Abstract
As a new, safe, and efficient method, Atmospheric-Pressure Room-Temperature Plasma (ARTP) mutagenesis has been widely applied in the field of microbial breeding and industrial applications, but it is rarely used in fish. In this study, ARTP mutagenesis technology was applied for the first time to a common carp strain, Songpu mirror carp (Cyprinus carpio L.), to increase genetic variation in this species. The appropriate experimental conditions were determined to include a radio frequency output power of 160 W and the processing of fertilized eggs for 360 s. The ARTP treatment group had a lower survival rate than the control group. The CV of morphological characters in the ARTP treatment group was significantly higher than that in the control group, and the CV of body weight was the highest (p < 0.05). In addition, the deformity rate in the ARTP treatment group was significantly higher than in the control group (p < 0.05). Individuals with high weight and no deformities were screened within the selection pressure of 1:15 of ARTP treatment group and fed in the same pool with the control group of the same age. The measurement of serum indices showed that, in the ARTP treatment group, TP, ALP, ALB, T-CHO, LDL levels were significantly higher than those in the control group (p < 0.05). Furthermore, the relative expressions of SOD, growth-related genes GH, IGF-I, protein synthesis-related genes TOR and 4EBP1 were significantly higher in the ARTP treatment group than in the control group (p < 0.05). In summary, Songpu mirror carp subjected to ARTP treatment showed a higher growth potential and antioxidant capacity.
Key Contribution:
This research optimized the mutagenesis conditions of ARTP mutation breeding in fertilized Songpu mirror carp eggs for the first time.
1. Introduction
The purpose of selective breeding in aquaculture fish is to produce varieties with excellent economic traits, such as rapid growth, disease resistance and high meat quality. Improving the genetic variability of breeding materials is important in fish breeding, which is the main purpose of the application of mutagenesis technology. Mutations are the basis of genetic variation, and naturally occurring mutations play an important role in evolution. At present, due to the low incidence of natural mutations, artificial mutagenesis is commonly performed, for example, by applying physical radiation or chemical mutagens. Chemical mutagens mainly cause DNA alkylation damage or form base adducts [1,2]. ENU is a widely used chemical mutagen in fish that mainly induces single-base substitution [3,4]. ENU induces a relatively high mutation frequency. In addition, physical radiation, such as γ rays, X-rays, UV rays or particle radiation, can cause the replacement, reorganization and recombination of biomolecules or atoms. These mutagenesis methods can accelerate mutations in fish at the genome level and generate genetic diversity to improve targeted traits through targeted screening, but these mutagenesis methods are characterized by safety risks, and limited controllability of mutagenesis efficiency. ARTP mutagenesis technology is another safe and efficient mutagenesis method that can be applied after ion beam implantation and APDBD mutagenesis technology [5,6,7,8,9]. Compared with the application of UV and chemical mutagens, ARTP can cause more DNA damage, resulting in a higher mutation rate. ARTP irradiation is a fast and effective method for generating a library of mutants with sufficient diversity to improve the phenotype of microorganisms [8,10]. Radio-frequency atmospheric pressure glow discharge is utilized by ARTP to drive plasma working gas through the discharge region between two electrodes under the induction of the externally applied radio-frequency electric field, resulting in the formation of a room temperature plasma jet downstream of the plasma torch nozzle exit [8,10,11]. The main component of ARTP is the high density of active chemical species that penetrate cell walls and membranes, thereby damaging DNA molecules, causing mutations [6,7,12]. The ARTP biological mutation breeding systems instrument does not require a vacuum system and is low cost, presents uniform discharge, is stable and controllable, shows a high degree of safety, has been gradually applied in scientific research and industrial fields, and has achieved good results [13,14]. In addition, the plasma generation conditions are mild (atmospheric-pressure, room-temperature range), and are characterized by a high level of a large number of active particles, a broad mutation spectrum, and a high mutation rate [7,8]. The conditions for regarding ARTP working gas source type, flow rate, discharge power, processing time and other conditions can be controlled. By changing the operating conditions of the instrument, combined with the screening pressure and the application of high-throughput screening technology, the resulting mutation strength and mutation library can be greatly improved. ARTP is expected to become a new method for the efficient inducing of mutation for selective breeding. To date, ARTP has been successfully used in the breeding of more than 100 microorganisms [15], including species of both fungi [16] and bacteria [17]. In addition, it has been reported that the ARTP mutagenesis technique has been successfully applied in Japanese flounder (Paralichthys olivaceus) and blunt snout bream (Megalobrama amblycephala), in which the ARTP treatment time for fertilized eggs or sperm was optimized, and ARTP mutagenesis methods were established [10,18]. There are few reports of the application of ARTP in fish mutation breeding, and further research is needed.
Common carp (Cyprinus carpio) is the fourth most important freshwater fish in the world, with global aquaculture production reaching more than 4.23 million tons in 2020, accounting for nearly 8.6% of the world’s total freshwater aquaculture production [19]. Songpu mirror carp has been bred on a large scale in most areas of China due to its high survival rate and strong resistance to diseases and cold temperature [20]. Therefore, Songpu mirror carp is the main species of freshwater fish employed for selective breeding research. The use of selective breeding methods to improve the economic traits of Songpu mirror carp is of great importance. Currently, mutagenesis breeding achieves a high mutation rate, and mutagenesis can be combined with other breeding methods, such as hybridization, selection and gynogenesis; thus, this approach may have significant practical value. In this study, ARTP technology was used for the first time in Songpu mirror carp to establish the optimal ARTP mutagenesis parameters for fertilized eggs and to evaluate the mutagenic effects.
2. Materials and Methods
2.1. Animal Experiment and Sample Collection
The Songpu mirror carp used in the study were similar in weight (3 ± 0.1 kg) and came from the Kuandian Fisheries Experiment Station of Heilongjiang River Fisheries Research Institute, Chinese Academy of Fishery Sciences. Mature female and male Songpu mirror carp were artificially induced, and eggs and sperm were manually collected from the mature female (n = 5) and male carp (n = 5) by gently pressing the abdomen, and then stored in a 4 °C refrigerator before use.
