Abstract
Passion fruit wine is a popular fruit wine because of its unique aroma. However, the roles of microorganisms in different fermentation methods, particularly their contributions to aroma formation, are poorly understood. Accordingly, the goal of this study is to reveal the contribution of different fermentation methods to the flavor. Purple passion fruit was used as the experimental focus; high-throughput sequencing technology was used to analyze the microbial community of CF (controlled fermentation) and NF (natural fermentation), and the correlations between the microbial community and physicochemical indices, nonvolatile metabolites and flavor substances were analyzed. In NF, totals of eight fungal phyla, 135 fungal genera, 15 bacterial phyla and 130 bacterial genera were identified. Debaryomyces, Meyerozyma, and Wickerhamomyces were the dominant fungal genera, and Paucibacter and Pantoea were the dominant bacterial genera. In CF, totals of 11 fungal phyla, 389 fungal genera, 15 bacterial phyla and 128 bacterial genera were identified. Meyerozyma, Cladosporium, and Saccharomyces were the dominant fungal genera, and Paucibacter, Achromobacter, and Lactobacillus were the dominant bacterial genera. In NF, Wickerhamomyces, Achromobacter, Bifidobacterium and Lactobacillus were positively correlated with flavor substances such as ethylene glycol acetate formate, 2-pentanol, acetate, phenylethyl alcohol and 1-butanol, 3-methyl-. In CF, Saccharomyces, Achromobacter and Lactobacillus were positively correlated with a variety of esters and alcohols such as decanoic acid, ethyl ester, dodecanoic acid, ethyl ester and phenylethyl alcohol. Overall, this study can provide a valuable resource for further developments and improve the aromatic quality of passion fruit wine.
1. Introduction
Passiflora edulia Sims is a grassy or woody perennial vine in the genus Passiflora Linn [1]. It is indigenous to Mexico, the southwestern United States (Arizona and southern Texas), the Caribbean and Central America [2], and it is widely planted in Fujian, Guangdong, Yunnan, Guangxi and other places in China, of which Guangxi is the largest passion fruit planting base [3,4]. Passion fruit is considered an important source of antioxidants and bioactive compounds, such as phenolic compounds [5], vitamins [5], carotenoids [5], cellulose [5], anthocyanins [5], active amines [6] and pectin [7], which have high food value and high anti-inflammatory [8], cardiovascular protection [9] and blood pressure treatment [10] effects. Passion fruit is widely planted in China and contains more than 60 kinds of aroma components, such as esters, and is often processed into juice products [11].
Passion fruit wine is an alcoholic beverage that uses passion fruit as a raw material and is made by crushing, juicing and fermentation. Passion fruit wine is luscious and mellow in the mouth and has a powerful aroma. At present, there is insufficient research on microbial diversity in the fermentation of niche fruit wines such as passion fruit wine, thus research is mainly borrowed from the relevant technology of brewing grapes [12]. The microorganisms of the raw material itself are the main source of starter cultures. Saccharomyces cerevisiae can highlight the flavor of grapes during the winemaking process and strengthen the wine product in terms of its uniqueness and flavor diversity. Producing fruit wines, such as passion fruit wine, using cocultures of yeasts from different species is an effective way to enhance their characteristic flavor [13,14,15]. Bageri et al. [16] experimented with single-strain and mixed-strain fermentation using indigenous yeast at the Priorat wineries; the wine is characterized by a high alcohol content, and the flavor is full-bodied. Non-Saccharomyces yeasts of the coculture method, such as those in Torulaspora delbrueckii-fermented fruit wine, produce less volatile acid and show high resistance to SO2. The isoamyl alcohol, phenyl ethanol, ethyl ester and terpenes in its metabolites can give fruit wine a unique flavor [17]. Gu et al. analyzed the correlation between physicochemical indices, flavor and microbial diversity in the fermentation process of Honggu rice wine, and found that the bacterial genus level was positively correlated with total acids and negatively correlated with reducing sugars, and the fungal genus level was positively correlated with amino nitrogen [18]. However, passion fruit has a high acidity and great impact on the microbial community and metabolism [19]. At present, few studies have been reported on the microbial diversity of passion fruit wine during CF (controlled fermentation; commercial strains are added during fermentation) and NF (natural fermentation; no commercial strains are added during the fermentation), and there is still a lack of comprehensive understanding of the complexity, diversity and dynamic changes in the microbial community structure during the fermentation of passion fruit wine. Therefore, understanding the microbial community’s diversity during fermentation will help to ensure the quality of the final products, improve fermentation processes, and shorten the fermentation time.
Santos et al. evaluated the quality of fermented alcoholic beverages from passion fruit produced using passion fruit species obtained from the Brazilian Caatinga biome (Passiflora cincinnata Mast.), and showed the feasibility of using Caatinga passion fruit to produce fermented alcoholic beverages, which could be introduced into the market as a new product [20]. Passion fruit has high nutritional value and unique flavor, is suitable for brewing, and can be used as a new raw material for fruit wine. At present, this new raw material has not been deeply developed. In this study, high-throughput sequencing technology was used to analyze the microbial diversity and the influence of microorganisms on the physicochemical index, nonvolatile metabolites and flavor substances of passion fruit wine during CF and NF, and to explain the correlation of the dominant microbial species with the major flavor components. The aim is to reveal the contribution of CF and NF to the characteristic flavor of passion fruit wine, and provide a reference for screening functional fermentation strains and optimizing fermentation conditions.
2. Materials and Methods
2.1. Materials
Purple passion fruits were purchased in Pingzhai Township, Wenshan Prefecture, Yunnan Province. They were cleaned and selected for uniform sizes and maturities, no mechanical damage, and no diseases or insect pests.
The commercial yeast for making fruit wine via CF was Saccharomyces cerevisiae (Angel RW type, Angel Yest Co., Ltd., Yichang, China).
2.2. Determination of Physicochemical Indices during the Fermentation of Passion Fruit Wine
2.2.1. Fermentation Process of Passion Fruit Wine
The purple passion fruit was washed, and 0.1% pectinase (3 × 104 u/g, Shandong Longda Bio-Products Co., Ltd., Linyi, China) and 0.1% cellulase (10 u/mg, Shanghai Acmec Biochemical Co., Ltd., Shanghai, China) were added for 3.5 h after breaking. Next, an appropriate amount of sucrose (Shijiazhuang Zhongxing Sugar Co., Ltd., Shijiazhuang, China) was added after filtration and the sample was divided into fermentation tanks (1.8 L, Zibo Zhanxin Trading Co., Ltd., Zibo, China). The NF group underwent fermentation after the addition of sucrose, while the CF group underwent fermentation after the addition of both sucrose and activated commercial yeasts (Saccharomyces cerevisiae). The inoculation rate for CF was 0.04%. The initial Brix was controlled at 20.5%, and the fermentation temperature was controlled at 28 °C. Triplicate independent brewing was conducted for each treatment.
At 0–6 days, samples were taken once a day. At 6–20 days, samples were taken once every 2 days. The process flow of passion fruit wine is shown in Figure 1.
Figure 1.
Fermentation process flow chart of passion fruit wine.
2.2.2. Determination of Physicochemical Indices
Soluble solids were determined using a handheld Brix Meter (LB90T, Guangzhou Suwei Electronic Technology Co., Ltd., Guangzhou, China).
Total sugars were assessed via an established method [21]—the phenol sulfuric acid method, with slight modifications. A 0.2 mL sample was diluted to 100 mL with water, and 0.4 mL of the diluent was accurately absorbed and supplemented to 2.0 mL with water. Then, 1.0 mL of 5% phenol solution (5 g phenol was diluted to 100 mL with water) and 5.0 mL of concentrated sulfuric acid were added, mixed, placed at room temperature for 30 min, and the absorbance value was measured at 490 nm.
Alcohol content and total acids were determined according to Chinese standard GB15038-2006 (Supplementary Material A).
pH was measured using a pH meter (PHS-3C, Wuxi Leici Instrument Co., Ltd., Wuxi, China).
