Abstract
Fitness apps are persuasive tools developed to motivate physical activity. Despite their popularity, there is little work on how social-cognitive characteristics such as culture, household size, physical activity level, perceived self-efficacy and social support influence users’ willingness to use them and preference (personal vs. social). Knowing these relationships can help developers tailor fitness apps to different socio-cultural groups. Hence, we conducted two studies to address the research gap. In the first study (n = 194) aimed at recruiting participants for the second study, we asked participants about their app preference (personal vs. social), physical activity level and key demographic variables. In the second study (n = 49), we asked participants about their social-cognitive beliefs about exercise and their willingness to use a fitness app (presented as a screenshot). The results of the first study showed that, in the collectivist group (Nigerians), people in large households were more likely to be active and use the social version of a fitness app than those in small households. However, in the individualist group (Canadians/Americans), neither the preference for the social or personal version of a fitness app nor the physical activity level depended on the household size. Moreover, in the second study, in the individualist model, perceived self-efficacy and perceived self-regulation have a significant total effect on willingness to use a fitness app. However, in the collectivist model, perceived social support and outcome expectation have a significant total effect on the target construct. Finally, we found that females in individualist cultures had higher overall social-cognitive beliefs about exercise than males in individualist cultures and females in collectivist cultures. The implications of the findings are discussed.
1. Introduction
Physical inactivity has been identified as a global problem with far-reaching health implications such as hypertension, type-2 diabetes and other chronic diseases, which cut across culture, country, gender and age []. Studies such as Towne et al. [] have shown that one of the most effective ways to improve health and reduce healthcare cost associated with physical inactivity is to prevent its attendant chronic diseases as early as possible through physical activity. However, meeting the physical-activity recommendation of the World Health Organization (WHO) can be both challenging and difficult for most individuals due to personal and social-structural factors []. Apart from personal factors, such as lack of will power, motivation and self-efficacy, physical inactivity has been attributed to a number of socio-structural factors occasioned by modernity, industrialization, urbanization and technology []. For example, the technological advancements of the twentieth century (e.g., automobile, elevators, televisions, and computers) promote sedentary behaviors. For example, sport lovers may choose to play video games for pleasure during their leisure time rather than engage in outdoor games with friends and family. Similarly, people may be tempted to take the elevator when available rather than use the staircase [].
Owing to these systemic challenges posed by modernity and technological advancement [], there is a need for the adoption of a systematic approach in tackling the global problem of physical inactivity and its associated health challenges []. Specifically, there is a need to support individuals socio-technically at various levels of society in order to achieve the WHO’s long-term goal of 15% reduction in physical inactivity between 2016 and 2030 [,,].
Meanwhile, the global progress made by global institutions such as WHO “to increase physical activity has been slow, largely due to lack of awareness and investment” (p. 6) []. This calls for intensified efforts from the research community in an attempt to employ a systematic approach to address the global problem of physical inactivity, which is almost becoming a global epidemic []. According to WHO [], “failure to recognize and invest in physical activity as a priority within NCD [non-communicable disease] prevention and treatment represents a missed opportunity” (p. 16). Further, WHO warns that “ongoing inaction will see the costs of physical inactivity continue to rise, contributing to further negative impact on health systems, the environment, economic development, community well-being and quality of life for all” (p. 16) []. These concerns call for action by well-meaning health stakeholders in industry and academia to address the global inactivity problem [].
Consequently, we investigate the use of behavior change theories and persuasive technology (PT) as a motivational tool for promoting physical activity. PT is an interactive system that is intentionally designed to change human behaviors through persuasion and social influence without deception or coercion []. Several studies [,] have shown its potential effectiveness in motivating behavior change in health domains such as physical activity [], healthy eating [], and smoking cessation []. However, in the health domain, “many individuals struggle to live a physically active lifestyle” (p. 19) []. Ball et al. [] found in their study that people who had not met the Centers for Disease Control and Prevention’s weekly physical activity recommendations reported numerous barriers to engaging in physical activity. Given that many people find it difficult to exercise regularly due to lack of motivation, time, social support and access to gym [,], PT holds promise as a motivational tool for integrating physical activity in their daily routine. PT supports persuasive strategies such as goal-setting, self-monitoring, social learning, and cooperation that can help people live an active style []. However, there is limited research on the relationship between people’s cognitive processes (e.g., self-efficacy) and their willingness to use a fitness app. Moreover, there is a scarcity of research on the role culture plays in the acceptance of fitness apps. For example, a persuasive strategy that is effective in motivating physical activity within one cultural group may not be effective within another cultural group. Similarly, privacy may be important to one cultural group, but not the other. This may deter the former cultural group from using a social fitness app that supports the sharing of one’s physical activity performance with a collaborative partner []. This paper aims to bridge these gaps in the literature by studying the impact of culture on app preference (personal vs. social) and the relationship between social-cognitive beliefs about exercise and acceptance of fitness apps developed as motivational/supportive tools to encourage bodyweight exercise.
2. Theoretical Background
This section provides an overview of social-cognitive theory (SCT) by focusing on its key constructs and culture by focusing on the individualism vs. collectivism dimension in Hofstede’s [] cultural framework.
2.1. Social Cognitive Theory (SCT)
The SCT is one of the main behavior change theories used to inform health intervention design [,]. Proposed by Bandura [], the SCT holds that human behaviors are influenced by environmental factors and mediated by cognitive processes. It extends the Social Learning Theory [], which posits that people learn not only through their own experiences, but also by observing the behaviors of others and their consequences [,]. In other words, it departed from the dominant learning theories that focused solely on the stimulus-response mechanism, as Bandura’s SCT highlighted the importance of human agency in the process of learning and behavior change []. One of its main strengths is that it focuses on individual agency (cognitive processes) as well as environmental influences (socio-structural factors) as a determinant of human behavior []. This is unlike the original Health Belief Model [] that: (1) does not recognize environmental (social and economic) factors as behavioral determinants, (2) is more descriptive than explanatory, (3) and does not suggest an intervention strategy for changing the target behavior [].
The SCT is centered around the conceptual Triad of Reciprocal Determinism []. The triad (Figure 1) holds that three main factors (personal, environmental and the target behavior) reciprocally influence one another in a dynamic fashion to shape human behaviors []. The personal factors are cognitive factors such as self-efficacy, outcome expectation and self-regulation, while the environmental factors are external, socio-structural factors, which could be physical, social or technological [,]. An example of a technological system that can influence human behaviors via cognitive processes is persuasive technology: an interactive system intentionally designed to change attitudes and behaviors through persuasion and social influence without deception or coercion [].
Figure 1.
SCT based on the triad of reciprocal determinism (adapted from []).
Aside from being one of the most commonly used behavior change theories in health interventions [], we decided to investigate the predictive power of the social-cognitive theory regarding fitness app use for three main reasons. The first reason is that it explains almost one-third of the variance of physical activity [], which fitness apps promote. This amount of explained variance meets Baranowski et al.’s [] recommendation necessary for a behavior theory to be deemed a useful framework for designing interventions []. The second reason for choosing the social-cognitive theory is that it maps very well to three of the four categories of persuasive strategies in Oinas-Kukkonen and Harjumma’s [] Persuasive System Design (PSD) model. For example, the personal factors in the social-cognitive model (e.g., self-efficacy and self-regulation) map to the Primary Task Support category (e.g., tunneling, goal-Setting, and self-monitoring). Similarly, personal factors (such as outcome expectation) map to the Dialog Support category (e.g., reward, and praise). Finally, the environmental factors (such as social support) map to the Social Support category (e.g., cooperation, social comparison, and social learning). These mappings are beneficial for the study because the social-cognitive beliefs in the theoretical domain can easily be mapped to persuasive strategies in the application domain. For example, if self-efficacy is found to be a determinant of a cultural group’s willingness to use a fitness app, this social-cognitive belief can be implemented in the app as primary task support strategies such as Self-Monitoring to motivate behavior change. On the other hand, if Social Support is found to be a determinant of a cultural group’s willingness to use a fitness app, it can be implemented in the app as social support strategies such as cooperation to motivate behavior change. We provide an overview of each of the social-cognitive beliefs as follows.
2.1.1. Self-Efficacy
Self-efficacy is the belief in one’s ability to perform a certain behavior []. It has been found to be the strongest and most consistent determinant of behaviors [,]. It influences the target behavior proximally (directly) and distally (indirectly), for example, through outcome expectation and self-regulation.
2.1.2. Self-Regulation
Self-regulation refers to the management and control of one’s thoughts, feelings, and actions regarding a certain behavior []. It involves goal-setting, self-monitoring, self-evaluation, organization, planning and regulation of ones’ behavior. It is one of the key social-cognitive factors that has a direct effect on behaviors [,].
2.1.3. Outcome Expectation
Outcome expectation is a person’s perception or judgment about the consequences of a behavior []. These expectations, which can be positive or negative, can influence their performance. Bandura [] identified three types of outcome expectation: physical, social, and self-evaluative. Physical outcomes entail pleasant sensory experience (e.g., physical pleasure, better physique) and aversive sensory experience (e.g., pain, discomfort). Social outcomes entail the social benefits derived from the performance of a behavior e.g., social acceptance, social recognition. Lastly, self-evaluative outcomes entail anticipated feelings (e.g., self-satisfaction and pride in the achievement of a behavior), which stem from the individual’s internal standards [].
2.1.4. Social Support
Social support is the support a person receives from society (e.g., friends and family) towards performing a target behavior. According to Bandura [], the evolution of health promotion models has come to regard the individual’s behavioral change as occurring in an environment of social influence, with high risk behaviors requiring more social support. Social support can be fostered through verbal persuasion, e.g., through encouragement got from others such as a coach psyching up players to increase their self-efficacy. Moreover, it can be fostered through vicarious experience, i.e., through the observation of the successes and failures of similar others performing the target behavior (e.g., role models, behavior models) [,,].
2.2. Culture
Culture is simply defined as the way of life. It encompasses the language, customs, traditions, food and dressing of a people. Hofstede [] defines it as the software of the mind, which guides human behaviors and practices, and distinguishes one group of people from another. Ford and Kotzé [] define it as “the patterns of thinking, feeling and acting that influence the way in which people communicate among themselves and with computers” (p. 714).