2.2. Mutation by ARTP Treatment
The sperm were added to the eggs and mixed in 21 °C water to obtain fertilized eggs. The fertilized eggs were distributed onto a filter screen to ensure that they did not overlap with each other, and an ARTP mutation instrument (ARTP-A, TMAXTREE Biotechnology Co., Ltd., Luoyang, China) was used for processing. Approximately 3000 eggs at the metaphase of first mitosis were placed into multiple glass petri dishes containing 1 mL of water. The glass petri dishes were then exposed to plasma for ARTP mutation system parameter selection, including input power, helium gas flow, treatment distance, and treatment time. A hatching rate of approximately 50% (the highest mutagenesis rate) was selected for ARTP in Songpu mirror carp [10], in which the input powers were divided into 0 w, 120 w, 160 w, 200 w, helium gas flow rate of 15 L/min treatment distance of 2 mm, and treatment time of 0 s, 120 s, 240 s or 360 s, respectively. Finally, the fertilized eggs subjected to ARTP treatment were transferred to a 21 °C water bath until fertilization.
2.3. Fertilization Rate and Hatchability Rate
The fertilization rates and hatchability rates for the ARTP treatment and the control groups were calculated [21]. The egg/sperm ratio was 1:2 × 107 (egg/spermatozoa). Here, the fertilization rate refers to the ratio of the number of fertilized embryos to the total number of embryos. The hatching rate indicates the ratio of the number of surviving embryos to the number of fertilized embryos. The calculation of the fertilization rate was generally carried out after 8 h of egg incubation, whereas the hatchability rate was evaluated shortly after the fry emerged [22]. At least three replicates per experimental group were used.
2.4. Morphological Characteristics of Individuals Subjected to ARTP Treatment
The fertilized eggs for the ARTP treatment and control groups were cultured in the same environment. After 5-month culture, morphological traits, such as the weight (W), standard length (SL), body height (H), body width (BW) and head length (HL) were measured. The types and numbers of deformities were calculated. Individuals with high W and no deformities were screened with a selection pressure of 1:15 and electronically marked. After 14 months, morphological traits, such as the W, SL, H, BW and HL were measured.
2.5. Sample Collection and Indicator Determination
Three fish were randomly selected for tail sample collection in the ARTP treatment and the control groups at the 14th month, and Anle fish (MS-222, 100 mg/L, Beijing Green Hengxing Biological Technology Co., Beijing, China) was used to anaesthetize the experimental fish. Blood was collected from the tail vein and stored in a premade heparin anticoagulant tube at 4 °C for 1–2 h, followed by centrifugation (Multifuge X1R, Thermo Fisher Scientific, Waltham, MA, USA) at 1342 g for 10 min. The upper serum was drawn off, dispensed into centrifuge tubes and placed at −20 °C for use in the determination of serum biochemical indicators. The liver, intestine, and dorsal muscles (at the same position) were collected from the fish, mixed with samples, and placed in a −80 °C freezer for the determination of corresponding indicators. The evaluated serum biochemical indicators were determined by the immunoturbidimetry method, including TP, ALB, ALT, AST, ALP, T-CHO, TG, HDL, LDL, UA and TBA, and all indicators were measured using a biochemical analyzer (BS350E, Mindary, Shenzhen, China).
2.6. RNA Extraction and RTq–PCR
RNA extraction was performed on the tissues (liver, intestine, and dorsal muscles) collected from all experimental fish. According to the manufacturer’s instructions, total RNA was extracted from common carp tissues using the RNeasy Mini Kit (Qiagen, Hilden, Germany). According to the instructions, each cDNA was synthesized from 1 µg of total RNA using the PrimeScript™ RT reagent Kit with gDNA Eraser (TaKaRa, Beijing, China). Specific primers were obtained using Primer Premier 5.0. RTq–PCR was– performed according to the instructions of TB Green™ Premix Ex Taq™ II (TaKaRa, Beijing, China) using an ABI7500 system (Life Technologies, Carlsbad, CA, USA). Real-time PCR amplification was performed using a total volume of 20 μL that contained 10 μL of 2× TB Green™ Premix Ex Taq™ II, 0.8 μL of forward primer, 0.8 μL reverse primer, 0.4 μL ROX Reference Dye, 2 μL of template cDNA, and 6 μL sterilized water. The reaction conditions were as follows: pre-denaturation, 95 °C, 30 s; PCR reaction, 95 °C for 5 s, according to the annealing temperature of different specific primer reactions for 30 s; number of cycles, 40 times. The final step was a temperature of 95 °C, 15 s, then 60 °C, 60 s, then 95 °C, 15 s, and held at 4 °C. Primer specificity was confirmed via dissociation curve analysis. β-actin was used as an internal reference gene. Double-distilled water was included in place of the template as the negative control. The relative gene expression levels of GH, IGF-I, S6K, TOR, 4EBP1, SOD, and CAT genes were determined using the 2(−ΔΔCt) method [23]. The primers used in this study are shown in Table 1.
Table 1.
Primers used in this experiment.
2.7. Data and Statistical Analysis
The CV of different morphological characteristics and the GRw, AGRw and IGRw of each stage of W in each stage were calculated according to the following formulas:
where SD is the standard deviation, and the mean is the average value of a morphological trait. Wx + 1 and Wx are the Ws at time tx + 1 and tx, respectively.
CV(%) = SD/mean × 100;
GW(g/g) = (Wx + 1 − Wx)/Wx;
AGRw(g/d) = (Wx + 1 − Wx)/(tx + 1 − tx);
IGRw (%/d) = (lnWx + 1 − lnWx)×100/(tx + 1 − tx).
Four morphological parameters were compared, including W/SL, H/SL, BW/SL and HL/SL. In this study, the significance of the differences in all data analyses were evaluated by using the Bonferroni t test in SAS 9.1 (SAS Institute Inc, Cary, NC, USA). The data are shown as the mean ± SD of at least three replications. All of the data were checked for normal distribution by one-sample Kolmogorov–Smirnov test and homogeneity of variances by Levene’s test. All the experiments were performed at least three times.