Total phenols were determined by the Folin–Ciocalteu method. A 1 mL sample was diluted to 10 mL; 1 mL of the diluted solution was taken into the test tube, and 0.5 mL of Folin–Ciocalteu reagent, 2 mL of 7.5% sodium carbonate solution and 6.5 mL of water were added, shaken for 1 min, and reacted in a 70 °C water bath for 30 min. The absorbance was measured at 750 nm.
Anthocyanins were determined via an established method with slight modifications [22]. A 1 mL sample was put into test tube, 9 mL 0.025 mol/L potassium chloride buffer (pH = 1) and 9 mL 0.4 mol/L sodium acetate buffer (pH = 4.5) were added, respectively, and then the product was placed in the dark for 30 min. The absorbance values at 510 nm and 700 nm were measured.
2.3. Determination of Microbial Diversity during the Fermentation of Passion Fruit Wine
2.3.1. Sample Collection
The initial, middle and late stages of CF and NF were sampled, respectively. Then, they were frozen in liquid nitrogen and stored at −80 °C to facilitate the determination of microbial diversity, nonvolatile metabolites and volatile flavor substances. Three parallels were set for sampling.
Initial stage: The soluble solids began to decrease, and a small amount of bubbles were generated when the fermentation started. The Brix was 20% during sampling. The initial stage of controlled fermentation has been represented as ICF, and the initial stage of natural fermentation as INF.
Middle stage: The fermentation was exuberant, the soluble solids decreased rapidly, and a large number of bubbles were generated in the fermentation tank. The Brix was 13% during sampling. The middle stage of controlled fermentation has been represented as MCF, and the middle stage of natural fermentation as MNF.
Late stage: The soluble solids no longer decreased, and no obvious bubbles were generated in the fermentation tank when the fermentation finished. The Brix was 6.2% during sampling. The late stage of controlled fermentation has been represented as LCF, and the late stage of natural fermentation as LNF.
2.3.2. Determination of Microbial Diversity
The total microbial DNA of passion fruit wine was extracted by the TGuide S96DNA Extraction Kit, and nucleic acids were detected using a microplate reader. The extracted DNA was used as a template, and the primers ITS1F (5′-CTTGGTCATTTAGAGGAAGTAA-3′) and ITS4 (5′-TCCTCCGCTTATTGATATGC-3′) were used to amplify the ITS region of fungi. In addition, the 16S region of the bacteria was amplified using the primers 27F (5′-AGRGTTTGATYNTGGCTCAG-3′) and 1492R (5′-TASGGHTACCTTGTTASGACTT-3′). The ITS PCR amplification procedure was as follows: initial denaturation at 95 °C for 5 min; 8 cycles of denaturation at 95 °C for 30 s, annealing at 55 °C for 30 s, and elongation at 72 °C for 45 s; 24 cycles of denaturation at 95 °C for 30 s, annealing at 60 °C for 30 s, and elongation at 72 °C for 45 s; and finally 72 °C for 5 min. The samples were stored at 4 °C. The 16S PCR amplification procedure was as follows: initial denaturation at 95 °C for 2 min, followed by 25 cycles of denaturation at 98 °C for 30 s, annealing at 55 °C for 30 s, elongation at 72 °C for 90 s, and finally 72 °C for 2 min, followed by storage at 4 °C. The PCR products were detected by 1.8% agarose gel electrophoresis, and eligible samples were mixed. Sequencing libraries were generated using the SMRTbell Template Prep Kit (PacBio), and the constructed library was quantified and tested by Qubit. Finally, the library was sequenced on a Sequel II Sequencer.
2.4. Determination of Nonvolatile Metabolites during the Fermentation of Passion Fruit Wine
Extraction methods: A 100 μL sample was placed into a 2 mL Eppendorf tube, followed by the addition of 400 μL of methanol extraction liquid and adonitol (0.5 mg/mL stock) as an internal standard to the sample. The tubes were vortexed for 30 s and ultrasonicated for 15 min (in ice water baths, repeated three times). After centrifugation for 15 min at 4 °C and 12,000 rpm (RCF = 13,800× g, R = 8.6 cm), 50 μL of supernatant was transferred to a fresh tube, and 50 μL of each sample was mixed into QC (quality control) samples. The sample was dried in a vacuum concentrator for 2 h at 20 °C (LNG-T98, Taicang Huamei Biochemical Instrument Factory, Taicang, Jiangsu, China) and then extracted, followed by the addition of 60 μL of methoxyamination hydrochloride (20 mg/mL in pyridine). The mixture was then incubated at 80 °C for 30 min, and derivatized by adding 80 μL of BSTFA (N,O-bis(trimethylsilyl)trifluoroacetamide) reagent (1% TMCS (chlorotrimethylsilane), v/v) at 70 °C for 1.5 h. When the sample was cooled to room temperature, 5 μL of FAMEs (fatty acid methyl esters; in chloroform) was added.
GC-TOF-MS conditions: GC-TOF-MS analysis was conducted using an Agilent 7890 gas chromatograph and a Pegasus HT time-of-flight mass spectrometer. The system used a DB-5MS capillary column (30 m × 250 μm inner diameter, 0.25 μm film thickness; J&W Scientific, Folsom, CA, USA) coated with 5% diphenyl cross-linked 95% dimethylpolysiloxane. The injection volume was 1 μL, the carrier gas was helium, the front inlet mode was the splitless mode, the front inlet purge flow was 3 mL/min, and 1 mL/min was the gas flow rate through the column. The temperature was initially kept at 50 °C for 1 min, followed by an increase to 310 °C at 10 °C/min, and then held at 310 °C for 8 min. The injection, transfer line and ion source temperatures were 280 °C, 280 °C, and 250 °C, respectively. The electron impact mode utilized an energy of −70 eV. Full-scan mode mass spectrometry data were obtained with a range of m/z 50–500 amu and a scan rate of 12.5 spectra per second. A solvent delay of 6.25 min was also incorporated. Qualitative analysis was performed using the LECO-Fiehn Rtx5 database and quantified by the internal standard normalization method.
2.5. Determination of Volatile Flavor Substances during the Fermentation of Passion Fruit Wine
Sample preparation and treatment: In total, 0.2 mL of the sample was transferred immediately to a 20 mL head-space vial (Agilent, Palo Alto, CA, USA) with 0.2 g NaCl and 10 μL internal standard. A 120 µm DVB/CWR/PDMS fiber (Agilent) was headed into the SPME device and exposed to the headspace of the sample at 60 °C for 15 min after each vial was placed at 60 °C for 5 min. The mixture was desorbed for 5 min at 250 °C.
GC-MS conditions: Volatiles analysis was carried out using an Agilent 8890 gas chromatograph and an Agilent 7000D mass spectrometer. The system used a DB-5MS capillary column (5% phenyl-polymethylsiloxane). The GC operation conditions were as follows: an inlet temperature of 250 °C, helium carrier gas flow of 1.2 mL/min, and detector of 280 °C. The oven temperature program was as follows: 40 °C (3.5 min), 10 °C/min to 100 °C, 7 °C/min to 180 °C, and finally 25 °C/min to 280 °C (5 min). The ion energy for the electron impact (EI) was kept at 70 eV. The quadrupole mass detector, ion source and transfer line temperatures were adjusted to 150, 230 and 280 °C, respectively. Mass spectra were scanned every 1 s in the m/z 50–500 amu range. Based on the data system library (NIST) and linear retention index, volatile compounds were analyzed by comparing the mass spectra.
2.6. Data Analysis
Significance analysis was performed using SPSS Statistics software, and significant differences are marked as p < 0.05. All experiments were completed in triplicates and data are expressed as the mean ± SD. Based on the UNITE database and Silva.138, the raw data generated by the PacBio Sequel platform were analyzed for biological information using QIIME software, and correlations and OPLS-DA were analyzed using R software and the “ros” package.
