Abstract
In 2017, Uganda’s small-scale inland fisheries underwent a significant transformation, shifting from local co-management to state military enforcement owing to ineffective enforcement of regulations and declining exports. Employing a mixed-methods approach and blending qualitative and quantitative data, we assessed the impact of military intervention on Lake Victoria’s Nile perch fishery, focusing on fishing effort, catch, and exports. Our findings indicate that military operations adhered to regulations, gaining primary support from key stakeholders, specifically motorized fishing operators. Consequently, between 2016 and 2020, legal fishing activities experienced substantial growth. By 2021, approximately 90% of Nile perch catches were made by motorized vessels using longlines and gillnets, despite a declining trend in catch-per-unit effort. Between 2015 and 2021, the Nile perch fishery saw changes: boat seines made up about 5% of motorized fleet catches in 2021, while catches in paddled vessels increased from 20% to over 50%, suggesting a potential role in the growing longline fishery. Therefore, the current management approach does not increase catches or exports compared with the co-management period. The observed decline in catch-per-unit effort among motorized gillnets suggests overcapacity. Further research is needed to comprehend the broader sociological and ecological impacts of the present enforcement strategy for sustainable fishery management.
Key Contribution:
This study assesses the effectiveness of military enforcement of fishery management rules in improving fishery performance and outcomes in the Ugandan part of Lake Victoria, replacing the existing co-management approach. However, this military enforcement approach did not result in increased catches or exports compared with the co-management period. The observed decline in catch-per-unit effort among the motorized gillnet fleet suggests overcapacity. Further research is needed to fully understand the broader sociological and ecological impacts of the current enforcement strategy for achieving sustainable fishery management.
1. Introduction
African small-scale inland fisheries are in transition. Fisheries co-management as a cooperative instrument to secure sustainable fisheries has not proven as successful as hoped, and some African countries have been exploring more coercive enforcement measures to ensure rule compliance and regulate access in their inland fisheries, which have traditionally been open access [1,2,3,4].
Further, there is an increased emphasis on export-oriented, commercial fisheries and less focus on artisanal fisheries as a source of local livelihoods [5,6,7,8]. These two policy directions are often mutually exclusive and have important political and economic implications [9]. This is amplified by the growing and globally integrated African national economies that impact both fisheries and other natural resource sectors [10]. Other common-pool natural resources on the continent, such as forestry and wildlife, have also seen a drive from cooperation towards more high-handed, coercive approaches to enforce rule compliance [11,12]. This has resulted in multiple paramilitary approaches and, in more extreme cases, the deployment of full-scale military operations.
Uganda conducted an interesting study of such a transition in small-scale inland fisheries. In November 2015, bold reforms were introduced to fishery management. Local-level fisheries co-management systems, the Beach Management Units (BMUs), were dissolved through a presidential directive, as well as the military, in the form of the Fisheries Protection Unit (FPU). This was installed to enforce rule compliance on Ugandan lakes, including the territorial waters of Lake Victoria [13]. The suspension of local-level BMUs was due to the alleged prevalence of mismanagement under the BMUs, resulting in widespread illegal fishing, bribery, and corruption [13,14]. Fishery landing site committees were established to enforce fishery regulations alongside the military, contrary to the mandate of the co-management structure, disrupting the involvement of government officials, such as district and sub-county officers who had earlier been involved in the co-management structure [13,15,16]. An extensive military operation commenced in Lake Victoria in February 2017 and is still being implemented in 2022. When the FPU was established, it aimed to eliminate all forms of illegal fishing gear and practices in the hope of reversing the trend of declining catches and exports [15]. Peak Nile perch catch and export values were achieved in 2006, 3 years after the installation of the BMUs. However, by 2015, catches had decreased by 20% to 117,600 MT, and exports had dropped by 50% to 18,408 MT [17]. Some authors argue that the political agenda is also to consolidate access to valuable fishery resources to the ruling elites [11,12,18,19].
Fishing effort on Lake Victoria has been growing steadily through new entrants, technological improvements, and increased use of illegal gear, such as small mesh monofilament nets, small hooks, and beach seines, in response to the reduced availability of large fish and growing demand for fish in national, regional, and global markets [8,20]. Nile perch fishers, which predominantly target global export markets, must invest in larger vessels and engines to access deeper waters where the likelihood of catching legal-sized fish is better, while those using smaller paddled vessels have traditionally been fishing for domestic consumption, and local or regional markets fish close to shore using small mesh gillnets and monofilament nets. Similar trends in the development of fishing efforts have been observed in other small-scale fisheries (SSFs), classified as commercial or artisanal, respectively [21,22]. The FAO voluntary guidelines for small-scale fisheries, the FAO code of conduct for responsible fisheries, and the United Nations’ Sustainable Development Goal 14 highlight the need to increase economic benefits while protecting the access rights of artisanal small-scale fishers [23]. However, it is difficult to reconcile increased economic benefits while preserving access rights in some inland fishing nations, such as Uganda, where economic growth and development is a key agenda in the productive sectors.
The objective of this study is to analyze whether the strong enforcement of fisheries management rules has enhanced the fisheries performance and outcomes in the case of a productive African inland fishery. This study examines the effects of a shift from cooperation to coercion in managing the Nile perch fishery in Uganda’s Lake Victoria. It assesses the impacts on fishing effort and catches after five years of military involvement. Our research questions are as follows.
- ○
- How was the military intervention on Lake Victoria organized, and what rules were enforced?
- ○
- To examine how coercive rule enforcement has impacted the fishing effort and fish stocks of the Nile perch on Lake Victoria over time;
- ○
- To understand the fishery policy implications of these interventions.
2. The Challenge of Rule Compliance in African Inland Fisheries
Institutions matter, and to avoid the tragic outcomes of open access to common-pool natural resources, an institutional framework involving formal and informal rules, norms, and conventions related to a particular resource is required [24,25]. Resource users are generally driven by individual interests and without definitive rules on resource use and accountability, resources typically suffer from degradation [26]. This is a key challenge with common-pool resources, such as inland Small-Scale Fisheries (SSF), where excluding access is difficult, and there is a high degree of competition among users. A key aspect of the effective governance of common-pool resources is that users adhere to the rules and institutions enforcing them are perceived as being effective and legitimate [27,28,29]. Two major challenges concerning compliance in inland fisheries exist: the inadequacy of rules and weak law enforcement mechanisms to guide sustainable management [30,31,32].
Rules governing resource use in African inland fisheries are mostly centred on managing fishing effort through gear limitations, such as mesh regulations and gear bans [33,34,35]. These are perceived as easier to implement in fisheries characterized by many users with varying fishing effort. However, non-compliance remains high among resource users [30,36]. Fisheries management faces insufficient financial and personnel capacity to enforce rules. In addition, there is also a growing uncertainty being expressed in the literature about whether these types of effort limitations are indeed effective in ensuring the sustainable management of SSF [34,35]. Most of the existing rules in African inland fisheries are dated and based on scientific principles perceived to address the political and economic interests of the state, commonly ignoring the needs of the fishing communities [30,34,37]. However, successful governance of common pool resources requires institutional frameworks to evolve, change, and adapt [28]. Over time, fishermen tend to diversify and evolve their activities, and with rigid rules, resources are susceptible to degradation in the long term.
Successfully co-managed, common-pool resources are mostly found when communities are characterised by well-defined boundaries, shared norms and rules, low levels of mobility, appropriate leadership, and accountability of users [24,38]. Inland fisheries are often transboundary, fishers are multicultural and highly mobile, and the nature of imposed co-management is instructive, as fishers are expected to adhere to the rules rather than participate in their formulation. Fisheries face challenges, such as inadequate resources to manage the fishery, bribery, corruption, and lack of political will and genuine enforcement to sustain the fisheries [4,14,39]. Thus, co-management to govern fisheries has found difficulties in ensuring compliance with the rules [40]. Consequently, nations such as Uganda have resorted to coercive powers to enforce rule compliance. The shift to coercive enforcement, coming in the form of the military in Uganda, also depicts the drive of individual states to control the fisheries sector. The co-management structures had a weak law enforcement mechanism characterised by inadequate resources, poor coordination among the BMU structures, and a lack of political will to empower enforcement activities [40,41,42]. Consequently, fishing practices remained contrary to government regulations, as BMU operations were mainly based on social ties rather than active law enforcement [14,42]. The challenges of the co-management structures to enforce fishery rules among fishers were used as arguments for the military to enforce rule compliance in Uganda. While cooperation failed to foster rule compliance among fishers, it is also argued that reliance on military approaches indicates a lack of social control since the state fails to facilitate collective control over common resources [43]. Military coercion, being inherently costly and prone to triggering violent conflicts, is not a sustainable approach, especially for low-income countries. On the other hand, cooperation relies on voluntary compliance, introducing the risk of free-rider problems. Therefore, there is a need to examine both coercive and cooperative approaches, as they present different but interesting opportunities for effective rule compliance in inland African fisheries.