3. Results
3.1. Determination of the Experimental Conditions of ARTP Treatment of Fertilized Eggs
To determine a suitable ARTP treatment time and input power, the fertilization rates and hatchability rates of Songpu mirror carp were calculated under different input power levels and correspondingly different treatment time periods. Compared with the control group (0 w), the fertilization rates gradually decreased with increasing input power and treatment time periods (Figure 1a). In the treatment groups, the fertilization rates were highest (84.8 ± 2.5%) when the treatment time was 120 s and the input power was 120 W and lowest (50.7 ± 2.9%) under a treatment time of 360 s and an input power of 200 W. There was a significant difference between the fertilization rates of the treatment and the control groups (p < 0.05), except when the treatment time was 120 s with an input power of 120 w. In addition, the fry survival rates gradually decreased with increasing input power and treatment time, similar to the trend for fertilization rates (Figure 1b). In the treatment groups, when the input power was 120 W and the treatment time was 120 s, the hatchability rate was highest (72.8 ± 3.1%) while, when the input power was 200 W and the treatment time was 360 s, the hatchability rate was lowest (26.8 ± 5.0%). The survival rates of fry in the treatment group were significantly different from those in the control group except when the input power was 120 w and the treatment time was 120 s (p < 0.05). To ensure a high possibility of mutation, but also certain fertilization rates and hatchability rates, a final input power of 160 W and a treatment time of 360 s were selected for Songpu mirror carp mutagenesis. Types of abnormal larvae that hatched from ARTP-treated eggs were mainly divided into short tail trunk and large cardio-coelom, tail folding and shortened trunk, in Songpu mirror carp.
Figure 1.
Hatching rates and fry survival rates for Songpu mirror carp under different conditions. (a) Survival rates of fertilized Songpu mirror carp eggs under different treatment times and output power levels. (b) Hatchability rates of fertilized Songpu mirror carp eggs under different treatment times and output powers. The treatment time was 0 s and the output power was 0 W in the control group, and the other groups constituted the ARTP treatment group. Lowercase letters in the column chart indicate significant differences determined by using the Bonferroni t test in SAS 9.1 (p < 0.05).
3.2. Morphological Characteristics of Songpu Mirror Carp
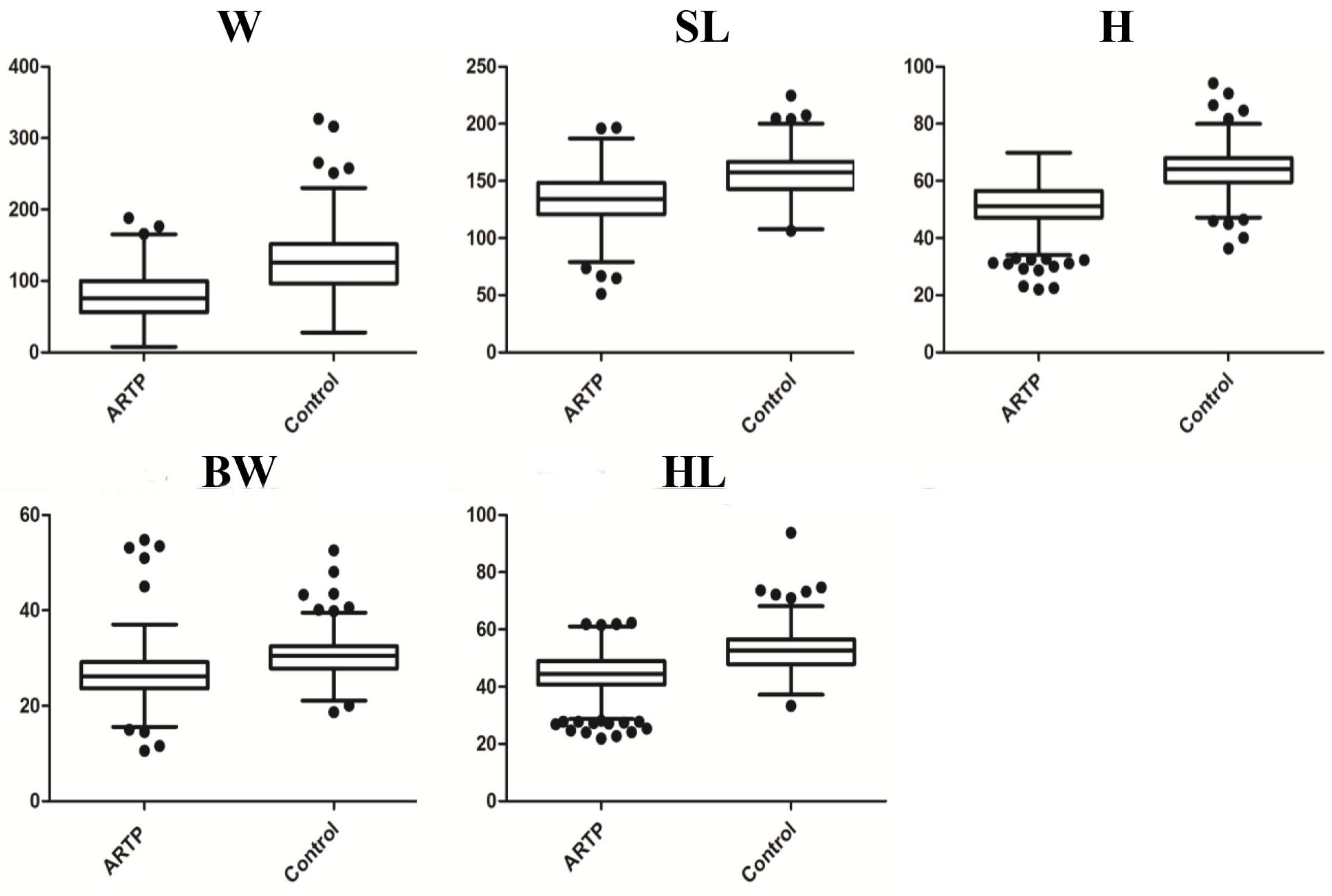
Fertilized Songpu mirror carp eggs were mutagenized with an input power of 160 w and an ARTP treatment time of 360 s. After 5 months of culture, the W, SL, H, BW and HL of Songpu mirror carp in the ARTP treatment and the control groups were measured. There were significant differences in each trait between the ARTP treatment groups and the control groups (p < 0.05) (Table 2) (Figure 2). The results also showed that the CV of each trait was higher in the control group at 5 months after fertilization. In addition, the difference values in the SLs and BWs of the ARTP treatment groups were greater than those of the control group. The deformity rate of the ARTP treatment group was calculated as 19.2%, mainly representing deformities of the mouth (10.4%), lake of operculum (4.6%) and fin (0.9%) skull (0.5%), and back height (2.8%) in Songpu mirror carp. The deformity rate of the control group was 1.1%, mainly corresponding to the appearance of the operculum (Supplementary Table S1) (Figure 3). The above results showed that the ARTP treatment group had more morphological differences between individuals than the control group at 5 months after fertilization.
