Production of Citric Acid by Aspergillus niger Cultivated in Olive Mill Wastewater Using a Two-Stage Packed Column Bioreactor
Abstract
1. Introduction
2. Materials and Methods
2.1. Olive Mill Wastewater (OMW)
2.2. Microorganism and Inoculum
2.3. Simultaneous Production of Cellulase Enzyme and Citric Acid in a Single-Stage Column Bioreactor
2.4. Simultaneous Saccharification and Citric Acid Production in a Two-Stage Packed Column Bioreactor
2.5. Analytical Procedures
3. Results and Discussion
3.1. Citric Acid Production by A. niger Growing on OMW Using a Single Stage Column Bioreactor
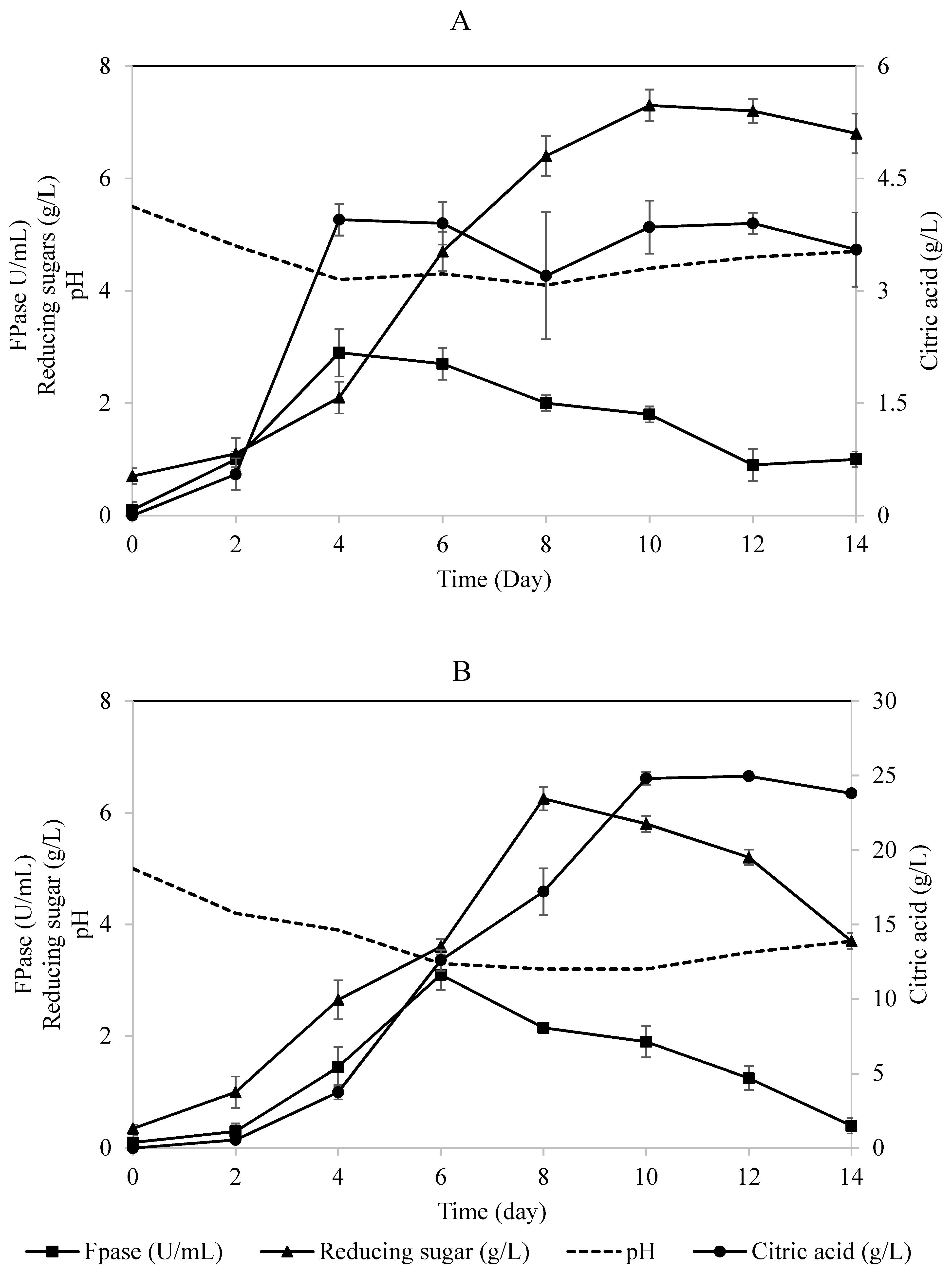
3.2. Citric Acid Production by Entrapped A. niger in a Single-Stage Packed Column Bioreactor
3.3. Continuous Production of Citric Acid in a Two-Stage Packed Column Bioreactor
4. Conclusions
Author Contributions
Funding
Institutional Review Board Statement
Informed Consent Statement
Data Availability Statement
Acknowledgments
Conflicts of Interest
References
- Arnau, J.; Yaver, D.; Hjort, C.M. Strategies and Challenges for the Development of Industrial Enzymes Using Fungal Cell Factories. In Grand Challenges in Fungal Biotechnology; Nevalainen, H., Ed.; Springer: Cham, Switzerland, 2019; pp. 179–210. [Google Scholar] [CrossRef]
- Wang, B.; Li, H.; Zhu, L.; Tan, F.; Li, Y.; Zhang, L.; Ding, Z.; Shi, G. High efficient production of citric acid by Aspergillus niger from high concentration of Substrate based on the staged-addition glucoamylase strategy. Bioproc. Biosyst. Eng. 2017, 40, 891–899. [Google Scholar] [CrossRef] [PubMed]
- Sabra, W.; Bommareddy, R.R.; Maheshwari, G.; Papanikolaou, S.; Zeng, A. Substrates and oxygen dependent citric acid production by Yarrowia lipolytica: Insights through transcriptome and fluxome analyses. Microb. Cell Fact. 2017, 16, 78. [Google Scholar] [CrossRef] [PubMed]
- Abu Mie, R. Simultaneous Production of Citric Acid, Hydrolytic Enzymes and Reducing Sugars in a Multistage Process Using Olive Mill Wastewater as a Substrate. Master’s Thesis, The Hashemite University, Zarqa, Jordan, 2009. [Google Scholar]
- Eroğlu, E.; Eroğlu, I.; Gündüz, U.; Türker, L.; Yücel, M. Biological hydrogen production from olive mill wastewater with two-stage processes. Int. J. Hydrogen Energy 2006, 31, 1527–1535. [Google Scholar] [CrossRef]
- Krishna, S.H.; Chowdary, G.V. Optimization of Simultaneous Saccharification and Fermentation for the Production of Ethanol from Lignocellulosic Biomass. J. Agric. Food Chem. 2000, 48, 1971–1976. [Google Scholar] [CrossRef] [PubMed]
- Massadeh, M.I.; Fandi, K. Acetone-Butanol-Ethanol (ABE) production by anaerobic Microflora growing on Olive Mill Wastewater. J. Biobased Mater. Bioenergy 2014, 8, 94–98. [Google Scholar] [CrossRef]
- Garg, K.; Sharma, C.B. Continuous production of citric acid by immobilized whole cells of Aspergillus niger. J. Gen. Appl. Microbiol. 1992, 38, 605–615. [Google Scholar] [CrossRef][Green Version]