3. Materials and Methods
3.1. Study Area and Context
Lake Victoria is a 68,600 km2 transboundary water body, of which 29,584 km2 (43%) belongs to Uganda. The country’s share has an extensive shoreline of 1750 km characterised by numerous islands, making it favourable for fishing [44]. Fishing is primarily based on three key commercial species: the small pelagic silver cyprinid, locally known as dagaa (Rastrineobola argentea Pellegrin, 1904), Nile perch (Lates niloticus; Linnaeus, 1758), and Nile tilapia (Oreochromis niloticus; Linnaeus, 1758). Nile perch is processed as a chilled and frozen product for export markets, Nile tilapia is consumed locally, and dagaa is consumed in both local and regional markets. In recent years, a lucrative trade in Nile perch maws has developed where the value of the maw of the largest fish exceeds the value of the flesh [45].
Fisheries management in Lake Victoria evolved from self-governing communal arrangements before colonial times (<1890) to centralised top-down management for over a century [1890–2002]. A bottom-up co-management structure was introduced on the lake in 2003 [13]. The co-management system was established in the early 1980s as part of the global movement to decentralise governments. The shift was prompted by challenges faced by the centralised management system in effectively regulating fisheries [4,42]. In 2015, the co-management system was suspended in Uganda and replaced by military operations as the FPU was effective in 2017. At the time of data collection, the FPU had established eight operational areas around the lake, commonly known as sectors (Figure 1). Each sector includes a minimum of two adjacent districts. The operations in each sector are headed by a senior military commander commanding a cadre of 8–17 military personnel.
Figure 1.
Boundary demarcation among the eight areas (sectors) of FPU operations along the Lake Victoria riparian districts in Uganda. Different colour patterns represent where each of the eight sector commandants conducts law enforcement on the lake.
3.2. Data Sources
To analyse the structure and effects of the current military fisheries management in the Ugandan waters of Lake Victoria, a sequential exploratory and explanatory mixed-method approach were used, using qualitative and quantitative data. The data were gathered and analyzed sequentially. The findings from the initial exploratory/qualitative dataset are substantiated by a subsequent dataset, which comprises explanatory or quantitative data in the study [46,47]. Qualitative data were obtained from the FPU personnel, while quantitative data were obtained from the National Fisheries Research Resources Institute (NaFIRRI) and the Lake Victoria Fisheries Organisation (LVFO). Qualitative data were used to provide background information, the context of the study, and to discover the structure of the law enforcement operations, while quantitative data were used to explain the effects of the operations on fisheries effort and catch. We chose this approach to mitigate the comparative weakness of qualitative research, add richer detail to their conclusions, and make the results more credible by using different methods to collect data on the same subject as has been carried out in several other studies [46,48,49].
3.2.1. Data on the FPU Operation
Eight senior military officials, each in charge of a distinct FPU sector, were purposefully contacted and selected for interviews. They were highly ranked and had pivotal roles in law enforcement. Selected for their extensive expertise, these individuals were to provide a comprehensive understanding of military intervention in law enforcement and articulate the regulatory challenges, operational intricacies, and practical insights into maintaining law enforcement activities on the lake. The decision to engage with these key stakeholders was driven by the goal of capturing a holistic and authoritative perspective on the law enforcement dynamics in the lake. A checklist of interview questions was used; however, depending on the situation, divergences were allowed from one respondent to another to allow respondents to talk freely. Interviews were conducted from December 2019 to August 2020, recorded, and each lasted 45–60 min. Permission to collect data was sought from the FPU head office. During the fieldwork, the purpose of the study and emphasis on ethical principles of anonymity and confidentiality guiding the research was explained to the respondents, with their consent to participate confirmed before the interviews were taken [47]. In addition, records of confiscations of illegal vessels and gear covering the period from February 2017 to August 2020 were obtained from each sector and compiled for further analysis. FPU officials are tasked with recording every confiscation made per operation, which is sent to the Ministry of Agriculture, Animal Industry, and Fisheries (MAAIF) for recording purposes.
3.2.2. Fishery Effort, Catch, and Export Data
Catch and effort data were sourced from technical reports and databases at the National Fisheries Resources Research Institute (NaFIRRI) and the Lake Victoria Fisheries Organisation (LVFO). Since 2004, LVFO, in collaboration with partner fisheries research and management institutions in Uganda, Kenya, and Tanzania, has been monitoring fishing effort and catches on Lake Victoria through periodic frame surveys and continuous catch assessment surveys. Frame surveys (FS) are conducted biennially, with logistics permitting, and involve a complete census of all fishing effort variables, such as the enumeration of active landing sites, fishing vessels, gears, and fishers. Catch Assessment Surveys (CAS) involve the collection of catch data from a sample of vessels and landing sites throughout the year. Through the FS, an effective sampling frame is used to determine a representative sample of landing sites within the districts to be sampled [50,51]. Landing sites were selected randomly with a probability proportional to their size (PPS) measured in terms of the total number of vessels landing at the site, and catch data were obtained from vessels at random. The final data are representative of approximately 10% of all landing sites on the lake. These datasets are collected by trained enumerators, following the LVFO harmonized Standard Operating Procedures and data forms [50,51]. For this study, the time-series data were segregated into three discrete periods: the BMU management system era (2004 to 2015), the year of transition (2016), and the FPU period (2017 to 2021). The transition period in the study describes the period during which the BMU structures were disbanded until the commencement of FPU operations in 2017. Catch assessment data were sorted, and trips where either legal or illegal gillnets or/hooks were deployed, but not both, were selected for further analysis. This was carried out to eliminate any bias due to the uncertainty in identifying which catches or fish sizes were caught using legal or illegal gear by a specific vessel.
Fish export data were sourced from the statistical databases of the Bank of Uganda and the Uganda Bureau of Statistics [17,52], to cross-reference and validate the information retrieved from these sources. Data verification was conducted using an additional dataset provided by the Directorate of Fisheries Resources (DiFR).
3.3. Data Analysis
Interviews with the FPU senior commanders were transcribed and, in the analysis, the authors sought to find and analyse direct quotes from the interview respondents that discussed aspects related to the study objectives on how the military intervention was organised and the rules imposed. Quantitative data obtained from the sectors included records of confiscations, which were collated, summarised, and presented by year. The catch and effort data were analysed according to different types of gear and vessels.
Yearly average total catches were computed from the LVFO catch assessment survey data, whereas CPUE was computed based on vessel-level catch assessment data. For the latter, a proxy variable, the average weight of fish landed (kg fish−1), was computed as a fraction of the total weight of the catch and the number of fish in a vessel for each observation. The CPUE was then presented as the kg per gear unit hours fished with gear units and hours fished as the effort variables over the study period from 2005 to 2021. The analysis and presentation of findings aimed at comparing the BMU (2005–2015) with the FPU period (2017–2021), where changes in effort, catch, CPUE and the average size of fish caught were used to explain changes related to the change in management. We compared the CPUE between vessel propulsion types and years using a two-way Analysis of Variance (ANOVA) and a post hoc Tukey test. All statistical and graphical analyses were performed using R software (4.0.3) [53] Packages dplyr and ggplot2 were used for data manipulation and visualization, respectively [54].
3.4. Limitations
Despite the study’s strengths, it is essential to acknowledge its limitations, including its relatively small sample size. Qualitative data were collected from eight officials, and the quantitative data covered 10% of the total landing sites. The non-random, purposive selection of the qualitative sample limits generalizability and caution is warranted when interpreting the broader impact of military activities on the lake. Additionally, missing data in the quantitative analysis were non-random, affecting 8 out of the 17 years due to limited funding. Therefore, the findings should be cautiously interpreted, avoiding generalizations of catch trends for the entire 17-year period.
