Cost Efficiency and Effectiveness of Drone Applications in Bridge Condition Monitoring
Abstract
1. Introduction
2. Literature Review
3. Data
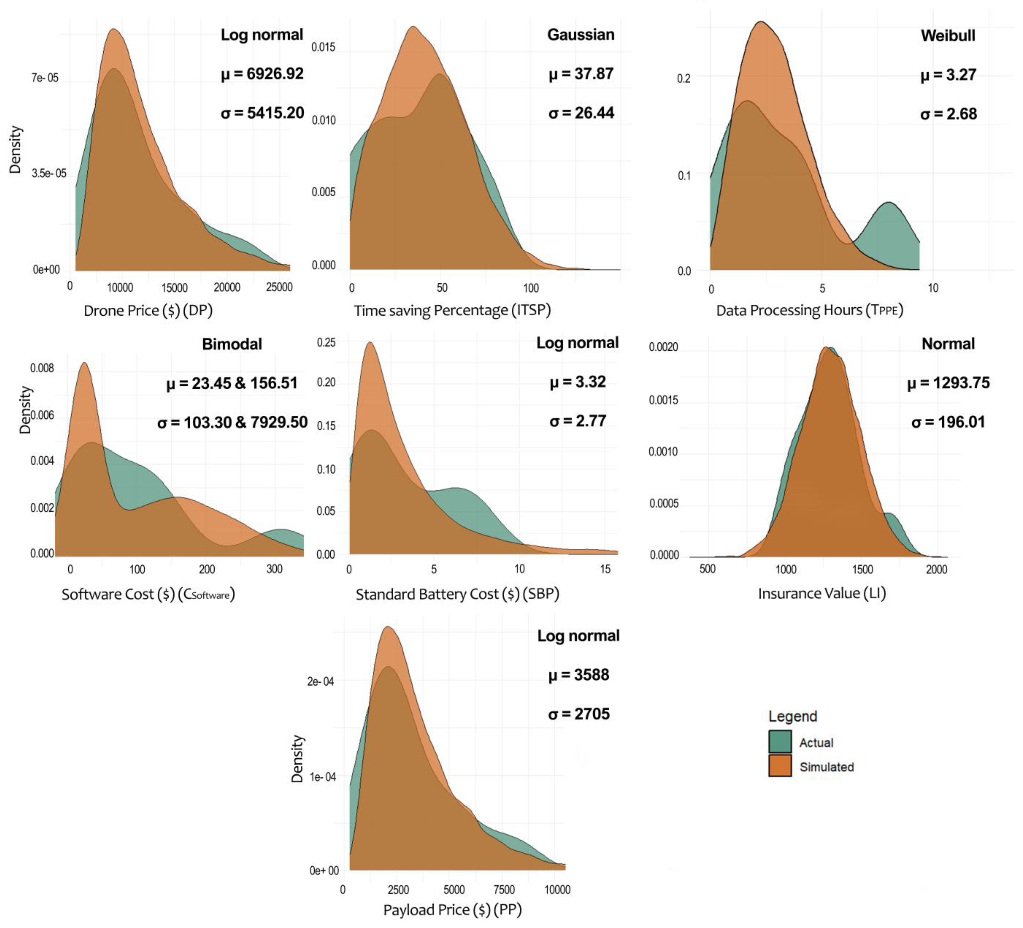
3.1. Data Mining Workflow
3.2. Variables
| Drone | Price | Flight Time (Min) | Built-In Payload | Extra Required Payload | Data Source |
|---|---|---|---|---|---|
| DJI Mavic 3 Pro | USD 2199 to USD 3299 | 43 | Hasselblad: 4/3 CMOS, 20 MP Medium Tele: 1/1.3-inch CMOS, 48 MP Tele: 1/2-binch CMOS, 12 MP | - | [28] |
| DJI Air 3 | USD 1099 to USD 1550 | 46 | Wide-Angle: 1/1.3-inch CMOS Effective Pixels: 48 MP Medium Tele: 1/1.3-inch CMOS Effective Pixels: 48 MP | - | |
| DJI Phantom 4 Pro | USD 1599 to USD 1699 | 30 | 1” CMOS Effective Pixels: 20 MP | - | |
| DJI Matrice 600 Pro | USD 5000 to USD 6000 | 32 | - | Zenmuse (Z) X3: 1/2.3” CMOS/12 MP photos and 4K video at 30 fps: USD 500–USD 700 ZX5 and X5R: USD 1400–USD 1600/USD 3000 ZX7: USD 2700–USD 3000 Z30: USD 2500–USD 4000 | |
| DJI Matrice 300 RTK | USD 13,000 | 55 | Infrared Sensing System | ZH20 series: hybrid multi-sensor camera USD 5000 to USD 10,000 ZP1: full-frame sensor camera: USD 8000 | |
| MATRICE 210 RTK V2 | USD 10,000 to USD 15,000 | 34 | - | Z30: USD 2500–USD 4000 ZX4S: USD 600–USD 800 ZX5S: USD 1900–USD 2200 ZX7: USD 2700–USD 3000 ZXT2 | |
| Skydio 2+ | USD 5000 | 27 | Camera: Sony IMX577 CMOS sensor and Qualcomm RedDragon™ QCS605: 12 MP photos, 4K60 HDR video/45 MP | - | [27] |
| Skydio X10 | USD 15,000 | 40 | Narrow camera: 64 MP 1” wide camera: 50 MP Radiometric thermal: 640 × 512 px | - | |
| Parrot Anafi | USD 7000 | 32 | Vertical camera, ultra-sonar/2 × 6-axis IMU, 2 × 3-axis accelerometers, 2 × 3-axis gyroscopes, 4K video, thermal | - | [29] |
| Yuneec H520E | USD 2500 | 28 | - | E90 Camera: 1-inch CMOS sensor, 20 MP resolution. USD 1299–USD 1499 E50 Camera: USD 1200 CGOET Camera: USD 1900 | [30] |
| Elios 3 | USD 5000 | 12 | Visual camera and onboard LED lighting capable of 4K UHD videos. CMOS Effective Pixels: 12.3 | - | [31] |
| DJI Inspire 3 | USD 16,500 | 28 | X9-8K Air | - | [32] |
| AUTEL EVO 2 PRO RTK | USD 1500–USD 3000 | 40 | 1-inch CMOS | - | [33] |
4. Methodology and Modeling
5. Results and Discussion
5.1. Variables and Scenarios
5.2. Stochastic Investment Costs
5.3. Stochastic Cost and Benefits per Inspection
5.4. Net Saving
5.5. Net Present Value
5.6. Benefit–Cost Ratio
5.7. Cost–Benefit Measures
5.8. Case Scenario
6. Conclusions
Author Contributions
Funding
Data Availability Statement