In human-computer interaction (HCI), research shows that culture influences user perceptions, interaction with computer systems and preferences [,,]. Culture has been shown to explain most of the variance in the global population []. While there are many cultural frameworks, in HCI, the Hofstede’s cultural model, particularly the “individualism vs. collectivism” dimension, is among the most commonly used frameworks for cross-cultural comparative analysis []. Individualism entails the principle of independence and self-reliance. Countries such as Canada and United States in the Western World are regarded as individualist cultures given that most people in these societies, in non-political contexts, tend to focus on their personal goals rather than those of their family or the group to which they belong. On the other hand, collectivism encapsulates the principle of cooperation and working together to achieve a collective goal. Countries such as Nigeria and Ghana in West Africa are regarded as collectivist cultures given that most people view and value success as a social rather than an individual pursuit. Hence, people in these societies, in non-political contexts, are more likely to depend on one another and be committed to working for the common good of the group such as the family than their personal aspirations [].
In the technological domain, studies [,,] show that people from collectivist cultures are more likely to embrace socially oriented applications, while those from individualist cultures are more likely to opt for personal applications. In this paper, we focus on how people’s social-cognitive beliefs about exercise influence their willingness to use fitness apps and the influence of culture using Canada/United States and Nigeria to represent individualist and collectivist cultures, respectively.
3. Related Work
There is limited work on the relationship between social-cognitive beliefs about exercise and willingness to use a fitness app, and the moderating effect of culture. We provide a review of the related work, in which physical activity and health app use are target behavioral constructs.
3.1. National Social-Cognitive Studies
A number of studies have examined the relationship between social-cognitive beliefs and target constructs related to health-app usage and physical-activity performance without considering the moderating effect of culture. Kim and Han [] investigated the determinants of continuance intention to use health apps among over 60-year-old Korean participants using a social-cognitive model. They found that health-technology self-efficacy, self-regulation, self-evaluative outcome expectation, and privacy risk had a significant effect on continuance intention to use health apps. However, the study was based on health apps in general (and not on a specific implemented app). Vinnikova et al. [] investigated the effect of social-cognitive, persuasive-strategy, and other constructs on fitness-app usage behavior among Chinese people. They found that social influence and self-efficacy had a significant effect on the target construct, with goal-setting acting as a mediator. Similarly, Par et al. [] found that self-efficacy and outcome expectation had a positive effect on intentions to continue using fitness app among South Korean college students. In the same vein, Gu et al. [] investigated the effect of social-cognitive constructs on the intention to use sports apps during COVID-19 pandemic among Chinese people. They found that perceived risk, self-efficacy, and social norms significantly influenced the intention to use sports apps. Romeo et al. [] examined, among Australian residents, social-cognitive constructs as possible mediators of behavior change in a smartphone-based social-networking physical-activity intervention. Their findings showed that social-cognitive constructs, such as self-efficacy, outcome expectation, and goal-setting, had no mediation effect between app-based interventions and change in physical activity. Oyibo et al. [] investigated the social-cognitive determinants of exercise among Canadian and American residents by administering to them videos of behavior models demonstrating how to perform bodyweight exercise correctly. We found that perceived self-efficacy had a stronger effect on perceived performance for men than for women. In contrast, perceived social support had a stronger effect for women than for men. However, we did not examine the influence of culture or the relationship between social-cognitive beliefs and fitness app use.
3.2. Cross-Cultural Social-Cognitive Studies
Few studies have investigated the role culture plays in the social-cognitive model of health-related behaviors. We provide an overview of related studies that examined the effect of culture on the relationship between social-cognitive beliefs and physical activity. Oyibo et al. [] conducted a survey to uncover the relationship between social-cognitive beliefs and physical activity and the moderating effect of culture. We found that perceived self-efficacy and self-regulation are the determinants of physical activity among Canadians, while social support and outcome expectation are the determinants among Nigerians. However, we did not implement an app to investigate the generalization of the significant relationships to fitness app use. Liu et al. [] investigated the social-cognitive determinants of physical activity among Chinese adolescents and the moderating effect of urbanization. They found that social support had a more significant impact on the physical activity of adolescents in suburban areas than that of those in urban areas, whereas self-regulation had a more significant impact on the physical activity of adolescents in urban areas than that of those in suburban areas. However, the study was not focused on fitness app use. Moreover, Oyibo et al. [] described a social-cognitive-model driven design and implementation of a fitness app, which comprises two versions (personal and social) tailored to users in individualist and collectivist cultures, respectively. However, we did not evaluate the app to understand the relationship between users’ social-cognitive beliefs and willingness to use each version of the app. Hence, the current study focuses on the evaluation of the fitness app by uncovering: (1) the relationship between potential users’ social-cognitive beliefs about exercise and their willingness to use the app to motivate their physical activity, and (2) the moderating effect of culture. The use of a fitness app (interface screenshot as a stimulus) in the study, unlike prior studies, has the potential to increase the social-cognitive beliefs of the respondents, e.g., given its perceived persuasiveness. In a prior study that featured virtual coaches (videos of behavior models demonstrating how to perform bodyweight exercise correctly) [,], we found a significant relationship between their perceived persuasiveness and respondents’ social-cognitive beliefs including outcome expectations and perceived self-regulation.
As seen in the review, there is limited work on the relationship between SCT constructs and willingness to use fitness apps []. Most of the prior social-cognitive studies (e.g., [,,,]) focused on physical activity, not fitness-app use, as a target construct. More importantly, those that focused on health-app usage, unlike the current research, did not administer a manipulated app interface to participants to elicit their social-cognitive beliefs and/or examine the moderating effect of culture. This paper aims to bridge these gaps by focusing on a fitness app (as a persuasive stimulus) and two different cultural groups from North America and West Africa.
4. Method
This section focuses on the research questions, app design, data collection, and research model.
4.1. Research Questions
Research shows that social-cognitive beliefs help drive behavior change [,]. Building on prior work, this paper aims to answer the following research questions:
- RQ1: Do key demographics characteristics such as culture, gender, age, household size, and physical activity level have an association with fitness app preference?
- RQ2: Does culture moderate the relationship between the social-cognitive beliefs about exercise and the willingness to use a fitness app?
- RQ3: Do demographic characteristics such as culture, gender, and physical activity level influence people’s social-cognitive beliefs about exercise?
4.2. App Design
To answer the research questions, we designed an empirical study (a pre-intervention survey) on the social-cognitive determinants of people’s willingness to use a fitness app called BEN’FIT, which comprises two app designs—personal version (PV) and social version (SV)—shown in Figure 2. A control version (CV) was also included in the study. However, it is excluded from this paper and data analysis as we are only concerned about the role culture plays in the willingness to use the personal vs. social version of a fitness app. The design of both app versions was informed by a prior study’s culture-specific social-cognitive determinants of physical activity [] (see Oyibo’s doctoral thesis [] for the description of the app design).
Figure 2.
Home screens of the personal and social version of the BEN’FIT app.
4.3. Data Collection
The study (Beh #1026) was approved by the Behavioral Ethics Review Board of the University of Saskatchewan. The recruitment of participants was in two steps. The first step focuses on the screening of participants, and the second step on the evaluation of the fitness app (Figure 2) by the selected respondents.
4.3.1. Study 1: Participants Screening
First, a survey was conducted on Amazon Mechanical Turk, LinkedIn, and Facebook to recruit participants for the intervention. In the recruitment, the participants were requested to provide their email and demographic information about themselves such as gender, race, country of origin, education, app-design preference. The question asked regarding app-design preference was “Do you prefer to use the fitness app alone or with a partner (say a friend or family member)?” The options included “Alone”, “With a partner”, and “Other”. In appreciation of their time, each participant from Canada/United States and Nigeria was remunerated with US $1.50 and a N200 Nigerian phone-credit card, respectively. A total of 202 participants expressed interest in evaluating the fitness app. Of these participants, 194 were eligible to participate in the evaluation of the fitness app: 116 were from Nigeria (collectivist culture) and 86 were from Canada/United States (individualist culture). The criteria for inclusion included: (1) identifying as a White Canadian/American resident in Canada/United States or as a Black Nigerian resident in Nigeria, and being at least 18 years old; (2) currently not going to the gym; (3) currently not using a fitness app.
4.3.2. Study 2: Social-Cognitive Model of Fitness App Use
This study focuses on recruiting participants for the fitness app intervention and understanding the relationships between social-cognitive beliefs about exercise and willingness to use a fitness app to motivate behavior change. Of the 194 eligible to take part in the field study, 185 were emailed a questionnaire, the information and link to take part in the second stage of the study. Out of the 185 participants emailed, 79 (49 collectivists and 30 individualists) completed the questionnaire containing a screenshot of PV or SV. Table 1 shows the demographics of the 79 valid participants, 30 of whom were Canadians/Americans and 49 were Nigerians. Of the 49 collectivist and 30 individualist participants, 22.45% and 30%, respectively, were highly active. Canada/America and Nigeria were conveniently chosen to represent the individualist and collectivist cultures, respectively (see Oyibo [] for the rationale behind the choice of the respective countries).
Table 1.
Demographics of the second study participants. PV: Personal Version, SV: Social Version, COL: Collectivist, IND: Individualist, High: ≥3000 MET-mins of physical activity.
The study adopted a 2 × 2 between-group experiment design, comprising two independent variables: app design and culture. The levels of app design included PV and SV, and the levels of culture included individualist (Canada/America) and collectivist (Nigeria). The dependent variables include the social-cognitive beliefs and willingness to use the fitness app. One of the two app designs was randomly assigned to each study participant. In other words, each participant only saw and responded to one app design by completing the social-cognitive questionnaire shown in Table 2, most of which were adapted from [,,,]. Particularly, the willingness to use a fitness app item was informed by Wenz et al.’s [] question on willingness to use mobile technologies. Although measured using a single item, the reliability of the target construct is comparable to that of a multi-item construct [,].
Table 2.
Measurement instruments.
4.4. Research Model and Hypotheses
Figure 3 shows the research model for the second study: an instantiation of the Triad of Reciprocal Determinism in the physical-activity context. Based on a prior social-cognitive model of physical activity [], the model depicts the interrelationships among six social-cognitive constructs representing the three overarching components in the triad: personal, environment, and behavior. The personal factors include cognitive constructs such as self-efficacy, self-regulation, and outcome expectation, while the environmental factors include social support and app design. We hypothesize that each of these cognitive and environmental factors can influence the willingness to use a fitness app. Each of the relationships indicates the higher the self-reported score of the social-cognitive belief in question, the more likely people will be willing to use a fitness app. For example, regarding H13, the higher people’s perceived self-efficacy, the more likely they will be willing to use the fitness app to motivate their behavior change. Regarding the app-design relationship, the hypotheses are that: (1) in the collectivist model, participants who evaluated the SV design are more likely to report higher social-cognitive beliefs; and (2) in the individualist model, participants who evaluated the PV design are more likely to report higher social-cognitive beliefs. Both sets of hypotheses were based on prior studies that found that personal and social app designs are more likely to be effective in motivating behavior change in individualist and collectivist cultures, respectively [].