4. Results and Discussion
4.1. The Military Operation on the Lake
In 2014, 409 BMUs were recorded in the Ugandan part of Lake Victoria. In November 2015, the BMUs were suspended, and the FPU was installed to enforce rule compliance among fishers, starting its operations in February 2017. Most of the fisheries management rules that have been implemented are based on the fisheries legislation of Uganda, the most fundamental one being the Fish Act Cap 197 of 2000 and its amendments in the fish (fishing) rules of 2010, which did not change with the transition from the BMU system to the FPU. Sector commanders indicated that they had prior experience in operating in a marine environment under the Uganda Peoples Defence Force (UPDF) and this was part of the criteria for deployment in the FPU. In 2016, members of the FPUs received a 2-week orientation by the Ministry of Agriculture, Animal Industry and Fisheries (MAAIF) officials on the fisheries rules to be enforced, as noted by one respondent: “Most of us were or are part of the UPDF marine…we undertook training with the ministry officials at the fisheries training institute and taught on what is acceptable on the lake, so whatever is prohibited on the lake according to the rule of law we abolish it (…)”.
Some of the equipment used for enforcement such as vessels and engines were provided by the MAAIF through the Directorate of Fisheries Resources (DiFR) and in some cases, additional equipment was supplied by prominent commercial fishers who supported strict enforcement. Under the FPU, fishers and vessels on the lake have to be registered and licensed, Fishers targeting Nile perch, Nile tilapia, and other larger species are prohibited from using gillnets < 5″, cast nets, beach/boat seines, monofilament nets, hooks size ≥ 10 (the naming of hook sizes is such that the hooks become smaller as the size number increases), and indiscriminate fishing methods and the use of vessels smaller than 28 ft/8.5 m. Dagaa fishers are allowed to fish with a maximum of 8 small seine net panels and with vessels ≥ 28 ft/8.5 m (Table 1). The use of illegal fishing gear and practices had been prevalent among smaller fishing vessels operating in the inshore areas of the lake [55,56,57]. Military officials also observed this, and hence, the eradication of small fishing vessels has been a major target throughout the enforcement work of the FPU.
Table 1.
Rules enforced by the Fisheries Protection Unit (FPU).
Although the BMUs had been suspended, military officials consulted and engaged stakeholders at the local level in their activities to ensure the success of the enforcement operations. In one case, a respondent said: “We work closely with the AFALU (Association of Fishers and Lake Users) and some former BMU chairmen help, we collaborated with them from the start, they gave us people to work with, in navigating the lake from the start…they gave us their boats and engines…they also feed us with information on the illegal activity hotspots”. Engaging local stakeholders enhanced law enforcement, as the stakeholders ensured the acceptability of the regime shifts from the BMU to the FPU at the landing sites. With the suspension of the BMUs, the AFALU, whose membership is dominated by commercial Nile perch fishers, nominated two persons at every major landing site to report illegal fishing activities to the military. It is, therefore, no surprise that the AFALU has been identified as one of the major actors behind the suspension of the BMUs. Such a swift change in management in Uganda was possible because transition powers remained with government actors rather than resource users [15,16]. Mpomwenda et al. [13] indicate that commercial Nile perch fishers were dissatisfied with the local-level BMU structure and local fisheries officials. The enforcement of the rules is perceived to favour commercial Nile perch fishers over artisanal fishers using small vessels.
4.2. Enforcement Activities of the FPU and the Effect on Fishing Effort
4.2.1. Effect on Fishing Effort
At the beginning of the 21st century, most fishing vessels on Lake Victoria were unmotorised and mainly paddled (80%), while some used sails. Over the first two decades of the century, there was no growth in paddled or sailed vessels from 2006, while an exponential growth in the number of motorized vessels was recorded, with an average annual growth rate of 11% from 2000 to 2020 (Table 2).
Table 2.
Fishing effort indicators on Lake Victoria in Uganda during periods of different management regimes 2000–2020. Source frame survey reports.
The use of legal gillnets ≥ 5″ and longline hooks size < 10, which are mostly confined to motorised vessels, did not reflect the increase in the number of motorised vessels. The number of legal gillnets increased steadily from the beginning of the century until reaching a peak of about 500,000 in the 2006 census. The number of legal gillnets then fluctuated around 360,000 but increased again sharply to about 560,000 in 2020 after 4 years of military enforcement. The use of illegal multifilament gillnets fluctuated between 50,000 and 90,000 until 2016 and reduced to less than 9000 by 2020. The relative importance of multifilament gill nets < 5″ in the Nile perch fishery decreased over time, and thus military enforcement was effective in reducing the use of illegal multifilament gill nets.
Monofilament nets and basket traps are highly efficient gears on Lake Victoria and are mainly associated with the artisanal fishery targeting juvenile Nile perch near the shore. Monofilament nets were first recorded in the 2004 frame survey when less than 1000 nets were recorded. No monofilament nets were recorded in the 2006 frame survey, but in 2008 about 11,000 nets were recorded. Their numbers then grew in subsequent frame surveys and reached almost 32,000 in 2016. In 2020, they were down to about 15,000, a reduction of 52%. Over the same period, the number of paddled vessels had been reduced to 8500, a reduction of 51% from the survey in 2016. Reductions in effort variables such as landing sites, monofilament nets and beach seines are consistent with results given in [58], which indicated a general decline in these effort variables.
Longlines were first recorded in the 2006 frame survey, although longlining had already been practised to some extent earlier, both by commercial and artisanal fishers. In the beginning, the majority of longlines had legal-sized hooks, but with time, illegal smaller-sized hooks became increasingly dominant as the number of hooks increased (Table 2). The use of illegal hooks was especially prominent in commercial fisheries (Figure S1). In 2020, there had been a large drop in the use of illegal hooks from about 4 million in 2016 to 1 million in 2020. At the same time, the number of legal hooks increased from about 500,000 in 2016 to 3.3 million in 2020.
The increased use of small hook sizes (>10) and monofilament nets during the BMU period had been attributed to the decline in large-sized Nile perch, prompting fishers to shift to gear with greater fishing efficiency [55]. Illegal fishing gear usually targets immature fish, which is then thought to result in the reduction in larger fish. We note that before enforcement there was no increase in legal gear but rather illegal hooks and monofilament nets, which can be seen as an adaptation for fishers to effectively harvest the available sizes of the perch.
4.2.2. Confiscation of Illegal Gear and Vessels
During the first 3.5 years of operations, the FPU confiscated a total of 27,880 vessels (Table 3). These were mostly of the parachute type (80%) (Table 3). Unlike other vessel types, the parachute vessels are paddled and less than 6 m in length, and with their small size, can only access shallow inshore areas where they target juvenile and spawning fish [55,59]. The Ssesse-type vessels can be fitted with an outboard motor and range from 6 m to 15 m, thus including illegal ones of < 8.5 m, which were confiscated, and vessels larger than 8.5 m operating with illegal fishing gear were also confiscated, albeit with the military officials noting that the latter were given back to the owners after a fine. Despite these massive confiscations, the number of paddled vessels recorded in the frame survey in 2020 had only dropped by 8800 from the 2016 survey (Table 2).
Table 3.
Vessels and fishing gear were confiscated by the FPU during law enforcement operations on Lake Victoria in Uganda. Data provided by sectoral commanders for the period February 2017 to August 2020.
The reduction in most illegal fishing gear from the frame surveys in 2016 to 2020 was proportional to the reduction in small fishing vessels, at around 50%, irrespective of the amount of gear confiscated. Thus, a total of about 540,000 monofilament gillnets were confiscated, which is 35 times the reduction recorded between the two last frame surveys in 2016 and 2020. The number of confiscated seines was 7 times, cast nets 3 times, and basket traps 0.6 times. The easiest and most effective gear to replace is the monofilament gillnets and this could be attributed to the low cost of doing so, which respondents also affirmed, “these manyala [monofilament] nets and little hooks are the worst to eliminate, they are cheap to obtain…one can just get three nets and use his small boat at the shores, so they incur less capital and then within a few days, they have recovered their money back”.
