Fractal Dimension Analysis of Structure and Bending Strength of Porous Alumina Prepared Using Starch and Carbon Fiber as Pore-Forming Agents
Abstract
1. Introduction
2. Materials and Methods
2.1. Raw Materials
2.2. Sample Preparation
2.3. Sample Testing Methods
2.4. Thermal Analysis
3. Results and Discussion
3.1. Influence of the Pore-Forming Agent Content on Linear Shrinkage, Density, Porosity, and Weight Loss of Porous Alumina
3.2. Effect of the Pore-Forming Agent Content on the Phase Composition and Microstructure of Porous Alumina
3.3. Effect of the Pore-Forming Agent Content on the Pore Size Distribution of Porous Alumina
3.4. Mechanical Properties and Weibull Distribution of Porous Alumina
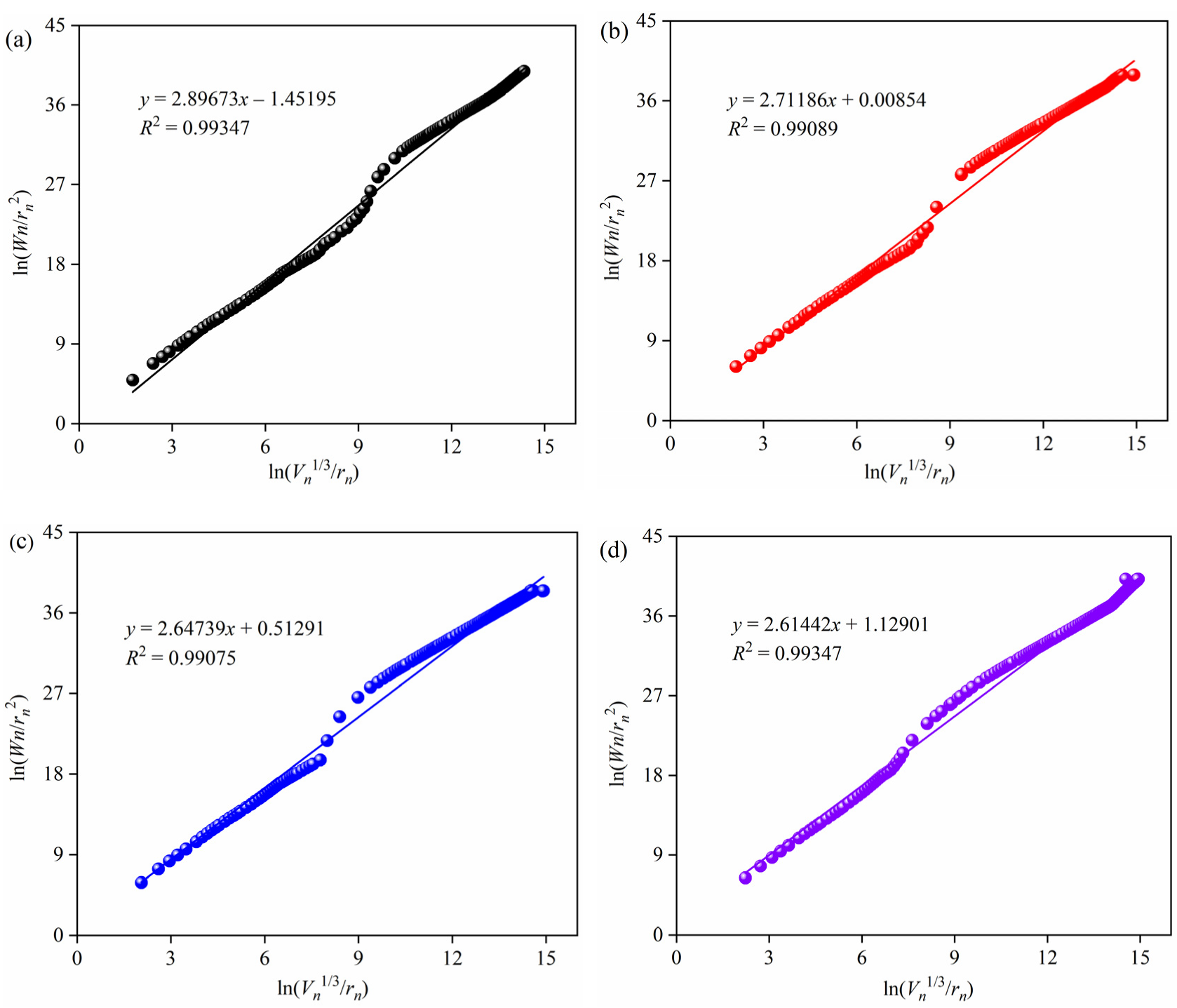
3.5. Fractal Characteristics of Porous Alumina
4. Conclusions
Author Contributions
Funding
Data Availability Statement
Conflicts of Interest
References
- Wang, S.Y.; Yang, Z.; Luo, X.D.; Qi, X.; Zhang, L.; You, J.G. Preparation of calcium hexaluminate porous ceramics by gel–casting method with polymethyl methacrylate as pore–forming agent. Ceram. Int. 2022, 48, 30356–30366. [Google Scholar] [CrossRef]
- Wang, L.L.; Ma, B.Y.; Ren, X.M.; Yu, C.; Deng, C.J.; Liu, C.M.; Hu, C.B. ZrO2 and MxOy (M = La, Ce, and Nb) synergistically reinforced porous cordierite ceramics synthesized via a facile solid–state reaction. Ceram. Int. 2022, 27, R713–R715. [Google Scholar] [CrossRef]
- Ohji, T.; Fukushima, M. Macro–porous ceramics: Processing and properties. Int. Mater. Rev. 2013, 57, 115–131. [Google Scholar] [CrossRef]
- Ha, J.H.; Lee, S.J.; Park, B.; Lee, J.; Song, I.H. Feasibility of as–prepared reticulated porous barium titanate without additional radar–absorbing material coating in potential military applications. J. Aust. Ceram. Soc. 2020, 56, 1481–1491. [Google Scholar] [CrossRef]
- Çelik, A.; Çağlar, G.; Çelik, Y. Fabrication of porous Al2O3 ceramics using carbon black as a pore forming agent by spark plasma sintering. Ceram. Int. 2022, 48, 28181–28190. [Google Scholar] [CrossRef]
- Zhao, D.; Su, H.J.; Liu, Y.; Shen, Z.L.; Liu, H.F.; Guo, Y.N.; Li, X.; Dong, D.; Jiang, H.; Liu, C.C.; et al. Ultrahigh–strength porous ceramic composites via a simple directional solidification process. Nano Lett. 2022, 22, 2405–2411. [Google Scholar] [CrossRef] [PubMed]
- Wang, Y.X.; Zhu, S.F.; Zhou, X.Z.; Zhang, T. Effect of sintering process on micro–structure and properties of mullite porous ceramics containing magnesium oxide. J. Phys. Conf. Ser. 2022, 2206, 012037. [Google Scholar] [CrossRef]
