Next Article in Journal
Comprehensive Analysis of Microbiomes and Metabolomics Reveals the Mechanism of Adaptation to Cadmium Stress in Rhizosphere Soil of Rhododendron decorum subsp. Diaprepes
Previous Article in Journal
Strawberry Volatile Organic Compounds for Targeted Metabolomics: The AMDIS Strawberry User Library from Korean Germplasm
 
 
Font Type:
Arial Georgia Verdana
Font Size:
Aa Aa Aa
Line Spacing:
Column Width:
Background:
Article

Identifying Grapevine Rootstocks Tolerant to Copper Excess

by
Edicarla Trentin
1,
Paulo Ademar Avelar Ferreira
2,
Felipe Klein Ricachenevsky
3,
Letícia Morsch
4,
Simoni Weide Belles
1,
Jacson Hindersmann
1,
Camila Peligrinotti Tarouco
5,
Fernando Teixeira Nicoloso
2,
Álvaro Luís Pasquetti Berghetti
1,
Lincon Oliveira Stefanello da Silva
1,
Raissa Schwalbert
2,
Henrique Pessoa dos Santos
6,
George Wellington Bastos de Melo
5 and
Gustavo Brunetto
1,*
1
Department of Soil Science, Federal University of Santa Maria, Campus Santa Maria, Santa Maria 97105-900, Brazil
2
Academic Coordination, Federal University of Santa Maria, Campus Cachoeria do Sul, Cachoeira do Sul 96506-322, Brazil
3
Department of Botany, Federal University of Rio Grande do Sul, Campus Porto Alegre, Porto Alegre 90040-060, Brazil
4
Rural Engineering Department, Center of Agricultural Science, Federal University of Santa Catarina (UFSC), Campus Florianópolis, Florianópolis 88034-001, Brazil
5
Department of Biology, Federal University of Santa Maria, Campus Santa Maria, Santa Maria 97105-900, Brazil
6
Empresa Brasileira de Pesquisa Agropecuária (Embrapa Uva e Vinho), Bento Gonçalves 95701-008, Brazil
*
Author to whom correspondence should be addressed.
Horticulturae 2024, 10(8), 883; https://doi.org/10.3390/horticulturae10080883
Submission received: 29 June 2024 / Revised: 6 August 2024 / Accepted: 18 August 2024 / Published: 21 August 2024
(This article belongs to the Section Plant Nutrition)

Abstract

The aim of the current study is to identify grapevine rootstocks with the potential to tolerate excessive Cu concentrations. Four grapevine rootstock genotypes were tested: Paulsen 1103, IAC 572, SO4 and Isabel. The plants were cultivated in nutrition solution added to the following treatments: 0.3 µM Cu and 80 µM Cu. Growth, nutrient concentration in tissue and the physiological and biochemical parameters were assessed. Rootstocks showed different growth responses to Cu excess in the solution. SO4, IAC 572 and Isabel markedly reduced growth under Cu excess compared to plants in the control solution, whereas genotype Paulsen 1103 showed a less pronounced effect. The root system of all genotypes presented a Cu increase under a high Cu concentration, as well as higher POD activity and H2O2 concentration than the control. Isabel presented the greatest sensitivity to Cu excess, as shown by leaf wilting and yellowing. Paulsen 1103 rootstock presented smaller changes in the observed parameters in the high Cu concentration solution than in the control solution. Our results indicate that Paulsen 1103 is the most tolerant to Cu excess, whereas Isabel is the most sensitive. There are natural genetic variations in tolerance to this abiotic stress that typically affect grapevine plants.

1. Introduction

Constant application of chemicals to the phytosanitary control of fungal diseases in vineyards increases the content of heavy metals such as copper (Cu) in the soil [1,2,3,4,5,6]. Cu excess can cause toxicity in plants by decreasing photosynthesis, as it interferes in the synthesis of photosynthetic pigments and in photosynthetic apparatus function, resulting in decreased growth [7,8,9]. High Cu concentrations can cause anatomic and morphological changes in roots, hindering water and nutrient absorption [7,8,9]. Plants increase the synthesis or activity of antioxidant enzymes such as superoxide dismutase (SOD), catalase (CAT) and peroxidases (POD), which act in ROS (reactive oxygen species) detoxification [7,8,9], in order to defend themselves from such an unbalance. However, excessive Cu concentration in cells often impairs their ability to reverse oxidative stress effects, since Cu stimulate ROS formation, resulting in damage to macromolecules.
Adopting strategies based on genetic diversity, such as selecting rootstock genotypes that are tolerant to excess Cu, can help maintain the yield rates in old vineyard replanting areas. Most of the cultivated grapevines are grafted because of the phylloxera disease incidence [Daktulosphaira vitifoliae (Fitch)] since the late 19th century [10]. In addition to phylloxera, rootstocks can promote resilience to other biotic and abiotic stresses [10]. Rootstock selection considers the compatibility among genetic materials (rootstock and scion); plant vigor; propagation easiness; effects on fruits’ physicochemical features; resistance to insects, diseases and nematodes; adjustment to soil features (pH, texture, depth, fertility, salinity and humidity) and climate (temperature and rainfall) [10,11].
Most grapevine rootstocks are interspecific hybrids of American species, such as Vitis riparia, Vitis rupestris and Vitis berlandieri, which are adapted to specific cultivation conditions, resulting in hybrids with a wide variety of traits [12,13]. Vitis riparia is adapted to relatively humid environments with a shallow root system, V. rupestris grows better in gravel and sandy soils with a deep rooting growth habit and V. berlandieri is adapted to calcareous high pH soils [12,13]. Among the rootstocks commonly used in Brazil are Paulsen 1103 (Vitis berlandieri × Vitis rupestris), IAC 572 ((Vitis riparia × Vitis rupestris) × Vitis caribaea) and SO4 (Vitis berlandieri × Vitis riparia), because they provide high canopy vigor, a high rooting rate and resistance to downy mildew (Plasmopara viticola) [14]. Also, Paulsen 1103 is adapted to dry and clayey soils, provides resistance to fusariosis (Fusarium oxysporum f. sp. herbemontis) and phylloxera; SO4 is moderately adapted to acid and saline soils; IAC 572 is adapted to clayey, sandy and acid soils and is resistant to fusariosis, phylloxera and nematodes and Isabel is commonly used as a scion grafted onto rootstocks but can also be planted directly in soil, provides lower canopy vigor and is resistant to anthracnose (Elsinoe ampelina) [14].
Grapevine rootstocks natural variation can result in distinct responses to biotic and abiotic stress [10,11,13]. Plants can present different defense mechanisms against environmental abiotic stress caused by an excess of metals available in crop sites [7,9,15]. Under Cu excess, plants with increased vigor may dilute Cu, resulting in decreased toxicity. Plants may also reduce Cu uptake, decrease Cu translocation to shoots to protect the photosynthetic apparatus or detoxify Cu in the root cell wall and/or vacuoles [7,9,15]. Plants can activate different defense mechanisms, depending on genotype, Cu concentration and plants’ exposure time to metals [7,15,16,17]. However, there is little knowledge about the tolerance of grapevine rootstocks to Cu excess in the soil. Thus, the aim of this study was to identify grapevine rootstocks with the potential to tolerate high Cu concentrations.

2. Materials and Methods

2.1. Plant Material and Growth Conditions

The experiment was conducted in a greenhouse at the Department of Soil Science at Federal University of Santa Maria (UFSM), Santa Maria City, Brazil. First, grapevine rootstocks were cultivated from stakes to induce budding and seedling formation within a 3-month period of time. The stakes used were derived from Paulsen 1103 (Vitis berlandieri × Vitis rupestris), IAC 572 ((Vitis riparia × Vitis rupestris) × Vitis caribaea), SO4 (Vitis berlandieri × Vitis riparia) and Isabel (Vitis labrusca) plants. Plantlets were transferred to pots (3-L capacity) [18] with 0.2 % of nutrient solution at pH 5.5. The solution comprised (mg L−1) N = 85.31, p = 7.515, K = 104.75, Ca = 97.64, Mg = 23.68, S = 11.54, Fe = 2.68, Cu = 0.03, Zn = 0.13, Mn = 0.11, B = 0.27, Mo = 0.05 and Ni = 0.01. The solution was continuously aerated using aquarium pumps and replaced every three days. Each pot had one plant, which was fixed with Styrofoam covers to decrease the water loss due to evaporation.
After the acclimation period of 10 days, plants were cultivated for another 15 days under different Cu concentrations. The following treatments were applied: 0.3 µM Cu (Control) and 80 µM Cu. The Cu dose selected was based on previous studies [19]. Copper (Cu) was supplemented with CuSO4.5H2O. The experiment followed a completely randomized design, with four repetitions per treatment.

2.2. Height, Dry Matter Yield and Tissue Nutrient Concentration

Shoot height was measured at the end of the experiment with the aid of measuring tape. Plants were collected after 15 days of cultivation. Shoots and roots were separated and washed in running water and, subsequently, in distilled water. Samples were dried in a forced air circulation oven at ±65 °C until constant mass was reached. Next, the root and shoot dry mass were measured on precision scales. Samples were ground in Wiley Mill and prepared for chemical analysis.
Part of the tissue (shoots and roots) was prepared and subjected to nitric-perchloric digestion [19]. Calcium (Ca), magnesium (Mg), manganese (Mn), copper (Cu), zinc (Zn) and iron (Fe) concentrations in the extract were determined using an atomic absorption spectrophotometer (AAS, Varian SpectrAA-600, Victoria, Australia); potassium (K) using a flame photometer (DM62, Digimed, São Paulo, Brazil) and the phosphorus (P) concentration was determined through the methodology by [20] by means of colorimetry carried out with a spectrophotometer (SF325NM, Bel Engineering, Monza, Italy). The remaining tissue was subjected to sulfur digestion to find the nitrogen (N) concentration, based on the Kjeldahl method conducted in a steam distiller (TE-0364, Tecnal, São Paulo, Brazil) [21].
The Cu translocation factor (TF) from the root system to the shoot was calculated through the following equation: TF = Cshoot/Croot, wherein Cshoot represents the Cu concentration (mg kg−1 dry matter) in the shoot, and Croot is the Cu concentration in the roots [22,23].