3. Results and Discussion
3.1. Changes in Physicochemical Indices during the Fermentation of Passion Fruit Wine
As shown in Table 1, the activity of yeast and other microorganisms in the fermentation liquid decreased, the ability to use sugars peaked (CF was 10 d, NF was 12 d), and the ability to produce alcohols decreased. In the CF group, soluble solids and total sugars changed greatly, the alcohol content was higher, and the fermentation period was shorter than those in the NF group. At the same time, at the beginning of fermentation, passion fruit has a high acid content (9.54 g/L), which creates a suitable fermentation environment for the growth of yeast and inhibits the growth of miscellaneous bacteria [23]. There were significant differences in pH and total acids between different experimental groups. Furthermore, the total acids of the CF group were higher than those of the NF group. It may be that the nutritional factors secreted by the commercial strain (Saccharomyces cerevisiae) inoculated in the CF group promoted the growth and reproduction of the acid-producing strains. Moreover, the increases in total acids in both CF and NF were due to the acid produced by acid-producing strains during fermentation. The anthocyanins and total phenols in the CF group were higher than, and significantly different from, those in the NF group, and higher levels of phenolic substances can increase the color stability and fullness of passion fruit wine. At the end of fermentation, the total sugars, alcohol content and total acids of the different experimental groups all met the requirements of the Chinese standard (NY/T1508-2017) (Supplementary Material B).
Table 1.
Physicochemical indices of passion fruit wine in fermentation. Different letters represent significant differences of CF and NF in the same period (p < 0.05); data are expressed as the mean ± SD (n = 3).
3.2. Analysis of Microbial Diversity during the Fermentation of Passion Fruit Wine
3.2.1. Fungal Population Structure
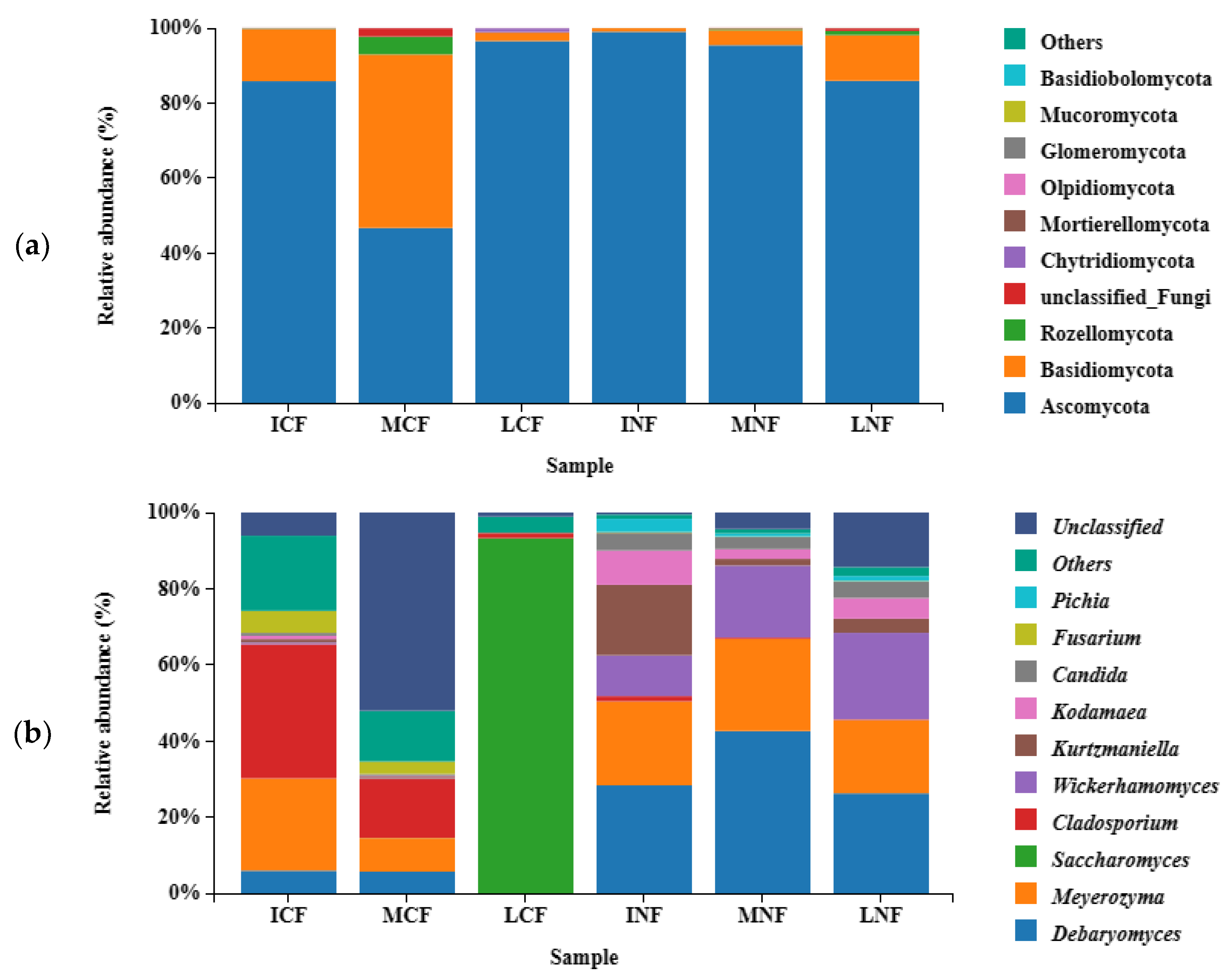
At the phylum level, 8 phyla in the NF and 11 phyla in the CF were identified (Figure 2a). Ascomycota and Basidiomycota were the main phyla, and Ascomycota was the most dominant phylum in the fermentation process of passion fruit wine. Some studies have shown that Ascomycota is not only the dominant fungus in the fermentation process of fruit wine, but also the main fungal community in a variety of fermented foods, such as rice wine and vinegar [24]. In summary, Ascomycota and Basidiomycota are the main fungal communities in a variety of fermented foods [25]. The abundance of Ascomycota in the ICF and MCF treatments was lower than that in the INF and MNF treatments, respectively, and the abundance of Basidiomycota in the ICF and MCF treatments was higher than that in the INF and MNF treatments, respectively. Thus, different fermentation methods significantly affected the structure of fungal communities. In addition, it has been confirmed that inoculating yeast could shorten fermentation time and impart a complex flavor to fruit wine. Liu et al. [26] reported that in the fermentation of green plum wine, there is a good interaction between Saccharomyces cerevisiae and Torulaspora delbrueckii, which enhances the floral and fruity flavor of the wine.
Figure 2.
Species distribution histogram in phylum and genus of fungal structure. Unclassified represents species that are not taxonomically annotated. (a) Phylum level; (b) genus level.