- Pia, G.; Casnedi, L.; Ionta, M.; Sanna, U. On the elastic deformation properties of porous ceramic materials obtained by pore–forming agent method. Ceram. Int. 2015, 41, 11097–11105. [Google Scholar] [CrossRef]
- Loca, D.; Narkevica, I.; Ozolins, J. The effect of TiO2 nanopowder coating on in vitro bioactivity of porous TiO2 scaffolds. Mater. Lett. 2015, 159, 309–312. [Google Scholar] [CrossRef]
- Liu, R.P.; Xu, T.T.; Wang, C.A. A review of fabrication strategies and applications of porous ceramics prepared by freeze–casting method. Ceram. Int. 2016, 42, 2907–2925. [Google Scholar] [CrossRef]
- Huo, W.L.; Zhang, X.Y.; Chen, Y.G.; Hu, Z.L.; Wang, D.; Yang, J.L. Ultralight and high–strength bulk alumina/zirconia composite ceramic foams through direct foaming method. Ceram. Int. 2019, 45, 1464–1467. [Google Scholar] [CrossRef]
- Falsetti, L.O.Z.; Ferreira Muche, D.N.; Santos Junior, T.; Pandolfelli, V.C. Thermodynamics of smart bubbles: The role of interfacial energies in porous ceramic production and non-metallic inclusion removal. Ceram. Int. 2021, 47, 14216–14225. [Google Scholar] [CrossRef]
- Dang, W.; Wang, W.H.; Wu, P.F.; Li, F.P.; Zhao, K.; Tang, Y.F. Freeze-cast porous Al2O3 ceramics strengthened by up to 80% ceramics fibers. Ceram. Int. 2022, 48, 9835–9841. [Google Scholar] [CrossRef]
- Zhang, C.; Liang, Y.D.; Cui, Z.J.; Meng, F.W.; Zhao, J.; Yu, T.B. Study on the effect of ultrasonic vibration–assisted polishing on the surface properties of alumina ceramic. Ceram. Int. 2022, 48, 21430–21447. [Google Scholar] [CrossRef]
- Zhang, A.; Sang, K.Z.; Zeng, D.J.; Liu, Q.; Guo, Y.J. Preparation and properties of porous alumina with inter–locked platelets structure. Ceram. Int. 2022, 48, 25918–25922. [Google Scholar] [CrossRef]
- Zang, W.J.; Guo, F.; Liu, J.C.; Du, H.Y.; Hou, F.; Guo, A.R. Lightweight alumina based fibrous ceramics with different high temperature binder. Ceram. Int. 2016, 42, 10310–10316. [Google Scholar] [CrossRef]
- Qian, C.C.; Hu, K.H.; Wang, H.Y.; Nie, L.; Feng, Q.; Lu, Z.G.; Li, P.J.; Lu, K. The effect of particle size distribution on the microstructure and properties of Al2O3 ceramics formed by stereolithography. Ceram. Int. 2022, 48, 21641–21650. [Google Scholar] [CrossRef]
- Wang, Y.; Yan, B.J.; Zhang, Y.X.; Deng, T.F. Fundamental research on the densification of alumina ceramics by ferrotitanium slag. J. Sustain. Metall. 2022, 8, 122–134. [Google Scholar] [CrossRef]
