Soil Carbon and Nitrogen Forms and Their Relationship with Nitrogen Availability Affected by Cover Crop Species and Nitrogen Fertilizer Doses
Abstract
1. Introduction
2. Materials and Methods
2.1. Study Area
2.2. Soil Analyses
2.3. Experiment, Cultural Practices, and Management
2.4. Collection of Samples and Evaluated Attributes
2.5. Data Analyses
3. Results
3.1. Soil Total and Water-Extractable Organic C and N Contents
3.2. Soil Organic N Fractions
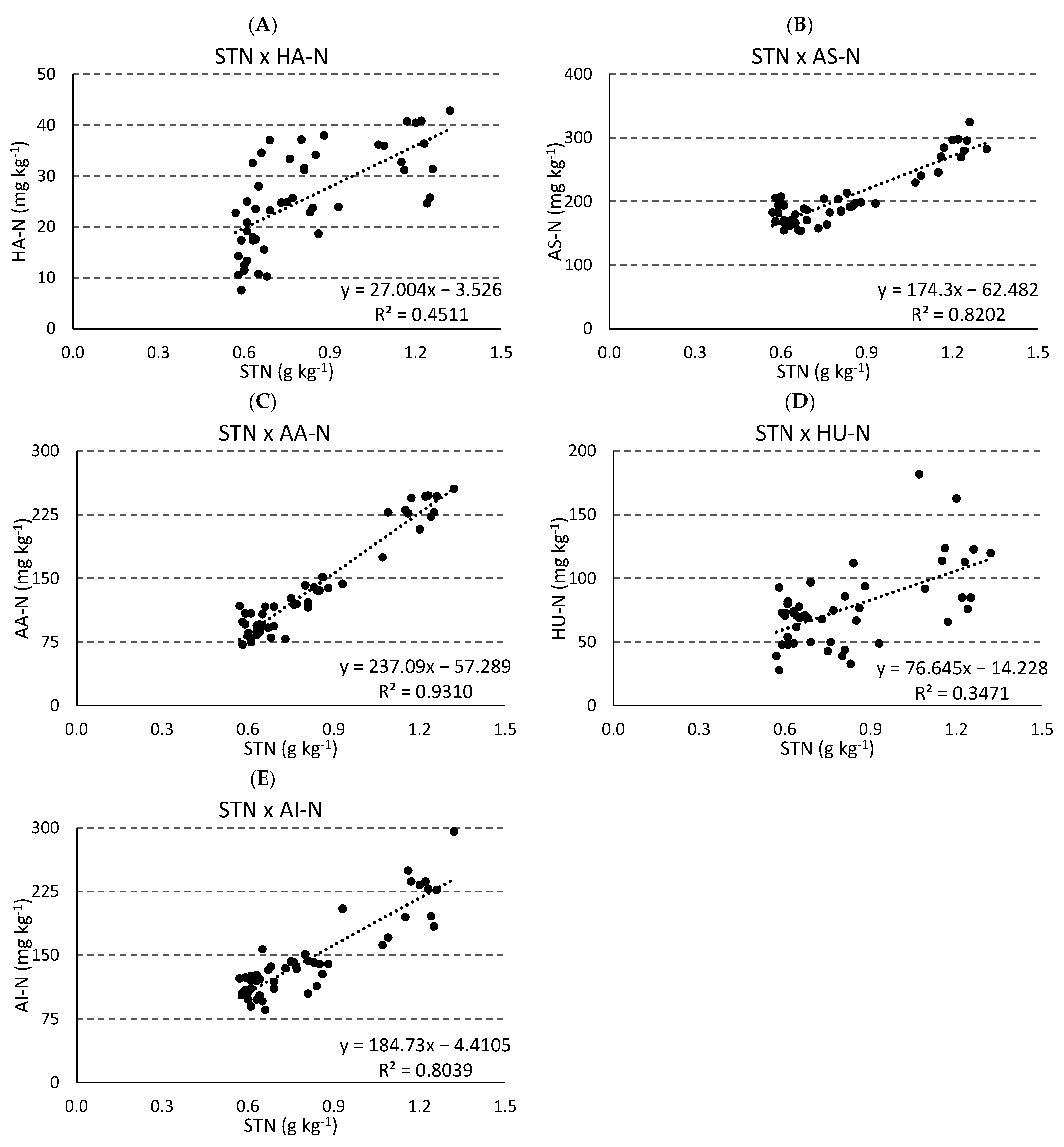
3.3. Potentially Available Nitrogen and Correlations
4. Discussion
5. Conclusions
Author Contributions
Funding
Data Availability Statement
Acknowledgments
Conflicts of Interest
References
- Kassam, A.; Friedrich, T.; Derpsch, R. Global spread of Conservation Agriculture. Int. J. Environ. Stud. 2019, 76, 29–51. [Google Scholar] [CrossRef]
 - Bettiol, A.C.T.; Braos, L.B.; Lopes, I.G.; Andriolli, I.; Ferreira, M.E.; Cruz, M.C.P. Evaluation of potentially available nitrogen by biological and chemical methods in soil cultivated with maize in succession to cover crops. J. Plant Nutr. 2021, 45, 1919–1932. [Google Scholar] [CrossRef]
 - Raphael, J.P.A.; Calonego, J.C.; Milori, D.M.B.P.; Rosolem, C.A. Soil organic matter in crop rotations under no-till. Soil Tillage Res. 2016, 155, 45–53. [Google Scholar] [CrossRef]
 - Mazzoncini, M.; Sapkota, T.B.; Bàrberi, P.; Antichi, D.; Risaliti, R. Long-term effect of tillage, nitrogen fertilization and cover crops on soil organic carbon and total nitrogen content. Soil Tillage Res. 2011, 114, 165–174. [Google Scholar] [CrossRef]
 - Franzluebbers, A.J. Soil organic matter stratification ratio as an indicator of soil quality. Soil Tillage Res. 2002, 66, 95–106. [Google Scholar] [CrossRef]
 - Calonego, J.C.; Raphael, J.P.A.; Rigon, J.P.G.; de Oliveira Neto, L.; Rosolem, C.A. Soil compaction management and soybean yields with cover crops under no-till and occasional chiseling. Eur. J. Agron. 2017, 81, 31–37. [Google Scholar] [CrossRef]
 - Talbot, J.M.; Treseder, K.K. Interactions between lignin, cellulose, and nitrogem drive litter chemistry—Decay relationships. Ecology 2012, 93, 345–354. [Google Scholar] [CrossRef]
 - Kramberger, B.; Gselman, A.; Janzekovic, M.; Kaligaric, M.; Bracko, B. Effects of cover crops on soil mineral nitrogen and on the yield and nitrogen content of maize. Eur. J. Agron. 2009, 31, 103–109. [Google Scholar] [CrossRef]
 - Carciochi, W.D.; Massigoge, I.; Lapaz Olveira, A.; Reussi Calvo, N.I.; Cafaro La Menza, F.; Sainz Rozas, H.R.; Barbieri, P.A.; Di Napoli, M.; Gonzalez Montaner, J.; Ciampitti, I.A. Cover crop species can increase or decrease the fertilizer-nitrogen requirement in maize. Agron. J. 2021, 113, 5412–5423. [Google Scholar] [CrossRef]
