Technol. Int. 2010, 16, 463–503. [Google Scholar] [CrossRef] [PubMed]
- Song, S.; Tang, Q.; Fan, L.; Xu, X.; Song, Z.; Hayat, K. Identification of pork flavour precursors from enzyme-treated lard using Maillard model system assessed by GC-MS and partial least squares regression. Meat Sci. 2017, 124, 15–24. [Google Scholar] [CrossRef] [PubMed]
- Yu, J.; Lu, K.; Zi, J.; Yang, X.; Xie, W. Characterization of aroma profiles and aroma-active compounds in high-salt and low-salt shrimp paste by molecular sensory science. Food Biosci. 2022, 45, 101470. [Google Scholar] [CrossRef]
- Kubota, K.; Shijimaya, H.; Kobayashi, A. Volatile components of roasted shrimp. Agric. Biol. Chem. 1986, 50, 2867–2873. [Google Scholar] [CrossRef]
- Li, W.; Lu, H.; He, Z.; Sang, Y.; Sun, J. Quality characteristics and bacterial community of a Chinese salt-fermented shrimp paste. LWT-J. Food Sci. Technol. 2021, 136, 110358. [Google Scholar] [CrossRef]
- Wu, X.H.; Geng, X.J.; Zhang, J.X.; Sang, Y.X.; Sun, J.L. Study on microbiological and physicochemical properties of Huanghua shrimp paste. Food Res. Develop. 2019, 40, 75–81. [Google Scholar]
- FDA USA. Fish and Fishery Products Hazards and Controls Guidance, 3rd ed.; Retrieved on 21 November 2021 from FDA website; DIANE Publishing: Washington, DC, USA, 2001. [Google Scholar]
- EU. Commission Regulation (EC) No 2073/2005 of 15 November 2005. On microbiological criteria for foodstuffs. Off. J. Eur. Union 2005, 338, 1–25. [Google Scholar]


| Parameters | Values | Parameters | Values |
|---|---|---|---|
| Water activity (aw) | 0.68 ± 0.01 | Microbial population | |
| pH | 7.05 ± 0.13 | Total viable count (TVC) | 4.51 ± 0.78 log CFU/g |
| Color | Yeast & Mold | 0.65 ± 0.08 log CFU/g | |
| L* | 44.39 ± 1.32 | Lactic acid bacteria (LAB) | 2.07 ± 0.45 log CFU/g |
| a* | 8.66 ± 0.88 | Salmonella spp. | ND |
| b* | 26.75 ± 1.15 | S. aureus | <10 CFU/g |
| Browning intensity (A420) | 0.38 ± 0.09 | B. cereus | <10 CFU/g |
| TBARS value (mg MDA/kg) | 0.76 ± 0.07 | C. perfringens | ND |
| Amino nitrogen content (g/100 g) | 0.63 ± 0.06 | E. coli | 16 CFU/g |
| Inorganic contaminants | |||
| Pb (mg/kg) | ND * | ||
| As (mg/kg) | ND | ||
| Hg (mg/kg) | 0.15 ± 0.04 | ||