- Bian, H.M.; Yang, Y.; Wang, Y.; Tian, W.; Jiang, H.F.; Hu, Z.J.; Yu, W.M. Effect of microstructure of composite powders on microstructure and properties of microwave sintered alumina matrix ceramics. J. Mater. Technol. 2013, 29, 429–433. [Google Scholar] [CrossRef]
- Hedayat, N.; Du, Y.H.; Ilkhani, H. Review on fabrication techniques for porous electrodes of solid oxide fuel cells by sacrificial template methods. Renew. Sustain. Energy Rev. 2017, 77, 1221–1239. [Google Scholar] [CrossRef]
- Lukacs, V.A.; Stanculescu, R.; Curecheriu, L.; Ciomaga, C.E.; Horchidan, N.; Cioclea, C.; Mitoseriu, L. Structural and functional properties of BaTiO3 porous ceramics produced by using pollen as sacrificial template. Ceram. Int. 2020, 46, 523–530. [Google Scholar] [CrossRef]
- Chen, Y.; Wang, N.N.; Ola, O.; Xia, Y.D.; Zhu, Y.Q. Porous ceramics: Light in weight but heavy in energy and environment technologies. Mat. Sci. Eng. R Rep. 2021, 143, 100589. [Google Scholar] [CrossRef]
- Talou, M.H.; Camerucci, M.A. Processing of porous mullite ceramics using novel routes by starch consolidation casting. J. Eur. Ceram. Soc. 2015, 35, 1021–1030. [Google Scholar] [CrossRef]
- Lorente-Ayza, M.M.; Sánchez, E.; Sanz, V.; Mestre, S. Influence of starch content on the properties of low–cost microfiltration ceramic membranes. Ceram. Int. 2015, 41, 13064–13073. [Google Scholar] [CrossRef]
- Lorente-Ayza, M.M.; Mestre, S.; Sanz, V.; Sánchez, E. On the underestimated effect of the starch ash on the characteristics of low cost ceramic membranes. Ceram. Int. 2016, 42, 18944–18954. [Google Scholar] [CrossRef]
- Ishii, K.; Shimizu, M.; Sameshima, H.; Samitsu, S.; Ishigaki, T.; Uchikoshi, T. Fabrication of porous (Ba,Sr)(Co,Fe)O3−δ (BSCF) ceramics using gelatinization and retrogradation phenomena of starch as pore–forming agent. Ceram. Int. 2020, 46, 13047–13053. [Google Scholar] [CrossRef]
- Zhao, P.C.; Hu, K.H.; Wang, H.Y.; Li, X.Y.; Lu, Z.G. Effect of organic fibers addition on digital light processing for Al2O3 porous ceramics. Ceram. Int. 2021, 47, 23144–23152. [Google Scholar] [CrossRef]
- Corradetti, S.; Biasetto, L.; Innocentini, M.D.M.; Carturan, S.; Colombo, P.; Andrighetto, A. Use of polymeric fibers to increase gas permeability of lanthanum carbide based targets for nuclear physics applications. Ceram. Int. 2016, 42, 17764–17772. [Google Scholar] [CrossRef]
- Biggemann, J.; Stumpf, M.; Fey, T. Porous alumina ceramics with multimodal pore size distributions. Materials 2021, 14, 3294. [Google Scholar] [CrossRef]