Table 2.
Morphological traits of Songpu mirror carp ARTP treatment group and control group.
Figure 2.
Box plots of W and phenotypic traits in Songpu mirror carp. Box plots of the W, SL, H, BW and HL of Sonpu mirror carp in three periods in the ARTP treatment and control groups initiated at 5 months after fertilization. The black dots in the figure indicate values greater than 1.5 times the interquartile range.
Figure 3.
Malformation types in Songpu mirror carp, arranged from large to small according to total length. Types of deformities include lack of fin (A,B,E–G), deformity of mouth and skull (C), lack of operculum (D,H,I), scales on the back (C,J), and high back (F,I–K). Bar indicates 50 mm.
3.3. Comparative Analysis of Morphological Parameters
In order to screen out the common carp line with high body mass and fast growth rate, only W was used as the screening basis, and the selection pressure ratio was 1:15 when selecting larger individuals at the 5th month after fertilization. The ratios of several morphological parameters of Songpu mirror carp included the W/SL, H/SL, BW/SL and HL/SL ratios. The W/SL and H/SL of the ARTP treatment group were significantly lower than those of the control group at 5 months after fertilization (p < 0.01) (Figure 4). At 14 months after fertilization, the W/SL, H/SL and BW/SL of the ARTP treatment group were significantly lower than those of the control group (p < 0.01). There were no significant differences in HL/SL between the ARTP treatment and the control groups. In addition, the results showed that the W/BL, H/BL, and HL/BL of the ARTP treatment group were significantly lower than those of the control group (p < 0.01), while the coefficient of variation was higher than that in the control group (Table 3). The results showed that there were certain morphological differences between the Songpu mirror carp in the ARTP treatment group and the control group.
Figure 4.
Morphological parameter ratios of different stages in Songpu mirror carp. The ratios of morphological parameters of Songpu mirror carp at 5 months and 14 months after fertilization, including W/SL, BH/SL, BW/SL and HL/SL Statistically significant differences were defined at p < 0.05 (** p < 0.01).
Table 3.
The morphological parameter ratios of Songpu mirror carp ARTP treatment group and control group.
3.4. Rate of W Gain in Songpu Mirror Carp
To better compare the difference in Songpu mirror carp W between the ARTP treatment and control groups, the GRw, AGRw and IGRw of W were calculated in different periods. The W of the fish in the ARTP treatment group in the three periods was significantly lower than that in the control group (p < 0.05) (Table 4). At 5 months–14 months after fertilization, the GRw, the AGRw and the IGRw of the ARTP treatment group were higher than those of the control group. The results showed that the growth rate of Songpu mirror carp in the ARTP treatment group was faster than that in the control group.
Table 4.
Comparison of growth for three time periods (Means + SD).
3.5. Serum Biochemical Parameters of Songpu Mirror Carp
Eleven serum indicators were measured in the ARTP treatment and control groups (Table 5). The contents of TP, ALP, ALB, T-CHO and LDL were significantly higher in the ARTP treatment group than in the control groups (p < 0.05). In the control group, AST/ALT and AST contents were significantly higher than those in the ARTP treatment group (p < 0.05). The above results showed that there were differences in serum physiological and biochemical indicators between the ARTP treatment group and the control group.
Table 5.
Serum biochemical parameters in ARTP treatment group and control group.
3.6. Expression of Genes Related to Protein Synthesis in Songpu Mirror Carp
The relative expression levels of S6K, TOR and 4EBP1 in the dorsal muscles and intestinal tissues were determined in the ARTP treatment and control groups (Figure 5). In the dorsal muscles, the relative expression levels of TOR and 4EBP1 in the ARTP treatment group were significantly higher than those in the control group (p < 0.01). In intestinal tissue, the relative expression levels of S6K, TOR and 4EBP1 were significantly higher in the ARTP treatment group than in the control group (p < 0.05). There were significant differences in the relative expression of genes related to protein synthesis in the dorsal muscles and intestinal tissue between the ARTP treatment and control groups.
Figure 5.
Relative expression levels of protein synthesis-related genes in the dorsal muscles (a) and intestine (b) in the ARTP treatment and control groups. Relative mRNA expression of S6K compared to that in the ARTP treatment group. Statistically significant differences were defined at p < 0.05 (* p < 0.05; ** p < 0.01; *** p < 0.001).
3.7. Expression of Antioxidant-Related and GH/IGF-1 Axis Genes in Songpu Mirror Carp
The relative expression levels of SOD, CAT, GH and IGF-I were determined in the ARTP treatment and control groups (Figure 6). The relative expression of SOD in the liver was significantly higher in the ARTP treatment group than in the control group (p < 0.01). In the dorsal muscles, the relative expression levels of GH and IGF-I in the ARTP treatment group were significantly higher than those in the control group (p < 0.05). There were significant differences in the relative expression of growth-related genes and antioxidant-related genes in the liver and dorsal muscles between the ARTP treatment and control groups.
Figure 6.
Relative expression levels of antioxidant-related genes in the liver (a) and growth-related genes in dorsal muscles (b) in the ARTP treatment and control groups, respectively. Relative mRNA expression levels of SOD compared to those in the ARTP treatment group and GH compared to those in the control group. Statistically significant differences were defined at p < 0.05 (* p < 0.05; ** p < 0.01).
