Abstract
Ergothioneine is a natural and safe antioxidant that plays an important role in anti-aging and the prevention of various diseases. This study aimed to report on a kind of medicinal mushroom of Panus conchatus with great potential for the bioproduction of ergothioneine. The effect of different nutritional and environmental conditions on the growth of Panus conchatus and ergothioneine production were investigated. Molasses and soy peptone were found to promote cell growth of Panus conchatus and enhance ergothioneine accumulation. Adding precursors of histidine, methionine and cysteine could increase ergothioneine production and the highest ergothioneine concentration of 148.79 mg/L was obtained. Finally, the extraction and purification processes were also established to obtain the crude ergothioneine extract for further antioxidant property evaluation. The ergothioneine from Panus conchatus showed high antioxidant activity with good stability in a lower pH environment. This study provided a new strain and process for the bioproduction of ergothioneine.
1. Introduction
Ergothioneine (EGT) is a sulfur-containing histidine derivative first discovered in ergot fungi in 1909 [1]. It is a powerful antioxidant with excellent ROS (reactive oxygen species) scavenging capacity and strong inhibition of lipid peroxides [2,3]. It also plays important roles in the improvement of a variety of diseases, including cancer, inflammation, depression and neurological diseases [4,5,6,7,8,9]. Human beings cannot synthesize EGT directly, but EGT can be ingested through diet [10]. The main source of ergothioneine in humans is mushrooms, which accounts for 95% of the ergothioneine intake assessments in various populations in the EU and the US [11]. Due to the superior health benefits of EGT, it has been widely used as a natural antioxidant in the food and cosmetics industries. EGT was used as a natural preservative to extend the shelf life of foods, such as preventing lipid peroxidation and preserving the color of stored fish [3,12]. EGT is also currently used as a cosmetic ingredient to relieve skin aging [13,14] and is added to well-known brands such as Estee Lauder, Dior, and Clinique [10].
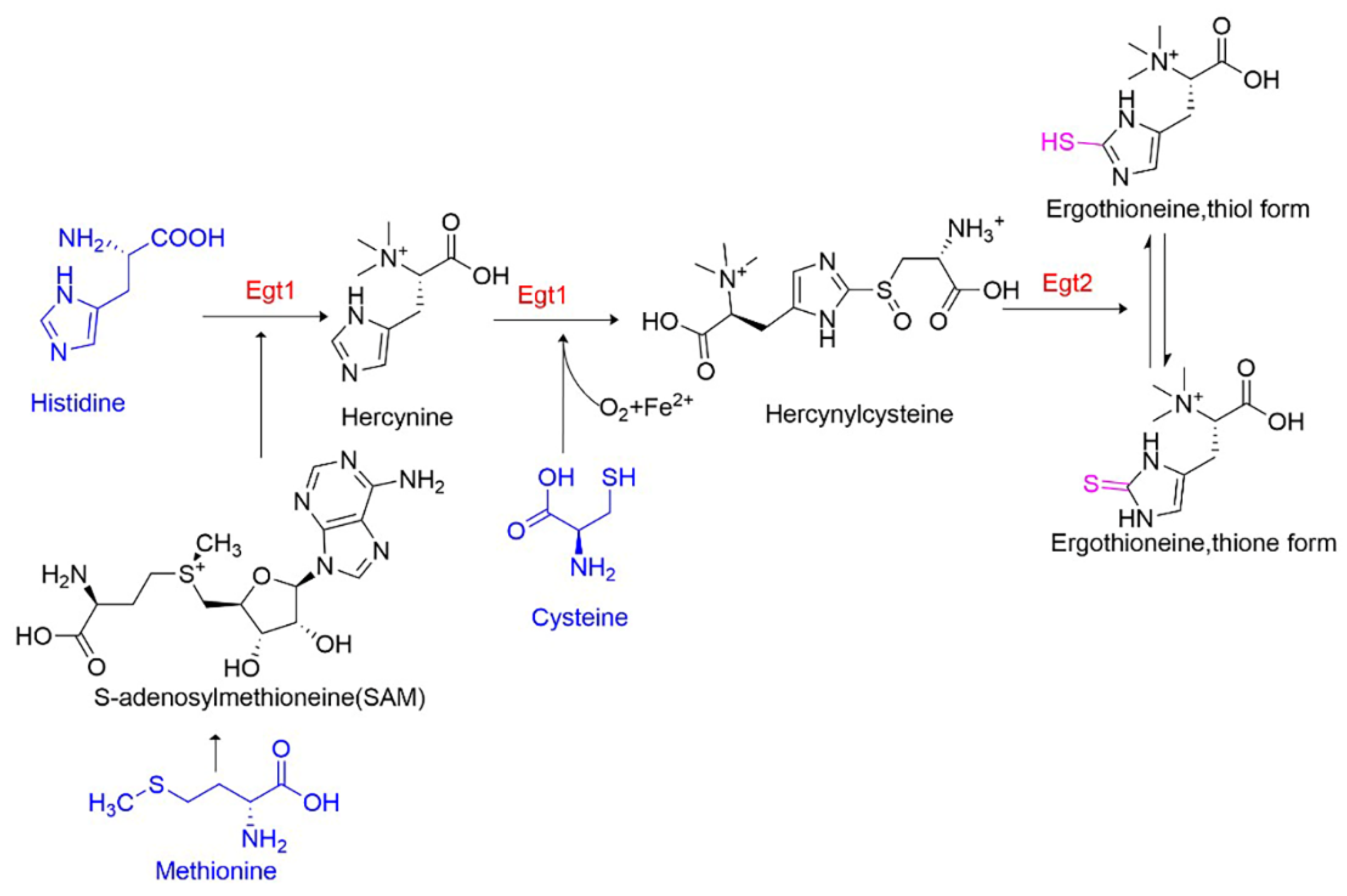
In nature, many organisms such as bacteria, fungi, yeast, cyanobacteria, actinomycetes and plants can synthesize EGT [15,16], but only mushrooms can accumulate high levels of EGT, such as Pleurotus eryngii, Lentinus edodes, Pleurotus ostreatus, Agaricus bisporus, Pleutotus citrinopileatus, Cantharellus cibarius and Boletus edulis [17,18,19,20]. In most of the fungi, only two enzymes, Egt1 and Egt2, are required for ergothioneine synthesis [21]. As shown in Figure 1, Egt1 is a bifunctional enzyme that could catalyze two reactions simultaneously including the methylation of histidine to hecynine and the conversion of hecynine to hercynylcysteine. The second process requires the combined participation of oxygen and ferrous ions for catalysis. Then, the formation of EGT from hercynylcysteine is catalyzed by the C-S cleaving enzyme Egt2 [22]. The traditional mushroom cultivation usually needs 37–45 days, which is not suitable for the industrial production of EGT [23]. However, submerged fermentation of mushroom mycelium could greatly shorten the fermentation time and prove a good choice for the efficient production of EGT.