Figure 3.
Hypothesized social-cognitive model of the willingness to use a fitness app) [].
4.5. Data Analysis
The data analyses, corresponding to the three research questions (RQ1, RQ2, and RQ3), include Chi-square test, structural equation modeling (SEM), and analysis of variance (ANOVA), respectively. To address RQ1, Chi-square tests were used to analyze the data of the first study to uncover the associations between various cross-classified demographic groups and fitness app (version) preference. The Chi-square tests were based on the ggstatsplot package in R []. To address RQ2, the SEM method was used to analyze the data of the second study. The SEM is a statistical technique used to uncover and explain the relationships between multiple variables simultaneously through visualization and model validation []. Particularly, we used the PLS path modeling (PLSPM) variant of SEM—a soft approach to SEM that does not rely heavily on distributional assumptions and a large sample size []—and R’s plspm package [] to analyze the data. PLSPM is widely used in information systems, management, and marketing research [,]. Moreover, to address RQ3, the Aligned Rank Transform for Non-parametric Factorial Analyses [] from R’s ARTool package [] was used to analyze the data of the second study to uncover the significant differences between the mean scores of the culture-specific social-cognitive beliefs about exercise and willingness to use a fitness app.
5. Results
In this section, we present the Chi-square test, PLSPM, and ANOVA results of the two studies.
5.1. Chi-Square Test
Figure 4 shows the Chi-square tests on the relationship between app version and culture [, ], culture-gender [], culture-age [], and culture-education [] cross-classified groups are significant. Unlike within the collectivist groups, within the respective individualist groups, there is a significant difference between the preferences for the personal and social versions (), with the percentage of the personal group being greater.
Figure 4.
Distribution of culture-, gender-, age-, and education-based cross-classified groups that preferred to use a fitness app alone or with a partner. COL: Collectivist, IND: Individualist. Effect size: : weak association, : moderately strong association, and : strong association. NG: non-graduate degree holders, GR: graduate degree holders, PG: postgraduate degree holders.
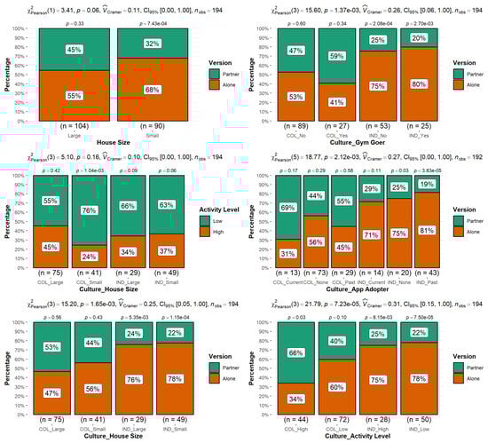
Moreover, Figure 5 shows the results of the Chi-square tests of the relationships between app version or PAL and other culture-based cross-classified groups. The relationships between app version and culture-dependent gym-going status [], adoption status [], household size [], and PAL [] are significant. Overall, within the individualist groups, there is a significant difference between the preferences for the personal and social versions (), but there is none within the collectivist group. The only exception is that for the relationship between culture and household size ([, ], not shown in the bar charts), within the collectivist group, the number of participants in a household with a large size (65%) is significantly higher than the number in a small-size household (35%) at , but the reverse is the case for the individualist group (37% vs. 63%, respectively) at .
Figure 5.
Distribution of gym-going, fitness-app-using, physically-active, and large/small-family-size cross-classified groups that preferred to use a fitness app alone or with a partner. COL: Collectivist, IND: Individualist. High: ≥3000 MET-mins of physical activity, Large: ≥4 person household. Effect size: : weak association, : moderately strong association, and : strong association.
5.2. Partial Least Square Path Modeling
The PLSPM comprises two types of analytical models: measurement and structural. The measurement model helps in the evaluation of constructs and their indicators to ensure the preconditions for analyzing the structural model are met. The structural model focuses on analyzing the statistical significance of the relationship between constructs and the variance of the endogenous constructs explained by their exogenous constructs []. In the second study, the items used in measuring the constructs in the measurement models are reflective indicators. This means that each construct (latent variable) in the measurement models causes or reflects the items or indicators that measure it. Reflective indicators are expected to be highly correlated with one another.
Prior to analyzing the structural models, four preconditions (outer loading, internal consistency reliability, convergent validity, and discriminant validity) were evaluated [,]. The preconditions include: (1) the outer loading of indicators on their respective constructs and their internal consistency should be equal to or greater than 0.7; (2) construct convergent validity (average variance of the construct explained by its indicators) should be equal to or greater than 0.5; and (3) construct discriminant validity should be satisfied (i.e., no indicator should load higher on any other construct than the construct it measures). The results of the measurement model evaluation are presented in the Appendix (Table A1, Table A2 and Table A3) and summarized in Table 3. Overall, the four preconditions were met. For example, the outer loading requirement (≥0.7) was met for all of the indicators, except for a few that were kept to achieve content validity. In exploratory studies, outer loading values ≥ 0.4 are considered acceptable [,].
Table 3.
Results of the evaluation of measurement models [].
5.2.1. Analysis of Structural Models
Figure 6 and Figure 7 show the social-cognitive models for the collectivist and individualist groups, respectively. Both models comprise the significant and non-significant relationships between the predicting constructs and the target construct (willingness to use the app). The value over each arrow represents the path coefficient (). It indicates the strength of the relationship between each exogenous construct (where the arrow originates) and its corresponding endogenous construct (where the arrow terminates). The significance levels of the path coefficients, ranging between and , were based on 1000 bootstrap samples. The value for each endogenous construct represents the coefficient of determination, i.e., the amount of variance of the construct accounted for by the predictors. Finally, GOF (goodness of fit) characterizes how well the model fits its data. The predictors of the collectivist model has a GOF of 50% and accounts for 42% of participants’ willingness to use the app, with outcome expectation () being significant. Similarly, the predictors of the individualist model has a GOF of 52% and accounts for 60% of participants’ willingness to use the app, with self-efficacy () and self-regulation () being significant. It turned out that social support has a negative significant effect on physical activity (), but a positive significant effect on self-efficacy ().
Figure 6.
Collectivist social-cognitive model of willingness to use a fitness app. Regarding app design, Personal Version (PV) and Social Version (SV) are coded 0 and 1, respectively. The solid arrow denotes a path coefficient ≥ 0.2, which represents a strong relationship [].
Figure 7.
Individualist social-cognitive model of willingness to use a fitness app. Regarding app design, Personal Version (PV) and Social Version (SV) are coded 0 and 1, respectively. The solid arrow denotes a path coefficient ≥ 0.2, which represents a strong relationship [].
- Total Effect: Figure 8 shows the total effect of each predictor on willingness to use the app. In the collectivist model, outcome expectation has the strongest total effect on the target construct (), followed by social support (). However, in the individualist model, self-efficacy () has the strongest total effect on the target construct, followed by self-regulation (), and outcome expectation that is non-significant ().
Figure 8. Total effect of social-cognitive beliefs about exercise on willingness to use a fitness app. COL: Collectivist, IND: Individualist, * , *** , n.s: non-significance; regarding app design, Personal Version (PV) and Social Version (SV) are coded 0 and 1, respectively.
- Effect Size: To uncover the magnitude of the effect of the predictors on willingness to use the app for the cultural groups, we conducted an effect-size analysis using Equation (1) and following the guideline described in Hair et al. []. While the significance test, which depends on sample size, indicates how confident we are that there is a relationship between two constructs, the effect size, independent of sample size, indicates the magnitude or strength of the relationship. Table 4 shows the effect size () of each predictor on willingness to use the app. In the collectivist model, outcome expectation has a near large effect size on the target construct (f2 ), followed by social support () which is weak and non-significant. However, in the individualist model, self-regulation (f2 ) has a large effect size on the target construct, self-efficacy a near large effect size (f2 ) and social support a near medium effect size (f2 ).
Table 4. Effect size of predicting constructs on willingness to use app. = 0.02: small, = 0.15: medium, = 0.35: large []. and are the coefficients of determination when the predicting construct is included and excluded from the SCT model, respectively. The bold effect sizes are those of constructs with significant effect on Willingness to Use.
5.2.2. Multigroup Analysis
Table 5 shows the multigroup analysis aimed to uncover the relationships in which the collectivist and individualist groups significantly differ. As shown, both cultural groups significantly or marginally differ in five relationships. The relationship in which they differ the most is between social support and willingness to use the app (), followed by that between self-efficacy and willingness to use the app (), app design and self-efficacy (), and app design and self-regulation (). It is also worthy of note that both cultural groups marginally differ regarding the relationship between self-regulation and willingness to use the app ()
Table 5.
Multigroup analysis showing the relationships in which the collectivist (COL) and individualist (IND) groups significantly differ. The rows in bold indicate the relationships in which the two groups significantly differ () or marginally differ (). * , *** .
5.3. Analysis of Variance
The results of a 5-way repeated-measure ANOVA based on culture, gender, PAL, app design (or version), and social-cognitive beliefs showed that there is a marginal main effect of PAL , with those with high PAL having higher overall social-cognitive beliefs (M = 80.93%) than those with low PAL (M = 76.71%). The results also showed there is an interaction between gender and app design , gender and culture , and culture and social-cognitive beliefs , .
Table 6 shows the results of the further one-way ANOVA at each level of culture and social-cognitive belief. As shown, there is a culture effect regarding self-efficacy [ = 3.80, ] and a social-cognitive-belief effect within the collectivist group []. Regarding the latter effect, Friedman pairwise comparisons, with Bonferroni correction, showed that there is a significant difference between self-efficacy, on one hand, and self-regulation (), outcome expectation (), and social support (), on the other hand. There is also a significant difference between social support and self-regulation (). Table 7 shows the results of the further one-way ANOVA at each level of culture and gender. As shown, there is a gender effect within the individualist group [ = 4.46, ] and a culture effect within the female group [ = 4.35, ]. Table 8 shows the results of the further one-way ANOVA at each level of app design and gender. As shown, there is a marginal effect of app design within the male group [ = 3.48, ]. Finally, regarding willingness to use the fitness app, the result of a 3-way ANOVA based on culture, PAL, and app design showed that there is neither a main nor interaction effect of the three factors on the social-cognitive beliefs (Table 9).
Table 6.
Further one-way analysis of variance at each level of culture and social-cognitive belief (SCB). The mean values of the beliefs were transformed to a 0–100% scale. COL: Collectivist, IND: Individualist, SE: Self-Efficacy, SR: Self-Regulation, SS: Social Support, OE: Outcome Expectation.