| Cd (mg/kg) | 0.22 ± 0.08 |
| Parameters | Month of Storage | PP | PET | GJ | VB |
|---|---|---|---|---|---|
| Water activity (aw) | 3 | 0.70 ± 0.01 c | 0.71 ± 0.01 d | 0.70 ± 0.01 b | 0.70 ± 0.02 d |
| 6 | 0.72 ± 0.02 Bb | 0.74 ± 0.02 Ac | 0.71 ± 0.01 Bb | 0.75 ± 0.02 Ac | |
| 9 | 0.73 ± 0.01 Bb | 0.77 ± 0.01 Ab | 0.73 ± 0.02 Ba | 0.77 ± 0.01 Ab | |
| 12 | 0.77 ± 0.02 Ba | 0.80 ± 0.02 Aa | 0.74 ± 0.02 Ca | 0.81 ± 0.02 Aa | |
| 15 | 0.78 ± 0.02 Ca | 0.81 ± 0.01 Ba | 0.76 ± 0.02 Ca | 0.83 ± 0.01 Aa | |
| pH | 3 | 7.18 ± 0.03 Ad | 7.09 ± 0.06 Bd | 7.10 ± 0.05 Bc | 7.10 ± 0.02 Bb |
| 6 | 7.26± 0.06 Ac | 7.13 ± 0.04 Cd | 7.16 ± 0.02 Bb | 7.20 ± 0.06 Ba | |
| 9 | 7.30 ± 0.03 Ac | 7.20 ± 0.02 Bc | 7.20 ± 0.07 Bb | 7.24 ± 0.04 Ba | |
| 12 | 7.42 ± 0.04 Ab | 7.29 ± 0.03 Bb | 7.23 ± 0.02 Cb | 7.28 ± 0.02 Ba | |
| 15 | 7.49 ± 0.03 Aa | 7.34 ± 0.05 Ba | 7.31 ± 0.04 Ba | 7.26 ± 0.02 Ca | |
| Lightness (L*) | 3 | 39.99 ± 1.55 Ba | 41.45 ± 1.92 Ba | 43.22 ± 1.03 Aa | 45.03 ± 3.05 Aa |
| 6 | 40.05 ± 2.03 Aa | 37.13 ± 3.06 Bb | 42.01 ± 1.98 Aab | 40.62 ± 2.01 Ab | |
| 9 | 36.66 ± 2.61 Bb | 37.05 ± 1.44 Bb | 40.66 ± 2.05 Ab | 39.04 ± 2.22 Ab | |
| 12 | 33.28 ± 2.15 Bb | 32.22 ± 2.04 Bc | 35.82 ± 1.56 Ac | 35.13 ± 1.69 Ac | |
| 15 | 34.49 ± 1.98 b | 32.91 ± 2.09 c | 35.10 ± 1.71 c | 34.02 ± 2.23 c | |
| Redness/greenness (a*) | 3 | 8.01 ± 0.66 | 8.25 ± 0.55 | 7.93 ± 0.81 | 8.25 ± 0.49 |
| 6 | 8.22 ± 0.43 | 8.43 ± 0.34 | 8.20 ± 1.01 | 8.40 ± 0.47 | |
| 9 | 8.16 ± 0.31 | 8.33 ± 0.45 | 8.21 ± 0.55 | 8.21 ± 0.88 | |
| 12 | 8.53 ± 0.37 | 8.69 ± 0.29 | 8.32 ± 0.29 | 8.40 ± 0.20 | |
| 15 | 9.02 ± 0.63 | 8.98 ± 0.42 | 8.39 ± 0.62 | 8.11 ± 0.52 | |
| Yellowness/blueness (b*) | 3 | 25.23 ± 1.03 a | 25.02 ± 0.89 a | 26.82 ± 1.01 a | 24.42 ± 1.24 a |
| 6 | 24.26 ± 1.21 Aa | 24.11 ± 1.01 Aa | 24.02 ± 1.02 Aab | 22.55 ± 0.88 Bab | |
| 9 | 22.88 ± 0.99 Bb | 20.45 ± 1.02 Cb | 24.55 ± 1.13 Aab | 22.81 ± 1.06 Bab | |
| 12 | 19.43 ± 1.01 Bb | 21.66 ± 1.15 Bb | 23.02 ± 0.67 Ab | 20.01 ± 0.82 Bb | |
| 15 | 15.15 ± 0.72 Cc | 16.62 ± 1.87 BCc | 21.88 ± 0.96 Ac | 17.15 ± 1.92 Bc |
| Parameters | Day 0 | PP | PET | GJ | VB | ||||
|---|---|---|---|---|---|---|---|---|---|