Conflicts of Interest
References
- ASCE. Report Card for America’s Infrastructure; ASCE: Reston, VA, USA, 2021. [Google Scholar]
- Askarzadeh, T.; Bridgelall, R.; Tolliver, D. Drones for Road Condition Monitoring: Applications and Benefits. J. Transp. Eng. Part B Pavements 2025, 151, 04024055. [Google Scholar] [CrossRef]
- Askarzadeh, T.; Bridgelall, R.; Tolliver, D.D. Systematic Literature Review of Drone Utility in Railway Condition Monitoring. J. Transp. Eng. Part A Syst. 2023, 149, 04023041. [Google Scholar] [CrossRef]
- AASHTO. The Manual for Bridge Evaluation, 2nd ed.; American Association of State Highway and Transportation Officials: Washington, DC, USA, 2011. [Google Scholar]
- Seo, J.; Duque, L.; Wacker, J. Drone-enabled bridge inspection methodology and application. Civ. Eng. 2018, 94, 112–126. [Google Scholar] [CrossRef]
- Perry, B.J.; Guo, Y.; Atadero, R.; van de Lindt, J.W. Streamlined bridge inspection system utilizing unmanned aerial vehicles (UAVs) and machine learning. Meas. J. Int. Meas. Confed. 2020, 164, 108048. [Google Scholar] [CrossRef]
- Hubbard, B.; Hubbard, S. Unmanned Aircraft Systems (UAS) for Bridge Inspection Safety. Drones 2020, 4, 40. [Google Scholar] [CrossRef]
- Azari, H.; O’shea, D.; Campbell, J. Application of Unmanned Aerial Systems for Bridge Inspection. Transp. Res. Rec. 2022, 2676, 401–407. [Google Scholar] [CrossRef]
- Song, H.; Yoo, W.-S.; Zatar, W. Interactive Bridge Inspection Research using Drone. In Proceedings of the 2022 IEEE 46th Annual Computers, Software, and Applications Conference (COMPSAC), Los Alamitos, CA, USA, 27 June–1 July 2022. [Google Scholar]
- Dorafshan, S.; Maguire, M. Bridge inspection, human performance, unmanned aerial systems and automation. J. Civ. Struct. Health Monit. 2018, 8, 443–476. [Google Scholar] [CrossRef]
- Chen, S.; Laefer, D.F.; Mangina, E.; Zolanvari, S.M.I.; Byrne, J. UAV Bridge Inspection through Evaluated 3D Reconstructions. J. Bridge Eng. 2019, 24, 05019001. [Google Scholar] [CrossRef]
- Aliyari, M.; Ashrafi, B.; Ayele, Y.Z. Drone-based Bridge Inspection in Harsh Operating Environment: Risks and Safeguards. Int. J. Transp. Dev. Integr. 2021, 5, 118–135. [Google Scholar] [CrossRef]
- Dorafshan, S.; Maguire, M.; Hoffer, N.V.; Coopmans, C. Challenges in bridge inspection using small unmanned aerial systems: Results and lessons learned. In Proceedings of the 2017 International Conference on Unmanned Aircraft Systems (ICUAS), Miami, FL, USA, 13–16 June 2017. [Google Scholar]
