Analytic Solution of the Time-Fractional Partial Differential Equation Using a Multi-G-Laplace Transform Method
Abstract
1. Introduction
2. Preliminaries
- 1.
- If we set , and , we obtain the double Laplace transform
- 2.
- If we set and substituting s by ϖ, we obtain the Laplace–Yang transform
- 3.
- At and substituting by v, respectively, we obtain thw double Sumudu transform
3. Main Results
4. Formulation of (DGLT) for System of Fractional Partial Differential Equations
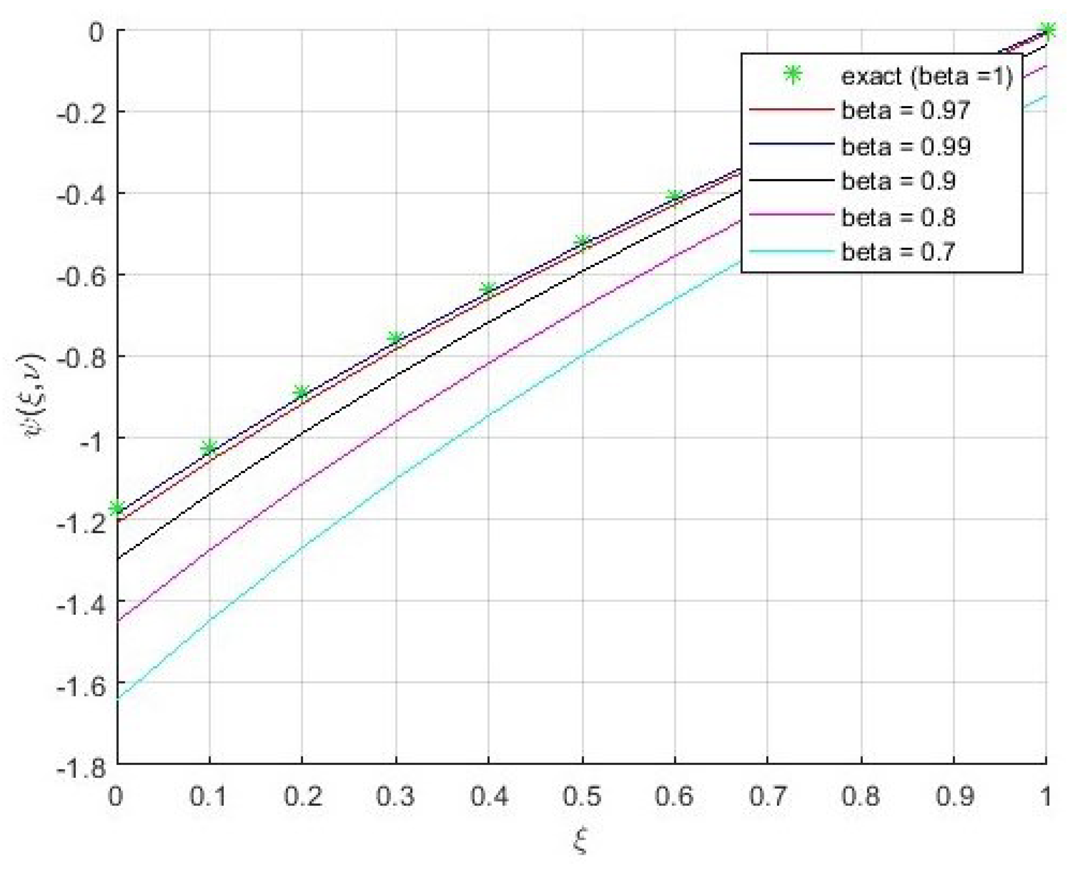
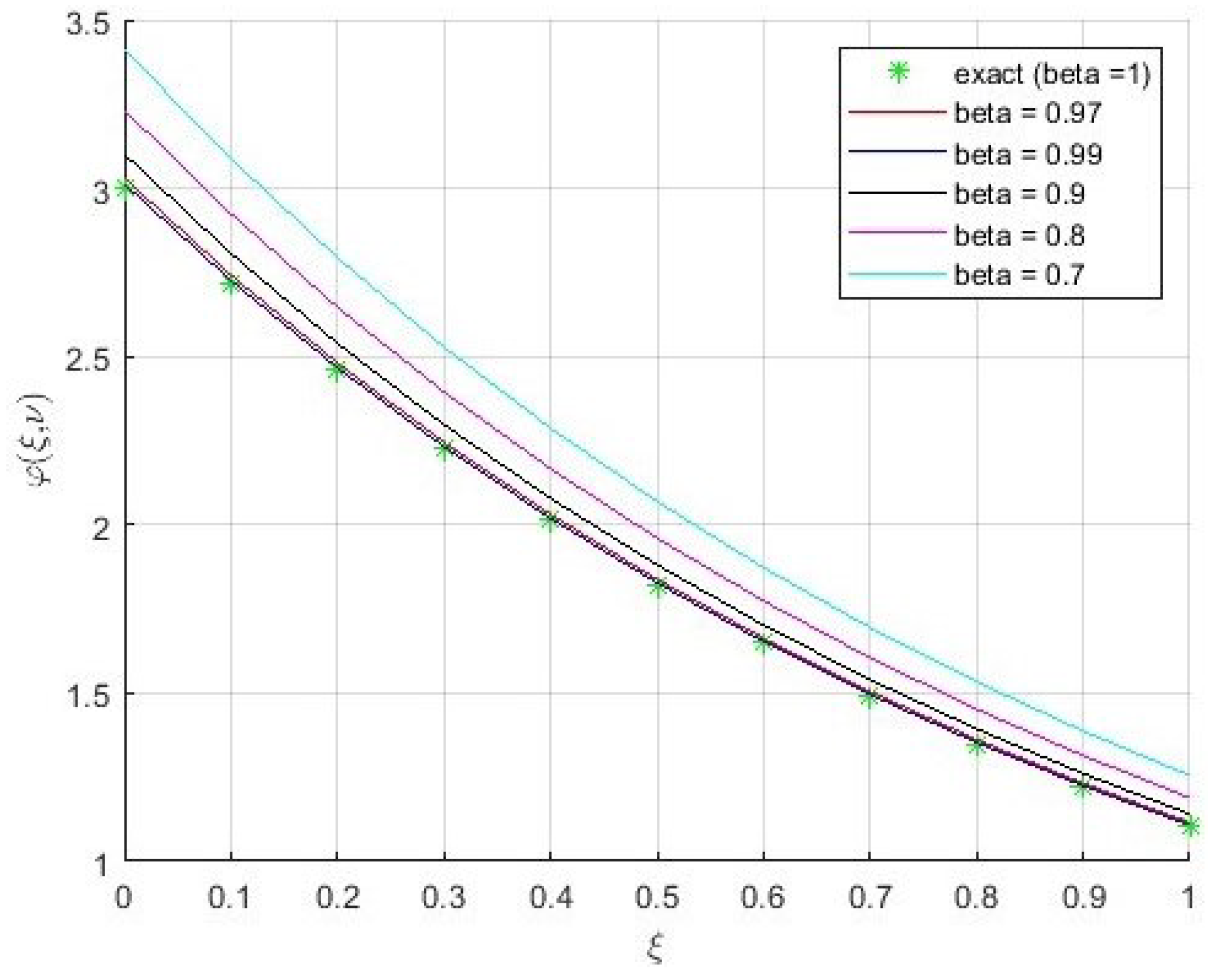
5. Applications
6. Conclusions
Funding
Data Availability Statement
Conflicts of Interest
References
- Jafari, H.; Daftardar-Gejji, V. Solving linear and nonlinear fractional diffusion and wave equations by Adomian decomposition. Appl. Math. Comput. 2006, 180, 488–497. [Google Scholar] [CrossRef]
- Zayed, E.M.E.; Amer, Y.A.; Shohib, R.M.A. The fractional complex transformation for nonlinear fractional partial differential equations in the mathematical physics. J. Assoc. Arab Univ. Basic Appl. Sci. 2016, 19, 59–69. [Google Scholar] [CrossRef]
- Momani, S.; Odibat, Z. Homotopy perturbation method for nonlinear partial differential equations of fractional order. Phys. Lett. A 2007, 365, 345–350. [Google Scholar] [CrossRef]
- El-Sayed, A.; Elsaid, A.; El-Kalla, I.; Hammad, D. A homotopy perturbation technique for solving partial differential equations of fractional order in finite domains. Appl. Math. Comput. 2012, 218, 8329–8340. [Google Scholar] [CrossRef]
- Odibat, Z.; Momani, S. Numerical methods for nonlinear partial differential equations of fractional order. Appl. Math. Model. 2008, 32, 28–39. [Google Scholar] [CrossRef]
- Sunthrayuth, P.; Alyousef, H.A.; El-Tantawy, S.A.; Khan, A.; Wyal, N. Solving fractional-order diffusion equations in a plasma and fluids via a novel transform. J. Funct. Spaces 2022, 2022, 1899130. [Google Scholar] [CrossRef]
- Fathima, D.; Alahmadi, R.A.; Khan, A.; Akhter, A.; Ganie, A.H. An Efficient Analytical Approach to Investigate Fractional Caudrey-Dodd-Gibbon Equations with Non-Singular Kernel Derivatives. Symmetry 2023, 15, 850. [Google Scholar] [CrossRef]