Overall, the elimination of illegal gear used both by paddled and motorized vessels, such as illegal multifilament nets and small hooks, appears to have been quite effective. Confiscated multifilament nets do not appear to have been replaced and their use dropped by almost 90% between frame surveys. The use of small hooks was reduced by 73% between surveys and while these are readily replaced, the large increase in the use of legal hooks has reduced the incentive to replace confiscated small-size hooks (Table 2).
To the military officials, the confiscations have been successful, and the need for surveillance has dropped with time. A challenge, though, could be the cost of surveillance, which was mentioned by officials, in addition to the reduced intensity in conducting operations; “Initially operations were held frequently and randomly with more support, however, this has changed because the rate at which crime is detected, and arrests made have also reduced…operations are now conducted based on information received”. There was however no detectable reduction in the confiscation of small vessels during the first 4 years of military intervention.
4.3. Changes in Catches during the BMU and FPU Management Regimes
During the BMU period, there was a consistent decline in overall Nile perch catches from ~90,000 t in 2005 to <50,000 t in 2015, and fish exports declined by 50% from 2005 to 2008, after which they remained relatively constant until increasing in 2018 (Figure 2). Fisheries on Lake Victoria supply more than 90% of Uganda’s total exports [60]. Exports continued to increase in 2019 when they were 60% higher than at the end of the BMU period. The observed decline in exports in 2020 and 2021 could be attributed to the stringent COVID-19 pandemic restrictions, where few fishery actors were required to work thus affecting the quality and quantity of Nile perch available for processing and export [61].
Figure 2.
Annual Nile perch catch and exports as volume (1000 tons) during the BMU and FPU period.
With the FPU in charge of law enforcement, it is reported that six more factories for processing Nile perch had opened by 2019, adding to the five existing in 2015. This has been reported as the major achievement of the FPU by the Uganda Fish Processors and Exporters Association (UFPEA) [60]. Moreover, UFPEA and AFALU have been reported to support military activities on the lake, the latter being confirmed by the FPU officials in this study [15]. Rightly or wrongly, the implication is that the shift in management enhanced the survival of the commercial Nile perch trade’s value chain by imposing strict measures on illegal fishers. The surge in mechanized fishing operations, concurrent with the opening of six new factories, aimed to yield higher catch volumes. This rise in motorized vessels was driven by the demand to supply fish to the newly established processing facilities. However, the study findings indicate a non-significant increase in catch volume post-enforcement, prompting inquiries into the efficiency of vessels in meeting industry supply. Moreover, there is a deliberation on the cost-effectiveness of the enforcement measures, considering the observed outcomes.
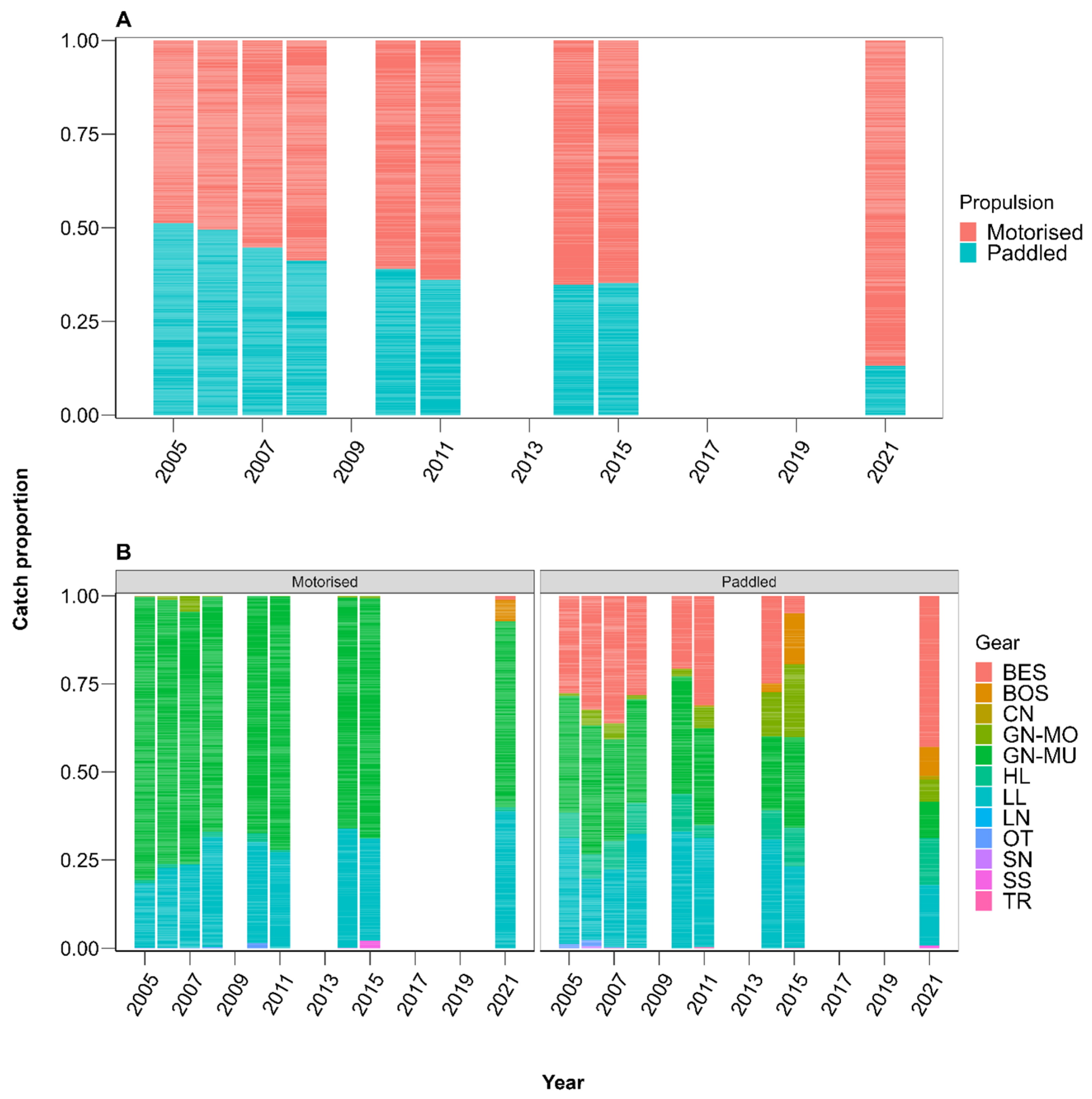
In 2005, paddled vessels accounted for just over half of the total Nile perch catch at about 48.5 thousand tons. Thereafter, there was a gradual decline in the importance of paddled vessels, and by 2015 they accounted for about 13,000 t, equivalent to 35% of the total catch. By 2021, their catch of Nile perch was about 8000 t, around 13% of the total (Figure 3A). These changes correspond to the changes in the fleet, with rapid growth in the number of motorised vessels since 2016 and a halving of the number of paddled vessels due to the confiscation of vessels (Table 2).
Figure 3.
The proportion of Nile perch catches from vessels sampled in the study period by (A) vessel propulsion as paddled and motorised and (B) and gears; BES—Beach Seines, BOS—Boat Seines, CN—Cast nets, GN–MU—Multifilament gillnets, GN–MO—Monofilament gillnets, HL—Hand line hook, LL—Longlines, LN—Lift nets, MF—Monofilament, and OT—Other unidentified gears, SN—Scoop net, SS—Seine nets, TR—Basket traps.
In 2005, about 80% of the Nile perch caught in the commercial fishery was taken in gillnets and the rest by longlines. The proportion of Nile perch caught by longlines increased to about 30% by 2008 and remained about that figure until 2015. In 2021, longlines accounted for about 40% of the catch, gillnets for 52%, and the rest was caught using mostly illegal gear including beach seines, cast nets, and basket traps. Paddled vessels used a greater variety of gear to catch Nile perch, but gillnets and hooks (longlines and handlines) accounted for around 60–80% from 2005 to 2015. In 2021, the use of gillnets by paddled vessels had dwindled to a mere 10%, while catches were dominated (51%) by beach and boat seines followed by hooks (long and handline) at 30% (Figure 3B).
