Abstract
Sweet pepper is susceptible to changes in temperature conditions, especially above 30 °C. In this research study, two cultivars, Melchor and Tamarín, were subjected to three different temperatures. For this, the experiment was run at three specific temperatures (24 °C, 28 °C, and 32 °C), keeping the rest of the parameters the same in all experiments. In fully mature fruits, parameters such as weight, color, TSS, total phenols, mineral content, and amino acid content were analyzed. Our results showed that high temperatures reduced fruit weight and increased color parameters, mainly in Melchor. In addition, a temperature of 28 °C advanced the maturation of the Tamarín fruits by 14 days with respect to 24 °C. At a nutritional level, high temperatures caused a reduction in TSS, total phenols, and cations, and on the contrary, increased the content of anions. In the case of amino acids, a temperature increase to 28 °C caused a general increase in the amino acids measured, except for proline, which was reduced. Thus, the data from this study support the need to study new strategies in crop management to reduce the negative effects that the unstoppable rise in temperatures due to climate change will produce.
1. Introduction
Pepper (Capsicum annuum L.) is one of the main agricultural crops worldwide, and its cultivation is widespread in the Mediterranean area. Specifically, in Almería, depending on the year, it is the first or second most important crop, occupying approximately 8000 ha each year [1]. Worldwide, the hectares occupied by pepper are around 1.9 million [1].
Peppers are consumed worldwide in both fresh and cooked forms. Consumed fresh, they are an excellent source of vitamin C, pro-vitamin A, carbohydrates, and minerals, as well as amino acids and phenolic compounds, which are important antioxidants involved in a wide variety of plant defense responses, and also have beneficial effects regarding the prevention of several diseases in humans [2]. Consuming between 50–100 g of fresh peppers would provide 100% of the recommended daily dose of vitamin C, and up to 60% of the recommended dose of vitamin A [3]. Additionally, as fruits mature, their carotenoid content increases, which grants them with great antioxidant and anticancer capacities [3]. However, the composition of pepper fruits will also be conditioned by the genotype [4] and environmental conditions [5].
Global warming is already a reality. An increase in the number, intensity, and duration of abiotic stresses is occurring worldwide, negatively affecting crop growth, yield, and product quality [6]. According to the IPCC [7], it is expected that by the year 2100 the temperature will increase between 1.5 and 5.8 °C. Pepper plants need temperatures in the range of 20–28 °C during the day and 16–20 °C at night for their proper growth and fruit production. Temperatures below 15 °C or above 32 °C cause a decrease in the harvest and affect the quality of the fruits [8]. It has been observed that the quality of many fruits can be affected by high temperatures, both negatively and positively, depending on the crop. For example, high temperatures cause a reduction in the content of carbohydrates and sugars in strawberries and grapes, which negatively affects their sensory quality, but on the contrary, they increase the content of total polyphenols, flavonoids, and anthocyanins, thus increasing their antioxidant capacity [9]. However, in apples, high temperatures significantly reduce anthocyanin accumulation [9].
Since the increase in temperature will be one of the main limitations for food production in the coming years, it is important to know the changes that will occur in different pepper genotypes at the nutritional level, in light of this increase in temperature. This knowledge will allow us to plan our agronomic strategies and to choose the most suitable cultivars for each area, thus reducing the negative effects caused by high temperatures.
2. Materials and Methods
2.1. Plant Material and Growth Conditions
Pepper plants (Capsicum annuum L.) cv. Melchor (Zeraím Ibérica, S.A.U., Roquetas de Mar, Spain) and cv. Tamarín (Enza Zaden Spain S.L., Almeria, Spain) were used in the present study. Sixteen plants from each cultivar were selected and transplanted into 10 L pots containing coconut coir fiber (Cocopeat, Pelemix). Plants were pruned to two main stems. Irrigation was supplied by drippers (3 L h−1), and to avoid salt accumulation in the substrate, the drainage percentage was maintained at 55–56%. The irrigation frequency fluctuated from three irrigations of 150 mL per day when plants were grown at 24 °C, progressively increasing up to four irrigations of 200 mL when they grow at 28 °C, and five irrigations of 250 mL at 32 °C. The composition of the supplied nutrient solution is shown in Table 1. Two phases were established, reducing total N supply to adjust it to crop demand: Phase I (between cultivation weeks 1 to 6), where the ammonium supply was higher (2.5 mmol L−1) [10], and Phase II (from week 7 until the end of the cultivation), in which the ammonium supply was reduced to 0.5 mmol L−1.
Table 1.
