Abstract
Anthropogenic activities and industrial effluents are the major sources of petroleum hydrocarbon contamination in different environments. Microbe-based remediation techniques are known to be effective, inexpensive, and environmentally safe. In this review, the metabolic-target-specific pathway engineering processes used for improving the bioremediation of hydrocarbon-contaminated environments have been described. The microbiomes are characterised using environmental genomics approaches that can provide a means to determine the unique structural, functional, and metabolic pathways used by the microbial community for the degradation of contaminants. The bacterial metabolism of aromatic hydrocarbons has been explained via peripheral pathways by the catabolic actions of enzymes, such as dehydrogenases, hydrolases, oxygenases, and isomerases. We proposed that by using microbiome engineering techniques, specific pathways in an environment can be detected and manipulated as targets. Using the combination of metabolic engineering with synthetic biology, systemic biology, and evolutionary engineering approaches, highly efficient microbial strains may be utilised to facilitate the target-dependent bioprocessing and degradation of petroleum hydrocarbons. Moreover, the use of CRISPR-cas and genetic engineering methods for editing metabolic genes and modifying degradation pathways leads to the selection of recombinants that have improved degradation abilities. The idea of growing metabolically engineered microbial communities, which play a crucial role in breaking down a range of pollutants, has also been explained. However, the limitations of the in-situ implementation of genetically modified organisms pose a challenge that needs to be addressed in future research.
1. Introduction
Crude oil contamination is an emerging environmental concern on a global scale due to inadvertent oil leakage [1]. Oil spillage and discharges frequently happen as a consequence of explosion incidents during oilfield drilling; leakage from oil and gas pipelines and reservoirs, fuel tankers, and well waxing; and during overhauls of refineries and petrochemical manufacturing equipment [2,3]. Crude oil is a heterogeneous mixture primarily composed of carbon (83–87%) and hydrogen (10–14%) atoms. However, fractions of nitrogen (0.1 to 2%), sulphur (0.05 to 6.0%), and oxygen (0.05 to 1.5%) compounds (NSO) are also found [4,5]. According to its structural complexity, crude oil is classified into four major types: paraffins (15–60%), naphthenes (30–60%), aromatics (3–30%), and asphaltenes (2–25%). The simplest form of crude oil with at least one saturated carbon atom ring is naphthenes [6], which include single-ring aromatic compounds, such as benzene, toluene, ethylbenzene, and xylene (BTEX), and multi-ring polycyclic aromatic hydrocarbons (PAHs), with various alkyl groups making up the aromatic fraction [7]. The highly complex carbon structure of resins and asphaltenes, with many additional NSO atom moieties, makes them the most persistent components of crude oil [8].
Crude oil and its products damage water and air quality and also reduce soil fertility [9,10]. Crude oil can harm plants by clogging soil pores, reducing soil aeration and water permeability, which can have both ecological and toxicological effects and disrupt the soil’s natural structure [11,12]. Aside from these environmental concerns, one of the most serious consequences of such anthropogenic emissions is current global climate change. Crude oil contamination not only impacts different ecosystems but also influences global socio-economic status [13]. The two most historic marine crude oil spills with devastating environmental consequences were during the Gulf War in 1991 and the Deepwater Horizon disaster in 2010. Cleaning up such spillage may cost from USD 2.4 billion to USD 61 billion, depending on the penalties and effects on natural and economic resources [14]. Furthermore, even at low concentrations, crude oil substances can cause fatal alterations in genetic material due to their persistence and biological toxicity [15]. Hydrocarbon substances may cause damage to the respiratory, circulatory, nervous, sensory, and immune systems of the human body [16]. Extreme weather phenomena, including cold waves, heat waves, cyclones, floods, and earthquakes, also disrupt food and water supplies. To overcome such difficulties, techniques such as phytoremediation and rhizoremediation are employed to degrade hydrocarbon contaminants and could be used as a biomass-generating source [17]. Many plant–microbe-assisted bioremediation studies have been carried out in order to efficiently remediate crude oil and heavy metal contaminants from various polluted sites [18]. In one of the studies, Melia azedarach plants growing in soil contaminated with benzo[a]pyrene (BaP) degraded 88% of the substantial amount of BaP within 60 days of treatment under greenhouse conditions, as well as degrading 68.22% in bulk soil. As a result of the plant–microbe interaction, BaP degradation was increased by 15% [18]. A bacterial strain, Comamonas sp. KD7, when associated with the plant Trifolium repens L, was discovered to improve dioxin-polluted soil clean-up [19]. Grass species, such as Cymbopogon ambiguus, Brachiaria decumbens, and Microlaena stipoides, enhanced the capacity of indigenous microorganisms to eliminate crude oil pollution in soil without applying external supplements [20]. Another study used the ornamental plant Tagetes erecta L in conjunction with the non-pathogenic K. pneumoniae AWD5 strain to determine the degradation of pyrene-contaminated soil (200 mg/kg). The degradation rate was 68.61% after 60 days of experiments [21].
Raymond et al. [22] published their first research on the in-situ bioremediation treatment of groundwater contaminated with petroleum hydrocarbons due to pipeline leakage in Ambler, Pennsylvania, in 1972. Bioremediation is a sustainable method facilitated by living organisms to break down and remove environmental pollutants [7]. Microbial candidates are potential contributors in bioremediation procedures due to their short and simple genome size, quick regenerating time, and ability to adapt to harsh conditions [23]. A bacterial consortium of Pseudomonas pseudoalcaligenes and two strains of Erythrobacter citreus degraded 84.1% of hydrocarbon contaminants [24]. In another study, a bacterial consortium of P. aeruginosa, B. subtilis, and A. lwoffi showed the maximum degradation of 88.5% of crude oil in 28 days [25]. Microbial species, such as Bacillus, Mycobacterium, Acinetobacter, and Micrococcus, were proven to degrade asphaltenes in different concentrations ranging from 2500 to 5000 mg/L in liquid medium [26,27]. Biological techniques include the microbial (fungal or bacterial) breakdown of contaminants [28]; bioaugmentation and biostimulation to enhance bioremediation [29]; synthesis of value-added biochemical substances; use of plants, particularly those that are fast-growing with large biomass production; and the combined action of plants and microbes to remediate crude oil contamination [30].
Catabolic enzymes are primarily responsible for the microbial degradation of petroleum hydrocarbons [31]. Both aerobic and anaerobic degradation processes involve several enzymatic reactions of contaminants, such as oxidation, reduction, hydrogenation, and dehydrogenation [32]. Systemic biology encompassed all approaches to metabolic pathway engineering, multi-omics techniques (genomic, proteomic, and transcriptomic), and computational applications to investigate all critical processes, and optimise, forecast, and assess the metabolic activities of microorganisms in the relevant environment [33]. Recent advancements in genome editing tools (TALEN, CRISPR-cas, and ZFN) [34] and recombinant DNA technology have facilitated the modification of microbial strains for their metabolic pathways to neutralise single or numerous contaminants at the same time [35,36]. Synthetic biology utilises systems biology tools to reconstruct synthetic metabolic routes for the enhancement of the bioremediation process. However, the expense, time constraints, human resources, and goals of the project are needed to be considered when selecting techniques to employ such approaches [37].
Previous reviews have strongly emphasized the use of genetic techniques for microbe-mediated bioremediation. Kotoky et al. [38] reviewed the plant–microbe-assisted rhizoremediation of PAH-contaminated soil. Azad et al. [39] examined the genetically engineered microorganisms involved in the bioremediation of petroleum hydrocarbons and heavy metal contamination. Similarly, in their review, Koshlaf et al. [40] discussed the different bioremediation approaches along with the factors influencing the bioremediation process. These reviews have provided excellent insights into the process of the microbial degradation of hydrocarbons. Here, we have presented an elaborate discussion of the potential of the metabolic engineering of hydrocarbon degradation pathways. Moreover, in contaminated environments, competition from indigenous microorganisms for nutrients, including growth factors, could affect the engineered organisms. There are also some threats to the direct application of genetically modified organisms (GMOs) in the environment due to their highly resistant properties. Furthermore, most of the microorganisms cannot degrade several crude oil components simultaneously [41,42]. As a result, degrading different fractions may necessitate separate machinery or the use of an efficient microbial consortium. Therefore, this review describes aspects of metabolic-pathway-engineering approaches for the significant hydrocarbon remediation of soil based on recent advances in molecular techniques. This review also provides a better understanding of several systems biology approaches integrated with metabolic engineering techniques. Furthermore, this article discusses computational applications for developing sustainable bacterial remediation techniques for future petroleum hydrocarbon contaminations of soil. The study period of this review is mainly from reports after 2000; yet, some pioneering work has been retained for their significant inputs.
This review comprises of four major areas, which are as follows: (1) The microbe-assisted bioremediation of crude-oil-contaminated environments, providing brief details of the microorganisms involved in the bioremediation of crude oil and the factors affecting the bioremediation process. This section also includes information regarding the classical pathways of crude oil degradation. (2) Metabolic pathway engineering for the bioremediation of crude oil contamination, which consists of the different approaches of metabolic engineering via a selection of microorganisms and their transcriptional modifications, and several computational applications to predict toxicity and pathway modification have been discussed. (3) Metabolic engineering studies integrating systems biology, describing the different “omics” approaches. Additionally, computational applications along with the limitations have been provided. Finally, (4) synthetic biology approaches in the field of metabolic engineering, demonstrating the use of genetic engineering tools, the limitations of GMO applications, and risk assessments.
2. Microbe-Assisted Remediation of Crude-Oil-Contaminated Environment
With all the shortcomings of other techniques of remediation, the complete or partially effective removal of crude oil is still a challenge [43,44,45]. The microbial degradation of complex and diverse crude oil molecules requires specific enzymes for a specific class of compounds [46,47]. Depending on the bacterial species and community, the resulting catabolites are either utilised by the bacteria themselves or released into the environment for further degradation by the other bacteria in the community [48]. The sole determining factor critical to the degradation is the survival of the bacteria in a medium with high crude oil contamination [49]. Due to their capacity to degrade a variety of crude oil components, bacteria are considered to be the most effective degraders of crude oil [50,51,52]. According to the research by El-Liethy et al. [53] the rate of crude oil degradation by the bacterial strain Enterobacter hormaechei was 0.6% in a minimal medium, but it accelerated to 70.7% when the medium was biostimulated with peptone. A bioremediation experiment carried out with biosurfactant-producing Pseudomonas aeruginosa showed a maximum of 68.3% degradation of n-hexadecane in 60 days [54]. Alkanes with different molecular chains may be degraded by the Acinetobacter strain DSM17874 using degrading genes, such as alkB and AlmA [55]. Pseudomonas nitroreducens efficiently degraded 70% of paraffinic contaminants in a short period of 10 days [56]. However, a consortium can attain better degradation of crude oil by the availability of a broader range of enzymes acting upon crude oil compounds, as well as the co-existence of multiple bacteria that assist in the formation of higher metabolic networks, which can interact with the persistent compounds and carry out the process of biodegradation [52,57]. A microbial consortium consisting of Actinotalea ferrariae, Arthrobacter ginsengisoli, Dietzia cinnamea, Dietzia papillomatosis, and Pseudomonas songnensis showed a degradation of crude oil ranging from 73.6 to 69.3% in soil with 1–10% crude oil contamination [58]. A study of in situ rhizoremediation revealed that a consortium of Pseudomonas aeruginosa and P. plecoglossicida degraded 56.14% of petroleum engine oil after 120 days when planted with wheat plants [59].
Bacteria, such as Acidobacter, Alteromonas, Arthrobacter, Burkholderia, Dietzia, Enterobacter, Kocuria, Marinobacter, Mycobacterium, Pandoraea, Pseudomonas, Staphylococcus, Streptobacillus, Streptococcus, and Rhodococcus, play crucial roles in the degradation of crude oil [60,61]. Acinetobacter, Aquabacteriumalong, Brevundimonas, and Pseudomonas predominated in crude-oil-contaminated soil by bioremediating 49.3% (1756 mg/kg) of HMW crude oil components with food waste composting [62]. Similarly, Exiguobacterium aurantiacum and Burkholderia cepacian could degrade 52.93% and 51.37% of crude oil (1%) in 15 days [63], respectively. Similarly, obligate hydrocarbonoclastic bacteria, such as Nesiotobacter, Nitratireductor, Acinetobacter, Marinobacter, Pseudoalteromonas, and Sphingomonas, have very low abundances in uncontaminated soil [64], otherwise rising with an increase in the contamination [65,66,67]. Sphingomonas strain 4c can break down 87.2% (100 mg/L) of the fluorene in 7 days [68]. Nesiotobacter exalbescens COD22 isolated from a marine environment can degrade 92% of hydrocarbon contaminants under high-pressure conditions. However, at a normal pressure rate, the degradation was found to be slowed down by a rate of 87.5% [69]. The symbiotic association of Talaromyces species and Acinetobacter baumannii can potentially degrade a complete alkane fraction and about 80% of the total petroleum hydrocarbon contamination within 14 days in culture conditions at a pH of 9 [70]. The bacterial functions that allow them to thrive in such extremely polluted conditions are their unique genetic features and catabolic attributes [71]. A consortium consisting of Aeromonas hydrophila, Alcaligenes xylosoxidans, Gordonia sp., Pseudomonas fluorescens, Pseudomonas putida, Rhodococcus equi, S. maltophilia, and Xanthomonas sp. was able to potentially degrade 89% of diesel oil from heavily contaminated field soil [62].
Crude oil has been an integral part of the marine environment for millions of years, and microbes use it as an energy source. PAHs are ubiquitous in the marine environment and enter through chronic or acute pollution events, such as oil spills. The fate of PAHs after entering the marine environment is determined by several factors, such as sinking, sedimentation, resuspension, volatilisation, photodegradation, and biodegradation [72]. Over 175 prokaryotic genera in 7 phyla of bacteria and archaea and a similar number of fungal genera have been identified that can use hydrocarbons as their sole carbon source [73]. Some commonly reported genera for oil degradation are Alcanivorax, Cycloclasticus [74], Fundibacter [75], and Oleispira [76]. Cycloclasticus can use pyrene, naphthalene, 2-methylnaphthalene, 2,6-dimethylnaphthalene, biphenyl, fluorene, acenaphthalene, dibenzofuran, phenanthrene, or anthracene as a sole carbon source [77]. A recent study in Mediterranean waters revealed that the microbial communities in pristine, unpolluted locations responded very differently than those inhabiting chronically polluted sites. The latter showed a faster degradation response when accidental oil pollution occurred [73]. Mixed bacterial species of Pseudomonas sp. and Bacillus sp. degrade 80.64% of crude oil and 76.30% of alkanes in oily wastewater. Another study by Chen et al. [78] showed that the bacterial consortium consisting of Exiguobacterium sp., Pseudomonas aeruginosa sp., Alcaligenes sp., Alcaligenes sp., and Bacillus sp., when isolated from the coastal area, could degrade up to 70% of crude oil in 7 days. A marine bacterial sp. of Pseudomonas sp. sp48 can degrade a wide variety of aromatic and aliphatic hydrocarbons by up to 79% in culture conditions [79]. The degradation of different PAHs by bacterial strains has been listed in Table 1, along with other details, such as the specific contaminants they degrade and the environment from where they were isolated.
Table 1.
Degradation of PAHs by various microorganisms in soil environment (with their concentrations and degradation rates).
2.1. Regulatory Factors Involve in Microbial Degradation of Crude Oil
Microbes are primarily responsible for the biodegradation of crude oil in the contaminated environment; however, several biotic and abiotic factors also influence the efficacy of bioremediation approaches, such as soil oxygen content, soil type, pH, temperature, nutrient availability, water content, and the concentration of crude oil and its bioavailability in the existing environment [94].
The bioavailability of crude oil components in a soil environment is an essential factor in regulating biodegradation rate [95]. Though the increase in the concentration of crude oil negatively affects the degradation rate, the degradation of aromatic compounds and linear hydrocarbons occurs discretely [96]. After the rapid initial rate of crude oil degradation, the residue becomes partially diffused to the surrounding solid surfaces, reducing its bioavailability, phosphorus and nitrogen contents and degradation rate at later stages [97]. The improper disposal of crude oil with high concentrations of volatile hydrocarbons and sludge (15–20%) can harm the microbial population and hinder the biodegradation of the oil [98,99]. Temperature has multiple effects in the bioremediation process, as it influences the rate at which the crude oil is degraded by the microorganisms, affecting the composition of the whole soil microbiome [100]. The chemical and physical properties of crude oil are also affected by temperature variations. The soil–water partition coefficient decreases with increasing temperature in soil with high moisture content, and contaminant dissolution may occur [101]. Though the ability of microorganisms to degrade crude oil is negatively affected in high-pH environments [102], the pH of the soil plays a major role in the degradation of crude oil by the bacteria. It has been observed that pH 7 is optimum for the significant degradation of PAHs and other n-alkanes (C-7 to C-25). However, bacterial strains such as Bacillus subtilis BL-27 showed a wide tolerance to pH values ranging from 4 to 10 during the degradation of crude oil [103].
