Abstract
Brassinolide (BR) is a natural plant hormone that enhances stress resistance, preserving the freshness and quality of postharvest fruits. This study investigated the effects of exogenous BR on chilling injury, physiological characteristics, and antioxidant capacity in sweet cherries (Prunus avium L. cv. Tieton) during cold storage. Cherries were treated with distilled water (Control, CK), 2 μmol·L−1 BR (CL1), and 10 μmol·L−1 BR (CL2) for 30 min, then stored at 2 ± 1 °C for 28 d. Sampling occurred every 7 d to assess BR’s impact. BR treatment significantly reduced the chilling injury index (28 d values: CK 39.56%, CL1 14.22%, CL2 21.33%) and weight loss index (28 d values: CK 4.07%, CL1 1.00%, CL2 1.77%), and delayed the decline in fruit firmness and quality. Additionally, BR increased the sugar acid ratio, vitamin C, total phenolic, and flavonoid contents while reducing superoxide anion (O2−) and hydrogen peroxide (H2O2) accumulation. Notably, BR significantly lowered polyphenol oxidase (PPO) and peroxidase (POD) activities, with CL1 showing superior efficacy. The findings indicate that BR application can potentially reduce postharvest chilling injury in sweet cherries and maintain their quality after harvest, providing a theoretical basis for its application in sweet cherry storage and preservation.
1. Introduction
Sweet cherries (Prunus avium L.) are part of the Rosaceae family and the Prunus genus. They are favored for their bright color and unique taste, and there has been a significant increase in the global production and trade of cherries [1,2]. These fruits are rich in essential nutrients and bioactive compounds that contribute to human health in various ways. Cherries are known for their high vitamin content, particularly vitamin C, and they serve as a source of natural sugars and fiber. The presence of anthocyanins and other phenolic compounds in cherries suggests their potential to reduce inflammation, improve cardiovascular health, and provide antioxidant benefits [3]. Conditions such as season, storage conditions, and rootstock affect the storage of cherries after harvest. Cherry fruit on vigorous rootstocks have lower soluble solids content, and relatively low temperature storage slows down cherry decay and maintains higher green retention of huckleberries [4]. Sweet cherries are harvested during high-temperature seasons, and if stored at room temperature, they tend to experience water loss, rot, and other forms of deterioration that seriously affect their quality [5]. The most common method of preserving cherries is through cold storage [6,7], which reduces enzyme activity and inhibits cherry respiration, thus extending their storage time. However, sweet cherries are sensitive to cold temperatures and can suffer from chilling injury when exposed to harshly cold environments [8]. The ability to withstand such cold conditions depends on the specific cherry variety. The symptoms of chilling injury are depression, skin, and flesh browning, and irreversible chilling injury that occurs in the fruit cell tissue, leading to the decline in quality and shortening of the storage period of fruit [9]. Under cold stress, reactive oxygen species (ROSs) are produced in large quantities, and there is a considerable mismatch exists between ROS production and the system designed to defend against antioxidants, leading to oxidative stress reactions, which in turn result in cellular damage [10]. Therefore, it is important to reduce the occurrence of postharvest fruit chilling injury and explore control techniques that can help maintain fruit quality and extend the storage period.
Plant growth regulators are biocatalysts that play a crucial role in various physiological and biochemical processes in plants. They have multifaceted effects such as promoting plant growth, enhancing plant resistance, and improving the overall quality of plant growth and development [11]. Commonly used growth regulators for postharvest fruits in recent years include 1-methylcyclopropene (1-MCP) [12], brassinolide (BR) [13], nitric oxide [14], and gibberellin [15]. Melatonin treatment may be effective in maintaining the quality and bioactive compounds of sweet cherry fruit [16]. Arginine can alleviate postharvest chilling injury in sweet cherries by reducing the production of reactive oxygen species and enhancing the activity of antioxidant enzymes [5]. BR is a natural plant hormone extracted from rape pollen and it plays a crucial role in stress resistance [17,18,19]. BR treatment can prevent membrane lipid peroxidation, which safeguards the integrity of the cell membrane, and thereby significantly reduces the chilling injury to carambola [13], tomato [20], and peace [21]. However, there is limited research on the effects of BR treatment on the chilling injury and the physiological metabolism of postharvest cherries, especially concerning the concentration of growth regulators affecting the resistance of fruit to stress.
In this study, the effects of different concentrations of BR treatment on sweet cherry fruit were examined to determine their impact on chilling injury, physiological characteristics, and antioxidant capacity. It is crucial to find an easy treatment in the sweet cherry fruit industry to help extend the shelf life while maintaining its nutritional quality. Furthermore, it offers a strong theoretical foundation for implementing cherry preservation tactics and an understanding of the cold resistance mechanism.
2. Materials and Methods
2.1. Materials and Treatments
Sweet cherries (Prunus avium L. cv. Tieton) were picked from orchards in Yantai (121° E, 37° N, Yantai, China) and the harvested trees were 7 to 8 years old. Sweet cherries are planted in the temperate monsoon climate, and Prunus armeniaca ‘Mazzard’ rootstocks, soil pH 6.0–7.0, and high-quality grafted seedlings adapted to the local climate were selected for timely planting. Sweet cherries were packed and transported to the laboratory immediately after pre-cooling, and fruits with similar maturation levels, consistent sizes, and no signs of mechanical harm were selected for the test.
The sweet cherry fruits of similar ripeness, uniform size, and without mechanical damage were randomly divided into 3 groups, in which there were approximately 250 fruits per group. In our previous experiments of BR on the maintenance of jujube quality, we found that a high concentration of BR has a better effect on the maintenance of jujube fruit quality. We first experimented with 10 μmol·L−1 and found that the effect of maintaining the quality of cherries was not obvious. Combined with the data, we hypothesized that too high a concentration of BR might have a side effect on the quality of cherries, so we set two concentrations of 2 μmol·L−1 and 10 μmol·L−1 for comparison. BR was purchased from Shanghai Macklin Biochemical Co., Ltd. (Shanghai, China). After the solutions were prepared, we mmediately soaked the selected cherries from each group in distilled water, 2 μmol·L−1, and 10 μmol·L−1 BR for 30 min, respectively, which were named CK, CL1, and CL2. After the samples were taken out and dried, they were packaged in microporous bags (The National Engineering and Technology Research Center for Preservation of Agricultural Products, Tianjin, China) and stored at 2 ± 1 °C with a relative humidity of 85–95% for 28 d. Fruits were randomly selected from each treatment group every 7 d for the determination of the chilling injury index, stem freshness index, weight loss, sugar acid ratio, vitamin C, total phenolics and flavonoids, and antioxidant status of sweet cherries, with 15 in each parallel and three parallels in each group (firmness and color excepted). In addition, a portion of the fruit samples was mixed and homogenized on ice, then placed in liquid nitrogen for freezing, and stored in a −80 °C ultra-low temperature refrigerator for subsequent measurements of certain indicators.