- Mun, J. Modeling Risk, Applying Monte Carlo Risk Simulation, Strategic Real Options, Stochastic Forecasting, and Portfolio Optimization, 2nd ed.; John Wiley & Sons: Hoboken, NJ, USA, 2010. [Google Scholar]
- Banh, M.L.; Foina, A.; Li, D.; Lin, Y.; Redondo, X.A.N.; Shong, C.; Zhang, W.-B. Evaluation of Feasibility of UAV Technologies for Remote Surveying BART Rail Systems; Bay Area Rapid Transit (BART): Oakland, CA, USA, 2017. Available online: https://escholarship.org/uc/item/3qr9v29d (accessed on 11 March 2025).
- Wells, J.; Lovelace, B. Improving the Quality of Bridge Inspections Using Unmanned Aircraft Systems (UAS); Minnesota Department of Transportation: Saint Paul, MN, USA, 2018; Available online: https://trid.trb.org/View/1539868 (accessed on 11 March 2025).
- FAA. 2023. Available online: https://www.faa.gov/faq/how-much-does-it-cost-get-remote-pilot-certificate (accessed on 27 September 2023).
- Lofsten, H. Measuring maintenance performance in search for a maintenance productivity index. Int. J. Prod. Econ. 2000, 63, 47–58. [Google Scholar] [CrossRef]
- Dunn, R. Advanced maintenance technologies. Plant Eng. 1987, 40, 80–82. [Google Scholar]
- MnDOT. Bridge Inspectors Reference Manual; MnDOT: Saint Paul, MN, USA, 2012; Available online: https://www.dot.state.mn.us/bridge/pdf/insp/birm/birmchapt0-cover.pdf (accessed on 11 March 2025).
- FHWA. Traffic Data Computation Method Pocket Guide; Publication No. FHWA-PL-18-027; FHWA: Washington, DC, USA, 2018. Available online: https://www.fhwa.dot.gov/policyinformation/pubs/pl18027_traffic_data_pocket_guide.pdf (accessed on 11 March 2025).
- USDOT. Benefit Cost Analysis Guidance for Discretionary Grant Programs; U.S. Department of Transportation: Washington, DC, USA, 2023. Available online: https://www.transportation.gov/mission/office-secretary/office-policy/transportation-policy/benefit-cost-analysis-guidance (accessed on 11 March 2025).
- Anwar, N. World’s Largest Drone Maker Is Unfazed—Even If It’s Blacklisted by the U.S. 7 February 2023. Available online: https://www.cnbc.com/2023/02/08/worlds-largest-drone-maker-dji-is-unfazed-by-challenges-like-us-blacklist.html (accessed on 1 June 2023).
- Askarzadeh, T.; Bridgelall, R.; Tolliver, D. Monitoring Nodal Transportation Assets with Uncrewed Aerial Vehicles: A Comprehensive Review. Drones 2024, 8, 233. [Google Scholar] [CrossRef]
- Bradbury, T. The Drone Girl. 2023. Available online: https://www.thedronegirl.com/2020/05/24/lipo-batteries-last/ (accessed on 6 June 2024).