Table 7.
Further one-way analysis of variance at each level of culture and gender.
Table 8.
Further one-way analysis of variance at each level of gender and app design. PV: Personal Version, SV: Social Version.
Table 9.
Mean scores of the willingness to use the fitness app construct (transformed to a 0–100% scale). PV: Personal Version, SV: Social Version.
5.4. Comparison of Current with Prior Findings
To uncover how the current results are similar or different from prior ones, we compared the former with the results of our prior social-cognitive study [], with physical activity as the target construct. Figure 9 shows the total-effect effect results of both studies. As shown, both the prior and current are similar. For the collectivist group, social support and outcome expectation have a significant total effect on the target construct. However, for the individualist model, self-efficacy and and self-regulation have a significant total effect on the target construct. Figure 10 shows the results of the mean scores of the four social-cognitive beliefs for both current and prior studies. Overall, regardless of culture, the mean scores of social support, self-regulation, and self-efficacy are higher in the current study than in the prior study. Moreover, regardless of study, the self-efficacy of the individualist group is higher, while the self-regulation of the collectivist group is higher. That said, there was no way for us to know whether the culture-specific numerical difference for each belief between studies was statistically significant as the study samples were different.
Figure 9.
Total effect of social-cognitive beliefs on physical activity (prior study—left) and willingness to use a fitness app (current study—right). * , ** , *** , n.s: non-significance.
Figure 10.
Social-cognitive beliefs about exercise (prior study—left) and exercise using a fitness app (current study—right).
6. Discussion
We have presented the results of the Chi-square tests on the association between culture-specific demographic groups and app version preference, social-cognitive models of users’ willingness to use a fitness app, and ANOVA of the social-cognitive-belief constructs in the models. We discuss each of these findings.
6.1. Association between Demographic Variables and Activity Level, and App Version Preference
Regarding the first research question, Figure 4 show that there is an association between the culture-based cross-classified groups and app version preference. Overall, the individualist group (Canadians/Americans) was three times likely to use the personal version of the app (77%) as the social version (23%). On the other hand, the collectivist group (Nigerians) was equally likely to use the personal as the social version. The findings for both cultural groups cut across gender as shown in Figure 4 (top-right). The culture-specific findings, as shown in the bottom row of the chart, also cut across age groups (young, middle-age, and old) and education (non-degree, degree, and postgraduate-degree holders). Moreover, the culture-specific findings cut across, large and small households, gym and non-gym goers as well as none, current, and past adopters of fitness apps (Figure 5). More importantly, unlike the individualist group in which a higher percentage of the highly active preferred the personal version of the fitness app (75%), in the collectivist group, a higher percentage of the highly active (66%) preferred the social version (bottom-right bar chart). In conclusion, based on the middle-left and bottom-left bar charts of Figure 5, in the individualist group, neither the preference for the social or personal version of the fitness app nor the physical activity level of people does depend on the household size. However, in the collectivist group, people in large households are more likely to be active and use the social version of the fitness app than those in small households. The finding suggests that, in a collectivist culture such as Nigeria, mutual social support (including peer-to-peer encouragement and motivation) and participation in socially oriented physical activities (e.g., indoors and outdoors), are more likely in large households than in small households. Moreover, it is in line with prior findings. For example, in a Norwegian study [], it was found that young people living in a single-parent household were less likely to engage in physical activity such as organized sports. Similarly, it was found among Sub-Saharan African children that increasing household size is negatively associated with obesity/overweight among preschoolers [].
6.2. Social-Cognitive Model of Fitness App Adoption
Figure 6 and Figure 7 show the social-cognitive models of willingness to use a fitness app for the two cultural groups: collectivist (Nigerians) and individualist (Canadians/Americans). The GOF of the models, regardless of culture, is ≥50. This value is classified as large, indicating the respective models fit their data well given that their GOF is ≥0.36 []. Moreover, the value for willingness to use a fitness app is ≥40%, with that of the individualist model (60%) being greater than that of the collectivist model (42%). In the PLSPM community, values less than 0.30, between 0.30 and 0.60 and above 0.60 are regarded as low, moderate and high, respectively []. Hence, the amount of variance of the target construct explained by the predictors is moderate for the collectivist model and high for the individualist model, indicating that the participants in the individualist group were more homogeneous than the collectivist group. A few of the hypotheses in the research model are supported. In the collectivist model, four of the hypotheses (H1, H4, H11, and H15) are validated. Similarly, in the individualist model, three of the hypotheses (H4, H12, and H13) are validated. Whereas the first hypothesis suggests that social fitness apps are like to enhance the self-efficacy of collectivist users, the negative relationship between app version and self-efficacy is non-significant in the individualist model. The non-significance of the said relationship in the individualist model calls for further studies with a larger sample size. That said, the fourth hypothesis suggests that, regardless of culture, the higher the social support received by users offline, the higher will be their self-efficacy to perform exercise with the aid of a fitness app. Moreover, the validation of the eleventh and fifteenth hypotheses in the collectivist model indicates the importance of outcome expectation among this group with regard to self-regulation and adoption of a fitness app, respectively. In contrast, in the individualist model, the validation of the twelfth and thirteen hypotheses indicate the importance of self-regulation and self-efficacy, respectively, in the adoption of a fitness app aimed to promote regular exercise. Hence, as shown in the total-effect results (Figure 8), self-efficacy and self-regulation are the most important determinants of fitness app adoption among individualist users, while social support and outcome expectation are the most important determinants of fitness app adoption among collectivist users.
6.2.1. Comparison of Current with Prior Findings
The culture-specific total-effect findings regarding willingness to use a fitness app, to a great extent, replicate those of prior findings regarding physical activity (Figure 9). Regarding the collectivist group, in the previous study, just like in the current study, outcome expectation and social support have the strongest and only total effects on physical activity. Taking both sets of findings into consideration, we can conclude that the higher the outcome expectation and social support of people from collectivist cultures such as Nigeria, the more likely they are to engage in exercise and adopt a fitness app to support their behavior change. Similarly, among the individualist group (Figure 7), in both the current and prior studies, self-efficacy and self-regulation have the strongest and only total effects on the target construct. Hence, we can conclude that the higher the perceived self-efficacy and self-regulation of people from individualist culture such as Canada, the more likely they are to engage in exercise and adopt a fitness app to support their behavior change.
The conclusion regarding the collectivist group in the current and prior studies is in line with the collectivist worldview of people from West African countries (e.g., Nigeria) [] as Hofstede [,] found in his research. Similarly, the conclusion regarding the individualist group in both studies is in line with the individualist worldview of people from Western countries (e.g., Canada and America). For example, in the individualist model (Table 4), we find that self-regulation and self-efficacy beliefs have a medium and large effect size, respectively, on willingness to use the fitness app, whereas social support has a non-significant weak effect size. This is an indication of the role self-efficacy and self-regulation play in behavior change in individualist cultures. The importance of self-efficacy in individualist cultures is also evident in the between-group comparisons for both studies shown in Figure 10 (cf. Table 6 and []). As shown in the prior study [], the perceived self-efficacy of the individualist participants () is significantly higher than that of the collectivist participants () at . Similarly, in the current study, the perceived self-efficacy of the individualist participants () is significantly higher, marginally, than that of the collectivist participants () at . This approximately 10% significant difference in self-efficacy belief (the highest among the four constructs) in both studies suggests that the individualist group had a significantly higher amount of confidence in their ability to exercise, especially using a fitness app, than the collectivist group.
Finally, it is interesting to find in Figure 10 that, aside from outcome expectation, the other three constructs (self-efficacy, self-regulation, and social-support) are substantially and consistently higher for the current study than for the prior study, with the pairwise differences ranging from 20% to 40%. A plausible explanation for the large pairwise differences between both studies is the involvement of a fitness app in the current study, which has the potential to increase users’ self-efficacy, self-regulation, and social support in a real-life context []. For example, in the current study, the self-efficacy question was introduced by the statement “How confident are you that you can perform bodyweight exercise [regularly] at home for the next one month with the aid of the fitness app even…” In contrast, in the prior study, it was introduced thus “How confident are you right now that you can exercise three times per week for 20 min if…” (p. 315) []. Another plausible explanation is the difference in the frequency/duration of the exercise between both questions: “three times per week for 20 min” (prior study) vs. “exercise [regularly] at home for the next one month” (current study). While we cannot specifically account for the the large pairwise differences within each cultural group, the higher percentages of social-cognitive beliefs in the current study are an indication that persuasive technologies such as fitness apps have the potential to motivate physical activity by increasing (1) self-efficacy: belief in one’s ability to engage in exercise, (2) self-regulation, e.g., goal-setting and self-monitoring, and (3) social support, e.g., collaborating with friends and family via the fitness app.
6.2.2. Moderating Effect of Culture on the Social-Cognitive Relationships
Regarding the second research question, the answer is “Yes, culture moderates the relationship between the social-cognitive beliefs about exercise and the willingness to use a fitness app”. As shown in the multigroup analysis (Table 5), there are five significant differences, one of which is marginal, between the two cultural groups. First, the cultural difference regarding the relationship between app design and perceived self-efficacy is significant (). Similarly, that regarding app design and perceived self-regulation is significant. These significant differences confirm the finding that social and personal fitness apps are more likely to be effective in increasing self-efficacy among collectivist and individualist users, respectively. However, there is a need for further research with a larger sample size to confirm the finding. Second, the cultural difference regarding the relationship between perceived social support and willingness to use the app is significant (), with the path coefficient for the collectivist group being positive () and that for the individualist group being negative (). Although the relationship is not significant in the collectivist model, possibly due to the small sample size, its magnitude () and positive value indicate that social support is more likely to be a motivator of fitness app use for the collectivist group. In contrast, for the individualist group, given the negative direct effect, social support tends to be a demotivator. The negative effect of perceived social support in the individualist model may stem from the privacy concerns of Canadians and Americans. As found in [], people from Western cultures such as Canadians are less likely to use the social features of a fitness app for a number of reasons including: (1) they view exercise as an individual or personal activity; (2) they do not want their goal or progress to be dependent on another’s; and (3) they do not want to share their health data with others. Third, the cultural difference regarding the relationship between perceived self-efficacy and willingness to use the app is significant (), with the path coefficient for the individualist group being significant () and that for the collectivist group being non-significant (). Similarly, the cultural difference regarding the relationship between perceived self-regulation and willingness to use the app is marginally significant (), with the path coefficient for the individualist group being significant () and that for the collectivist group non-significant (). The significant differences between both cultural groups regarding both relationships confirm prior findings that self-efficacy and self-regulation are a significant predictors of physical activity in the individualist model, but not in the collectivist model [], as seen in the total effects (Figure 8).