2.2. Chilling Injury Index
Each group of sweet cherry fruits was scored for signs of chilling injury using the procedure modified by Ding et al. [22]. Chilling injury is rated on a 5-point scale based on the percentage of fruit surface area affected where 0 = none, 1 = less than 25% surface coverage, 2 = 25 to 50%, 3 = 50 to 75%, and 4 = more than 75%. The mean value of chilling injury is referred to as the chilling injury index. The formula below was used to compute the index of chilling injury:
where Ci is the chilling scale, Ni is the number of fruits at that chilling scale, and N0 is the total number of sweet cherry fruits.
2.3. Stem Freshness Index
The stem freshness index was divided into 5 grades, namely 0 = stem completely dried and brown; 1 = stem green area was less than 1/2 of the total area; 2 = stem green area accounted for 1/2 to 3/4 of the total area; 3 = stem green area was greater than 3/4 of the total area; and 4 = all stem area was green. The subsequent formula was utilized for the calculation of the stem freshness index:
where Si is the stem freshness grade, Ni is the number of fruits at that stem freshness grade, and N0 is the total number of sweet cherry fruits.
2.4. Weight Loss Index
The weight loss index was determined using a method of weighing and then deduced from the succeeding expression:
where the initial mass of the sample before storage is denoted by W0, and W1 represents the sample’s weight post-storage.
2.5. Firmness
Fruits may suffer internal damage during transportation. These effects are not readily apparent when the damaged fruit is removed but become apparent with longer storage time. The firmness of the fruit was measured at the equatorial site using a texture analyzer (TA-XT2i, Stable Micro Systems, Surrey, UK). Using a P/2 probe, the result is expressed in Newtons (N). Twelve cherry fruits were measured in each group, and the firmness of each fruit was measured twice on the equatorial opposite side of the fruit, and the average of the two values was taken as the firmness of the fruit.
2.6. Sugar Acid Ratio
The sweet cherry fruit was sliced juiced and filtered. The total soluble solid (TSS) and titratable acidity (TA) were measured using a Brix-Acidity Meter (PAL-BX/ACIDF5, Atago, Tokyo, Japan), and the sugar acid ratio was expressed by TSS/TA.
2.7. Color
The color was determined using a chroma meter (CR-400, Konica Minolta, Tokyo, Japan), which provides L* (lightness) and a* (redness) values. Every 7 d, a random sample of 15 fruits was collected from each treatment group for evaluation. The peel coloration was assessed by measuring two equatorial sites on each fruit that were evenly distributed [23].
2.8. Vitamin C (Vc)
We added 20 g·L−1 oxalic acid solution to the 10 g sweet cherry sample, ground it into a homogenate under ice bath conditions to obtain a constant volume of 100 mL, and then filtered and collected the filtrate for use. We then absorbed 10 mL of filtrate into a 100 mL conical bottle and titrated i.e., with the calibrated 2,6-dichlorophenolindophenol standard solution until a reddish color appeared and did not fade within 15 s. At the same time, 10 mL of a 20 g·L−1 oxalic acid solution was used as a blank experiment and titrated with the same method, and this was repeated 3 times. The formula for calculating Vc content is:
where V1 is the volume of the 2,6-dichlorophenolindophenol solution (mL) consumed during titration of the sample solution; V0 is the volume of 2,6-dichlorophenolindophenol solution (mL) consumed during titration of the blank. T is the number of milligrams per milliliter of 2,6-dichlorophenolindophenol solution equivalent to Vc (mg·mL−1); V is the total volume of sample extract (mL); A is the dilution ratio; Vs is the volume of sample solution (mL) taken during titration; and m is the mass of the sample (g).
2.9. Total Phenolic and Flavonoid Content
The 2.0 g sample was weighed and added to the pre-cooled 1% HCL methanol solution. After grinding the homogenate under the condition of an ice bath, the volume was fixed to 20 mL. After mixing, the filtrate was extracted at 4 °C for 20 min, shaken several times during the period, and then filtered and collected. The absorbance value of the filtrate was measured at the wavelength of 280 nm and 325 nm, respectively. The absorbance value of each gram sample at the wavelength of 280 nm represented the total phenol content, that is, OD280nm·100 g−1. The absorbance value of each gram sample at the wavelength of 325 nm represented the flavonoid content, that is, OD325nm·100 g−1.
2.10. Hydrogen Peroxide (H2O2) Content and Superoxide Anion (O2−) Production Rate
Hydrogen Peroxide (H2O2) content was determined by the H2O2 Content Assay Kit (Solarbio BC3595, Beijing, China). Superoxide anion (O2−) activity content was determined using the O2− Activity Content Assay Kit (BC1295, Solarbio Beijing, China).
2.11. Enzyme Activity
Polyphenol oxidase (PPO) activity was determined using the PPO Activity Assay Kit (Solarbio BC0195, Beijing, China). Peroxidase (POD) activity was determined using the POD Activity Assay Kit (Solarbio BC0095, Beijing, China).
2.12. Statistical Analysis
The studies were conducted in triplicate, both biologically and technically. The findings are depicted as an average coupled with its standard deviation (SD). Two-way ANOVA analyzed the data and means underwent comparison through Duncan’s test at p = 0.05 significance, utilizing the SPSS 26 program.
