Abstract
Throughout this article, a novel control strategy for fractional-order gene regulation networks (FOGRN) of all categories is designed by using the vector Lyapunov function in combination with the M-matrix measure. Firstly, a series of puzzles surrounding the asymptotic stability of two-dimensional FOGRN are studied, and a new asymptotic stability control strategy is formulated based on the vector Lyapunov function in combination with the M-matrix measure, ensuring that the controlled FOGRN has a strong robust stability. In addition, the corresponding asymptotic stability criterion is deduced. On this basis, the problem of asymptotic stability of a three-dimensional FOGRN is studied. Based on the new method, a stabilization control strategy is also formulated with the corresponding asymptotic stability criterion deduced, ensuring that the controlled FOGRN has a strong robust stability as well. Finally, this novel method’s effectiveness and generality are authenticated via simulation experiments.
1. Introduction
In recent years, COVID-19 has made a big and severe negative impact globally, leading in turn to a series of chain reactions, such as economic downturn, population shrinkage, financial crisis, and widespread unemployment. Thanks to the tireless efforts of microbiologists, the structure of the new coronavirus was identified within two months of the outbreak. This great achievement is mainly attributed to researchers who studied the gene expression and regulation of the new coronavirus, thereby greatly shortening the time to identify the virus. Today, with the development of medical technology, research into genetic technology is constantly transforming and upgrading. Studies show the largest number of diseases are intimately connected with gene expression and regulation. Hence, the analysis of gene expression and regulation has become a research hot spot, which can offer massively important academic guidance and practical application value. Moreover, differential equation models are often chosen as mathematical models for the study of gene regulatory networks due to their efficient calculation and transformation functions. Many studies achieving relevant results show that researchers still maintain a strong interest in the mathematical problems of gene regulatory networks.
However, in the process of gene expression regulation, there is memory and genetic material from the previous moment; therefore, traditional integer order differential equations are not available to describe the transcription and expression processes of a gene regulation network. In these cases, the concept of fractional calculus was introduced and constitutes a significant portion of the current fields of mathematics and engineering theory. In recent years, we have also had some achievements in the field of fractional order [1,2,3,4,5]. It is capable of simulating the dynamic model of complex systems more precisely and intuitively. The broader stability context enhances the applicable scope of the study’s aim and tremendously improves the range of applications based on the consecutiveness of fractional calculus. Fractional calculus can be put to use in many kinds of system [6,7,8,9,10,11], for instance, multi-agent systems [12], neural systems [13,14], and composite systems [15], etc.
Furthermore, in contrast to the mathematical model in the form of an integer order, the state space equation model in the form of a fractional order has stronger continuity and veracity and is able to show a more intuitive effect in simulating the state transformation of FOGRN and the characteristics of the system itself. Another important reason for applying fractional-form mathematical models to approximate gene regulatory networks is that fractional-form models are good at preserving the memory and heritability of the system under study. Due to this important reason, the fractional-order mathematical model-building method is currently the preferred method for building gene regulatory networks in scientific research, and this method is very commonly put to use in the fields of bioengineering and medicine [16,17]. There is also a lot of work on FOGRNs. For instance, the chaos and stability of FOGRNs with two state variables have been analyzed [18]. Stabilization for a class of novel incommensurate FOGRN and some models of single-gene time-delay autoregulatory systems have been investigated [19]. The stability of FOGRNs with variable delays [20] and the synchronization of FOGRNs with time delays [21] have been analyzed, as has the stability of impulsive FOGRNs via the Lyapunov approach [22]. As seen from these studies, stability analysis is the focus of current research. The reason for this is that stability analysis can be used to correspondingly adjust the construction coefficients in a gene regulatory network; thus, for instance, the replication of the novel coronavirus can be inhibited and the risk of virus spread can be reduced. However, due to the fact that the internal structure of the gene regulatory network cannot be adjusted artificially in actual situations, studies are limited to only theoretical research; therefore, it is impossible to directly adjust the system structure parameters of a FOGRN. Under these circumstances, the system presents the desired stable state. Applying controllers to open loop fractional gene regulation networks, thereby achieving asymptotic stability, is of great importance and has real application value. However, existing control methods generally cannot give a FOGRN strong robustness. Since the fractional order and time delay of a FOGRN are uncertain constants, most studies only select specific fractional orders and time delays; for example, a fractional order can be selected at 0.98, close to 1, and a small time delay of 0.5 can be selected. However, in controlled research on fractional-order systems, a fractional order far from 1 and a time delay greater than 1 make it more difficult for the controlled system to achieve stability. In other words, the stability of a FOGRN is greatly affected by uncertain parameters such as the fractional order and time delay, and the controls designed in most references have poor robustness.