Dubinsky et al. [104] observed that during unmitigated flow, n-alkane and cycloalkane availability were higher, which probably helped alkane-degrading bacteria flourish. According to metagenomic and meta-transcriptomic analyses carried out on a subset of samples obtained during uncontrolled flow, alkane degradation was shown to be the predominant hydrocarbon-degrading pathway expressed when Oceanospirillaceae and Pseudomonas were prevalent in the community. Numerous investigations demonstrated that oxygen loss causes biodegradation activities in soils and marine sediments to decrease drastically [105,106,107]. There are studies that suggest the estimated oxygen requirements for aerobic hydrocarbon degradation. As 3kg O2 is required for every kg of petroleum contaminants, 8.6 moles of oxygen are required for every mole of diesel to be degraded [108]. Even though a variety of microbial communities typically contribute to the in-situ breakdown of alkane mixtures under varying soil circumstances, many soils show a similar pattern in the types of microorganisms that respond to alkane disturbance [109]. For appropriate bioremediation experiments, factors such as expense, duration, human resource, and targets must all be considered.
2.2. Classical Metabolic Pathways Involved in Degradation of Total Petroleum Hydrocarbons
Hydrocarbonoclastic bacterial species degrade PAHs due to their adaptability, vigour, diversity, and capacity to generate less hazardous metabolic intermediates. Microbes use the energy from the breakdown of hydrocarbons ranging from simple alkanes to PAHs [110]. Oxygen is necessary for the ring hydroxylation, ring cleavage, and final electron uptake in the aerobic breakdown of PAHs by bacteria. However, reductive processes are the basis of anaerobic PAH consumption [95,111]. High-molecular-weight PAHs are harder to break down because their fused aromatic structures make them very thermodynamically stable, water-repellent, and less bioavailable. Pyrene mineralisation can take place either at the C-1 and C-2 positions or at the C-4 and C-5 positions of the aromatic ring due to the action of the dioxygenase. Following that, the ring aromatisation of the dihydrodiols and the ring cleavage dioxygenase led to the synthesis of phenanthrene dicarboxylate, which is then decarboxylated to generate carboxylate. The phenanthrene dicarboxylate is eventually converted into phenanthrene carboxylate. At this stage, a cis-3,4-dihydroxyphenanthrene-4-carboxylate is formed by a deoxygenation process. This cis-3,4-dihydroxyphenanthrene-4-carboxylate then rearomatizes to form dihydroxyphenanthrene, which is then metabolised to yield hydroxynaphthoate. In addition, the pyrene breakdown occurs via the phthalate pathway as well [112,113]. The phthalate reaction forms several intermediates, including 3,4-dihydroxybenzoate and carboxyhydroxymuconate semialdehyde, both of which eventually feed into the Krebs cycle via the multiple reaction steps. Phenanthrene is a three-ringed compound whose degradation has been reported in both Gram-positive and Gram-negative microbes [114,115]. Most of the intermediates of phenanthrene degradation are shared with the pyrene degradation pathway.
Naphthalene, toluene, and anthracene have a comparatively low molecular weight and constitute most petroleum hydrocarbons [116]. Ring hydroxylating genes, such as nagAc, phnAc, nahAc, nidA, and pdoA, are target genes for naphthalene breakdown. In the first stage, an oxidoreductase inserts two oxygen atoms into the naphthalene rings to generate dihydronaphthalene. The following step involves the dehydrogenase enzyme, followed by ring cleavage and oxidation [117]. The dioxygenase facilitates the cleavage of catechol and proceeds via various pathways, ultimately leading to the formation of succinyl-CoA and entering the TCA cycle [118]. Figure 1 represents the classical pathways for the aerobic biodegradation of various hydrocarbons, such as pyrene, anthracene, phenanthrene, and naphthalene (reconstructed from the KEGG database). Microorganisms synthesised several catabolic enzymes, such as naphthalene 1,2-dioxygenase, oxidoreductases, pyrene dioxygenase, aldehyde dehydrogenase, and many others, in every step of the degradation process. The enzymes involved in the different steps of the degradation process are also given in Figure 1.
Figure 1.
Pathways for degradation of anthracene, pyrene, phenanthrene, fluorene, toluene, naphthalene, and benzene until the formation of intermediate product catechol and phthalate. The enzymes involved in the reactions are 1. naphthalene 1,2-dioxygenase; 2. cis-1,2-dihydro-1,2-dihydroxynaphthalene dehydrogenase; 3. anthra-cene-1,2-diol 1,2-dioxygenase; 4. Dioxygenase; 5. 3-hydroxy-2-naphthoate 2,3-dioxygenase; 6. Oxidoreductases; 7. Oxidoreductases; 8. 3-hydroxy-2-naphthoate 2,3-dioxygenase; 9. chloroben-zene dihydrodiol dehydrogenase 10. toluene monooxygenase system protein A; 11. aryl-alcohol dehydrogenase; 12. benzaldehyde dehydrogenase; 13. dihydroxycyclohexadiene carboxylate de-hydrogenase; 14. pyrene dioxygenase; 15. dibenzothiophene dihydrodiol dehydrogenase; 16. 4,5-dihydroxypyrene dioxygenase; 17. phenanthrene-4,5-dicarboxylate decarboxylase; 18. phe-nanthrene-4-carboxylate dioxygenase; 19. extradiol dioxygenase; 20. hydratase-aldolase; 21. al-dehyde dehydrogenase; 22. 1-hydroxy-2-naphthoate dioxygenase; 23. 4-(2-carboxyphenyl)-2-oxobut-3-enoate aldolase; 24. 2-formylbenzoate dehydrogenase; 25. salicy-late hydroxylase; 26. Nah C; 27. PAH dioxygenase; 28. cis-3,4-dihydrophenanthrene-3,4-diol de-hydrogenase; 29. Hydroxylases; 30. 1,2-dihydroxyfluorene 1,1a-dioxygenase; 31. Alcohol dehy-drogenase; 32. 2-indanone monooxygenase; 33. 34. naphthalene 1,2-dioxygenase; 35. fluoren-9-ol dehydrogenase; 36. dibenzofuran dioxygenase; 37. 1,1a-dihydroxy-1-hydro-9-fluorenone dehy-drogenase; 38. 2-hydroxy-6-oxo-6-(2’-carboxyphenyl)-hexa-2,4-dienoate hydrolase; 39. Nah Ac; 40. Nah B; 41. Nah C; 42. Nah E; 43. Nah F; 44. Salicylate hydroxylate.
The solubility of alkanes in water is low and decreases with increasing molecular weight [119]. In the case of n-alkanes with two or more carbon atoms, aerobic degradation often begins with the oxidation of a terminal methyl group to produce a primary alcohol, which is then oxidised to the corresponding aldehyde and transformed into a fatty acid. The conjugation of fatty acids to CoA is followed by β-oxidation to create acetyl-CoA [120]. Some examples of regulators studied from different families are LuxR/MalT, AraC/XylS, etc. [121,122]. Asphaltenes and resins are aromatic compounds with long chains of alkyl groups that dissolve in solvents, such as n-heptane and n-pentane [123]. These components of crude petroleum are very recalcitrant in nature, and the exact intermediates formed during the degradation process are still under study [124].
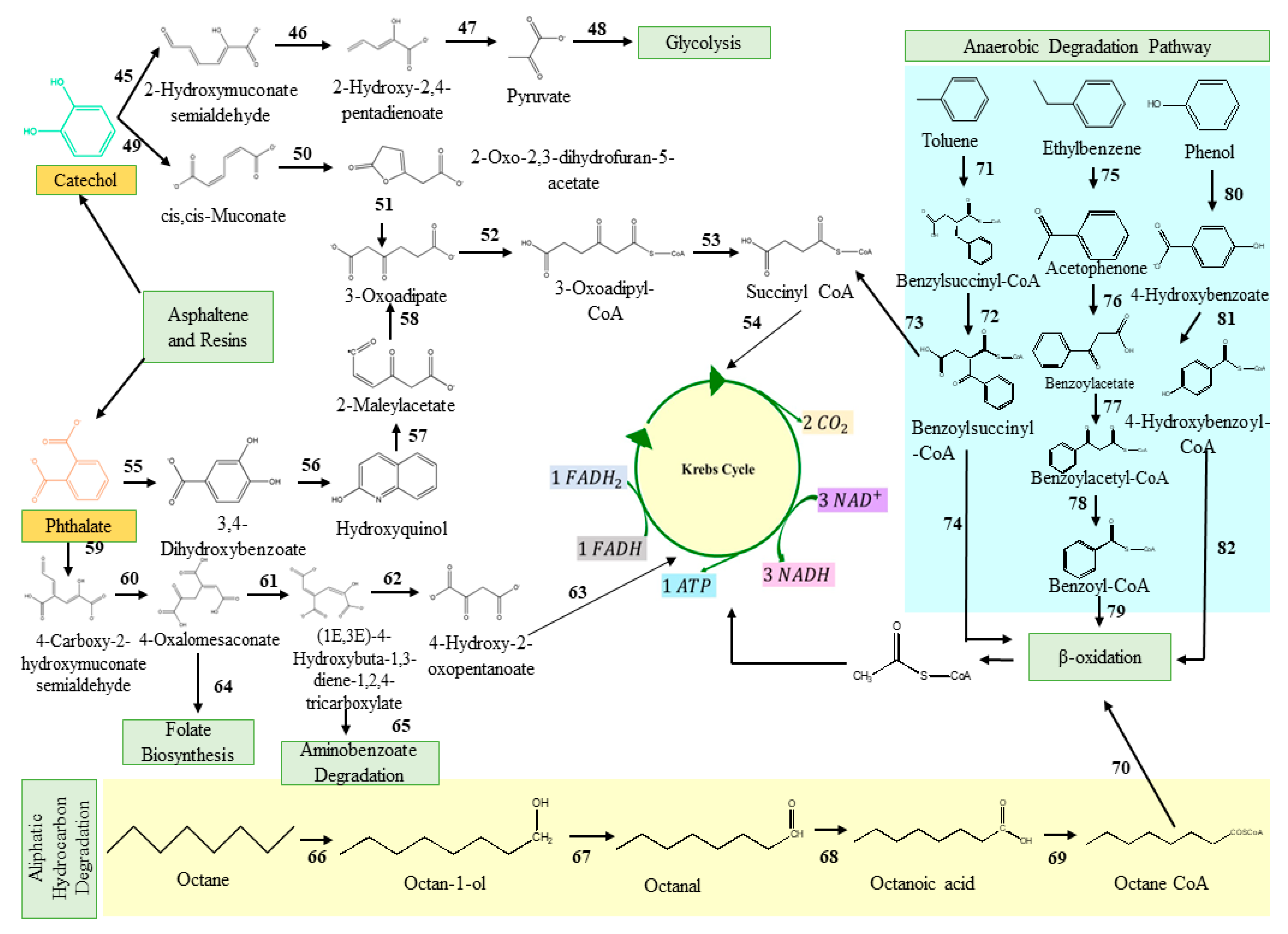
The initial activation of hydrocarbons is essential for anaerobic biodegradation, and the overall enzymatic reactions involve the addition of fumarate, catalysed by a glycyl radical enzyme to yield aromatic-substituted succinates; the methylation of unsubstituted aromatics followed by the hydroxylation of an alkyl substituent via a dehydrogenase; and direct carboxylation, which may represent previous reactions. After being produced via pathways that begin with these activation reactions and end in ring saturation, β-oxidation, and ring cleavage reactions, with core metabolites, such as benzoyl-CoA, eventually being integrated into the biomass or completely oxidised [95,125]. Figure 2 represents the aerobic and anaerobic degradation steps of asphaltenes, resins, and other aromatic components of crude oil (reconstructed from the KEGG database).
Figure 2.
Terminal degradation steps of PAHs following benzoate degradation pathway via catechol and phthalate intermediates. Aliphatic hydrocarbon degradation pathway and anaerobic degradation pathway were also given in separate colour, with both ultimately joining the common carbon metabolism pathway. The numbers representing specific enzymes viz 45. catechol 2,3-dioxygenase 46. 2-hydroxymuconate-semialdehyde hydrolase 47. 4-hydroxy 2-oxovalerate aldolase 48. Common carbon pathway’s enzymes 49. catechol 1,2-dioxygenase 50. muconolactone D-isomerase; 51. 3-oxoadipate enol-lactonase; 52. 3-oxoadipate CoA-transferase; 53. acetyl-CoA acyltransferase; 54. Succnyl CoA Synthetase; 55. Monooxygenase; 56. 4-hydroxybenzoate 1-hydroxylase; 57. hy-droxyquinol 1,2-dioxygenase; 58. maleylacetate reductase; 59. protocatechuate 4,5-dioxygenase; 60. 2-pyrone-4,6-dicarboxylate lactonase; 61. 4-oxalomesaconate tautomerase; 62. 4-hydroxy-4-methyl-2-oxoglutarate aldolase; 63. Citrate synthetase; 64. Folate synthesis enzymes; 65. Aminobenzoate degradation enzymes; 66. Alkane monooxygenase; 67. Alcohol dehydrogenase; 68. Aldehyhyde dehydrogenase; 69. Synthetase 70. CoA synthetase; 71–82. Unidentified.
3. Metabolic Pathway Engineering for Bioremediation of Crude Oil Contamination
An expanding understanding of the genetics, biological pathways, and systems biology approaches of microbes offers advantages during the construction of various bioremediation strategies [126]. Several microbes degrade contaminants; however, their metabolic routes are not sufficient for the large-scale degradation of these harmful substances [127]. Baoune et al. [128] inoculated Zea mays with Streptomyces sp. H1W to remove crude oil pollution, as well as the 70% degradation of hydrocarbons (C-8 to C-30), was recorded. The bacterial consortium constructed with two salt-tolerant and biosurfactant-producing bacteria, viz., Dietzia sp. CN-3 and Acinetobacter sp. HC8-3S, significantly degraded 95.8% of crude oil (n-alkanes, cycloalkanes, and aromatic hydrocarbons) in 10 days, which was more efficient than individual isolates [129]. Thus, in natural conditions, microorganisms cannot degrade crude oil contaminants. The biostimulation and bioaugmentation of biosurfactants could help in such conditions [130]. The approach of enhancing genetic and metabolic activities within cells is currently known as “metabolic engineering,” which was first introduced by Bailey in 1991 as a new technical topic [131]. With microbial pathway engineering, bacterial hosts with increased enzyme activity, bioavailability of target pollutants, and production and efficiency of produced biomolecules could be introduced, and new biodegradation functionalities could also be improved. The type and concentration of contaminants also influence their degradation, which might lead to the up-and-down regulation of the various genes involved in the degradation process [132].
Although the main objectives of molecular pathway design may be the exogenous application of roadblock enzymes and the elimination of rival routes, many other crucial factors must be taken into account if the microbial isolates are to be successfully developed for the synthesis of beneficial substances [133]. The choice of a specific host, the application of specialised computational techniques, the engineering of the transcriptional regulation of enzymes, the development of novel synthetic biology techniques, and strategies to reduce metabolic strain in order to increase productivity are some of these key elements [134]. To simulate enzyme activities, identify the limitations in active bioprocessing, and gain a deeper understanding of the genetic and metabolic context of target species, metabolic scientists employ systems biology software tools and “omics” approaches [135] (Figure 3). The principles of synthetic biology and adaptive practical speciation are now frequently used in computational and scientific methodologies to overcome restrictions. The development of new tools for manipulating DNA and the improvement of technologies for sequencing genomes have made it easier to find gene clusters involved in a specific regulation. These clusters can be introduced in targeted microorganisms for the optimum production of specific metabolites [136]. Likewise, these genes or clusters can be engineered for the gain of function or loss of function via mutating specific gene targets. With the up-regulation of some pathway activators, the production of metabolites can be increased, and with the down-regulation, we can decrease the production of various pathway inhibitors [35]. Similarly, by removing one or two genes, we can restrict certain pathways to obtain the desired result. Moreover, the insertion and deletion of genes are used to discover the function and regulation of those genes [137]. In bioremediation approaches, the regulation of metabolic pathways by providing precursor or inducer molecules is very common; these precursors might positively induce the pathway [138]. There are many approaches to achieve these strategies successfully, some of which are listed in Table 2.
Figure 3.
Illustration of sample collection from various environments and direct microbiome analysis using next-generation sequencing techniques (without the use of culture-dependent approaches). Different meta-omics approaches (metaproteomic, meta-transcriptomic, and metabolomic) were utilized to identify and detect microbial abundance and their metabolic functions in contaminated environments utilising next-generation sequencing platforms.
Table 2.
Metagenomic engineering approaches using bacterial host cells and their outcomes.
3.1. Contaminant’s Characteristics and Selection of Suitable Microbial Host
Hydrocarbon-based xenobiotics include agrochemicals, aromatic polycyclic hydrocarbons (PAHs), pharmaceutical substances (PhACs), personal care products (PCPs), polyphenolic compounds, disinfecting chemicals, and other industrial chemicals [69,144]. The average contamination level of total petroleum hydrocarbon (TPH) in soil was reported to be between 10−3 and 10−2 g/kg, whereas the PAHs contamination level was mostly reported to be between 10−6 and 10−3 g/kg across all continents [145]. Thus, before applying any bioremediation methods, there is a basic requirement to obtain the characteristics of the type and concentration of the pollutants [146]. There are several methods, such as scanning electron microscopy (SEM), energy-dispersive X-ray (EDX), Fourier transform infrared spectroscopy (FTIR), using a carbon–hydrogen–nitrogen (CHN) analyser, and gas chromatography–mass spectroscopy (GC/MS) [144,147], that are used to assess contaminated and bioremediated soil.