4. Discussion
ARTP mutagenesis represents a new stable, efficient, safe and reliable technology with the advantages of a high mutation rate and a large mutation pool [8]. At present, ARTP mutagenesis technology has been widely used in microbial breeding, but it is less commonly used in fish mutation breeding. In this study, ARTP technology was used for the first time in the mutagenesis breeding of fertilized carp eggs, and the mutation conditions were optimized. When ARTP mutagenesis is applied in microorganism breeding, lethality and a positive mutation rate are considered as appropriate mutation conditions [24]. However, this study used fertilized eggs of Songpu mirror carp as the experimental objects and the survival rate of breeding and emergence as the basis for screening ARTP mutation conditions. The fertilized eggs of Songpu mirror carp are semitransparent and spherical, with a size of 1.75–1.89 mm (average 1.82 ± 0.06 mm). The egg diameter of Japanese flounder eggs is approximately 1 mm [18]; however, the fertilized eggs of Songpu mirror carp had higher radio frequency output power and helium flow rate than those of Japanese flounder, but shorter processing time in this study. In mutation breeding, the CV represents the degree of morphological differences between individuals [25]. Previous research has shown that, in ARTP mutant–Japanese flounder, mutant genes are related to growth and immune pathways [18]. In this study, it was found that the CV of morphological characteristics of the ARTP group was higher than that of the control group, indicating that many morphological differences between individuals appeared under ARTP treatment and might indicate the presence of mutations in relevant genes in Songpu mirror carp. In addition, this study found that the CV in W was highest in the ARTP treatment group, reaching 43%. We suggest that the potential for W selection increased in Songpu mirror carp after ARTP treatment. In this study the W of the fish in the mutagenized groups was significantly lower than that in the control group, and the ratios of W, H, and BW to SL were also significantly lower than those in the control group (p < 0.05), while the HL did not change significantly, indicating that the mutagenized group showed the morphological character of a larger head. In addition, previous studies have shown embryo deformity rates of 16.1%9–1.3% in grass carp after the sperm were mutagenized with different ENU densities [26]. After fertilized redtail notho (Nothobranchius guentheri) eggs were mutagenized by exposure to fast neutrons and X-rays, the malformation rate of the resulting larvae was 16.8% [27]. In this study, the malformation rate of Songpu mirror carp in the ARTP treatment group was 19.2% at 5 months after fertilization. The results showed that the ARTP mutagenesis technique could improve the deformity rate in the mutagenesis groups compared to other mutagenesis methods, which might allow an increased gene mutation rate to be obtained in Songpu mirror carp.
The purpose of applying mutation breeding in fish is to obtain excellent traits and more genetic diversity. Although the W of the fish in the ARTP treatment group was lower than that in the control group, it was found that the GRw, AGRw and IGRw of W in the ARTP treatment group were greater than those in the control group. We suggest that the growth rate of Songpu mirror carp was in the later stage was accelerated by ARTP treatment, and these fish could be used as later-breeding parents. Based on the differences in morphological characteristics between the ARTP treatment and control groups, ARTP mutagenesis technology can be applied as a useful method in Songpu mirror carp breeding to speed up the selection of important economic traits.
Biochemical indicators in fish serum reflect fish growth health [28]. The results of this study showed that the ALP, ALB and T-CHO levels in the ARTP treatment group were significantly higher than those in the control group (p < 0.05), and the AST/ALT ratio and AST levels were significantly lower than those in the control group (p < 0.05). Elevated levels of ALP indicate a state of stress that may lead to tissue damage in fish, especially in the liver [29]. Similarly, an increase in ALP levels was previously found in common carp after xenobiotic exposure [30]. ALB TP and T-CHO in serum can be used as indicators of fish health related to conditions such as liver disease and immune dysfunction [31,32]. AST and ALT are considered biomarkers for assessing liver function and cell membrane permeability, and elevated levels of these markers can lead to liver dysfunction. ARTP treatment might have beneficial effects on the liver function of Songpu mirror carp. In addition, LDL is known to be associated with atherosclerosis and other vascular diseases, such as thrombosis [33]. In this study, it was found that the LDL level in the serum of fish in the ARTP treatment group was significantly higher than that in the control group (p < 0.05), indicating that ARTP treatment might have harmful effects on the formation, transport and metabolism of cholesterol in Songpu mirror carp. The liver is the main organ reflecting stress responses, such as antioxidant capacity, and can secrete SOD and CAT to alleviate the effects of lipid peroxidation and cell dysfunction on cell function [34,35]. The relative expression of SOD in the liver of the fish in the ARTP treatment group was significantly higher than that in the control group (p < 0.05), indicating that the ARTP treatment group fish showed a higher antioxidant capacity. These results were similar to the serum indicator results obtained in this study.
The growth of fish is regulated by multiple factors, among which protein deposition and the expression of GH and IGF-I in muscle are important influencing factors, and protein deposition is the result of the balance between protein synthesis and degradation [36,37]. The muscle growth process is linked to protein deposition [38,39], and protein deposition appears to be a major determinant of fish weight gain [40,41]. In fish, GH induces muscle growth by regulating the expression of genes encoding products such as myostatin and myogenic regulatory factor, while IGF-I can stimulate the proliferation and differentiation of myoblasts to promote muscle growth [42,43,44,45]. In addition, studies have shown that ARTP mutagenized mutants under systematic genome analysis have more mutation sites in genes related to protein synthesis and metabolism [18,46,47]. S6K, TOR and 4EBP1 have long been employed as markers of protein deposition and protein synthesis in tissues [48,49]. The results of this study showed that the relative expression levels of TOR and 4EBP1 in dorsal muscles and intestinal tissue and GH and IGF-I in dorsal muscles were significantly higher in the ARTP treatment groups than those in the control group, indicating that the muscle growth rate in the ARTP treatment group was faster than that in untreated Songpu mirror carp. Possible reasons for the greater GRw, AGRw and IGRw in the ARTP treatment group than in the control group were further verified based on tissue gene expression levels.
5. Conclusions
This study optimized the mutagenesis conditions of ARTP mutation breeding in fertilized Songpu mirror carp eggs for the first time and provided meaningful theoretical guidance for subsequent research on fertilized Songpu mirror carp eggs.