- Bonyadi, S.; Mahmoudi, Y.; Lakestani, M.; Jahangiri Rad, M. Numerical solution of space-time fractional PDEs with variable coefficients using shifted Jacobi collocation method. Comput. Methods Differ. Equ. 2023, 11, 81–94. [Google Scholar]
- Shah, R.; Khan, H.; Kumam, P.; Arif, M. An analytical technique to solve the system of nonlinear fractional partial differential equations. Mathematics 2019, 7, 505. [Google Scholar] [CrossRef]
- Khan, H.; Shah, R.; Kumam, P.; Baleanu, D.; Arif, M. Laplace decomposition for solving nonlinear system of fractional order partial differential equations. Adv. Differ. Equ. 2020, 2020, 375. [Google Scholar] [CrossRef]
- Shah, R.; Khan, H.; Farooq, U.; Baleanu, D.; Kumam, P.; Arif, M. A New Analytical Technique to Solve System of Fractional-Order Partial Differential Equations. IEEE Access 2019, 7, 150037–150050. [Google Scholar] [CrossRef]
- AlBaidani, M.M.; Ganie, A.H.; Khan, A. Computational Analysis of Fractional-Order KdV Systems in the Sense of the Caputo Operator via a Novel Transform. Fractal Fract. 2023, 7, 812. [Google Scholar] [CrossRef]
- Bouzgarrou, S.M.; Znaidia, S.; Noor, A.; Ahmad, S.; Eldin, S.M. Coupled Fixed Point and Hybrid Generalized Integral Transform Approach to Analyze Fractal Fractional Nonlinear Coupled Burgers Equation. Fractal Fract. 2023, 7, 551. [Google Scholar] [CrossRef]
- Alesemi, M.; Shahrani, J.S.A.; Iqbal, N.; Shah, R.; Nonlaopon, K. Analysis and Numerical Simulation of System of Fractional Partial Differential Equations with Non-Singular Kernel Operators. Symmetry 2023, 15, 233. [Google Scholar] [CrossRef]
- Baleanu, D.; Jassim, H.K. Exact Solution of Two-Dimensional Fractional Partial Differential Equations. Fractal Fract. 2020, 4, 21. [Google Scholar] [CrossRef]
- Kim, H. The intrinsic structure and properties of Laplace-typed integral transforms. Math. Probl. Eng. 2017, 2017, 1762729. [Google Scholar] [CrossRef]
- Supaknaree, S.; Nonlapon, K.; Kim, H. Further properties of Laplace-type integral transform. Dyn. Syst. Appl. 2019, 28, 195–215. [Google Scholar] [CrossRef]
- Nuruddeen, R.I.; Akbar, Y.; Kim, H. On the application of G_ integral transform to nonlinear dynamical models with non-integer order derivatives. AIMS Math. 2022, 7, 17859–17878. [Google Scholar] [CrossRef]