- Yu, B.; Zhang, X.; Sun, W.; Xi, X.; Zhao, N.; Huang, Z.; Ying, Z.; Liu, L.; Liu, D.; Niu, H.; et al. Continuous citric acid production in repeated-fed batch fermentation by Aspergillus niger immobilized on a new porous foam. J. Biotechnol. 2018, 276–277, 1–9. [Google Scholar] [CrossRef]
- Zhao, N.; Ren, H.; Li, Z.; Zhao, T.; Shi, X.; Cheng, H.; Zhuang, W.; Chen, Y.; Ying, H. Enhancement of nuclease P1 production by Penicillium citrinum YL104 immobilized on activated carbon filter sponge. Appl. Microbiol. Biotechnol. 2015, 99, 1145–1153. [Google Scholar] [CrossRef]
- Xu, Z.; Feng, X.; Zhang, D.; Tang, B.; Lei, P.; Liang, J.; Xu, H. Enhanced poly(λ-glutamic acid) fermentation by Bacillus subtilis NX-2 immobilized in an aerobic plant fibrous-bed bioreactor. Bioresour. Technol. 2014, 155, 8–14. [Google Scholar] [CrossRef]
- Kövilein, A.; Aschmann, V.; Hohmann, S.; Ochsenreither, K. Immobilization of Aspergillus oryzae DSM 1863 for L-Malic Acid Production. Fermentation 2022, 8, 26. [Google Scholar] [CrossRef]
- Rakicka, M.; Wolniak, J.; Lazar, Z.; Rymowicz, W. Production of high titer of citric acid from inulin. BMC Biotechnol. 2019, 19, 11. [Google Scholar] [CrossRef]
- Cavallo, E.; Charreau, H.; Cerrutti, P.; Foresti, M.L. Yarrowia lipolytica: A model yeast for citric acid production. FEMS Yeast Res. 2017, 17, fox084. [Google Scholar] [CrossRef] [PubMed]
- Ghanbartabar, S.A.; Najafpour, G.D.; Mohammadi, M. Comparative studies on citric acid production from cheese whey by submerged and immobilized Aspergillus niger. Pakistan J. Biotechnol. 2016, 13, 79–85. [Google Scholar]
- Karthikeyan, A.; Sivakumar, N. Citric acid production by koji fermentation using banana peel as novel substrate. Biores. Technol. 2010, 101, 5552–5556. [Google Scholar] [CrossRef] [PubMed]
- Lotfy, W.A.; Ghanem, K.M.; El-Helow, E.R. Citric acid production by a novel Aspergillus niger isolate: I. Mutagenesis and cost reduction studies. Biores. Technol. 2007, 98, 3464–3469. [Google Scholar] [CrossRef] [PubMed]
- Soccol, C.R.; Vandenberghe, L.P.S. Overview of applied solid-state fermentation in Brazil. Biochem. Eng. J. 2003, 13, 205–218. [Google Scholar] [CrossRef]
- Ozdal, M.; Kurbanoglu, E.B. Citric Acid Production by Aspergillus niger from Agro-Industrial By-Products: Molasses and Chicken Feather Peptone. Waste Biomass Val. 2019, 10, 631–640. [Google Scholar] [CrossRef]
- Massadeh, M.I.; Modallal, N. Ethanol production from olive mill wastewater (OMW) pretreated with Pleurotus sajor caju. Energy Fuels 2008, 22, 150–154. [Google Scholar] [CrossRef]
- Fraij, A.; Massadeh, M.I. Use of Pleurotus sajor-caju for the Biotreatment of Olive Mill Wastewater. Romanian Biotechnol. Lett. 2015, 20, 10611–10617. [Google Scholar]