At the genus level, the NF samples were classified into 135 fungal genera, and 389 fungal genera were detected in the CF samples, including Debaryomyces, Meyerozyma, Saccharomyces, Cladosporium, Wickerhamomyces, Kurtzmaniella, Kodamaea, Candida, Fusarium, and Pichia (Figure 2b). In NF, the dominant fungi were mainly Debaryomyces, Meyerozyma and Wickerhamomyces. This is consistent with the result that Wickerhamomyces is the dominant fungal genus in Beijing light-flavor Daqu [27]. The abundance of Debaryomyces first increased and then decreased, and studies have shown that Debaryomyces are capable of producing a variety of volatile flavor compounds associated with butter, caramel, cheese and fruit, and show high biotransformation activity [28], which can promote the production of volatile compounds during passion fruit wine fermentation and enhance the aroma characteristics of products. The abundance of Meyerozyma showed a trend of increasing and decreasing, which could increase the formation of pyranosides or anthocyanins to enhance the color stability of dry red wine and produce high concentrations of aromatic substances such as ethyl acetate [29,30,31]. The abundance of Wickerhamomyces gradually increased; it can secrete a variety of glycosidases such as β-D-glucosidase, β-D-xylosidase, α-L-rhamnosidase, etc., which can promote the formation of aroma and flavor substances and has the ability to produce ethyl acetate and 2-phenylethanol, so it can improve the sensory quality of wine [32,33,34]. In CF, the dominant fungi were mainly Meyerozyma, Cladosporium and Saccharomyces, and the abundance of Debaryomyces, Meyerozyma and Cladosporium gradually decreased from 5.93%, 24.23% and 35.23% in the ICF, respectively, which may be because the commercial strains (Saccharomyces cerevisiae) caused the demise of non-Saccharomyces yeasts such as Debaryomyces and Meyerozyma. This is consistent with the result that the decline and fall of Wickerhamomyces anomalus in the early stages of mixed fermentation may not be due to nutrient deficiencies and toxic metabolites produced by Saccharomyces cerevisiae, but due to the presence of a high concentration of Saccharomyces cerevisiae in the system [35]. On the one hand, the microbial diversity increased in the MCF because the proteases secreted by Saccharomyces cerevisiae can effectively decompose proteins, generate growth factors such as amino acids, and promote the growth of other microorganisms. Sieuwerts et al. [36] found that Saccharomyces cerevisiae can secrete various nutritional factors, such as amino acids and vitamins, which promote the growth of Lactobacillus in the process of beer brewing. On the other hand, the presence of non-Saccharomyces yeasts inhibits the growth and reproduction of commercial strains that are added by people, so that commercial strains (Saccharomyces) are not the dominant fungi in the ICF and MCF. Before LCF, due to the consumption of substrates and the increase in alcohol concentration, non-Saccharomyces yeasts such as Debaryomyces and Cladosporium have a low tolerance to alcohol, while Saccharomyces cerevisiae has good adaptability to high-concentration alcohol environments, resulting in commercial strains becoming the main dominant fungi at this stage. The results can be seen in the fermentation of grapes; as the alcohol content continues to increase, the non-Saccharomyces yeasts, which have a predominance in the early fermentation period, are gradually replaced by Saccharomyces [37,38]. Saccharomyces cerevisiae can convert sugars into alcohols in fermentation, which has an important impact on the yield, aroma and style of liquor [39]. The structures of fungal communities produced with different fermentation methods were very complex, and the flavor substances produced during the fermentation of passion fruit wine were closely related to the growth and metabolism of microorganisms. In addition, microorganisms can break down proteins into small peptides and form important aroma components, such as aldehydes, alcohols, esters, ketones, etc., which in turn form the fruity characteristics of fruit wine [40].
3.2.2. Bacterial Population Structure
At the phylum level, 15 phyla were identified in both NF and CF, mainly Proteobacteria and Firmicutes, which were also the main dominant phyla of NF and CF (Figure 3a). Luo et al. [41] found that the dominant bacterial phyla of the light-flavor Baijiu distiller grains were Proteobacteria and Firmicutes, which is consistent with the results of this study. In both CF and NF, the abundance of Proteobacteria gradually decreased, while the change in Firmicutes was the opposite.

Figure 3.
Species distribution histogram in phylum and genus of bacterial structure. (a) Phylum level; (b) genus level.
At the genus level, the NF samples were classified into 130 fungal genera, and the CF samples were classified into 128 fungal genera. These bacteria included Paucibacter, Pantoea, Achromobacter, Escherichia_Shigella, Lactobacillus, Bifidobacterium, Akkermansia, Streptococcus, Clostridium_sensu_stricto_1 and Bacillus (Figure 3b). In NF, the dominant bacteria were mainly Paucibacter, Pantoea, Escherichia_Shigella, Achromobacter, Lactobacillus and Bifidobacterium. The abundance of Paucibacter and Pantoea decreased gradually, and the changes in the abundance of other dominant bacteria were the opposite. According to reports, Paucibacter and Pantoea were also found in fresh water [42] and wine [43], and their abundance decreased gradually, which may be related to the high alcohol environment at the end of fermentation. The abundance of Lactobacillus and Bifidobacterium increased gradually due to their own anaerobic and acid-tolerant characteristics [44,45], and then growth and reproduction occurred in the late stage of fermentation, and they became the dominant bacteria. In CF, the dominant bacteria were mainly Paucibacter, Achromobacter and Lactobacillus, the abundance of Paucibacter was modestly increased and then decreased sharply, and the abundance of Achromobacter and Lactobacillus was modestly decreased and then increased sharply. Lactobacillus can tolerate organic acids [46], which inhibit the aerobic metabolism rate of yeast, which is conducive to the growth of beneficial bacteria in fermentation and beneficial to the increase in flavor substances [47,48]. The CF had fewer dominant genera than the NF, which was speculated to be due to the inhibition of commercial strains (Saccharomyces cerevisiae).
3.3. Analysis of Nonvolatile Metabolites and KEGG (Kyoto Encyclopedia of Genes and Genomes) Enrichment during the Fermentation of Passion Fruit Wine
3.3.1. Analysis of Different Types of Nonvolatile Metabolites during Fermentation
A total of 256 nonvolatile metabolites were detected in 18 samples from the CF and NF groups, including 59 sugars and derivatives, 50 organic acids, 26 amino acids, 21 fatty acids, 19 alcohols, 7 ketones, 10 phenols, 7 esters, 11 amines, 10 nucleotides and derivatives, and 36 others. Among them, the contents of sugars and derivatives and organic acids were the highest. The sugars and derivatives of CF and NF showed a decreasing trend. The organic acids in the CF first increased and then decreased, while those in the NF changed in an opposite manner to those in the CF. At the late stage of fermentation, the content of organic acids in the NF was slightly higher than that in the CF (Figure 4).
Figure 4.
Heatmap of different types of nonvolatile metabolites during fermentation.
3.3.2. Screening of Key Nonvolatile Metabolites and Analysis of Metabolic Pathways during Fermentation
To identify key differential metabolites during the fermentation of CF and NF, the established method of Wang et al. [49] was used to screen the key differential metabolites during fermentation. Metabolites in CF and NF were analyzed by OPLS-DA, and key differential metabolites were screened according to VIP > 1 and p < 0.05. Three key differential metabolites were identified in CF (Figure 5a), including one sugar and derivative (digitoxose), one ester (D-erythronolactone), and one other compound (noradrenaline). In total, 15 key differential metabolites were identified in NF (Figure 5b), including 5 sugars and derivatives (allose, xylitol, 3,6-anhydro-D-galactose, alpha-D-glucosamine 1-phosphate, gluconic lactone), 4 organic acids (glutaric acid, aconitic acid, citric acid, dl-p-hydroxyphenyllactic acid), 3 amino acids (N-carbamylglutamate, O-phosphoserine, citrulline), 1 alcohol (2-amino-1-phenylethanol), and 2 others (hydroxyurea, trans-3,5-dimethoxy-4-hydroxycinnamaldehyde).
Figure 5.
Venn diagram of nonvolatile differential metabolites during fermentation. (a) CF group; (b) NF group.
The above 18 differential metabolites were annotated to 19 metabolic pathways with significant differences, among which the citrate cycle (TCA cycle) and glyoxylate and dicarboxylate metabolism were the main metabolic pathways, and the citrate cycle (TCA cycle) metabolic pathway was enriched significantly (Figure 6).
Figure 6.
KEGG enrichment dot plot of differential metabolites. The size of the point represents the number of differential metabolites enriched; the more red the color of the point, the more significant the enrichment of metabolic pathways.
3.4. Analysis of Volatile Flavor Substances during the Fermentation of Passion Fruit Wine
3.4.1. Volatile Flavor Substances during Fermentation
A total of 128 volatile flavor substances were identified, including 24 esters, 11 alcohols, 13 ketones, 10 acids, 11 alkanes and alkenes, 9 benzene rings, 3 aldehydes, 10 amines, 13 kinds of furan, pyrazine and pyridine compounds, and 24 others (Table 2). The contents and variety of esters, alcohols, ketones and acids were richer, which contributes to the unique flavor of passion fruit wine.