Chemical composition (mmol/L) of the nutrient solution provided in heat treatments T24, T28, and T32. Differentiating between the first 6 weeks of culture (W1–W6) and from week 7 to the end (W7–W15).
The plants were grown in a 12 m2 growth chamber (3.2 m × 3.7 m × 1.94 m), located at the IFAPA Research Center (La Mojonera, Almería, Spain). The growth chamber was equipped with a temperature, humidity, and CO2 injection control system (FITOCLIMA 23,000 EHV; Aralab, Albarraque, Portugal) and was illuminated with fluorescent lamps (L 58 W/840 LUMILUXCoolWhite and 230 V/760WHALOLUX64472 BT; Osram, Munich, Germany; Osram, Munich, Germany) and halogen bulbs (halolux 64,472 BT 230 V 60 W C418, OSRAM; Munich, Germany), with a light intensity regulation system. Climate management was performed by a ClimaPlus V (Aralab, Portugal) controller connected with data recording at 1 min intervals. The experiment was performed at three daytime temperatures: 24 °C (T24, control), 28 °C (T28), and 32 °C (T32) (Figure 1). The climatic instructions established were daily PAR radiation integral, 22 mol m−2 s−1, relative humidity (%) day/night: 70/75, and temperature (°C) day/night: 24/16 (Experiment I), 28/16 (Experiment II), and 32/16 (Experiment III) (Figure 1). The resulting average conditions are shown in Table 2. Experiment I began on 9 January 2019 (lasting 111 days after transplantation, dat); Experiment II began on 13 August 2019 (106 dat); and Experiment III began on 4 June 2020 (112 dat).
Figure 1.
Daily programming of climatic conditions inside the growth chamber: photosynthetically active radiation (PAR), relative humidity (RH), CO2 concentration, and temperature for treatments T24, T28, and T32.
Table 2.
Mean of the daily, maximum, and minimum values of temperature, relative humidity, and CO2 concentration recorded during the experiments corresponding to thermal treatments: 24 °C, 28 °C, and 32 °C.
2.2. Fresh Weight
Twelve fully ripe fruits were harvested (2 per plant) and weighed to determine fresh weight. The mixture of 2 fruits was considered as a sample. Therefore, 6 replicates per treatment were obtained.
2.3. Skin Color
A Minolta CR-300 colorimeter (Minolta, Osaka, Japan) with a D65 light source was used to evaluate the skin color of the pepper fruits, with three readings carried out along the equatorial perimeter. The color data were expressed using the CIELAB color parameters, as described by Piñero et al. [11].
2.4. Total Soluble Solids
A pocket digital refractometer (Pocket PAL-3, Atago, Tokyo, Japan) was used to measure the total soluble solids (TSS), and these were expressed as ºBrix. For this, three drops of pepper juice were placed on the prism of the refractometer.
2.5. Phenolic Concentration
The total phenolic compounds were extracted following the method previously described by Piñero et al. [11], and were determined according to Kahkonen et al. [12]. The phenolic compounds were quantified on the basis of the standard curve for gallic acid. Gallic acid dilutions (1–5 mg/L) were used as standards for calibration. The results are expressed as mg of gallic acid equivalents (GAE) g−1 FW.
2.6. Mineral Content
An ion chromatograph (model 861 Advanced Compact IC; model 838 Advanced Sampler; Metrohm, Herisau, Switzerland), with column (Metrosep A Supp7 250/4.0 mm (Metrohm)) was used to measure the NO3−, SO42−, PO43−, and Cl− concentrations, as previously described by Piñero et al. [11]. An ETHOS ONE microwave digestion system (Milestone Inc., Shelton, CT, USA) was used to extract the cations by acid digestion from lyophilized and ground material (0.1 g). Then, the K, Mg, Na, Ca, Fe, Cu, Mn, Zn, and B concentrations were determined using an inductively-coupled plasma spectrometer (Varian Vista MPX, Palo Alto, CA, USA).
2.7. Free Amino Acids
Free amino acids were extracted from fruits frozen at −80 °C. Both the extraction method and the quantification method followed were those previously described by Piñero et al. [13]. External standards (ThermoFisher Scientific, Waltham, MA, USA) were used for the quantification of aspartic acid (Asp), glutamic acid (Glu), alanine (Ala), proline (Pro), cysteine (Cys), lysine (Lys), tyrosine (Tyr), methionine (Met), valine (Val), isoleucine (Ile), leucine (Leu), and phenylalanine (Phe).