Figure 1.
The fungal aerobic synthesis pathway of ergothioneine.
Until now, people have tried different strategies to improve the cell growth and EGT production in the macrofungal fermentation, including optimizing carbon and nitrogen sources and adjusting temperature and harvest time. Tepwong et al. [19] demonstrated that monosaccharides and most amino acids could promote EGT secretion from the edible mycelium of Lentinus edodes, and the combination of fructose and aspartic acid increased EGT production by 3.15-fold. Liang et al. [24] found that the optimal temperature for the growth of Pleurotus eryngii mycelium was different from that of EGT synthesis. Additionally, adding amino acids in the medium could increase the EGT production by 43.27% in Pleurotus citrinopileatus [25]. However, the EGT production still needs to be improved by further process optimization and new strain discovery.
Panus conchatus, belonging to the family of agaricaceae, is an important medical mushroom with diverse pharmacological properties such as clearing heat and being anti-cancer [26]. No studies have reported its ability to produce ergothioneine. In this study, a strain of Panus conchatus was found to produce EGT. The EGT productivity of Panus conchatus was determined within various media. In addition, three precursors of histidine, methionine and cysteine were added to enhance EGT accumulation. Furthermore, the crude EGT extract was purified and further evaluated. This study reported the fermentation characteristics of Panus conchatus for EGT production, which would provide a valuable experimental basis for the future production of EGT by submerged fermentation of mycelium.
2. Materials and Methods
2.1. Strains and Growth Conditions
Panus conchatus (GDMCC No: 61611) were stored at 4 °C in our lab at Nanjing Tech University. The stored strain was transferred to the potato dextrose agar (PDA) plate and cultivated twice at 25 °C until the hyphae overwhelmed the whole plate. Ten pieces of mycelium were picked from the plate and transferred to 250 mL flasks containing 50 mL of seed medium (26 g/L potatoes dextrose water, 2 g/L peptone, 2 g/L KH2PO4, 2 g/L MgSO4·7H2O), and were cultivated at 25 °C for 72 h with shaking at 150 rpm. Then, the seed culture was homogenized and inoculated with 10% (v/v) in the 500 mL flasks containing 100 mL of fermentation medium (50 g/L glycerol, 30 g/L peptone, 3 g/L KH2PO4, 3 g/L MgSO4·7H2O) and was cultivated at 25 °C for 168 h with shaking at 150 rpm.