Selecting an appropriate bacterial host is a crucial initial step in any microbial engineering system intended to create a full-fledged cell degrader [148]. Thus, developing such techniques for field applications is time-consuming, requiring many attempts to overcome the difficulties encountered. Additionally, it is challenging to maintain biotic and abiotic factors that influence and reduce degradation efficiency in natural conditions. Many reports also provide sufficient data to suggest that microbial degradation could be enhanced by the application of biosurfactants, root exudates, growth-promoting bacteria, biochar, composting, nutrients, and other biostimulation techniques. The optimisation of such techniques has been carried out over the past few years. Although indigenous bacterial stains present in crude-oil-contaminated soil cannot degrade all the components, as a result, the microbial communities present in contaminated sites synergistically degrade the contaminants in the environment. Bacillus, Burkholderia, Sphingomonas, and Pseudomonas are just a few microbial species that have demonstrated wide-range metabolism, degrading contaminants under both aerobic and anaerobic environmental conditions [149,150]. The whole-genome sequences of microbial strains, such as Dehalococcoides mccartyi WBC-2, Deinococcus indicus R1, and Pseudomonas aeruginosa KT2440, provide crucial information for a sustainable remediation procedure [144]. The transposon-based lux gene, which produces bioluminescence when coupled within a promoter for naphthalene-degrading genes, was also inserted into P. fluorescens HK44, along with a naphthalene catabolic plasmid called pUTK21. When exposed to naphthalene, the results demonstrated an increased expression of catabolic genes for naphthalene breakdown and concurrent bioluminescent activity [151].
3.2. Preference for Utilization of Substrate
Substrate utilisation by the microbial community played a significant role in metabolic pathway reconstruction. Most of the organisms use glucose as their primary source of carbon and energy. However, the microbes that can survive in sites polluted with crude oil may use toxic chemicals as their primary energy resources [152]. Based on their metabolic constitution, many species preferred using a variety of carbon sources as their primary substrate. They have a propensity to adapt to a variety nutrient-deficient environments by changing their genetic makeup [153]. SIMUP, a rational variational optimising approach, was created to identify clusters of proteins whose elimination would result in the co-utilization of substrates without prior knowledge of the transcriptional regulation [154].
3.3. Computational Application for Metabolic Pathway Prediction
The task of constructing metabolic pathways using enzymes enlisted from databases such as MetaCyc, KEGG, BRENDA, and Rhea [155], which describe the biological processes catalysed by enzymes, has now been successfully completed. The evaluation of metabolic models across different organisms is made possible by these reference-route databases, which are of tremendous significance. For recognised biochemical interactions and processes, several datasets have recently been developed, including BiGG, ModelSEED, MetRxn, UM-BBD, MOS, and Beilste Crossfile [156]. Research platforms such as ATLAS of Biochemistry [157] and METLIN [158], which contain databases of hypothetical metabolic products and processes, are very useful. The KEGG [159] and MetaCyc [160] databases catalogue a larger variety of organisms and their metabolic processes. BiGG Models (http://bigg.ucsd.edu accessed on 3 December 2022) is a centralised repository for high-quality genome-scale metabolic models and, recently, a total of 108 GEMs has been updated in the database. BRENDA provides specific enzyme features such as observed reaction kinetics [161], whereas ModelSEED allows interaction mapping between KEGG and curated GSMs [162]. To predict the optimal genetic mutation to analyse the increase in the rate and quantity of metabolite synthesis, a unique constraint-based reconstruction and analysis (COBRA) database is applied [163]. Massive quantities of “omics” data are examined by looking at species dispersion using high-efficiency route reconstruction platforms such as MAPLE, MG-RAST, and MEGAN [164]. Several publicly available websites, such as PathPred and the University of Minnesota Pathway Prediction System (UMPPS) [165], use the method of receiving a query molecule and automatically producing the predicted chemical structure of the following compound in the anticipated pathway using computer programs. This method is also known as a “compound-filling framework.” Users can choose the interest-based reactions they would like to see in this instance. PathPred is a different technique that targets both the synthesis of secondary metabolites in plants and the breakdown of xenobiotic compounds [166]. By reconstructing metabolic pathways using techniques for bioremediation, and creating enzyme-based changes in microorganisms, high-value sustainable compounds may be synthesised [167]. The use of the Biochemical Network Integrated Computational Explorer (BNICE.ch) might be advised in cases of anthropogenic pollutants with unclear or incomplete biological metabolic reactions [168]. The MetaRouter allows the presentation of all feasible routes with a substantial number of unsolved compounds via a web interface [169]. Every possible combination of enzymes (with possible homologous genes) required for converting a given substrate into its secondary intermediates or any other molecule is discovered using the database algorithm [170]. Metabolic pathway synthesis (MPS) offers important information for estimating and classifying pathways based on their physiological properties, as well as learning about their regulation and cellular activity [171].
3.4. Toxicity Determination of Metabolic Pathways
The toxicity of these anthropogenic substances may now be predicted using several in silico databases. Since pollutants negatively affect microorganisms, determining their toxicity is crucial for predicting metabolic pathways [172]. Utilising quantitative structure–activity relationships (QSARs) is an in-silico approach for quantifying structural correlations using empirical data [173]. Super-Toxic, a repository with 60,000 potentially toxic compounds, was developed by the biology and bioinformatics department at Charité University, Berlin, Germany [174]. ACToR is an open-access resource on toxicants that can be employed to identify possible chemical risks to the environment and public health [175]. Another web server used to predict the cytotoxicity of anthropogenic compounds in host cells is EcoliTox [176]. To develop native or recombinant biodegradation processes and leverage their expression in specific microbial hosts, in silico platforms may be incorporated into a computational platform. To avoid choosing enzymes whose enzymatic activity may be damaged by compounds in a host cell, these platforms can also be used to forecast synthesis routes.
3.5. Transcriptional Modification of Regulatory Factors
Recently, several attempts have been made to construct genetically altered microbes (GEMs) to enhance bioremediation [177]. Researchers may alter an organism’s genetic makeup using molecular tools such as DNA engineering to elevate expression levels and improve enzyme activity in various circumstances. The modification of the enzyme cytochrome P450 to enhance the binding site of degrading haloalkane dehydrogenase is the paradigmatic example of site-directed mutagenesis [178]. The main components of the recombinant DNA technology approach for bioremediation include either the development of a single microbe in which preferred biodegradation genes or routes from various organisms are combined to carry out specific interactions, or the site-directed mutagenesis-based construction of metabolites with desirable characteristics [179]. The naturally poor degradation capability of wild Pseudomonas putida CYP101 has been enhanced via the reconstruction of CYP metabolites in corresponding pathways. The mutant enzymes Y96A, Y96F, F87A/Y96A, and F87L/Y96F were three times as potent for PAHs compounds when targeted alterations were made to the active site of the CYP101 strain [164].
Carmichael and Pfaender [180] investigated the pyrene and phenanthrene degradation processes, as well as the population dynamics, of microorganisms that break down PAHs in soils with varying backgrounds of PAHs contamination. The addition of supplements showed an enhancement in the populations of mostly heterotrophic bacteria, which readily absorbed the supplements to redirect their cellular function or activate the specific catabolic pathway used for the biodegradation of pollutants. The biphenyl fraction in polychlorinated biphenyls, which acts as an activator for the PCB-catabolic system, was added to Alcaligenes xylosoxidans and Pseudomonas stutzeri, which significantly increased their degradation capacity of PCBs [181]. However, the synthesis intensity of encoded biomolecules is usually insufficient to completely bioremediate pollutants under natural conditions [162]. Thus, the alternative integration of gene clusters in the metabolic system could overcome this problem. For example, the phthalate acid catabolic gene cluster (phtBAabcdCR) isolated from Gordonia sp. was isolated and cloned into E. coli BL21 (DE3) to increase degradation efficiency. Using the biphenyl-degrading and co-metabolising Comamonas testosteroni strain VP44 as a template, the genes encoding the ortho- and para-dichlorination of chlorobenzoates were cloned and expressed, resulting in derivatives that can grow and completely degrade chlorinate 2- and 4-chlorobiphenyl [182]. The reconstruction of the lasI/rhlI and QS genes of Pseudomonas aeruginosa N6P6 led to an increase in the biodegradation of pyrene and phenanthrene [183]. Inducible transcriptional expression is necessary for both natural and artificial microbial systems. The Pm from the TOL plasmid is related to the promoter genes associated with the cleavage of toluene and naphthalene. However, the XylS-regulating gene must be transcriptionally activated to degrade toluene [184]. Basic genetic engineering techniques, such as DNA editing and CRISPR/Cas9, are illustrated in Figure 4, showing the insertion or deletion of particular genes for target-specific degradation and substrate production. However, Figure 5 represents an example of genetic editing carried out with Escherichia coli for the degradation of 4-fluorophenol. Four genes, namely fpdA2, fpdB, fpdC, and fpdD, from Arthrobacter sp. strain IF1 were reconstructed into Escherichia coli via a multi-monocistronic vector to produce recombinant bacteria, viz., BL-fpd, which could efficiently degrade 4-fluorophenol. 4-FP monooxygenase (FpdA2), flavin reductase (FpdB), hydroxyquinol dioxygenase (FpdC), and maleylacetate reductase (FpdD) were the enzymes involved in the complete metabolism of 4-fluorophenol [185].
Figure 4.
Illustration of genetic editing tools employed to modify and reconstruct target genes for metabolic pathway engineering in specific bacterial species. The microbes with high degradation efficiency are selected, and through cloning and other gene editing tools (TALEN, ZFNs, and CRISPR-Cas9), the efficiency of hydrocarbon degradation and its bioprocessing may be accelerated.
Figure 5.
An illustration of metabolic engineering carried out in E. coli strain to enhance the degradation of 4-fluorophenol. Here, four genes from Arthrobacter sp. IF1 (fpdA2, fpdB, fpdC, and fpdD) were synthesized, validated, and then integrated via a multi-monocistronic carrier to generate transgenic E. coli strain [185].
3.6. Prediction and Engineering of Metabolic Building Blocks
The EAWAGBBD/PPS, or enviPath model, predicts biodegradation tracks using existing biocatalytic parameters [186]. Metabolic modelling may involve both metabolic flux analysis (MFA) and flux balance analysis (FBA), the two most common techniques for estimating internal fluxes [187]. Computational programs, such as Cobra 2.0, Matlab, OptKnock, or k-OptForce, can be employed to knock out or up- or down-regulate gene expression to enhance the output of by-products [188,189,190]. The analytical pathway tool COPASI is used to develop kinetics, discrepancy calculations, and gene stimulation times in various circumstances [191]. ChemSpider is a highly recommended source for information on the observed or anticipated physicochemical characteristics of compounds [192]. Access to more than 59 million items from 487 different data sources is available through this free repository, which was established in 2007. Regardless of the microbe of origin, the Selected Reactions Monitoring System allows for the fast, consecutive statistical analysis of the numerous proteins present in the cell [193].
4. Metabolic Engineering Studies Integrating Systems Biology
Systems biology is often used to investigate intricate molecular interactions among various biological systems. The optimisation of the bioremediation process via microbial systems biology is a novel and promising approach with great potential [194]. Systems biology, including metagenomics, proteome analysis, microarrays, fluxomic, metaproteomic, and metabolomic analyses, aids in understanding genetic regulation, identifying target proteins, determining post-translational modifications, other metabolic cascades, and also the pathways of the signal transduction involved in bioremediation [195,196]. These “omics” approaches have provided insight into the intricate biotransformation of metabolic systems. For bioremediation to be successful, it is crucial to understand how cells work, how bacterial communities are constructed, and how metabolic processes function while under stress from harmful compounds that interfere with the normal behaviour of the microbial population.
4.1. Multi-Omics Approaches for Metabolic Pathway Engineering
Environmentalists consider metagenomics to be the first rung on the bioremediation ladder. Metagenomics is a potential tool for identifying significant microbial communities directly from environmental samples [197], with the ability to break down heavy metals, petroleum, and other hydrocarbons. Genomics studies provide a comprehensive view of the genetic material expressed in microorganisms during their exposure to contaminants. The genome sequencing of Pseudomonas sp. KT2440 revealed the presence of enzymes involved in the breakdown of crude oil and industrial effluents, including dehydrogenases, oxygenases, cytochromes, glutathione-S transferases, and efflux pumps [198]. Another bacterium, Franconibacter pulveris DJ34, isolated from crude-oil-contaminated soil (Assam, India), exhibited a diverse set of metabolic genes for the utilisation of petroleum hydrocarbons, as well as genes involved in various processes, such as dissimilatory nitrate, nitrite, and sulphite reductions; chemotaxis and biosurfactant production; and metal transportation and tolerance [199]. According to the whole-genome sequencing of the species, Arthrobacter strains LS16 and YC-RL1 showed metabolic networks that are engaged in the bioremediation of heterocyclic chemicals, such as naphthalene, fluorene, 4-nitrophenol, biphenyl, and xylene [200]. Similarly, the bioremediation potential of novel halophilic species, such as Halomonas desertis G11, which can utilise crude oil as a carbon and energy source with an inherent tolerance to salt stress, releasing a glycolipid biosurfactant, has been reported [201]. A metagenome analysis of the Black Sea’s anoxic deep floor showed a cluster of catabolic genes involved in anaerobic benzoate and hydroxybenzoate degradation [202]. This strategy was also applied to evaluate aerobic microbial populations in the soil for PAH degradation. A metagenomic investigation of soil and water from beaches in the Gulf of Mexico impacted by the Deepwater Horizon oil spill revealed remarkable increases in the abundances of disease-causing Vibrio cholera and Rickettsia sp., as well as a decrease in Synechococcus sp. [203].
The metaproteomic approach to proteins based on environmental samples accurately describes the functional interactions among microbial communities in a specific environment [204]. According to Gillan et al. [205], the genetic diversity of the bacteria living in heavy-metal-contaminated locations is evident in their production of exopolymers and enzymes. A metaproteome study of Mycobacterium vanbaalenii PYR-1 grown in the presence of HMW-PAHs suggested the production of enzymes, such as monooxygenases, dioxygenases, naphthalene-inducible dioxygenases, catalase, peroxidases, and dehydrogenases [206]. Similarly, some Clostridiale bacterial species express bamC, bamD, bzlA, and ubiD genes when exposed to benzene [207]. P. putida was cultivated on benzoate-containing media, which showed that the catabolic enzymes CatB, PcaI, and PcaF, as well as DmpC, D, E, F, and G, were engaged in the ortho-cleavage and meta-cleavage pathways [208]. Furthermore, metaproteomic studies were also used to investigate the adaptive response of Exiguobacterium sp. S17, which was isolated from an Andean Lake stromatolite, for arsenic-induced stress [209].
The central objective of transcriptomic studies is to investigate the up-regulation and down-regulation of genes in response to environmental contaminants [210]. Using DNA microarray technology, cis-dichloroethane (cDCE) was incorporated into the Polaromonas sp. JS666 strain, and transcriptome analysis was carried out to identify the genes that were elevated in the presence of cDCE [211]. Transcriptome studies of three Pseudomonas aeruginosa strains, N002, TP16, and J001, showed a total of 81, 269, and 137 significant DEGs in the presence of crude oil contamination [212]. Furthermore, a transcriptomic analysis of the expression profile of the bacteria Pseudomonas extremaustralis in aerobic and microaerophilic conditions was carried out [213]. It showed that in the presence of hydrocarbon contamination, alkane-degrading genes, such as alkB, were overexpressed. The process of crude oil degradation at low temperatures has been shown by a transcriptomics investigation of Pedobacter steynii DX4 [164]. The transcriptome analysis of the hydrocarbon-degrading Achromobacter sp. HZ01A, grown in crude oil contamination, showed that certain genes were active for degradation activities, whereas other genes involved in cell motility, metabolism, and protein-coding were down-regulated [214].
Another thriving and quickly developing area of systems biology at the intersection of biological sciences and chemistry is metabolomics, which analyses the full spectrum of cellular metabolites generated by microbial organisms [215]. Metabolomics covers all the components of nucleotides and proteins as well as a wide range of organic metabolites with various functional groups. Additionally, microbial metabolites are important in both intra- and inter-species microbial interactions. For example, it is difficult to degrade vinyl chloride (VC) since it has a cancer-causing trait. The metabolomic study identified the microorganisms responsible for VC degradation, which included Actinobacteria, Proteobacteria, and Bacteroide [216].
To examine cellular metabolites generated under certain environmental conditions, metabolic flux analysis, also known as fluxomics, monitors the rate of metabolic processes in real-time [217]. It is a useful technique for examining routes and figuring out the fate of metabolites. A high-throughput genotypic investigation of the phenotype’s expression in its environment is called phenomics [218]. Phenomics primarily includes the characterisation of a specific group of traits, which necessitates the mapping of the genetic material. Similarly, ionomics studies integrated with genomics can efficiently quantify and identify elemental compound composition to discover relevant gene mutations and investigate stress resistance in the microbiome [219]. Figure 3 represents the different omics techniques, providing a culture-independent platform for the direct isolation of microbial DNA, RNA, and proteins from environmental samples. Further, according to the required information, the samples are processed via metagenomics, proteomics, and transcriptomics on different NGS platforms, and the raw sequences are then analysed using various computational databases and tools.