3. Results
3.1. Appearance Attributes
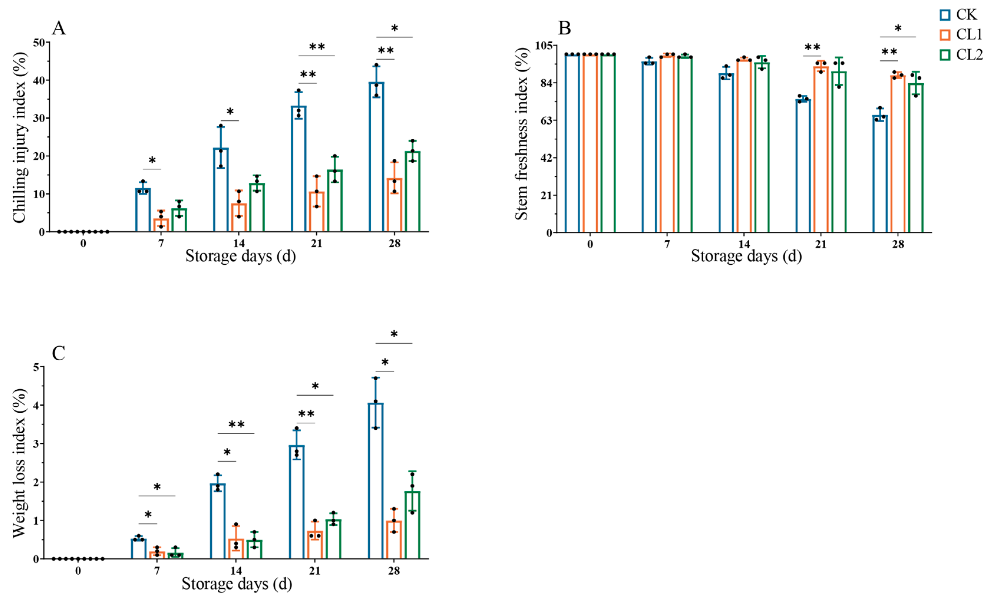
As shown in Figure 1, chilling injury gradually occurred to sweet cherry fruits during cold storage, which mainly manifested as skin shrinkage and pulp depression, leading to decreased quality. On day 7, the fruits of the CK group showed depression and mild chilling injury symptoms. On day 21, the chilling injury of fruit in the CK group was more serious. On the 21st day of storage, the surface of cherry fruits in the CK group showed an increase in softened pitted portions accompanied by slight decay. The BR treatment alleviated the symptoms of cold damage in cherries, and the effect of BR at a concentration of 2 μmol·L−1 was more pronounced, with the fruits in the CL1 group almost indistinguishable from those at the beginning of storage (day 0), whereas there was slight softening of the pits in the CL2 group. The chilling injury of CK was the most serious after storage for 28 d. Similarly, this was also confirmed in Figure 2A. On day 28, the chilling injury index of fruit in the CK group reached 39.56%, which was significantly different from that in the BR treatment groups (p < 0.05), and the chilling injury index of CL1 and CL2 was 14.22% and 21.33%, respectively. It was evident that the application of BR on sweet cherry fruit reduced the chilling injury sustained during cold storage.
Figure 1.
The morphology of sweet cherry fruit under BR treatment.
Figure 2.
The (A) chilling injury index, (B) stem freshness index, and (C) weight loss index of sweet cherry fruit under BR treatment. The data are represented as triplicate averages ± SEMs. Asterisk (* and **) indicates significantly different values between the control and treated fruit at the same storage time (p < 0.05 and p < 0.01).
During cold storage, the fruit stem freshness index showed a decreasing trend (Figure 2B). On day 28, the fruit stem freshness index of CK, CL1, and CL2 groups was 66.11%, 88.33%, and 83.89%, respectively, and that of CL1 and CL2 groups was 22.22% and 17.78% higher than that of the CK group, respectively. BR treatment significantly inhibited the decrease in stem freshness of sweet cherry fruits and effectively delayed the occurrence of fruit chilling injury.
In Figure 2C, the weight loss index revealed a steadily rising trend in the sweet cherry fruit. The weight loss index of CK increased more obviously. On day 28, the weight loss index of the CK group was 4.07% significantly higher than that of the CL1 (1.00%) and CL2 (1.77%) groups (p < 0.05). It was observed that the use of BR treatment could significantly deter the escalation of weight loss in fruit and diminish the water loss experienced by sweet cherries during refrigeration.
3.2. Quality Attributes
Softening of fruit is an important factor that leads to quality degradation in fruit storage. Figure 3A shows that the firmness of sweet cherries decreased progressively during cold storage. The CK group displayed the most significant reduction in firmness. At 7–28 d, compared to the CK group, the treatment groups exhibited enhanced fruit firmness. On day 28, the firmness of CK, CL1, and CL2 was 224.94 N, 264.82 N, and 253.12 N, respectively, and the firmness of CL1 and CL2 increased by 17.73% and 12.53% compared with the CK group, respectively. BR treatment effectively delayed sweet cherry fruit’s softening process.
Figure 3.
The (A) firmness, (B) sugar–acid ratio (TSS/TA), (C) L*, and (D) a* of sweet cherry fruit under BR treatment. The data are represented as triplicate averages ± SEMs. The different amounts of asterisk (*, **, ***, and ****) indicate significant differences at p < 0.05, p < 0.01, p < 0.001, and p < 0.0001, respectively.
In Figure 3B, during cold storage, sweet cherry fruit showed a higher sugar acid ratio, which was significantly increased by BR treatment compared to the CK group (p < 0.05). On day 28, the sugar acid ratio of the CL1 and CL2 groups was 34.71% and 15.08% higher than that of the CK group, and the BR treatment improved the flavor of the fruit. In addition, the sugar acid ratio in the CL1 group was significantly higher than that in the CL2 group (p < 0.05), which indicated that the effect of the CL1 group was better.
In Figure 3C,D, L* and of a* sweet cherry fruit gradually decreased during cold storage, which confirmed the browning of peel caused by fruit chilling injury. The CK group showed the most significant decrease in fruit color, while the BR treatment inhibited this decline. On days 0–7, the L* and a* values of the CK group fruit decreased rapidly, while the CL treatment showed a slower decrease. On days 7–28, compared to the CK group, the BR treatment significantly delayed the decrease in the L* and a* values of the fruit (p < 0.05). On day 21, there was a significant difference in the L* values among different BR concentrations (p < 0.05). On day 28, the CK group had the lowest L* value (21.53), while the L* values of the CL1 and CL2 groups were 2.31 and 1.34 higher than that of the CK group, respectively. Furthermore, on day 28, the CK group had the lowest a* value (11.89), while the CL1 and CL2 groups were 4.24 and 2.57 higher than the CK group, respectively, and there were significant differences in the a* values between different concentrations of BR treatment (p < 0.05). The research results indicate that the use of BR treatment during cold storage can more effectively maintain the color of sweet cherry fruit, and CL1 is more effective in maintaining the color of sweet cherry fruit than CL2.