2.8. Statistical Analysis
Data were tested for homogeneity of variance and normality of distribution. The significance of the treatment effects was determined using Duncan’s multiple range test at p ≤ 0.05, using the Statgraphics centurion v.15 statistical package (Statpoint Technologies, Inc., Warrenton, VA, USA). A total of 6 samples per treatment were analyzed.
3. Results and Discussion
3.1. Fresh Weight
The fresh weight of the fruits was reduced by the increase in temperature in both cultivars (Figure 2). This reduction in weight due to the effect of temperature was more pronounced in the fruits of Melchor (around 26.4%), since they produced the largest fruits at environmental conditions of 24 °C (272 ± 14 g compared to 210 ± 5 g of the Tamarín fruits) (Figure 2). Similar results were observed by other authors, such as Heo et al. [14] and Oh and Koh [8], who detected that although high temperatures (around 30 °C) normally favored vegetative growth, they negatively affected fruit development and quality. With high temperatures, a higher rate of abscission of flowers and young fruits is produced, which leads to lower rates of fruit development. Sato et al. [15] also pointed out for tomato the reduction of sink- and source-strength at moderate heat stress, which leads to a depletion in available carbohydrates at critical stages of plant development, decreasing other yield related parameters. Thus, a prompt consumption of carbohydrates for the maintenance of respiration and/or protein denaturation leads to increased fluidity of membrane lipids, reduced activity of enzymes in chloroplasts and mitochondria, and disruption of membrane integrity in plants [16]. Moreover, the stomatal closure may affect photosynthesis, and therefore the production of photoassimilates to the fruits will be partially limited.
Figure 2.
Effect of temperature (24 °C, 28 °C, and 32 °C) on fruit weight of Melchor and Tamarín fruits. The data are presented as the treatment means (n = 6) ± S.E. Different lowercase letters indicate significant differences between temperatures in Melchor and different uppercase letters indicate significant differences between temperatures in Tamarín. * Denotes significant differences between two cultivars grown under the same temperature conditions.
3.2. Skin Color
Color is one of the main physical parameters of the fruit that consumers take into account when accepting or rejecting it, as it is an easy-to-see visual indicator of the quality of the fruit. The effects of the temperature conditions under which the plants were grown, on the color of the fruits, are shown in Table 3. All the measured color parameters (L*, a*, b*, C*, and Hab) increased due to the effect of temperature in the Melchor fruits. Therefore, these fruits exhibited more lightness, more redness, and more yellowness, and had a greater color saturation. However, in Tamarín, these increases were only observed in the parameters L* (more lightness), a* (more redness), and C* (more color saturation). During ripening, both red and yellow carotenoids pigments concentrations are modified. In red sweet pepper fruit, the chlorophyll and lutein contents decrease, whereas the β-carotene, antheraxanthin, and violaxanthin contents increase [17]. Capsanthin is the red carotenoid pigment responsible for the color of the ripe fruit of red pepper cultivars, which was promoted at relatively high temperature [18], enhancing market value.
Table 3.
Effect of temperature (24 °C, 28 °C, and 32 °C) on color parameters (L*, a*, b*, C*, and Hab) of Melchor and Tamarín fruits.
Additionally, it has been observed that the fruit development period from planting until deep-red fruits was shortened by 6 days (in the case of Melchor) and 14 days (in the case of Tamarín) in fruits grown at 28 °C, as compared to those grown at 24 °C. This indicates that the harvest time of fully-colored ripe fruits could be moved forward. On the contrary, when the temperature increased to 32 °C, there was a delay in the Tamarín harvest of up to 12 days, and an advance of 1 day in the case of Melchor. Fruit growth and ripening involve changes in morphological and physiological attributes, including fruit fresh weight, pericarp color, and chemical composition. As we have observed previously, a temperature of 28 °C caused a faster change in the color of the fruits, but also caused a reduction in their weight. These observations coincide with the findings by Oh and Koh [8].
3.3. Total Soluble Solids
Of the two pepper cultivars studied, Melchor had the highest concentration of total soluble solids (TSS), both at 24 °C and 28 °C (13.9 and 6.5 °Brix, respectively) (Figure 3). Temperature had a significant effect on this parameter, causing its reduction in both cultivars. Melchor had a reduction of 53.2% when the temperature increased from 24 °C to 28 °C, and 51.4% when increasing from 24 °C to 32 °C (Figure 3). However, this reduction was not as strong in Tamarín; 42.5% when increasing from 24 °C to 28 °C, and 25.6% when increasing from 24 °C to 32 °C. Interestingly, under growing conditions set at 32 °C, the TSS value was similar in both cultivars (Figure 3).