Table 2.
The content of volatile flavor substances during the fermentation of passion fruit wine. Different letters represent significant differences in CF and NF in the same stage (p < 0.05). nd represents that the relative content is less than 0.01%.
Esters are the main contributors to aroma quality during fermentation and are able to impart the fruity characteristics of passion fruit wine. The esters in CF and NF showed a trend of first increasing and then decreasing. At the late stage of fermentation, the content of esters in CF (13.85%) was higher than that in NF (11.95%). The contents of decanoic acid, ethyl ester, octanoic acid, ethyl ester, dodecanoic acid, ethyl ester, ethyl 6-methylpyridine-2-carboxylate, and methyl 5(3)-methyl-4-hydroxy-3(5)-pyrazolecarboxylate were relatively high among the 24 esters, and these mainly contribute special floral and fruity aromas. Among them, the content of methyl 5(3)-methyl-4-hydroxy-3(5)-pyrazolecarboxylate was the highest, and this may be the main special aromatic substance of passion fruit and passion fruit wine. Alcohols are mainly synthesized by amino acid metabolism, glycolysis and other pathways [50]. The content of alcohols in both CF and NF showed a trend of gradually increasing, and the contents of phenylethyl alcohol, cyclohexanol, 3-(acetyloxymethyl)-2,2,4-trimethyl-, 1-butanol, 3-methyl-, and benzyl alcohol were relatively higher among the 11 alcohols. Among them, phenylethyl alcohol presents a special rose fragrance, 1-butanol and 3-methyl- present an apple and brandy fragrance, and benzyl alcohol has a flavor similar to special bitter almonds. These substances contribute to the pleasant, soft and harmonious aroma of fruit wine. Some research shows that a small amount of aldehydes and ketones can provide special aromatic characteristics to wine [51]. The relative contents of ketones gradually decreased in CF and NF. The most prevalent ketones were 3-hexanone-2,2,4,4-d4,2-pyrrolidinone,1-methyl- and 4(3H)-pyrrolidinone,3-methyl-, among which 3-hexanone-2,2,4,4-d4 gives flavor to fruit wine, such as the grape flavor. The relative contents of 4(3H)-pyrrolidinone,3-methyl- were highest in both CF and NF, reaching 11.56% and 11.11%, respectively. Benzaldehyde has the aromas of rose, honey and lilac. The acids present are mainly volatile acids, which have an important impact on the overall aroma of wine [52]. 4-tert-Butyl-2-nitrophenol acetate is the main characteristic acid in passion fruit wine, and its content gradually decreased, which shows that the late stage of fermentation is a key period for the formation of some esters (acids + alcohols) and provides a rich basis for the formation of flavor substances in passion fruit wine.
The contents of alkane and alkene compounds showed a trend of gradually increasing during CF and NF. Benzene ring compounds showed a trend of decreasing and then increasing in CF and NF; among them, the relative contents of 3-acetyl-2,5,6-trimethylhydroquinone, 1,4-di(methyl-d3)benzene-d4, and phenol were relatively higher, and the content of 2,4-di-tert-butylphenol was highest in passion fruit wine at different stages of fermentation, showing a trend of increasing after decreasing. At the same time, it is also a common volatile phenolic substance in fruit wines, such as grape wine [53]. Studies have shown that excessive volatile phenols will weaken the fruity aroma of wine, but they will increase the complexity of the aroma at low concentrations, such as in grape wine [54,55]. The amines in CF and NF showed a trend of decreasing gradually, and the contents of (methylsulfamoyl)amine, 4H-1,2,4-triazol-3-amine, and 4-methyl- decreased gradually with fermentation. Pyridines are substances with weak alkaline and special smells, and the contents of 2(1H)-pyridinone,3-hydroxy- and furan,2-methyl-5-(methylthio)- were higher in ICF, reaching 0.75% and 4.76%, respectively. Hydroxypyridines are similar to phenolic compounds in structure and properties (aromaticity), and tyrosinases can catalyze the oxidation of 2,3-dihydroxypyridine. The esters, alcohols, ketones, aldehydes, acids and other flavor substances are combined with eachother, giving passion fruit wine a full, mellow and harmonious flavor character.
3.4.2. Screening of Key Volatile Flavor Compounds during Fermentation
As shown in Figure 7, 43 key volatile flavors were identified in the CF group, and 47 key volatile flavors were identified in the NF group.
Figure 7.
Venn diagram of differential volatile flavor substances during fermentation. (a) CF group; (b) NF group.
3.5. Correlation between the Microbial Community and Flavor Substances during Fermentation
3.5.1. Correlation between Physicochemical Indices and Microbial Community
In NF, the tendency of variation in Debaryomyces and Meyerozyma was positively correlated with the tendency in total phenols. The variational tendency of Wickerhamomyces was positively correlated with the variational tendency of alcohol content and total acids and negatively correlated with soluble solids and total sugars. The variation tendency of Paucibacter and Pantoea in bacteria was negatively correlated with the variation tendency of alcohol content and total acids, and positively correlated with soluble solids and total sugars. In CF, the variation tendencies of Cladosporium and Meyerozyma were negatively correlated with the variation tendency of alcohol content, and positively correlated with soluble solids and total sugars. Saccharomyces was positively correlated with alcohol content and total acids, and negatively correlated with soluble solids and total sugars. The variation tendency of Paucibacter was positively correlated with the variation tendency of total phenols.
3.5.2. Correlation between the Microbial Community and Nonvolatile Differential Metabolites
In the CF (Figure 8a), there was a significant positive correlation between Paucibacter and the three metabolites (p < 0.05). In NF (Figure 8b), Debaryomyces and Meyerozyma were positively correlated with hydroxyurea, trans-3,5-dimethoxy-4-hydroxycinnamaldehyde and allose, and negatively correlated with the other 12 nonvolatile differential metabolites; furthermore, there was a significant negative correlation between Pantoea and gluconic lactone, 3,6-anhydro-D-galactose, N-carbamylglutamate, dl-p-hydroxyphenyllactic acid, etc. The fungal genera in the NF group had a greater influence on differential nonvolatile metabolites.

Figure 8.
Heatmap of the correlation between the microbial community and the nonvolatile differential. The microorganisms selected in the CF and NF were fungal genera and bacterial genera, with relative abundances > 5%; “*” p < 0.05, “**” p < 0.01, “***” p < 0.001. (a) CF group; (b) NF group.
3.5.3. Correlation between the Microbial Community and Volatile Flavor Substances
In CF (Figure 9a), Saccharomyces of the dominant fungal genera, and Achromobacter and Lactobacillus of the dominant bacterial genera were significantly and negatively correlated with 2-(4-Methoxyphenyl)ethyl acetate (A9), Hexanoic acid,3-hydroxy-,ethyl ester (A14), 1-Pentanol,4-methyl- (A31), 2-Buten-1-one, 1-(2,6,6-trimethyl-1,3-cyclohexadien-1-yl)- (A42), 4(3H)-Pyrimidinone, 3-methyl- (A47) et al., and significantly and positively correlated with Decanoic acid, ethyl ester (A1), Dodecanoic acid, ethyl ester (A6), Butylphosphonic acid, di(2-phenylethyl) ester (A11), Ethylene glycol acetate formate (A15), 2-Pentanol, acetate (A17), Hexanoic acid, ethyl ester (A19), Phenylethyl Alcohol (A26), 1-Butanol,3-methyl- (A30), p-Tolylacetic acid (A54), Acetic acid,(aminooxy)- (A55), Tricarbomethoxyethylene (A59), Ethane, 1,1-diethoxy- (A63) et al. Cladosporium, Meyerozyma and Paucibacter showed the opposite results. There was a significant correlation between Saccharomyces, Achromobacter, Lactobacillus and a variety of esters and alcohols, indicating that Saccharomyces played an important role in the production of volatile flavor substances in CF. Studies have shown that Lactobacillus and Saccharomyces are important contributors of flavor substances in the fermentation process of Chinese liquor [56].