Inspired by this context, for the first time, we apply a new measure of an M-matrix in combination with the vector Lyapunov function to control the stabilization of a FOGRN. In addition, we propose the corresponding novel asymptotic stability criteria of a whole class of FOGRNs. The proposed method has the following innovative contributions:
First, the proposed method can be applied not only to two-dimensional FOGRNs but also to three-dimensional FOGRNs; that is, it is highly effective for all classes of FOGRN.
Second, this strategy can keep a controlled FOGRN asymptotically stable under the influence of different fractional orders and large time delays, which means it has robust stability.
Finally, the proposed method is not affected by a large number of different initial value changes, no matter what value the initial state is set to. After applying the control strategy of the proposed method, the full class of FOGRNs can achieve asymptotic stability, which means it has strong generality and universality.
2. Preliminaries and Model Description
The following fractional-order system of general forms are treated as objects for the following lemmas and definitions,
The fractional order is ; the N-dimensional vector x(t) is the system’s state in general form; is a function of ; which possesses local Lipchiz continuity; and f(0) = 0.
Lemma 1
([23]). Using f(0) = 0 we find that the original point is an equilibrium point. Next, we introduce the stability criterion of the fractional Lyapunov function. If the Lyapunov function respects System (3) in the general form, some numbers for Kappa functions βi(i = 1, 2, 3) can be used to establish the formula below:
Then, the fractional-order system in the general form is asymptotically stable.
Definition 1
([24]). The M-matrix is defined as follows. A real matrix can be established if its elements agree with the following formula: wij ≤ 0, when i ≠ j.
In addition, all principal minor determinants of this real matrix W are positively definite. In that way, is called the M-matrix.
3. Main Results
3.1. Stabilization Control of Two-Dimensional FOGRN
In the next part, a FOGRN with two state variables is chosen as the study object first [17,25]; the model is as follows:
In the state-space equation of the FOGRN mathematical model above, the state variables and structural parameters of each system have clear representations and meanings. Specifically, m(t) and p(t) are the concentrations of mRNA and protein, are the rate of degradation of mRNA and protein, and is the rate of synthesis of protein. Time-invariant delay is defined as the time between the onset of transcription and the arrival of mature mRNA molecules in the cytoplasm, and between the onset of translation and the emergence of fully functional protein molecules. In addition, the function g(p(t)) represents mRNA production, which is usually represented as a Hill-type monotone function and generally chosen to be of the following form:
In order to transform the internal connections of the FOGRN into a more easily and clearly identifiable form, the following equations are formulated: Then, Equation (4) can be converted into the state space equation below:
Next, the equation below can be obtained:
From the above formula,
Then, we apply the corresponding controller to the open-loop FOGRN (4) below:
where
in which represents the control gain of the controlled FOGRN (10).
Assumption 1.
Assuming that the Lyapunov functionof the controlled FOGRN (10) and a series of positive definite non-decreasing continuous functions, belong to the class of Kappa functions, the set of inequalities below is established:
Assumption 2.
Assuming that some positive numbers,the inequality below can be established:
where,
Assumption 3.
According to the Razumikhin interpretation [26], considering a continuous non-decreasing functionfor any s > 0,
Theorem 1.
If the controlled two-dimensional FOGRN (10) satisfies Assumptions 1 to 3, for any control law that satisfies the following conditions,
where,
and the following matrix ,
is an M-matrix, where then the controlled FOGRN (10) is asymptotically stable and the control law is robustly stable.
Proof of Theorem 1.