- Eltayeb, H.; Mesloub, S. The New G-Double-Laplace Transforms and One-Dimensional Coupled Sine-Gordon Equations. Axioms 2024, 13, 385. [Google Scholar] [CrossRef]
- Rudolf, H. (Ed.) Applications of Fractional Calculus in Physics; World Scientic: Singapore, 2000. [Google Scholar]
- Bayrak, M.; Demir, A. A new approach for space-time fractional partial differential equations by residual power series method. Appl. Math. Comput. 2018, 336, 215–230. [Google Scholar]
- Eltayeb, H.; Kilicman, A. A Note on Double Laplace Transform and Telegraphic Equations. Abstr. Appl. Anal. 2013, 2013, 932578. [Google Scholar] [CrossRef]
- Jafari, H.; Nazari, M.; Baleanu, D.; Khalique, C.M. A new approach for solving a system of fractional partial differential equations. Comput. Math. Appl. 2013, 66, 838–843. [Google Scholar] [CrossRef]










Disclaimer/Publisher’s Note: The statements, opinions and data contained in all publications are solely those of the individual author(s) and contributor(s) and not of MDPI and/or the editor(s). MDPI and/or the editor(s) disclaim responsibility for any injury to people or property resulting from any ideas, methods, instructions or products referred to in the content. |
© 2024 by the author. Licensee MDPI, Basel, Switzerland. This article is an open access article distributed under the terms and conditions of the Creative Commons Attribution (CC BY) license (https://creativecommons.org/licenses/by/4.0/).
Share and Cite
Eltayeb, H. Analytic Solution of the Time-Fractional Partial Differential Equation Using a Multi-G-Laplace Transform Method. Fractal Fract. 2024, 8, 435. https://doi.org/10.3390/fractalfract8080435
Eltayeb H. Analytic Solution of the Time-Fractional Partial Differential Equation Using a Multi-G-Laplace Transform Method. Fractal and Fractional. 2024; 8(8):435. https://doi.org/10.3390/fractalfract8080435
Chicago/Turabian StyleEltayeb, Hassan. 2024. "Analytic Solution of the Time-Fractional Partial Differential Equation Using a Multi-G-Laplace Transform Method" Fractal and Fractional 8, no. 8: 435. https://doi.org/10.3390/fractalfract8080435
APA StyleEltayeb, H. (2024). Analytic Solution of the Time-Fractional Partial Differential Equation Using a Multi-G-Laplace Transform Method. Fractal and Fractional, 8(8), 435. https://doi.org/10.3390/fractalfract8080435