| M6 ** | M12 | M6 | M12 | M6 | M12 | M6 | M12 | ||
| BAs * | |||||||||
| Tryptamine (Try) | 24.80 ± 1.82 | 43.40 ± 2.35 Cb | 93.45 ±3.27 Aa | 52.65 ± 2.02 Bb | 88.10 ± 2.59 Aa | 35.20 ± 1.04 Db | 68.52 ± 2.41 Ba | 93.44 ± 1.29 Aa | 93.44 ± 1.29 Aa |
| Phenethylamine (Phe) | ND | ND | 20.85 ± 2.01 A | ND | 6.60 ± 1.99 B | ND | ND | ND | ND |
| Putrescine (Put) | ND | 31.87 ± 3.19 Bb | 89.22 ± 4.02 Ba | 24.23 ± 1.97 Cb | 75.10 ± 2.11 Ca | 7.09 ± 1.57 Db | 50.42 ± 2.02 Da | 103.56 ± 2.98 Aa | 103.56 ± 2.98 Aa |
| Cadaverine (Cad) | 1.17 ± 0.40 | 25.51 ± 2.05 Bb | 50.92 ± 3.44 Aa | 31.70 ± 2.02 Ab | 43.50 ± 2.01 Ba | 25.50 ± 3.02 Bb | 40.34 ± 2.44 Ba | 44.42 ± 2.05 Ba | 44.42 ± 2.05 Ba |
| Histamine (Him) | 21.53 ± 0.99 | 34.80 ± 2.51 Bb | 71.38 ± 5.02 Ba | 32.87 ± 3.41B Bb | 61.61 ± 1.98 Ca | 27.79 ± 3.44 Cb | 45.84 ± 2.59 Da | 48.14 ± 2.33 Ab | 93.14 ± 2.33 Aa |
| Tyramine (Tyr) | ND | 5.16 ± 0.52 Bb | 8.12 ± 1.03 Ba | 4.52 ± 1.11B Cb | 8.41 ± 0.76 Ba | 3.28 ± 0.40 Cb | 5.44 ± 1.06 Ca | 17.15 ± 1.01 Aa | 17.15 ± 1.01 Aa |
| Spermine (Spm) | ND | ND | ND | ND | ND | ND | ND | ND | ND |
| Spermidine (Spd) | ND | ND | ND | ND | ND | ND | ND | ND | ND |
| Total BAs | 47.50 ± 1.40 | 140.73 ± 0.42 Bb | 333.94 ± 4.39 Ba | 145.97 ± 6.48 Bb | 283.32 ± 2.18 Ca | 98.86 ± 5.85 Cb | 210.56 ± 5.79 Da | 306.71 ± 12.23 Ab | 351.71 ± 12.23 Aa |
| Sensory scores | |||||||||
| Appearance | 7.04 ± 0.23 | 7.76 ± 0.22 a | 6.78 ± 0.36 Ab | 7.68 ± 0.31 a | 6.72 ± 0.31 Ab | 7.34 ± 0.50 a | 6.96 ± 0.24 Ab | 7.44 ± 0.27 a | 5.94 ± 0.22 Bb |
| Color | 6.44 ± 0.19 | 7.56 ± 0.40 A | 7.42 ± 0.44 | 7.40 ± 0.33 A | 7.46 ± 0.30 | 6.90 ± 0.22 Bb | 7.20 ± 0.29 a | 7.26 ± 0.25 AB | 7.24 ± 0.32 |
| Flavor | 7.18 ± 0.30 | 8.22 ± 0.30 Aa | 6.04 ± 0.40 Bb | 8.03 ± 0.31 ABa | 6.28 ± 0.25 Bb | 7.66 ± 0.39 Ba | 7.08 ± 0.34 Ab | 8.26 ± 0.25 Aa | 5.42 ± 0.23 Cb |
| Texture | 8.00 ± 0.22 | 7.58 ± 0.28 ABa | 6.16 ± 0.27 Bb | 7.48 ± 0.40 ABa | 6.28 ± 0.41 ABb | 8.00 ± 0.25 Aa | 6.60 ± 0.33 Ab | 7.24 ± 0.32 Ba | 5.66 ± 0.25 Cb |
| Overall | 7.26 ± 0.35 | 7.86 ± 0.23 Aa | 6.24 ± 0.26 Bb | 7.78 ± 0.41 Aa | 6.16 ± 0.22 Bb | 7.10 ± 0.29 B | 7.14 ± 0.42 A | 7.82 ± 0.31 Aa | 5.30 ± 0.36 Cb |
| Volatile Compounds | Day 0 | PP | PET | GJ | VB | ||||