3.3. Antioxidant Content
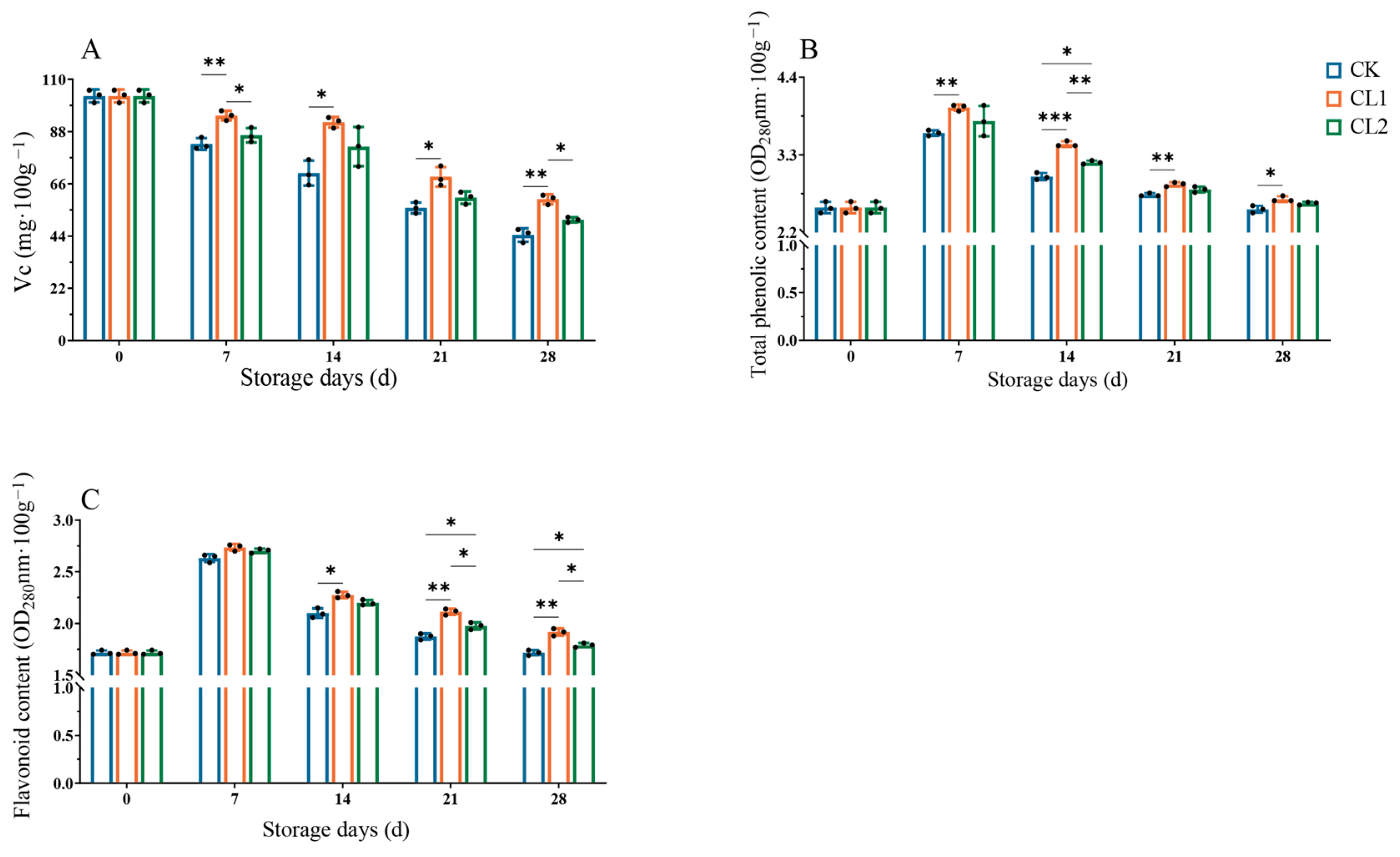
Figure 4A shows a decline in sweet cherry fruit Vc content during cold storage, with the CK group exhibiting the most rapid decrease. On day 28, the CL1 and CL2 groups had a higher Vc content than the CK group (p < 0.05), exceeding 33.90% and 14.40%, respectively. BR treatment delayed the decrease in Vc content in sweet cherry fruits, and the effect of the CL1 group is more significant than that of the CL2 group.
Figure 4.
The (A) Vc content, (B) total phenolic content, and (C) flavonoid content of sweet cherry fruit under BR treatment. The data are represented as triplicate averages ± SEMs. Asterisk (*, **, and ***) indicates significantly different values between the control and treated fruit at the same storage time (p < 0.05, p < 0.01, and p < 0.001).
Figure 4B shows the total phenolic content of sweet cherry fruit during its cold storage period. At the beginning of storage, the total phenolic content increased. On day 7, the total phenolic content of CK, CL1, and CL2 groups was 3.61, 3.97, and 3.76 OD280nm·100 g−1, respectively, and the CK group displayed a noticeably lower total phenolic content compared to the group exposed to BR (p < 0.05). Subsequently, the total phenolic content of fruit in all groups decreased. On day 28, the total phenolic content of CK, CL1, and CL2 groups was 2.53, 2.67, and 2.61 OD280nm·100 g−1, respectively, and the total phenolic content of CL1 and CL2 groups was 6% and 3.2% higher than that of CK, respectively. This may be due to the continuous consumption and reduced synthesis of phenolics during cold storage. Cold storage of sweet cherry fruit led to an elevation in total phenolic content following BR treatment.
In Figure 4C, during cold storage, the flavonoid content of sweet cherry fruit initially increased, then decreased, following a similar pattern as the total phenolic content. On day 7, flavonoid content reached its peak, and notably, the flavonoid levels in fruits subjected to BR treatment were significantly greater than those in the CK group (p < 0.05). On day 28, the flavonoid content of the CL1 group was the highest, and the flavonoid content of the CL1 and CL2 groups was 12% and 4% higher than that of CK, respectively. BR treatment increased the flavonoid content of sweet cherry fruit under cold stress, and CL1 had a significant effect.