Moreover, in the collectivist model (Figure 6), the positive relationships between app design and perceived self-efficacy, self-regulation, and willingness to use the fitness app—although the latter two are non-significant—suggest that the social version of the app (SV) is more likely to increase the self-efficacy, self-regulation and willingness of the collectivist users to use the fitness app. This may partly account for why 50% of the collectivist participants (Figure 4) opted for the SV version, compared with only 23% in the individualist group. On the other hand, in the individualist model (Figure 7), the corresponding non-significant negative relationships suggest that the personal version of the app (PV) is more likely to increase the self-efficacy and self-regulation of the individualist users. This finding is in line with the app preference of the individualist participants, which is 77% for the PV version and 23% for the SV version (Figure 4). The takeaway of these findings is that the PV and SV versions are more likely to be effective in motivating behavior change in the individualist and collectivist cultures, respectively.
6.3. Effect of Gender and Physical Activity Level on Social-Cognitive Beliefs about Exercise
Regarding the third research question, the ANOVA results show that there is an interaction between gender and culture (Table 7). Within the collectivist group, there is no significant difference between males and females; however, there is a gender effect within the individualist group, with females (82.05%) having higher social-cognitive beliefs about exercise than males (75.79%). In the same vein, among males, there is no significant difference between the collectivist and individualist groups; however, among the female group, there is a culture effect, with individualist females having higher social-cognitive beliefs (82.05%) than collectivist females (76.24%). Overall, individualist females had higher social-cognitive than collectivist females and individualist males as shown in Table 7. A plausible explanation for the finding, particularly in individualist cultures, is that females are more concerned about their body image than males [] and, as a result, more likely to have higher social-cognitive beliefs about exercise to improve their physique and perceived body image. Moreover, the results show that those with high PAL had higher overall social-cognitive beliefs (M = 80.93%) than those with low PAL (M = 76.71%). While the finding is not far-fetched, the group difference is marginally significant, thereby calling for further investigations.
6.4. Implications
The current findings replicate prior findings of studies [] conducted in a different context and three years earlier. The replication increases the external validity of the culture-specific social-cognitive models and reinforces the individualism-collectivism dimension proposed by Hofstede’s [] in his 1978-to-1983 cross-cultural studies involving hundreds of IBM employees in 53 countries. In his studies, Hofstede found that individualist people are independent in nature, while collectivist people are interdependent []. These characterizations are supported by our current and prior findings: personal beliefs such as self-efficacy and self-regulation are the strongest determinants of physical activity and fitness app use among the individualist group, while social support, coupled with outcome expectation, is the strongest determinant of the target behavior among the collectivist group. The implications of these findings in persuasive design include: (1) personal strategies such as goal-setting and self-monitoring should be fostered among individualist users from Western countries; and (2) social strategies such as cooperation, social comparison, and social learning [], coupled with social role in which the health benefits of physical activity are communicated by an authority figure, should be fostered among collectivist users from West African countries. Cooperation, social comparison, and social learning can be regarded as horizontal collectivist persuasive strategies, while social role involving authority figures as a vertical collectivist persuasive strategy. Horizontal collectivism describes the tendency of an individual to see themselves as similar to others and pursue common goals. Vertical collectivism, on the other hand, describes the tendency of an individual to be loyal to the authority figures in their in-group [,]. Prior studies (e.g., []) found that people in collectivist cultures are more likely to be influenced by those in positions of authority. Hence, virtual coaches in fitness apps, playing the social role of health experts, can make exercise suggestions and recommendations to collectivist users as well as emphasize the health benefits of exercise. Hence, for the collectivist group, we proposed social role played by health experts such as nurses and doctors as an operationalization of outcome expectation in fitness apps. These combined persuasive strategies (social role and suggestion), drawn from the PSD model [], can be effective among collectivist people given that prior research found that they are more likely to respond positively to Authority [] and Suggestion [] strategies than individualist people.
6.5. Limitations
Our study has three main limitations. The first and foremost limitation is that the sample size is small for each cultural group. This threatens the generalizability of our findings to the wider population of interest (Nigerians, Canadians/Americans). Hence, we recommend that large-scale studies be conducted in the future to test the replication and generalizability of our findings. The second limitation is that we only have two American participants in our individualist group. This limits the generalizability of our finding to the American population. Hence, we suggest that researchers be cautious of this limitation when interpreting our findings or citing our work. The third limitation is the wording of the question regarding app-design preference in the preselection-of-participants study. We acknowledge that participants might have misinterpreted the question “Do you prefer to use the fitness app alone or with a partner (say a friend or family member)?” differently due to lack of clarification. For example, some might have taken it to mean using the app simultaneously with another person with whom they share and compare their physical-activity performance information [our intended meaning], sharing their results with friends and family members outside the app, or sharing the same smartphone running the app. Future work should aim at addressing the lack of clarity and clarification in posing the question to prevent misunderstanding and misinterpretation.
6.6. Contributions
Our work makes five significant contributions to knowledge. First, our work is the first to carry out a cross-cultural comparative analysis of the social-cognitive model of the willingness to use a fitness app by considering two distinct societies: Canada/America classified as individualist culture and Nigeria classified as collectivist culture. Second, the culture-specific results, to a great degree, replicate prior findings on the social-cognitive model of physical activity for both cultural groups []. The replication of the prior findings, especially in a different context and year far apart from the first study, and among different participants, confirms and consolidates the earlier findings that: (1) personal fitness apps are more likely to be effective among individualist people due to their individualist worldview, and (2) social fitness apps are more likely to be effective among collectivist people due to their collectivist worldview []. Third, our work builds on our prior social-cognitive-model research involving stimuli [] and not involving stimuli []. It suggests that persuasive stimuli can increase respondents’ social-cognitive-beliefs about exercise. Our current study demonstrated, through the relatively higher social-cognitive-belief averages (Figure 10), compared with the corresponding lower averages from our earlier stimulus-less [] study, that persuasive technologies such as fitness apps have the potential to enhance users’ self-efficacy, self-regulation, and social support. Nevertheless, this hypothesis needs to be further investigated in future work. Fourth, we showed how cross-classified demographic groups based on culture, household size, physical activity level, and app adoption status are associated with fitness app version preference. Fifth, we found individualist females had higher overall social-cognitive beliefs than individualist males and collectivist females. The last two contributions are novel, as they were not previously published in the doctoral thesis on which some of the presented results are based.
7. Conclusions
In this paper, we presented the social-cognitive model of the willingness to use a fitness app and the moderating effect of culture. We found that, among the collectivist group, social support and outcome expectation are the most important and only significant determinants of people’s willingness to use a fitness app to motivate their exercise. However, among the individualist group, perceived self-efficacy and self-regulation are the most important and only significant determinants of people’s willingness to use a fitness app to motivate their exercise. These findings suggest that: (1) people from collectivist cultures such as Nigeria are more likely to use a socially oriented fitness app that allows the users to motivate one another by working together and tracking their individual and collective progress; and (2) people from individualist cultures such as Canada and America are more likely to use a personal fitness app that does not allow collaboration and sharing of one’s information with others. In future work, we look forward to analyzing the qualitative feedback provided by participants on the personal and social app designs and triangulating the results with the current quantitative findings. Moreover, we plan to extend the current study to people from other collectivist and individualist countries than Nigeria and Canada/America, respectively.
Author Contributions
Conceptualization, K.O.; methodology, K.O.; investigation, K.O.; data curation, K.O.; writing—original draft preparation, K.O.; writing—review and editing, K.O. and J.V.; visualization, K.O.; supervision, J.V.; project administration, K.O.; funding acquisition, J.V. All authors have read and agreed to the published version of the manuscript.
Funding
This research was funded by the Natural Sciences and Engineering Research Council of Canada (NSERC) Discovery Grant (RGPIN-2016-05762) of the second author.
Institutional Review Board Statement
The study was conducted in accordance with the Declaration of Helsinki, and approved by the Institutional Review Board (or Ethics Committee) of University of Saskatchewan.
Informed Consent Statement
Informed consent was obtained from all subjects involved in the study.
Data Availability Statement
The datasets presented in this article are not readily available because ethic considerations require that the data be not shared publicly.
Acknowledgments
Some parts of this paper are excerpts from the first author’s PhD dissertation. We would like to thank Abdul-Hammid Olagunju and Babatunde Olabenjo of the University of Saskatchewan for their support in the design and development of the fitness app.
Conflicts of Interest
The authors declare no conflicts of interest. The funders had no role in the design of the study; in the collection, analyses, or interpretation of data; in the writing of the manuscript, or in the decision to publish the results.
Abbreviations
The following abbreviations are used in this manuscript:
| ANOVA | Analysis of Variance |
| CV | Control Version |
| ES | Effect Size |
| GOF | Goodness of Fit |
| PV | Personal Version |
| NCD | Non-Communicable Disease |
| PAL | Physical Activity Level |
| PLSPM | Partial Least Square Path Modeling |
| PSD | Persuasive System Design |
| PT | Persuasive Technology |
| RQ | Research Question |
| R2 | Coefficient of Determination |
| SCB | Social-Cognitive Belief |
| SCT | Social-Cognitive Theory |
| SV | Social Version |
| SEM | Structural Equation Modeling |
| WHO | World Health Organization |
| WTU | Willingness to Use App |
Appendix A
Table A1.
Collectivist model’s outer loadings and crossloadings. The bolded values are the outer loadings of the items on the constructs that they measured. BLK: Block, DES: App Design, SS: Social Support, SE: Self-Efficacy, SR: Self-Regulation, OE: Outcome Expectation, POE: Physical OE, SOE: Social OE, WTU: Willingness to Use App.
Table A1.