|---|---|---|---|---|---|---|---|---|---|
| M6 ** | M12 | M6 | M12 | M6 | M12 | M6 | M12 | ||
| Aldehydes (8) | |||||||||
| Ethanal (Acetaldehyde) | 0.28 * | 1.25 | 0.16 | 1.66 | 0.25 | 3.05 | 1.05 | 0.40 | 0.11 |
| 2-methyl-propanal | 2.05 | 0.83 | 0.08 | 0.28 | 0.10 | 1.17 | 0.24 | 2.01 | 0.62 |
| 2-methyl-butanal | 4.60 | 1.38 | 0.99 | 0.70 | 0.54 | 0.99 | 0.13 | 3.06 | 4.22 |
| 3-methyl-butanal | 6.92 | 4.02 | 2.05 | 3.09 | 0.79 | 10.33 | 4.11 | 1.55 | 0.45 |
| Pentanal | 1.04 | 1.00 | 0.21 | 0.43 | 0.16 | 3.41 | 2.19 | 0.21 | 0.09 |
| 2-hexanal | 3.06 | 2.14 | 0.89 | 0.69 | 1.01 | 2.45 | 0.64 | 1.08 | 0.14 |
| 2-octenal | 0.69 | 0.27 | ND | 0.11 | ND | 0.21 | 0.09 | 0.12 | 0.48 |
| benzaldehyde | 4.27 | 4.01 | 6.24 | 3.66 | 5.23 | 5.09 | 5.03 | 3.59 | 3.22 |
| Total aldehydes | 22.91 | 14.90 | 10.62 | 10.62 | 8.08 | 26.70 | 13.48 | 12.02 | 9.33 |
| Ketones (14) | |||||||||
| 2-propanone | 0.42 | 1.01 | 0.34 | 0.88 | 0.69 | 0.58 | 0.66 | 0.55 | 0.21 |
| Phenyl-2-propanone | 0.36 | 0.63 | 0.07 | 0.78 | 0.94 | 0.26 | 0.50 | 0.32 | 0.08 |
| 2,3-butanedione | ND | ND | ND | ND | ND | ND | ND | 0.12 | 1.28 |
| 2-butanone | 1.89 | 2.04 | 0.99 | 1.93 | 2.01 | 2.55 | 3.02 | 0.78 | 0.26 |
| 1-(2-aminophenyl)-ethanone | 1.65 | 1.62 | 0.68 | 1.65 | 1.95 | 0.32 | 0.52 | 0.66 | 0.14 |
| 2-pentanone | 2.98 | 5.47 | 3.36 | 4.22 | 4.67 | 4.02 | 3.28 | 2.01 | 1.24 |
| 2-hexanone | 3.95 | 6.28 | 3.02 | 5.08 | 5.12 | 5.55 | 4.99 | 5.05 | 1.88 |
| 1-phenyl-1-hexanone | 0.99 | 1.44 | 1.29 | 1.29 | 1.05 | 0.67 | 0.43 | 1.02 | 1.98 |
| 2-heptanone | 2.18 | 4.02 | 1.99 | 3.66 | 4.22 | 2.02 | 2.45 | 2.67 | 0.93 |
| 6-methyl-5-hepten-2-one | ND | ND | ND | ND | ND | ND | ND | ND | 0.68 |
| 2-octanone | 0.30 | 0.65 | 0.23 | 0.50 | 0.14 | 0.18 | 0.11 | 0.21 | 0.11 |
| 3,5-octadiene-2-one | ND | ND | 0.22 | ND | 0.09 | ND | ND | ND | 0.25 |
| 2-nonanone | ND | ND | ND | ND | ND | ND | ND | ND | 0.43 |
| 2-undecanone | 1.18 | 2.07 | 3.14 | 1.97 | 3.08 | 1.22 | 2.99 | 1.02 | 1.56 |
| Total ketones | 15.90 | 25.23 | 15.33 | 21.96 | 23.96 | 17.37 | 18.95 | 14.41 | 11.03 |
| Alcohols (13) | |||||||||
| 2-butyl-ethanol | ND | ND | 1.06 | ND | ND | ND | ND | 1.02 | 2.23 |