Since 2015 there has been a marked reduction in the use of illegal gear and small unmotorised vessels, while the number of motorized vessels has continued to grow. There has been some increase in the use of legal gillnets, but the main increase has been in the use of legal-size hooks in both the artisanal and commercial fishery. The increased use of larger hooks has led to an increase in catches of large-sized Nile perch (Figure S2), as has also been reported in other studies [45,62,63]. This shift in the fishery has increased the demand for bait fish, which is likely the reason for the increased importance of beach seines in the artisanal fisheries (Figure 3B, [45]).
Increased effort targeting large Nile perch reflects the emergence of a lucrative fish maw business, where the economic returns are in favour of capturing the largest Nile perch individuals [45,64,65]. The Nile perch fishery, which is now mostly composed of motorised fishing vessels, does not only aim at targeting the high-value factory-sized Nile perch (≥50–85 cm TL), but much larger specimens for the fish maw trade which also appears to be attractive to the artisanal fishers with 30% of them operation long-lines and hand lines. Larger fish sizes are reported to have larger maws for instance the length of fresh maws for the 50 cm and 80 cm TL Nile perch individuals was estimated at 17 and 28.5 cm respectively, price per kg was also higher for larger maws at USD 210–270 while smaller maws were valued at USD 40–55 [45,64]. Thus, fishing for maws is economically attractive for fishers and other actors along the Nile perch value chain.
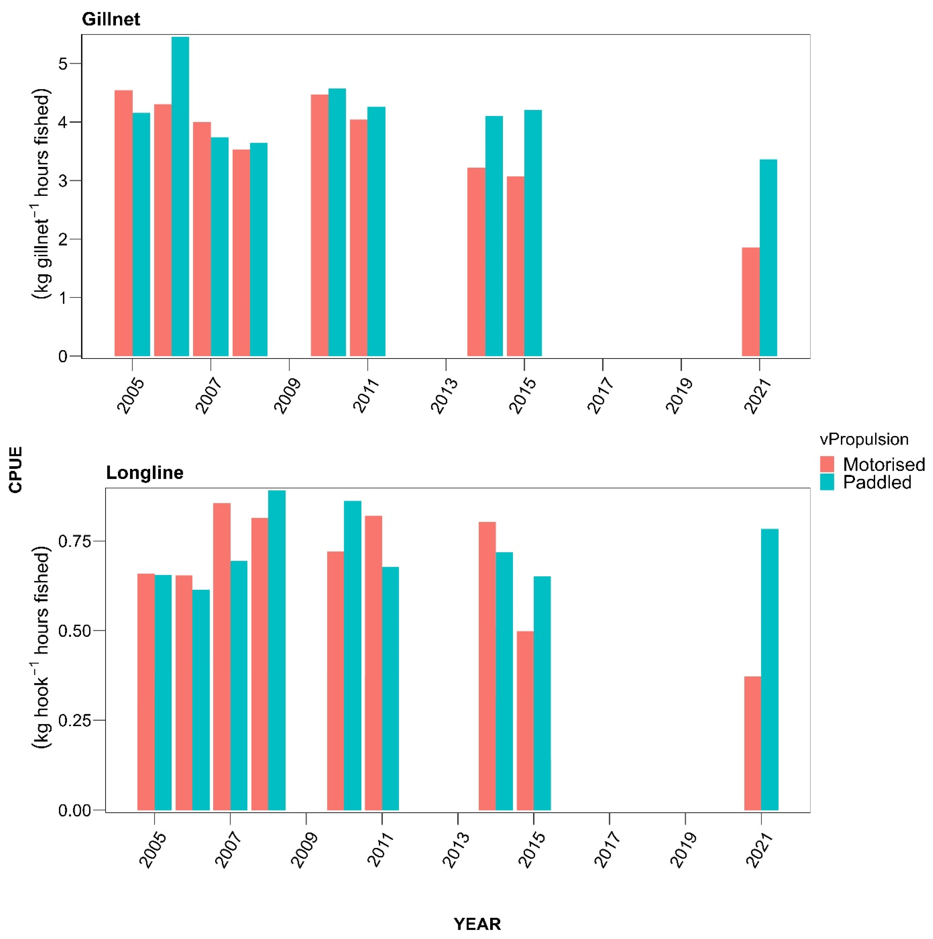
Nile Perch CPUE
A significant decline in the CPUE for the motorised gillnet Nile perch vessels was observed throughout the study period, from 4.5 kg panel−1 h fished at the beginning of the study period, to 3 kg panel−1 h fished in 2015, and further down to 1.8 kg panel−1 h fished in 2021. The CPUE for the artisanal gillnet fishers, who primarily use monofilament gillnets [56], declined from 4.2 kg panel h−1 fished in 2015 to 3.5 kg panel h−1 fished in 2021, but there has, however, not been a significant decline throughout the study (Figure 4, Tables S1 and S2), indicating that there has not been a detectable change in the density of small Nile perch in coastal waters. Small Nile perch of 10–50 cm TL are the most abundant (>80% of the sampled individuals) in the inshore areas of Lake Victoria, as measured in acoustic surveys [66]. A high abundance of small-sized Nile perch has long been reported on the lake [58,66,67]. Although the CPUE of monofilament gillnets has remained high, the importance of this gear in the Nile perch fisheries has dwindled as it only accounts for 1% of the total catches among all gear in 2021.
Figure 4.
CPUE for Nile perch gears in kg per unit hours fished for motorised and paddled vessels for the catch assessment survey period 2005–2007, 2010–2011, 2014–2015, and 2021 [56].
Legal hooks dominated both paddled and motorised vessel groups at the beginning of the study period, with a shift to illegal hooks by the end of the BMU period. With the FPU setting in, a dominance of legal-size longline hooks was observed in the frame survey in 2020 and the catch assessment survey in 2021. (Table 2, Figures S1 and S2). A slight increase in the average CPUE was observed in the artisanal fishery from 2015 to 2021, and a reduction in the commercial fishery was not found to constitute a statistically significant difference (p = 0.113) (Table S2).
The CPUE in the longline fishery did not indicate a significant difference between vessel groups from the beginning of the study period and throughout the BMU period (Figure 4, Table S2). Changes over time in the use of illegal longline hooks were quite similar for both motorised and paddled vessels, which is also reflected by the similar size distribution of Nile perch harvested by motorised and paddled vessels (Figures S1 and S2).
5. Conclusions and Implications for Policy
The study examined the structure and effects of military law enforcement on the Nile perch fisheries on Lake Victoria in Uganda. The results show that the Nile perch fishery on Lake Victoria in Uganda is highly dynamic and responds rapidly to changes in the biological, social, and economic environment in which it operates.
After the first 5 years of military intervention, there has been an increased emphasis on the long-line fishery and catches of large Nile perch have increased substantially, both in absolute terms and regarding the proportion of larger fish caught. Exports of Nile perch increased rapidly from 2016 to 2019 but declined significantly in 2020 and then reached the lowest point in 2021. Although this can be attributed to the COVID-19 pandemic, it is also possible that national and regional markets have become more important, and that a substantial part of the catch is comprised of individuals that are too large for the factories.
The fishing rules that have been enforced were specified in Uganda’s fisheries legislation; however, these rules foster more commercial fishery operations than subsistence ones. In the early 20th century, regulations, including the imposition of a minimum gillnet mesh size, were implemented to promote sustainable harvesting of commercial tilapia fisheries on Lake Victoria. However, these measures proved ineffective in preserving the native Oreochromis esculentus, the targeted tilapia species at that time. [67]. The Nile perch fleet alone makes up almost half of the fishing fleet on Lake Victoria in Uganda, and thus, to the commercial fleet owners and stakeholders along the value chain, the rules could be perceived as effective and legitimate. The institution and operation of the FPU in Uganda addressed the perceived “laxity” of co-management in enforcing rules, and the military has confiscated large numbers of small vessels and illegal gear since 2017. However, the results indicate that the goals to increase catches and exports relative to the BMU period may not be achieved in the long term. An increase in catch and exports was also realised in the early years of the BMU regime. Based on the findings of this study, there are no indications that the current regime has achieved the stated goals of increasing catch and exports relative to the preceding co-management period. A continued decline in catch-per-unit effort was observed for the motorized gillnet fleet, indicative of the overcapacity of the fleet. Driven by individual interests, the Nile perch stocks could suffer from resource degradation, as evidenced by the proportion of larger specimens being sought for economic benefits. It remains to be seen how the increased fishing pressure on the largest Nile perch may change the population structure, but most likely lead to reduced size at maturity and the maximum size attained [67]. Such a scenario would have serious implications for both the export of Nile perch and the maw trade.