Supplementary Materials
The following supporting information can be downloaded at: https://www.mdpi.com/article/10.3390/fishes9110448/s1, Table S1: The deformity rate of Songpu mirror carp at 5 months after hatching in the ARTP treatment and control groups, respectively.
Author Contributions
Z.J. and X.J. conceived the project and designed the experiments. X.J. wrote the manuscript. C.L. and M.S. performed the experiments. Y.G. and X.H. analyzed the data. The manuscript was revised and approved by Z.J. All authors have read and agreed to the published version of the manuscript.
Funding
This work was supported by the National Key R&D Program of China (2022YFD2400102), China Agriculture Research System (grant number CARS-45-07), the Central Public-interest Scientific Institution Basal Research Fund, the Chinese Academy of Fishery Sciences (CAFS) (NO. 2023TD35) and the National Key Research and Development Plan (2023YFD2400204-4).
Institutional Review Board Statement
All animal procedures in this study were conducted according to the guidelines for the care and use of laboratory animals of the Heilongjiang River Fisheries Research Institute, Chinese Academy of Fishery Sciences (CAFS). The studies involving animals were reviewed and approved by the Committee for the Welfare and Ethics of Laboratory Animals of the Heilongjiang River Fisheries Research Institute, CAFS (approval number: 20210910-001 (approved on 5 September 2021)).
Data Availability Statement
The datasets used and/or analyzed during the current study are available from the corresponding author on reasonable request.
Conflicts of Interest
None of the authors have conflicts of interest that may influence the content of this manuscript.
Abbreviations
Absolute growth rate, AGRw; Albumin, ALB; Alanine aminotransferase, ALT; Alkaline phosphatase, ALP; Atmospheric pressure dielectric barrier discharge plasm, APDBD; Atmospheric-pressure room-temperature plasma, ARTP; Aspartate aminotransferase, AST; Beta-actin, β-actin; Catalase, CAT; Coefficients of variation, CV; Factor 4E binding protein 1, 4EBP1; Growth hormone, GH; High-density lipoprotein, HDL; Insulin-like growth factor 1, IGF-I; Instantaneous growth gain, IGRw. Low-density lipoprotein, LDL; N–N-ethyl-N-nitrosourea, ENU; Relative growth rate, GRw; S6 kinase, S6K; Superoxide dismutase, SOD; Target of rapamycin, TOR; Total bile acid, TBA; Total cholesterol, T-CHO; Triglyceride, TG; Total protein, TP; Uric acid, UA; Ultraviolet, UV.
References
- Miao, Z.H.; Rao, V.A.; Agama, K.; Antony, S.; Kohn, K.W.; Pommier, Y. 4-nitroquinoline-1-oxide induces the formation of cellular topoisomerase I-DNA cleavage complexes. Cancer Res. 2006, 66, 6540–6545. [Google Scholar] [CrossRef] [PubMed]
- Slamenová, D.; Gábelová, A.; Ruzeková, L.; Chalupa, I.; Horváthová, E.; Farkasová, T.; Bozsakyová, E.; Stĕtina, R. Detection of MNNG-induced DNA lesions in mammalian cells; validation of comet assay against DNA unwinding technique, alkaline elution of DNA and chromosomal aberrations. Mutat. Res. 1997, 383, 243–252. [Google Scholar] [CrossRef] [PubMed]
- Knapik, E.W. ENU mutagenesis in zebrafish—From genes to complex diseases. Mamm. Genome 2000, 11, 511–519. [Google Scholar] [CrossRef]
- Mullins, M.C.; Hammerschmidt, M.; Haffter, P.; Nüsslein-Volhard, C. Large-scale mutagenesis in the zebrafish: In search of genes controlling development in a vertebrate. Curr. Biol. 1994, 4, 189–202. [Google Scholar] [CrossRef]
- Fang, M.; Jin, L.; Zhang, C.; Tan, Y.; Jiang, P.; Ge, N.; Li, H.; Xing, X. Rapid mutation of Spirulina platensis by a new mutagenesis system of atmospheric and room temperature plasmas (ARTP) and generation of a mutant library with diverse phenotypes. PLoS ONE 2013, 8, e77046. [Google Scholar] [CrossRef]
- Guo, L.; Li, H.; Wang, L.; Wang, S.; Zhao, H.; Sun, W.; Xing, X.; Bao, C. Genetic effects of radio-frequency, atmospheric-pressure glow discharges with helium. Appl. Phys. Lett. 2008, 92, 221504. [Google Scholar] [CrossRef]
- Wang, L.; Huang, Z.; Li, G.; Zhao, H.; Xing, X.; Sun, W.; Li, H.; Gou, Z.; Bao, C. Novel mutation breeding method for Streptomyces avermitilis using an atmospheric pressure glow discharge plasma. J. Appl. Microbiol. 2010, 108, 851–858. [Google Scholar] [CrossRef]
- Zhang, X.; Zhang, X.; Li, H.; Wang, L.; Zhang, C.; Xing, X.; Bao, C. Atmospheric and room temperature plasma (ARTP) as a new powerful mutagenesis tool. Appl. Microbiol. Biotechnol. 2014, 98, 5387–5396. [Google Scholar] [CrossRef] [PubMed]
- Zhang, X.; Zhang, C.; Zhou, Q.; Zhang, X.; Wang, L.; Chang, H.; Li, H.; Oda, Y.; Xing, X. Quantitative evaluation of DNA damage and mutation rate by atmospheric and room-temperature plasma (ARTP) and conventional mutagenesis. Appl. Microbiol. Biotechnol. 2015, 99, 5639–5646. [Google Scholar] [CrossRef]