Collectivist model’s outer loadings and crossloadings. The bolded values are the outer loadings of the items on the constructs that they measured. BLK: Block, DES: App Design, SS: Social Support, SE: Self-Efficacy, SR: Self-Regulation, OE: Outcome Expectation, POE: Physical OE, SOE: Social OE, WTU: Willingness to Use App.
| Construct Item | BLK | DES | SS | SE | OE | POE | SOE | SR | WTU |
|---|---|---|---|---|---|---|---|---|---|
| App Design | DES | 1.00 | 0.03 | 0.24 | 0.17 | 0.13 | |||
| Family and friends gave you encouragement to stick to your exercise program | SS | 0.92 | 0.57 | 0.30 | 0.32 | 0.06 | 0.28 | 0.33 | |
| Family and friends exercised with you | SS | 0.15 | 0.77 | 0.55 | 0.18 | 0.19 | 0.04 | 0.21 | 0.31 |
| Family and friends helped plan activities around your exercise schedule | SS | 0.03 | 0.90 | 0.45 | 0.30 | 0.29 | 0.14 | 0.21 | 0.36 |
| Family and friends offered to exercise with you | SS | −0.02 | 0.81 | 0.42 | 0.04 | 0.09 | −0.08 | 0.04 | 0.32 |
| Family and friends gave you helpful reminders to exercise | SS | 0.03 | 0.94 | 0.58 | 0.43 | 0.44 | 0.15 | 0.35 | 0.50 |
| Exercise regularly when you are busy | SE | 0.25 | 0.44 | 0.90 | 0.34 | 0.36 | 0.09 | 0.39 | 0.35 |
| Exercise regularly when you feel depressed | SE | 0.21 | 0.59 | 0.93 | 0.28 | 0.35 | −0.01 | 0.42 | 0.35 |
| Exercise regularly when you feel tense | SE | 0.26 | 0.64 | 0.95 | 0.3 | 0.38 | −0.05 | 0.39 | 0.39 |
| Exercise regularly when you are tired | SE | 0.28 | 0.37 | 0.87 | 0.32 | 0.33 | 0.11 | 0.27 | 0.29 |
| Exercise regularly when you have worries and problems | SE | 0.11 | 0.67 | 0.90 | 0.30 | 0.37 | 0.00 | 0.30 | 0.43 |
| Physical OE Second Order Indicator | OE | 0.34 | 0.39 | 0.90 | 1.00 | 0.17 | 0.57 | 0.60 | |
| Social OE Second Order Indicator | OE | 0.09 | 0.02 | 0.57 | 0.17 | 1.00 | 0.11 | 0.08 | |
| Bodyweight exercise improves my ability to perform daily activities | POE | −0.03 | 0.17 | 0.32 | 0.74 | 0.83 | 0.13 | 0.45 | 0.54 |
| Bodyweight exercise improves my overall body functioning | POE | 0.31 | 0.41 | 0.71 | 0.83 | 0.06 | 0.56 | 0.43 | |
| Bodyweight exercise improves the functioning of my cardiovascular system | POE | −0.20 | 0.26 | 0.22 | 0.55 | 0.60 | 0.05 | 0.25 | 0.37 |
| Bodyweight exercise increases my muscle strength | POE | −0.09 | 0.35 | 0.29 | 0.80 | 0.85 | 0.20 | 0.56 | 0.57 |
| Bodyweight exercise strengthens my bones | POE | 0.01 | 0.12 | 0.19 | 0.52 | 0.55 | 0.19 | 0.23 | 0.29 |
| Bodyweight exercise makes me more at ease with people | SOE | −0.19 | 0.06 | 0.03 | 0.54 | 0.16 | 0.94 | 0.10 | 0.09 |
| Bodyweight exercise increases my acceptance by others | SOE | −0.21 | 0.08 | −0.12 | 0.46 | 0.10 | 0.87 | 0.10 | 0.09 |
| Bodyweight exercise improves my social standing | SOE | −0.07 | 0.10 | 0.14 | 0.51 | 0.19 | 0.83 | 0.10 | 0.04 |
| I will endeavor to achieve the set goal for myself | SR | 0.23 | 0.20 | 0.34 | 0.48 | 0.50 | 0.15 | 0.85 | 0.46 |
| I will develop a series of steps to reach my weekly goal | SR | −0.10 | 0.13 | 0.18 | 0.41 | 0.38 | 0.22 | 0.62 | 0.14 |
| I will set a goal | SR | 0.18 | 0.31 | 0.39 | 0.44 | 0.49 | 0.06 | 0.83 | 0.43 |
| I will keep track of my progress in meeting my goal | SR | 0.10 | 0.20 | 0.25 | 0.31 | 0.39 | −0.02 | 0.80 | 0.39 |
| I will use the app to motivate my exercise | WTU | 0.13 | 0.43 | 0.40 | 0.54 | 0.60 | 0.08 | 0.49 | 1.00 |
Table A2.
Individualist model’s outer loadings and crossloadings. The bolded values are the outer loadings of the items on the constructs that they measured. BLK: Block, DES: App Design, SS; Social Support, SE: Self-Efficacy, SR: Self-Regulation, OE: Outcome Expectation, POE: Physical OE, SOE: Social OE, WTU: Willingness to Use App.
Table A2.
Individualist model’s outer loadings and crossloadings. The bolded values are the outer loadings of the items on the constructs that they measured. BLK: Block, DES: App Design, SS; Social Support, SE: Self-Efficacy, SR: Self-Regulation, OE: Outcome Expectation, POE: Physical OE, SOE: Social OE, WTU: Willingness to Use App.
| Construct Item | BLK | DES | SS | SE | OE | POE | SOE | SR | WTU |
|---|---|---|---|---|---|---|---|---|---|
| App Design | DES | 1.00 | 0.10 | 0.01 | 0.12 | ||||
| Family and friends gave you encouragement to stick to your exercise program | SS | 0.06 | 0.85 | 0.68 | 0.11 | 0.18 | 0.20 | 0.13 | |
| Family and friends exercised with you | SS | 0.08 | 0.84 | 0.48 | 0.19 | 0.23 | 0.00 | 0.02 | |
| Family and friends helped plan activities around your exercise schedule | SS | 0.05 | 0.83 | 0.54 | 0.30 | 0.30 | 0.13 | 0.23 | 0.15 |
| Family and friends offered to exercise with you | SS | 0.10 | 0.88 | 0.48 | 0.12 | 0.18 | 0.09 | ||
| Family and friends gave you helpful reminders to exercise | SS | 0.13 | 0.89 | 0.66 | 0.17 | 0.25 | 0.23 | 0.14 | |
| Exercise regularly when you are busy | SE | 0.50 | 0.88 | 0.06 | 0.15 | 0.36 | 0.42 | ||
| Exercise regularly when you feel depressed | SE | 0.00 | 0.61 | 0.89 | 0.11 | 0.21 | 0.23 | 0.34 | |
| Exercise regularly when you feel tense | SE | 0.70 | 0.89 | 0.28 | 0.32 | 0.06 | 0.27 | 0.44 | |
| Exercise regularly when you are tired | SE | 0.40 | 0.86 | 0.07 | 0.17 | 0.34 | 0.46 | ||
| Exercise regularly when you have worries and problems | SE | 0.08 | 0.77 | 0.82 | 0.17 | 0.30 | 0.17 | 0.15 | |
| Physical OE Second Order Indicator | OE | 0.27 | 0.27 | 0.92 | 1.00 | 0.25 | 0.57 | 0.51 | |
| Social OE Second Order Indicator | OE | 0.10 | 0.56 | 0.22 | 0.99 | 0.10 | 0.10 | ||
| Bodyweight exercise improves my ability to perform daily activities | POE | 0.01 | 0.27 | 0.34 | 0.90 | 0.93 | 0.33 | 0.64 | 0.60 |
| Bodyweight exercise improves my overall body functioning | POE | 0.22 | 0.15 | 0.81 | 0.84 | 0.31 | 0.55 | 0.48 | |
| Bodyweight exercise improves the functioning of my cardiovascular system | POE | 0.13 | 0.22 | 0.15 | 0.74 | 0.78 | 0.27 | 0.39 | 0.29 |
| Bodyweight exercise increases my muscle strength | POE | 0.18 | 0.26 | 0.53 | 0.66 | 0.14 | 0.21 | ||
| Bodyweight exercise strengthens my bones | POE | 0.17 | 0.14 | 0.64 | 0.72 | 0.07 | 0.47 | 0.39 | |
| Bodyweight exercise makes me more at ease with people | SOE | 0.14 | −0.04 | −0.15 | 0.49 | 0.18 | 0.87 | 0.10 | 0.05 |
| Bodyweight exercise increases my acceptance by others | SOE | −0.03 | −0.06 | 0.36 | 0.04 | 0.82 | 0.05 | ||
| Bodyweight exercise improves my social standing | SOE | 0.16 | 0.00 | 0.60 | 0.36 | 0.84 | 0.10 | 0.25 | |
| I will endeavor to achieve the set goal for myself | SR | −0.16 | 0.13 | 0.13 | 0.40 | 0.46 | 0.07 | 0.90 | 0.56 |
| I will develop a series of steps to reach my weekly goal | SR | 0.13 | 0.21 | 0.25 | 0.33 | 0.39 | 0.01 | 0.74 | 0.52 |
| I will set a goal | SR | 0.25 | 0.31 | 0.56 | 0.60 | 0.16 | 0.90 | 0.46 | |
| I will keep track of my progress in meeting my goal | SR | 0.11 | 0.35 | 0.46 | 0.52 | 0.09 | 0.90 | 0.76 | |
| I will use the app to motivate my exercise | WTU | 0.12 | 0.43 | 0.47 | 0.52 | 0.14 | 0.68 | 1.00 |
Table A3.
Internal consistency (Dillon-Goldstein metric) and convergent validity (Average Variance Explained). COL: Collectivist, IND: Individualist.
Table A3.
Internal consistency (Dillon-Goldstein metric) and convergent validity (Average Variance Explained). COL: Collectivist, IND: Individualist.
| Dillon-Goldstein Metric | Average Variance Explained | ||||
|---|---|---|---|---|---|
| Construct | Acronym | COL | IND | COL | IND |
| App Design | DES | 1.00 | 1.00 | 1.00 | 1.00 |
| Social Support | SS | 0.94 | 0.93 | 0.75 | 0.73 |
| Self-Efficacy | SE | 0.96 | 0.94 | 0.83 | 0.76 |
| Outcome Expectation | OE | 0.74 | 0.75 | 0.57 | 0.59 |
| Physical Outcome Expectation | POE | 0.86 | 0.89 | 0.55 | 0.63 |
| Social Outcome Expectation | SOE | 0.91 | 0.88 | 0.78 | 0.71 |
| Self-Regulation | SR | 0.86 | 0.92 | 0.61 | 0.74 |
| Willingness to Use App | WTU | 1.00 | 1.00 | 1.00 | 1.00 |
References
- World Health Organization. Global Health Risks: Mortality and Burden of Disease Attributable to Selected Major Risks; Technical Report; World Health Organization: Geneva, Switzerland, 2009. [Google Scholar]
- Towne, S.; Li, Y.; Lee, S.; Smith, M.L.; Han, G.; Quinn, C.; Du, Y.; Benden, M.; Ory, M.G. Physical activity and associated medical cost savings among at-risk older adults participating a community-based health & wellness program. PLoS ONE 2018, 13, e0198239. [Google Scholar] [CrossRef]
- Krans, M.; van de Wiele, L.; Bullen, N.; Diamond, M.; van Dantzig, S.; de Ruyter, B.; van der Lans, A. A Group Intervention to Improve Physical Activity at the Workplace. In Proceedings of the International Conference on Persuasive Technology, Limassol, Cyprus, 9–11 April 2019; pp. 322–333. [Google Scholar]
- World Health Organization. Global Action Plan on Physical Activity 2018–2030: More Active People for a Healthier World; Technical Report; World Health Organization: Geneva, Switzerland, 2018; Available online: http://apps.who.int/iris/bitstream/handle/10665/272722/9789241514187-eng.pdf (accessed on 5 May 2022).