On the side of the paddled vessels, we notice that in the first 4 years of military intervention, around 8000 small vessels were confiscated annually. Meanwhile, the use of illegal monofilament gillnets decreased, and most surveyed paddled vessels in 2021 were engaged in longlines and handlines to target large Nile perch or beach seines. This shift is likely due to the increased demand for bait fish in the expanding longline fishery. By 2020, the number of paddled vessels declined from approximately 17,000 in 2016 to 8500 in 2020, while almost 28,000 vessels were confiscated, indicating a persistent incentive to operate them. This is expected as no alternative incentive was given to the “illegal” artisanal fishers before the commencement of law enforcement.
The research provides valuable insights into the complex interactions involving military law enforcement on Lake Victoria, Uganda. It reveals the challenges associated with enforcing regulations, particularly in developing countries where the local socio-economic fabric is deeply intertwined with these vital natural resources. Two significant findings of the study are worth highlighting. Firstly, the study raises concerns about regulations inadvertently promoting excessive growth in fishing capacity in the commercial Nile perch sector. This, along with size-selective fishing, contributes to ongoing declines in catch levels of the commercial fleet. Secondly, the removal of smaller vessels implies a risk of social disruption in fishing communities, potentially causing the breakdown of social structures. This disruption may impact fisheries management, employment, and livelihoods. Hence, an assessment of the effectiveness of the current fishery laws concerning fish population dynamics and deliberate economic diversification may provide viable solutions to address these issues.
While our study has limitations, we acknowledge the need for future research to address these concerns. Diversifying interviewees to include fishers, local government actors, and fishing communities can provide a more comprehensive understanding of the social implications of military rule. Further research should explore the potential ecological effects of size-selective fishing and the necessity for revising fishery regulations considering the shifting fish population structure. Lake Victoria, a eutrophic lake, faces challenges exacerbated by a rapid increase in the human population in its catchment. Algal blooms in coastal areas lead to reduced dissolved oxygen, making these zones less suitable for larger fish [68,69,70]. Consequently, decreasing fishing effort in these areas may not necessarily increase larger fish. Although the study did not explore fish–environment interactions, such dynamics should be considered in formulating fisheries management plans. These efforts contribute to sustainable fishery management practices, which are crucial in addressing the complex issues related to law enforcement and fisheries.
Supplementary Materials
The following supporting information can be downloaded at: https://www.mdpi.com/article/10.3390/fishes8110563/s1, Figure S1: Legal/illegal hook size use between paddled and motorised gillnets for the study period based on catch assessment surveys in 2005–2008; 2010–2011; 2014–2015 and 2021, Figure S2: Comparison of the fish size distribution for the vessel groups; motorised and paddled and gears; gillnets and longlines; Table S1: ANOVA results for CPUE of the gillnets and longline vessel trips, Table S2: CPUE post hoc tests for gillnet and longline vessel trip comparisons.
Author Contributions
V.M.; conceptualization, methodology, investigation, visualization, writing—original draft: T.T.; supervision, funding acquisition, methodology, writing—original draft: D.M.K.; data curation, supervision, and writing—original draft: J.G.P.; conceptualization, methodology, data curation, supervision writing—original draft. All authors have read and agreed to the published version of the manuscript.
Funding
This research received no external funding.
Institutional Review Board Statement
The study did not involve any animal or human experimentation, and thus the declaration statement, approval code and date from the University of Iceland and Helsinki declaration are not applicable to this article.
Informed Consent Statement
Informed consent was obtained from all subjects involved in the study.
Data Availability Statement
Data for the study have restricted access; however, considerable explanation could be made available upon request from the corresponding author.
Acknowledgments
All staff of the FPU who participated in the interviews, staff of the National Fisheries Resources Research Institute, Directorate of Fisheries Resources and Lake Victoria Fisheries Organization that contributed to the collection of data used in the study are hereby acknowledged. Special thanks to Anthony Taabu Munyaho for the invaluable support rendered concerning data collection with the FPU, Nakiyende Herbert for providing us with guidance and feedback on the paper, and Bairon Mugenyi and Basooma Anthony. Lastly, we would like to express our gratitude to the UNESCO-GRO Fisheries Training Program that provided funding to the corresponding author for PhD studies at the University of Iceland.
Conflicts of Interest
The authors declare no conflict of interest.
References
- Andrew, N.L.; Béné, C.; Hall, S.J.; Allison, E.H.; Heck, S.; Ratner, B.D. Diagnosis and management of small-scale fisheries in developing countries. Fish Fish. 2007, 8, 227–240. [Google Scholar] [CrossRef]
- Nielsen, J.R.; Degnbol, P.; Viswanathan, K.K.; Ahmed, M.; Hara, M.; Abdullah, N.M.R. Fisheries co-management—An institutional innovation? Lessons from South East Asia and Southern Africa. Mar. Policy 2004, 28, 151–160. [Google Scholar] [CrossRef]
- Nunan, F.; Hara, M.; Onyango, P. Institutions and Co-Management in East African Inland and Malawi Fisheries: A Critical Perspective. World Dev. 2015, 70, 203–214. [Google Scholar] [CrossRef]
- Béné, C.; Belal, E.; Baba, M.O.; Ovie, S.; Raji, A.; Malasha, I.; Njaya, F.; Na Andi, M.; Russell, A.; Neiland, A. Power Struggle, Dispute and Alliance Over Local Resources: Analyzing ‘Democratic’ Decentralization of Natural Resources through the Lenses of Africa Inland Fisheries. World Dev. 2009, 37, 1935–1950. [Google Scholar] [CrossRef]
- Smith, H.; Basurto, X. Defining Small-Scale Fisheries and Examining the Role of Science in Shaping Perceptions of Who and What Counts: A Systematic Review. Front. Mar. Sci. 2019, 6, 236. [Google Scholar] [CrossRef]
- Branch, G.M.; Hauck, M.; Siqwana-Ndulo, N.; Dye, A.H. Defining fishers in the South African context: Subsistence, artisanal and small-scale commercial sectors. Afr. J. Mar. Sci. 2002, 24, 475–487. [Google Scholar] [CrossRef]
- Fulgencio, K. Globalisation of the Nile perch: Assessing the socio-cultural implications of the Lake Victoria fishery in Uganda. Afr. J. Political Sci. Int. Relat. 2009, 3, 433–442. [Google Scholar]
- Beuving, J. Spatial diversity in small scale fishing: A socio-cultural interpretation of the Nile perch sector on Lake Victoria, Uganda. Tijdschr. Voor Econ. En. Soc. Geogr. 2015, 106, 1–16. [Google Scholar] [CrossRef]
- Cohen, P.J.; Allison, E.H.; Andrew, N.L.; Cinner, J.; Evans, L.S.; Fabinyi, M.; Garces, L.R.; Hall, S.J.; Hicks, C.C.; Hughes, T.P.; et al. Securing a just space for small-scale fisheries in the blue economy. Front. Mar. Sci. 2019, 6, 171. [Google Scholar] [CrossRef]
- Calabrese, L.; Tang, X. Africa’s Economic Transformation: The Role of Chinese Investment. Available online: https://degrp.odi.org/publication/africas-economic-transformation-the-role-of-chinese-investment/ (accessed on 23 January 2022).