The Lyapunov function of FOGRN (10) is selected as below:
where
Next, we have
where , can be chosen, as below:
From (20), (21), (22), we have
where,
Then the following inequality can be obtained:
Then, we have,
where
Then, differentiating the i-th Lyapunov energy function of the controlled FOGRN, we have
According to the conditions in Assumption 3 and (18), we select the function as
where
Then, differentiating the vector Lyapunov energy function of the controlled FOGRN, we have
where
According to Definition 2, the two-dimensional FOGRN is asymptotically stable. Then, according to the conditions of the control law, we have
□
Since the proposed control strategy does not cover the uncertain system parameters such as fractional order and time delay, it can be applied to any situation under the constraints of fractional order and time delay, which accomplishes the demonstration.
3.2. Stabilization Control of the Three-Dimensional FOGRN
In this section, we considered that sRNA concentration and mRNA concentration would have certain internal connections based on intermolecular movement in the actual situation, so the three-variable FOGRN mathematical model incorporating sRNA concentration into state variables would be more consistent with the actual situation. The specific fractional state-space equation is shown below:
where the state variable s(t) represents the concentration of sRNA, and the structural coefficients e, d represent the degradation rate of sRNA and the rate at which sRNA pairs with mRNA, respectively. Similarly, we make v1(t) = m(t), v2(t) = s(t), v3(t) = p(t), which then (36) can be converted into the equation set below:
A feedback controller is added to the three-dimensional FOGRN as follows:
where
Theorem 2.
If the controlled FOGRN (37) satisfies Assumptions 1 to 3, for any control gain, i = 1, 2, 3, which satisfies the following conditions,
which makes the matrix W below an M-matrix,
where then the controlled three-dimensional FOGRN is asymptotically stable and the control law is robustly stable.
Proof of Theorem 2.
The same Lyapunov function is selected as the Lyapunov function for the three-dimensional FOGRN:
The following can be obtained from (43):
where,
Then, differentiating the i-th Lyapunov energy function of the controlled FOGRN, we have
According to the conditions in Assumption 3, we select the function as
where
Then, differentiating the vector Lyapunov energy function of the controlled FOGRN, we have
where
On the basis of Definition 2, the three-dimensional FOGRN is asymptotically stable.
Then, according to the conditions of the control law, we have
□
Thus, when the control law satisfies the constraint conditions, the controlled FOGRN can be robustly stabilized. In addition, if the proposed control strategy does not cover the uncertain system parameters such as fractional order and time delay, it can be applied to any situation under the constraints of fractional order and time delay, which demonstrates our point.
4. Numerical Simulation Analysis