Figure 3.
Effect of temperature (24 °C, 28 °C, and 32 °C) on total soluble solids (TSS) of Melchor and Tamarín fruits. The data are presented as the treatment means (n = 6) ± S.E. Different lowercase letters indicate significant differences between temperatures in Melchor and different uppercase letters indicate significant differences between temperatures in Tamarín. * Denotes significant differences between two cultivars grown under the same temperature conditions.
These results are consistent with what was previously observed in another experiment we conducted using a new passive climate control system [11]. In these systems, an increase in TSS was observed in pepper fruits when maintaining a milder temperature than in the control. At higher temperatures, assimilation, transport, and storage during fruit development are affected by reduction of photoassimilates to the fruit, being structural and functional compound-reduced [19]. TSS are closely related to sugars content, which agreed with the observed response in our conditions.
3.4. Phenolic Concentration
Phenolic compounds are important biological compounds in plants, as they act as natural antioxidants. In addition, it is known that these compounds play a crucial role in the prevention of certain human diseases, such as cardiovascular diseases, cancer, and other neurodegenerative problems [20].
As shown in Figure 4, a lower concentration of phenolic compounds was observed for both cultivars when the fruits were grown at 28 °C and 32 °C. In Melchor, the reduction was similar at both temperatures (28 °C and 32 °C) (around 25.7%). However, in Tamarín, the temperature of 28 °C caused the most pronounced reduction (53.3%), while at a temperature of 32 °C, the reduction was similar to that of the other cultivar (29.2%).
Figure 4.
Effect of temperature (24 °C, 28 °C, and 32 °C) on total phenolics of Melchor and Tamarín fruits. The data are presented as the treatment means (n = 6) ± S.E. Different lowercase letters indicate significant differences between temperatures in Melchor and different uppercase letters indicate significant differences between temperatures in Tamarín. * Denotes significant differences between two cultivars grown under the same temperature conditions.
A similar trend was found by other authors when Shiranuhi Mandarin fruits were exposed to high temperatures during the day [21]. These findings are not very positive; as the concentration of phenolic compounds in foods are reduced by increasing temperatures, the positive effects they generate in the human body will also be reduced, such as lowering the risk of developing health disorders due to their protective antioxidant effect [22].
3.5. Mineral Content
Consumers, at present, in addition to demanding products with a series of organoleptic characteristics, such as sugars, aromatic compounds, or organic acid content, also demand products with a higher content of minerals, vitamins, and bioactive substances [23]. Figure 5 shows the anions measured in pepper fruits. It can be observed how the content of NO3− and PO43− (Figure 5B,C) increased with increasing temperature, as compared to the temperature of 24 °C. In the case of Melchor, the increase observed in NO3− was 23.1% at 28 °C and 30.4% at 32 °C, while for PO43−, the increase was 40.9% at 28 °C and 48.7% at 32 °C. Similar values were observed in Tamarín, with an increase in NO3− by 28.4% at 28 °C and 39.3% at 32 °C, and PO43− to around 46.1% at both temperatures. However, in the case of SO42−, these only increased with the highest temperature (32 °C) in both cultivars (42.6% in Melchor and 33.8% in Tamarín) (Figure 5D). On the contrary, if we observe the cation content of pepper fruits, the opposite effect occurs when the temperature increases. Table 4 shows how a generalized reduction of all cations occurred in both cultivars. Authors such as Rosales [24] observed a similar behavior in tomato fruits. They considered that this lower concentration of nutrients in the fruits was due to the high temperatures interfering with the uptake of nutrients from the soil, as a consequence of the reduction in the activity of the enzymes involved in their assimilation, and on the other hand, due to the reduced transport of water to the fruits as Ca [25]. Specifically, cytosolic Ca concentration has been related to thermo-tolerance as examination of Ca flux may allow the selection of heat-resistant varieties [26].
Figure 5.
Effect of temperature (24 °C, 28 °C, and 32 °C) on anions content: (A) chlorides (Cl−), (B) nitrates (NO3−), (C) phosphates (PO43−), and (D) sulfates (SO42−) of Melchor and Tamarín fruits. The data are presented as the treatment means (n = 6) ± S.E. Different lowercase letters indicate significant differences between temperatures in Melchor and different uppercase letters indicate significant differences between temperatures in Tamarín. * Denotes significant differences between two cultivars grown under the same temperature conditions.
Table 4.
Effect of temperature (24 °C, 28 °C, and 32 °C) on cation concentrations (K, Mg, Ca, Fe, Cu, Mn, Zn, and B) of Melchor and Tamarín fruits.