3.4. H2O2 Content and O2− Production Rate
H2O2 and O2− are by-products of fruit cell metabolism. The accumulation of H2O2 and O2− disrupts the oxygen reduction balance in the plant [24], so low levels of H2O2 and O2− are beneficial in maintaining fruit quality. In Figure 5, the H2O2 content and O2− production rate of sweet cherry fruits increased continuously during cold storage. Compared with the CK group, BR treatment decreased H2O2 content and O2− production rate (p < 0.05). On day 28, compared to the CK group, the H2O2 content in the CL1 and CL2 groups was reduced by 29.6% and 18.9%, respectively, and the O2− production rate of CL1 and CL2 groups was 33.8% and 21.5% lower than that of the CK group. BR treatment inhibited the increase in the H2O2 content and O2− production rate of sweet cherry fruits during cold storage, suggesting that exogenous BR responded to cold stress by alleviating oxidative damage. In addition, the H2O2 content and O2− production rate in the CL1 group were significantly lower than those in the CL2 group (p < 0.05), indicating that CL1 had a better effect.
Figure 5.
The (A) H2O2 content and (B) O2− production rate of sweet cherry fruit under BR treatment. The data are represented as triplicate averages ± SEMs. Asterisk (*, **, ***, and ****) indicates significantly different values between the control and treated fruit at the same storage time (p < 0.05, p < 0.01, p < 0.001, and p < 0.0001).
3.5. Enzyme Activity
The process of enzymatic browning in fruit is mainly caused by two enzymes, PPO and POD, and the enzyme activity is affected by complex physiological activities in plants. In Figure 6A, PPO activity increased continuously during the cold storage of sweet cherry fruit from 0 to 7 d, which promoted the browning of sweet cherry fruit. Compared to the CK group, the activity of PPO was noticeably less in the BR-treated group (p < 0.05). On day 28, the PPO activity of CK, CL1, and CL2 groups was 57.24, 35.69, and 41.82 U·g−1, respectively. The PPO activity of CL1 was found to be significantly lower than that of CL2 (p < 0.05). Similarly, POD activity increased from 0 to 7 d (Figure 6B). In the advanced stages of storage, the PPO activity of sweet cherry fruit also increased, and the POD activity was lower in the group treated with BR compared to the control group (p < 0.05). On day 28, the POD activity of the CL1 and CL2 groups was 23.1% and 15.8% lower than that of the CK group, respectively. BR treatment inhibited the PPO and POD activity of sweet cherry fruit during cold storage, thus alleviating the enzymatic browning of sweet cherry fruit. In addition, 2 μmol·L−1 treatment of sweet cherry fruit during cold storage exhibits a better influence.
Figure 6.
The (A) polyphenol oxidase activity and (B) peroxidase activity of sweet cherry fruit under BR treatment. The data are represented as triplicate averages ± SEMs. Asterisk (*, **, and ***) indicates significantly different values between the control and treated fruit at the same storage time (p < 0.05, p < 0.01, and p < 0.001).
4. Discussion
Because the sensitivity of fruits and vegetables to different concentrations of BR is different, different concentrations have varying effects on the storage quality of fruits and vegetables. Hernández et al. found that sweet cherry fruit may have symptoms such as pitting damage and dents on the surface during cold storage [8]. This study revealed that no chilling injury occurred during the initial stage of cold storage for sweet cherry fruits. However, as the storage period extended, the CK group showed reduced browning and denting after 7 d, while the symptoms of chilling injury worsened and the affected area expanded after 21 d. At the same time, the skin lost water and wrinkled, the flesh concaved, and the fruit stem dried and fell off (Figure 1). Treatment with 2 µmol·L−1 and 10 µmol·L−1 BR delayed the occurrence of cherry chilling injury for 14 and 7 d, respectively. Particularly at 2 µmol·L−1, the treatment significantly reduced the chilling injury index by 25.34% compared to CK after 28 d of cold storage. Postharvest fruit still carries out a series of physiological activities, including respiration, resulting in the evaporation of water [25]. The weight loss index of fruit is an index that directly reflects the water loss and wilting of fruit. Exogenous treatment reduces weight loss by regulating water transport and decreasing the respiratory rate [26]. Firmness is an important quality characteristic of sweet cherry fruit [27]. In this study, BR treatment significantly improved the fruit firmness during the cold storage period. The maintenance of firmness is closely related to the postharvest physiological activities of the fruit. The BR treatment may have slowed down the degradation of the cell wall by regulating the activity of enzymes related to cell wall structure and metabolism, thereby preserving the firmness of the fruit. Furthermore, the effect of BR treatment on maintaining fruit firmness was more pronounced at a lower concentration (2 µmol·L−1), which may be related to the more delicate regulation of cell wall metabolic enzyme activity by low concentrations of BR [28]. BR is an endogenous plant hormone in fruits and vegetables and can exhibit extremely high physiological activity at very low concentrations [29]. The color of sweet cherry fruits changes from the initial green to red or purplish red during ripening due to the degradation of chlorophyll and the accumulation of anthocyanins. However, during postharvest storage, the cellular spacing of cherry fruits is gradually lost, and acid and anthocyanins begin to degrade, which results in the original bright red color of the fruit gradually changing to dark red. BR treatment, however, can effectively maintain the activity of the relevant enzymes in fruits and vegetables that cause color changes in fruits and vegetables and can slow down the decomposition rate of chlorophyll and other chlorophylls, thus maintaining a better appearance quality, which is similar to the findings of Gao et al. who effectively maintained the color of eggplant through the 24-Epibrassinolide (EBR) treatment [30]. TSS and TA are important flavor compounds in fruits, and the sugar acid ratio is a significant indicator for evaluating fruit flavor quality [31]. BR treatment improves the sugar acid ratio of sweet cherry fruit, enhancing fruit flavor. The results were similar to those obtained with melatonin treatment in Miranda et al. [26]. In addition, the effect of CL1 is better, and CL1 exhibits excellent physiological activity.