| 2-propanol | 0.22 | ND | ND | ND | ND | ND | ND | 0.12 | 1.06 |
| 2-methyl, 1-propanol | 2.11 | 0.41 | 0.09 | 0.88 | 0.14 | 0.29 | 1.68 | 0.86 | 1.53 |
| 3-methyl-butanol | 1.97 | 0.66 | 1.03 | 1.32 | 2.05 | 0.21 | 2.01 | 1.36 | 4.26 |
| 1-pentanol | 0.16 | ND | 0.53 | ND | 0.12 | ND | ND | ND | ND |
| 1-penten-3-ol | 2.88 | 0.52 | 2.58 | 0.89 | 2.66 | 0.13 | 0.16 | 1.01 | 1.01 |
| 5-methoxy-1-pentanol | ND | ND | ND | ND | ND | ND | ND | ND | 0.52 |
| 1-hexanol | 0.65 | 0.12 | 2.96 | 0.22 | 4.09 | 0.34 | 2.44 | 0.24 | 1.04 |
| 2-ethyl, 1-hexanol | 0.39 | ND | 2.92 | ND | 1.88 | ND | ND | 0.18 | 2.05 |
| 5-methyl-cyclohexanol | ND | ND | 0.58 | ND | 1.02 | ND | ND | ND | 1.28 |
| 1,5-octadiene-3-ol | ND | ND | ND | ND | ND | ND | ND | ND | 2.66 |
| 1-octen-3-ol | 0.72 | 0.24 | 2.03 | 0.56 | 0.37 | 0.60 | 2.35 | 0.38 | 0.24 |
| Phenol | 1.05 | 2.02 | 5.08 | 2.14 | 4.13 | 1.53 | 3.46 | 3.02 | 6.16 |
| Total alcohols | 10.15 | 3.97 | 18.86 | 6.01 | 16.46 | 3.10 | 12.10 | 8.19 | 24.04 |
| N-containing compounds (14) | |||||||||
| Trimethyl amine | 6.55 | 2.05 | 0.23 | 3.16 | 1.18 | 7.07 | 2.06 | 6.32 | 4.25 |
| N,N-dimethyl-methylamine | ND | ND | ND | ND | ND | ND | ND | 2.65 | 1.05 |
| 3-ethyl-4-methyl-pyridine | ND | 1.66 | 1.27 | 1.09 | 0.54 | ND | ND | 3.55 | 1.44 |
| Methyl-pyrazine | 4.02 | 5.25 | 4.99 | 6.01 | 4.32 | 4.22 | 7.13 | 2.08 | 0.99 |
| 2-ehtyl-6-methyl-pyrazine | 1.02 | 2.06 | 1.89 | 2.31 | 1.06 | 1.50 | 2.02 | 3.03 | 1.28 |
| 3-ethyl-5-methyl-pyrazine | 0.43 | 0.61 | 0.71 | 0.56 | 0.29 | 0.26 | 1.55 | 1.52 | 0.77 |
| 2,5-dimethyl-pyrazine | 8.17 | 9.02 | 9.11 | 8.55 | 8.63 | 7.53 | 12.08 | 9.26 | 5.24 |
| 2,6-dimethyl-pyrazine | ND | 1.06 | 0.98 | 1.15 | 0.99 | ND | 1.23 | 2.05 | 0.27 |
| 3-ethyl-2,5-dimethyl-pyrazine | 5.26 | 7.59 | 6.25 | 7.99 | 5.14 | 6.06 | 7.07 | 6.03 | 4.43 |
| 2-ethyl-3,5-dimethyl-pyrazine | 3.02 | 3.50 | 4.02 | 3.78 | 3.66 | 3.22 | 3.40 | 1.23 | 1.02 |
| 2,6-diethyl-3,5-dimethylpyrazine | 0.15 | 0.61 | 0.16 | 0.54 | 0.31 | ND | ND | 1.02 | 0.36 |
| Tetramethylpyrazine | 0.30 | 0.26 | 0.09 | 0.67 | 0.40 | 0.15 | ND | 0.16 | ND |
| 2,3,5-trimethyl-pyrazine | ND | 2.05 | 2.24 | 3.55 | 4.01 | 2.02 | 3.46 | 4.04 | 2.06 |