2.3. Photosynthetic Activity

The photosynthetic activity was measured 15 days after treatment application. Measurements of the leaves located in the upper middle third of the plant shoot were taken with the aid of an infrared gas analyzer (Li-6400, Li-COR Inc., Lincoln, NE, USA). The net photosynthetic rate (A), internal CO2 concentration (Ci), transpiration rate (E), CO2 stomatal conductance (Gs), water use efficiency (WUE) and instantaneous carboxylation efficiency (A/Ci) were determined in the leaf chamber at a CO2 concentration of 400 μmol mol−1, temperature of 20/25 °C, relative humidity of 50 ± 5% and photon flux density of 1000 μmol m2 s−1. The net photosynthetic rate (A), internal CO2 concentration (Ci), transpiration rate (E) and CO2 stomatal conductance (Gs) were calculated through the equations by Von Caemmerer and Farquhar (1981).

2.4. Chlorophyll a Fluorescence

Chlorophyll a fluorescence analysis was carried out 15 days after treatment application with the aid of a JUNIOR-PAM fluorometer (Walz Photosynthesis instruments, Effeltrich, Germany). Fluorescence measurements were taken between 8:00 a.m. and 10:00 a.m. under radiation of 600 μmol m−2 s−1, on average, in leaves located in the upper-third of the shoot [24]. The leaves were allowed to acclimate to the dark for 30 min before the readings; the leaf blade was covered with aluminum foil to determine the minimal initial fluorescence level (F0) (<0.05 µmol m−2 s−1 per 1.8 µs). Subsequently, they were subjected to a saturating light pulse (10,000 μmol m−2 s−1) for 0.6 s to determine the maximum fluorescence (Fm). The maximum quantum yield of PSII (Fv/Fm), effective quantum efficiency of PSII (Y(II)) and non-photochemical quenching (NPQ) were calculated based on the fluorescence parameters.
The maximum electron transport rate (ETRmax) was determined in the dark period changed before dawn (5:00–6:00 a.m.) [24]. The ETR of each sample was evaluated through light curve emission (photosynthetically active radiation, PAR) at 9 different intensity levels (0, 125, 190, 285, 420, 625, 820, 1150 and 1500 µmol electrons m−2 s−1) for 10 s. Measurements were calculated through equation ETR = ETRmax [1 − ekQ], wherein k is the constant, and Q is light intensity (PAR) [25].

2.5. Enzymatic Activity in Grapevine

Root samples were collected at the end of the experiment, immediately placed in liquid N2 and stored in an ultrafreezer at −80 °C until the time to carry out the enzyme analysis.
The hydrogen peroxide (H2O2) concentration in the tissue (shoots and roots) was determined based on [26]. The aliquot of approximately 0.1 g of sample was homogenized in 1.5 mL of 0.1% TCA (w/v). The homogenate was centrifuged at 10,000× g for 15 min at 4 °C. The H2O2 concentration was determined by comparing its absorbance of 0.5 mL of potassium phosphate buffer (10 mM) (pH 7.0) and 1 mL of KI (1 M) at 390 nm on the standard calibration curve.
The aliquot of 1 g of tissue (shoots and roots) was homogenized in 3 mL of 0.05 M sodium phosphate buffer (pH 7.8) and added to 1 mM EDTA and 1% Triton X-100 for the enzymatic analysis. The homogenate was centrifuged at 13,000× g for 20 min at 4 °C. The supernatant was used to determine the protein content. Superoxide dismutase (SOD) activity was determined through the colorimetric method described by [27]; the peroxidase activity (POD) in the extract was determined based on [28].

2.6. Statistical Analysis

The experiment was conducted in a completely randomized experimental design in a 4 × 2 factorial scheme with four replications. Factor A consisted of four rootstocks: Paulsen 1103, SO4, IAC 572 and Isabel, and factor B consisted of a control solution (0.3 µM Cu) and a solution containing 80 µM Cu. The results were subjected to analysis of variance in Sisvar software, version 4.0 [29]. All the data were transformed when necessary to meet the assumptions of normality and homoscedasticity. When the effect of the treatments was significant, the means recorded for the grapevine rootstocks were separated through Tukey’s test at 5% (p < 0.05), and the means recorded for the treatments (control and with a high Cu addition) were separated by t-test (LSD) at 5% (p < 0.05).
The multivariate principal component analysis (PCA) was carried out with Canoco software, version 4.5 [30] to complete the variance analysis. Principal component analysis (PCA) was carried out based on the following photosynthetic parameters: net photosynthetic rate, stomatal conductance, intercellular CO2 concentration, transpiration rate, water use efficiency and instantaneous efficiency of carboxylation, as well as on the chlorophyll a fluorescence parameters, such as initial fluorescence, effective quantum efficiency of PSII, maximum PSII quantum yield and non-photochemical quenching; on the N, P, K, Ca, Mg, Cu, Zn, Fe and Mn concentrations in the shoot and root; on the oxidation stress parameters (POD and H2O2 in the roots) and on the plant growth parameters such as plant height, root and shoot dry mass. Principal component analysis (PCA) was conducted based on a set of principal components (in this case, we used components 1 and 2) that reflected a set of orthogonal standardized linear combinations; together, these combinations explained the observed data original variability.

3. Results

3.1. Growth of Different Grapevine Rootstock Genotypes

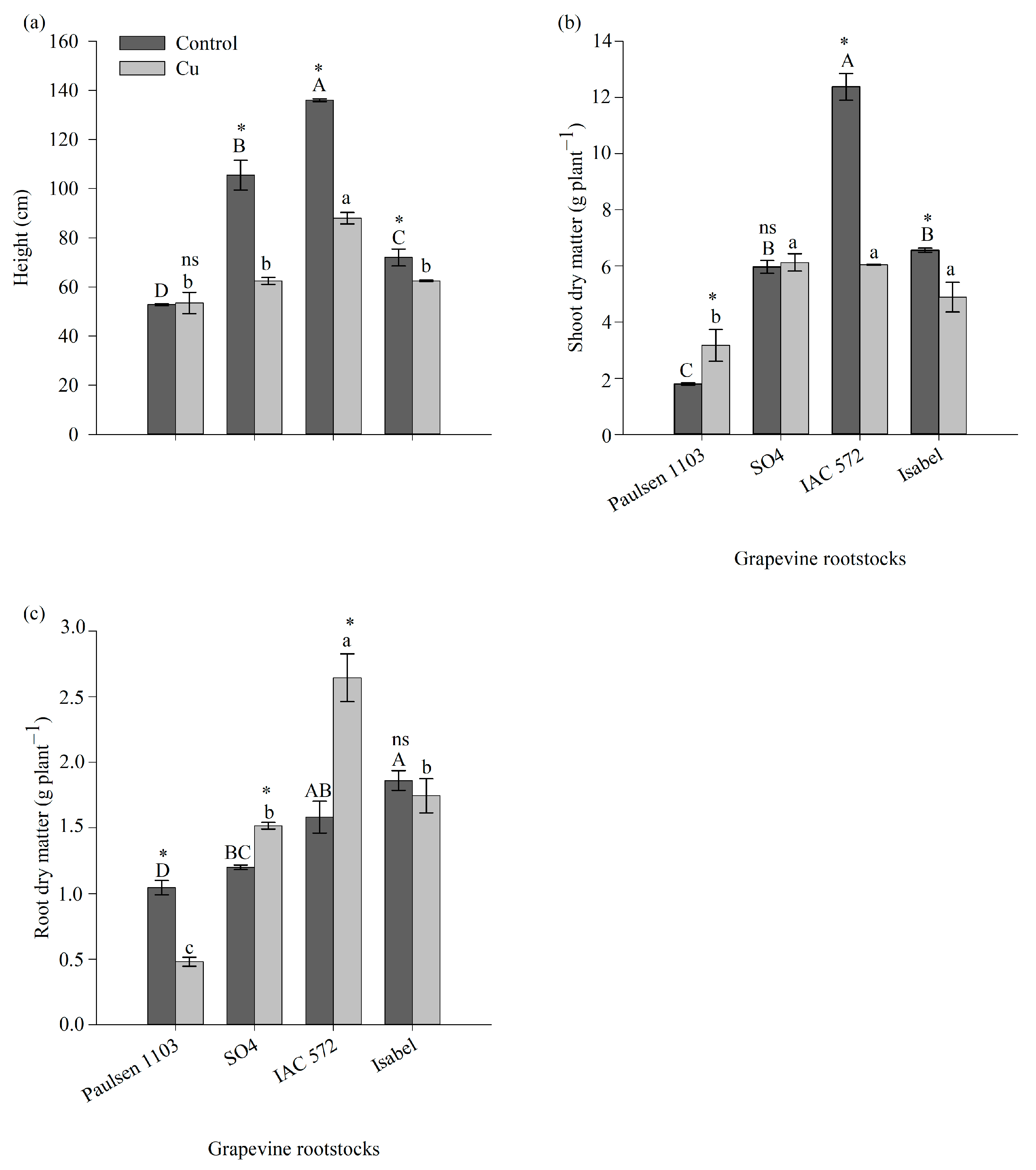
Regarding plant height, there was an interaction between the rootstock factors and Cu concentration (p < 0.05). Only for the cultivar Paulsen 1103, there was no significant difference comparing the control treatment and high Cu. Rootstocks SO4, IAC 572 and Isabel grown in a high Cu concentration solution presented reductions by 41%, 35% and 13% in plant height, respectively (Figure 1a and Figure S1) in comparison to the control solution. Also, IAC 572 and Isabel showed reductions by 51% and 26% in the plant dry mass yield in plants grown in the high Cu concentration solution in comparison to the control, respectively (Figure 1b). On the other hand, Paulsen 1103 and SO4 presented higher shoot dry mass yields in the high Cu concentration solution than plants cultivated in the control solution (Figure 1b). The development of the root system of IAC 572 and SO4 rootstocks grown in excess Cu solution showed a significant difference in relation to the control treatment. The root dry mass yielded 1.67 and 1.26 times higher than seedlings cultivated in the control solution, respectively (Figure 1c). Paulsen showed a root dry mass 2.17 times lower in the solution with a high Cu concentration than in the control solution (Figure 1c and Figure S2).