- Sarris, D.; Rapti, A.; Papafotis, N.; Koutinas, A.A.; Papanikolaou, S. Production of Added-Value Chemical Compounds through Bioconversions of Olive-Mill Wastewaters Blended with Crude Glycerol by Yarrowia lipolytica Strain. Molecules 2019, 24, 222. [Google Scholar] [CrossRef]
- Dourou, M.; Kancelista, A.; Juszczyk, P.; Sarris, D.; Bellou, S.; Triantaphyllidoua, I.; Rywinskaa, A.; Papanikolaoub, S.; Aggelisa, G. Bioconversion of olive mill wastewater into high-added value products. J. Clean. Prod. 2016, 139, 957–969. [Google Scholar] [CrossRef]
- Jamai, L.; Ettayebi, M. Production of bioethanol during the bioremediation of olive mill wastewater at high temperatures. In Proceedings of the 3rd International Renewable and Sustainable Energy Conference (IRSEC), Marrakech, Morocco, 10–13 December 2015; pp. 1–6. [Google Scholar]
- Papanikolaou, S.; Galiotou-Panayotou, M.; Fakas, S.; Komaitis, M.; Aggelis, G. Citric acid production by Yarrowia lipolytica cultivated on olive-mill wastewater-based media. Biores. Technol. 2008, 99, 2419–2428. [Google Scholar] [CrossRef]
- Tzirita, M.; Kremmyda, M.; Sarris, D.; Koutinas, A.A.; Papanikolaou, S. Effect of Salt Addition upon the Production of Metabolic Compounds by Yarrowia lipolytica Cultivated on Biodiesel-Derived Glycerol Diluted with Olive-Mill Wastewaters. Energies 2019, 12, 3649. [Google Scholar] [CrossRef]
- Sarris, D.; Stoforos, N.G.; Mallouchos, A.; Kookos, I.K.; Koutinas, A.A.; Aggelis, G.; Papanikolaou, S. Production of added-value metabolites by Yarrowia lipolytica growing in olive mill wastewater-based media under aseptic and non-aseptic conditions. Eng. Life Sci. 2017, 17, 695–709. [Google Scholar] [CrossRef]
- Sarris, D.; Matsakas, L.; Aggelis, G.; Koutinas, A.A.; Papanikolaou, S. Aerated vs. non-aerated conversions of molasses and olive mill wastewaters blends into bioethanol by Saccharomyces cerevisiae under non-aseptic conditions. Ind. Crops Prod. 2014, 56, 83–93. [Google Scholar] [CrossRef]
- Mandels, M.; Andreotti, R.; Roche, C. Measurement of saccharifying cellulase. Biotech. Bioeng. Symp. 1976, 6, 21–33. [Google Scholar]
- Wood, T.M.; Bhat, K.M. Methods for measuring cellulase activities. Methods Enzymol. 1988, 160, 87–112. [Google Scholar]
- Nelson, N. A photometric adaptation for the somogyi method for the determination of glucose. J. Bio. Chem. 1944, 153, 375–380. [Google Scholar] [CrossRef]
- Somogyi, M. Notes on sugar determination. J. Bio. Chem. 1952, 194, 19–23. [Google Scholar] [CrossRef]
- Eaton, A.E.; Clesceri, L.S.; Rice, E.W.; Greenberg, A.E. Standard Methods for the Examination of Water and Wastewater, 21st ed.; APHA: Washington, DC, USA, 2005. [Google Scholar]
- Al Tharf, M. Submerged Culture Fermentation of Olive Mill Wastewater (OMW) for the Production of Extracellular Cellulase Enzyme Complex by Trichoderma Viride. Master’s Thesis, The Hashemite University, Zarqa, Jordan, 2012. [Google Scholar]