3.6. Free Amino Acids
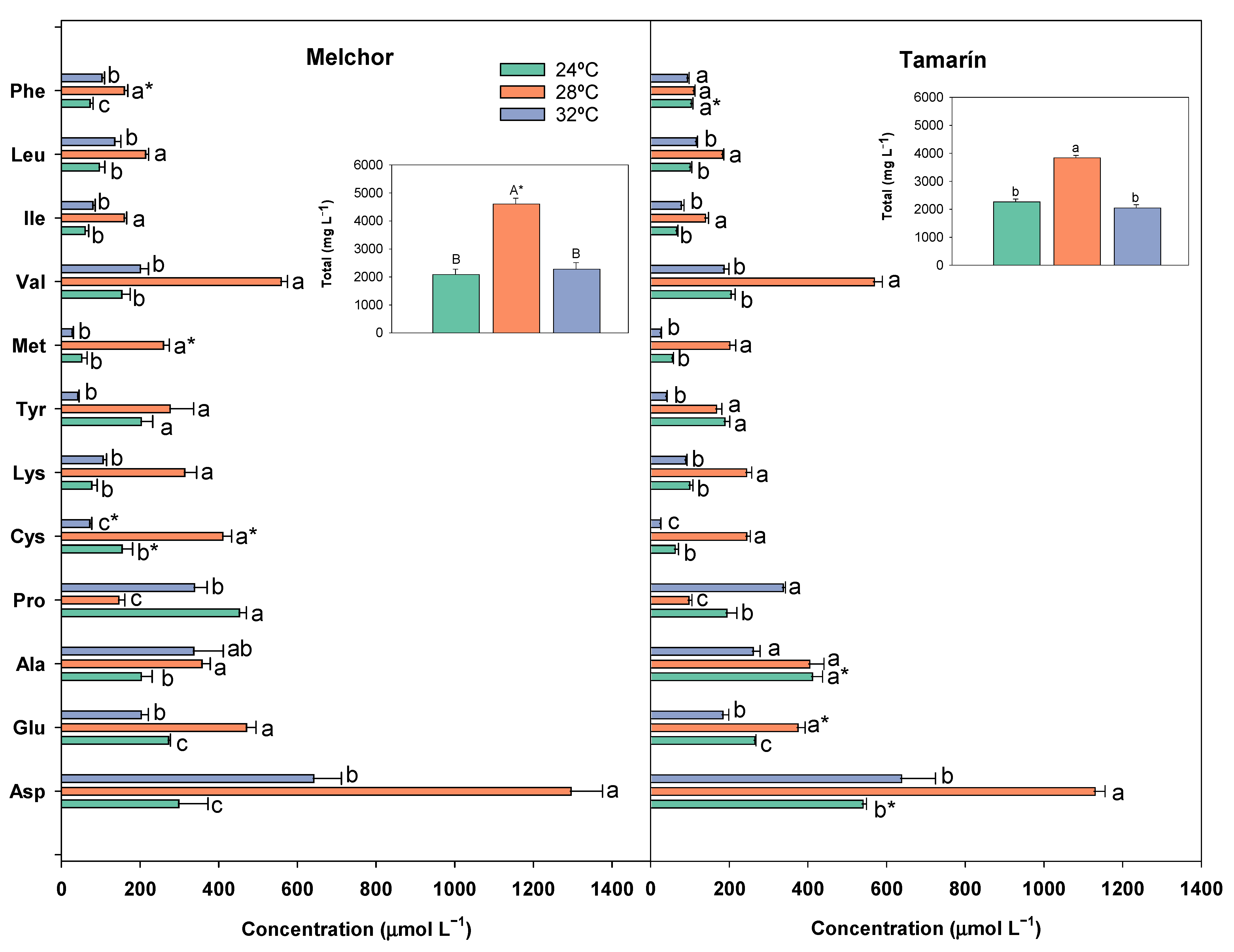
The concentration of amino acids in the fruits is of great importance, as it will determine their nutritional value for the human diet, as well as the flavor of the fruits, their aroma, health-promoting effects, and especially the concentration of essential amino acids, such as Ile, Leu, Val, and Lys [27]. Environmental conditions are responsible for the content of the amino acids found in fruits. Of the 12 amino acids measured, the three that were found in the highest concentration in the fruits grown at 24 °C were Asp, Ala, and Pro (Figure 6). These amino acids accounted for 45.6% (in Melchor) and 50.2% (in Tamarín) of the total amino acids (14.2%, 9.7%, and 21.6% (in Melchor) and 23.7%, 18.0%, and 8.4% (in Tamarín), respectively). Amino acids such as Asp provide freshness and taste. Fruits grown at 28 °C had the highest content of total amino acids in both cultivars, and, on the contrary, fruits grown at 32 °C showed similar values to the control fruits. As compared with the control fruits, the fruits grown at 28 °C suffered a strong increase in amino acids such as Met, Asp, Lys, and Val, in the case of Melchor, and Cys, Met, Val, and Lys, in the case of Tamarín. Curiously, Pro was the only amino acid of those measured that suffered a reduction in such treatment (Figure 6). These findings coincide with those observed by other authors such as Kim et al. [21], who found that fruits exposed to high temperatures during their development accumulated several amino acids, which they found to be associated with glycolysis and the tricarboxylic acid (TCA) cycle.