4.2. Computational Analytical Software Used in System Biology
The use of omics approaches in systems biology generates a huge quantity of data, and it is thus crucial to integrate and interpret these complicated datasets. In silico approaches are employed to analyse genes, proteins, and the functioning of cells, and to assist in building modern enzyme-based bioremediation processes [220]. Integrated Microbial Genome and Microbiome (IMG/M) is a platform for investigating the functional potential of microbial populations and is one of the online tools available for metagenome studies [221]. A comparison study of the genome and metagenome sequences available on the Joint Genome Institute (JGI), Integrated Microbial Genomes and Microbiomes, and MetaBioME was conducted based on the metagenome sequences [222,223]. Orphelia is a tool for finding Open Reading Frames (ORFs) in short metagenomic sequences of uncertain phylogeny [224], while MetaBioME is a resource focused on new enzyme discovery from metagenomic data. Another free online integrative framework resource is MetaRuter, which represents data on numerous biochemical substances, enzymes, interactions, and organisms associated with biodegradation and bioremediation processes [225]. The most frequently employed approaches for the stoichiometric study of metabolic networks are flux balance analysis (FBA) [226] and metabolic flux analysis (MFA) [227]. Platforms such as OpenMS [228], MetaboloAnalyst [229], and MetaboLights [230] provide open access to metabolomics data. OptReg enables the in-silico regulation and alteration (positive or negative) of the enzymes and metabolic pathways involved in the process of effective bioremediation [33].
4.3. Limitations in System Biology Approach
Systems biology investigations are usually performed by a diverse team of researchers capable of developing the required technologies and computational tools. Effective and capable computational tools are necessary to manage the vast amount of data [231]. Moreover, there is a substantial challenge in calibrating computational tools, models, and algorithms to an appropriate level. Another limiting factor is the high costs associated with processing samples and the need for specialised equipment. These issues have limited the application of systems biology for bioremediation thus far. In bioremediation, low molecular weight intermediates are equally important, and integrating omics methods, particularly metabolomics, is extremely difficult [232]. Systems-based methods mainly rely on data from open databases. However, the datasets are frequently unfinished, unstandardised, or improperly annotated.
5. Synthetic Biology Approach in the Field of Metabolic Engineering
Synthetic biology is an approach that deals with developing and reconstructing metabolically functional species with certain fixed attributes. Genomic networks and biochemical functions may be designed and modified using computational simulations and engineering tools. Vectors, also known as chassis, are used to introduce changes in the appropriate host [233]. The top-down strategy, which creates artificial species by changing the genetic makeup or metabolic pathways, and the bottom-up method, which changes organisms using basic molecular building blocks, are two important techniques for building the right chassis [234]. Techniques based on synthetic biology include the development of biosensors, the design of genetically modified microbes, and the use of microbial consortiums to provide novel tools for improving the outcome of the degradation process [235].
5.1. Construction of Synthetic Consortia to Enhance Biodegradation
A combination of more than two microbial species that exhibit symbiotic interaction is defined as a “microbial consortium”. Due to the synergistic linkages established by the complementing functions and metabolic capabilities of each species, a consortium often performs more effectively than a single microbe [236]. Some of the key attractions for developing different synthetic biology approaches include the addition of exogenous molecules, which regulate cell interactions and gene expression; regulating organism-to-organism syntrophic interactions; and modulating microbial consonant intercellular signalling [217]. The consortium of two biosurfactant-producing Bacillus strains and hydrocarbon-degrading strains showed a reduction of 84% for crude oil in FTIR and GC/MS studies after five weeks of experimentation. The degradation of hydrocarbon plastic waste can be significantly improved by using indigenous or modified bacterial consortiums [237]. Another report describes using a synthetic anaerobic bacterial consortium of Desulfatiglans parachlorophenolica DS, Dehalobacter sp. FTH1, and Clostridium sp. Ma13 for the complete degradation of 2,4,6-tribromophenol [238]. Compared with the wild type, the engineered consortium of the P. aeruginosa PH1 strain can degrade about 71% of phenanthrene within nine conjugative days [239].
5.2. Risk Assessment of Synthetic Consortium
One of the major issues pertaining to the environmental application of metabolically engineered cells is the concerns for genetic alterations. The risk analysis of genetically engineered microorganisms (GEMs) is crucial because they may have hazardous and pathogenic effects in the environment that might transfer to other nearby cells. Thus, two key strategies that might reduce these negative effects are using non-antibiotic marker screening and limiting genetic recombination to native species. Approaches for biocontainment involving the cellular, transcriptional, or auxotrophy systems have been explored to address this issue. Cross-feeding has certain drawbacks, even though it is frequently employed to build synthetic microbial communities [240]. For example, the marine Prochlorococcus SAR11 provides carbon sources to other bacteria but struggles with sulphur resources [241]. Therefore, it is imperative to carry out further in situ studies to examine the behaviour of GEMs for the application of hydrocarbon remediation in an unconstrained environment, as well as their appropriate biomonitoring, in order to validate this option in bioremediation as one of the most effective and reliable.
5.3. Synthetic Orthogonal Approach for Bioremediation Enhancement
The major objective of any orthogonal systems biology approach is the determination of organismal traits ranging from single molecules to entire cells without interacting with a pre-existing biological framework [242]. However, in a natural environment, full orthogonalisation cannot be achieved. The use of non-natural genetic codons, alternative transcriptional machinery, synthetic toggle switches, and modifications to biological circuits are some of the most conspicuous examples of orthogonalisation [243]. These techniques are used to change the specificity of codons or enhance the dominance of genetically predetermined amino acids for the synthesis of non-natural samples. These prompted the engineering of a metabolic and signalling pathway by the integration of a synthetic amino acid codon into the protein’s non-sense sequence [244]. Thus, the synthesis of an entirely fresh set of molecules may include a new functional route. These modified circuits barely interact with the cells’ exhibiting counterpart routes to reduce the possibility of cross-inhibition [245]. This strategy may enhance the sensitivity, reliability, and functionality of a single organism or microbial consortium for the construction of potential complete-cell biosensors and degraders of widespread chemical substances.
Isaacs et al. [246] demonstrated that replacing every 314 of the TAG stop codons in the E. coli genome with homologous TAA codons provided massive substitutions of higher-order variants despite having a fatal outcome. Wang et al. [247] developed two biosensor-based E. coli strains with a signal transduction modification in the hrpR and hrpS genes along with the HrpL-promoter element from P. syringae. Similarly, cyclic di-GMP is the main regulator of the complex network, directing the transition between cells and biofilm formation. This trait was used to develop an orthogonal genomic tool to change the biochemistry of P. putida [248]. The cyclohexanone-responsive expression method was used to precisely control the diguanylate-cyclase-encoding yedQ gene in E. coli. Additionally, a biofilm-forming P. putida strain was modified, and a synthetic operon for encoding the enzymes needed for 1-chlorobutane biodegradation was introduced. When turned on, this showed an activation of dehalogenase activity [249]. Microbial fuel cells (MFCs), which may generate electrical impulses during the breakdown of organic contaminants; the continuous biomonitoring of p-nitrophenol in industrial wastewater; and the degradation of atrazine and copper from mine effluent have all been shown using biosensors with an output voltage from Geobacter sulfurreducens and Shewanella oneidensis MFCs [250].
5.4. Experimental Strategies for Metabolic Pathway Engineering
Experimental approaches for metabolic pathway engineering include genome editing, the expression of heterogenous genes, and adaptive laboratory evolution. CRISPR-cas, ZFN, and TALEN are the primary gene editing technologies. CRISPR is a 30–40 bp direct repeat sequence that complements the foreign sequence and is separated by a spacer region [251]. After processing and transcription, crRNA is created. By inducing a double-strand break (DSB) at the designated target, CRISPR/Cas9 may be used to alter (delete or insert) the target gene from the genome. Because of its greater level of compatibility with archaeal and bacterial networks, CRISPR-cas is an appropriate tool that could be used in a variety of bioremediation studies opening up the possibility of the creation of more complex, programmable, and effective gene networks [252]. The zinc finger nucleases (ZFNs) are the most widely used synthetic restriction enzymes. The zinc finger proteins (ZFPs) present in zinc finger nucleases are eukaryotic transcriptional factors with a specific DNA-binding domain [253]. This is an effective gene editing technique with gene knock-out and knock-in functionality for prokaryotic and eukaryotic gene systems [254]. Transcription activator-like effector nucleases are referred to as TALENs, and are a cutting-edge tool for genetic manipulation and modification. With TALENs, the editing of the target gene or gene of interest is currently recommended [181]. The TALENs are a powerful gene editing technique because they have two TAL protein domains, one for sequence fragmentation and the other for identifying and binding the incredibly precise site [255]. Pseudomonas putida KT2440 grown in trinitrotoluene for the induction of pnrA, xenD, and acpD detoxifies genes. Furthermore, the Comamonas testosteroni strain VP44 was able to grow on and entirely dechlorinate 2- and 4-chlorobiphenyl by being cloned and expressing the genes that encode enzymes for ortho- and para-dechlorination [143].
Further, the bioremediation of anthropogenic substances could be enhanced by the improvement in the efficiency of already-existing natural pathways [256]. For instance, in a batch procedure carried out in the laboratory, Bacillus cereus was cultivated in an environment of phenol. The cell membrane of the bacterium underwent considerable modifications that accelerated the biodegradation of phenol in comparison with the original strain [257]. Recently, Burkholderia sp. SZL-1-mutant libraries were created by knocking out the triazophos hydrolase gene (trhA) and screening the efficient isolates with the best capacity to degrade triazophos substances [258].
6. Conclusions and Future Perspective
The need for the metabolic engineering of hydrocarbon degradation pathways must be realised with the prospect of the improved and efficient bioremediation of polluted environments. Crude oil contamination is a growing concern due to its negative effect on the environment and its harm to all living organisms. Though there are several bioremediation strategies available to deal with the challenges of removing recalcitrant crude oil contaminants from the ecosystem, bioaugmentation with a few bacteria or a single bioremediation pathway is not enough to degrade all the components at the same time. Additionally, in the natural environment, several biotic and abiotic factors, such as temperature, snow, rainfall, soil pH, and low nutrient content, influence the bioremediation process. Furthermore, the availability of multi-omics-based tools, such as genomics, proteomics, transcriptomics, metabolomics, etc. provides significant information and generates sufficient data for a better understanding of microbial behaviour in xenobiotic-contaminated environmental conditions for efficient bioremediation. Thus, these may be exploited as platforms for metabolic-pathway-engineering tools that may provide excellent strategies for significant biodegradations in natural ecosystems. Although genetic engineering approaches have the ability to improve catabolic genes and related pathways, due to the chances of horizontal gene transfer among bacterial communities, the application of genetically modified organisms in the environment becomes challenging for researchers. A better understanding of metabolic processes using gene editing tools and a systems biology approach can overcome such in situ bioremediation applications. Metabolic engineering involves the utilisation of the already-established pathways to accelerate and enhance bacterial degradation for the restoration of contaminated environments. Therefore, the advantageous gene editing technologies TALEN, ZFNs, and CRISPR/Cas9 could be used to improve the function of certain microbes with specific genes and enzymes involved in xenobiotic remediation. On the other hand, utilising synthetic ecosystems or cells would be beneficial in altering their behaviour and functions, or creating entirely new functions that are not found in nature, thus leading to advancements. Despite tremendous advances in the creation of various in silico databases, programs, and computational models for the investigation of microbial activities, the main challenges are in applying appropriate, approachable, and simple bioinformatics tools to analyse output findings and develop relevant conclusions. Thus, researchers from various fields must cooperate to overcome such difficulties by sharing data, creating more publicly available database platforms, and supporting innovative metabolic engineering approaches with the purpose of the effective and efficient biodegradation of crude oil contaminations from different environments. However, concerns for the application of genetically modified organisms in the environment will be a challenge and should be addressed in parallel with the metabolic engineering approach in order to develop a holistic strategy.
Author Contributions
N.D. prepared the complete draft of the manuscript and is the major contributor. A.D., S.D. (Sandeep Das), P.P. (Prisha Pandey), and K.C. provided the necessary information for and partially wrote the article. V.B. and S.D. (Samir Damare) wrote about the marine environment. P.P. (Piyush Pandey) conceptualized, corrected, and finalized the manuscript, and also supervised the work. All authors have read and agreed to the published version of the manuscript.
Funding
The financial support received from the Department of Biotechnology, Ministry of Science and Technology, Government of India (BT/PR/30261/BCE/08/1495/2018; BT/560/NE/U-Excel/2016). The DST, Government of India, for receiving the INSPIRE fellowship.
Institutional Review Board Statement
Not applicable.
Informed Consent Statement
Not applicable.
Data Availability Statement
Not applicable.
Acknowledgments
N.D., Sandeep D., and Piyush P. gratefully acknowledge the financial support received from the Department of Biotechnology, Ministry of Science and Technology, Government of India (BT/PR/30261/BCE/08/1495/2018; BT/560/NE/U-Excel/2016). A.D. is grateful to the DST, Government of India, for receiving the INSPIRE fellowship.
Conflicts of Interest
The authors declare that they have no known competing financial interests or personal relationships that could have appeared to influence the work reported in this paper.
Abbreviations
| GMO | Genetically modified organisms |
| GEMs | Genetically engineered microorganisms |
| HMW | High molecular weight |
| LMW | Low molecular weight |
| PAH | Polycyclic aromatic hydrocarbons |
| NSO | Nitrogen, sulphur, and oxygen |
| DEGs | Differentially expressed genes |
References
- Singh, H.; Bhardwaj, N.; Arya, S.K.; Khatri, M. Environmental impacts of oil spills and their remediation by magnetic nanomaterials. Environ. Nanotechnol. Monit. Manag. 2020, 14, 100305. [Google Scholar] [CrossRef]
- Brkić, D.; Praks, P. Probability analysis and prevention of offshore oil and gas accidents: Fire as a cause and a consequence. Fire 2021, 4, 71. [Google Scholar] [CrossRef]
- Atlas, R.M.; Hazen, T.C. Oil biodegradation and bioremediation: A tale of the two worst spills in U.S. history. Environ. Sci. Technol. 2011, 45, 6709–6715. [Google Scholar] [CrossRef]
- Patel, A.B.; Shaikh, S.; Jain, K.R.; Desai, C.; Madamwar, D. Polycyclic Aromatic Hydrocarbons: Sources, Toxicity, and Remediation Approaches. Front. Microbiol. 2020, 11, 562813. [Google Scholar] [CrossRef] [PubMed]
- Zhang, J.H.; Feng, Z.H.; Fang, W.; Huo, Q.L.; Zhang, K.; Li, J.K.; Zeng, H.S.; Zhang, B.W. Crude-oil hydro-carbon composition characteristics and oil viscosity prediction in the northern Songliao Basin. Sci. China Earth Sci. 2014, 57, 297–312. [Google Scholar] [CrossRef]
- Speight, J.G. The Chemistry and Technology of Petroleum; CRC Press: Boca Raton, FL, USA, 2006. [Google Scholar] [CrossRef]
- Speight, J.G. Organic Chemistry. In Environmental Organic Chemistry for Engineers; Butterworth-Heinemann: Oxford, UK, 2017; pp. 43–86. [Google Scholar] [CrossRef]
- Gailiūtė, I.; Račkauskienė, G.; Grigiškis, S. Changes in crude oil hydrocarbon composition during biodegradation by Arthrobacter sp. M1 and Acinetobacter sp. Pr82 in selected optimal conditions. Biologija 2014, 60, 134–141. [Google Scholar] [CrossRef]
- Klamerus-Iwan, A.; Błońska, E.; Lasota, J.; Kalandyk, A.; Waligórski, P. Influence of Oil Contamination on Physical and Biological Properties of Forest Soil after Chainsaw Use. Water Air Soil Pollut. 2015, 226, 389. [Google Scholar] [CrossRef]
- Galazka, A.; Grzadziel, J.; Galazka, R.; Ukalska-Jaruga, A.; Strzelecka, J.; Smreczak, B.; Tarafdar, A.; Sinha, A.; Horel, A.; Bernard, R.J.; et al. Microbial diversity and hydrocarbon degrading gene capacity of a crude oil field soil as determined by met-agenomics analysis. Front. Microbiol. 2018, 9, 638–648. [Google Scholar] [CrossRef]
- Englande, A.J., Jr.; Krenkel, P.; Shamas, J. Wastewater Treatment &Water Reclamation. Ref. Modul. Earth Syst. Environ. Sci. 2015, 1–32. [Google Scholar] [CrossRef]
- Pichtel, J. Oil and gas production wastewater: Soil contamination and pollution prevention. Appl. Environ. Soil Sci. 2016, 2016, 2707989. [Google Scholar] [CrossRef]
- National Oceanic and Atmospheric Administration (NOAA). Climate Change Impacts. Available online: https://www.noaa.gov/ (accessed on 13 August 2021).
- McDonnell, T. California’s Oil Spill Is Proof That Climate Action Is Worth the Cost. Available online: https://qz.com/2068783/who-pays-to-clean-up-californias-oil-spill (accessed on 4 October 2021).