- Oyibo, K. Designing Culture-Tailored Persuasive Technology to Promote Physical Activity. Ph.D. Thesis, University of Saskatchewan, Saskatoon, SK, Canada, 2020. [Google Scholar]
- Kohl, H.W., 3rd; Craig, C.L.; Lambert, E.V.; Inoue, S.; Alkandari, J.R.; Leetongin, G.; Kahlmeier, S. Lancet Physical Activity Series Working Group. The pandemic of physical inactivity: Global action for public health. Lancet 2012, 380, 294–305. [Google Scholar] [CrossRef] [PubMed]
- World Health Organization. Global Status Report on Noncommunicable Diseases 2014; Technical Report; World Health Organization: Geneva, Switzerland, 2014; Available online: https://apps.who.int/iris/bitstream/handle/10665/148114/9789241564854_eng.pdf (accessed on 13 April 2015).
- Fogg, B. Persuasive Technology: Using Computers to Change What We Think and Do; Morgan Kaufmann: Cambridge, MA, USA, 2003. [Google Scholar]
- Matthews, J.; Win, K.T.; Oinas-Kukkonen, H.; Freeman, M. Persuasive Technology in Mobile Applications Promoting Physical Activity: A Systematic Review. J. Med. Syst. 2016, 40, 72. [Google Scholar] [CrossRef] [PubMed]
- Orji, R.; Moffatt, K. Persuasive technology for health and wellness: State-of-the-art and emerging trends. Health Inform. J. 2016, 24, 66–91. [Google Scholar] [CrossRef] [PubMed]
- Kadomura, A.; Li, C.Y.; Tsukada, K.; Chu, H.H.; Siio, I. Persuasive technology to improve eating behavior using a sensor-embedded fork. In Proceedings of the 2014 ACM International Joint Conference on Pervasive and Ubiquitous Computing, Seattle, WA, USA, 13–17 September 2014; pp. 319–329. [Google Scholar]
- Khaled, R.; Biddle, R.; Noble, J.; Barr, P.; Fischer, R. Persuasive interaction for collectivist cultures. In Proceedings of the 7th Australasian User Interface Conference, Hobart, Australia, 16–19 January 2007; Volume 50, pp. 73–80. [Google Scholar]
- Ball, J.W.; Bice, M.R.; Maljak, K.A. Exploring the relationship between self-determination theory, adults’ barriers to exercise, and physical activity. Health Educ. 2017, 49, 32–37. [Google Scholar]
- Ananthanarayan, S.; Siek, K.A. Persuasive wearable technology design for health and wellness. In Proceedings of the 6th International Conference on Pervasive Computing Technologies for Healthcare and Workshops, PervasiveHealth 2012, San Diego, CA, USA, 21–24 May 2012; pp. 236–240. [Google Scholar] [CrossRef]
- Hofstede, G. Culture’s Consequences: International Differences in Work-Related Values; Sage: New York, NY, USA, 1984; Volume 5. [Google Scholar]
- Hardeman, W.; Sutton, S.; Griffin, S.; Johnston, M.; White, A.; Wareham, N.J.; Kinmonth, A.L. A causal modelling approach to the development of theory-based behaviour change programmes for trial evaluation. Health Educ. Res. 2005, 20, 676–687. [Google Scholar] [CrossRef]
- Bandura, A. Health promotion from the perspective of social cognitive theory. Psychol. Health 1998, 13, 623–649. [Google Scholar] [CrossRef]
- Bandura, A. Social cognitive theory. Ann. Child Dev. 1989, 6, 1–60. [Google Scholar]
- Bandura, A.; Walters, R.H. Social Learning Theory; Prentice-Hall: Englewood Cliffs, NJ, USA, 1977; Volume 1. [Google Scholar]
- Glanz, K.; Bishop, D.B. The Role of Behavioral Science Theory in Development and Implementation of Public Health Interventions. Annu. Rev. Public Health 2010, 31, 399–418. [Google Scholar] [CrossRef]
- Bandura, A. Social Foundations of Thought and Action: A Social Cognitive Theory; Prentice-Hall: Englewood Cliffs, NJ, USA, 1986. [Google Scholar]
- Lower-Hoppe, L.M.; Evans, J.O.; Brgoch, S.M. Examining the social cognitive determinants of collegiate recreational sport involvement and outcomes. Leisure/Loisir 2021, 45, 207–236. [Google Scholar] [CrossRef]
- LaMorte, W.W. The Social Cognitive Theory. Available online: http://sphweb.bumc.bu.edu/otlt/MPH-Modules/SB/BehavioralChangeTheories/ (accessed on 15 May 2018).
- Orji, R.; Vassileva, J.; Mandryk, R. Towards an effective health interventions design: An extension of the health belief model. Online J. Public Health Inform. 2012, 4. [Google Scholar] [CrossRef] [PubMed]
- Bandura, A. The self system in reciprocal determinism. Am. Psychol. 1978, 33, 344–358. [Google Scholar] [CrossRef]
- Anderson, E.S.; Wojcik, J.R.; Winett, R.A.; Williams, D.M. Social-cognitive determinants of physical activity: The influence of social support, self-efficacy, outcome expectations, and self-regulation among participants in a church-based health promotion study. Health Psychol. Off. J. Div. Health Psychol. Am. Psychol. Assoc. 2006, 25, 510–520. [Google Scholar] [CrossRef] [PubMed]
- Joseph, R.P.; Daniel, C.L.; Thind, H.; Benitez, T.J.; Pekmezi, D. Applying Psychological Theories to Promote Long-Term Maintenance of Health Behaviors. Am. J. Lifestyle Med. 2016, 10, 356–368. [Google Scholar] [CrossRef] [PubMed]
- Young, M.D.; Plotnikoff, R.C.; Collins, C.E.; Callister, R.; Morgan, P.J. Social Cognitive Theory and Physical Activity: A Systematic Review and Meta-analysis. Obes. Rev. 2014, 15, 983–995. [Google Scholar] [CrossRef]
- Baranowski, T.; Anderson, C.; Carmack, C. Mediating variable framework in physical activity interventions: How are we doing? How might we do better? Am. J. Prev. Med. 1998, 15, 266–297. [Google Scholar] [CrossRef] [PubMed]
- Oinas-Kukkonen, H.; Harjumaa, M. Persuasive Systems Design Key Issues, Process Model, and System Features. Commun. Assoc. Inf. Syst. 2009, 24, 485–500. [Google Scholar] [CrossRef]
- Bandura, A. Self-Efficacy: The Exercise of Control; W. H. Freeman: New York, NY, USA, 1997. [Google Scholar]
- Rovniak, L.S.; Anderson, E.S.; Winett, R.A.; Stephens, R.S. Social cognitive determinants of physical activity in young adults: A prospective structural equation analysis. Ann. Behav. Med. 2002, 24, 149–156. [Google Scholar] [CrossRef]
- Baumeister, R.F.; Monroe, A.E. Recent research on free will: Conceptualizations, beliefs, and processes. Adv. Exp. Soc. Psychol. 2014, 50, 1–52. [Google Scholar]
- Bandura, A. Social cognitive theory of self-regulation. Organ. Behav. Hum. Decis. Process. 1991, 50, 248–287. [Google Scholar] [CrossRef]
- Oyibo, K.; Orji, R.; Vassileva, J. Developing Culturally Relevant Design Guidelines for Encouraging Physical Activity: A Social Cognitive Theory Perspective. J. Healthc. Inform. Res. 2018, 2, 319–352. [Google Scholar] [CrossRef] [PubMed]
- Sutton, S. Health behavior: Psychosocial theories. Int. Encycl. Soc. Behav. Sci. 2001, 1, 6499–6506. [Google Scholar]
- Bandura, A. Self-efficacy. In Encyclopedia of Human Behavior; Academic Press: New York, NY, USA, 1994. [Google Scholar]
- Dillard, J.P.; Pfau, M. The Persuasion Handbook: Developments in Theory and Practice; Sage: New York, NY, USA, 2002. [Google Scholar]
- Hayden, J. Introduction to Health Behavior Theory; William Paterson University of New Jersey: Wayne, NJ, USA, 2013. [Google Scholar]
- Ford, G.; Kotzé, P. Designing usable interfaces with cultural dimensions. In Proceedings of the Human-Computer Interaction; Springer: Berlin/Heidelberg, Germany, 2005; pp. 713–726. [Google Scholar] [CrossRef]
- Simon, S.J. The impact of culture and gender on web sites: An empirical study. ACM Sigmis Database Database Adv. Inf. Syst. 2000, 32, 18–37. [Google Scholar] [CrossRef]
- Alexander, R. Usability Themes in High and Low Context Cultures: A Comparative Study. Ph.D. Thesis, Murdoch University, Perth, Australia, 2019. [Google Scholar]
- Ford, G.; Gelderblom, H. The Effects of Culture on Performance Achieved through the use of Human Computer Interaction. In Proceedings of the 2003 Annual Research Conference of the South African Institute of Computer Scientists and Information Technologists on Enablement through Technology, Johannesburg, South Africa, 17–19 September 2003; pp. 218–230. [Google Scholar]
- Lee, I.; Choi, G.W.; Kim, J.; Kim, S.; Lee, K.; Kim, D.; Han, M.; Park, S.Y.; An, Y. Cultural dimensions for user experience: Cross-country and cross-product analysis of users’ cultural characteristics. In Proceedings of the 22nd British HCI Group Annual Conference on People and Computers: Culture, Creativity, Interaction, Liverpool, UK, 1–5 September 2008; pp. 3–12. [Google Scholar]
- Oshlyansky, L. Cultural Models in HCI: Hofstede, Affordance and Technology Acceptance; Swansea University: Swansea, UK, 2007. [Google Scholar]
- Oyibo, K.; Vassileva, J. Investigation of the moderating effect of culture on users’ susceptibility to persuasive features in fitness applications. Information 2019, 10, 344. [Google Scholar] [CrossRef]
- Almutari, N.S. Design and Evaluation of a Culturally-Tailored Persuasive Application for Promoting Physical Activity. Ph.D. Thesis, Dalhousie University, Halifax, NS, Canada, 2020. [Google Scholar]
- Kim, E.; Han, S. Determinants of continuance intention to use health apps among users over 60: A test of social cognitive model. Int. J. Environ. Res. Public Health 2021, 18, 10367. [Google Scholar] [CrossRef] [PubMed]