- Su, X.; Zhao, S.; Xu, W.; Shuang, L.; Zheng, G.; Zou, S. Efficiently whole-genomic mutagenesis approach by ARTP in blunt snout bream (Megalobrama amblycephala). Aquaculture 2022, 555, 738241. [Google Scholar] [CrossRef]
- Zhang, X.; Wu, Y.; Ma, F.; Wang, L.; Zhang, C.; Li, H.; Xing, X. Application of ARTP mutagenesis in breeding of microbial biocatalysts for food and feed processing industry. Biotechnol Bus. 2019, 3, 13–24. (In Chinese) [Google Scholar] [CrossRef]
- Li, H.; Wang, Z.; Ge, N.; Le, P.; Wu, H.; Lu, Y.; Wang, L.; Chong, Z.; Bao, C.; Xing, X. Studies on the Physical Characteristics of the Radio-Frequency Atmospheric-Pressure Glow Discharge Plasmas for the Genome Mutation of Methylosinus trichosporium. Plasmas IEEE Trans. Plasma Sci. 2012, 40, 2853–2860. [Google Scholar] [CrossRef]
- Li, J.; Guo, S.; Hua, Q.; Hu, F. Improved AP-3 production through combined ARTP mutagenesis, fermentation optimization, and subsequent genome shuffling. Biotechnol. Lett. 2021, 43, 1143–1154. [Google Scholar] [CrossRef]
- Ye, L.; Ye, R.; Hu, F.; Wang, G. Combination of atmospheric and room temperature plasma (ARTP) mutagenesis, genome shuffling and dimethyl sulfoxide (DMSO) feeding to improve FK506 production in Streptomyces tsukubaensis. Biotechnol. Lett. 2021, 43, 1809–1820. [Google Scholar] [CrossRef] [PubMed]
- Ottenheim, C.; Nawrath, M.; Wu, J. Microbial mutagenesis by atmospheric and room-temperature plasma (ARTP): The latest development. Bioresour. Bioprocess. 2018, 5, 12. [Google Scholar] [CrossRef]
- Shi, F.; Tan, J.; Chu, J.; Wang, Y.; Zhuang, Y.; Zhang, S. A qualitative and quantitative high-throughput assay for screening of gluconate high-yield strains by Aspergillus niger. J. Microbiol. Methods 2015, 109, 134–139. [Google Scholar] [CrossRef]
- Yuan, L.; Wang, L.; Ma, K.; Guo, L.; Xing, X. Characteristics of Hydrogen Production of an Enterobacter aerogenes Mutant Generated by a New Atmospheric and Room Temperature Plasma (ARTP). Biochem. Eng. J. 2011, 55, 17–22. [Google Scholar]
- Hou, J.; Zhang, X.; Wang, G.; Sun, Z. Novel breeding approach for Japanese flounder using atmosphere and room temperature plasma mutagenesis tool. BMC Genom. 2019, 20, 323. [Google Scholar] [CrossRef]
- FAO. The State of World Fisheries and Aquaculture 2022: Towards Blue Transformation; FAO: Rome, Italy, 2022. [Google Scholar] [CrossRef]
- Hu, X.; Li, C.; Shang, M.; Ge, Y.; Jia, Z.; Wang, S.; Shi, L. Inheritance of growth traits in Songpu mirror carp (Cyprinus carpio L.) cultured in Northeast China. Aquaculture 2017, 477, 1–5. [Google Scholar] [CrossRef]
- Hou, J.; Wang, G.; Zhang, X.; Sun, Z.; Liu, H. Cold-shock induced androgenesis without egg irradiation and subsequent production of doubled haploids and a clonal line in Japanese flounder, Paralichthys olivaceus. Aquaculture 2016, 464, 642–646. [Google Scholar] [CrossRef]
- Galo, J.M.; Ribeiro, R.P.; Streit-Junior, D.P.; Albuquerque, D.M.; Fornari, D.C.; Roma, C.F.; Guerreiro, L.R. Oocyte quality of tambaqui (Colossoma macropomum) during the reproductive season. Braz. J. Biol. 2015, 75, 279–284. [Google Scholar] [CrossRef] [PubMed]
- Livak, K.J.; Schmittgen, T.D. Analysis of relative gene expression data using real-time quantitative PCR and the 2(-Delta Delta C(T)) Method. Methods 2001, 25, 402–408. [Google Scholar] [CrossRef] [PubMed]
- Li, H.; Luo, W.; Wang, Q.; Yu, X. Direct fermentation of gelatinized cassava starch to acetone, butanol, and ethanol using Clostridium acetobutylicum mutant obtained by atmospheric and room temperature plasma. Appl. Biochem. Biotechnol. 2014, 172, 3330–3341. [Google Scholar] [CrossRef]
- Bu, H.Y.; Ou, X.M.; Ma, J.K. Determination of Chlorantraniliprole Residue in Environmental Aquatic Samples by High Performance Liquid Chromatography. Chin. J. Spectrosc. Lab. 2008, 25, 1230–1234. [Google Scholar]
- Jiang, X.; Sun, C.; Zhang, Q.; Zou, S. ENU-induced mutagenesis in grass carp (Ctenopharyngodon idellus) by treating mature sperm. PLoS ONE 2011, 6, e26475. [Google Scholar] [CrossRef]
- Zhang, Y.; Li, X.; Yuan, R. Effect of Promoting Growth of Fry and Hatchability by Irradiating Carp Embryos with the Ra-Be(n,γ) Neutron Source and ~60Coγ(n,γ)-ray source. Acta Sci. Nat. Univ. Pekin. 1984, 1, 24–30. [Google Scholar]
- Seibel, H.; Baßmann, B.; Rebl, A. Blood Will Tell: What Hematological Analyses Can Reveal About Fish Welfare. Front. Vet. Sci. 2021, 8, 616955. [Google Scholar] [CrossRef]
- Latif, A.; Khalid, M.; Ali, M. An assessment of naphthalene stress on renal and hepatic functional integrity in Labeo rohita. Int. J. Curr. Eng. Technol. 2014, 4, 319–324. [Google Scholar]
- Rao, J.V. Toxic effects of novel organophosphorus insecticide (RPR-V) on certain biochemical parameters of euryhaline fish, Oreochromis mossambicus. Pestic. Biochem. Physiol. 2006, 86, 78–84. [Google Scholar] [CrossRef]
- Banace, M. Mirvagefei AR. Effect of sub-lethal Diazinon Concentrations on Blood Plasma Biochemistry. Int. J. Environ. Res. 2008, 2, 189–198. [Google Scholar]