In this section, to verify the effectiveness and generality of the new control strategy mentioned in the previous section, we conduct simulation experiments on the full-class FOGRN in two-dimensions and three-dimensions. First, the two-dimensional FOGRN is selected as the experimental object, and the structural parameters of the system are selected as shown in Table 1.
Table 1.
The structural parameters of the two-dimension FOGRN.
Then, the open loop two-dimensional FOGRN (4) can be changed into the following specific form:
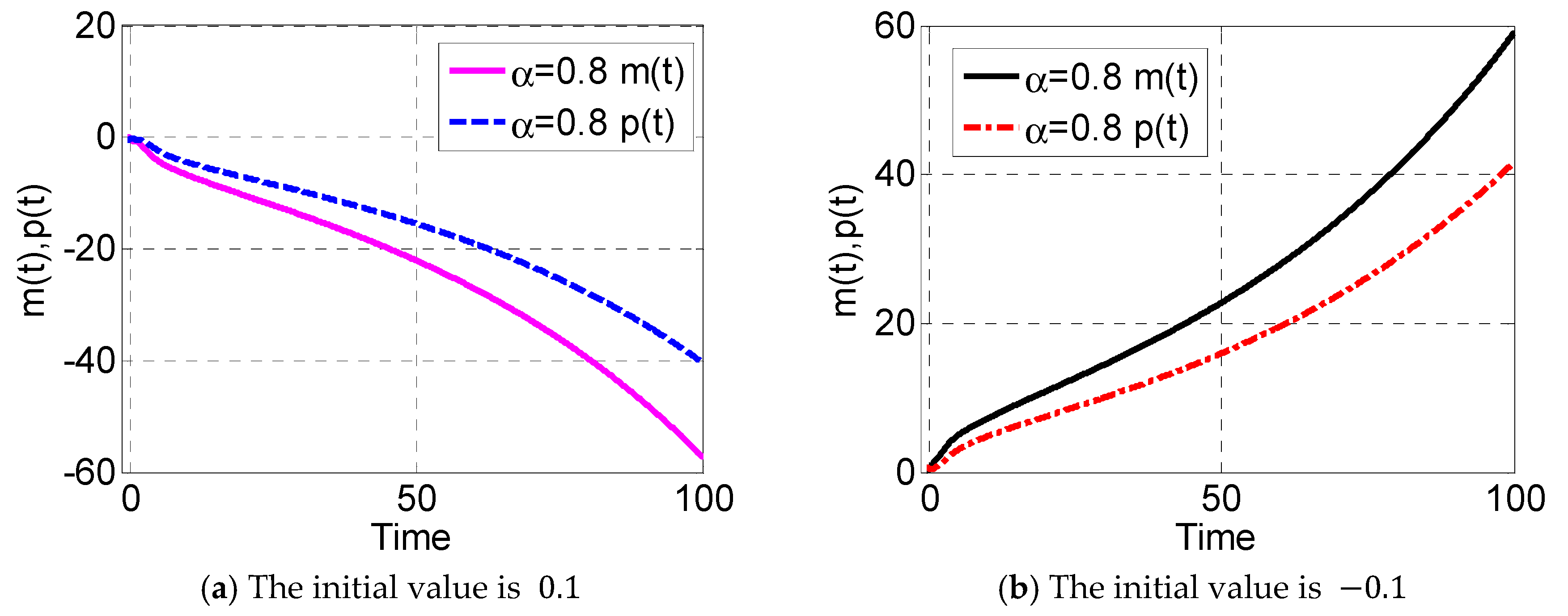
Without loss of generality, we select the fractional orders 0.5 and 0.8, and the initial values are selected as two sets of random values. Then, the time responses of the open loop two-dimensional FOGRN are shown in Figure 1 and Figure 2.
Figure 1.
Time response sequence diagram of the two-dimension FOGRN when α = 0.5.
Figure 2.
Time response sequence diagram of the two-dimension FOGRN when α = 0.8.
Next, according to the design scheme of the control strategy in Theorem 1, the control gains are formulated as follows:
Then, on the basis of (31), the positive constant φij > 1 can be formulated as φij = 1.1, i ≠ j, and the formula below is obtained:
Through calculation, the value of the judgment matrix W can be obtained as follows:
From the above formula, it can be intuitively judged that is an M-matrix. Next, the contrasting time responses between the controlled FOGRN based on the control strategy in Theorem 1 and the FOGRN without control are illustrated below when the fractional orders are 0.5 and 0.8 (Figure 3 and Figure 4).
Figure 3.
Contrasting time response of the two-dimension FOGRN when
Figure 4.
Contrasting time response of the two-dimension FOGRN when
On the basis of the above several groups of sequence diagrams, it can be intuitively shown that this controlled FOGRN having two variables is able to converge toward the origin, which illustrates that the two-dimensional FOGRN is asymptotically stable. In order to better reflect the generality and universality of the control strategy designed in this paper, we selected fifty groups of different initial values, and selected the cases when the time delays were τ = 0.5 and τ = 5. The corresponding time responses are shown in the figures below (Figure 5 and Figure 6).
Figure 5.
Time response of the two-dimension FOGRN when
Figure 6.
Time response of the two-dimension FOGRN when
It can be intuitively verified from the above four time responses that the method proposed in this paper has strong generality and universality. For different initial values and time delays, the two-dimensional FOGRN can achieve asymptotic stability.
In conclusion, for uncertain parameters in a FOGRN with two state variables, namely fractional order and time delay, we designed a control strategy that can make the controlled FOGRN with two state variables uninfluenced by the changes in the two uncertain parameters and able to achieve stability. Therefore, we can validate the proposed control strategy as having strong robustness.
Remark 1.