- Castro, J.; Flores, C.; Gonzalez, D.; Quintero, V.; Perez, A. From the Air to the Ground: An Experimental Approach to Assess LiPo Batteries for a Second Life. In Proceedings of the 2022 Prognostics and Health Management Conference (PHM-2022 London), London, UK, 27–29 May 2022. [Google Scholar]
- Skydio. 20 July 2023. Available online: https://support.skydio.com/hc/en-us/articles/1260804644430-How-to-charge-and-maintain-your-Skydio-X2-batteries (accessed on 27 September 2023).
- DJI. Consumer Drones Comparison. 1 August 2023. Available online: https://www.dji.com/products/comparison-consumer-drones (accessed on 12 December 2023).
- Parrot. ANAFI Ai Photogrammetry. 2023. Available online: https://www.parrot.com/us/drones/anafi-ai/technical-documentation/photogrammetry (accessed on 2 August 2023).
- Yuneec. Yuneec a Company of ATL Drones. 2023. Available online: https://yuneec.online/e30z/ (accessed on 4 August 2023).
- RMUS Unmanned Solutions. Flyability Elios 3. 2023. Available online: https://www.flyability.com/elios-3-rad-payload (accessed on 15 July 2023).
- DJI Inspire. DJI Inspire 3. 2023. Available online: https://www.dji.com/inspire-3 (accessed on 27 August 2023).
- Autelrobotics. Go Beyond the Boundaries of Aerial Photography. 2023. Available online: https://shop.autelrobotics.com/collections/autel-evo-ii-series (accessed on 29 August 2023).
- Helmi, W.; Bridgelall, R.; Askarzadeh, T. Remote Sensing and Machine Learning for Safer Railways: A Review. Appl. Sci. 2024, 14, 3573. [Google Scholar] [CrossRef]
- Gillins, D.T.; Parrish, C.; Gillins, M.N.; Simpson, C. Eyes in the Sky: Bridge Inspections with Unmanned Aerial Vehicles; Oregon DOT: Washington, DC, USA, 2018.
- Michael Baker International. UAS Bridge Inspection Pilot; Wisconsin Department of Transportation: Madison, WI, USA, 2017. Available online: https://trust.dot.state.wi.us/ftp/dtsd/structures/pub/gurtner/UAS%20Pilot%20Bridge%20Inspection%20Report_final.pdf (accessed on 11 March 2025).
- O’Neil-Dunne, J. Unmanned Aircraft Systems for Transportation Decision Support; U.S. Department of Transportation: Washington, DA, USA, 2016. Available online: https://rosap.ntl.bts.gov/view/dot/32744 (accessed on 11 March 2025).
- Zajkowski, T.; Snyder, K.; Arnold, E.; Divakaran, D. Unmanned Aircraft Systems: A New Tool for DOT Inspections; NCDOT: Charlotte, NC, USA, 2016.
- Dorafshan, S.; Maguire, H.N.V.; Coopmans, C. Fatigue Crack Detection Using Unmanned Aerial Systems in Under-Bridge Inspection; Idaho Transportation Department: Boise, ID, USA, 2017. Available online: https://apps.itd.idaho.gov/apps/research/Completed/RP256.pdf (accessed on 11 March 2025).
- Bridge, J.A.; Ifju, P.G.; Whitley, T.; Tomiczek, A.P. Use of Small Unmanned Aerial Vehicles for Structural Inspection; Florida Department of Transportation: Tallahassee, FL, USA, 2018. Available online: https://rosap.ntl.bts.gov/view/dot/36598 (accessed on 11 March 2025).
- Burgett, J.M.; Bausman, D.C.; Comert, G. Unmanned Aircraft Systems (UAS) Impact on Operational Efficiency and Connectivity; U.S. DOT: Washington, DC, USA, 2019. Available online: https://rosap.ntl.bts.gov/view/dot/53574 (accessed on 11 March 2025).
- DroneDeploy. Drone Insurance and Liability Coverage: Do You Need It? 17 January 2018. Available online: https://www.dronedeploy.com/blog/drone-insurance-and-liability-coverage-do-you-need (accessed on 2 October 2023).