- Ryu, D.Y.; Mandels, M. Cellulases: Biosynthesis and applications. Enzyme Microb. Technol. 1980, 2, 91–102. [Google Scholar] [CrossRef]
- Papanikolaou, S.; Rontou, M.; Belka, A.; Athenaki, M.; Gardeli, C.; Mallouchos, A.; Kalantzi, O.; Koutinas, A.A.; Kookos, L.K.; Zeng, A.P.; et al. Conversion of biodiesel-derived glycerol into biotechnological products of industrial significance by yeast and fungal strains. Eng. Life Sci. 2017, 17, 262–281. [Google Scholar] [CrossRef] [PubMed]
- Hesham, A.; Mostafaa, Y.S.; AlSharqia, L.E.O. Optimization of Citric Acid Production by Immobilized Cells of Novel Yeast Isolates. Mycobiology 2020, 48, 122–132. [Google Scholar] [CrossRef]
- Tisnadjaja, D.; Gutierrez, N.A.; Maddox, I.S. Citric acid production in a bubble-column reactor using cells of the yeast Candida guilliermondii immobilized by adsorption onto sawdust. Enzyme Microb. Technol. 1996, 19, 343–347. [Google Scholar] [CrossRef]
- Verbelen, P.J.; De Schutter, D.P.; Delvaux, F.; Verstrepen, K.J.; Delvaux, F.R. Immobilized yeast cell systems for continuous fermentation applications. Biotechnol. Lett. 2006, 28, 1515–1525. [Google Scholar] [CrossRef]
- Demirel, G.; Yaykasli, K.O.; Yasar, A. The production of citric acid by using immobilized Aspergillus niger A-9 and investigation of its various effects. Food Chem. 2005, 89, 393–396. [Google Scholar] [CrossRef]
- Anastassiadis, S.; Rehm, H.J. Continuous citric acid secretion by a high specific pH dependent active transport system in yeast Candida oleophila ATCC 20177. Electr. J. Biotechnol. 2005, 8, 146–161. [Google Scholar] [CrossRef]
- Chmiel, A. Kinetic studies on citric acid production by Aspergillus niger. I. Phases of mycelium growth and product formation. Acta Microbiol. Pol. 1975, 7, 185–193. [Google Scholar]
- Chmiel, A. Kinetics of citric acid production by pre-cultivated mycelium of Aspergillus niger. Trans. Br. Mycol. Soc. 1977, 68, 403–406. [Google Scholar] [CrossRef]
- Majumder, L.; Khalil, I.; Munshi, M.K.; Alam, K. Citric Acid Production by Aspergillus niger Using Molasses and Pumpkin as Substrates. Eur. J. Biol. Sci. 2010, 2, 1–8. [Google Scholar]
- Kim, S.K.; Park, P.J.; Byun, H.G. Continuous production of citric acid from dairy wastewater using immobilized Aspergillus niger ATCC 9142. Biotechnol. Bioprocess. Eng. 2002, 7, 89–94. [Google Scholar] [CrossRef]
- Papanikolaou, S.; Aggelis, G. Biotechnological valorization of biodiesel derived glycerol waste through production of single cell oil and citric acid by Yarrowia lipolytica. Lipid Technol. 2009, 21, 83–87. [Google Scholar] [CrossRef]
- Kamzolova, S.; Fatykhova, A.R.; Dedyukhina, E.G.; Anastassiadis, S.G.; Golovchenko, N.P.; Morgunov, I.G. Citric acid production by yeast grown on glycerol-containing waste from biodiesel industry. Food Technol. Biotechnol. 2011, 49, 65–74. [Google Scholar]