- Duffy, R.; Massé, F.; Smidt, E.; Marijnen, E.; Büscher, B.; Verweijen, J.; Ramutsindela, M.; Simlai, T.; Joanny, L.; Lunstrum, E. Why we must question the militarization of conservation. Biol. Conserv. 2018, 232, 66–73. [Google Scholar] [CrossRef]
- Massé, F.; Lunstrum, E.; Holterman, D. Linking green militarization and critical military studies. Crit. Mil. Stud. 2018, 4, 201–221. [Google Scholar] [CrossRef]
- Mpomwenda, V.; Kristófersson, D.M.; Taabu-Munyaho, A.; Tómasson, T.; Pétursson, J.G. Fisheries management on Lake Victoria at a cross-roads: Assessing fishers’ perceptions on future management options in Uganda. Fish. Manag. Ecol. 2021, 2, 196–211. [Google Scholar] [CrossRef]
- Nunan, F.; Cepić, D.; Yongo, E.; Salehe, M.; Mbilingi, B.; Odongkara, K.; Onyango, P.; Mlahagwa, E.; Owili, M. Compliance, corruption and co-management: How corruption fuels illegalities and undermines the legitimacy of fisheries co-management. Int. J. Commons 2018, 12, 58–79. [Google Scholar] [CrossRef]
- Kantel, A.J. Fishing for Power: Incursions of the Ugandan Authoritarian State. Ann. Am. Assoc. Geogr. 2019, 109, 443–455. [Google Scholar] [CrossRef]
- Nunan, F. The political economy of fisheries co-management: Challenging the potential for success on Lake Victoria. Glob. Environ. Chang. 2020, 63, 102101. [Google Scholar] [CrossRef]
- BOU. Composition of Exports. Available online: https://www.bou.or.ug/bouwebsite/PaymentSystems/dataandstat.html (accessed on 22 March 2022).
- Kjær, A.M. Political Settlements and Productive Sector Policies: Understanding Sector Differences in Uganda. World Dev. 2015, 68, 230–241. [Google Scholar] [CrossRef]
- Kjær, A.M.; Muhumuza, F.; Mwebaze, T.; Katusiimeh, M. The Political Economy of the Fisheries Sector in Uganda: Ruling Elites, Implementation Costs and Industry Interest; DIIS Working Paper: Copenhagen, Denmark, 2012; Available online: https://nru.uncst.go.ug/handle/123456789/7612 (accessed on 15 February 2023).
- Mkumbo, O.C.; Marshall, B.E. The Nile perch fishery of Lake Victoria: Current status and management challenges. Fish. Manag. Ecol. 2015, 22, 56–63. [Google Scholar] [CrossRef]
- Arthur, R.I. Small-scale fisheries management and the problem of open access. Mar. Policy 2020, 115, 103867. [Google Scholar] [CrossRef]
- Funge-Smith, S. Review of the State of the World Fishery Resources: Inland; FAO (Fish and Aquaculture Organisation): Rome, Italy, 2018. [Google Scholar]
- FAO. Voluntary Guidelines for Securing Sustainable Small-Scale Fisheries in the Context of Food Security and Poverty Eradication; FAO (Fisheries and Aquaculture Organization): Rome, Italy, 2015; p. 34. [Google Scholar]
- Ostrom, E. Governing the Commons: The Evolution of Institutions for Collective Action; Cambridge University Press: New York, NY, USA, 1990. [Google Scholar]
- North, D.C.; Wallis, J.J. Integrating Institutional Change and Technical Change in Economic History A Transaction Cost Approach. J. Institutional Theor. Econ. (JITE)/Z. Die Gesamte Staatswiss 1994, 150, 609–624. [Google Scholar]
- Hanna, S.; Munasinghe, M. Property Rights and the Environment: Social and Ecological Issues; Beijer Institute of Ecological Economics and World Bank: Washington, DC, USA, 1995. [Google Scholar]
- Dletz, T.; Ostrom, E.; Stern, P.C. The struggle to govern the commons. Science 2003, 302, 1907–1918. [Google Scholar] [CrossRef]
- Nielsen, R.J. An analytical framework for studying: Compliance and legitimacy in fisheries management. Mar. Policy 2003, 27, 425–432. [Google Scholar] [CrossRef]
- Hauck, M.; Kroese, M. Fisheries compliance in South Africa: A decade of challenges and reform 1994–2004. Mar Policy 2006, 30, 74–83. [Google Scholar] [CrossRef]
- Hauck, M. Rethinking small-scale fisheries compliance. Mar. Policy 2008, 32, 635–642. [Google Scholar] [CrossRef]
- Chuenpagdee, R.; Jentoft, S. Exploring challenges in small-scale fisheries governance. In Interactive Governance for Small-Scale Fisheries: Global Reflections; Jentoft, S., Chuenpagdee, R., Eds.; Springer: Berlin/Heidelberg, Germany, 2015; Volume 3, pp. 3–16. [Google Scholar]
- Hardin, G. The tragedy of the commons. Science 1968, 162, 1243–1247. [Google Scholar] [CrossRef]
- Purcell, S.W.; Pomeroy, R.S. Driving small-scale fisheries in developing countries. Front. Mar. Sci. 2015, 2, 44. [Google Scholar] [CrossRef]
- Kolding, J.; Van Zwieten, P.A.M. The Tragedy of Our Legacy: How do Global Management Discourses Affect Small Scale Fisheries in the South? Forum Dev. Stud. 2011, 38, 267–297. [Google Scholar] [CrossRef]
- Jul-Larsen, E. Analysis of effort dynamics in the Zambian inshore fisheries of Lake Kariba. In Management, Co-Management or No Management ? Major Dilemmas in Southern African Freshwater Fisheries; Jul-Larsen, E., Kolding, J., Overå, R., Nielsen, R.J., van Zwieten, P.A.A.M., Eds.; Food & Agriculture Orgnization: Rome, Italy, 2003; p. 271. [Google Scholar]
- Ogutu-Ohwayo, R.; Wandera, S.B.; Kamanyi, I.R. Fishing gear selectivity for Lates niloticus L., Oreochromis niloticus L. and Rastrineobola argentea P. in Lakes Victoria, Kyoga and Nabugabo. Conserv. Biol. 1998, 7, 33–38. [Google Scholar]
- Malasha, I. Colonial and postcolonial fisheries regulations: The cases of Zambia and Zimbabwe. In Management, Co-Management, or No Management? Major Dilemmas in Southern African Freshwater Fisheries; Fisheries Technical paper 2; Jul-Larsen, E., Kolding, J., Overå, R., Nielsen, R.J., van Zwieten, P.A.M., Eds.; Food & Agriculture Orgnization: Rome, Italy, 2003; pp. 253–266. [Google Scholar]
- Agrawal, A. Common property institutions and sustainable governance of resources. World Dev. 2001, 29, 1649–1672. [Google Scholar] [CrossRef]
- Cepić, D.; Nunan, F. Justifying non-compliance: The morality of illegalities in small scale-fisheries of Lake Victoria, East Africa. Mar. Policy 2017, 86, 104–110. [Google Scholar] [CrossRef]
- Van Hoof, L. Co-management: An alternative to enforcement? ICES J. Mar. Sci. 2010, 67, 395–401. [Google Scholar] [CrossRef]
- Nunan, F. Wealth and welfare? Can fisheries management succeed in achieving multiple objectives? A case study of Lake Victoria, East Africa. Fish Fish. 2014, 15, 134–150. [Google Scholar] [CrossRef]
- Lawrence, T.J.; Watkins, C. It takes more than a village: The challenges of co-management in Uganda’s fishery and forestry sectors. Int. J. Sustain. Dev. World Ecol. 2012, 19, 144–154. [Google Scholar] [CrossRef]
- Sjöstedt, M.; Linell, A. Cooperation and coercion: The quest for quasi-voluntary compliance in the governance of African commons. World Dev. 2021, 139, 105333. [Google Scholar] [CrossRef]
- Mafuta, C.; Levi, W.; Lake Victoria Basin Commission. Lake Victoria Basin: Atlas of our Changing Environment; GRID-Arendal: Arendal, Norway, 2017; Available online: https://policycommons.net/artifacts/2390339/lake-victoria-basin/3411606/ (accessed on 17 July 2023).
- Bagumire, A.; Muyanja, C.K.; Kiboneka, F.W. Report for The Value Chain Analysis of Nile Perch Maw Trade in East Africa. In The Responsible Fisheries Business Chains Project of Deutsche Gesellschaft für Internationale Zusammenarbeit (GIZ) under Contract, 83285575; LVFO (Lake Victoria Fisheries Organisation): Jinja, Uganda, 2018; pp. 1–52. Available online: www.foodsafetyltd.com (accessed on 6 March 2023).