2.2. Determination of Dry Cell Weight and Substrate Consumption
The fermentation culture broth was sampled every 24 h. For the determination of cell dry weight, the cells were separated by filtration, washed with distilled water, and then dried at 65 °C to a constant weight [27]. The residual glucose concentration in the broth was determined by the biosensor SBA-40E (Institute of Biology, Shandong Academy of Sciences, Jinan, China). Glycerol concentration was measured by the sodium hydroxide titration method; 2 mL fermentation broth was centrifugated at 8000 rpm for 5 min and 1 mL supernatant was mixed with 25 mL 0.1 mol/L NaIO4 for 15 min, then 5 mL of 50% (CH2OH)2 was added and mixed evenly for 20 min. After that, 1–2 drops of phenolphthalein indicator were added and titrated with 0.1 mol/L NaOH until the solution turned pink. The glycerol concentration was calculated as follows: . (G: glycerol concentration, V: NaOH volume, N: NaOH concentration)
2.3. Genotypic Identification and Phenotypic Identification of Panus conchatus
Strains were identified by morphology and 18S rDNA sequencing. A light microscope (LEICA DM1000, Leica, Wetzlar, Germany) was used to observe the morphology of the hyphae. The fungal DNA extraction kit (Omega Bio-Tek, Omega Biotek Inc., Norcross, GA, USA) was used to isolate and extract the genomic DNA of the strain. Fungal ITS primers ITS1 (5′-TCCGTAGGTGAACCTGCGG-3′) and ITS4 (5′-TCCTCCGCTTATTGATATGC-3′) were used to amplify the gene encoding 18S rDNA. The amplified products were purified and sent to General Biotech for sequencing. Homology analysis was conducted to identify the strains using the BLAST tool in NCBI.
2.4. Optimization of Cultivation Medium and Environmental Conditions
As the initial carbon source, 50 g/L glycerol was used; then six nitrogen sources at 30 g/L of peptone, soybean peptone, casein peptone, soybean meal powder, beef extract and yeast powder were used to investigate the effect of different nitrogen sources on EGT synthesis of Panus conchatus. Then, 30 g/L soy peptone was used as the nitrogen source, seven carbon sources at 50 g/L of molasses (derived from sugar cane), fructose, sucrose, maltose, glucose, glycerol and dextrin were used to investigate the effect of different carbon sources on EGT synthesis of Panus conchatus. The rest of the fermentation culture conditions were consistent with Section 2.1. Four different shaking speeds of 60, 90, 120 and 150 rpm were used to further study the effect of different oxygen supply conditions on EGT production at optimized fermentation medium (50 g/L molasses, 30 g/L soy peptone, 3 g/L KH2PO4, 3 g/L MgSO4·7H2O). Under the optimized conditions, three amino acids of histidine, methionine and cysteine were used as the precursors to enhance EGT production at five different concentrations (0.2, 0.4, 0.6, 0.8 and 1.0 g/L).
2.5. EGT Extraction and Analysis
Next, 50 mL of fermentation broth was collected and centrifuged to remove the supernatant, then washed for three times by water. Then, 50 mL of water was added to resuspend the cells which were then bathed in water at 95 °C for 1 h [28]. The treated samples were then centrifuged and the supernatant was collected for further analysis. A high performance liquid chromatography system (Thermo Fisher Scientific, Shanghai, China) was used to measure EGT. UltiMate 3000 was determined at a wavelength of 254 nm by using a photon diode array UV detector. Accucore C18 (Dimension, 150 × 4.6, Sepax Technologies, Inc., Newark, DE, USA) was operated at 25 °C using 5% methanol (Adjust pH5.0 with H3BO3.) at a flow rate of 0.7 mL/min to measure the concentration of EGT. The concentration of EGT was calculated by the calibration curve (Y = 0.7585X − 0.7983 R2 = 0.9997 X: peak area; Y: EGT concentration).
2.6. Evaluation and Stability of Ergothioneine Radical Scavenging Ability by 2,2-Di-Phenyl-1-Picrylhydrazyl
The antioxidant activity of the crude EGT extract (EGTEX), glutathione (GSH) vitamin C (VC), tea polyphenols (TP), caffeic acid (CA), butyl hydroxyanisole (BHA), butylated hydroxytoluene (BHT) and tert-butyl hydroquinone (TBHQ) were detected by the 1,1-diphenyl-2-picrylhydrazyl (DPPH) assay [29]. Then, 15.8 mg DPPH was mixed with 200 mL anhydrous ethanol to produce a 2 × 10−4 mol/L DPPH-ethanol solution which was stored at 2–8 °C in the dark and used within 3.5 h. Five different concentrations (50, 100, 200, 500 and 1000 mg/L) of EGTEX, GSH, VC, TP, CA, BHA, BHT and TBHQ samples were prepared and 1 mL ethanol and 3 mL DPPH solution were mixed and reacted darkly for 30 min as the control group A. Then, a 1 mL sample and 3 mL DPPH solution were mixed and reacted in the dark for 30 min as experimental group B. The blank group C was mixed with 1 mL sample and 3 mL ethanol for 30 min. Then, the absorbance of each group was measured at 517 nm, and the DPPH radical scavenging capacity was calculated by the following formula: .
For the stability analysis, 8 tubes of 5 mL EGT solution were held at different temperatures (25, 35, 45, 55, 65, 75, 85 and 95 °C) for 30 min, and another 10 tubes of 5 mL EGT solution were adjusted with 1 mol/L NaOH and HCl to ten pH value (2.0, 3.0, 4.0, 5.0, 6.0, 7.0, 8.0, 9.0, 10.0, 11.0), then the DPPH clearance was determined by the above method.
2.7. Statistical Analysis
All data obtained were the mean of triplicate experiments. One-way ANOVA was used for the data of glycerol consumption rate, dry cell weight and ergothioneine content of the Panus conchatus. Student–Newman–Keuls was used for the post hoc test. Differences were considered significant at p < 0.05.