Figure 6.
Effect of temperature (24 °C, 28 °C, and 32 °C) on amino acid concentrations of Melchor and Tamarín fruits. The data are presented as the treatment means (n = 6) ± S.E. Different lowercase letters indicate significant differences between temperatures in Melchor and different uppercase letters indicate significant differences between temperatures in Tamarín. * Denotes significant differences between two cultivars grown under the same temperature conditions.
4. Conclusions
The results obtained in the present study show that high temperatures reduced the weight of the fruits, as well as the concentrations of TSS, total phenols, and cations. On the contrary, an increase in the content of anions such as nitrates, sulfates, and phosphates was also observed, and in the case of an increase in temperature from 24 °C to 28 °C, an increase in the concentration of amino acids. In addition, at the intermediate temperature of 28 °C, an advance in the maturation of the fruits was observed (around 6 days in Melchor and 14 days in Tamarín), with respect to the control temperature. Having a better understanding of the effects of temperature on the nutritional quality of the fruits will allow us to propose more adequate management strategies to reduce these negative impacts.
Author Contributions
Conceptualization, M.C.P., F.M.d.A., P.L., M.C.S.-G. and E.M.; methodology, P.L., M.C.S.-G. and E.M.; formal analysis, M.C.P. and F.M.d.A.; investigation, M.C.P., F.M.d.A., P.L., M.C.S.-G. and E.M.; resources, F.M.d.A.; writing—original draft preparation, M.C.P.; writing—review and editing, M.C.P.; supervision, J.L.-M. and F.M.d.A.; project administration, F.M.d.A., P.L., M.C.S.-G. and E.M.; funding acquisition, F.M.d.A., P.L., M.C.S.-G. and E.M. All authors have read and agreed to the published version of the manuscript.
Funding
This research was funded by the Instituto Nacional de Investigación y Tecnología Agraria y Alimentaria (RTA2017-00028-C02-01).
Institutional Review Board Statement
Not applicable.
Informed Consent Statement
Not applicable.
Data Availability Statement
Not applicable.
Acknowledgments
We thank José Manuel Gambín, Miguel Marín, and José Fco. Sáez Sironi for technical assistance.
Conflicts of Interest
The authors declare no conflict of interest.
References
- de Souza, R.; Peña-Fleitas, M.T.; Thompson, R.B.; Gallardo, M.; Grasso, R.; Padilla, F.M. The Use of Chlorophyll Meters to Assess Crop N Status and Derivation of Sufficiency Values for Sweet Pepper. Sensors 2019, 19, 2949. [Google Scholar] [CrossRef]
- Piñero, M.C.; Pérez-Jiménez, M.; López-Marín, J.; del Amor, F.M. Fruit Quality of Sweet Pepper as Affected by Foliar Ca Applications to Mitigate the Supply of Saline Water under a Climate Change Scenario. J. Sci. Food Agric. 2018, 98, 1071–1078. [Google Scholar] [CrossRef]
- Mateos, R.M.; Jiménez, A.; Román, P.; Romojaro, F.; Bacarizo, S.; Leterrier, M.; Gómez, M.; Sevilla, F.; Del Río, L.A.; Corpas, F.J.; et al. Antioxidant Systems from Pepper (Capsicum Annuum L.): Involvement in the Response to Temperature Changes in Ripe Fruits. Int. J. Mol. Sci. 2013, 14, 9556–9580. [Google Scholar] [CrossRef]
- Del Amor, F.M.; Serrano-Martínez, S.A.; Fortea, M.I.; Gómez-López, M.D.; Núñez-Delicado, E. Yield and Fruit Quality Response of Sweet Pepper Genotypes Grown under Soilless Cultivation. Artic. J. Plant Nutr. 2013, 36, 1247–1257. [Google Scholar] [CrossRef]