- Cronin, M.A.; Bickham, J.W. A population genetic analysis of the potential for a crude oil spill to induce heritable mutations and impact natural populations. Ecotoxicology 1998, 7, 259–278. [Google Scholar] [CrossRef]
- Alzahrani, A.M.; Rajendran, P. Petroleum hydrocarbon and living organisms. In Hydrocarbon Pollution and Its Effect on the Environment; IntechOpen: London, UK, 2019; pp. 71–82. [Google Scholar]
- Gupta, S.K.; Sriwastav, A.; Ansari, F.A.; Nasr, M.; Nema, A.K. Phycoremediation: An ecofriendly algal technology for bioremediation and bioenergy production. In Phytoremediation Potential of Bioenergy Plants; Springer: Berlin/Heidelberg, Germany, 2017; pp. 431–456. [Google Scholar]
- Kotoky, R.; Pandey, P. Difference in the rhizosphere microbiome of Melia azedarach during removal of benzo (a) pyrene from cadmium co-contaminated soil. Chemosphere 2020, 258, 127175. [Google Scholar] [CrossRef]
- Wang, Y.; Oyaizu, H. Enhanced remediation of dioxins-spiked soil by a plant-microbe system using a dibenzofuran-degrading Comamonas sp. and Trifolium repens L. Chemosphere 2011, 85, 1109–1114. [Google Scholar] [CrossRef]
- Gaskin, S.E.; Bentham, R.H. Rhizoremediation of hydrocarbon contaminated soil using Australian native grasses. Sci. Total Environ. 2010, 408, 3683–3688. [Google Scholar] [CrossRef] [PubMed]
- Rajkumari, J.; Choudhury, Y.; Bhattacharjee, K.; Pandey, P. Rhizodegradation of pyrene by a non-pathogenic Klebsiella pneumoniae isolate applied with Tagetes erecta l. and changes in the rhizobacterial community. Front. Microbiol. 2021, 12, 593023. [Google Scholar] [CrossRef] [PubMed]
- Raymond, R.L.; Jamison, V.W.; Hudson, J.O. Beneficial stimulation of bacterial activity in groundwaters containing petroleum products. AIChE Symp. Ser. 1976, 73, 390. [Google Scholar]
- Sharma, I. Bioremediation Techniques for Polluted Environment: Concept, Advantages, Limitations, and Prospects. In Trace Metals in the Environment—New Approaches and Recent Advances; IntechOpen: London, UK, 2021. [Google Scholar] [CrossRef]
- Chuah, L.F.; Chew, K.W.; Bokhari, A.; Mubashir, M.; Show, P.L. Biodegradation of crude oil in seawater by using a consortium of symbiotic bacteria. Environ. Res. 2022, 213, 113721. [Google Scholar] [CrossRef]
- Al-Wasify, R.S.; Hamed, S.R. Bacterial biodegradation of crude oil using local isolates. Int. J. Bacteriol. 2014, 2014, 863272. [Google Scholar] [CrossRef]
- Aditiawati, P.; Kamarisima, K. Isolation of asphaltene-degrading bacteria from sludge oil. Makara J. Sci. 2015, 19, 13–20. [Google Scholar] [CrossRef]
- Ali, H.R.; El-Gendy, N.S.; Moustafa, Y.M.; Roushdy, M.I.; Hashem, A.I. Degradation of asphaltenic fraction by locally isolated halotolerant bacterial strains. Int. Sch. Res. Not. 2012, 2012, 435485. [Google Scholar] [CrossRef][Green Version]
- Abatenh, E.; Gizaw, B.; Tsegaye, Z.; Wassie, M. The Role of Microorganisms in Bioremediation—A Review. Open J. Environ. Biol. 2017, 2, 38–46. [Google Scholar] [CrossRef]
- Ławniczak, Ł.; Woźniak-Karczewska, M.; Loibner, A.P.; Heipieper, H.J.; Chrzanowski, Ł. Microbial degradation of hydrocarbons—Basic principles for bioremediation: A review. Molecules 2020, 25, 856. [Google Scholar] [CrossRef] [PubMed]
- Bala, S.; Garg, D.; Thirumalesh, B.V.; Sharma, M. Recent Strategies for Bioremediation of Emerging Pollutants: A Review for a Green and Sustainable Environment. Toxics 2022, 10, 484. [Google Scholar] [CrossRef]
- Tribedi, P.; Goswami, M.; Chakraborty, P.; Mukherjee, K.; Mitra, G.; Bhattacharyya, P.; Dey, S. Bioaugmentation and biostimulation: A potential strategy for environmental remediation. J. Microbiol. Exp. 2018, 6, 223–231. [Google Scholar] [CrossRef]
- Das, N.; Chandran, P. Microbial Degradation of Petroleum Hydrocarbon Contaminants: An Overview. Biotechnol. Res. Int. 2011, 2011, 941810. [Google Scholar] [CrossRef]
- Jaiswal, S.; Singh, D.K.; Shukla, P. Gene editing and systems biology tools for pesticide bioremediation: A review. Front. Microbiol. 2019, 10, 87. [Google Scholar] [CrossRef] [PubMed]
- Moon, S.B.; Kim, D.Y.; Ko, J.H.; Kim, Y.S. Recent advances in the CRISPR genome editing tool set. Exp. Mol. Med. 2019, 51, 1–11. [Google Scholar] [CrossRef]
- Kumar, R.R.; Prasad, S. Metabolic Engineering of Bacteria. Indian J. Microbiol. 2011, 51, 403–409. [Google Scholar] [CrossRef] [PubMed]
- Megharaj, M.; Venkateswarlu, K.; Naidu, R. Bioremediation. In Encyclopedia of Toxicology, 3rd ed.; Academic Press: Cambridge, MA, USA, 2014; Volume 1, pp. 485–489. [Google Scholar] [CrossRef]
- Tyagi, A.; Kumar, A.; Aparna, S.V.; Mallappa, R.H.; Grover, S.; Batish, V.K. Synthetic biology: Applications in the food sector. Crit. Rev. Food Sci. Nutr. 2016, 56, 1777–1789. [Google Scholar] [CrossRef] [PubMed]
- Kotoky, R.; Rajkumari, J.; Pandey, P. The rhizosphere microbiome: Significance in rhizoremediation of polyaromatic hydrocarbon contaminated soil. J. Environ. Manag. 2018, 217, 858–870. [Google Scholar] [CrossRef]
- Azad, M.A.K.; Amin, L.; Sidik, N.M. Genetically engineered organisms for bioremediation of pollutants in contaminated sites. Chin. Sci. Bull. 2014, 59, 703–714. [Google Scholar] [CrossRef]
- Koshlaf, E.; Ball, A.S. Soil bioremediation approaches for petroleum hydrocarbon polluted environments. AIMS Microbiol. 2017, 3, 25–49. [Google Scholar] [CrossRef] [PubMed]
- Wang, S.; Wang, D.; Yu, Z.; Dong, X.; Liu, S.; Cui, H.; Sun, B. Advances in research on petroleum biodegradability in soil. Environ. Sci. Process. Impacts 2021, 23, 9–27. [Google Scholar] [CrossRef]
- Yang, Y.; Zhang, Z.W.; Liu, R.X.; Ju, H.Y.; Bian, X.K.; Zhang, W.Z.; Zhang, C.B.; Yang, T.; Guo, B.; Xiao, C.L.; et al. Research progress in bioremediation of petroleum pollution. Environ. Sci. Pollut. Res. 2021, 28, 46877–46893. [Google Scholar] [CrossRef]
- Rahman, K.S.M.; Thahira-Rahman, J.; Lakshmanaperumalsamy, P.; Banat, I.M. Towards efficient crude oil degradation by a mixed bacterial consortium. Bioresour. Technol. 2002, 85, 257–261. [Google Scholar] [CrossRef]
- Das, K.; Mukherjee, A.K. Crude petroleum-oil biodegradation efficiency of Bacillus subtilis and Pseudomonas aeruginosa strains isolated from a petroleum-oil contaminated soil from North-East India. Bioresour. Technol. 2007, 98, 1339–1345. [Google Scholar] [CrossRef] [PubMed]
- Zucchi, M.; Angiolini, L.; Borin, S.; Brusetti, L.; Dietrich, N.; Gigliotti, C.; Barbieri, P.; Sorlini, C.; Daffonchio, D. Response of bacterial community during bioremediation of an oil-polluted soil. J. Appl. Microbiol. 2003, 94, 248–257. [Google Scholar] [CrossRef]
- Abbasian, F.; Lockington, R.; Mallavarapu, M.; Naidu, R. A Comprehensive Review of Aliphatic Hydrocarbon Biodegradation by Bacteria. Appl. Biochem. Biotechnol. 2015, 176, 670–699. [Google Scholar] [CrossRef]
- Megharaj, M.; Ramakrishnan, B.; Venkateswarlu, K.; Sethunathan, N.; Naidu, R. Bioremediation approaches for organic pollutants: A critical perspective. Environ. Int. 2011, 37, 1362–1375. [Google Scholar] [CrossRef]
- Gargouri, B.; Karray, F.; Mhiri, N.; Aloui, F.; Sayadi, S. Bioremediation of petroleum hydrocarbons-contaminated soil by bacterial consortium isolated from an industrial wastewater treatment plant. J. Chem. Technol. Biotechnol. 2014, 89, 978–987. [Google Scholar] [CrossRef]
- Roy, A.S.; Baruah, R.; Borah, M.; Singh, A.K.; Boruah, H.P.D.; Saikia, N.; Deka, M.; Dutta, N.; Bora, T.C. Bioremediation potential of native hydrocarbon degrading bacterial strains in crude oil contaminated soil under microcosm study. Int. Biodeterior. Biodegrad. 2014, 94, 79–89. [Google Scholar] [CrossRef]
- Lee, H.; Yun, S.Y.; Jang, S.; Kim, G.H.; Kim, J.J. Bioremediation of polycyclic aromatic hydrocarbons in creosote-contaminated soil by Peniophora incarnata KUC8836. Bioremed. J. 2015, 19, 1–8. [Google Scholar] [CrossRef]
- Hesnawi, R.M.; Adbeib, M.M. Effect of Nutrient Source on Indigenous Biodegradation of Diesel Fuel Contaminated Soil. APCBEE Procedia 2013, 5, 557–561. [Google Scholar] [CrossRef]
- Gurav, R.; Lyu, H.; Ma, J.; Tang, J.; Liu, Q. Degradation of n-alkanes and PAHs from the heavy crude oil using salt-tolerant bacterial consortia and analysis of their catabolic genes. Environ. Sci. Pollut. Res. 2017, 24, 11392–11403. [Google Scholar] [CrossRef] [PubMed]
- El-Liethy, M.A.; El-Noubi, M.M.; Abia, A.L.K.; El-Malky, M.G.; Hashem, A.I.; El-Taweel, G.E. Eco-friendly bioremediation approach for crude oil-polluted soils using a novel and biostimulated Enterobacter hormaechei ODB H32 strain. Int. J. Environ. Sci. Technol. 2022, 19, 10577–10588. [Google Scholar] [CrossRef]
- Hajieghrari, M.; Hejazi, P. Enhanced biodegradation of n-Hexadecane in solid-phase of soil by employing immobilized Pseudomonas Aeruginosa on size-optimized coconut fibers. J. Hazard. Mater. 2020, 389, 122134. [Google Scholar] [CrossRef] [PubMed]
- Throne-Holst, M.; Wentzel, A.; Ellingsen, T.E.; Kotlar, H.K.; Zotchev, S.B. Identification of novel genes involved in long-chain n-alkane degradation by Acinetobacter sp. strain DSM 17874. Appl. Environ. Microbiol. 2007, 73, 3327–3332. [Google Scholar] [CrossRef]
- Okoye, A.U.; Chikere, C.B.; Okpokwasili, G.C. Characterization of potential paraffin wax removing bacteria for sustainable biotechnological application. In Proceedings of the Society of Petroleum Engineers—SPE Nigeria Annual International Conference and Exhibition 2019, NAIC 2019, Lagos, Nigeria, 6 August 2019. [Google Scholar] [CrossRef]
- Rahman, R.N.Z.R.A.; Latip, W.; Adlan, N.A.; Sabri, S.; Ali, M.S.M. Bacteria consortia enhanced hydrocarbon degradation of waxy crude oil. Arch. Microbiol. 2022, 204, 701. [Google Scholar] [CrossRef]
- Ali, N.; Khanafer, M.; Al-Awadhi, H. Indigenous oil-degrading bacteria more efficient in soil bioremediation than microbial consortium and active even in super oil-saturated soils. Front. Microbiol. 2022, 13, 2840. [Google Scholar] [CrossRef]
- Gangola, S.; Kumar, R.; Sharma, A.; Singh, H. Bioremediation of petrol engine oil polluted soil using microbial consortium and wheat crop. J. Pure Appl. Microbiol. 2017, 11, 1583–1588. [Google Scholar]
- Xu, X.; Liu, W.; Tian, S.; Wang, W.; Qi, Q.; Jiang, P.; Gao, X.; Li, F.; Li, H.; Yu, H. Petroleum hydrocarbon-degrading bacteria for the remediation of oil pollution under aerobic conditions: A perspective analysis. Front. Microbiol. 2018, 9, 2885. [Google Scholar] [CrossRef] [PubMed]
- Lakshmi, G.; Kishore Babu, A. Isolation and Study of Biodegradation Capability of Hydrocarbonoclastic Bacteria from Industrial Waste Lubrication Oil Contaminated Sites. Int. J. Curr. Microbiol. Appl. Sci. 2021, 10, 163–172. [Google Scholar] [CrossRef]
- Xu, J.; Zhang, Q.; Li, D.; Du, J.; Wang, C.; Qin, J. Rapid degradation of long-chain crude oil in soil by indigenous bacteria using fermented food waste supernatant. Waste Manag. 2019, 85, 361–373. [Google Scholar] [CrossRef]
- Mohanty, G.; Mukherji, S. Biodegradation rate of diesel range n-alkanes by bacterial cultures Exiguobacterium aurantiacum and Burkholderia cepacia. Int. Biodeterior. Biodegrad. 2008, 61, 240–250. [Google Scholar] [CrossRef]
- Brito, E.M.S.; Guyoneaud, R.; Goñi-Urriza, M.; Ranchou-Peyruse, A.; Verbaere, A.; Crapez, M.A.; Wasserman, J.C.A.; Duran, R. Characterization of hydrocarbonoclastic bacterial communities from mangrove sediments in Guanabara Bay, Brazil. Res. Microbiol. 2006, 157, 752–762. [Google Scholar] [CrossRef] [PubMed]
- Thangarajan, R.; Adetutu, E.M.; Moore, R.B.; Ogunbanwo, S.T.; Ball, A.S. Comparison between different bio-treatments of a hydrocarbon contaminated soil from a landfill site. Afr. J. Biotechnol. 2011, 10, 15151–15162. [Google Scholar] [CrossRef]
- Bociu, I.; Shin, B.; Wells, W.; Kostka, J.E.; Konstantinidis, K.T.; Huettel, M. Decomposition of sediment-oil-agglomerates in a Gulf of Mexico sandy beach. Sci. Rep. 2019, 9, 10071. [Google Scholar] [CrossRef] [PubMed]
- Fuentes, S.; Méndez, V.; Aguila, P.; Seeger, M. Bioremediation of petroleum hydrocarbons: Catabolic genes, microbial communities, and applications. Appl. Microbiol. Biotechnol. 2014, 98, 4781–4794. [Google Scholar] [CrossRef]
- Zhou, L.; Li, H.; Zhang, Y.; Han, S.; Xu, H. Sphingomonas from petroleum-contaminated soils in Shenfu, China and their PAHs degradation abilities. Braz. J. Microbiol. 2016, 47, 271–278. [Google Scholar] [CrossRef]
- Ganesh Kumar, A.; Mathew, N.C.; Sujitha, K.; Kirubagaran, R.; Dharani, G. Genome analysis of deep sea piezotolerant Nesiotobacter exalbescens COD22 and toluene degradation studies under high pressure condition. Sci. Rep. 2019, 9, 18724. [Google Scholar] [CrossRef]
- Zhang, X.; Kong, D.; Liu, X.; Xie, H.; Lou, X.; Zeng, C. Combined microbial degradation of crude oil under alkaline conditions by Acinetobacter baumannii and Talaromyces sp. Chemosphere 2021, 273, 129666. [Google Scholar] [CrossRef] [PubMed]
- Miglani, R.; Parveen, N.; Kumar, A.; Ansari, M.A.; Khanna, S.; Rawat, G.; Panda, A.K.; Bisht, S.S.; Upadhyay, J.; Ansari, M.N. Degradation of xenobiotic pollutants: An environmentally sustainable approach. Metabolites 2022, 12, 818. [Google Scholar] [CrossRef]
- Turner, J.T. Zooplankton faecal pellets, marine snow, phytodetritus and the ocean’s biological pump. Prog. Oceanogr. 2015, 130, 205–248. [Google Scholar] [CrossRef]
- Hazen, T.C.; Prince, R.C.; Mahmoudi, N. Marine Oil Biodegradation. Environ. Sci. Technol. 2016, 50, 2121–2129. [Google Scholar] [CrossRef] [PubMed]
- Dyksterhouse, S.E.; Gray, J.P.; Herwig, R.P.; Lara, J.C.; Staley, J.T. Cycloclasticus pugetii gen-nov, sp-nov, an aromatic hydrocarbon-degrading bacterium from marine-sediments. Int. J. Syst. Bacteriol. 1995, 45, 116−123. [Google Scholar] [CrossRef]
- Bruns, A.; Berthe-Corti, L. Fundibacter jadensis gen. nov., sp. nov., a new slightly halophilic bacterium, isolated from intertidal sediment. Int. J. Syst. Bacteriol. 1999, 49, 441−448. [Google Scholar] [CrossRef]