3. Results and Discussion
3.1. Genotypic Identification and Phenotypic Identification of Panus conchatus
The medicinal fungus of Panus conchatus was first cultivated in the PDA plate. Colonies appeared to be white for 7 days of cultivation (Figure 2a) and its mycelium showed thick and robust with some lumps under the light microscope (Figure 2c). Results of 18S rDNA sequencing results showed that this strain shared 98% sequence similarity with Panus conchatus. When the strain was cultivated in the initial liquid medium to detect the product, the retention time of the product was 5.3 min corresponding to the position of standard substrate of EGT (Figure 2d) and the initial titer could reach 19.35 mg/L, indicating good potential for EGT production.
Figure 2.
Fungal colony and product identification (a) Panus conchatus colony; (b) Phylogenetic tree of the Panus conchatus; (c) Panus conchatus mycelial morphology (a) LEICA DM1000, 40× magnification); (d) Liquid chromatogram for product determination (The top is the peak of the standard, and the bottom is the peak of the extract).
3.2. Choosing the Optimal Nitrogen Sources
In order to further improve the yield of EGT, we investigated the effects of different nitrogen sources on its fermentation performance. Six organic nitrogen sources, including peptone, soy peptone, casein peptone, soybean meal powder, beef extract and yeast powder, were selected to investigate the effect on the biosynthesis of EGT in Panus conchatus.
As shown in Table 1, the soy peptone group has the highest glycerol consumption rate of 0.38 g/L/h and the highest EGT yield of 40.13 mg/L; both glycerol consumption rate and EGT yield were significantly different from the experimental group with peptone. Soy peptone is usually used as a nitrogen source to promote the production of extracellular polysaccharides in mushrooms [30,31]. In our study, soy peptone also exhibited a role in promoting EGT synthesis of Panus conchatus. However, when using beef extract as the nitrogen source, the glycerol consumption rate was nearly to the highest value, but its EGT yield only reached half of the soy peptone group. These results indicated that beef extract was easily absorbed by Panus conchatus but could not stimulate the accumulation of EGT. In addition, different nitrogen sources also produced different morphology of mycelium (Figure S1). The morphology of mycelium also has a great influence on the rheological properties of fermentation broth [32]. Cells in yeast powder and soy peptone were yellow and spherical with larger particle diameters. In peptone and beef extract, it is yellow and small in size and spherical. In casein peptone and soybean meal powder, white hyphae are mostly present. Combining with the results of the final EGT yield, it seems the large particle size microspheres were more likely to promote the synthesis of EGT. This conclusion was also confirmed in the fermentation of Lentinus edodes [33].
Table 1.
Effect of different kinds of nitrogen sources on EGT production.
3.3. Choosing the Optimal Carbon Sources
A carbon source could provide the main energy source for cell growth and construct the main component of the cytoskeleton. Fructose, glucose, sucrose, maltose, glycerin, dextrin and molasses were compared in this study to investigate the effect of different carbon sources on the fermentation performance of Panus conchatus. In agreement with the results of Tepwong et al. [19], the composition of sugars had a significant effect on the biosynthesis of EGT, and monosaccharides were more favorable to the biosynthesis of EGT compared to polysaccharides. As shown in Table 2, glucose was the best carbon source for cell growth and cell dry weight reached the maximum value of 13.12 g/L at 96 h. There was no significant difference in the cell dry weight content of the remaining experimental groups. However, the differences in EGT production between the experimental groups of each carbon source were significant, indicating that the carbon source is a key factor affecting EGT production by Panus conchatus fermentation. The cell dry weight when using maltose as the carbon source was also near the maximum value but the fermentation time extended to 192 h; the EGT yield was significantly lower than that of the molasses experimental group indicating that the maltose could not be used effectively by Panus conchatus. Similar results were also observed when using the polysaccharides, such as dextrin, or disaccharides, such as sucrose, as the carbon source. Further comparing the morphology (Figure S1), we found the glucose-induced cell to be mycelium while the cell formed the pellets with a relatively larger size in the maltose group.
Table 2.
Effect of different kinds of carbon sources on EGT production.
Moreover, the highest EGT yield of 81.44 mg/L was obtained when using the molasses as the carbon source, which was 2.44 times and 4.34 times higher than that in glycerol and glucose groups. The highest EGT productivity and the specific duty reached 0.85 mg/L/h and 8.40 mg/g. When comparing the morphologies of different groups, we found that molasses, maltose, sucrose and dextrin tended to form the particles, while glycerol, glucose and fructose produced abundant mycelium in the broth.
In addition, it is well known that molasses contains about 50% carbohydrate, 10% of protein, a small amount of ash, and a trace amount of metal ions and vitamins, etc. Compared with other single component carbon sources, molasses could provide more micro-elements for EGT synthesis in Panus conchatus. In addition, molasses was one of the cheapest raw materials for the production of bioproducts [34]; compared with glycerol and glucose, the price of molasses was 89.74% and 94.67% lower, implying that molasses was a more economical stock for EGT production.