- FHWA BIRM. Bridge Inspector’s Reference Manual (BIRM); FHWA: Washington, DC, USA, 2023.
- USDOT. Departmental Guidance Treatment of the Value of Preventing Fatalities and Injuries in Preparing Economic Analyses; USDOT: College Station, TX, USA, 2021. Available online: https://tti.tamu.edu/news/tti-publishes-2021-urban-mobility-report/ (accessed on 11 March 2025).
- WisDOT. General Lane Closure Impact Analysis; WisDOT, Wisconsin Department of Transportation: Madison, WI, USA, 2020. Available online: https://transportal.cee.wisc.edu/closures/devel/#:~:text=Welcome,to%20time%20or%20budget%20constraints (accessed on 11 March 2025).
- Glover, B.J. 2021 Urban Mobility Report; Texas A&M Transportation Institute, United States Department of Transportation: Washington DC, USA, 2021. Available online: https://www.transportation.gov/sites/dot.gov/files/2021-03/DOT%20VSL%20Guidance%20-%202021%20Update.pdf (accessed on 11 March 2025).
- Cordella, M.; Alfieri, F.; Sanfelix, J. Guidance for the Assessment of Material Efficiency: Application to Smartphones; Publications Office of the European Union: Luxembourg, 2020. [Google Scholar]
- Cohn, P.; Green, A.; Langstaff, M.; Roller, M. Commercial Drones Are Here: The Future of Unmanned Aerial Systems. 2017. Available online: https://www.mckinsey.com/industries/travel-logistics-and-infrastructure/our-insights/commercial-drones-are-here-the-future-of-unmanned-aerial-systems#/ (accessed on 1 June 2023).










| Cost Components | Variable | Description | Category | Type | Time Frame | Cost | Source |
|---|---|---|---|---|---|---|---|
| Drone Component Costs (C1) | Number of drones | Cost | - | - | - | - | |
| Cost of a drone | Cost | Stochastic | Once | - | Market | ||
| Number of payloads (e.g., cameras, sensors) | Cost | - | - | - | - | ||
| Number of standardized batteries | Cost | - | - | - | - | ||
| Cost of a payload | Cost | Deterministic | Unit | - | Market | ||
| Cost of a standardized battery | Cost | Stochastic | Hour | - | Market | ||
| Ground Infrastructure Costs (C2) | Cost of the ground control station | Cost | Deterministic | Once | USD 5000 | [15] | |
| Cost of ground landing pads | Cost | Deterministic | Unit | - | Market | ||
| Personnel Costs (C3) | Time required for the bridge inspection team leader (BILT) | Cost and Benefit | Deterministic | Hour | USD 150 | [16] | |
| Time required for assistant bridge inspectors (ABI) | Cost and Benefit | Deterministic | Hour | USD 120 | [16] | ||
| Number of ABIs | Cost and Benefit | - | - | - | - | ||
| Cost of a drone pilot | Cost | - | - | - | - | ||
| Number of drone pilots | Cost | - | - | - | - | ||
| Training costs for personnel | Cost | Deterministic | Once | USD 2575 | [17] | ||
| Upkeep Costs (C4) | Annual maintenance costs | Cost | Stochastic | Year | - | [18] | |
| Unexpected repair costs | Cost | Stochastic | Year | - | [18,19] | ||
| IT Infrastructure Costs (C5) | Number of software licenses required | Cost | - | - | - | - | |
| Cost of software licenses | Cost | Stochastic | Month | - | Market | ||
| Cost of data storage | Cost | Deterministic | Month | USD 180 once + USD 100 per month | Market | ||
| Data Processing Costs (C6) | Cost of post-processing engineers | Cost | Deterministic | Hour | USD 120 | [16] | |