3.2. Nutrient Homeostasis

We found several statistically significant variations in the elemental concentrations in the roots and shoots of rootstocks. The concentrations of N, P, K, Ca, Mg and Mn were significantly higher in the shoot of rootstocks grown in the control solution than in Cu excess solution (Table 1 and Table 2). The highest Cu concentrations in the shoot were observed for Isabel rootstock grown in the control solution; however, a higher Cu concentration in the shoot was observed for rootstocks Paulsen 1103 and SO4 grown in high Cu concentration solutions in comparison to the control solution (Table 2).
The highest P, K, Ca and Mg concentrations in the roots were observed for all the rootstocks grown in the control solution (Table 1). The highest Cu concentrations in the roots were seen in the rootstocks grown in Cu excess solution (Table 2). Rootstocks Paulsen 1103 and SO4 presented the highest Fe concentrations in the roots when they were grown in the high Cu concentration solution, and the highest Mn concentrations in the roots were observed in plants cultivated in the control solution. The highest Fe concentrations in rootstocks IAC 572 and Isabel were observed in plants grown in the control solution, and the highest Mn concentration in these rootstocks was recorded for plants cultivated in the high Cu concentration solution (Table 2). The highest Zn concentrations were observed in the roots of most rootstocks cultivated in the control solution, except for Paulsen 1103, which presented the highest Zn concentration in the roots of plants grown in Cu excess solution (Table 2). Rootstocks Paulsen 1103 and SO4 showed the highest Cu concentration in the shoots when submitted to Cu excess. Under the control, IAC 572 and Paulsen 1103 had the highest Cu concentration values. Interestingly, the Mn concentration in the shoots were reduced in all four rootstocks when exposed to Cu (Table 2).
The TF values from the root system to the shoot were higher in rootstocks cultivated in the control solution than in the ones cultivated in the high Cu concentration solution. Rootstocks SO4 and Isabel presented the highest TF values (Table 3).

3.3. Photosynthetic Activity and Chlorophyll a Fluorescence

Rootstocks cultivated under higher Cu concentrations have significantly reduced net photosynthesis rates (A), stomatal conductance (Gs), CO2 intercellular concentration (Ci) and transpiration rate (E) in comparison to the ones cultivated in the control solution (Figure 2a–d). The photosynthetic rate ranged from 3.94 to 13.26 μmol CO2 m−2 s−1. The highest values were observed for rootstocks Paulsen 1103 and Isabel under the control conditions, whereas SO4 and IAC 572 had lower values (Figure 2a). All rootstocks decreased net photosynthesis under high Cu (Figure 2a). The stomatal conductance in rootstocks SO4 and Isabel was 60.47 and 14.62 times higher in the control solution than that recorded in the high Cu concentration solution (Figure 2b). The highest values of the intracellular CO2 concentration and transpiration rate were found in plants subjected to the control treatment (Figure 2c). The instantaneous efficiency of carboxylation (A/Ci) was 1.93 times higher in rootstock Paulsen 1103 cultivated in the control solution than in the ones cultivated in the high Cu concentration solution (Figure 2e). Water use efficiency (WUE) was higher in rootstock SO4 than in the other rootstocks; it was 11.72 times higher in the high Cu concentration solution than in plants grown in the control solution (Figure 2f). Therefore, Paulsen 1103 was shown to be capable of keeping photosynthesis under Cu excess conditions, whereas the other genotypes were more affected by Cu.
The highest initial fluorescence values (F0) were observed for SO4 grown under both culture conditions (Figure 3a). Rootstocks SO4, IAC 572 and Isabel did not present differences between Cu treatments in F0, whereas rootstock Paulsen 1103 showed a F0 27% higher when it was grown in a high Cu concentration solution than plants cultivated in the control solution (Figure 3a). Rootstocks Paulsen 1103 and SO4 evidenced lower values of effective quantum efficiency of Photosystem II (Y(II)), which were 1.24 and 2.43 times lower in plants cultivated in a high Cu concentration solution than in the control solution, respectively (Figure 3b). The highest values of the PSII maximum quantum yield (Fv/Fm) were observed for Paulsen 1103 and Isabel grown under both culture conditions (Figure 3). Rootstock IAC 572 presented a higher Fv/Fm value when it was cultivated in a Cu excess solution than plants cultivated in the control solution. Rootstocks Paulsen 1103 and SO4 showed higher values of fluorescence loss in the form of heat (NPQ), which were 1.33 and 1.62 times lower, when they were cultivated in Cu excess solution than that of plants subjected to the control treatment, respectively (Figure 3). On the other hand, IAC 572 presented 1.26 times NPQ reduction in the Cu excess treatment in comparison to the control (Figure 3).
The electron transport rate (ETR) increased according to the photosynthetic active radiation intensity emitted in all rootstocks in both treatments (Figure 4a,b). Lower ETR values were observed for all rootstocks grown in high Cu concentration solution than for plants cultivated in the control solution. Rootstock IAC 572 presented the highest ETR in the control treatment, approximately 80 nmol m−2 s−1, under the highest emitted radiation (1500 μmol m−2 s−1). The lowest ETR value was recorded for rootstock Isabel, approximately 50 nmol m−2 s−1, under the highest emitted radiation value (Figure 4a).
The highest ETR values were observed for SO4 subjected to the treatment with a high Cu concentration; it showed values close to 40 nmol m−2 s−1 under the maximal emitted radiation (Figure 4b). On the other hand, Isabel presented the lowest ETR value, which reached approximately 20 nmol m−2 s−1 under maximal emitted radiation (Figure 4b). Therefore, these data suggest that rootstock Isabel recorded the greatest photosynthesis loss when exposed to Cu excess, indicating this is the most sensitive genotype.