3.4. Effect of Oxygen Supply Conditions
Oxygen played important roles in the cell growth and metabolic regulation of different natural products’ production. As shown in Figure 3, cell growth was inhibited significantly at 60 rpm and the cell dry weight always kept below 1 g/L. However, when the mixing speed increased to 90 rpm, the cell dry weight was significantly increased, but the EGT yield remained at a relatively low level. Further improving the mixing speed to 120 rpm and 150 rpm, the cell growth retained the same tendency and the highest cell dry weight reached 12 g/L but the EGT yield was significantly improved especially at 150 rpm. The highest EGT yield of 86.05 mg/L was obtained at 150 rpm after 144 h fermentation, which was 113.69% higher than that of 120 rpm.
Figure 3.
Effects of different mixing speed on dry weight and ergothioneine production of Panus conchatus. (a) dry weight (b) ergothioneine production.
In the EGT aerobic biosynthesis pathway, two enzymes of Egt1 and Egt2 were involved in the reactions. Oxygen and Fe2+ were used as cofactors in the catalytic reaction step of Egt1. Therefore, a higher oxygen supply was beneficial for the synthesis of EGT. However, when the mixing speed continued to be increased, mycelium would grow on the bottle wall near the mouth of the shake flask, which was not conducive to the following cultivation. In addition, excessive oxygen supply would also increase intracellular ROS level, resulting in cytotoxicity [35]. Hence, 150 rpm was chosen for the further fermentation.
3.5. Adding Precursors to Enhance EGT Biosynthesis
Histidine, methionine and cysteine are three key amino acids involved in the EGT biosynthesis, so appropriate amino acid supplementation should enhance EGT production.
Histidine is the direct precursor of EGT providing the main backbone of the structure. As shown in Figure 4, histidine addition did not affect cell growth obviously but could enhance the EGT production at the later fermentation stage. The EGT titer reached 135.52 mg/L when adding 0.2 g/L histidine, which was 54.28% higher than that of the control. However, increasing the histidine concentration could not improve the EGT production and 1 g/L histidine obviously decreased the EGT titer after 5 days of fermentation, indicating that the high concentration of histidine generated the obvious substrate inhibition.
Figure 4.
Effects of different concentrations of precursors on dry weight and ergothioneine production. (a,c,e) dry weight (b,d,f) ergothioneine production.
Methionine could provide the methyl group during the EGT biosynthesis. As shown in Figure 4c, a lower concentration of methionine, especially at 0.4 g/L, could promote the cell growth, but methionine addition severely inhibited the EGT biosynthesis, indicating that the addition of exogenous methionine had a reversed effect on the synthesis of EGT in Panus conchatus. Actually, as Tanaka et al. [36] said, when adding methionine without histidine, the methyl group could not be accepted because of the insufficient histidine skeleton, thus the accumulation of EGT would not be improved.
As for the cysteine addition, a low concentration of cysteine could promote cell growth, but growth inhibition began to occur when the concentration increased to 0.8 g/L. The highest cell dry weight reached 16.3 g/L, which was 14.47% higher than that of the control. However, cysteine addition obviously enhanced the EGT production especially at the 6th day. The highest EGT titer of 148.79 mg/L was obtained on the 6th day when adding 0.4 g/L cysteine, which was 69.25% higher than that of the control. The study of Lin et al. [25] also showed that cysteine was the most effective additive. Ergothioneine is a new sulfur-containing antioxidant similar to glutathione, which could provide an organic sulfur source for biosynthesis by adding exogenous cysteine [37].
3.6. Evaluation of Radical Scavenging Ability and Stability of Crude Ergothioneine Extract
To evaluate the antioxidant activity of EGT extract (EGTEX), vitamin C (VC), glutathione (GSH), tea polyphenols (TP), caffeic acid (CA), butyl hydroxyanisole (BHA), butylated hydroxytoluene (BHT) and tert-butyl hydroquinone (TBHQ) were used as the control. As shown in Figure 5b, a low concentration of about 50 mg/L of VC, EGTEX, TP, CA and TBHQ obtained more than 90% of DPPH clearance rate while GSH and BHT showed poor DPPH scavenging ability at the same concentration. Although the DPPH scavenging capacity of BHA at 50 mg/L was only 73.41%, the DPPH radical scavenging capacity could reach more than 90% by further increasing its concentration to 100 mg/L. However, the DPPH scavenging ability of GSH and BHT was improved with the increase of the concentration, but was still lower than that of other antioxidants. Therefore, the crude extract of EGT processed the good antioxidant activity as VC, TP, CA, BHA, TBHQ and was better than that of GSH and BHT.
Figure 5.
(a) Extraction of ergothioneine; (b) DPPH scavenging ability of EGT, GSH VC, TP, CA, BHA, BHT and TBHQ; (c) Effect of temperature on scavenging DPPH by ergothioneine from Panus conchatus; (d) Effect of pH on scavenging DPPH by ergothioneine from Panus conchatus.