- Kim, E.H.; Lee, S.Y.; Baek, D.Y.; Park, S.Y.; Lee, S.G.; Ryu, T.H.; Lee, S.K.; Kang, H.J.; Kwon, O.H.; Kil, M.; et al. A Comparison of the Nutrient Composition and Statistical Profile in Red Pepper Fruits (Capsicums Annuum L.) Based on Genetic and Environmental Factors. Appl. Biol. Chem. 2019, 62, 48. [Google Scholar] [CrossRef]
- Otálora, G.; Piñero, M.C.; Collado-González, J.; López-Marín, J.; Del Amor, F.M. Exogenous Salicylic Acid Modulates the Response to Combined Salinity-Temperature Stress in Pepper Plants (Capsicum Annuum L. var. Tamarin). Plants 2020, 9, 1790. [Google Scholar] [CrossRef]
- IPCC. Summary for Poliymakers. In Global Warming of 1.5 °C: An IPCC Special Report on the Impacts of Global Warming of 1.5 °C above Preindustrial Levels and Related Global Greenhouse Gas Emission Pathways, in the Contex of Strengthening the Global Response to the Threat of Climate Change; Masson-Delmotte, V., Zhai, P., Pörtner, H.-O., Roberts, D., Skea, J., Shukla, P.R., Pirani, A., Moufouma-Okia, W., Péan, C., Pidcock, R., et al., Eds.; World Meteorological Organization: Geneva, Switzerland, 2018; p. 32. Available online: https://www.ipcc.ch/site/assets/uploads/sites/2/2018/07/SR15_SPM_High_Res.pdf (accessed on 16 July 2021).
- Oh, S.Y.; Koh, S.C. Fruit Development and Quality of Hot Pepper (Capsicum annuum L.) under Various Temperature Regimes. Hortic. Sci. Technol. 2019, 37, 313–321. [Google Scholar]
- Balasooriya, H.N.; Dassanayake, K.B.; Ajlouni, S. The Impact of Elevated CO2 and High Temperature on the Nutritional Quality of Fruits-A Short Review. Am. J. Agric. Res. 2019, 4, 26. [Google Scholar] [CrossRef][Green Version]
- Porras, M.E.; Lorenzo, P.; Medrano, E.; Sánchez-González, M.J.; Baeza, E.J.; Piñero, M.C.; Sánchez-Guerrero, M.C. Sweet Pepper Grown under Salinity Stress as Affected by CO2 Enrichment and Nitrogen Source. Acta Hortic. 2017, 1170, 805–812. [Google Scholar] [CrossRef]
- Piñero, M.C.; Lorenzo, P.; Sánchez-Guerrero, M.C.; Medrano, E.; López-Marín, J.; del Amor, F.M. Reducing Extreme Weather Impacts in Greenhouses: The Effect of a New Passive Climate Control System on Nutritional Quality of Pepper Fruits. J. Sci. Food Agric. 2021, 102, 2723–2730. [Google Scholar] [CrossRef]
- Kahkonen, M.P.; Hopia, A.I.; Vuorela, H.J.; Rauha, J.P.; Pihlaja, K.; Kujala, T.S.; Heinonen, M. Antioxidant Activity of Plant Extracts Containing Phenolic Compounds. J. Agric. Food Chem. 1999, 47, 3954–3962. [Google Scholar] [CrossRef]
- Piñero, M.C.; Otálora, G.; Collado-González, J.; López-Marín, J.; del Amor, F.M. Effects of Selenium on the Chlorophylls, Gas Exchange, Antioxidant Activity and Amino Acid Composition of Lettuce Grown under an Aquaponics System. Horticulturae 2021, 8, 30. [Google Scholar] [CrossRef]
- Heo, Y.; Park, E.G.; Son, B.G.; Choi, Y.W.; Lee, Y.J.; Park, Y.H.; Suh, J.M.; Cho, J.H.; Hong, C.O.; Lee, S.G.; et al. The influence of abnormally high temperatures on growth and yield of hot pepper (Capsicum annuum L.). J. Agric. Life Sci. 2013, 47, 9–15. [Google Scholar] [CrossRef]
- Sato, S.; Kamiyama, M.; Iwata, T.; Makita, N.; Furukawa, H.; Ikeda, H. Moderate increase of mean daily temperature adversely affects fruit set of Lycopersicon esculentum by disrupting specific physiological processes in male reproductive development. Ann. Bot. 2006, 97, 731–738. [Google Scholar] [CrossRef]