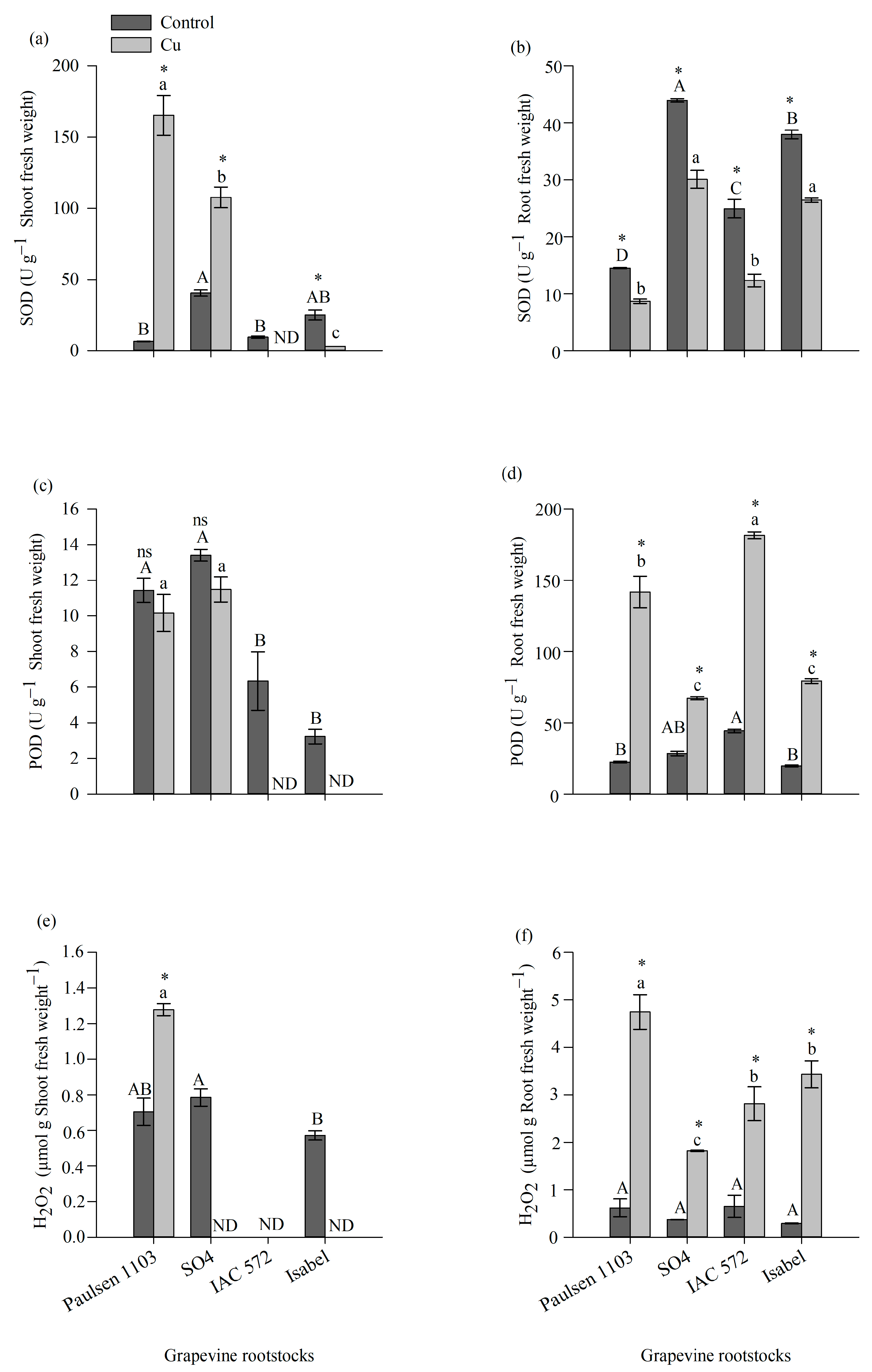
3.4. Enzymatic Activity

SOD and POD activities and the H2O2 concentration were assessed in the shoots and roots of different rootstocks (Figure 5). Rootstocks IAC 572, Isabel and SO4 did not produce enough biomass for enzymatic and H2O2 concentration analyses on the shoots when they were cultivated in a high Cu concentration solution (Figure 5a,c,e). SOD activity in the shoots was 25.04 and 2.66 times higher in rootstocks Paulsen 1103 and SO4 cultivated in Cu excess solution, respectively, than in plants subjected to the control treatment (Figure 5a). POD activity did not present a statistic difference in these two rootstocks (Figure 5c). The shoot H2O2 concentration in rootstock Paulsen 1103 was 1.83 times higher in Cu excess solution than in plants grown in the control solution (Figure 5e).
The POD activity and H2O2 concentration were higher in the roots of all the rootstocks cultivated in a high Cu concentration solution than in plants cultivated under the control treatment (Figure 5d,f). On the other hand, the SOD concentration in the roots of all the rootstocks showed the lowest activity when they were cultivated in a high Cu concentration solution (Figure 5b). SO4 showed the highest SOD concentration in roots grown in the control solution, 1.46 times higher than plants cultivated in Cu excess solution (Figure 5b). IAC 572 cultivated in a high Cu concentration presented the highest POD concentration in the roots, 4.09 times higher than plants cultivated in the control solution (Figure 5d). The H2O2 concentration in the roots of Paulsen cultivated in a high Cu concentration solution was the highest, 7.71 times the plants grown in the control solution (Figure 5f).

3.5. Principal Component Analysis

Principal component analysis (PCA) was carried out by only extracting the two first components (PC1 and PC2), which, together, explained 62.33% of the original data variability (Figure 6). Principal component 1 explained 42.31% of the variability and recorded the strongest influence on the N, K and Ca concentrations in the shoots, as well as on P, K, Mg and Cu in the roots and photosynthetic rate, on the stomatal conductance, internal CO2 concentration and transpiration rate. Principal component 1 (PC1) was efficient in separating the treatments into two great groups: the group on the right (smaller ellipse), which held treatments with rootstocks subjected to a high Cu concentration solution, and the group on the left, which encompassed the same rootstocks under control conditions, i.e., a low Cu concentration solution (bigger ellipse) (Figure 6). Principal component 2 (PC2) explained approximately 20% of the data variation; it encompassed response variables that mostly influenced the N concentration in the roots, as well as the association between the photosynthetic rate and internal CO2 concentration. Principal component 2 (PC2) was efficient in separating grapevine rootstocks IAC 572 and Isabel from the genetic materials of Paulsen 1103 and SO4 when they were subjected to the control conditions. The separation of grapevine rootstocks was subtler in the highest Cu concentration solution; therefore, it separated grapevine rootstock Paulsen 1103 from the other ones.

4. Discussion

Different responses between rootstock genotypes cultivated in the control solution and in a high Cu concentration solution can be attributed to the genetic variability intrinsic to each genotype [31]. Such responses might be related mechanisms developed to adapt to Cu toxicity, as already shown [32]. According to these authors, grape rootstocks’ mechanisms to adapt to Cu excess can vary between different genetic materials, for example, rootstock Fercal induces root system development as a mechanism to tolerate Cu excess, since it enables roots to increase and, consequently, allows greater Cu accumulation in the roots, avoiding shoot translocation and its deleterious effects. On the other hand, rootstock 196.17 induces expression responses at the molecular level by increasing the regulation of divalent cation transporters in response to Cu-induced Mn deficit, which might be adaptive. Therefore, it is expected that distinct genetic materials show distinct behaviors under high Cu.
Cu excess is known to impair plant growth [4,5,17,32]. In our study, we observed clear differences in growth comparing the four genotypes. IAC 572 plants presented the highest height and shoot dry mass values in the control condition, followed by SO4, showing that these are vigorous grapevine rootstocks (Figure 1) [14]. This may also be linked to the effect of high Cu in these genotypes, which had the more pronounced relative effect on height (i.e., comparing the control and high Cu conditions; Figure 1a), whereas IAC 572 was the most affected one considering shoot dry matter (Figure 1b). On the other hand, Paulsen 1103 plants, although presenting lower shoot growth values than the other rootstocks, presented an increased shoot dry mass in the Cu excess solution. Shoot growth stimulus and root system reduction in Paulsen 1103 plants under the high Cu availability condition can be related to the plant response mechanism to Cu excess. The highest root dry matter values recorded for SO4 and IAC 572 in the high Cu concentration solution (Figure 1c) can be associated with anatomic and morphological changes caused by Cu excess in the roots; yet, they can be a defense strategy of plants against the excess of metal availability [32]. High Cu concentration availability in the solution can change the cell differentiation process and thicken the roots, mainly in the apical region, as well as induce growth in the secondary lateral roots [33,34,35]. On the other hand, root system growth induction in a high Cu concentration solution can be a plant defense mechanism against the excess of metals; this process is expressed by the greatest Cu absorption in the functional groups deprotonated in the cell wall [17,34]. Part of Cu can be stored in cell vacuoles in the root system and act as the cell detoxification mechanism and Cu concentration control in cells [36]; in addition, the root surface area increase potentiates water and nutrient absorption by plants [17,33,34]. Our work provides evidence of variations in these rootstocks, which could be further explored in detail to understand the molecular basis of such variations.
Nutrient concentration reduction in the shoots and roots of rootstocks grown in Cu excess solution can be related to changes in the plants’ mineral composition due to a high Cu concentration in the solution [17,37,38] and to changes caused by Cu excess in the plants’ root system. These changes can hinder water and nutrient absorption, in comparison to plants subjected to the control treatment (Table 1 and Table 2) [9,33]. Cu is a divalent cation that can have a negative influence on the absorption and translocation of other nutrients at high concentrations [17,39,40], depending on the plant species and growth conditions [41]. As expected, Cu accumulated, to a larger extent, in the root systems of all rootstocks analyzed. Interestingly, Isabel had the highest Cu translocation factor from roots to shoots, suggesting that the accumulation of Cu coupled with translocation might be linked to low Cu excess tolerance (Table 2 and Table 3). IAC 572, which also showed clear high Cu effects, had high Cu accumulation in the roots (Table 2). Paulsen, which seemed more tolerant in our experiments and had the lowest Cu concentration in the roots and the lowest translocation factor (Table 2 and Table 3). Cu accumulation in the plants’ root system has previously been suggested as a defense mechanism, in which the excessive metal could accumulate in the cell wall and root vacuoles to reduce Cu translocation to the shoots, which are more sensitive to toxic effects due to Cu excess, and consequently, it can reduce the toxicity [5,33,42]. Our study, however, suggests that distinct genotypes might have variable Cu partitioning strategies and that it may affect the Cu tolerance. Therefore, we may need to think of groups of strategies for Cu tolerance, such as those proposed for iron excess tolerance in rice (root exclusion, shoot exclusion, shoot-based tolerance, etc.).
We also observed that the Cu excess treatment changed the concentrations of other micronutrients. Mn, for example, was consistently decreased in the shoots of all four rootstock genotypes when exposed under Cu excess (Table 2). Such a decrease is consistent with other studies on grapevines that showed Cu excess induces secondary Mn deficiency [17,32]. Interestingly, we also found that the Fe concentrations were significantly changed in the roots of all the genotypes. However, while Paulsen and SO4 increased, IAC and Isabel markedly decreased in Fe concentration, therefore showing opposite patterns (Table 2). Although Fe and Cu use different sets of transporters, Fe and Cu homeostasis are known to crosstalk. Whether these changes have physiological implications in Cu tolerance remains to be studied in future works.
As expected, the parameters related to plant photosynthetic activity were decreased in all rootstocks cultivated in the control solution compared to the ones grown in Cu excess solution (Figure 3). This outcome can be attributed to the phytotoxic effect of Cu excess solution on the integrity and functions of the photosynthetic apparatus, as well as on the synthesis of photosynthetic pigments [42,43]. Changes in the parameters related to plants’ photosynthetic activity caused by high Cu concentrations were also observed in other studies [42,43,44,45,46]. Rootstocks SO4, IAC 572 and Isabel presented similar behavior to the photosynthetic variables, mainly when it came to the Gs, Ci and E parameters in the control solution in comparison to Paulsen 1103. Paulsen 1103 presented the highest carboxylation efficiency in both the control solution and in the high Cu concentrations. Again, this points to Paulsen 1103 as the most tolerant rootstock genotype and that photosynthesis maintenance might be linked.
The initial chlorophyll a fluorescence was higher in rootstock Paulsen 1103 cultivated in a high Cu concentration solution (Figure 3); it can be explained by the reduced content of photosynthetic pigments and by damages to the plant photosynthetic apparatus resulting from metal excess; this process leads to the emission of more radiation in the form of fluorescence [43]. The values of Y(II) were significantly reduced in rootstocks Paulsen 1103 and SO4 grown in Cu excess solution in comparison to the plants grown in the control solution; this outcome can be related to their higher sensitivity to Cu excess for this variable, which influences the photosynthetic apparatus of these plants [42,43]. The highest NPQ values observed for rootstocks SO4 and Paulsen 1103 cultivated in Cu excess solution can be explained by the effect of Cu excess on the photosynthetic apparatus: it reduces the amount of radiation emitted for the photosynthetic and fluorescence activity, as well as increases the amount of radiation lost in the form of heat [42,43].
The electron transport rate is closely correlated to plant photosynthetic activity [47]. As expected, ETR is affected by Cu excess: the ETR values in rootstocks under Cu excess are 50% of those observed in plants grown in the control condition (Figure 4). These results can be related to the effect of Cu excess on photosynthetic pigment reduction and to damages caused to the photosynthetic apparatus of the plants [4,43,48,49]. Rootstock Isabel had the lowest ETR values and was the first to present clear toxicity symptoms due to Cu excess in the solution (Figure 4), such as leaf wilting and yellowing. This outcome again pointed to Isabel as the most sensitive rootstock to Cu excess in comparison to the other genotypes.
High Cu concentrations stimulate ROS (reactive oxygen species) formation, which can be harmful for plants and cause lipid peroxidation in cell membranes [8,9]. Plants synthesize enzymatic antioxidants accountable for ROS detoxification in response to its formation [8]; the formation of H2O2 takes place by superoxide dismutation (O2), which is performed by superoxide dismutase (SOD). The H2O2 level in the roots was higher in all rootstocks cultivated in Cu excess solution, probably due to ROS formation [2,8,9]. The plants also increased the synthesis of peroxidases (POD), and they inactivated the H2O2 molecules in response to the H2O2 concentration increase, which, consequently, reduced the damages caused by oxidative stress in the plants. The Cu concentration in the roots of the rootstocks was related to POD in the roots (Figure 5) due to the activation of an antioxidant defense mechanism developed to fight ROS formed by Cu excess in the tissue. The ROS production increase resulted from the excess of Cu available, as well as the activation of antioxidant enzymatic mechanisms, as observed by [2] in grapevine leaves of the variety Cabernet Sauvignon (Vitis vinifera) grafted in rootstock SO4 in three different vineyards that were implanted in 2004, 1998 and 1977 [49], in oat plants (Avena strigosa Schereb.) and [4] an increased synthesis of antioxidant enzymes was observed in young grapevines cultivated in soil with a high Cu and Zn content, due to the excess of metal availability.
Principal component analysis (Figure 6) clearly separated the two conditions in the control and high Cu concentration based on the negative effects caused by Cu excess on the assessed variables. Rootstocks cultivated in a high Cu concentration solution formed the groups based on the Cu concentration in the root system, on the antioxidant enzyme (POD) response and on the photosynthetic variables (NPQ and WUE). Rootstocks subjected to the control solution were also separated into two groups based on the features intrinsic to each genetic material and to their similarities; IAC 572 and Isabel were separated from genetic materials Paulsen 1103 and SO4. On the other hand, rootstock Paulsen 1103 grown in a high Cu concentration solution was separated from the other rootstocks due to its different behavior in response to the exposure to stress conditions caused by Cu excess.