Figure 9.
Heatmap of the correlation between the microbial community and differential volatile flavor substances. “*” p < 0.05, “**” p < 0.01, “***” p < 0.001. (a) CF group; (b) NF group.
In NF (Figure 9b), Wickerhamomyces, Achromobacter, Bifidobacterium and Lactobacillus show a significant positive correlation with Ethylene glycol acetate formate (A15), 2-Pentanol, acetate (A17), Phenylethyl Alcohol (A26), 1-Butanol, 3-methyl-(A30) and Acetic acid,(aminooxy)-(A55), and show a significant negative correlation with Terpinyl formate (A3), 2-(4-Methoxyphenyl)ethyl acetate (A9), Hexanoic acid,3-hydroxy-,ethyl ester (A14), Cyclohexanol, 3-(acetyloxymethyl)-2,2,4-trimethyl-(A29), 1-Pentanol,4-methyl-(A31), 2-Buten-1-one,1-(2,6,6-trimethyl-1,3-cyclohexadien-1-yl)-(A42), 4(3H)-Pyrimidinone,3-methyl-(A47) and 3-Propoxy-benzoic acid (A52). It can be seen that Wickerhamomyces, Achromobacter, Bifidobacterium and Lactobacillus are significantly related to a variety of esters, and have a great influence on the flavor substances in the NF. Studies have shown that Wickerhamomyces has a promoting effect on ester synthesis and contributes to the formation of flavor substances [57].
4. Conclusions
In this study, high-throughput sequencing technology was used to analyze the microbial communities and their diversity in the fermentation process of passion fruit wine when using different fermentation methods. The results show that totals of eight fungal phyla, 135 fungal genera, 15 bacterial phyla and 130 bacterial genera were identified in NF, while totals of 11 fungal phyla, 389 fungal genera, 15 bacterial phyla and 128 bacterial genera were identified in CF. The dominant fungal genera were Debaryomyces, Meyerozyma and Wickerhamomyces; furthermore, the dominant bacterial genera were Paucibacter, Pantoea, Escherichia_Shigella, Achromobacter, Lactobacillus and Bifidobacterium in NF. The dominant fungal genera were Meyerozyma, Cladosporium and Saccharomyces, and the dominant bacterial genera were Paucibacter, Achromobacter and Lactobacillus in CF. The colony structures of different fermentation methods are quite different, which reflects the complexity of microbial composition during the fermentation of passion fruit wine.
In NF, the correlations indicate that the variation tendency of Wickerhamomyces was positively correlated with the variation tendency of alcohol content and total acids, and negatively correlated with soluble solids and total sugars. The variation tendencies of Paucibacter and Pantoea were negatively correlated with the variation tendency of alcohol content and total acids, and positively correlated with soluble solids and total sugars. In CF, the variation tendency of Saccharomyces was positively correlated with the variation tendency of alcohol content and total acids, and negatively correlated with soluble solids and total sugars. The variation tendency of Paucibacter was positively correlated with the variation tendency of total phenols. In NF, Debaryomyces and Meyerozyma were negatively correlated with 12 nonvolatile differential metabolites; furthermore, there was a significant negative correlation between Pantoea and 3,6-anhydro-D-galactose. In CF, there was a significant positive correlation between Paucibacter and three nonvolatile differential metabolites. Wickerhamomyces, Achromobacter, Bifidobacterium and Lactobacillus were significantly related to a variety of esters in NF; moreover, Saccharomyces, Achromobacter and Lactobacillus were significantly associated with a variety of esters and alcohols in CF.
The quality and flavor of wine are greatly affected by microbial metabolites. This study has analyzed microbial community structure and its correlation with flavor during the fermentation of passion fruit wine, providing a theoretical reference for the quality improvement and development of passion fruit wine.
Supplementary Materials
The following supporting information can be downloaded at: https://www.mdpi.com/article/10.3390/fermentation9050439/s1, Supplementary Material A: Analytical methods of wine and fruit wine; Supplementary Material B: Green food—Fruit wine.
Author Contributions
Conceptualization and methodology, X.Y. and X.Z.; validation, L.H. and Q.L.; formal analysis and investigation, X.Y., L.H. and Q.L.; writing—review and editing, X.Y., supervision, Y.B. All authors have read and agreed to the published version of the manuscript.
Funding
This research was supported by the Key Research and Development Project of Yunnan Province, Key Technology Project of Fruit and Vegetable Industry Upgrading in Low Latitude Plateau (2019ZG00907).
Institutional Review Board Statement
Not applicable.
Informed Consent Statement
Not applicable.
Data Availability Statement
Datasets are contained within the article.
Acknowledgments
We are thankful for the technical support of Biomaker Technology Co., Ltd., (Beijing, China).
Conflicts of Interest
The authors declare no conflict of interest.
References
- Xinhui, S.; Jun, T.; Xiu, L.; Yiyuan, Y.; Liping, P.; Qiong, Z.; Yongxian, L. Development of Selenium-Rich Passion Fruit Industry in Guangxi. Agric. Biotechnol. 2019, 8, 38–41. [Google Scholar]
- Asadujjaman, M.; Mishuk, A.U.; Hossain, M.A.; Karmakar, U.K. Medicinal potential of Passiflora foetida L. plant extracts: Biological and pharmacological activities. J. Intefgr. Med. 2014, 12, 121–126. [Google Scholar] [CrossRef] [PubMed]
- Niwayama, S.; Higuchi, H. Passion fruit quality under acidic soil conditions. Hortic. J. 2019, 88, 50–56. [Google Scholar] [CrossRef]
- Wijaya, C.J.; Saputra, S.N.; Soetaredjo, F.E.; Putro, J.N.; Lin, C.X.; Kurniawan, A.; Ju, Y.-H.; Ismadji, S. Cellulose nanocrystals from passion fruit peels waste as antibiotic drug carrier. Carbohydr. Polym. 2017, 175, 370–376. [Google Scholar] [CrossRef] [PubMed]
- Dos Reis, L.C.R.; Facco, E.M.P.; Salvador, M.; Flôres, S.H.; de Oliveira Rios, A. Antioxidant potential and physicochemical characterization of yellow, purple and orange passion fruit. J. Food Sci. Technol. 2018, 55, 2679–2691. [Google Scholar] [CrossRef]
- Sanchez, B.; Celestino, S.; de Abreu Gloria, M.; Celestino, I.; Lozada, M.; Júnior, S.; de Alencar, E.; de Oliveira, L.D.L. Pasteurization of passion fruit Passiflora setacea pulp to optimize bioactive compounds retention. Food Chem. X 2020, 6, 100084. [Google Scholar] [CrossRef]
- Nguyen, T.T.T.; Le, T.Q.; Nguyen, T.T.A.; Nguyen, L.T.M.; Nguyen, D.T.C.; Van Tran, T. Characterizations and antibacterial activities of passion fruit peel pectin/chitosan composite films incorporated Piper betle L. leaf extract for preservation of purple eggplants. Heliyon 2022, 8, e10096. [Google Scholar] [CrossRef]