- Yakimov, M.M.; Giuliano, L.; Gentile, G.; Crisafi, E.; Chernikova, T.N.; Abraham, W.R.; Lunsdorf, H.; Timmis, K.N.; Golyshin, P.N. Oleispira antarctica gen. nov., sp nov., a novel hydrocarbonoclastic marine bacterium isolated from Antarctic coastal sea water. Int. J. Syst. Evol. Microbiol. 2003, 53, 779−785. [Google Scholar] [CrossRef]
- Wang, B.; Lai, Q.; Cui, Z.; Tan, T.; Shao, Z. A pyrene-degrading consortium from deep-sea sediment of the West Pacific and its key member Cycloclasticus sp. P1. Environ. Microbiol. 2008, 10, 1948–1963. [Google Scholar] [CrossRef]
- Chen, Q.; Li, J.; Liu, M.; Sun, H.; Bao, M. Study on the biodegradation of crude oil by free and immobilized bacterial consortium in marine environment. PLoS ONE 2017, 12, e0174445. [Google Scholar] [CrossRef]
- Farag, S.; Soliman, N.A.; Abdel-Fattah, Y.R. Statistical optimization of crude oil bio-degradation by a local marine bacterium isolate Pseudomonas sp. sp48. J. Genet. Eng. Biotechnol. 2018, 16, 409–420. [Google Scholar] [CrossRef]
- Li, M.; Yin, H.; Zhu, M.; Yu, Y.; Lu, G.; Dang, Z. Co-metabolic and biochar-promoted biodegradation of mixed PAHs by highly efficient microbial consortium QY1. J. Environ. Sci. 2021, 107, 65–76. [Google Scholar] [CrossRef] [PubMed]
- Liu, Y.; Hu, H.; Zanaroli, G.; Xu, P.; Tang, H. A Pseudomonas sp. strain uniquely degrades PAHs and heterocyclic derivatives via lateral dioxygenation pathways. J. Hazard. Mater. 2021, 403, 123956. [Google Scholar] [CrossRef] [PubMed]
- Medić, A.; Lješević, M.; Inui, H.; Beškoski, V.; Kojić, I.; Stojanović, K.; Karadžić, I. Efficient biodegradation of petroleum n-alkanes and polycyclic aromatic hydrocarbons by polyextremophilic Pseudomonas aeruginosa san ai with multidegradative capacity. RSC Adv. 2020, 10, 14060–14070. [Google Scholar] [CrossRef] [PubMed]
- Mishra, A.; Rathour, R.; Singh, R.; Kumari, T.; Thakur, I.S. Degradation and detoxification of phenanthrene by actinobacterium Zhihengliuella sp. ISTPL4. Environ. Sci. Pollut. Res. 2020, 27, 27256–27267. [Google Scholar] [CrossRef]
- Rabodonirina, S.; Rasolomampianina, R.; Krier, F.; Drider, D.; Merhaby, D.; Net, S.; Ouddane, B. Degradation of fluorene and phenanthrene in PAHs-contaminated soil using Pseudomonas and Bacillus strains isolated from oil spill sites. J. Environ. Manag. 2019, 232, 1–7. [Google Scholar] [CrossRef]
- Zeng, J.; Zhu, Q.; Li, Y.; Dai, Y.; Wu, Y.; Sun, Y.; Miu, L.; Chen, H.; Lin, X. Isolation of diverse pyrene-degrading bacteria via introducing readily utilized phenanthrene. Chemosphere 2019, 222, 534–540. [Google Scholar] [CrossRef]
- Qin, W.; Fan, F.; Zhu, Y.; Huang, X.; Ding, A.; Liu, X.; Dou, J. Anaerobic biodegradation of benzo (a) pyrene by a novel Cellulosimicrobium cellulans CWS2 isolated from polycyclic aromatic hydrocarbon-contaminated soil. Braz. J. Microbiol. 2018, 49, 258–268. [Google Scholar] [CrossRef]
- Zhu, X.; Ni, X.; Waigi, M.G.; Liu, J.; Sun, K.; Gao, Y. Biodegradation of mixed PAHs by PAH-degrading endophytic bacteria. Int. J. Environ. Res. Public Health 2016, 13, 805. [Google Scholar] [CrossRef]
- Haritash, A.K.; Kaushik, C.P. Degradation of low molecular weight polycyclic aromatic hydrocarbons by microorganisms isolated from contaminated soil. Int. J. Environ. Sci. 2016, 6, 808–819. [Google Scholar]
- Zhu, X.; Wang, W.; Crowley, D.E.; Sun, K.; Hao, S.; Waigi, M.G.; Gao, Y. The endophytic bacterium Serratia sp. PW7 degrades pyrene in wheat. Environ. Sci. Pollut. Res. 2017, 24, 6648–6656. [Google Scholar] [CrossRef]
- Valsala, H.; Prakash, P.; Elavarasi, V.; Pugazhendhi, A.; Thamaraiselvi, K. Isolation of Staphylococcus nepalensis for Degradation of pyrene from Diesel Contaminated Site. Int. J. Comput. Appl. 2014, 1, 21–24. [Google Scholar]
- Hesham, A.E.L.; Mawad, A.M.; Mostafa, Y.M.; Shoreit, A. Biodegradation ability and catabolic genes of petroleum-degrading Sphingomonas koreensis strain ASU-06 isolated from Egyptian oily soil. BioMed Res. Int. 2014, 2014, 127674. [Google Scholar] [CrossRef] [PubMed]
- Chaudhary, P.; Sharma, R.; Singh, S.B.; Nain, L. Bioremediation of PAH by Streptomyces sp. Bull. Environ. Contam. Toxicol. 2011, 86, 268–271. [Google Scholar] [CrossRef] [PubMed]
- Arulazhagan, P.; Vasudevan, N. Biodegradation of polycyclic aromatic hydrocarbons by a halotolerant bacterial strain Ochrobactrum sp. VA1. Mar. Pollut. Bull. 2011, 62, 388–394. [Google Scholar] [CrossRef]
- Das, N.; Bhuyan, B.; Pandey, P. Correlation of soil microbiome with crude oil contamination drives detection of hydrocarbon degrading genes which are independent to quantity and type of contaminants. Environ. Res. 2022, 215 Pt 1, 114185. [Google Scholar] [CrossRef]
- Meckenstock, R.U.; Safinowski, M.; Griebler, C. Anaerobic degradation of polycyclic aromatic hydrocarbons. FEMS Microbiol. Ecol. 2004, 49, 27–36. [Google Scholar] [CrossRef]
- Varjani, S.; Thaker, M.; Upasani, V. Optimization of growth conditions of native hydrocarbon utilizing bacterial consortium “HUBC” obtained from petroleum pollutant contaminated sites. Indian J. Appl. Res. 2014, 4, 474–476. [Google Scholar]
- Shafiee, P.; SHOJA, A.S.; Charkhabi, A.H. Biodegradation of polycyclic aromatic hydrocarbons by aerobic mixed bacterial culture isolated from hydrocarbon polluted soils. Iran. J. Chem. Chem. Eng. 2006, 25, 73–78. [Google Scholar]
- Edet, U.O.; Anika, O.C.; Umoren, E. Toxicity Profile of Crude Oil on Degrading Bacterial Isolates. Int. J. Sci. Eng. Res. 2019, 10, 1131–1135. [Google Scholar] [CrossRef]
- Obi, L.U.; Atagana, H.I.; Adeleke, R.A. Isolation and characterisation of crude oil sludge degrading bacteria. SpringerPlus 2016, 5, 1946. [Google Scholar] [CrossRef]
- Ribicic, D.; McFarlin, K.M.; Netzer, R.; Brakstad, O.G.; Winkler, A.; Throne-Holst, M.; Størseth, T.R. Oil type and temperature dependent biodegradation dynamics—Combining chemical and microbial community data through multivariate analysis. BMC Microbiol. 2018, 18, 83. [Google Scholar] [CrossRef]
- Devatha, C.P.; Vishnu Vishal, A.; Purna Chandra Rao, J. Investigation of physical and chemical characteristics on soil due to crude oil contamination and its remediation. Appl. Water Sci. 2019, 9, 89. [Google Scholar] [CrossRef]
- Al-Hawash, A.B.; Dragh, M.A.; Li, S.; Alhujaily, A.; Abbood, H.A.; Zhang, X.; Ma, F. Principles of microbial degradation of petroleum hydrocarbons in the environment. Egypt. J. Aquat. Res. 2018, 44, 71–76. [Google Scholar] [CrossRef]
- Wang, D.; Lin, J.; Lin, J.; Wang, W.; Li, S. Biodegradation of petroleum hydrocarbons by bacillus subtilis BL-27, a strain with weak hydrophobicity. Molecules 2019, 24, 3021. [Google Scholar] [CrossRef] [PubMed]
- Dubinsky, E.A.; Conrad, M.E.; Chakraborty, R.; Bill, M.; Borglin, S.E.; Hollibaugh, J.T.; Mason, O.U.; Piceno, Y.M.; Reid, F.C.; Stringfellow, W.T.; et al. Succession of hydrocarbon-degrading bacteria in the aftermath of the deepwater horizon oil spill in the Gulf of Mexico. Environ. Sci. Technol. 2013, 47, 10860–10867. [Google Scholar] [CrossRef] [PubMed]
- Atlas, R.M.; Stoeckel, D.M.; Faith, S.A.; Minard-Smith, A.; Thorn, J.R.; Benotti, M.J. Oil Biodegradation and oil-degrading microbial populations in marsh sediments impacted by oil from the Deepwater Horizon well blowout. Environ. Sci. Technol. 2015, 49, 8356–8366. [Google Scholar] [CrossRef] [PubMed]
- Alegbeleye, O.O.; Opeolu, B.O.; Jackson, V.A. Polycyclic aromatic hydrocarbons: A critical review of environmental occurrence and bioremediation. Environ. Manag. 2017, 60, 758–783. [Google Scholar] [CrossRef]
- Kliem, S.; Kreutzbruck, M.; Bonten, C. Review on the biological degradation of polymers in various environments. Materials 2020, 13, 4586. [Google Scholar] [CrossRef] [PubMed]
- Fragkou, E.; Antoniou, E.; Daliakopoulos, I.; Manios, T.; Theodorakopoulou, M.; Kalogerakis, N. In situ aerobic bioremediation of sediments polluted with petroleum hydrocarbons: A critical review. J. Mar. Sci. Eng. 2021, 9, 1003. [Google Scholar] [CrossRef]
- Hamamura, N.; Olson, S.H.; Ward, D.M.; Inskeep, W.P. Microbial population dynamics associated with crude-oil biodegradation in diverse soils. Appl. Environ. Microbiol. 2006, 72, 6316–6324. [Google Scholar] [CrossRef]
- Kumari, S.; Regar, R.K.; Manickam, N. Improved polycyclic aromatic hydrocarbon degradation in a crude oil by individual and a consortium of bacteria. Bioresour. Technol. 2018, 254, 174–179. [Google Scholar] [CrossRef] [PubMed]
- Baboshin, M.; Golovleva, L. Aerobic bacterial degradation of polycyclic aromatic hydrocarbons (PAHs) and its kinetic aspects. Microbiology 2012, 81, 639–650. [Google Scholar] [CrossRef]
- Sun, S.; Wang, H.; Chen, Y.; Lou, J.; Wu, L.; Xu, J. Salicylate and phthalate pathways contributed differently on phenanthrene and pyrene degradations in Mycobacterium sp. WY10. J. Hazard. Mater. 2019, 364, 509–518. [Google Scholar] [CrossRef] [PubMed]
- Vaidya, S.; Jain, K.; Madamwar, D. Metabolism of pyrene through phthalic acid pathway by enriched bacterial consortium composed of Pseudomonas, Burkholderia, and Rhodococcus (PBR). 3 Biotech 2017, 7, 29. [Google Scholar] [CrossRef]
- Moody, J.D.; Freeman, J.P.; Doerge, D.R.; Cerniglia, C.E. Degradation of phenanthrene and anthracene by cell suspensions of Mycobacterium sp. strain PYR-1. Appl. Environ. Microbiol. 2001, 67, 1476–1483. [Google Scholar] [CrossRef]
- Zhao, H.-P.; Wu, Q.-S.; Wang, L.; Zhao, X.-T.; Gao, H.-W. Degradation of phenanthrene by bacterial strain isolated from soil in oil refinery fields in Shanghai China. J. Hazard. Mater. 2009, 164, 863–869. [Google Scholar] [CrossRef]
- Peng, R.H.; Xiong, A.S.; Xue, Y.; Fu, X.Y.; Gao, F.; Zhao, W.; Tian, Y.S.; Yao, Q.H. Microbial biodegradation of polyaromatic hydrocarbons. FEMS Microbiol. Rev. 2008, 32, 927–955. [Google Scholar] [CrossRef] [PubMed]
- Barnsley, E.A. Naphthalene metabolism by pseudomonads: The oxidation of 1, 2-dihydroxynaphthalene to 2-hydroxychromene-2-carboxylic acid and the formation of 2′-hydroxybenzalpyruvate. Biochem. Biophys. Res. Commun. 1976, 72, 1116–1121. [Google Scholar] [CrossRef]
- Anokhina, T.; Esikova, T.; Gafarov, A.; Polivtseva, V.; Baskunov, B.; Solyanikova, I. Alternative naphthalene metabolic pathway includes formation of ortho-phthalic acid and cinnamic acid derivatives in the Rhodococcus opacus strain 3D. Biochemistry 2020, 85, 355–368. [Google Scholar] [CrossRef] [PubMed]
- Ahmed, H.M.; Kamal, M.S.; Al-Harthi, M. Polymeric and low molecular weight shale inhibitors: A review. Fuel 2019, 251, 187–217. [Google Scholar] [CrossRef]
- Rojo, F. Degradation of alkanes by bacteria. Environ. Microbiol. 2009, 11, 2477–2490. [Google Scholar] [CrossRef]
- Ji, Y.; Mao, G.; Wang, Y.; Bartlam, M. Structural insights into diversity and n-alkane biodegradation mechanisms of alkane hydroxylases. Front. Microbiol. 2013, 4, 58. [Google Scholar] [CrossRef] [PubMed]
- Wang, W.; Shao, Z. Enzymes and genes involved in aerobic alkane degradation. Front. Microbiol. 2013, 4, 116. [Google Scholar] [CrossRef] [PubMed]
- Zuo, P.; Qu, S.; Shen, W. Asphaltenes: Separations, structural analysis and applications. J. Energy Chem. 2019, 34, 186–207. [Google Scholar] [CrossRef]
- Parra-Barraza, H.; Hernández-Montiel, D.; Lizardi, J.; Hernández, J.; Urbina, R.H.; Valdez, M.A. The zeta potential and surface properties of asphaltenes obtained with different crude oil/n-heptane proportions. Fuel 2003, 82, 869–874. [Google Scholar] [CrossRef]
- Foght, J. Anaerobic biodegradation of aromatic hydrocarbons: Pathways and prospects. Microb. Physiol. 2008, 15, 93–120. [Google Scholar] [CrossRef]
- Malla, M.A.; Dubey, A.; Yadav, S.; Kumar, A.; Hashem, A.; Abd-Allah, E.F. Understanding and designing the strategies for the microbe-mediated remediation of environmental contaminants using omics approaches. Front. Microbiol. 2018, 9, 1132. [Google Scholar] [CrossRef]
- Copley, S.D. Evolution of efficient pathways for degradation of anthropogenic chemicals. Nat. Chem. Biol. 2009, 5, 559–566. [Google Scholar] [CrossRef]
- Baoune, H.; Aparicio, J.D.; Acuña, A.; El Hadj-khelil, A.O.; Sanchez, L.; Polti, M.A.; Alvarez, A. Effectiveness of the Zea mays-Streptomyces association for the phytoremediation of petroleum hydrocarbons impacted soils. Ecotoxicol. Environ. Saf. 2019, 184, 109591. [Google Scholar] [CrossRef]
- Chen, W.; Kong, Y.; Li, J.; Sun, Y.; Min, J.; Hu, X. Enhanced biodegradation of crude oil by constructed bacterial consortium comprising salt-tolerant petroleum degraders and biosurfactant producers. Int. Biodeterior. Biodegrad. 2020, 154, 105047. [Google Scholar] [CrossRef]
- Nevoigt, E. Progress in metabolic engineering of Saccharomyces cerevisiae. Microbiol. Mol. Biol. Rev. 2008, 72, 379–412. [Google Scholar] [CrossRef]
- Bailey, J. Toward a science of metabolic engineering. Science 1991, 252, 1668–1675. [Google Scholar] [CrossRef] [PubMed]
- Jawed, K.; Yazdani, S.S.; Koffas, M.A. Advances in the development and application of microbial consortia for metabolic engineering. Metab. Eng. Commun. 2019, 9, e00095. [Google Scholar] [CrossRef]
- Weeks, A.M.; Chang, M.C. Constructing de novo biosynthetic pathways for chemical synthesis inside living cells. Biochemistry 2011, 50, 5404–5418. [Google Scholar] [CrossRef] [PubMed]
- Markina, N.M.; Kotlobay, A.A.; Tsarkova, A.S. Heterologous Metabolic Pathways: Strategies for Optimal Expression in Eukaryotic Hosts. Acta Nat. 2020, 12, 28–39. [Google Scholar] [CrossRef]
- Khanijou, J.K.; Kulyk, H.; Bergès, C.; Khoo, L.W.; Ng, P.; Yeo, H.C.; Helmy, M.; Bellvert, F.; Chew, W.; Selvarajoo, K. Metabolomics and modelling approaches for systems metabolic engineering. Metab. Eng. Commun. 2022, 15, e00209. [Google Scholar] [CrossRef] [PubMed]
- Li, D.; Yan, J.; Wang, L.; Zhang, Y.; Liu, D.; Geng, H.; Xiong, L. Characterization of the phthalate acid catabolic gene cluster in phthalate acid esters transforming bacterium-Gordonia sp. strain HS-NH1. Int. Biodeterior. Biodegrad. 2016, 106, 34–40. [Google Scholar] [CrossRef]
- Flannagan, R.S.; Linn, T.; Valvano, M.A. A system for the construction of targeted unmarked gene deletions in the genus Burkholderia. Environ. Microbiol. 2008, 10, 1652–1660. [Google Scholar] [CrossRef]