| Indole | 0.95 | 4.44 | 6.01 | 4.28 | 5.86 | 2.41 | 5.98 | 5.03 | 8.13 |
| Total N-containing compounds | 29.87 | 40.16 | 37.95 | 43.64 | 36.39 | 34.44 | 45.98 | 47.97 | 31.29 |
| S-containing compounds (4) | |||||||||
| Dimethyl-disulfide | 0.89 | 1.25 | 3.55 | 1.63 | 4.02 | 0.92 | 1.62 | 3.60 | 7.79 |
| Dimethyl-trisulfide | 1.45 | 0.89 | 0.46 | 1.01 | 0.40 | 0.99 | 0.66 | 0.56 | 0.28 |
| Dimethyl-tetrasulfide | 0.36 | 0.50 | 1.02 | 0.85 | 0.81 | 0.23 | 0.45 | 0.48 | 2.45 |
| Methanethiol | 0.41 | 0.38 | 0.99 | 0.54 | 0.88 | 0.16 | 0.37 | 1.43 | 3.01 |
| Total S-containing compounds | 3.11 | 3.02 | 6.02 | 4.03 | 6.11 | 2.30 | 3.10 | 6.07 | 13.53 |
| Hydrocarbons (8) | |||||||||
| 3-tetradecene | 0.61 | 0.21 | 1.68 | 0.34 | 1.28 | 0.59 | 0.23 | 0.11 | 0.07 |
| 2,3-butanediene | ND | ND | 0.54 | ND | 0.52 | ND | ND | 0.36 | 1.44 |
| 1-pentadecene | ND | 0.16 | 1.02 | 0.10 | 0.96 | ND | 0.24 | ND | 0.22 |
| Hexadecane | 2.23 | 1.41 | 0.91 | 1.35 | 0.54 | 2.08 | 1.05 | 0.24 | 0.07 |
| 2,6-cyclohexadiene | 1.31 | 0.63 | 0.45 | 0.65 | 0.40 | 1.22 | 0.55 | 0.20 | 0.13 |
| Decane | ND | ND | ND | ND | ND | ND | ND | 0.45 | 0.16 |
| 1,4-octadiene | ND | 0.19 | 1.02 | 0.20 | 0.85 | ND | ND | 0.62 | 1.01 |
| 2-octene | 0.42 | 0.46 | 0.68 | 0.39 | 0.62 | 0.77 | 1.07 | 0.18 | 0.22 |
| Total hydrocarbons | 4.57 | 3.06 | 6.30 | 3.03 | 5.17 | 4.66 | 3.14 | 2.16 | 3.32 |
| Esters (5) | |||||||||
| 2-Methylbutyl acetate | 1.09 | 0.45 | 0.21 | 0.56 | 0.14 | 0.60 | 0.62 | 0.26 | 0.23 |
| Ethyl buterate | 2.52 | 3.69 | 1.09 | 3.71 | 1.45 | 2.66 | 0.14 | 1.93 | 0.94 |
| 2-Methylbutyl-3-methylbutanoate | ND | 0.50 | 0.22 | 0.33 | 0.13 | 0.12 | 0.07 | ND | ND |
| Isopropyl myristate | ND | 0.22 | 0.23 | 0.18 | 0.19 | ND | ND | ND | ND |
| Methyl palmitate | 1.44 | 1.19 | 0.24 | 1.25 | 0.08 | 1.01 | 0.12 | 0.23 | 0.09 |
| Total esters | 5.05 | 6.05 | 1.99 | 6.03 | 1.99 | 4.39 | 0.95 | 2.42 | 1.26 |
| Acids (5) | |||||||||
| Acetic acid | 1.01 | 0.18 | ND | 0.21 | 0.09 | 0.49 | 0.22 | 0.42 | 0.08 |
| Propanoic acid | 3.66 | 1.07 | 0.68 | 1.99 | 0.42 | 3.01 | 1.02 | 1.50 | 1.03 |
| Butanoic acid | 3.02 | 1.33 | 2.02 | 1.52 | 1.05 | 2.68 | 0.64 | 2.55 | 2.55 |