5. Conclusions

The rootstock genotypes evaluated here had different responses to Cu excess. All the rootstocks showed negative effects on their growth, photosynthetic and biochemical activity due to the excess of Cu availability. Rootstock Isabel presented the highest sensitivity to Cu excess. Rootstock Paulsen 1103 had smaller changes in the high Cu concentration solution, suggesting tolerance to Cu excess. Thus, our results pointed out that Paulsen 1103 is the most tolerant genotype, whereas Isabel is the most sensitive to Cu excess, and that Cu accumulation in roots, translocation to shoots and carboxylation efficiency combined with ETR might be good data to characterize these tolerant and sensitive genotypes. Attempts to understand the differential mechanisms of Cu excess responses in these rootstocks might help improve Cu tolerance in grapevines.

Supplementary Materials

The following supporting information can be downloaded at https://www.mdpi.com/article/10.3390/horticulturae10080883/s1: Figure S1. Grapevine rootstock images (Paulsen 1103, SO4, IAC 572 and Isabel) after 15 days of cultivation in the control (0.3 µM Cu) or a high Cu (80 µM Cu) nutrient solution. Figure S2. Root system image from rootstock Paulsen 1103 after 15 days of cultivation in the control (0.3 µM Cu) or a high Cu (80 µM Cu) nutrient solution.

Author Contributions

E.T.: study design, accomplishment of the experiment, laboratory analysis, interpretation of the results and writing of the article. L.M., S.W.B., L.O.S.d.S. and J.H.: accomplishment of the experiment, laboratory analysis, interpretation of the results and writing of the article. C.P.T., R.S., and F.T.N.: study design, biochemical analysis on the plants, photosynthetic analysis, accomplishment of the experiment and writing of the article. Á.L.P.B.: chlorophyll a fluorescence analysis, accomplishment of the experiment and writing of the article. P.A.A.F., F.K.R. and G.B.: study design, interpretation of the results and writing of the article. H.P.d.S. and G.W.B.d.M.: interpretation of the results and writing of the article. All authors have read and agreed to the published version of the manuscript.

Funding

The authors are grateful to Coordenação de Aperfeiçoamento de Pessoal de Nível Superior (Brazilian Federal Agency for Support and Evaluation of Graduate Education)—CAPES, Conselho Nacional de Desenvolvimento Científico e Tecnológico (Brazilian National Council for Scientific and Technological Development)—CNPq (Process numbers 408318/2018-0 and 302023/2019-4) and Fundação de Amparo à Pesquisa do Estado do Rio Grande do Sul (Foundation for Research Support of the State of Rio Grande do Sul)—FAPERGS (Grant 17/2551-0000925-8) for the scholarships provided and the financial resources made available for this study.

Data Availability Statement

The original contributions presented in the study are included in the article, further inquiries can be directed to the corresponding author.

Conflicts of Interest

The authors declare no conflicts of interest.