- Urrego, N.; Sepúlveda, P.; Aragón, M.; Ramos, F.A.; Costa, G.M.; Ospina, L.F.; Castellanos, L. Flavonoids and saponins from Passiflora edulis f. edulis leaves (purple passion fruit) and its potential anti-inflammatory activity. J. Pharm. Pharmacol. 2021, 73, 1530–1538. [Google Scholar] [CrossRef]
- Matsumoto, Y.; Katano, Y. Cardiovascular protective effects of polyphenols contained in passion fruit seeds namely piceatannol and scirpusin B: A review. Tokai J. Exp. Clin. Med. 2021, 46, 151–161. [Google Scholar] [PubMed]
- Cabral, B.; Goncalves, T.A.F.; Abreu, L.S.; Andrade, A.W.L.; de Castro, F.D.; Tavares, J.F.; Guerra, G.C.B.; de Rezende, A.A.; de Medeiros, I.A.; Zucolotto, S.M. Cardiovascular effects induced by fruit peels from Passiflora edulis in hypertensive rats and fingerprint analysis by HPLC-ESI-MSn spectrometry. Planta Med. 2022, 88, 356–366. [Google Scholar] [CrossRef]
- Li, W.; Li, C.; Zhang, F.; Huang, B. Research progress on the nutritional quality and functional substances of passionflower and its application. J. China Agric. Univ. 2022, 27, 79–92. [Google Scholar] [CrossRef]
- Chen, D.; Yap, Z.Y.; Liu, S.-Q. Evaluation of the performance of Torulaspora delbrueckii, Williopsis saturnus, and Kluyveromyces lactis in lychee wine fermentation. Int. J. Food Microbiol. 2015, 206, 45–50. [Google Scholar] [CrossRef] [PubMed]
- Sadoudi, M.; Tourdot-Maréchal, R.; Rousseaux, S.; Steyer, D.; Gallardo-Chacón, J.-J.; Ballester, J.; Vichi, S.; Guérin-Schneider, R.; Caixach, J.; Alexandre, H. Yeast–yeast interactions revealed by aromatic profile analysis of Sauvignon Blanc wine fermented by single or co-culture of non-Saccharomyces and Saccharomyces yeasts. Food Microbiol. 2012, 32, 243–253. [Google Scholar] [CrossRef]
- Tofalo, R.; Patrignani, F.; Lanciotti, R.; Perpetuini, G.; Schirone, M.; Di Gianvito, P.; Pizzoni, D.; Arfelli, G.; Suzzi, G. Aroma profile of Montepulciano d’Abruzzo wine fermented by single and co-culture starters of autochthonous Saccharomyces and non-Saccharomyces yeasts. Front. Microbiol. 2016, 7, 610. [Google Scholar] [CrossRef] [PubMed]
- Liu, J.; Liu, M.; Ye, P.; Lin, F.; Huang, J.; Wang, H.; Zhou, R.; Zhang, S.; Zhou, J.; Cai, L. Characterization of major properties and aroma profile of kiwi wine co-cultured by Saccharomyces yeast (S. cerevisiae, S. bayanus, S. uvarum) and T. delbrueckii. Eur. Food Res. Technol. 2020, 246, 807–820. [Google Scholar] [CrossRef]
- Bagheri, B.; Bauer, F.F.; Setati, M.E. The impact of Saccharomyces cerevisiae on a wine yeast consortium in natural and inoculated fermentations. Front. Microbiol. 2017, 8, 1988. [Google Scholar] [CrossRef] [PubMed]
- Benito, S. The impact of Torulaspora delbrueckii yeast in winemaking. Appl. Microbiol. Biotechnol. 2018, 102, 3081–3094. [Google Scholar] [CrossRef]
- Gu, X.; Li, S.; Yang, L.; Liu, Y.; Ma, Y.; Chen, Z.; Wang, Y.; Liu, X. Analysis of Microbial Diversity, Physicochemical Indexes and Correlation with Volatile Flavor during the Fermentation of Red Millet Huangjiu. Sci. Technol. Food Ind. 2022, 43, 133–143. [Google Scholar]
- Deng, X.; Huang, Z.; Yao, Y.; Jiang, K.; Deng, J.; Ren, Z. Effect of initial acidity on fermentation of Saccharomyces cerevisiae. China Brew. 2023, 42, 115–119. [Google Scholar]
- Santos, R.d.S.; Biasoto, A.; Rybka, A.; Castro, C.d.C.; Aidar, S.d.T.; Borges, G.; Silva, F. Physicochemical characterization, bioactive compounds, in vitro antioxidant activity, sensory profile and consumer acceptability of fermented alcoholic beverage obtained from caatinga passion fruit (Passiflora cincinnata Mast.). LWT 2021, 148, 111714. [Google Scholar] [CrossRef]
- Guo, C.; Gao, T.; Zhao, E. Determination of total sugar from wine by phenol-sulfuric acid coloration method. China Brew. 2008, 22, 84–85. [Google Scholar]
- Lee, S.G.; Vance, T.M.; Nam, T.-G.; Kim, D.-O.; Koo, S.I.; Chun, O.K. Evaluation of pH differential and HPLC methods expressed as cyanidin-3-glucoside equivalent for measuring the total anthocyanin contents of berries. J. Food Meas. Charact. 2016, 10, 562–568. [Google Scholar] [CrossRef]
- Zhu, X.; Zhang, F.; Yu, J.; Hu, J.; Wu, S.; Wang, D. Analysis of microbial community structure and metabolic characteristics of dominant microbes in rice milk for yellow wine. Food Sci. 2017, 38, 82–86. [Google Scholar]
- Jia, M.; Yang, X.; Zhou, G.; Guo, Q.; Zhu, L.; Zheng, Y. Microbial Community Diversity Analysis during Spontaneous Fermentation of Aromatic Lees Made from Huang Jiu (Yellow Rice Wine) Lees by High-Throughput Sequencing. Food Sci. 2022. Available online: http://kns.cnki.net/kcms/detail/11.2206.TS.20220819.0914.018.html (accessed on 16 November 2022).
- Mu, Y.; Jiang, L.; Su, W. Analysis of Microbial Diversity in Three Rice Wine Kojis by Illumina High-Throughput Sequencing. Food Sci. 2019, 40, 115–122. [Google Scholar]
- Liu, Y.; Huang, J.; Liu, J.; Wu, C.; Jin, Y.; Zhou, R. Effect of different inoculation on the quality of greengage wines and microbial diversity. Food Ferment. Ind. 2021, 47, 59–66. [Google Scholar]
- Zhang, S.; Liao, Y.; Ji, N.; Zhou, X. Analysis on microbial diversity of Beijing light-flavor Daqu by high-throughput sequencing. China Brew. 2016, 35, 49–53. [Google Scholar]
- Jeong, D.M.; Yoo, S.J.; Jeon, M.-S.; Chun, B.H.; Han, D.M.; Jeon, C.O.; Eyun, S.-I.; Seo, Y.-J.; Kang, H.A. Genomic features, aroma profiles, and probiotic potential of the Debaryomyces hansenii species complex strains isolated from Korean soybean fermented food. Food Microbiol. 2022, 105, 104011. [Google Scholar] [CrossRef]
- Yan, W.; Gao, H.; Qian, X.; Jiang, Y.; Zhou, J.; Dong, W.; Xin, F.; Zhang, W.; Jiang, M. Biotechnological applications of the non-conventional yeast Meyerozyma guilliermondii. Biotechnol. Adv. 2021, 46, 107674. [Google Scholar] [CrossRef]
- Benito, S.; Morata, A.; Palomero, F.; González, M.; Suárez-Lepe, J. Formation of vinylphenolic pyranoanthocyanins by Saccharomyces cerevisiae and Pichia guillermondii in red wines produced following different fermentation strategies. Food Chem. 2011, 124, 15–23. [Google Scholar] [CrossRef]
- Aplin, J.J.; Paup, V.D.; Ross, C.F.; Edwards, C.G. Chemical and sensory profiles of merlot wines produced by sequential inoculation of Metschnikowia pulcherrima or Meyerzyma guilliermondii. Fermentation 2021, 7, 126. [Google Scholar] [CrossRef]
- Padilla, B.; Gil, J.V.; Manzanares, P. Challenges of the non-conventional yeast Wickerhamomyces anomalus in winemaking. Fermentation 2018, 4, 68. [Google Scholar] [CrossRef]