In order to further explore the stability of EGT produced by Panus conchatus, we studied the effect of temperature and pH on DPPH assay. As shown in Figure 5c, the DPPH clearance rate of EGTEX was about 90% in both low and high temperature conditions, indicating that EGT has better thermal stability than vitamin C [38]. The DPPH clearance rate was about 90% in the acidic condition even at pH 2–4 but dropped to about 80% at pH 5–6 and continued to drop to only 10% at pH 11. This indicated that EGT produced by the Panus conchatus was acid-resistant, and was suitable for storage under acidic conditions. In addition, we measured the pH of the fermentation liquid and the extract, and both of them were around 4.75. The fermentation environment of Panus conchatus was also acidic, which may be one of the reasons that the EGT produced by Panus conchatus was acid-resistant but not alkali-resistant.
4. Conclusions
In this study, the EGT production ability of a medicinal mushroom of Panus conchatus was investigated, from strain identification and process optimization to product evaluation. The highest EGT titer of 148.79 mg/L was obtained from Panus conchatus cultured in an optimized medium (50 g/L molasses, 30 g/L soy peptone, 3 g/L KH2PO4, 3g/L MgSO4·7H2O, 0.4 g/L cysteine) at 25 °C for 168 h with shaking at 150 rpm. In addition, the crude EGT extract showed higher antioxidant activity with good stability. This study could provide a new method for EGT bioproduction and new ideas for the exploration of Panus conchatus.
Supplementary Materials
The following supporting information can be downloaded at: https://www.mdpi.com/article/10.3390/fermentation8090431/s1, Figure S1: Effect of different medium on thallus morphology ((a) peptone, (b) casein peptone, (c) beef extract, (d) yeast powder, (e) soy peptone, (f) soybean meal powder, (g) glycerol, (h) glucose, (i) fructose, (j) dextrin, (k) molasses, (l) maltose, (m) sucrose).
Author Contributions
M.Z. and Y.H. performed the experiments. L.R. and X.H. designed the study and performed the assessment. M.Z. wrote the manuscript, L.R. and C.G. revised the manuscript. All authors have read and agreed to the published version of the manuscript.
Funding
This work was financially supported by the National Key R&D Program of China (No. 2019YFA0905700), the National Natural Science Foundation of China (No. 21878151), the Natural Science Foundation of Jiangsu Province (BK20211535) and the Jiangsu Synergetic Innovation Center for Advanced Bio-Manufacture (XTD2213).
Institutional Review Board Statement
Not applicable.
Informed Consent Statement
Not applicable.
Data Availability Statement
All data generated or analyzed during this study are included in this published article.
Conflicts of Interest
The authors declare no conflict of interest.
References
- Hartman, P.E. Erogothioneine as antioxidant. Method Enzymol. 1990, 186, 310–318. [Google Scholar]
- Chaves, N.A.; Pires Alegria, T.G.; Dantas, L.S.; Soares Netto, L.E.; Miyamoto, S.; Bonini Domingos, C.R.; da Silva, D.G.H. Impaired antioxidant capacity causes a disruption of metabolic homeostasis in sickle erythrocytes. Free Radic. Biol. Med. 2019, 141, 34–46. [Google Scholar] [PubMed]
- Pahila, J.; Kaneda, H.; Nagasaka, R.; Koyama, T.; Ohshima, T. Effects of ergothioneine-rich mushroom extracts on lipid oxidation and discoloration in salmon muscle stored at low temperatures. Food Chem. 2017, 233, 273–281. [Google Scholar] [CrossRef] [PubMed]
- Yoshida, S.; Shime, H.; Matsumoto, M.; Kasahara, M.; Seya, T. Anti-oxidative amino acid L-ergothioneine modulates the tumor microenvironment to facilitate adjuvant vaccine immunotherapy. Front. Immunol. 2019, 10, 671. [Google Scholar] [PubMed]
- Cheah, I.K.; Tang, R.M.Y.; Yew, T.S.Z.; Lim, K.H.C.; Halliwell, B. Administration of pure ergothioneine to healthy human subjects: Uptake, metabolism, and effects on biomarkers of oxidative damage and inflammation. Antioxid. Redox Signal. 2017, 26, 193–206. [Google Scholar] [CrossRef] [PubMed]
- Cao, X.; Cao, L.; Zhang, W.; Lu, R.; Bian, J.S.; Nie, X. Therapeutic potential of sulfur-containing natural products in inflammatory diseases. Pharmacol. Ther. 2020, 216, 107687. [Google Scholar]