References

  1. Girotto, E.; Ceretta, C.A.; Brunetto, G.; Miotto, A.; Tiecher, T.L.; De Conti, L.; Lourenzi, C.R.; Lorensini, F.; Gubiani, P.I.; Silva, L.S.; et al. Copper availability assessment of Cu-contaminated vineyard soils using black oat cultivation and chemical extractants. Environ. Monit. Assess. 2014, 186, 9051–9063. [Google Scholar] [CrossRef]
  2. Miotto, A.; Ceretta, C.A.; Brunetto, G.; Nicoloso, F.T.; Girotto, E.; Farias, J.G.; Tiecher, T.L.; De Conti, L.; Trentin, G. Copper uptake, accumulation and physiological changes in adult grapevines in response to excess copper in soil. Plant Soil. 2014, 374, 593–610. [Google Scholar] [CrossRef]
  3. Brunetto, G.; Melo, J.W.B.; Terzano, R.; Del Buono, D.; Astolfi, S.; Tomasi, N.; Pii, Y.; Mimmo, T.; Cesco, S. Copper accumulation in vineyard soils: Rhizosphere processes and agronomic practices to limit its toxicity. Chemosphere 2016, 162, 293–307. [Google Scholar] [CrossRef]
  4. Tiecher, T.L.; Tiecher, T.; Ceretta, C.A.; Ferreira, P.A.A.; Nicoloso, F.T.; Soriani, H.H.; De Conti, L.; Kulmann, M.S.S.; Schneider, R.O.; Brunetto, G. Tolerance and translocation of heavy metals in young grapevine (Vitis vinifera) grown in sandy acidic soil with interaction of high doses of copper and zinc. Sci. Hortic. 2017, 222, 203–212. [Google Scholar] [CrossRef]
  5. Tiecher, T.L.; Soriani, H.H.; Tiecher, T.; Ceretta, C.A.; Nicoloso, F.T.; Tarouco, C.P.; Clasen, B.E.; De Conti, L.; Tassinari, A.; Melo, G.W.B.; et al. The interaction of high copper and zinc doses in acid soil changes the physiological state and development of the root system in young grapevines (Vitis vinifera). Ecotoxicol. Environ. Saf. 2018, 148, 985–994. [Google Scholar] [CrossRef]
  6. Baldi, E.; Miotto, A.; Ceretta, C.A.; Quartieri, M.; Sorrenti, G.; Brunetto, G.; Toselli, M. Soil-applied phosphorous is an effective tool to mitigate the toxicity of copper excess on grapevine grown in rhizobox. Sci. Hortic. 2018, 227, 102–111. [Google Scholar] [CrossRef]
  7. Yruela, I. Copper in plants: Acquisition, transport and interactions. Funct. Plant Biol. 2009, 36, 409–430. [Google Scholar] [CrossRef]
  8. Marschner, P. Mineral Nutrition of Higher Plants, 3rd ed.; Academic Press: London, UK, 2012. [Google Scholar]
  9. Adrees, M.; Ali, S.; Rizwan, M.; Ibrahim, M.; Abbas, F.; Farid, M.; Zia-Ur-Rehman, M.; Irshad, M.K.; Bharwana, S.A. The effect of excess copper on growth and physiology of important food crops: A review. Environ. Sci. Pollut. Res. Int. 2015, 22, 8148–8162. [Google Scholar] [CrossRef]
  10. Ollat, N.; Bordenave, L.; Tandonnet, J.P.; Marguerit, E.; Boursiquot, J.M. Grapevine rootstocks: Origins and perspectives. Acta Hortic. 2016, 1136, 11–22. [Google Scholar] [CrossRef]
  11. Warschefsky, E.; Klein, L.; Frank, M.; Chitwood, D. Rootstocks: Diversity, domestication, and impacts on shoot phenotypes. Trends Plant Sci. 2016, 21, 418–437. [Google Scholar] [CrossRef]
  12. Zhang, L.; Marguerit, E.; Rossdeutsch, L.; Ollat, N.; Gambetta, G.A. The influence of grapevine rootstocks on scion growth and drought resistance. Theor. Exp. Plant Physiol. 2016, 28, 143–157. [Google Scholar] [CrossRef]
  13. Ollat, N.; Peccoux, P.; Papura, D.; Esmenjaud, D.; Marguerit, E.; Tandonnet, J.P.; Bordenave, L.; Cookson, S.J.; Barrieu, F.; Rossdeutsch, L.; et al. Rootstocks as a component of adaptation to environment. In Grapevine in a Changing Environment: A Molecular and Ecophysiological Perspective, 1st ed.; Gerós, H., Chaves, M.M., Gil, H.M., Delrot, S., Eds.; Wiley: Hoboken, NJ, USA, 2016. [Google Scholar]
  14. EMBRAPA UVA E VINHO. Cultivares de Uva e Porta-Enxertos de Alta Sanidade. Available online: https://www.embrapa.br/uva-e-vinho/cultivares-e-porta-enxertos (accessed on 12 February 2018).
  15. Yruela, I. Copper in plants. Braz. J. Plant Physiol. 2005, 17, 145–156. [Google Scholar] [CrossRef]
  16. Fidalgo, F.; Azenha, M.; Silva, A.F.; Sousa, A.; Santiago, A.; Ferraz, P.; Teixeira, J. Copper-induced stress in Solanum nigrum L. and antioxidant defense system responses. Food Energy Secur. 2013, 2, 70–80. [Google Scholar] [CrossRef]
  17. Marastoni, L.; Sandri, M.; Pii, Y.; Valentinuzzi, F.; Brunetto, G.; Cesco, S.; Mimmo, T. Synergism and antagonisms between nutrients induced by copper toxicity in grapevine rootstocks: Monocropping vs. intercropping. Chemosphere 2019, 214, 563–578. [Google Scholar] [CrossRef]
  18. Hoagland, D.R.; Arnon, D.T. The Water Culture Method for Growth Plants without Soil; California Agriculture Experiment Station: Berkeley, CA, USA, 1950. [Google Scholar]
  19. Trentin, E.; Ferreira, P.A.A.; Ricachenevsky, F.K.; Facco, D.B.; Hammerschmitt, R.K.; Morsch, L.; Tarouco, C.P.; Nicoloso, F.T.; Araujo, M.M.; Berghetti, A.L.P.; et al. Growth, biochemical and physiological response of grapevine rootstocks to copper excess in nutrient solution. S. Afr. J. Bot. 2023, 162, 360–369. [Google Scholar]
  20. Murphy, J.; Riley, J.P. A Modified single solution method for determination of phosphate in natural waters. Anal. Chim. Acta 1962, 27, 31–36. [Google Scholar] [CrossRef]
  21. Bremner, J.M.; Mulvaney, C.S. Nitrogen total. In In Methods of Soil Analysis. Part 2, 2nd ed.; Page, A.L., Ed.; American Society of Agronomy: Madison, WI, USA, 1982; pp. 595–624. [Google Scholar]
  22. Chopin, E.I.B.; Marin, B.; Mkoungafoko, R.; Rigaux, A.; Hopgood, M.J.; Delannoy, E.; Cances, B.; Laurain, M. Factors affecting distribution and mobility of trace elements (Cu, Pb, Zn) in a perennial grapevine (Vitis vinifera L.) in the Champagne region of France. Environ. Pollut. 2008, 156, 1092–1098. [Google Scholar] [CrossRef]
  23. Busuioc, G.; Elekes, C.C.; Stihi, C.; Iordache, S.; Ciulei, S.C. The bioaccumulation and translocation of Fe, Zn, and Cu in species of mushrooms from Russula genus. Environ. Sci. Pollut. Res. Int. 2011, 18, 890–896. [Google Scholar] [CrossRef]
  24. Ferreira, P.A.A.; Ceretta, C.A.; Soriani, H.H.; Tiecher, T.L.; Soares, C.R.F.S.; Rossato, L.V.; Nicoloso, F.T.; Brunetto, G.; Paranhos, J.T.; Cornejo, P. Rhizophagus clarus and phosphate alter the physiological responses of Crotalaria juncea cultivated in soil with a high Cu level. Appl. Soil. Ecol. 2015, 91, 37–47. [Google Scholar] [CrossRef]
  25. Rascher, U.; Liebig, M.; Lüttge, U. Evaluation of instant light-response curves of chlorophyll fluorescence parameters obtained with a portable chlorophyll fluorometer on site in the field. Plant Cell Environ. 2000, 23, 1397–1405. [Google Scholar] [CrossRef]
  26. Loreto, F.; Velikova, V. Isoprene produced by leaves protects the photosynthetic apparatus against ozone damage, quences ozone products, and reduces lipid peroxidation of cellular membranes. Plant Physiol. 2001, 127, 1781–1787. [Google Scholar]
  27. Giannopolitis, C.N.; Ries, S.K. Superoxide dismutases: I. Occurrence in higher plants. Plant Physiol. 1977, 59, 309–314. [Google Scholar] [CrossRef]
  28. Zeraik, A.E.; Souza, F.S.; Fatibello-Filho, O. Desenvolvimento de um spot test para o monitoramento da atividade da peroxidase em um procedimento de purificação. Quím. Nova 2008, 31, 731–734. [Google Scholar] [CrossRef]
  29. Ferreira, D.F. Sisvar: Um programa para análises e ensino de estatística. Rev. Symp. 2008, 6, 36–41. [Google Scholar]
  30. Ter Braak, C.J.F.; Smilauer, P. Canoco Reference Manual and Cano Draw for Windows User’s Guide: Software for Canonical Community Ordination, version 4.5; Microcomputer Power: Ithaca, Greece, 2002; 500p. [Google Scholar]
  31. Pommer, C.V.; Terra, M.M.; Pires, E.J.P. Cultivares, melhoramento e fisiologia. In Uva: Tecnologia de Produção, Pós-Colheita, Mercado; Pommer, C.V., Ed.; Editora Cinco Continentes: Porto Alegre, Brazil, 2003; 778p. [Google Scholar]
  32. Marastoni, L.; Sandri, M.; Pii, Y.; Valentinuzzi, F.; Cesco, S.; Mimmo, T. Morphological root responses and molecular regulation of cation transporters are differently affected by copper toxicity and cropping system depending on the grapevine rootstock genotype. Front. Plant Sci. 2019, 10, 946. [Google Scholar] [CrossRef]
  33. Ambrosini, V.G.; Rosa, D.J.; Prado, J.P.C.; Borghezan, M.; Melo, G.W.B.; Soares, J.J.; Comin, C.R.F.S.; Simão, D.G.; Brunetto, G. Reduction of copper phytotoxicity by liming: A study of the root anatomy of young vines (Vitis labrusca L.). Plant Physiol. Biochem. 2015, 96, 270–280. [Google Scholar]
  34. Guimarães, P.R.; Ambrosini, V.G.; Miotto, A.; Ceretta, C.A.; Simão, D.G.; Brunetto, G. Black Oat (Avena strigosa Schreb.) Growth and Root Anatomical Changes in Sandy Soil with Different Copper and Phosphorus Concentrations. Water Air Soil Pollut. 2016, 227, 192. [Google Scholar] [CrossRef]
  35. Somavilla, L.M.; Simão, D.G.; Tiecher, T.L.; Hammerschimitt, R.K.; Oliveira, J.M.S.; Mayer, N.A.; Pavanello, E.P.; Trentin, E.; Belles, S.W.; Brunetto, G. Structural changes in roots of peach rootstock cultivars grown in soil with high zinc content. Sci. Hortic. 2018, 237, 1–10. [Google Scholar] [CrossRef]
  36. Ricachenevsky, F.K.; De Araújo, J.A.T.; Fett, J.P.; Sperotto, R.A. You shall not pass: Root vacuoles as a symplastic checkpoint for metal translocation to shoots and possible application to grain nutritional quality. Front. Plant Sci. 2018, 9, 412. [Google Scholar] [CrossRef]
  37. Kabata-Pendias, A. Trace Elements in Soils and Plants; CRC Press: Boca Ratón, FL, USA, 2011. [Google Scholar]
  38. De Freitas, T.A.; França, M.G.; De Almeida, A.A.; De Oliveira, S.J.; De Jesus, R.M.; Souza, V.L.; Dos Santos Silva, J.V.; Mangabeira, P.A. Morphology, ultrastructure and mineral uptake is affected by copper toxicity in young plants of Inga subnuda subs. luschnathiana (Benth.) T.D. Penn. Environ. Sci. Pollut. Res. Int. 2015, 22, 15479–15494. [Google Scholar] [CrossRef]
  39. Reichman, S.M. The Responses of Plants to Metal Toxicity: A Review Focusing on Copper, Manganese and Zinc; Environment, Australian Minerals & Energy Environment Foundation: Melbourne, Australia, 2002. [Google Scholar]
  40. Zanin, L.; Tomasi, M.; Rizzardo, C.; Gottardi, S.; Terzano, R.; Alfeld, M.; Janssens, K.; De Nobili, M.; Mimmo, T.; Cesco, S. Iron allocation in leaves of Fe-deficient cucumber plants fed with natural Fe complexes. Physiol. Plant. 2015, 154, 82–94. [Google Scholar] [CrossRef]
  41. Pii, Y.; Penn, A.; Terzano, R.; Crecchio, C.; Mimmo, T.; Cesco, S. Plant-microorganism-soil interactions influence the Fe availability in the rhizosphere of cucumber plants. Plant Physiol. Biochem. 2015, 87, 45–52. [Google Scholar] [CrossRef] [PubMed]
  42. Ambrosini, V.G.; Rosa, D.J.; Bastos, M.G.W.; Zalamena, J.; Cella, C.; Simão, D.G.; Silva, L.S.; Santos, H.P.; Toselli, M.; Tiecher, T.L.; et al. High copper content in vineyard soils promotes modifications in photosynthetic parameters and morphological changes in the root system of ‘Red Niagara’ plantlets. Plant Physiol. Biochem. 2018, 128, 89–98. [Google Scholar] [CrossRef] [PubMed]
  43. Cambrollé, J.; García, J.L.; Figueroa, M.E.; Cantos, M. Evaluating wild grapevine tolerance to copper toxicity. Chemosphere 2015, 120, 171–178. [Google Scholar] [CrossRef] [PubMed]
  44. Schwalbert, R.; Silva, L.O.S.; Schwalbert, R.A.; Tarouco, C.P.; Fernandes, G.S.; Marques, A.C.R.; Costa, C.C.; Hammerschmitt, R.K.; Brunetto, G.; Nicoloso, F.T. Physiological responses of soybean (Glycine max (L.) Merrill) cultivars to copper excess. An. Acad. Bras. Ciênc. 2019, 91, e20190121. [Google Scholar] [CrossRef] [PubMed]
  45. De Conti, L.; Melo, G.W.B.; Ceretta, C.A.; Tarouco, C.; Marques, A.; Nicoloso, F.; Tassinari, A.; Tiecher, T.; Cesco, S.; Mimmo, T.; et al. Photosynthesis and growth of young grapevines intercropped with native grasses in soils contaminated with copper. Acta Hortic. 2018, 1217, 179–184. [Google Scholar] [CrossRef]
  46. Trentin, E.; Facco, D.B.; Hammerschmitt, R.K.; Ferreira, P.A.A.; Morsch, L.; Belles, S.W.; Ricachenevsky, F.K.; Nicoloso, F.T.; Cerreta, C.A.; Tiecher, T.L.; et al. Potential of vermicompost and limestone in reducing copper toxicity in young grapevines grown in Cu-contaminated vineyard soil. Chemosphere 2019, 226, 421–430. [Google Scholar] [CrossRef] [PubMed]
  47. Maxwell, K.; Johnson, G.N. Chlorophyll fluorescence—A practical guide. J. Exp. Bot. 2000, 51, 659–668. [Google Scholar] [CrossRef] [PubMed]