- Sabel, A.; Martens, S.; Petri, A.; König, H.; Claus, H. Wickerhamomyces anomalus AS1: A new strain with potential to improve wine aroma. Ann. Microbiol. 2014, 64, 483–491. [Google Scholar] [CrossRef]
- Sun, N.; Gao, Z.; Li, S.; Chen, X.; Guo, J. Assessment of chemical constitution and aroma properties of kiwi wines obtained from pure and mixed fermentation with Wickerhamomyces anomalus and Saccharomyces cerevisiae. J. Sci. Food Agric. 2022, 102, 175–184. [Google Scholar] [CrossRef]
- Zhao, J.; Qiu, S.; Wang, X.; Yuan, M.; Zhou, H. Interaction Mechanism of Wickerhamomyces anomalus and Saccharomyces cerevisiae in Mixed Culture Fermentation. Food Sci. 2022, 43, 201–208. [Google Scholar]
- Sieuwerts, S.; Bron, P.A.; Smid, E.J. Mutually stimulating interactions between lactic acid bacteria and Saccharomyces cerevisiae in sourdough fermentation. LWT 2018, 90, 201–206. [Google Scholar] [CrossRef]
- Pina, C.; Santos, C.; Couto, J.A.; Hogg, T. Ethanol tolerance of five non-Saccharomyces wine yeasts in comparison with a strain of Saccharomyces cerevisiae—Influence of different culture conditions. Food Microbiol. 2004, 21, 439–447. [Google Scholar] [CrossRef]
- Rojas, V.; Gil, J.V.; Piñaga, F.; Manzanares, P. Acetate ester formation in wine by mixed cultures in laboratory fermentations. Int. J. Food Microbiol. 2003, 86, 181–188. [Google Scholar] [CrossRef]
- Liu, H.; Sun, B. Effect of fermentation processing on the flavor of Baijiu. J. Agric. Food Chem. 2018, 66, 5425–5432. [Google Scholar] [CrossRef]
- Jiang, W.; Wei, J.; Li, B.; Dong, J.; Wang, X.; Su, Z.; Han, X.; Huangfu, J.; Luan, C.; Hao, J.; et al. Analysis of Characteristic Flavor Compounds in Single-Grain Chinese Baijiu Brewed from Different Raw Materials. Food Sci. 2020, 41, 234–238. [Google Scholar]
- Luo, A.; Xi, X.; Zheng, T.; Yang, Z.; Tian, Y.; Ma, X.; Zhao, H. Analysis on diversity of the microbial community of light-flavor Baijiu distiller’s grains based on Illumina MiSeq high-throughput sequencing. China Brew. 2022, 41, 98–102. [Google Scholar]
- Nam, Y.H.; Choi, A.; Hwang, J.M.; Yim, K.J.; Kim, J.-H.; Choi, G.-G.; Chung, E.J. Paucibacter aquatile sp. nov. isolated from freshwater of the Nakdong River, Republic of Korea. Arch. Microbiol. 2018, 200, 877–882. [Google Scholar] [CrossRef]
- Barata, A.; Malfeito-Ferreira, M.; Loureiro, V. The microbial ecology of wine grape berries. Int. J. Food Microbiol. 2012, 153, 243–259. [Google Scholar] [CrossRef] [PubMed]
- Li, P.; Aflakpui, F.W.K.; Yu, H.; Luo, L.; Lin, W.-T. Characterization of activity and microbial diversity of typical types of Daqu for traditional Chinese vinegar. Ann. Microbiol. 2015, 65, 2019–2027. [Google Scholar] [CrossRef]
- Tian, F.; Chen, J.; Nian, J.; Huo, G. Study on probiotic properties of Lactobacillus acidophilus and Bifidobacterium. Sci. Technol. Food Ind. 2012, 33, 139–142. [Google Scholar]
- Zhang, Y.; Ping, Y.; Zhou, R.; Wang, J.; Zhang, G. High throughput sequencing-based analysis of microbial diversity in dental unit waterlines supports the importance of providing safe water for clinical use. J. Infect. Public Health 2018, 11, 357–363. [Google Scholar] [CrossRef] [PubMed]
- del Carmen Portillo, M.; Mas, A. Analysis of microbial diversity and dynamics during wine fermentation of Grenache grape variety by high-throughput barcoding sequencing. LWT Food Sci. Technol. 2016, 72, 317–321. [Google Scholar] [CrossRef]
- Youssef, N.; Sheik, C.S.; Krumholz, L.R.; Najar, F.Z.; Roe, B.A.; Elshahed, M.S. Comparison of species richness estimates obtained using nearly complete fragments and simulated pyrosequencing-generated fragments in 16S rRNA gene-based environmental surveys. Appl. Environ. Microbiol. 2009, 75, 5227–5236. [Google Scholar] [CrossRef]
- Wang, H.; Hua, J.; Yu, Q.; Li, J.; Wang, J.; Deng, Y.; Yuan, H.; Jiang, Y. Widely targeted metabolomic analysis reveals dynamic changes in non-volatile and volatile metabolites during green tea processing. Food Chem. 2021, 363, 130131. [Google Scholar] [CrossRef]
- Sun, Z.; Xiao, D. Review in Metabolic Modulation of Higher Alcohols in Top-Fermenting Yeast. In Advances in Applied Biotechnology, Proceedings of the 3rd International Conference on Applied Biotechnology (ICAB2016), Tianjin, China, 25–27 November 2016; Springer: Singapore, 2018; pp. 767–773. [Google Scholar]
- Moreira, N.; Araújo, A.M.; Rogerson, F.; Vasconcelos, I.; De Freitas, V.; de Pinho, P.G. Development and optimization of a HS-SPME-GC-MS methodology to quantify volatile carbonyl compounds in Port wines. Food Chem. 2019, 270, 518–526. [Google Scholar] [CrossRef]
- Bell, S.J.; Henschke, P.A. Implications of nitrogen nutrition for grapes, fermentation and wine. Aust. J. Grape Wine Res. 2005, 11, 242–295. [Google Scholar] [CrossRef]
- Jeleń, H.H.; Gaca, A.; Marcinkowska, M. Use of sorbent-based vacuum extraction for determination of volatile phenols in beer. Food Anal. Methods 2018, 11, 3089–3094. [Google Scholar] [CrossRef]
- Radonjić, S.; Prosen, H.; Maraš, V.; Demšar, L.; Košmerl, T. Incidence of volatile phenols in Montenegrin red wines: Vranac, Kratošija and Cabernet sauvignon. Chem. Ind. Chem. Eng. Q. 2020, 26, 337–347. [Google Scholar] [CrossRef]
- Silva, I.; Campos, F.M.; Hogg, T.; Couto, J.A. Factors influencing the production of volatile phenols by wine lactic acid bacteria. Int. J. Food Microbiol. 2011, 145, 471–475. [Google Scholar] [CrossRef] [PubMed]
- Wang, P.; Wu, Q.; Xu, Y. Core microbiota in Chinese liquor fermentation and associations with environmental factors. Acta Microbiol. Sin. 2018, 58, 142–153. [Google Scholar]
- Fan, G.; Teng, C.; Xu, D.; Fu, Z.; Liu, P.; Wu, Q.; Yang, R.; Li, X. Improving ethyl acetate production in Baijiu manufacture by Wickerhamomyces anomalus and Saccharomyces cerevisiae mixed culture fermentations. BioMed Res. Int. 2019, 2019, 1470543. [Google Scholar] [CrossRef] [PubMed]
Disclaimer/Publisher’s Note: The statements, opinions and data contained in all publications are solely those of the individual author(s) and contributor(s) and not of MDPI and/or the editor(s). MDPI and/or the editor(s) disclaim responsibility for any injury to people or property resulting from any ideas, methods, instructions or products referred to in the content. |
© 2023 by the authors. Licensee MDPI, Basel, Switzerland. This article is an open access article distributed under the terms and conditions of the Creative Commons Attribution (CC BY) license (https://creativecommons.org/licenses/by/4.0/).