- Vinnikova, A.; Lu, L.; Wei, J.; Fang, G.; Yan, J. The use of smartphone fitness applications: The role of self-efficacy and self-regulation. Int. J. Environ. Res. Public Health 2020, 17, 7639. [Google Scholar] [CrossRef] [PubMed]
- Park, M.; Yoo, H.; Kim, J.; Lee, J. Why do young people use fitness apps? Cognitive characteristics and app quality. Electron. Commer. Res. 2018, 18, 755–761. [Google Scholar] [CrossRef]
- Gu, P.; Zhang, H.; Liang, Z.; Zhang, D. Impact of Public Risk Perception in China on the Intention to Use Sports APPs during COVID-19 Pandemic. Int. J. Environ. Res. Public Health 2022, 19, 11915. [Google Scholar] [CrossRef] [PubMed]
- Romeo, A.V.; Edney, S.M.; Plotnikoff, R.C.; Olds, T.; Vandelanotte, C.; Ryan, J.; Curtis, R.; Maher, C.A. Examining social-cognitive theory constructs as mediators of behaviour change in the active team smartphone physical activity program: A mediation analysis. BMC Public Health 2021, 21, 88. [Google Scholar] [CrossRef]
- Oyibo, K.; Adaji, I.; Vassileva, J. Social cognitive determinants of exercise behavior in the context of behavior modeling: A mixed method approach. Digit. Health 2018, 4, 2055207618811555. [Google Scholar] [CrossRef]
- Liu, J.; Zeng, M.; Wang, D.; Zhang, Y.; Shang, B.; Ma, X. Applying Social Cognitive Theory in Predicting Physical Activity Among Chinese Adolescents: A Cross-Sectional Study With Multigroup Structural Equation Model. Front. Psychol. 2021, 12, 695241. [Google Scholar] [CrossRef]
- Oyibo, K.; Olagunju, A.H.; Olabenjo, B.; Adaji, I.; Deters, R.; Vassileva, J. BEN’FIT: Design, Implementation and Evaluation of a Culture-Tailored Fitness App. In Proceedings of the Adjunct Publication of the 27th Conference on User Modeling, Adaptation and Personalization, Larnaca, Cyprus, 9–12 June 2019; pp. 161–166. [Google Scholar]
- Oyibo, K.; Vassileva, J. Investigation of the moderating effect of race-based personalization of behavior model design in fitness application. SN Appl. Sci. 2019, 1, 1118. [Google Scholar] [CrossRef]
- Oyibo, K.; Adaji, I.; Orji, R.; Olabenjo, B.; Azizi, M.; Vassileva, J. Perceived Persuasive Effect of Behavior Model Design in Fitness Apps. In Proceedings of the 26th Conference on User Modeling, Adaptation and Personalization, Singapore, 8–11 July 2018; pp. 219–228. [Google Scholar] [CrossRef]
- Lee, C.G.; Park, S.; Lee, S.H.; Kim, H.; Park, J.W. Social cognitive theory and physical activity among Korean male high-school students. Am. J. Men’s Health 2018, 12, 973–980. [Google Scholar] [CrossRef] [PubMed]
- Anderson-Bill, E.S.; Winett, R.A.; Wojcik, J.R. Social cognitive determinants of nutrition and physical activity among web-health users enrolling in an online intervention: The influence of social support, self-efficacy, outcome expectations, and self-regulation. J. Med. Internet Res. 2011, 13, e1551. [Google Scholar] [CrossRef]
- Resnick, B. A prediction model of aerobic exercise in older adults living in a continuing-care retirement community. J. Aging Health 2001, 13, 287–310. [Google Scholar] [CrossRef] [PubMed]
- Sallis, J. Social Support and Exercise Survey. Available online: http://sallis.ucsd.edu/Documents/Measures_documents/SocialSupport_exercise.pdf (accessed on 15 October 2014).
- Wójcicki, T.R.; White, S.M.; McAuley, E. Assessing outcome expectations in older adults: The multidimensional outcome expectations for exercise scale. The journals of gerontology. J. Gerontol. Ser. Psychol. Sci. Soc. Sci. 2009, 64, 33–40. [Google Scholar] [CrossRef]
- Wenz, A.; Jackle, A.; Couper, M.P. Willingness to use mobile technologies for data collection in a probability household panel. Surv. Res. Methods 2019, 13, 1–22. [Google Scholar]
- Spörrle, M.; Bekk, M. Meta-analytic guidelines for evaluating single-item reliabilities of personality instruments. Assessment 2014, 21, 272–285. [Google Scholar] [CrossRef]
- Bergkvist, L.; Rossiter, J.R. The predictive validity of multiple-item versus single-item measures of the same constructs. J. Mark. Res. 2007, 44, 175–184. [Google Scholar] [CrossRef]
- Patil, I. Visualizations with statistical details: The ‘ggstatsplot’ approach. J. Open Source Softw. 2021, 6, 3167. [Google Scholar] [CrossRef]
- Dash, G.; Paul, J. CB-SEM vs. PLS-SEM methods for research in social sciences and technology forecasting. Technol. Forecast. Soc. Chang. 2021, 173, 121092. [Google Scholar] [CrossRef]
- Tenenhaus, M.; Vinzi, V.E.; Chatelin, Y.M.; Lauro, C. PLS path modeling. Comput. Stat. Data Anal. 2005, 48, 159–205. [Google Scholar] [CrossRef]
- Sanchez, G. PLS path modeling with R. Berkeley Trowchez Ed. 2013, 383, 2013. [Google Scholar]
- Henseler, J.; Hubona, G.; Ray, P.A. Using PLS path modeling in new technology research: Updated guidelines. Ind. Manag. Data Syst. 2016, 116, 2–20. [Google Scholar] [CrossRef]
- Hair, J.F.; Hult, G.T.M.; Ringle, C.M.; Sarstedt, M. A Primer on Partial Least Squares Structural Equation Modeling (PLS-SEM); Sage Publications, Inc.: Washington, DC, USA, 2014. [Google Scholar]
- Wobbrock, J.O.; Findlater, L.; Gergle, D.; Higgins, J.J. The aligned rank transform for nonparametric factorial analyses using only ANOVA procedures. In Proceedings of the 2011 Annual Conference on Human Factors in Computing Systems, Vancouver, BC, Canada, 7–12 May 2011; pp. 143–146. [Google Scholar]
- Kay, M.; Wobbrock, J.O. Package ‘ARTool’. 2016. Available online: https://cran.r-project.org/web/packages/ARTool/ARTool.pdf (accessed on 17 December 2020).
- Wong, K.K.K. Partial least squares structural equation modeling (PLS-SEM) techniques using SmartPLS. Mark. Bull. 2013, 24, 1–32. [Google Scholar]
- Langøy, A.; Smith, O.R.; Wold, B.; Samdal, O.; Haug, E.M. Associations between family structure and young people’s physical activity and screen time behaviors. BMC Public Health 2019, 19, 1–10. [Google Scholar] [CrossRef]
- Kwansa, A.L.; Akparibo, R.; Cecil, J.E.; Infield Solar, G.; Caton, S.J. Risk factors for overweight and obesity within the home environment of preschool children in Sub-Saharan Africa: A systematic review. Nutrients 2022, 14, 1791–1799. [Google Scholar] [CrossRef]
- Hussain, S.; Fangwei, Z.; Siddiqi, A.F.; Ali, Z.; Shabbir, M.S. Structural equation model for evaluating factors affecting quality of social infrastructure projects. Sustainability 2018, 10, 1415. [Google Scholar] [CrossRef]
- Hofstede, G.; Hofstede, G.J.; Minkov, M. Cultures and Organizations: Software of the Mind; McGraw Hill: New York, NY, USA, 2010. [Google Scholar]
- Lowery, S.E.; Kurpius, S.E.R.; Befort, C.; Blanks, E.H.; Sollenberger, S.; Nicpon, M.F.; Huser, L. Body image, self-esteem, and health-related behaviors among male and female first year college students. J. Coll. Stud. Dev. 2005, 46, 612–623. [Google Scholar] [CrossRef]
- Hofstede, G. Cultures and Organizations: Software of the Mind; McGraw-Hill: New York, NY, USA, 1991. [Google Scholar] [CrossRef]
- Kimura, H.; Nakajima, T. Designing Persuasive Applications to Motivate Sustainable Behavior in Collectivist Cultures. PsychNology J. 2011, 9, 7–28. [Google Scholar]
- Xiao, W.S. The Role of collectivism–individualism in Attitudes toward compliance and Psychological responses during the COVID-19 pandemic. Front. Psychol. 2021, 12, 600826. [Google Scholar] [CrossRef] [PubMed]
- Singelis, T.M.; Triandis, H.C.; Bhawuk, D.P.; Gelfand, M.J. Horizontal and vertical dimensions of individualism and collectivism: A theoretical and measurement refinement. Cross-Cult. Res. 1995, 29, 240–275. [Google Scholar] [CrossRef]
- Oyibo, K.; Adaji, I.; Orji, R.; Olabenjo, B.; Vassileva, J. Susceptibility to persuasive strategies: A comparative analysis of Nigerians vs. In Canadians. In Proceedings of the 26th Conference on User Modeling, Adaptation and Personalization, Singapore, 8–11 July 2018; pp. 229–238. [Google Scholar] [CrossRef]
- Oyibo, K. Investigating the key persuasive features for fitness app design and extending the persuasive system design model: A qualitative approach. In Proceedings of the International Symposium on Human Factors and Ergonomics in Health Care; SAGE Publications Sage: Los Angeles, CA, USA, 2021; Volume 10, pp. 47–53. [Google Scholar]
Disclaimer/Publisher’s Note: The statements, opinions and data contained in all publications are solely those of the individual author(s) and contributor(s) and not of MDPI and/or the editor(s). MDPI and/or the editor(s) disclaim responsibility for any injury to people or property resulting from any ideas, methods, instructions or products referred to in the content. |
© 2024 by the authors. Licensee MDPI, Basel, Switzerland. This article is an open access article distributed under the terms and conditions of the Creative Commons Attribution (CC BY) license (https://creativecommons.org/licenses/by/4.0/).