| Number of post-processing engineers | Cost | - | - | - | - | ||
| Time required for post-processing engineers | Cost | Stochastic | Inspection | - | [16] | ||
| Insurance Costs (C7) | Cost of liability insurance | Cost | Stochastic | Year | - | Market | |
| Cost of hull insurance | Cost | - | - | - | - | ||
| Number of insured equipment units | Cost | - | - | - | - | ||
| Deployment Costs (C8) | Registration cost | Cost | Deterministic | 3 Years | USD 5 | [17] | |
| Number of registered drones | Cost | - | - | - | - | ||
| Crew Time Savings (B1) | ITSP | Inspection time saving percentage | Benefit | Stochastic | % | - | [16] |
| Operational Vehicle Cost Savings (B2) | UBIV | Cost of under-bridge inspection vehicles (UBIVs) | Benefit | Stochastic | Daily | - | [16] |
| Time required for UIBV | Benefit | - | - | - | [16] | ||
| Number of UIBVs | Benefit | - | - | - | - | ||
| Maintenance costs of UIBV | Benefit | - | - | - | - | ||
| Infrastructure costs associated with UIBV | Benefit | - | - | - | - | ||
| Tool Cost Savings (B3) | Number of inspection tools replaced by drones | Benefit | - | - | - | - | |
| Cost of traditional monitoring tools | Benefit | - | - | - | - | ||
| Safety Cost Savings (B4) | ISE | Safety equipment savings | Benefit | Deterministic | Inspection/ Person | USD 275 | [20] |
| Risk reduction costs | Benefit | - | - | - | - | ||
| VSL | Value of a statistical life | Benefit | - | - | - | - | |
| Probability of fatality during inspections | Benefit | - | - | - | - | ||
| VSI | Value of a statistical injury | Benefit | - | - | - | - | |
| Probability of injury during inspections | Benefit | - | - | - | - | ||
| Reduced Lane Closure and Traffic Costs (B5) | LCC | Lane closure costs | Benefit | Stochastic | Hour | - | [16] |
| Total travel time cost savings | Benefit | Deterministic | Hour | USD 6915 at peak hrs. USD 1235 during off-peak hrs. | [21] | ||
| AVOR | Average vehicle occupancy rates | Benefit | - | - | - | - | |
| VOC | Vehicle operation cost savings | Benefit | Deterministic | Hour | USD 345 during peak times USD 115 during off-peak times | [22] | |
| OP | Operating cost per mile | Benefit | - | - | - | - | |
| AMTD | Annual miles traveled | Benefit | - | - | - | - | |
| Reduced accident risks and associated cost savings | Benefit | - | - | - | - |
| Software | Price Range | DOT |
|---|---|---|
| Photogrammetry | ||
| Pix4D V4.8.2 | USD 32–USD 291/month | [16,35,36,37,38] |
| Agisoft Metashape V2.1.2 | USD 179–USD 3500 (one-time) | [38,39,40] |
| AutoCAD V25.0 | USD 40/month | [16,36] |
| ContextCapture V20 | USD 3900/year | [16,41] |
| Data Management | ||
| Airdata UAV V1.34.7 | Free to USD 300/year | - |
| Dronelogbook V10.0.6 | USD 10/month | - |
| Intel Insight V10.1 | USD 99/month | [16] |
| T-BCM | D-BCM | BS (Feet) | |||
|---|---|---|---|---|---|
| TBILT | TABI | TUBIV | TBILT | TABI | |
| 8 | 8 | 0 | 4 | 4 | 505 |
| 4 | 4 | 0.5 | 1 | 1 | 2740 |
| 4 | 4 | 0 | 4 | 4 | 45 |
| 8 | 8 | 0 | 4 | 4 | 1887 |
| 24 | 24 | 3 | 20 | 20 | 635 |
| 8 | 8 | 0 | 2 | 2 | 214 |
| 8 | 8 | 0 | 6 | 6 | 3360 |
| 12 | 12 | 0 | 6 | 6 | 160 |
| 4 | 4 | 0.5 | 3 | 3 | 1914 |
| 4 | 4 | 1 | 4 | 4 | 2100 |
| 8 | 8 | 0 | 4 | 4 | 2769 |
| Vehicle with Operator | Probability | Daily Rental (USD) | Type of Inspection |