- Nakamichi, N.; Nakayama, K.; Ishimoto, T.; Masuo, Y.; Wakayama, T.; Sekiguchi, H.; Sutoh, K.; Usumi, K.; Iseki, S.; Kato, Y. Food-derived hydrophilic antioxidant ergothioneine is distributed to the brain and exerts antidepressant effect in mice. Brain Behav. 2016, 6, e00477. [Google Scholar] [CrossRef]
- Nishida, K.; Takeuchi, K.; Hosoda, A.; Sugano, S.; Morisaki, E.; Ohishi, A.; Nagasawa, K. Ergothioneine ameliorates oxaliplatin-induced peripheral neuropathy in rats. Life Sci. 2018, 207, 516–524. [Google Scholar]
- Tyler, E.F.; Misra, S.L.; McGhee, C.N.J.; Zhang, J. Corneal nerve plexus changes induced by Oxaliplatin chemotherapy and Ergothioneine antioxidant supplementation. Clin. Exp. Ophthalmol. 2020, 48, 264–266. [Google Scholar] [CrossRef]
- Han, Y.W.; Tang, X.Y.; Zhang, Y.T.; Hu, X.C.; Ren, L.J. The current status of biotechnological production and the application of a novel antioxidant ergothioneine. Crit. Rev. Biotechnol. 2021, 41, 580–593. [Google Scholar] [CrossRef]
- Ramirez-Martinez, A.; Wesolek, N.; Yadan, J.C.; Moutet, M.; Roudot, A.C. Intake assessment of L-ergothioneine in some European countries and in the United States. Hum. Ecol. Risk Assess. 2016, 22, 667–677. [Google Scholar] [CrossRef]
- Kitsanayanyong, L.; Ohshima, T. Ergothioneine: A potential antioxidative and antimelanosis agent for food quality preservation. FEBS Lett. 2022, 596, 1330–1347. [Google Scholar] [CrossRef] [PubMed]
- Hseu, Y.C.; Gowrisankar, Y.V.; Chen, X.Z.; Yang, Y.C.; Yang, H.L. The antiaging activity of ergothioneine in UVA-irradiated human dermal fibroblasts via the inhibition of the AP-1 pathway and the activation of Nrf2-mediated antioxidant genes. Oxidative Med. Cell. Longev. 2020, 2020, 2576823. [Google Scholar] [CrossRef]
- Tsay, G.J.; Lin, S.Y.; Li, C.Y.; Mau, J.L.; Tsai, S.Y. Comparison of single and combined use of ergothioneine, ferulic acid, and glutathione as antioxidants for the prevention of ultraviolet B radiation-induced photoaging damage in human skin fibroblasts. Processes 2021, 9, 1204. [Google Scholar] [CrossRef]
- Fujitani, Y.; Alamgir, K.M.; Tani, A. Ergothioneine production using methylobacterium species, yeast, and fungi. J. Biosci. Bioeng. 2018, 126, 715–722. [Google Scholar] [CrossRef]
- Pfeiffer, C.; Bauer, T.; Surek, B.; Schoemig, E.; Gruendemann, D. Cyanobacteria produce high levels of ergothioneine. Food Chem. 2011, 129, 1766–1769. [Google Scholar] [CrossRef]
- Kalaras, M.D.; Richie, J.P.; Calcagnotto, A.; Beelman, R.B. Mushrooms: A rich source of the antioxidants ergothioneine and glutathione. Food Chem. 2017, 233, 429–433. [Google Scholar] [CrossRef]
- Chen, S.Y.; Ho, K.J.; Liang, C.H.; Tsai, C.H.; Huang, L.Y.; Mau, J.L. Preparation of culinary-medicinal king oyster mushroom Pleurotus eryngii fermented products with high ergothioneine content and their taste quality. Int. J. Med. Mushrooms 2012, 14, 85–93. [Google Scholar] [CrossRef]
- Tepwong, P.; Giri, A.; Sasaki, F.; Fukui, R.; Ohshima, T. Mycobial enhancement of ergothioneine by submerged cultivation of edible mushroom mycelia and its application as an antioxidative compound. Food Chem. 2012, 131, 247–258. [Google Scholar] [CrossRef]
- Chen, S.Y.; Ho, K.J.; Hsieh, Y.J.; Wang, L.T.; Mau, J.L. Contents of lovastatin, gamma-aminobutyric acid and ergothioneine in mushroom fruiting bodies and mycelia. LWT-Food Sci. Technol. 2012, 47, 274–278. [Google Scholar] [CrossRef]
- Hu, W.; Song, H.; Her, A.S.; Bak, D.W.; Naowarojna, N.; Elliott, S.J.; Qin, L.; Chen, X.; Liu, P. Bioinformatic and biochemical characterizations of C-S bond formation and cleavage enzymes in the fungus Neurospora crassa ergothioneine biosynthetic pathway. Org. Lett. 2014, 16, 5382–5385. [Google Scholar] [CrossRef] [PubMed]
- Takusagawa, S.; Satoh, Y.; Ohtsu, I.; Dairi, T. Ergothioneine production with Aspergillus oryzae. Biosci. Biotechnol. Biochem. 2019, 83, 181–184. [Google Scholar] [CrossRef] [PubMed]