The simulation results in [27] only cover cases where the fractional order is extremely close to 1 but not cases far from 1. From the perspective of the stability of the fractional system, the farther away from 1 the fractional order is, the easier it is to cause system instability. However, the method proposed in this paper can be applied when the fractional order is 0.5, which shows that the method we proposed has strong generality and robustness.
Remark 2.
Compared with the method mentioned in Reference [28], the control strategy proposed in this paper can make the system have a faster convergence rate. Specifically, it can be seen from the protein concentration–time response graphs in Figure 1 and Figure 2 of the simulation section in [28] that the state variable can only reach stability when the time exceeds 20 step lengths. It can be seen from the partially enlarged graphs of the protein concentration–time response in Figure 3 and Figure 4 in this paper that the state variable can reach stability when the time is less than 5 step lengths.
Then, consider the case of a three-dimensional FOGRN with a more complex structure and the structural parameters of the three-dimensional FOGRN selected as shown in Table 2.
Table 2.
The structural parameters of the three-dimensional FOGRN.
Then, the open loop three-dimensional FOGRN (37) can be changed into the following specific form:
Without loss of generality, we select the fractional orders 0.5 and 0.8. Then, the time responses of the three-dimensional FOGRN are shown in Figure 7.
Figure 7.
Time response sequence diagram of the three-dimension FOGRN when
Next, according to the design scheme of the control strategy in Theorem 1, the control gains are formulated as follows:
Then, on the basis of (48), the positive constant φij > 1 can be formulated as φij = 1.1, i ≠ j and the formula below is obtained:
Through calculation, the value of the judgment matrix W can be obtained as follows:,
From the above formula, it can be intuitively judged that W is an M-matrix. Next, the contrasting time responses between the controlled FOGRN based on the control strategy in Theorem 2 and the three-dimension FOGRN without control are illustrated below with the fractional orders 0.5 and 0.8 (Figure 8 and Figure 9).
Figure 8.
Contrasting time response of the three-dimension FOGRN when

Figure 9.
Contrasting time response of the three-dimension FOGRN when
On the basis of the above several groups of sequence diagrams, it can be intuitively shown that this controlled FOGRN having three variables is able to converge toward the origin, which illustrates that the three-dimensional FOGRN is asymptotically stable. In order to better reflect the generality and universality of the control strategy designed in this paper, we selected fifty groups of different initial values and selected the cases when the time delays were τ = 0.5 and τ = 5. The corresponding time responses are shown in the figures below (Figure 10 and Figure 11).
Figure 10.
Time response of the three-dimension FOGRN when
Figure 11.
Time response of the three-dimension FOGRN when
In the same way, for uncertain parameters in the FOGRN with three state variables, namely fractional order and time delay, we designed a control strategy that can make the controlled FOGRN with three state variables uninfluenced by the changes in the two uncertain parameters and able to achieve stability. Therefore, we can validate the proposed control strategy as having strong robustness.
5. Conclusions
In this paper, a new control strategy is designed based on the combination of the vector Lyapunov function method and the M-matrix method of two-dimensional and three-dimensional FOGRNs for the first time, and a corresponding asymptotic stability criterion is proposed. It can be seen from the experimental results that the effectiveness and robustness of the new control strategy make it possible to act on different fractional orders, different initial values, and different time delays. The new control strategy is beneficial in revealing gene expression and regulatory processes in microorganisms and diseases, thereby providing a theoretical reference for the fields of bioengineering and medicine. Compared with the controllers in other references, our controller based on the measure of the vector Lyapunov function combined with the M-matrix can keep the controlled FOGRNs asymptotically stable under the influence of different fractional orders and large time delays, which means it has strong robust stability. In addition, the controller is not affected by a large number of different initial value changes, which means it has strong generality and universality.
However, since the fractional order can only be selected within the range of 0–1, it suffers certain limitations, which have to be further improved in future research. In addition, the method in this paper will be generalized to FOGRNs with time-varying delays and various categories of fractional-order physical systems in future research, such as fractional-order chaotic circuit systems, fractional-order financial systems, and fractional-order vehicle suspension systems, etc.