|---|---|---|---|
| Snooper Truck | 30% | USD 3000 | Under-bridge access. |
| Bucket Truck | 40% | USD 700 | Mainly used for overhead inspections where direct access is required at a certain height. Effective for bridge superstructure elements. |
| Scissor Lift | 15% | USD 500 | Where vertical elevation is required without the need for lateral movement. Primarily used for low-height under-bridge areas or decks. |
| Boom Lift | 25% | USD 1000 | For both vertical and horizontal movement, facilitating access to difficult areas of a bridge, especially for superstructure elements. |
| Category | Cost (USD) |
|---|---|
| Misc. Traffic Control (Ped. Only, etc.) | USD 500 |
| Low Speed Lane/Shoulder Closure | USD 2000 |
| Mobile Lane/Shoulder Closure | USD 1500 |
| High Speed Lane/Shoulder Closure | USD 2500 |
| Variable | μ | σ | Distribution |
|---|---|---|---|
| AMC and URC | 1202.17 | 3151.33 | Log-Normal |
| VO | 3588 | 2705 | Probability |
| LCC | 1391 | 1133 | Probability |
| Investment Cost Area | Cost (USD) | Costs Area | Time | Cost (USD) | Benefits Area | Time | Cost (USD) |
|---|---|---|---|---|---|---|---|
| Drone | 5000 | SBP | 2 h | 22.62 | TBI | 8 h | 960 |
| Payload | 1850.99 | CostSoft | 1 month | 260 | TABI | 8 h | 1200 |
| Training Pilot | 2575 | LI | 1 month | 126.16 | UBIV | 1 h | 1056.82 |
| GCS | 5000 | BILT | 2 h | 300 | LCC | 1 h | 1850 |
| Memory Card | 180 | ABI | 2 h | 240 | RiskFI | 1 day | 431.5 |
| Registration Cost | 5 | PPE | 4 h | 480 | ISE | 1 inspection | 275 |
| CostStorage | 1 month | 100 | TTC | 1 h | 1235 | ||
| VOC | 1 h | 115 | |||||
| Total | 14,605.99 | 1528.78 | 7123.32 | ||||
| NPV | −9011.45 | ||||||
| BCR | 0.441488785 | ||||||
| Payback Inspection | Cumulative NPV | Return Rate |
|---|---|---|
| 1 | −9011.45 | −61.72% |
| 2 | −3416.91 | −23.40% |
| 3 | 2177.63 | 14.92% |
| 4 | 7772.17 | 53.23% |
| 5 | 13,366.71 | 91.54% |
| 6 | 19,961.25 | 136.64% |
| 7 | 26,555.79 | 181.75% |
| 8 | 33,150.33 | 226.86% |
| 9 | 39,744.87 | 271.97% |
| 10 | 44,755.41 | 306.51% |
| Year | Project Year | Discounted Investment Cost at 7% | Discounted Monthly Costs at 7% | Discounted Maintenance Costs at 7% | Discounted Costs per Inspection at 7% | Discounted Benefits per Inspection at 7% | Discounted NPV at 7% | BCR |
|---|---|---|---|---|---|---|---|---|
| 2023 | 0 | 14,605.99 | 5833.92 | 570.00 | 10,426.20 | 71,233.20 | 39,797.09 | 2.26 |
| 2024 | 1 | 0 | 5452.26 | 532.71 | 9744.11 | 66,573.08 | 50,844.00 | 4.23 |
| 2025 | 2 | 0 | 5095.57 | 497.86 | 9106.64 | 62,217.83 | 47,517.76 | 4.23 |
| 2026 | 3 | 0 | 4762.21 | 465.28 | 8510.88 | 58,147.50 | 44,409.12 | 4.23 |
| 2027 | 4 | 0 | 4450.66 | 434.85 | 7954.09 | 54,343.46 | 41,503.85 | 4.23 |
| 2028 | 5 | 10,413.86 | 4159.50 | 406.40 | 7433.73 | 50,788.28 | 28,374.78 | 2.26 |
| 2029 | 6 | 0 | 3887.38 | 379.81 | 6947.41 | 47,465.68 | 36,251.07 | 4.23 |
| 2030 | 7 | 0 | 3633.07 | 354.96 | 6492.91 | 44,360.45 | 33,879.50 | 4.23 |
| 2031 | 8 | 0 | 3395.39 | 331.74 | 6068.14 | 41,458.37 | 31,663.09 | 4.23 |
| 2032 | 9 | 0 | 3173.26 | 310.04 | 5671.16 | 38,746.14 | 29,591.67 | 4.23 |
| Year | Project Year | Discounted Investment Cost at 3% | Discounted Monthly Costs at 3% | Discounted Maintenance Costs at 3% | Discounted Costs per Inspection at 3% | Discounted Benefits per Inspection at 3% | Discounted NPV at 3% | BCR |