  48. Cambrollé, J.; García, J.L.; Ocete, R.; Figueroa, M.E.; Cantos, M. Growth and photosynthetic responses to copper in wild grapevine. Chemosphere 2013, 93, 294–301. [Google Scholar] [CrossRef]
  49. Tiecher, T.L.; Tiecher, T.; Ceretta, C.A.; Ferreira, P.A.A.; Nicoloso, F.T.; Soriani, H.H.; Tassinari, A.; Paranhos, J.T.; De Conti, L.; Brunetto, G. Physiological and nutritional status of black oat (Avena strigosa Schreb.) grown in soil with interaction of high doses of copper and zinc. Plant Physiol. Biochem. 2016, 106, 253–263. [Google Scholar] [CrossRef]
Figure 1. Height (a), shoot (b) and root (c) dry mass yields of grapevine rootstocks (Paulsen 1103, SO4, IAC 572 and Isabel) grown in standard nutrition (control) and a high Cu content solution. Means followed by the same capital letters compare the rootstocks within the control treatment, and lowercase letters compare the rootstocks within the Cu treatment (Tukey—p ≤ 0.05). The ns (non-significant) and * significant (F-test—p < 0.05) compare each rootstock in relation to the control treatment and the Cu treatment.
Figure 1. Height (a), shoot (b) and root (c) dry mass yields of grapevine rootstocks (Paulsen 1103, SO4, IAC 572 and Isabel) grown in standard nutrition (control) and a high Cu content solution. Means followed by the same capital letters compare the rootstocks within the control treatment, and lowercase letters compare the rootstocks within the Cu treatment (Tukey—p ≤ 0.05). The ns (non-significant) and * significant (F-test—p < 0.05) compare each rootstock in relation to the control treatment and the Cu treatment.
Horticulturae 10 00883 g001
Figure 2. Net photosynthetic rate (A) (μmol CO2 m−2 s−1) (a), stomatal conductance (Gs) (mol H2O m−2 s−1) (b), intercellular CO2 concentration (Ci) (μmol CO2 mol−1) (c), transpiration rate (E) (mmol H2O m−2 s−1) (d), instantaneous efficiency of carboxylation (A/Ci) [(μmol m−2 s−1)(mmol mol−1 s−1) −1] (e) and water use efficiency (WUE) [(μmol m−2 s−1)(mmol H2O m−2 s−1) −1] (f) in leaves of grapevine rootstocks (Paulsen 1103, SO4, IAC 572 and Isabel) grown in standard nutrition (control) and a high Cu content solution. Means followed by the same capital letters compare the rootstocks within the control treatment, and lowercase letters compare the rootstocks within the Cu treatment (Tukey—p ≤ 0.05). The ns (non-significant) and * significant (F-test—p < 0.05) compare each rootstock in relation to the control treatment and the Cu treatment.
Figure 2. Net photosynthetic rate (A) (μmol CO2 m−2 s−1) (a), stomatal conductance (Gs) (mol H2O m−2 s−1) (b), intercellular CO2 concentration (Ci) (μmol CO2 mol−1) (c), transpiration rate (E) (mmol H2O m−2 s−1) (d), instantaneous efficiency of carboxylation (A/Ci) [(μmol m−2 s−1)(mmol mol−1 s−1) −1] (e) and water use efficiency (WUE) [(μmol m−2 s−1)(mmol H2O m−2 s−1) −1] (f) in leaves of grapevine rootstocks (Paulsen 1103, SO4, IAC 572 and Isabel) grown in standard nutrition (control) and a high Cu content solution. Means followed by the same capital letters compare the rootstocks within the control treatment, and lowercase letters compare the rootstocks within the Cu treatment (Tukey—p ≤ 0.05). The ns (non-significant) and * significant (F-test—p < 0.05) compare each rootstock in relation to the control treatment and the Cu treatment.
Horticulturae 10 00883 g002
Figure 3. Maximum PSII quantum yield (Fv/Fm) (a) and non-photochemical quenching (NPQ) (b) in leaves of grapevine rootstocks (Paulsen 1103, Magnolia, SO4, IAC 572 and Isabel) grown in standard nutrition (control) and a high Cu content solution. Means followed by the same capital letters compare the rootstocks within the control treatment, and lowercase letters compare the rootstocks within the Cu treatment (Tukey—p ≤ 0.05). The ns (non-significant) and * significant (F-test—p <0.05) compare each rootstock in relation to the control treatment and the Cu treatment.
Figure 3. Maximum PSII quantum yield (Fv/Fm) (a) and non-photochemical quenching (NPQ) (b) in leaves of grapevine rootstocks (Paulsen 1103, Magnolia, SO4, IAC 572 and Isabel) grown in standard nutrition (control) and a high Cu content solution. Means followed by the same capital letters compare the rootstocks within the control treatment, and lowercase letters compare the rootstocks within the Cu treatment (Tukey—p ≤ 0.05). The ns (non-significant) and * significant (F-test—p <0.05) compare each rootstock in relation to the control treatment and the Cu treatment.
Horticulturae 10 00883 g003
Figure 4. Electron transport rate (ETR) in leaves of grapevine rootstocks (Paulsen 1103, SO4, IAC 572 and Isabel) grown in standard nutrition (control) (a) and a hih Cu content solution (b).
Figure 4. Electron transport rate (ETR) in leaves of grapevine rootstocks (Paulsen 1103, SO4, IAC 572 and Isabel) grown in standard nutrition (control) (a) and a hih Cu content solution (b).
Horticulturae 10 00883 g004
Figure 5. Activity of the enzyme superoxide dismutase (SOD) in the shoots (a) and roots (b); peroxidase (POD) in the shoots (c) and roots (d) and H2O2 concentration in the shoots (e) and roots (f) of grapevine rootstocks (Paulsen 1103, SO4, IAC 572 and Isabel) grown in standard nutrition and a high Cu content solution. Means followed by the same capital letters compare the rootstocks within the control treatment, and lowercase letters compare the rootstocks within the Cu treatment (Tukey—p ≤ 0.05). The ns (non-significant) and * significant (F-test—p < 0.05) compare each rootstock in relation to the control treatment and the Cu treatment.
Figure 5. Activity of the enzyme superoxide dismutase (SOD) in the shoots (a) and roots (b); peroxidase (POD) in the shoots (c) and roots (d) and H2O2 concentration in the shoots (e) and roots (f) of grapevine rootstocks (Paulsen 1103, SO4, IAC 572 and Isabel) grown in standard nutrition and a high Cu content solution. Means followed by the same capital letters compare the rootstocks within the control treatment, and lowercase letters compare the rootstocks within the Cu treatment (Tukey—p ≤ 0.05). The ns (non-significant) and * significant (F-test—p < 0.05) compare each rootstock in relation to the control treatment and the Cu treatment.
Horticulturae 10 00883 g005
Figure 6. Principal component analysis (PCA), based on the photosynthetic parameters [net photosynthetic rate (A), stomatal conductance (Gs), intercellular CO2 concentration (Ci), transpiration rate (E), water use efficiency (WUE) and instantaneous efficiency of carboxylation (A/Ci)]; on the chlorophyll a fluorescence parameters [Initial fluorescence (F0), effective quantum efficiency of PSII (Y), maximum PSII quantum yield (Fv/Fm) and non-photochemical quenching (NPQ)]; on the N, P, K, Ca, Mg, Cu, Zn, Fe and Mn concentrations in the tissues [shoot(s) and root(s)]; oxidative stress parameters (SOD and PDI in the roots) and on the plant growth parameters [root dry mass (RDM) and shoot (SDM) and plant height (h)] in four grapevine rootstocks [Paulsen 1103 (circle), SO4 (triangle), IAC 572 (square) and Isabel (rhombus)] grown in standard nutrition (control) (blue) and a high Cu content solution (red).
Figure 6. Principal component analysis (PCA), based on the photosynthetic parameters [net photosynthetic rate (A), stomatal conductance (Gs), intercellular CO2 concentration (Ci), transpiration rate (E), water use efficiency (WUE) and instantaneous efficiency of carboxylation (A/Ci)]; on the chlorophyll a fluorescence parameters [Initial fluorescence (F0), effective quantum efficiency of PSII (Y), maximum PSII quantum yield (Fv/Fm) and non-photochemical quenching (NPQ)]; on the N, P, K, Ca, Mg, Cu, Zn, Fe and Mn concentrations in the tissues [shoot(s) and root(s)]; oxidative stress parameters (SOD and PDI in the roots) and on the plant growth parameters [root dry mass (RDM) and shoot (SDM) and plant height (h)] in four grapevine rootstocks [Paulsen 1103 (circle), SO4 (triangle), IAC 572 (square) and Isabel (rhombus)] grown in standard nutrition (control) (blue) and a high Cu content solution (red).
Horticulturae 10 00883 g006
Table 1. Macronutrient concentration (g kg−1) in the shoots and roots of grapevine rootstocks (Paulsen 1103, SO4, IAC 572 and Isabel) grown in the standard nutrition (control) and high Cu content solution.
Table 1. Macronutrient concentration (g kg−1) in the shoots and roots of grapevine rootstocks (Paulsen 1103, SO4, IAC 572 and Isabel) grown in the standard nutrition (control) and high Cu content solution.
RootstocksTreatmentNPKCaMg
Shoots (g kg−1)
Paulsen 1103Control25.94 A ns(1)11.98 A *19.52 A *24.31 AB *6.30 A *
Cu23.64 a6.83 b14.29 a18.37 b4.90 ab
SO4Control27.75 A *12.48 A *20.05 A *25.60 A *6.31 A *
Cu24.08 a9.55 a12.31 b19.92 a5.08 a
IAC 572Control28.07 A *8.23 C *19.79 A *24.95 AB *5.08 B *
Cu22.88 a6.18 b14.77 a14.82 c4.28 b
IsabelControl29.25 A *10.36 B *17.76 B *23.96 B *4.85 B *
Cu25.36 a6.94 b14.77 a14.83 c3.52 c
Roots (g kg−1)
Paulsen 1103Control14.35 B6.09 A *18.83 C *11.42 C ns5.11 B *
Cu20.50 b *2.49 b9.10 a11.40 b1.44 a
SO4Control25.78 AB4.97 B *28.62 A *14.95 B ns6.48 A *
Cu28.40 a *3.61 a9.09 a14.11 a2.36 a
IAC 572Control28.40 A *4.61 B *29.64 A *16.94 A *6.29 A *
Cu23.24 b3.11 ab9.70 a12.07 b2.28 a
IsabelControl23.54 B ns4.73 B *23.42 B *13.20 BC ns6.02AB *
Cu22.97 b2.90 b6.45 a11.83 b1.98 a
(1) Means followed by the same capital letter compare the rootstocks within the control treatment, and lowercase letters compare the rootstocks within the Cu treatment (Tukey—p ≤ 0.05). ns is non-significant; * significant (F-test—p < 0.05) compare each rootstock in relation to the control treatment and Cu treatment.
Table 2. Micronutrient concentration in the shoots and roots of grapevine rootstocks (Paulsen 1103, SO4, IAC 572 and Isabel) grown in standard nutrition (control) and a high Cu content solution.
Table 2. Micronutrient concentration in the shoots and roots of grapevine rootstocks (Paulsen 1103, SO4, IAC 572 and Isabel) grown in standard nutrition (control) and a high Cu content solution.
RootstocksTreatmentCuZnFeMn
Shoots (mg kg−1)
Paulsen 1103Control5.50 B ns(1)27.70 A *174.83 B ns267.16 A *
Cu6.16 a16.28 b188.73 ab70.37 ab
SO4Control4.66 B ns23.70 B *246.93 A *198.88 B *
Cu6.84 a11.84 c163.33 bc87.04 a
IAC 572Control6.02 B ns24.34 AB *178.84 B ns121.74 D *
Cu5.46 a21.24 a199.92 a51.70 b
IsabelControl8.38 A *22.00 B ns132.48 C ns153.46 C *
Cu5.54 a22.29 a145.81 c78.86 a
Roots (mg kg−1)
Paulsen 1103Control51.46 A *19.54 C ns625.12 B *232.20 A ns
Cu4937.52 c24.40 b792.07 b200.08 b
SO4Control24.66 A *50.26 A *664.80 AB *260.50 A *
Cu6377.28 b25.42 b931.87 a196.90 b
IAC 572Control35.62 A *37.04 B ns725.52 A *250.78 A *
Cu8540.28 a35.90 a244.40 c344.20 a
IsabelControl31.28 A *38.98 B *677.36 AB *231.04 A ns
Cu8933.40 a30.04 ab294.32 c236.54 b
(1) Means followed by the same capital letter compare the rootstocks within the control treatment, and lowercase letters compare the rootstocks within the Cu treatment (Tukey—p ≤ 0.05). ns is non-significant; * significant (F-test—p < 0.05) compare each rootstock in relation to the control treatment and Cu treatment.
Table 3. The translocation factor (TF) of Cu from the root system to the shoots of grapevine rootstocks (Paulsen 1103, SO4, IAC 572 and Isabel) grown in standard nutrition (control) and high Cu content solution.
Table 3. The translocation factor (TF) of Cu from the root system to the shoots of grapevine rootstocks (Paulsen 1103, SO4, IAC 572 and Isabel) grown in standard nutrition (control) and high Cu content solution.
RootstocksTreatmentTF
Paulsen 1103Control0.095 D *(1)
Cu0.001 a
SO4Control0.207 B *
Cu0.001 a
IAC 572Control0.175 C *
Cu0.000 a
IsabelControl0.226 A *
Cu0.01 a
(1) Means followed by the same capital letter compare the rootstocks within the control treatment, and lowercase letters compare the rootstocks within the Cu treatment (Tukey—p ≤ 0.05). * significant (F-test—p < 0.05) compare each rootstock in relation to the control treatment and Cu treatment.
Disclaimer/Publisher’s Note: The statements, opinions and data contained in all publications are solely those of the individual author(s) and contributor(s) and not of MDPI and/or the editor(s). MDPI and/or the editor(s) disclaim responsibility for any injury to people or property resulting from any ideas, methods, instructions or products referred to in the content.