- Yang, J.; Wang, T.; Lin, G.; Li, M.; Zhu, R.; Yiannikouris, A.; Zhang, Y.; Mai, K. The Assessment of Diet Contaminated with Aflatoxin B1 in Juvenile Turbot (Scophthalmus maximus) and the Evaluation of the Efficacy of Mitigation of a Yeast Cell Wall Extract. Toxins 2020, 12, 597. [Google Scholar] [CrossRef] [PubMed]
- Huang, H.; Weng, B.; Hsuuw, Y.; Lee, Y.; Chen, K. Dietary Supplementation of Two-Stage Fermented Feather-Soybean Meal Product on Growth Performance and Immunity in Finishing Pigs. Animals 2021, 11, 1527. [Google Scholar] [CrossRef] [PubMed]
- Dawood, M.A.O.; Ali, M.F.; Amer, A.A.; Gewaily, M.S.; Mahmoud, M.M.; Alkafafy, M.; Assar, D.H.; Soliman, A.A.; Van Doan, H. The influence of coconut oil on the growth, immune, and antioxidative responses and the intestinal digestive enzymes and histomorphometry features of Nile tilapia (Oreochromis niloticus). Fish. Physiol. Biochem. 2021, 47, 869–880. [Google Scholar] [CrossRef]
- Smith, C.M.; Ryan, P.J.; Hosken, I.T.; Ma, S.; Gundlach, A.L. Relaxin-3 systems in the brain—The first 10 years. J. Chem. Neuroanat. 2011, 2, 262–275. [Google Scholar] [CrossRef]
- Salto, R.; Vílchez, J.D.; Cabrera, E.; Guinovart, J.J.; Girón, M.D. Activation of ERK by sodium tungstate induces protein synthesis and prevents protein degradation in rat L6 myotubes. FEBS Lett. 2014, 588, 2246–2254. [Google Scholar] [CrossRef] [PubMed]
- Suryawan, A.; Davis, T.A. Regulation of protein degradation pathways by amino acids and insulin in skeletal muscle of neonatal pigs. J. Anim. Sci. Biotechnol. 2014, 5, 8. [Google Scholar] [CrossRef]
- Adams, G.R.; Haddad, F. The relationships among IGF-1, DNA content, and protein accumulation during skeletal muscle hypertrophy. J. Appl. Physiol. 1996, 81, 2509–2516. [Google Scholar] [CrossRef]
- Young, V.R. Regulation of protein synthesis and skeletal muscle growth. J. Anim. Sci. 1974, 38, 1054–1070. [Google Scholar] [CrossRef]
- Dumas, A.; De Lange, C.F.; France, J.; Bureau, D.P. Quantitative description of body composition and rates of nutrient deposition in rainbow trout (Oncorhynchus mykiss). Aquaculture 2007, 273, 165–181. [Google Scholar] [CrossRef]
- Yadav, A.K.; Mandal, S.C.; Patel, A.B.; Maurya, P.K. Evaluation of dietary protein requirement for the growth performance of minor carp, Cirrhinus reba (Hamilton, 1822) fingerlings. Aquac. Res. 2019, 50, 3343–3349. [Google Scholar] [CrossRef]
- Coolican, S.A.; Samuel, D.S.; Ewton, D.Z.; McWade, F.J.; Florini, J.R. The mitogenic and myogenic actions of insulin-like growth factors utilize distinct signaling pathways. J. Biol. Chem. 1997, 272, 6653–6662. [Google Scholar] [CrossRef]
- Fuentes, E.N.; Valdés, J.A.; Molina, A.; Björnsson, B.T. Regulation of skeletal muscle growth in fish by the growth hormon—Insulin-like growth factor system. Gen. Comp. Endocrinol. 2013, 192, 136–148. [Google Scholar] [CrossRef]
- Montserrat, N.; Capilla, E.; Navarro, I.; Gutiérrez, J. Metabolic Effects of Insulin and IGFs on Gilthead Sea Bream (Sparus aurata) Muscle Cells. Front. Endocrinol. 2012, 3, 55. [Google Scholar] [CrossRef]
- Rius-Francino, M.; Acerete, L.; Jiménez-Amilburu, V.; Capilla, E.; Navarro, I.; Gutiérrez, J. Differential effects on proliferation of GH and IGFs in sea bream (Sparus aurata) cultured myocytes. Gen. Comp. Endocrinol. 2011, 172, 44–49. [Google Scholar] [CrossRef]
- Gong, M.; Zhang, H.; Wu, D.; Zhang, Z.; Zhang, J.; Bao, D.; Yang, Y. Key metabolism pathways and regulatory mechanisms of high polysaccharide yielding in Hericium erinaceus. BMC Genom. 2021, 22, 160. [Google Scholar] [CrossRef]
- Zhu, Z.; Chen, W.; Zhou, H.; Cheng, H.; Luo, S.; Zhou, K.; Zhou, P.; Xia, L.; Ding, X. ARTP and NTG compound mutations improved Cry protein production and virulence of Bacillus thuringiensis X023. Appl. Microbiol. Biotechnol. 2022, 106, 4211–4221. [Google Scholar] [CrossRef]
- Fan, Z.; Wu, D.; Li, J.; Zhang, Y.; Xu, Q.; Wang, L. Dietary protein requirement for large-size Songpu mirror carp (Cyprinus carpio Songpu). Aquac. Nutr. 2020, 26, 1748–1759. [Google Scholar] [CrossRef]
- Ruvinsky, I.; Meyuhas, O. Ribosomal protein S6 phosphorylation: From protein synthesis to cell size. Trends Biochem. Sci. 2006, 31, 342–348. [Google Scholar] [CrossRef]
Disclaimer/Publisher’s Note: The statements, opinions and data contained in all publications are solely those of the individual author(s) and contributor(s) and not of MDPI and/or the editor(s). MDPI and/or the editor(s) disclaim responsibility for any injury to people or property resulting from any ideas, methods, instructions or products referred to in the content. |
© 2024 by the authors. Licensee MDPI, Basel, Switzerland. This article is an open access article distributed under the terms and conditions of the Creative Commons Attribution (CC BY) license (https://creativecommons.org/licenses/by/4.0/).