|---|---|---|---|---|---|---|---|---|
| 2023 | 0 | 14,605.99 | 5833.92 | 570.00 | 10,426.20 | 71,233.20 | 39,797.09 | 2.26 |
| 2024 | 1 | 0 | 5664.00 | 553.39 | 10,122.52 | 69,158.44 | 52,818.52 | 4.23 |
| 2025 | 2 | 0 | 5499.02 | 537.27 | 9827.69 | 67,144.12 | 51,280.12 | 4.23 |
| 2026 | 3 | 0 | 5338.86 | 521.63 | 9541.44 | 65,188.46 | 49,786.52 | 4.23 |
| 2027 | 4 | 0 | 5183.36 | 506.43 | 9263.54 | 63,289.77 | 48,336.43 | 4.23 |
| 2028 | 5 | 12,599.25 | 5032.39 | 491.68 | 8993.73 | 61,446.38 | 34,329.32 | 2.26 |
| 2029 | 6 | 0 | 4885.81 | 477.36 | 8731.77 | 59,656.68 | 45,561.72 | 4.23 |
| 2030 | 7 | 0 | 4743.51 | 463.46 | 8477.45 | 57,919.11 | 44,234.68 | 4.23 |
| 2031 | 8 | 0 | 4605.35 | 449.96 | 8230.53 | 56,232.14 | 42,946.29 | 4.23 |
| 2032 | 9 | 0 | 4471.21 | 436.85 | 7990.81 | 54,594.31 | 41,695.43 | 4.23 |
| DP | NPV | BCR | Investment Costs | Monthly Costs | Maintenance Costs | |
|---|---|---|---|---|---|---|
| Short Term | 10,363.19 | −15,245.725 | 0.318445 | 20,784.19 | 505.31 | 380 |
| Midterm | 12,365.81 | −19,180.20417 | 0.270812 | 24,751.81 | 466.51 | 851 |
| Long Term | 5911 | −10,765.20083 | 0.398206 | 16,382 | 468.57 | 199.5 |
| Calendar Year | NPV Discounted at 7% | NPV Discounted at 3% |
|---|---|---|
| 2023 | 33,209.83 | 33,209.83 |
| 2024 | 50,461.70 | 52,421.37 |
| 2025 | 47,160.46 | 50,894.54 |
| 2026 | 44,075.20 | 49,412.17 |
| 2027 | 41,191.77 | 47,972.98 |
| 2028 | 29,636.14 | 35,855.38 |
| 2029 | 35,937.18 | 45,167.22 |
| 2030 | 33,586.15 | 43,851.67 |
| 2031 | 31,388.93 | 42,574.44 |
| 2032 | 29,335.45 | 41,334.41 |
| 2033 | 25,592.53 | 36,802.86 |
| 2034 | 25,920.51 | 39,414.47 |
| 2035 | 24,224.78 | 38,266.47 |
| 2036 | 22,639.98 | 37,151.92 |
Disclaimer/Publisher’s Note: The statements, opinions and data contained in all publications are solely those of the individual author(s) and contributor(s) and not of MDPI and/or the editor(s). MDPI and/or the editor(s) disclaim responsibility for any injury to people or property resulting from any ideas, methods, instructions or products referred to in the content. |
© 2025 by the authors. Licensee MDPI, Basel, Switzerland. This article is an open access article distributed under the terms and conditions of the Creative Commons Attribution (CC BY) license (https://creativecommons.org/licenses/by/4.0/).
Share and Cite
Askarzadeh, T.; Bridgelall, R. Cost Efficiency and Effectiveness of Drone Applications in Bridge Condition Monitoring. Infrastructures 2025, 10, 63. https://doi.org/10.3390/infrastructures10030063
Askarzadeh T, Bridgelall R. Cost Efficiency and Effectiveness of Drone Applications in Bridge Condition Monitoring. Infrastructures. 2025; 10(3):63. https://doi.org/10.3390/infrastructures10030063
Chicago/Turabian StyleAskarzadeh, Taraneh, and Raj Bridgelall. 2025. "Cost Efficiency and Effectiveness of Drone Applications in Bridge Condition Monitoring" Infrastructures 10, no. 3: 63. https://doi.org/10.3390/infrastructures10030063
APA StyleAskarzadeh, T., & Bridgelall, R. (2025). Cost Efficiency and Effectiveness of Drone Applications in Bridge Condition Monitoring. Infrastructures, 10(3), 63. https://doi.org/10.3390/infrastructures10030063