- Zhong, Z.X.; Zhang, B.; Tian, Z.Y.; Ye, J.; Zhang, H.Q.; Gao, Y.; Liu, Q.; Zhang, Z.G.; Ye, F. Highly porous LAS–SiC ceramic with near–zero thermal expansion prepared via aqueous gel–casting combined with adding pore–forming agents. Mater. Charact. 2022, 187, 111829. [Google Scholar] [CrossRef]
- Zeng, Q.; Luo, M.Y.; Pang, X.Y.; Li, L.; Li, K.F. Surface fractal dimension: An indicator to characterize the microstructure of cement–based porous materials. Appl. Surf. Sci. 2013, 282, 302–307. [Google Scholar] [CrossRef]
- Poyet, S. Water transport properties of virtual fractal porous media: Implications for the unsaturated transport properties of cement–based material. Cem. Concr. Res. 2021, 150, 106613. [Google Scholar] [CrossRef]
- Wang, L.; Zeng, X.M.; Yang, H.; Lv, X.D.; Guo, F.X.; Shi, Y.; Hanif, A. Investigation and application of fractal theory in cement–based materials: A review. Fractal Fract. 2021, 5, 247. [Google Scholar] [CrossRef]
- Wang, L.; Jin, M.M.; Wu, Y.H.; Zhou, Y.X.; Tang, S.W. Hydration, shrinkage, pore structure and fractal dimension of silica fume modified low heat Portland cement–based materials. Constr. Build. Mater. 2021, 272, 121952. [Google Scholar] [CrossRef]
- Yang, X.; Zhang, R.J.; Ma, S.; Yang, X.C.; Wang, F.L. Fractal dimension of concrete meso–structure based on X–ray computed tomography. Powder Technol. 2019, 350, 91–99. [Google Scholar] [CrossRef]
- Lan, X.L.; Zeng, X.H.; Zhu, H.S.; Long, G.C.; Xie, Y.J. Experimental investigation on fractal characteristics of pores in air–entrained concrete at low atmospheric pressure. Cem. Concr. Compos. 2022, 130, 104509. [Google Scholar] [CrossRef]
- Yang, H.M.; Zhang, S.M.; Wang, L.; Chen, P.; Shao, D.K.; Tang, S.W.; Li, J.Z. High-ferrite portland cement with slag: Hydration, microstructure, and resistance to sulfate attack at elevated temperature. Cem. Concr. Compos. 2022, 130, 104560. [Google Scholar] [CrossRef]
- Peng, Y.; Tang, S.; Huang, J.; Tang, C.; Wang, L.; Liu, Y. Fractal analysis on pore structure and modeling of hydration of magnesium phosphate cement paste. Fractal Fract. 2022, 6, 337. [Google Scholar] [CrossRef]
- Meng, Q.; Qin, Q.; Yang, H.; Zhou, H.; Wu, K.; Wang, L. Fractal characteristics of the pore structure of coral powder-cement slurry under different fractal models. Fractal Fract. 2022, 6, 145. [Google Scholar] [CrossRef]