| 2-methyl-butanoic acid | 0.65 | 0.42 | 0.16 | 0.40 | 0.08 | 0.73 | 0.16 | 0.70 | 0.94 |
| Isobutyric acid | ND | ND | ND | ND | ND | ND | ND | 1.01 | 1.54 |
| Total acids | 8.34 | 3.00 | 2.86 | 4.12 | 1.64 | 6.91 | 2.04 | 6.18 | 6.14 |
| Total peak abundance | 99.90 | 99.39 | 99.93 | 99.44 | 99.80 | 99.87 | 99.74 | 99.42 | 99.94 |
| Parameters | PP | PET | GJ | VB |
|---|---|---|---|---|
| Inorganic contaminants | ||||
| Pb (mg/kg) | ND | ND | ND | ND |
| As (mg/kg) | ND | ND | ND | ND |
| Hg (mg/kg) | 0.44 ± 0.13 | 0.18 ± 0.05 | 0.28 ± 0.10 | 0.30 ± 0.11 |
| Cd (mg/kg) | 0.20 ± 0.04 | 0.29 ± 0.08 | 0.16 ± 0.04 | 0.31 ± 0.15 |
| Pathogen * | ||||
| Salmonella spp. | ND | ND | ND | ND |
| S. aureus | 76 | 50 | 55 | 25 |
| B. cereus | 109 | 80 | 86 | 21 |
| C. perfringens | 15 | 28 | 70 | 112 |
| E. coli | 110 | 108 | 50 | 65 |
Publisher’s Note: MDPI stays neutral with regard to jurisdictional claims in published maps and institutional affiliations. |
© 2022 by the authors. Licensee MDPI, Basel, Switzerland. This article is an open access article distributed under the terms and conditions of the Creative Commons Attribution (CC BY) license (https://creativecommons.org/licenses/by/4.0/).
Share and Cite
Pongsetkul, J.; Benjakul, S.; Boonchuen, P. Changes in Volatile Compounds and Quality Characteristics of Salted Shrimp Paste Stored in Different Packaging Containers. Fermentation 2022, 8, 69. https://doi.org/10.3390/fermentation8020069
Pongsetkul J, Benjakul S, Boonchuen P. Changes in Volatile Compounds and Quality Characteristics of Salted Shrimp Paste Stored in Different Packaging Containers. Fermentation. 2022; 8(2):69. https://doi.org/10.3390/fermentation8020069
Chicago/Turabian StylePongsetkul, Jaksuma, Soottawat Benjakul, and Pakpoom Boonchuen. 2022. "Changes in Volatile Compounds and Quality Characteristics of Salted Shrimp Paste Stored in Different Packaging Containers" Fermentation 8, no. 2: 69. https://doi.org/10.3390/fermentation8020069
APA StylePongsetkul, J., Benjakul, S., & Boonchuen, P. (2022). Changes in Volatile Compounds and Quality Characteristics of Salted Shrimp Paste Stored in Different Packaging Containers. Fermentation, 8(2), 69. https://doi.org/10.3390/fermentation8020069