Sweet cherry fruits are rich in Vc, which is not only an important nutrient component of fruits but also an important antioxidant for scavenging ROS in fruit, which can effectively delay fruit aging [32,33,34]. In this study, BR treatment inhibited the decrease in Vc content during cold storage. The synthesis of phenolics in fruit is a complex biochemical process. Phenolics have an antioxidant effect, which is related to the flavor and color of fruits [33]. Fruit resisted cold stress by the accumulation of phenolics [35]. The total phenolic and flavonoid contents in fruit are influenced by various factors during cold storage. In this study, BR treatment accumulated higher levels of total phenols and total flavonoids in the fruit (Figure 4B,C), preventing a rapid decline in phenols during cold storage and reducing chilling injury symptoms. The decrease in phenolic content in cherry fruits during cold storage may be due to damage to cellular structures, in which phenolic compounds act as antioxidants for free radicals. ROS, including H2O2 and O2−, are involved in redox reactions and signaling in cells, which play an important role in the normal function of cells [36,37]. Under stress, the metabolism of ROS is unbalanced, and excessive ROS attacks the cell membrane, resulting in peroxidation of the cell membrane lipids, thereby inducing oxidative harm to the fruit. In this study, BR treatment induced the accumulation of antioxidants to remove H2O2 and O2−, alleviated the symptoms of fruit chilling injury, and improved the quality of sweet cherry fruit, which was similar to the results of Xu et al. [38].
The browning of fruits and vegetables is mainly characterized by enzymatic browning, and PPO and POD synergistically participate in the browning process of fruits [39,40]. Enzyme activity is affected by complex physiological activities in plants. Plant cell integrity is impaired by biotic or abiotic stress, accelerating the PPO catalyzed browning [41]. POD is a key enzyme in the enzymatic defense system of plants under stress. POD can convert H2O2 to H2O, preventing the destruction of the cytoplasmic membrane. The study found that the activities of PPO and POD in fruits treated with BR were lower than those of the CK group. This corresponds to the results of a previous study conducted by Duan et al. [13], where they were able to reduce the PPO and POD activities in starfruits by exposing them to BR treatment. This resulted in reduced sensitivity to cold stress in the fruits after treatment.
5. Conclusions
BR has the effect of improving the postharvest quality and cold resistance of ‘Tieton’ sweet cherries. The application of BR, particularly at a concentration of 2 µmol·L−1, significantly mitigated chilling injury and weight loss, preserving key quality attributes such as firmness, vitamin C content, and skin color indices (L* and a*). Moreover, BR treatment effectively elevated the sugar acid ratio and the levels of total phenolics and flavonoids, contributing to the improved flavor and antioxidant potential. The reduction in PPO and POD activities under BR treatment indicates a decreased susceptibility to enzymatic browning, a common issue in postharvest fruit storage. The comparative analysis of BR concentrations revealed that the lower concentration of 2 µmol·L−1 outperformed the higher concentration of 10 µmol·L−1 across all evaluated parameters, suggesting an optimal dosage for maximal benefit. This finding is economically advantageous and practically significant for the commercial application of BR in sweet cherry postharvest management. The results provide a compelling rationale for the use of BR in the agricultural industry, offering a novel strategy for reducing chilling injury and maintaining the marketability of sweet cherries postharvest. Future research should explore the long-term effects and the integration of BR treatment with other postharvest practices to further optimize fruit preservation.
Author Contributions
Conceptualization, Z.B. and J.H.; methodology, Z.B. and C.C.; validation, Z.B. and J.L.; formal analysis, Y.Z., S.Z., C.N., H.C. and F.Z.; data curation, Y.Z.; writing—original draft preparation, Y.Z. and S.Z.; writing—review and editing, A.F. and Z.B.; visualization, C.N., H.C. and F.Z.; supervision, Z.B. and J.H.; project administration, Z.B. and J.H.; funding acquisition, C.C. and J.L. All authors have read and agreed to the published version of the manuscript.
Funding
This work was supported by the Major Scientific Research Achievement Transformation Project of Ningxia Hui Autonomous Region [Grant No. 2023CJE09060]; the National Natural Science Foundation of China [Grant No. 32172268]; the Tianjin Science and Technology Program Project [Grant No. 22ZYCGSN00170, 22ZYCGSN00470]; and the Key Laboratory of Storage of Agricultural Products, Ministry of Agriculture and Rural Affairs [Grant No. Kf202208].
Data Availability Statement
Data are contained within the article.
Conflicts of Interest
We declare that we have no financial or personal relationship with others or organizations, with no professional, or other personal profit in any product, service or company. This includes Chun’an County Qiandao Lake Tingyuan Family Farm, Hangzhou and Hangzhou FoodSci Agricultural Technology Co., Ltd. The cooperation of these companies did not affect the authenticity and objectivity of the experimental results of this work.