- Parellada, E.A.; Igarza, M.; Isacc, P.; Bardón, A.; Ferrero, M.; Ameta, K.L.; Neske, A. Squamocin, an annonaceous acetogenin, enhances naphthalene degradation mediated by Bacillus atrophaeus CN4. Rev. Argent. Microbiol. 2017, 49, 282–288. [Google Scholar] [CrossRef]
- Nakamura, C.E.; Whited, G.M. Metabolic engineering for the microbial production of 1, 3-propanediol. Curr. Opin. Biotechnol. 2003, 14, 454–459. [Google Scholar] [CrossRef]
- Devers, M.; Rouard, N.; Martin-Laurent, F. Fitness drift of an atrazine-degrading population under atrazine selection pressure. Environ. Microbiol. 2008, 10, 676–684. [Google Scholar] [CrossRef] [PubMed]
- Dellamatrice, P.M.; Silva-Stenico, M.E.; Moraes, L.A.B.D.; Fiore, M.F.; Monteiro, R.T.R. Degradation of textile dyes by cyanobacteria. Braz. J. Microbiol. 2017, 48, 25–31. [Google Scholar] [CrossRef] [PubMed]
- Banerjee, A.; Ghoshal, A.K. Bioremediation of petroleum wastewater by hyper-phenol tolerant Bacillus cereus: Preliminary studies with laboratory-scale batch process. Bioengineered 2017, 8, 446–450. [Google Scholar] [CrossRef] [PubMed][Green Version]
- Kang, C.; Yang, J.W.; Cho, W.; Kwak, S.; Park, S.; Lim, Y.; Choe, J.W.; Kim, H.S. Oxidative biodegradation of 4-chlorophenol by using recombinant monooxygenase cloned and overexpressed from Arthrobacter chlorophenolicus A6. Bioresour. Technol. 2017, 240, 123–129. [Google Scholar] [CrossRef]
- Mishra, S.; Lin, Z.; Pang, S.; Zhang, W.; Bhatt, P.; Chen, S. Recent Advanced Technologies for the Characterization of Xenobiotic-Degrading Microorganisms and Microbial Communities. Front. Bioeng. Biotechnol. 2021, 9, 632059. [Google Scholar] [CrossRef]
- Singha, L.P.; Pandey, P. Rhizosphere assisted bioengineering approaches for the mitigation of petroleum hydrocarbons contamination in soil. Crit. Rev. Biotechnol. 2021, 41, 749–766. [Google Scholar] [CrossRef]
- Azubuike, C.C.; Chikere, C.B.; Okpokwasili, G.C. Bioremediation techniques—Classification based on site of application: Principles, advantages, limitations and prospects. World J. Microbiol. Biotechnol. 2016, 32, 180. [Google Scholar] [CrossRef]
- Popoola, L.T.; Yusuff, A.S. Optimization and characterization of crude oil contaminated soil bioremediation using bacteria isolates: Plant growth effect. S. Afr. J. Chem. Eng. 2021, 37, 206–213. [Google Scholar]
- Calero, P.; Nikel, P.I. Chasing bacterial chassis for metabolic engineering: A perspective review from classical to non-traditional microorganisms. Microb. Biotechnol. 2019, 12, 98–124. [Google Scholar] [CrossRef]
- Zhang, W.; Lin, Z.; Pang, S.; Bhatt, P.; Chen, S. Insights Into the Biodegradation of Lindane (γ-Hexachlorocyclohexane) Using a Microbial System. Front. Microbiol. 2020, 11, 522. [Google Scholar] [CrossRef]
- Singh, B.K.; Walker, A. Microbial degradation of organophosphorus compounds. FEMS Microbiol. Rev. 2006, 30, 428–471. [Google Scholar] [CrossRef] [PubMed]
- Trögl, J.; Chauhan, A.; Ripp, S.; Layton, A.C.; Kuncová, G.; Sayler, G.S. Pseudomonas fluorescens HK44: Lessons learned from a model whole-cell bioreporter with a broad application history. Sensors 2012, 12, 1544–1571. [Google Scholar] [CrossRef] [PubMed]
- Lawson, C.E.; Wu, S.; Bhattacharjee, A.S.; Hamilton, J.J.; McMahon, K.D.; Goel, R.; Noguera, D.R. Metabolic network analysis reveals microbial community interactions in anammox granules. Nat. Commun. 2017, 8, 15416. [Google Scholar] [CrossRef]
- Gupta, A.; Gupta, R.; Singh, R.L. Microbes and environment. In Principles and Applications of Environmental Biotechnology for a Sustainable Future; Springer: Berlin/Heidelberg, Germany, 2017; pp. 43–84. [Google Scholar]
- Koussa, J.; Chaiboonchoe, A.; Salehi-Ashtiani, K. Computational approaches for microalgal biofuel optimization: A review. BioMed Res. Int. 2014, 2014, 649453. [Google Scholar] [CrossRef] [PubMed]
- Massie, C.E.; Mills, I.G. Mapping protein–DNA interactions using ChIP-sequencing. In Transcriptional Regulation: Methods and Protocols; Humana Press: Totowa, NJ, USA, 2012; pp. 157–173. [Google Scholar]
- Norsigian, C.J.; Pusarla, N.; McConn, J.L.; Yurkovich, J.T.; Dräger, A.; Palsson, B.O.; King, Z. BiGG Models 2020: Multi-strain genome-scale models and expansion across the phylogenetic tree. Nucleic Acids Res. 2020, 48, D402–D406. [Google Scholar] [CrossRef] [PubMed]
- Hafner, J.; MohammadiPeyhani, H.; Sveshnikova, A.; Scheidegger, A.; Hatzimanikatis, V. Updated ATLAS of biochemistry with new metabolites and improved enzyme prediction power. ACS Synth. Biol. 2020, 9, 1479–1482. [Google Scholar] [CrossRef]
- Shuikan, A.M.; Hozzein, W.N.; Alshuwaykan, R.M.; Arif, I.A. Metabolomics and Genetic Engineering for Secondary Metabolites Discovery. In Secondary Metabolites: Trends and Reviews; IntechOpen: London, UK, 2022; p. 71. [Google Scholar]
- Kanehisa, M. Enzyme annotation and metabolic reconstruction using KEGG. In Protein Function Prediction: Methods and Protocols; Humana Press: Totowa, NJ, USA, 2017; pp. 135–145. [Google Scholar]
- Caspi, R.; Foerster, H.; Fulcher, C.A.; Hopkinson, R.; Ingraham, J.; Kaipa, P.; Krummenacker, M.; Paley, S.; Pick, J.; Rhee, S.Y.; et al. MetaCyc: A multiorganism database of metabolic pathways and enzymes. Nucleic Acids Res. 2006, 34 (Suppl. S1), D511–D516. [Google Scholar] [CrossRef] [PubMed]
- Schomburg, I.; Chang, A.; Placzek, S.; Söhngen, C.; Rother, M.; Lang, M.; Munaretto, C.; Ulas, S.; Stelzer, M.; Grote, A.; et al. BRENDA in 2013: Integrated reactions, kinetic data, enzyme function data, improved disease classification: New options and contents in BRENDA. Nucleic Acids Res. 2012, 41, D764–D772. [Google Scholar] [CrossRef]
- Wang, L.; Dash, S.; Ng, C.Y.; Maranas, C.D. A review of computational tools for design and reconstruction of metabolic pathways. Synth. Syst. Biotechnol. 2017, 2, 243–252. [Google Scholar] [CrossRef]
- Chen, Q.; Wang, Z.; Wei, D. Progress in the applications of flux analysis of metabolic networks. Chin. Sci. Bull. 2010, 55, 2315–2322. [Google Scholar] [CrossRef]
- Dangi, A.K.; Sharma, B.; Hill, R.T.; Shukla, P. Bioremediation through microbes: Systems biology and metabolic engineering approach. Crit. Rev. Biotechnol. 2019, 39, 79–98. [Google Scholar] [CrossRef]
- Jhariya, U.; Srivastava, S.; Das, S.; Bombaywala, S.; Mahallea, S.; Dafale, N.A. Understanding the role of genetic and protein networking involved in microbial bioremediation. In Bioremediation of Environmental Pollutants: Emerging Trends and Strategies; Springer: Berlin/Heidelberg, Germany, 2022; pp. 187–219. [Google Scholar]
- Moriya, Y.; Shigemizu, D.; Hattori, M.; Tokimatsu, T.; Kotera, M.; Goto, S.; Kanehisa, M. PathPred: An enzyme-catalyzed metabolic pathway prediction server. Nucleic Acids Res. 2010, 38 (Suppl. S2), W138–W143. [Google Scholar] [CrossRef] [PubMed]
- Finley, S.D.; Broadbelt, L.J.; Hatzimanikatis, V. Computational framework for predictive biodegradation. Bio-Technol. Bioeng. 2009, 104, 1086–1097. [Google Scholar] [CrossRef] [PubMed]
- Hadadi, N. Computational Studies on Cellular Metabolism: From Biochemical Pathways to Complex Metabolic Networks; EPFL: Lausanne, Switzerland, 2015; p. 6667. [Google Scholar]
- Pazos, F.; Guijas, D.; Valencia, A.; De Lorenzo, V. MetaRouter: Bioinformatics for bioremediation. Nucleic Acids Res. 2005, 33, D588–D592. [Google Scholar] [CrossRef] [PubMed]
- Medema, M.H.; Van Raaphorst, R.; Takano, E.; Breitling, R. Computational tools for the synthetic design of biochemical pathways. Nat. Rev. Microbiol. 2012, 10, 191–202. [Google Scholar] [CrossRef]
- Seressiotis, A.; Bailey, J.E. MPS: An artificially intelligent software system for the analysis and synthesis of metabolic pathways. Biotechnol. Bioeng. 1988, 31, 587–602. [Google Scholar] [CrossRef]
- Spurgeon, D.; Lahive, E.; Robinson, A.; Short, S.; Kille, P. Species Sensitivity to Toxic Substances: Evolution, Ecology and Applications. Front. Environ. Sci. 2020, 8, 588380. [Google Scholar] [CrossRef]
- Belfield, S.J.; Firman, J.W.; Enoch, S.J.; Madden, J.C.; Tollefsen, K.E.; Cronin, M.T. A Review of Quantitative Structure-Activity Relationship Modelling Approaches to Predict the Toxicity of Mixtures. Comput. Toxicol. 2022, 25, 100251. [Google Scholar] [CrossRef]
- Schmidt, U.; Struck, S.; Gruening, B.; Hossbach, J.; Jaeger, I.S.; Parol, R.; Lindequist, U.; Teuscher, E.; Preissner, R. SuperToxic: A comprehensive database of toxic compounds. Nucleic Acids Res. 2009, 37 (Suppl. S1), 295–299. [Google Scholar] [CrossRef]
- Judson, R.; Richard, A.; Dix, D.J.; Houck, K.; Martin, M.; Kavlock, R.; Dellarco, V.; Henry, T.; Holderman, T.; Sayre, P.; et al. The toxicity data landscape for environmental chemicals. Environ. Health Perspect. 2009, 117, 685–695. [Google Scholar] [CrossRef] [PubMed]
- Planson, A.G.; Carbonell, P.; Paillard, E.; Pollet, N.; Faulon, J.L. Compound toxicity screening and structure-activity relationship modeling in Escherichia coli. Biotechnol. Bioeng. 2012, 109, 846–850. [Google Scholar] [CrossRef] [PubMed]
- Petsas, A.S.; Vagi, M.C. Trends in the bioremediation of pharmaceuticals and other organic contaminants using native or genetically modified microbial strains: A review. Curr. Pharm. Biotechnol. 2019, 20, 787–824. [Google Scholar] [CrossRef] [PubMed]
- Li, Z.; Jiang, Y.; Guengerich, X.F.P.; Ma, L.; Li, S.; Zhang, W. Engineering cytochrome P450 enzyme systems for biomedical and biotechnological applications. J. Biol. Chem. 2020, 295, 833–849. [Google Scholar] [CrossRef] [PubMed]
- Pieper, D.H.; Reineke, W. Engineering bacteria for bioremediation. Curr. Opin. Biotechnol. 2000, 11, 262–270. [Google Scholar] [CrossRef] [PubMed]
- Carmichael, L.M.; Pfaender, F.K. The effect of inorganic and organic supplements on the microbial degradation of phenanthrene and pyrene in soils. Biodegradation 1997, 8, 1–13. [Google Scholar] [CrossRef]
- Kowalko, J.E.; Ma, L.; Jeffery, W.R. Genome editing in Astyanax mexicanus using transcription activator-like effector nucleases (TALENs). JoVE J. Vis. Exp. 2016, 112, e54113. [Google Scholar]
- Wu, C.; Li, F.; Yi, S.; Ge, F. Genetically engineered microbial remediation of soils co-contaminated by heavy metals and polycyclic aromatic hydrocarbons: Advances and ecological risk assessment. J. Environ. Manag. 2021, 296, 113185. [Google Scholar] [CrossRef]
- Kumari, S.; Mangwani, N.; Das, S. Synergistic effect of quorum sensing genes in biofilm development and PAHs degradation by a marine bacterium. Bioengineered 2016, 7, 205–211. [Google Scholar] [CrossRef]
- Cases, I.; De Lorenzo, V. The black cat/white cat principle of signal integration in bacterial promoters. EMBO J. 2001, 20, 1–11. [Google Scholar] [CrossRef]
- Wang, L.; Peng, R.; Tian, Y.; Xu, J.; Wang, B.; Han, H.; Fu, X.; Gao, J.; Yao, Q. Metabolic engineering of Escherichia coli for efficient degradation of 4-fluorophenol. AMB Express 2022, 12, 55. [Google Scholar] [CrossRef]
- Wicker, J.; Fenner, K.; Ellis, L.; Wackett, L.; Kramer, S. Predicting biodegradation products and pathways: A hybrid knowledge- and machine learning-based approach. Bioinformatics 2010, 26, 814–821. [Google Scholar] [CrossRef] [PubMed]
- Lee, S.Y.; Park, J.M.; Kim, T.Y. Application of metabolic flux analysis in metabolic engineering. In Methods in Enzymology, 1st ed.; Elsevier Inc.: Amsterdam, The Netherlands, 2011; Volume 498. [Google Scholar] [CrossRef]
- Burgard, A.P.; Pharkya, P.; Maranas, C.D. OptKnock: A Bilevel Programming Framework for Identifying Gene Knockout Strategies for Microbial Strain Optimization. Biotechnol. Bioeng. 2003, 84, 647–657. [Google Scholar] [CrossRef]
- Wang, X.; Yu, L.; Chen, S. UP Finder: A COBRA toolbox extension for identifying gene overexpression strategies for targeted overproduction. Metab. Eng. Commun. 2017, 5, 54–59. [Google Scholar] [CrossRef] [PubMed]
- Ranganathan, S.; Suthers, P.F.; Maranas, C.D. OptForce: An optimization procedure for identifying all genetic manipulations leading to targeted overproductions. PLoS Comput. Biol. 2010, 6, e1000744. [Google Scholar] [CrossRef]
- Hoops, S.; Gauges, R.; Lee, C.; Pahle, J.; Simus, N.; Singhal, M.; Xu, L.; Mendes, P.; Kummer, U. COPASI—A Complex Pathway Simulator. Bioinformatics 2006, 22, 3067–3074. [Google Scholar] [CrossRef] [PubMed]
- Minkiewicz, P.; Darewicz, M.; Iwaniak, A.; Bucholska, J.; Starowicz, P.; Czyrko, E. Internet databases of the properties, enzymatic reactions, and metabolism of small molecules—Search options and applications in food science. Int. J. Mol. Sci. 2016, 17, 2039. [Google Scholar] [CrossRef]
- Lange, V.; Picotti, P.; Domon, B.; Aebersold, R. Selected reaction monitoring for quantitative proteomics: A tutorial. Mol. Syst. Biol. 2008, 4, 222. [Google Scholar] [CrossRef] [PubMed]
- Chakraborty, R.; Wu, C.H.; Hazen, T.C. Systems biology approach to bioremediation. Curr. Opin. Bio-Technol. 2012, 23, 483–490. [Google Scholar] [CrossRef]
- Wanichthanarak, K.; Fahrmann, J.F.; Grapov, D. Genomic, proteomic, and metabolomic data integration strategies. Biomark. Insights 2015, 10, 1–6. [Google Scholar] [CrossRef]
- Manzoni, C.; Kia, D.A.; Vandrovcova, J.; Hardy, J.; Wood, N.W.; Lewis, P.A.; Ferrari, R. Genome, transcriptome and proteome: The rise of omics data and their integration in biomedical sciences. Brief. Bioinform. 2018, 19, 286–302. [Google Scholar] [CrossRef]
- Handelsman, J. Metagenomics: Application of genomics to uncultured microorganisms. Microbiol. Mol. Biol. Rev. 2004, 68, 669–685. [Google Scholar] [CrossRef]
- Desai, C.; Pathak, H.; Madamwar, D. Advances in molecular and “omics” technologies to gauge microbial communities and bioremediation at xenobiotic/anthropogen contaminated sites. Bioresour. Technol. 2010, 101, 1558–1569. [Google Scholar] [CrossRef] [PubMed]
- Pal, S.; Kundu, A.; Banerjee, T.D.; Mohapatra, B.; Roy, A.; Manna, R.; Sar, P.; Kazy, S.K. Genome analysis of crude oil degrading Franconibacter pulveris strain DJ34 revealed its genetic basis for hydrocarbon degradation and survival in oil contaminated environment. Genomics 2017, 109, 374–382. [Google Scholar] [CrossRef] [PubMed]