- Waraich, E.A.; Ahmad, A.; Halim, R.; Aziz, T. Alleviation of temperature stress by nutrient management in crop plants: A review. J. Soil Sci. Plant Nutri. 2012, 12, 221–244. [Google Scholar] [CrossRef]
- Maso Hornero-Méndez, D.; Gómez-Ladrón De Guevara, R.; Isabel Mínguez-Mosquera, M. Carotenoid Biosynthesis Changes in Five Red Pepper (Capsicum Annuum L.) Cultivars during Ripening. Cultivar Selection for Breeding. J. Agric. Food Chem. 2000, 48, 3857–3864. [Google Scholar] [CrossRef]
- Takahashi, M.; Yoshida, C.; Komoda, T. Establishing an Efficient Fruit Ripening Method for Sweet Pepper (Capsicum Anuum L.) through Light Irradiation and Dark Processing. Hortic. J. 2018, 87, 73–79. [Google Scholar] [CrossRef]
- Bita, C.E.; Gerats, T. Plant Tolerance to High Temperature in a Changing Environment: Scientific Fundamentals and Production of Heat Stress-Tolerant Crops. Front. Plant Sci. 2013, 4, 273. [Google Scholar] [CrossRef]
- Rahman, M.; Rahaman, S.; Islam, R.; Rahman, F.; Mithi, F.M.; Alqahtani, T.; Almikhlafi, M.A.; Alghamdi, S.Q.; Alruwaili, A.S.; Hossain, S.; et al. Role of Phenolic Compounds in Human Disease: Current Knowledge and Future Prospects. Molecules 2021, 27, 233. [Google Scholar] [CrossRef]
- Kim, M.; Kang, S.; Yun, S.; Kim, S.; Joa, J.; Park, Y. Influence of Excessively High Temperatures on the Fruit Growth and Physicochemical Properties of Shiranuhi Mandarin in Plastic-Film Greenhouse Cultivation. Plants 2021, 10, 1525. [Google Scholar] [CrossRef]
- Rouphael, Y.; Kyriacou, M.C.; Vitaglione, P.; Giordano, M.; Pannico, A.; Colantuono, A.; De Pascale, S. Genotypic variation in nutritional and antioxidant profile among iceberg lettuce cultivars. Acta Sci. Pol. Hortorum Cultus 2017, 16, 37–45. [Google Scholar] [CrossRef]
- Kim, M.J.; Moon, Y.; Tou, J.C.; Mou, B.; Waterland, N.L. Nutritional Value, Bioactive Compounds and Health Benefits of Lettuce (Lactuca Sativa L.). J. Food Compos. Anal. 2016, 49, 19–34. [Google Scholar] [CrossRef]
- Rosales, M.A.; Cervilla, L.M.; Sánchez-Rodríguez, E.; Rubio-Wilhelmi, M.d.M.; Blasco, B.; Ríos, J.J.; Soriano, T.; Castilla, N.; Romero, L.; Ruiz, J.M. The Effect of Environmental Conditions on Nutritional Quality of Cherry Tomato Fruits: Evaluation of Two Experimental Mediterranean Greenhouses. J. Sci. Food Agric. 2011, 91, 152–162. [Google Scholar] [CrossRef]
- Amor, F.M.; Marcelis, L.F.M. Regulation of Nutrient Uptake, Water Uptake and Growth under Calcium Starvation and Recovery. J. Hortic. Sci. Biotechnol. 2003, 78, 343–349. [Google Scholar] [CrossRef]
- Mach, J. Calcium Channels and Acquired Thermotolerance: Here Comes the Sun and It’s All Right. Plant Cell 2012, 24, 3167. [Google Scholar] [CrossRef] [PubMed]
- Huang, Y.; Li, W.; Zhao, L.; Shen, T.; Sun, J.; Chen, H.; Kong, Q.; Nawaz, M.A.; Bie, Z. Melon Fruit Sugar and Amino Acid Contents Are Affected by Fruit Setting Method under Protected Cultivation. Sci. Hortic. (Amst.) 2017, 214, 288–294. [Google Scholar] [CrossRef]
Publisher’s Note: MDPI stays neutral with regard to jurisdictional claims in published maps and institutional affiliations. |
© 2022 by the authors. Licensee MDPI, Basel, Switzerland. This article is an open access article distributed under the terms and conditions of the Creative Commons Attribution (CC BY) license (https://creativecommons.org/licenses/by/4.0/).