References
- Abdipour, M.; Sadat Malekhossini, P.; Hosseinifarahi, M.; Radi, M. Integration of UV Irradiation and Chitosan Coating: A Powerful Treatment for Maintaining the Postharvest Quality of Sweet Cherry Fruit. Sci. Hortic. 2020, 264, 109197. [Google Scholar] [CrossRef]
- Zhang, C.; Gong, H.; Liu, Y. Effects of Postharvest Coating Using Chitosan Combined with Natamycin on Physicochemical and Microbial Properties of Sweet Cherry during Cold Storage. Int. J. Biol. Macromol. 2022, 214, 1–9. [Google Scholar] [CrossRef] [PubMed]
- Chockchaisawasdee, S.; Golding, J.B.; Vuong, Q.V.; Papoutsis, K.; Stathopoulos, C.E. Sweet Cherry: Composition, Postharvest Preservation, Processing and Trends for Its Future Use. Trends Food Sci. Technol. 2016, 55, 72–83. [Google Scholar] [CrossRef]
- Dziedzic, E.; Błaszczyk, J.; Kaczmarczyk, E. Postharvest properties of sweet cherry fruit depending on rootstock and storage conditions. Folia Hortic. 2017, 29, 113–121. [Google Scholar] [CrossRef]
- Pakkish, Z.; Mohammadrezakhani, S. The Effect of Preharvest Application of Arginine on the Postharvest Quality of Sweet Cherry Fruits during Storage. Int. J. Fruit Sci. 2022, 22, 837–851. [Google Scholar] [CrossRef]
- Karagiannis, E.; Michailidis, M.; Karamanoli, K.; Lazaridou, A.; Minas, I.S.; Molassiotis, A. Postharvest Responses of Sweet Cherry Fruit and Stem Tissues Revealed by Metabolomic Profiling. Plant Physiol. Biochem. 2018, 127, 478–484. [Google Scholar] [CrossRef] [PubMed]
- Tsaniklidis, G.; Kafkaletou, M.; Delis, C.; Tsantili, E. The Effect of Postharvest Storage Temperature on Sweet Cherry (Prunus Avium L.) Phenolic Metabolism and Colour Development. Sci. Hortic. 2017, 225, 751–756. [Google Scholar] [CrossRef]
- Hernández, I.; Ponce, E.; Vidal, J.; Chirinos, R.; Campos, D.; Pedreschi, R.; Fuentealba, C. Metabolomics Reveals Specific Metabolic Changes in Sweet Cherries (Prunus Avium L.) Subjected to Postharvest Treatment with Melatonin after Mechanical Stress. Horticulturae 2023, 9, 940. [Google Scholar] [CrossRef]
- Zhang, P.; Zhang, P.; Liu, H.; Chen, S.; Zhang, X.; Li, J. Effect of Low-Temperature Treatment on Chilling Injury in Cherry Fruits. Food Sci. 2012, 33, 303–308. [Google Scholar]
- Schieber, M.; Chandel, N.S. ROS Function in Redox Signaling and Oxidative Stress. Curr. Biol. 2014, 24, R453–R462. [Google Scholar] [CrossRef]
- Zahid, G.; Iftikhar, S.; Shimira, F.; Ahmad, H.M.; Aka Kaçar, Y. An Overview and Recent Progress of Plant Growth Regulators (PGRs) in the Mitigation of Abiotic Stresses in Fruits: A Review. Sci. Hortic. 2023, 309, 111621. [Google Scholar] [CrossRef]
- Satekge, T.K.; Magwaza, L.S. Postharvest Application of 1-Methylcyclopropene (1-MCP) on Climacteric Fruits: Factors Affecting Efficacy. Int. J. Fruit Sci. 2022, 22, 595–607. [Google Scholar] [CrossRef]
- Duan, W.; Ngaffo Mekontso, F.; Li, W.; Tian, J.; Li, J.; Wang, Q.; Xu, X. Alleviation of Postharvest Rib-Edge Darkening and Chilling Injury of Carambola Fruit by Brassinolide under Low Temperature Storage. Sci. Hortic. 2022, 299, 111015. [Google Scholar] [CrossRef]
- Liu, Y.; Chen, T.; Tao, N.; Yan, T.; Wang, Q.; Li, Q. Nitric Oxide Is Essential to Keep the Postharvest Quality of Fruits and Vegetables. Horticulturae 2023, 9, 135. [Google Scholar] [CrossRef]
- Ma, G.; Zhang, L.; Kudaka, R.; Inaba, H.; Murakami, K.; Yamamoto, M.; Kojima, N.; Yahata, M.; Matsumoto, H.; Kato, M. Auxin Induced Carotenoid Accumulation in GA and PDJ-Treated Citrus Fruit after Harvest. Postharvest Biol. Technol. 2021, 181, 111676. [Google Scholar] [CrossRef]
- Bal, E.; Torçuk, A.İ.; Özer, C. Influence of Melatonin Treatments on Fruit Quality and Storage Life of Sweet Cherry cv. ‘Sweetheart’. Erwerbs-Obstbau 2022, 64, 127–133. [Google Scholar] [CrossRef]
- Guo, C.; Chen, Y.; Wu, D.; Du, Y.; Wang, M.; Liu, C.; Chu, J.; Yao, X. Transcriptome Analysis Reveals an Essential Role of Exogenous Brassinolide on the Alkaloid Biosynthesis Pathway in Pinellia Ternata. Int. J. Mol. Sci. 2022, 23, 10898. [Google Scholar] [CrossRef]
- Liu, X.; Zhong, Y.; Li, W.; Li, G.; Jin, N.; Zhao, X.; Zhang, D. Development and Comprehensive SPE-UHPLC-MS/MS Analysis Optimization, Comparison, and Evaluation of 2,4-Epibrassinolide in Different Plant Tissues. Molecules 2022, 27, 831. [Google Scholar] [CrossRef] [PubMed]
- Nakagawa, Y.; Nishikawa, B.; Miyagawa, H. Effects of Brassinolide on the Growing of Rice Plants. J. Pestic. Sci. 2021, 46, 274–277. [Google Scholar] [CrossRef]
- Bai, C.; Zheng, Y.; Watkins, C.B.; Fu, A.; Ma, L.; Gao, H.; Yuan, S.; Zheng, S.; Gao, L.; Wang, Q.; et al. Revealing the specific regulations of brassinolide on tomato fruit chilling injury by integrated multi-omics. Front. Nutr. 2021, 8, 769715. [Google Scholar] [CrossRef]
- Hu, S.; Xie, B.; Hou, Y.; Zhao, L.; Zheng, Y.; Jin, P. Postharvest 24-epibrassinolide treatment improves chilling resistance of peach fruit via PpHDT1 modulating brassinosteroid metabolism. Plant Physiol. Biochem. 2023, 204, 108116. [Google Scholar] [CrossRef]
- Ding, Y.; Sheng, J.; Li, S.; Nie, Y.; Zhao, J.; Zhu, Z.; Wang, Z.; Tang, X. The Role of Gibberellins in the Mitigation of Chilling Injury in Cherry Tomato (Solanum Lycopersicum L.) Fruit. Postharvest Biol. Technol. 2015, 101, 88–95. [Google Scholar] [CrossRef]