- Wang, L.; Zhou, S.; Shi, Y.; Huang, Y.; Zhao, F.; Huo, T.; Tang, S. The influence of fly ash dosages on the permeability, pore structure and fractal features of face slab concrete. Fractal Fract. 2022, 6, 476. [Google Scholar] [CrossRef]
- Li, D.; Niu, D.T.; Fu, Q.; Luo, D.M. Fractal characteristics of pore structure of hybrid Basalt–Polypropylene fibre–reinforced concrete. Cem. Concr. Compos. 2020, 109, 103555. [Google Scholar] [CrossRef]














| Sample | Composition | 
|---|---|
| A | 80 vol.% Al2O3 + 20 vol.% Starch and carbon fiber (1:1 v/v) | 
| B | 70 vol.% Al2O3 + 30 vol.% Starch and carbon fiber (1:1 v/v) | 
| C | 60 vol.% Al2O3 + 40 vol.% Starch and carbon fiber (1:1 v/v) | 
| D | 50 vol.% Al2O3 + 50 vol.% Starch and carbon fiber (1:1 v/v) | 
| Sample | Pore Size Distribution (%) | |||
|---|---|---|---|---|
| <10 nm | 10–100 nm | 100–1000 nm | >1000 nm | |
| A | 5.25 | 69.96 | 15.96 | 8.82 | 
| B | 0.49 | 3.14 | 90.48 | 5.89 | 
| C | 0.00 | 1.46 | 93.57 | 4.67 | 
| D | 1.25 | 0.17 | 81.28 | 17.17 | 
| Publisher’s Note: MDPI stays neutral with regard to jurisdictional claims in published maps and institutional affiliations. | 
© 2022 by the authors. Licensee MDPI, Basel, Switzerland. This article is an open access article distributed under the terms and conditions of the Creative Commons Attribution (CC BY) license (https://creativecommons.org/licenses/by/4.0/).
Share and Cite
Chen, C.; Ding, X.; Wang, Y.; Luo, Z.; Zhai, P. Fractal Dimension Analysis of Structure and Bending Strength of Porous Alumina Prepared Using Starch and Carbon Fiber as Pore-Forming Agents. Fractal Fract. 2022, 6, 574. https://doi.org/10.3390/fractalfract6100574
Chen C, Ding X, Wang Y, Luo Z, Zhai P. Fractal Dimension Analysis of Structure and Bending Strength of Porous Alumina Prepared Using Starch and Carbon Fiber as Pore-Forming Agents. Fractal and Fractional. 2022; 6(10):574. https://doi.org/10.3390/fractalfract6100574
Chicago/Turabian StyleChen, Chang, Xuecheng Ding, Yubin Wang, Zhixing Luo, and Peiyu Zhai. 2022. "Fractal Dimension Analysis of Structure and Bending Strength of Porous Alumina Prepared Using Starch and Carbon Fiber as Pore-Forming Agents" Fractal and Fractional 6, no. 10: 574. https://doi.org/10.3390/fractalfract6100574
APA StyleChen, C., Ding, X., Wang, Y., Luo, Z., & Zhai, P. (2022). Fractal Dimension Analysis of Structure and Bending Strength of Porous Alumina Prepared Using Starch and Carbon Fiber as Pore-Forming Agents. Fractal and Fractional, 6(10), 574. https://doi.org/10.3390/fractalfract6100574
 
        


 
       