- Estrada, A.E.R.; Lee, H.J.; Beelman, R.B.; Jimenez-Gasco, M.d.M.; Royse, D.J. Enhancement of the antioxidants ergothioneine and selenium in Pleurotus eryngii var. eryngii basidiomata through cultural practices. World J. Microbiol. Biotechnol. 2009, 25, 1597–1607. [Google Scholar] [CrossRef]
- Liang, C.H.; Huang, L.Y.; Ho, K.J.; Lin, S.Y.; Mau, J.L. Submerged cultivation of mycelium with high ergothioneine content from the culinary-medicinal king oyster Mushroom Pleurotus eryngii (higher basidiomycetes) and its composition. Int. J. Med. Mushrooms 2013, 15, 153–164. [Google Scholar] [CrossRef] [PubMed]
- Lin, S.Y.; Chien, S.C.; Wang, S.Y.; Mau, J.L. Submerged cultivation of mycelium with high ergothioneine content from the culinary-medicinal golden oyster mushroom, Pleurotus citrinopileatus (higher basidiomycetes). Int. J. Med. Mushrooms 2015, 17, 749–761. [Google Scholar] [CrossRef] [PubMed]
- Ding, J.H.; Li, Z.H.; Feng, T.; Liu, J.K. A new cadinane sesquiterpenoid from cultures of the basidiomycete Panus conchatus. Nat. Prod. Res. 2018, 32, 2333–2337. [Google Scholar] [CrossRef]
- Tellez-Tellez, M.; Fernandez, F.J.; Montiel-Gonzalez, A.M.; Sanchez, C.; Diaz-Godinez, G. Growth and laccase production by Pleurotus ostreatus in submerged and solid-state fermentation. Appl. Microbiol. Biotechnol. 2008, 81, 675–679. [Google Scholar] [CrossRef] [PubMed]
- Nguyen, T.H.; Nagasaka, R.; Ohshima, T. Effects of extraction solvents, cooking procedures and storage conditions on the contents of ergothioneine and phenolic compounds and antioxidative capacity of the cultivated mushroom Flammulina velutipes. Int. J. Food Sci. Technol. 2012, 47, 1193–1205. [Google Scholar] [CrossRef]
- Szabo, M.R.; Iditoiu, C.; Chambre, D.; Lupea, A.X. Improved DPPH determination for antioxidant activity spectrophotometric assay. Chem. Pap. 2007, 61, 214–216. [Google Scholar] [CrossRef]
- Wu, C.Y.; Mau, J.L.; Liang, Z.C. The influence of cultivation conditions on mycelial growth and exopolysaccharide production of culinary-medicinal mushroom, Pleurotus citrinopileatus Singer (Agaricomycetideae). Int. J. Med. Mushrooms 2008, 10, 279–292. [Google Scholar] [CrossRef]
- Kim, H.M.; Paik, S.Y.; Ra, K.S.; Koo, K.B.; Yun, J.W.; Choi, J.W. Enhanced production of exopolysaccharides by fed-batch culture of Ganoderma resinaceum DG-6556. J. Microbiol. 2006, 44, 233–242. [Google Scholar] [PubMed]
- Riley, G.L.; Tucker, K.G.; Paul, G.C.; Thomas, C.R. Effect of biomass concentration and mycelial morphology on fermentation broth rheology. Biotechnol. Bioeng. 2000, 68, 160–172. [Google Scholar] [CrossRef]
- Tepwong, P.; Giri, A.; Ohshima, T. Effect of mycelial morphology on ergothioneine production during liquid fermentation of Lentinula edodes. Mycoscience 2012, 53, 102–112. [Google Scholar] [CrossRef]
- Koutinas, A.A.; Wang, R.; Webb, C. Evaluation of wheat as generic feedstock for chemical production. Ind. Crops Prod. 2004, 20, 75–88. [Google Scholar] [CrossRef]
- Quinzii, C.M.; Lopez, L.C.; Gilkerson, R.W.; Dorado, B.; Coku, J.; Naini, A.B.; Lagier-Tourenne, C.; Schuelke, M.; Salviati, L.; Carrozzo, R.; et al. Reactive oxygen species, oxidative stress, and cell death correlate with level of CoQ(10) deficiency. Faseb J. 2010, 24, 3733–3743. [Google Scholar] [CrossRef]
- Tanaka, N.; Kawano, Y.; Satoh, Y.; Dairi, T.; Ohtsu, I. Gram-scale fermentative production of ergothioneine driven by overproduction of cysteine in Escherichia coli. Sci. Rep. 2019, 9, 1895. [Google Scholar]
- Hidese, R.; Mihara, H.; Esaki, N. Bacterial cysteine desulfurases: Versatile key players in biosynthetic pathways of sulfur-containing biofactors. Appl. Microbiol. Biotechnol. 2011, 91, 47–61. [Google Scholar]
- Uprety, M.C.; Revis, B. Elevated temperature studies on stability of ascorbic acid in certain fruit juice and aqueous vehicles. J. Pharm. Sci. 1964, 53, 1248–1251. [Google Scholar] [CrossRef]
Publisher’s Note: MDPI stays neutral with regard to jurisdictional claims in published maps and institutional affiliations. |
© 2022 by the authors. Licensee MDPI, Basel, Switzerland. This article is an open access article distributed under the terms and conditions of the Creative Commons Attribution (CC BY) license (https://creativecommons.org/licenses/by/4.0/).