In addition, the study of fractional systems in our paper will be applied in future bioengineering to control the replication and proliferation of pathogens that cause major diseases, such as bacteria, viruses, and micro-organisms, etc., so as to achieve the goal of controlling the spread of the disease and to lay a solid theoretical foundation.
Author Contributions
Conceptualization, methodology, writing—original draft preparation, writing—review and editing, Z.L.; writing—review and editing, Z.Z.; writing—review and editing, Q.L.; writing—review and editing, M.R. All authors have read and agreed to the published version of the manuscript.
Funding
This work was supported by National Natural Science Foundation of China (31971190), Science Fund for Distinguished Young Scholars of Hunan Province (2021JJ10035), China Postdoctoral Science Foundation no. 2021TQ0102 and Natural Science Foundation of Changsha no. kq2202175.
Institutional Review Board Statement
Not applicable.
Informed Consent Statement
Not applicable.
Data Availability Statement
Not applicable.
Conflicts of Interest
The authors declare no conflict of interest.
References
- Zhang, Z.; Zhang, J.; Ai, Z. A novel stability criterion of the time-lag fractional-order gene regulatory network system for stability analysis. Commun. Nonlinear Sci. Numer. Simul. 2019, 66, 96–108. [Google Scholar] [CrossRef]
- Zhang, Z.; Wang, Y.; Zhang, J.; Ai, Z.; Liu, F. Novel stability results of multivariable fractional-order system with time delay. Chaos Solitons Fractals 2022, 157, 111943. [Google Scholar] [CrossRef]
- Zhang, Z.; Zhang, J. Asymptotic stable of general nonlinear fractional-order systems with multiple time delays. Nonlinear Dyn. 2020, 102, 605–619. [Google Scholar]
- Zhang, Z.; Ai, Z.; Zhang, J.; Cheng, F.; Liu, F.; Ding, C. A general stability criterion for multidimensional fractional-order network systems based on whole oscillation principle for small fractional-order operators. Chaos Solitons Fractals 2020, 131, 109506. [Google Scholar] [CrossRef]
- Zhang, Z.; Ushio, T.; Ai, Z.; Zhang, J. Novel stability condition for delayed fractional-order composite systems based on vector Lyapunov function. Nonlinear Dyn. 2020, 99, 1253–1267. [Google Scholar]
- Rosa, S.; Torres, D.F. Fractional-Order Modelling and Optimal Control of Cholera Transmission. Fractal Fract. 2021, 5, 261. [Google Scholar] [CrossRef]
- Salem, A.; Almaghamsi, L.; Alzahrani, F. An Infinite System of Fractional Order with p-Laplacian Operator in a Tempered Sequence Space via Measure of Noncompactness Technique. Fractal Fract. 2021, 5, 182. [Google Scholar] [CrossRef]
- Jahanzaib, L.S.; Trikha, P.; Matoog, R.T.; Muhammad, S.; Al-Ghamdi, A.; Higazy, M. Dual Penta-Compound Combination Anti-Synchronization with Analysis and Application to a Novel Fractional Chaotic System. Fractal Fract. 2021, 5, 264. [Google Scholar] [CrossRef]
- Xu, C.; Liao, M.; Li, P.; Yao, L.; Qin, Q.; Shang, Y. Chaos Control for a Fractional-Order Jerk System via Time Delay Feedback Controller and Mixed Controller. Fractal Fract. 2021, 5, 257. [Google Scholar] [CrossRef]
- Lin, Z.; Wang, H. Modeling and application of fractional-order economic growth model with time delay. Fractal Fract. 2021, 5, 74. [Google Scholar] [CrossRef]
- Ataşlar-Ayyıldız, B.; Karahan, O.; Yılmaz, S. Control and Robust Stabilization at Unstable Equilibrium by Fractional Controller for Magnetic Levitation Systems. Fractal Fract. 2021, 5, 101. [Google Scholar] [CrossRef]
- Hu, T.; He, Z.; Zhang, X.; Zhong, S. Leader-following consensus of fractional-order multi-agent systems based on event-triggered control. Nonlinear Dyn. 2020, 99, 2219–2232. [Google Scholar] [CrossRef]