- Creswell, J.W. Research Design; Qualitative, Quantitative and Mixed Methods Approaches, 3rd ed; SAGE Publications: London, UK, 2009. [Google Scholar]
- Newing, H.; Eagle, C.M.; Puri, R.K.; Watson, C.W. Conducting Research in Conservation Social Science: A Social Science Perspective, 1st ed.; Taylor & Francis Group: New York, NY, USA, 2011. [Google Scholar]
- Léopold, M.; Guillemot, N.; Rocklin, D.; Chen, C. A framework for mapping small-scale coastal fisheries using fishers’ knowledge. ICES J. Mar. Sci. 2014, 71, 1781–1792. [Google Scholar] [CrossRef]
- Samy-Kamal, M.; Teixeira, C.M. Diagnosis and Management of Small-Scale and Data-Limited Fisheries. Fishes 2023, 8, 1. [Google Scholar] [CrossRef]
- LVFO. The Standard Operating Procedures for Catch Assessment Surveys; LVFO (Lake Victoria Fisheries Organisation): Jinja, Uganda, 2021. [Google Scholar]
- LVFO. Standard Operating Procedures (SOPs) for Catch Assessment Surveys on Lake Victoria; LVFO Standard Operating Procedures: Jinja, Uganda, 2007; No. 3. [Google Scholar]
- UBOS. 2022 Uganda Statistical Abstract; UBOS (Uganda Bureau of Statistics): Kampala, Uganda, 2022; Available online: https://www.ubos.org (accessed on 21 March 2023).
- RStudio Team. RStudio: Integrated Development Environment for R. Rstudio; PBC: Boston, MA, USA, 2020; Available online: http://www.rstudio.com/ (accessed on 19 May 2021).
- Wickham, H.; Wickham, H. Data Analysis; Springer: Berlin/Heidelberg, Germany, 2016. [Google Scholar]
- Njiru, M.; Getabu, A.; Taabu, A.M.; Mlaponi, E.; Muhoozi, L.; Mkumbo, O.C. Managing Nile perch using slot size: Is it possible? Afr. J. Trop. Hydrobiol. Fish. 2010, 12, 9–14. [Google Scholar] [CrossRef]
- Mpomwenda, V.; Tomasson, T.; Pétursson, J.G.; Taabu-munyaho, A.; Nakiyende, H.; Kristófersson, D.M. Adaptation Strategies to a Changing Resource Base: Case of the Gillnet Nile Perch Fishery on Lake Victoria in Uganda. Sustainability 2022, 14, 2376. [Google Scholar] [CrossRef]
- Kayanda, R.; Taabu, A.; Tumwebaze, R.; Muhoozi, L.; Jembe, T.; Mlaponi, E.; Nzungi, P. Status of the Major Commercial Fish Stocks and Proposed Species-specific Management Plans for Lake Victoria. Afr. J. Hydrobiol. Fish. 2008, 12, 15–21. [Google Scholar] [CrossRef]
- Nyamweya, C.S.; Natugonza, V.; Kashindye, B.B.; Mangeni-Sande, R.; Kagoya, E.; Mpomwenda, V.; Mziri, V.; Elison, M.; Mlaponi, E.; Ongore, C.; et al. Response of fish stocks in Lake Victoria to enforcement of the ban on illegal fishing: Are there lessons for management? J. Great Lakes Res. 2023, 49, 531–544. [Google Scholar] [CrossRef]
- Njiru, M.; Van der Knaap, M.; Taabu-Munyaho, A.; Nyamweya, C.S.; Kayanda, R.J.; Marshall, B.E. Management of Lake Victoria fishery: Are we looking for easy solutions ? Aquat. Ecosyst. Health Manag. 2014, 17, 70–79. [Google Scholar] [CrossRef]
- UFPEA. Uganda Fish Processors and Exporters Association: E-Newsletter; UFPEA; no. August; Uganda Fish Processors and Exporters Association: Kampala, Uganda, 2019; p. 17. Available online: https://drive.google.com/file/d/1l44CVnOs03hnIF8eIeFgtv0ijjdpbuCV/view (accessed on 6 July 2023).
- Diyamett, L.D.; Mbilingi, B.; Mutambala, M. COVID-19 Pandemic in Developing Economies: Lockdown versus No Lockdown Scenarios for the Fisheries; Southern Voice: Dar es Salaam, Tanzania, 2021. [Google Scholar]
- Msuku, B.S.; Mrosso, H.D.J.; Nsinda, P.E. A critical look at the current gillnet regulations meant to protect the Nile Perch stocks in Lake Victoria. Aquat. Ecosyst. Health Manag. 2011, 14, 252–259. [Google Scholar] [CrossRef]
- Mkumbo, O.C.; Mlaponi, E. Impact of the baited hook fishery on the recovering endemic fish species in Lake Victoria. Aquat. Ecosyst. Health Manag. 2007, 10, 458–466. [Google Scholar] [CrossRef]
- Ben-Hasan, A.; de Mitcheson, Y.S.; Cisneros-Mata, M.A.; Jimenez, A.; Daliri, M.; Cisneros-Montemayor, A.M.; Nair, R.J.; Thankappan, S.A.; Walters, C.J.; Christensen, V. China’s fish maw demand and its implications for fisheries in source countries. Mar. Policy 2021, 132, 104696. [Google Scholar] [CrossRef]
- de Mitcheson, Y.S.; To, A.W.L.; Wong, N.W.; Kwan, H.Y.; Bud, W.S. Emerging from the murk: Threats, challenges and opportunities for the global swim bladder trade. Rev. Fish. Biol. Fish. 2019, 29, 809–835. [Google Scholar] [CrossRef]
- LVFO. A Report of the Lake-Wide Hydroacoustic Survey on Lake Victoria 15th September–13th October 2019; LVFO (Lake Victoria Fisheries Organisation): Jinja, Uganda, 2019. [Google Scholar]
- Natugonza, V.; Nyamweya, C.; Sturludóttir, E.; Musinguzi, L.; Ogutu-Ohwayo, R.; Bassa, S.; Mlaponi, E.; Tomasson, T.; Stefansson, G. Spatiotemporal variation in fishing patterns and fishing pressure in Lake Victoria (East Africa) in relation to balanced harvest. Fish. Res. 2022, 252, 106355. [Google Scholar] [CrossRef]
- Downing, A.S.; van Nes, E.H.; Balirwa, J.S.; Beuving, J.; Bwathondi, P.; Chapman, L.J.; Cornelissen, I.J.M.; Cowx, I.G.; Goudswaard, K.P.C.; Hecky, R.E.; et al. Coupled human and natural system dynamics as key to the sustainability of Lake Victoria’s Ecosystem services. Ecol. Soc. 2014, 19, 31–49. [Google Scholar] [CrossRef]
- Nyamweya, C.S.; Natugonza, V.; Taabu-Munyaho, A.; Aura, C.M.; Njiru, J.M.; Ongore, C.; Mangeni-Sande, R.; Kashindye, B.B.; Odoli, C.O.; Ogari, Z.; et al. A century of drastic change: Human-induced changes of Lake Victoria fisheries and ecology. Fish. Res. 2020, 230, 105564. [Google Scholar] [CrossRef]
- Aura, C.M.; Musa, S.; Yongo, E.; Okechi, J.K.; Njiru, J.M.; Ogari, Z.; Wanyama, R.; Charo-Karisa, H.; Mbugua, H.; Kidera, S.; et al. Integration of mapping and socio-economic status of cage culture: Towards balancing lake-use and culture fisheries in Lake Victoria, Kenya. Aquac. Res. 2018, 49, 532–545. [Google Scholar] [CrossRef]
Disclaimer/Publisher’s Note: The statements, opinions and data contained in all publications are solely those of the individual author(s) and contributor(s) and not of MDPI and/or the editor(s). MDPI and/or the editor(s) disclaim responsibility for any injury to people or property resulting from any ideas, methods, instructions or products referred to in the content. |
© 2023 by the authors. Licensee MDPI, Basel, Switzerland. This article is an open access article distributed under the terms and conditions of the Creative Commons Attribution (CC BY) license (https://creativecommons.org/licenses/by/4.0/).