Share and Cite

MDPI and ACS Style

Trentin, E.; Ferreira, P.A.A.; Ricachenevsky, F.K.; Morsch, L.; Belles, S.W.; Hindersmann, J.; Tarouco, C.P.; Nicoloso, F.T.; Berghetti, Á.L.P.; Stefanello da Silva, L.O.; et al. Identifying Grapevine Rootstocks Tolerant to Copper Excess. Horticulturae 2024, 10, 883. https://doi.org/10.3390/horticulturae10080883

AMA Style

Trentin E, Ferreira PAA, Ricachenevsky FK, Morsch L, Belles SW, Hindersmann J, Tarouco CP, Nicoloso FT, Berghetti ÁLP, Stefanello da Silva LO, et al. Identifying Grapevine Rootstocks Tolerant to Copper Excess. Horticulturae. 2024; 10(8):883. https://doi.org/10.3390/horticulturae10080883

Chicago/Turabian Style

Trentin, Edicarla, Paulo Ademar Avelar Ferreira, Felipe Klein Ricachenevsky, Letícia Morsch, Simoni Weide Belles, Jacson Hindersmann, Camila Peligrinotti Tarouco, Fernando Teixeira Nicoloso, Álvaro Luís Pasquetti Berghetti, Lincon Oliveira Stefanello da Silva, and et al. 2024. "Identifying Grapevine Rootstocks Tolerant to Copper Excess" Horticulturae 10, no. 8: 883. https://doi.org/10.3390/horticulturae10080883

APA Style

Trentin, E., Ferreira, P. A. A., Ricachenevsky, F. K., Morsch, L., Belles, S. W., Hindersmann, J., Tarouco, C. P., Nicoloso, F. T., Berghetti, Á. L. P., Stefanello da Silva, L. O., Schwalbert, R., Santos, H. P. d., Melo, G. W. B. d., & Brunetto, G. (2024). Identifying Grapevine Rootstocks Tolerant to Copper Excess. Horticulturae, 10(8), 883. https://doi.org/10.3390/horticulturae10080883

Note that from the first issue of 2016, this journal uses article numbers instead of page numbers. See further details here.

Article Metrics

Back to TopTop