| Without Cellulose and Glucose | With Cellulose | With Glucose | |
|---|---|---|---|
| FPase (U/mL) | 2.2 ± 0.3 | 4.2 ± 0.4 | 0.3 ± 0.1 |
| CMCase (U/mL) | 1.4 ± 0.2 | 3.2 ± 0.3 | 0.2 ± 0.1 |
| β-glucosidase (U/mL) | 0.9 ± 0.2 | 1.8 ± 0.4 | n.d. * |
| Citric acid (g/L) | 10 ± 2.5 | 14 ± 1.2 | 8.3 ± 2.4 |
| Reducing sugars (g/L) | 1.7 ± 0.4 | 3.7 ± 0.2 | 0.9 ± 0.2 |
| Free-Cell Bioreactor | Loofa Sponge-Packed Bioreactor | |
|---|---|---|
| Sinitial (g/L) | 0.7 ± 0.3 | 0.7 ± 0.3 |
| Sfinal (g/L) | 3.7 ± 0.2 | 4.2 ± 0.4 |
| Xmax (g/L) | 7.3 ± 0.5 | 9.4 ± 0.3 |
| Cit. Amax (g/L) | 14 ± 1.2 | 16 ± 0.4 |
| YCit.A/BOD (%) | 33.2 | 38.5 |
| Yx/BOD (%) | 16.4 | 21.2 |
| Productivity (g/L/day) | 2.1 ± 0.5 | 2.5 ± 0.2 |
| FPase (U/mL) | 4.2 ± 0.4 | 4.7 ± 0.2 |
| CMCase (U/mL) | 3.2 ± 0.3 | 4.2 ± 0.4 |
| β-glucosidase (U/mL) | 1.8 ± 0.4 | 2.4 ± 0.2 |
| SSF with Cellulases of the First-Stage Bioreactor | SSF with Commercial Cellulases | |
|---|---|---|
| Sinitial (g/L) | 0.7 ± 0.3 | 0.7 ± 0.3 |
| Sfinal (g/L) | 7.3 ± 0.2 | 7.8 ± 0.6 |
| Xmax (g/L) | 11.5 ± 0.6 | 12.4 ± 0.3 |
| Cit.Amax (g/L) | 25 ± 1.2 | 18 ± 0.7 |
| Initial BOD5 (mg/L) | 44,330 | 45,374 |
| YCit.A/BOD (%) | 57.5 | 40.1 |
| Productivity (g/L/day) | 3.60 | 2.59 |
| FPase (U/mL) | 3.1 ± 0.2 | 4.7 ± 0.4 |
| CMCase (U/mL) | 3.4 ± 0.4 | 2.4 ± 0.6 |
| β-glucosidase (U/mL) | 1.7 ± 0.4 | 0.7 ± 0.2 |
Publisher’s Note: MDPI stays neutral with regard to jurisdictional claims in published maps and institutional affiliations. |
© 2022 by the authors. Licensee MDPI, Basel, Switzerland. This article is an open access article distributed under the terms and conditions of the Creative Commons Attribution (CC BY) license (https://creativecommons.org/licenses/by/4.0/).
Share and Cite
Massadeh, M.I.; Fandi, K.; Al-Abeid, H.; Alsharafat, O.; Abu-Elteen, K. Production of Citric Acid by Aspergillus niger Cultivated in Olive Mill Wastewater Using a Two-Stage Packed Column Bioreactor. Fermentation 2022, 8, 153. https://doi.org/10.3390/fermentation8040153
Massadeh MI, Fandi K, Al-Abeid H, Alsharafat O, Abu-Elteen K. Production of Citric Acid by Aspergillus niger Cultivated in Olive Mill Wastewater Using a Two-Stage Packed Column Bioreactor. Fermentation. 2022; 8(4):153. https://doi.org/10.3390/fermentation8040153
Chicago/Turabian StyleMassadeh, Muhannad I., Khalid Fandi, Hanan Al-Abeid, Othman Alsharafat, and Khaled Abu-Elteen. 2022. "Production of Citric Acid by Aspergillus niger Cultivated in Olive Mill Wastewater Using a Two-Stage Packed Column Bioreactor" Fermentation 8, no. 4: 153. https://doi.org/10.3390/fermentation8040153
APA StyleMassadeh, M. I., Fandi, K., Al-Abeid, H., Alsharafat, O., & Abu-Elteen, K. (2022). Production of Citric Acid by Aspergillus niger Cultivated in Olive Mill Wastewater Using a Two-Stage Packed Column Bioreactor. Fermentation, 8(4), 153. https://doi.org/10.3390/fermentation8040153