- Ikrema, H.; Eastman, A.W.; Brian, W.; Eltayeb, M.; Yanful, E.K.; Ze-Chun, Y. Complete Genome Sequence of Arthrobacter sp. Strain LS16, Isolated from Agricultural Soils with Potential for Applications in Bioremediation and Bioproducts. Microbiol. Resour. Announc. 2016, 4, e01586-15. [Google Scholar]
- Neifar, M.; Chouchane, H.; Najjari, A.; El Hidri, D.; Mahjoubi, M.; Ghedira, K.; Naili, F.; Soufi, L.; Raddadi, N.; Sghaier, H.; et al. Genome analysis provides insights into crude oil degradation and biosurfactant production by extremely halotolerant Halomonas desertis G11 isolated from Chott El-Djerid salt-lake in Tunisian desert. Genomics 2019, 111, 1802–1814. [Google Scholar] [CrossRef] [PubMed]
- Kube, M.; Beck, A.; Meyerdierks, A.; Amann, R.; Reinhardt, R.; Rabus, R. A catabolic gene cluster for anaerobic benzoate degradation in methanotrophic microbial Black Sea mats. Syst. Appl. Microbiol. 2005, 28, 287–294. [Google Scholar] [CrossRef]
- Lamendella, R.; Strutt, S.; Borglin, S.; Chakraborty, R.; Tas, N.; Mason, O.U.; Hultman, J.; Prestat, E.; Hazen, T.C.; Jansson, J.K. Assessment of the Deepwater Horizon oil spill impact on Gulf coast microbial communities. Front. Microbiol. 2014, 5, 130. [Google Scholar] [CrossRef]
- Xiong, W.; Abraham, P.E.; Li, Z.; Pan, C.; Hettich, R.L. Microbial metaproteomics for characterizing the range of metabolic functions and activities of human gut microbiota. Proteomics 2015, 15, 3424–3438. [Google Scholar] [CrossRef]
- Gillan, D.C. Metal resistance systems in cultivated bacteria: Are they found in complex communities? Curr. Opin. Biotechnol. 2016, 38, 123–130. [Google Scholar] [CrossRef]
- Kim, S.J.; Kweon, O.; Sutherland, J.B.; Kim, H.L.; Jones, R.C.; Burback, B.L.; Graves, S.W.; Psurny, E.; Cerniglia, C.E. Dynamic response of Mycobacterium vanbaalenii PYR-1 to BP Deepwater Horizon crude oil. Appl. Environ. Microbiol. 2015, 81, 4263–4276. [Google Scholar] [CrossRef]
- Luo, F.; Gitiafroz, R.; Devine, C.E.; Gong, Y.; Hug, L.A.; Raskin, L.; Edwards, E.A. Metatranscriptome of an an-aerobic benzene-degrading, nitrate-reducing enrichment culture reveals involvement of carboxylation in benzene ring activation. Appl. Environ. Microbiol. 2014, 80, 4095–4107. [Google Scholar] [CrossRef]
- Cao, B.; Geng, A.; Loh, K.C. Induction of ortho-and meta-cleavage pathways in Pseudomonas in biodegradation of high benzoate concentration: MS identification of catabolic enzymes. Appl. Microbiol. Biotechnol. 2008, 81, 99–107. [Google Scholar] [CrossRef] [PubMed]
- Armengaud, J.; Trapp, J.; Pible, O.; Geffard, O.; Chaumot, A.; Hartmann, E.M. Non-model organisms, a species endangered by proteogenomics. J. Proteom. 2014, 105, 5–18. [Google Scholar] [CrossRef] [PubMed]
- Lowe, R.; Shirley, N.; Bleackley, M.; Dolan, S.; Shafee, T. Transcriptomics technologies. PLoS Comput. Biol. 2017, 13, e1005457. [Google Scholar] [CrossRef] [PubMed]
- Jennings, L.K.; Chartrand, M.M.; Lacrampe-Couloume, G.; Lollar, B.S.; Spain, J.C.; Gossett, J.M. Proteomic and transcriptomic analyses reveal genes upregulated by cis-dichloroethene in Polaromonas sp. strain JS666. Appl. Environ. Microbiol. 2009, 75, 3733–3744. [Google Scholar] [CrossRef] [PubMed]
- Das, D.; Mawlong, G.T.; Sarki, Y.N.; Singh, A.K.; Chikkaputtaiah, C.; Boruah, H.P.D. Transcriptome analysis of crude oil degrading Pseudomonas aeruginosa strains for identification of potential genes involved in crude oil degradation. Gene 2020, 755, 144909. [Google Scholar] [CrossRef] [PubMed]
- Tribelli, P.M.; Rossi, L.; Ricardi, M.M.; Gomez-Lozano, M.; Molin, S.; Raiger Iustman, L.J.; Lopez, N.I. Microaer-ophilic alkane degradation in Pseudomonas extremaustralis: A transcriptomic and physiological approach. J. Ind. Microbiol. Biotechnol. 2018, 45, 15–23. [Google Scholar] [CrossRef]
- Hong, Y.H.; Ye, C.C.; Zhou, Q.Z.; Wu, X.Y.; Yuan, J.P.; Peng, J.; Deng, H.; Wang, J.H. Genome sequencing reveals the potential of Achromobacter sp. HZ01 for bioremediation. Front. Microbiol. 2017, 8, 1507. [Google Scholar] [CrossRef]
- Zhang, A.; Sun, H.; Xu, H.; Qiu, S.; Wang, X. Cell metabolomics. Omics J. Integr. Biol. 2013, 17, 495–501. [Google Scholar] [CrossRef]
- Mani, I. Metagenomics approach for bioremediation: Challenges and perspectives. In Bioremediation of Pollutants; Elsevier: Amsterdam, The Netherlands, 2020; pp. 275–285. [Google Scholar]
- Davey, M.E.; O’toole, G.A. Microbial biofilms: From ecology to molecular genetics. Microbiol. Mol. Biol. Rev. 2000, 64, 847–867. [Google Scholar] [CrossRef]
- Furbank, R.T.; Tester, M. Phenomics-technologies to relieve the phenotyping bottleneck. Trends Plant Sci. 2011, 16, 635–644. [Google Scholar] [CrossRef] [PubMed]
- Salt, D.E.; Baxter, I.; Lahner, B. Ionomics and the study of the plant ionome. Annu. Rev. Plant Biol. 2008, 59, 709–733. [Google Scholar] [CrossRef]
- Zhang, W.; Li, F.; Nie, L. Integrating multiple ‘omics’ analysis for microbial biology: Application and methodologies. Microbiology 2010, 156, 287–301. [Google Scholar] [CrossRef] [PubMed]
- Markowitz, V.M.; Ivanova, N.N.; Szeto, E.; Palaniappan, K.; Chu, K.; Dalevi, D.; Chen, I.M.A.; Grechkin, Y.; Dubchak, I.; Anderson, I.; et al. IMG/M: A data management and analysis system for metagenomes. Nucleic Acids Res. 2007, 36 (Suppl. S1), D534–D538. [Google Scholar] [CrossRef]
- Chen, I.M.A.; Markowitz, V.M.; Chu, K.; Palaniappan, K.; Szeto, E.; Pillay, M.; Ratner, A.; Huang, J.; Andersen, E.; Huntemann, M.; et al. IMG/M: Integrated genome and metagenome comparative data analysis system. Nucleic Acids Res. 2016, 45, gkw929. [Google Scholar] [CrossRef]
- Sharma, V.K.; Kumar, N.; Prakash, T.; Taylor, T.D. MetaBioME: A database to explore commercially useful enzymes in metagenomic datasets. Nucleic Acids Res. 2010, 38 (Suppl. S1), D468–D472. [Google Scholar] [CrossRef]
- Hoff, K.J.; Lingner, T.; Meinicke, P.; Tech, M. Orphelia: Predicting genes in metagenomic sequencing reads. Nucleic Acids Res. 2009, 37 (Suppl. S2), W101–W105. [Google Scholar] [CrossRef] [PubMed]
- Singh, A.K.; Bilal, M.; Iqbal, H.M.; Raj, A. Trends in predictive biodegradation for sustainable mitigation of envi-ronmental pollutants: Recent progress and future outlook. Sci. Total Environ. 2021, 770, 144561. [Google Scholar] [CrossRef]
- Raman, K.; Chandra, N. Flux balance analysis of biological systems: Applications and challenges. Brief. Bio-Inform. 2009, 10, 435–449. [Google Scholar] [CrossRef]
- Antoniewicz, M.R. Methods and advances in metabolic flux analysis: A mini-review. J. Ind. Microbiol. Biotechnol. 2015, 42, 317–325. [Google Scholar] [CrossRef]
- Sturm, M.; Bertsch, A.; Gröpl, C.; Hildebrandt, A.; Hussong, R.; Lange, E.; Pfeifer, N.; Schulz-Trieglaff, O.; Zerck, A.; Reinert, K.; et al. OpenMS—An open-source software framework for mass spectrometry. BMC Bioinform. 2008, 9, 163. [Google Scholar] [CrossRef] [PubMed]
- Xia, J.; Sinelnikov, I.V.; Han, B.; Wishart, D.S. MetaboAnalyst 3.0—Making metabolomics more meaningful. Nucleic Acids Res. 2015, 43, W251–W257. [Google Scholar] [CrossRef] [PubMed]
- Haug, K.; Cochrane, K.; Nainala, V.C.; Williams, M.; Chang, J.; Jayaseelan, K.V.; O’Donovan, C. MetaboLights: A resource evolving in response to the needs of its scientific community. Nucleic Acids Res. 2020, 48, D440–D444. [Google Scholar] [CrossRef]
- Weber, T.; Kim, H.U. The secondary metabolite bioinformatics portal: Computational tools to facilitate synthetic biology of secondary metabolite production. Synth. Syst. Biotechnol. 2016, 1, 69–79. [Google Scholar] [CrossRef] [PubMed]
- Pande, V.; Pandey, S.C.; Sati, D.; Pande, V.; Samant, M. Bioremediation: An emerging effective approach towards environment restoration. Environ. Sustain. 2020, 3, 91–103. [Google Scholar] [CrossRef]
- Cheng, A.A.; Lu, T.K. Synthetic biology: An emerging engineering discipline. Annu. Rev. Biomed. Eng. 2012, 14, 155–178. [Google Scholar] [CrossRef] [PubMed]
- Shahzad, K.; Loor, J.J. Application of top-down and bottom-up systems approaches in ruminant physiology and metabolism. Curr. Genom. 2012, 13, 379–394. [Google Scholar] [CrossRef]
- Bhatt, P.; Gangola, S.; Bhandari, G.; Zhang, W.; Maithani, D.; Mishra, S.; Chen, S. New insights into the degradation of synthetic pollutants in contaminated environments. Chemosphere 2021, 268, 128827. [Google Scholar] [CrossRef]
- Wang, S.; Tang, H.; Peng, F.; Yu, X.; Su, H.; Xu, P.; Tan, T. Metabolite-based mutualism enhances hydrogen production in a two-species microbial consortium. Commun. Biol. 2019, 2, 82. [Google Scholar] [CrossRef]
- Patowary, K.; Patowary, R.; Kalita, M.C.; Deka, S. Development of an efficient bacterial consortium for the potential remediation of hydrocarbons from contaminated sites. Front. Microbiol. 2016, 7, 1092. [Google Scholar] [CrossRef] [PubMed]
- Bernstein, H.C.; Carlson, R.P. Microbial consortia engineering for cellular factories: In vitro to in silico systems. Comput. Struct. Biotechnol. J. 2012, 3, e201210017. [Google Scholar] [CrossRef] [PubMed]
- Jiménez-Díaz, V.; Pedroza-Rodríguez, A.M.; Ramos-Monroy, O.; Castillo-Carvajal, L.C. Synthetic Biology: A New Era in Hydrocarbon Bioremediation. Processes 2022, 10, 712. [Google Scholar] [CrossRef]
- Kim, D.; Lee, J.W. Genetic biocontainment systems for the safe use of engineered microorganisms. Biotechnol. Bioprocess Eng. 2020, 25, 974–984. [Google Scholar] [CrossRef]
- Liang, Y.; Ma, A.; Zhuang, G. Construction of environmental synthetic microbial consortia: Based on engineering and ecological principles. Front. Microbiol. 2022, 13, 437. [Google Scholar] [CrossRef] [PubMed]
- Esvelt, K.M.; Wang, H.H. Genome-scale engineering for systems and synthetic biology. Mol. Syst. Biol. 2013, 9, 641. [Google Scholar] [CrossRef] [PubMed]
- Dvořák, P.; Nikel, P.I.; Damborský, J.; de Lorenzo, V. Bioremediation 3.0: Engineering pollutant-removing bacteria in the times of systemic biology. Biotechnol. Adv. 2017, 35, 845–866. [Google Scholar] [CrossRef]
- Budisa, N. Engineering the Genetic Code: Expanding the Amino Acid Repertoire for the Design of Novel Proteins; John Wiley Sons: Hoboken, NJ, USA, 2006. [Google Scholar]
- Holland, J.H. Adaptation in Natural and Artificial Systems: An Introductory Analysis with Applications to Biology, Control, and Artificial Intelligence; MIT Press: Cambridge, MA, USA, 1992. [Google Scholar]
- Isaacs, F.J.; Carr, P.A.; Wang, H.H.; Lajoie, M.J.; Sterling, B.; Kraal, L.; Tolonen, A.C.; Gianoulis, T.A.; Goodman, D.B.; Reppas, N.B.; et al. Precise manipulation of chromosomes in vivo enables genome-wide codon replacement. Science 2011, 333, 348–353. [Google Scholar] [CrossRef]
- Wang, B.; Kitney, R.I.; Joly, N.; Buck, M. Engineering modular and orthogonal genetic logic gates for robust digi-tal-like synthetic biology. Nat. Commun. 2011, 2, 508. [Google Scholar] [CrossRef]
- Benedetti, I.; de Lorenzo, V.; Nikel, P.I. Genetic programming of catalytic Pseudomonas putida biofilms for boosting biodegradation of haloalkanes. Metab. Eng. 2016, 33, 109–118. [Google Scholar] [CrossRef]
- Benedetti, I. Design of Standardized Molecular Tools to Analyze Regulatory Properties and Biotechnological Applications of the Soil Bacterium Pseudomonas Putida. Doctoral Dissertation, Universidad Autónoma de Madrid, Madrid, Spain, 2014. [Google Scholar]
- Chung, T.H.; Meshref, M.N.; Dhar, B.R. A review and roadmap for developing microbial electrochemical cell-based biosensors for recalcitrant environmental contaminants, emphasis on aromatic compounds. Chem. Eng. J. 2021, 424, 130245. [Google Scholar] [CrossRef]
- Meeske, A.J.; Nakandakari-Higa, S.; Marraffini, L.A. Cas13-induced cellular dormancy prevents the rise of CRISPR-resistant bacteriophage. Nature 2019, 570, 241–245. [Google Scholar] [CrossRef] [PubMed]
- Scheben, A.; Wolter, F.; Batley, J.; Puchta, H.; Edwards, D. Towards CRISPR/Cas crops-bringing together genomics and genome editing. New Phytol. 2017, 216, 682–698. [Google Scholar] [CrossRef] [PubMed]
- Durai, S.; Mani, M.; Kandavelou, K.; Wu, J.; Porteus, M.H.; Chandrasegaran, S. Zinc finger nucleases: Custom-designed molecular scissors for genome engineering of plant and mammalian cells. Nucleic Acids Res. 2005, 33, 5978–5990. [Google Scholar] [CrossRef] [PubMed]
- Kim, H.J.; Lee, H.J.; Kim, H.; Cho, S.W.; Kim, J.S. Targeted genome editing in human cells with zinc finger nucleases constructed via modular assembly. Genome Res. 2009, 19, 1279–1288. [Google Scholar] [CrossRef]
- Sprink, T.; Metje, J.; Hartung, F. Plant genome editing by novel tools: TALEN and other sequence specific nucleases. Curr. Opin. Biotechnol. 2015, 32, 47–53. [Google Scholar] [CrossRef] [PubMed]
- Yaashikaa, P.R.; Devi, M.K.; Kumar, P.S. Engineering microbes for enhancing the degradation of environmental pollutants: A detailed review on synthetic biology. Environ. Res. 2022, 214, 113868. [Google Scholar] [CrossRef]
- Panigrahy, N.; Priyadarshini, A.; Sahoo, M.M.; Verma, A.K.; Daverey, A.; Sahoo, N.K. A comprehensive review on eco-toxicity and biodegradation of phenolics: Recent progress and future outlook. Environ. Technol. Innov. 2022, 27, 102423. [Google Scholar] [CrossRef]
- Zhang, H.; Li, Q.; Guo, S.H.; Cheng, M.G.; Zhao, M.J.; Hong, Q.; Huang, X. Cloning, expression and mutation of a triazophos hydrolase gene from Burkholderia sp. SZL-1. FEMS Microbiol. Lett. 2016, 363. [Google Scholar] [CrossRef]
Disclaimer/Publisher’s Note: The statements, opinions and data contained in all publications are solely those of the individual author(s) and contributor(s) and not of MDPI and/or the editor(s). MDPI and/or the editor(s) disclaim responsibility for any injury to people or property resulting from any ideas, methods, instructions or products referred to in the content. |
© 2023 by the authors. Licensee MDPI, Basel, Switzerland. This article is an open access article distributed under the terms and conditions of the Creative Commons Attribution (CC BY) license (https://creativecommons.org/licenses/by/4.0/).