- Wang, J.; Wen, Y.; Gou, Y.; Ye, Z.; Chen, H. Fractional-order gradient descent learning of BP neural networks with Caputo derivative. Neural Netw. 2017, 89, 19–30. [Google Scholar] [CrossRef] [PubMed]
- Jia, J.; Zeng, Z.; Wang, F. Pinning synchronization of fractional-order memristor-based neural networks with multiple time-varying delays via static or dynamic coupling. J. Frankl. Inst. 2021, 358, 895–933. [Google Scholar] [CrossRef]
- Ren, F.; Cao, F.; Cao, J. Mittag-Leffler stability and generalized Mittag-Leffler stability of fractional-order gene regulatory networks. Neurocomputing 2015, 160, 185–190. [Google Scholar] [CrossRef]
- Wang, W.; Nguang, S.K. Robust stability analysis of stochastic delayed genetic regulatory networks with polytopic uncertainties and linear fractional parametric uncertainties. Commun. Nonlinear Sci. Numer. Simul. 2014, 19, 1569–1581. [Google Scholar] [CrossRef]
- Sun, Q.; Xiao, M.; Tao, B. Local bifurcation analysis of a fractional-order dynamic model of genetic regulatory networks with delays. Neural Processing Lett. 2018, 47, 1285–1296. [Google Scholar] [CrossRef]
- Tao, B.; Xiao, M. Hopf bifurcation analysis of a delayed fractional-order genetic regulatory network model. Neurocomputing 2017, 275, 677–686. [Google Scholar] [CrossRef]
- Liu, F.; Dong, T.; Guan, Z. Stability Analysis and Bifurcation Control of a Delayed Incommensurate Fractional-Order Gene Regulatory Network. Int. J. Bifurc. Chaos 2020, 30, 2050089. [Google Scholar] [CrossRef]
- Padmaja, N.; Balasubramaniam, P. Mixed H ∞ H∞/passivity based stability analysis of fractional-order gene regulatory networks with variable delays. Math. Comput. Simul. 2021, 192, 167–181. [Google Scholar] [CrossRef]
- Qiao, Y.; Yan, H.; Duan, L.; Miao, J. Finite-time synchronization of fractional-order gene regulatory networks with time delay. Neural Netw. 2020, 126, 1–10. [Google Scholar] [CrossRef] [PubMed]
- Stamova, I.; Stamov, G. Lyapunov Approach for Almost Periodicity in Impulsive Gene Regulatory Networks of Fractional Order with Time-Varying Delays. Fractal Fract. 2021, 5, 268. [Google Scholar] [CrossRef]
- Li, Y.; Chen, Y.; Podlubny, I. Mittag-Leffler stability of fractional order nonlinear dynamic systems. Automatica 2009, 45, 1965–1969. [Google Scholar] [CrossRef]
- Siljak, D.D. Decentralized Control of Complex Systems; Courier Corporation: Chelmsford, MA, USA, 2011. [Google Scholar]
- Huang, C.; Cao, J. Hybrid control on bifurcation for a delayed fractional gene regulatory network. Chaos Solitons Fractals 2016, 87, 19–29. [Google Scholar] [CrossRef]
- Wen, Y.; Zhou, X.-F.; Zhang, Z.; Liu, S. Lyapunov method for nonlinear fractional differential systems with delay. Nonlinear Dyn. 2015, 82, 1015–1025. [Google Scholar] [CrossRef]
- Kaslik, E.; Rădulescu, I.R. Stability and bifurcations in fractional-order gene regulatory networks. Appl. Math. Comput. 2022, 421, 126916. [Google Scholar] [CrossRef]
- Wu, Z.; Wang, Z.; Zhou, T. Global uniform asymptotical stability for fractional-order gene regulatory networks with time-varying delays and structured uncertainties. Adv. Differ. Equ. 2021, 1, 1–18. [Google Scholar] [CrossRef]
Publisher’s Note: MDPI stays neutral with regard to jurisdictional claims in published maps and institutional affiliations. |
© 2022 by the authors. Licensee MDPI, Basel, Switzerland. This article is an open access article distributed under the terms and conditions of the Creative Commons Attribution (CC BY) license (https://creativecommons.org/licenses/by/4.0/).