- Concellón, A.; Añón, M.C.; Chaves, A.R. Effect of Low Temperature Storage on Physical and Physiological Characteristics of Eggplant Fruit (Solanum Melongena L.). LWT Food Sci. Technol. 2007, 40, 389–396. [Google Scholar] [CrossRef]
- Hao, J.; Li, X.; Xu, G.; Huo, Y.; Yang, H. Exogenous progesterone treatment alleviates chilling injury in postharvest banana fruit associated with induction of alternative oxidase and antioxidant defense. Food Chem. 2019, 286, 329–337. [Google Scholar] [CrossRef] [PubMed]
- Bajaj, K.; Adhikary, T.; Gill, P.P.S.; Kumar, A. Edible Coatings Enriched with Plant-Based Extracts Preserve Postharvest Quality of Fruits: A Review. Prog. Org. Coat. 2023, 182, 107669. [Google Scholar] [CrossRef]
- Miranda, S.; Vilches, P.; Suazo, M.; Pavez, L.; García, K.; Méndez, M.A.; González, M.; Meisel, L.A.; Defilippi, B.G.; del Pozo, T. Melatonin Triggers Metabolic and Gene Expression Changes Leading to Improved Quality Traits of Two Sweet Cherry Cultivars during Cold Storage. Food Chem. 2020, 319, 126360. [Google Scholar] [CrossRef] [PubMed]
- Ponce, E.; Alzola, B.; Cáceres, N.; Gas, M.; Ferreira, C.; Vidal, J.; Chirinos, R.; Campos, D.; Rubilar, M.; Campos-Vargas, R.; et al. Biochemical and Phenotypic Characterization of Sweet Cherry (Prunus Avium L.) Cultivars with Induced Surface Pitting. Postharvest Biol. Technol. 2021, 175, 111494. [Google Scholar] [CrossRef]
- Zhi, H.; Dong, Y. Effect of Hydrogen Sulfide on Surface Pitting and Related Cell Wall Metabolism in Sweet Cherry during Cold Storage. J. Appl. Bot. Food Qual. 2018, 91, 109–113. [Google Scholar] [CrossRef]
- Wang, X. Effect of 24-Epibrassionolide on the Postharvest Quality and Antioxidant Activity of Eggplant Fruit. Master’s Thesis, NorthWest University, Xi’an, China, 2021. [Google Scholar] [CrossRef]
- Gao, H.; Zhang, H.; Kang, L.; Cheng, N.; Cao, W. Effect of 24-epibrassionolide on the postharvest quality and antioxidant activity of eggplant fruit. Acta Bot. Boreali-Occident. Sin. 2014, 34, 1614–1619. [Google Scholar] [CrossRef]
- Pan, T.; Ali, M.M.; Gong, J.; She, W.; Pan, D.; Guo, Z.; Yu, Y.; Chen, F. Fruit Physiology and Sugar-Acid Profile of 24 Pomelo (Citrus Grandis (L.) Osbeck) Cultivars Grown in Subtropical Region of China. Agronomy 2021, 11, 2393. [Google Scholar] [CrossRef]
- Vignati, E.; Lipska, M.; Dunwell, J.M.; Caccamo, M.; Simkin, A.J. Fruit Development in Sweet Cherry. Plants 2022, 11, 1531. [Google Scholar] [CrossRef] [PubMed]
- Jesus, F.; Gonçalves, A.C.; Alves, G.; Silva, L.R. Health Benefits of Prunus Avium Plant Parts: An Unexplored Source Rich in Phenolic Compounds. Food Rev. Int. 2022, 38 (Suppl. 1), 118–146. [Google Scholar] [CrossRef]
- Andre, C.M.; Larondelle, Y.; Evers, D. Dietary Antioxidants and Oxidative Stress from a Human and Plant Perspective: A Review. Curr. Nutr. Food Sci. 2010, 6, 2–12. [Google Scholar] [CrossRef]
- Wang, Z.; Pu, H.; Shan, S.; Zhang, P.; Li, J.; Song, H.; Xu, X. Melatonin Enhanced Chilling Tolerance and Alleviated Peel Browning of Banana Fruit under Low Temperature Storage. Postharvest Biol. Technol. 2021, 179, 111571. [Google Scholar] [CrossRef]
- Waszczak, C.; Carmody, M.; Kangasjärvi, J. Reactive Oxygen Species in Plant Signaling. Annu. Rev. Plant Biol. 2018, 69, 209–236. [Google Scholar] [CrossRef] [PubMed]
- Chen, G.; Ren, L.; Zhang, J.; Reed, B.M.; Zhang, D.; Shen, X. Cryopreservation Affects ROS-Induced Oxidative Stress and Antioxidant Response in Arabidopsis Seedlings. Cryobiology 2015, 70, 38–47. [Google Scholar] [CrossRef] [PubMed]
- Xu, X.; Guo, C.; Ma, C.; Li, M.; Chen, Y.; Liu, C.; Chu, J.; Yao, X. Brassinolide Soaking Reduced Nitrite Content and Extended Color Change and Storage Time of Toona Sinensis Bud during Low Temperature and near Freezing-Point Temperature Storage. Int. J. Mol. Sci. 2022, 23, 13110. [Google Scholar] [CrossRef] [PubMed]
- He, M.; Ge, Z.; Hong, M.; Hongxia, Q.; Duan, X.; Ze, Y.; Li, T.; Jiang, Y. Alleviation of Pericarp Browning in Harvested Litchi Fruit by Synephrine Hydrochloride in Relation to Membrane Lipids Metabolism. Postharvest Biol. Technol. 2020, 166, 111223. [Google Scholar] [CrossRef]
- Serra, S.; Anthony, B.; Boscolo Sesillo, F.; Masia, A.; Musacchi, S. Determination of Post-Harvest Biochemical Composition, Enzymatic Activities, and Oxidative Browning in 14 Apple Cultivars. Foods 2021, 10, 186. [Google Scholar] [CrossRef]
- Zhang, Z.; Huber, D.J.; Qu, H.; Yun, Z.; Wang, H.; Huang, Z.; Huang, H.; Jiang, Y. Enzymatic Browning and Antioxidant Activities in Harvested Litchi Fruit as Influenced by Apple Polyphenols. Food Chem. 2015, 171, 191–199. [Google Scholar] [CrossRef]
Disclaimer/Publisher’s Note: The statements, opinions and data contained in all publications are solely those of the individual author(s) and contributor(s) and not of MDPI and/or the editor(s). MDPI and/or the editor(s) disclaim responsibility for any injury to people or property resulting from any ideas, methods, instructions or products referred to in the content. |
© 2024 by the authors. Licensee MDPI, Basel, Switzerland. This article is an open access article distributed under the terms and conditions of the Creative Commons Attribution (CC BY) license (https://creativecommons.org/licenses/by/4.0/).