 - Dessureault-Rompré, J. Soil Nitrogen Supply: Linking Plant Available N to Ecosystem Functions and Productivity. Nitrogen 2022, 3, 455–457. [Google Scholar] [CrossRef]
 - Mulvaney, R.L.; Khan, S.A.; Ellsworth, T.R. Synthetic Nitrogen Fertilizers Deplete Soil Nitrogen: A Global Dilemma for Sustainable Cereal Production. J. Environ. Qual. 2009, 38, 2295–2314. [Google Scholar] [CrossRef]
 - Allen, D.E.; Bloesch, P.M.; Orton, T.G.; Schroeder, B.L.; Skocaj, D.M.; Wang, W.; Masters, B.; Moody, P.M. Nitrogen mineralisation in sugarcane soils in Queensland, Australia: I. evaluation of soil tests for predicting nitrogen mineralisation. Soil Res. 2019, 57, 738–752. [Google Scholar] [CrossRef]
 - Knorr, M.; Frey, S.D.; Curtis, P.S. Nitrogen additions and litter decomposition: A meta-analysis. Ecology 2005, 86, 3252–3257. [Google Scholar] [CrossRef]
 - Braos, B.B.; Ferreira, M.E.; da Cruz, M.C.P.; Braos, L.B.; Barbosa, J.C. Mild and moderate extraction methods to assess potentially available soil organic nitrogen. Rev. Bras. Ciênc. Solo 2016, 40, e0151059. [Google Scholar] [CrossRef]
 - Sun, L.; Chang, S.X.; Feng, Y.S.; Dyck, M.F.; Puurveen, D. Nitrogen fertilization and tillage reversal affected water-extractable organic carbon and nitrogen differentially in a Black Chernozem and a Gray Luvisol. Soil Tillage Res. 2015, 146, 253–260. [Google Scholar] [CrossRef]
 - Mulvaney, R.L.; Khan, S.A.; Hoeft, R.G.; Brown, H.M. A Soil Organic Nitrogen Fraction that Reduces the Need for Nitrogen Fertilization. Soil Sci. Soc. Am. J. 2001, 65, 1164–1172. [Google Scholar] [CrossRef]
 - Stevenson, F.J. Nitrogen-organic forms. In Methods of Soil Analysis Part 3—Chemical Methods; Sparks, D.L., Ed.; Soil Science Society of America: Madison, WI, USA, 1996; pp. 1185–1200. [Google Scholar]
 - Khan, S.A.; Mulvaney, R.L.; Hoeft, R.G. A Simple Soil Test for Detecting Sites that are Nonresponsive to Nitrogen Fertilization. Soil Sci. Soc. Am. J. 2001, 65, 1751. [Google Scholar] [CrossRef]
 - Otto, R.; Mulvaney, R.L.; Khan, S.A.; Trivelin, P.C.O. Quantifying soil nitrogen mineralization to improve fertilizer nitrogen management of sugarcane. Biol. Fertil. Soils 2013, 49, 893–904. [Google Scholar] [CrossRef]
 - Braos, L.B.; Carlos, R.S.; Kuhnen, F.; Ferreira, M.E.; Mulvaney, R.L.; Khan, S.A.; Cruz, M.C.P. Predicting Soil Nitrogen Availability for Maize Production in Brazil. Nitrogen 2022, 3, 555–568. [Google Scholar] [CrossRef]
 - dos Santos, H.G.; Jacomine, P.K.T.; dos Anjos, L.H.C.; de Oliveira, V.Á.; Lumbreras, J.F.; Coelho, M.R.; de Almeida, J.A.; Cunha, T.J.F.; de Oliveira, J.B. (Eds.) Embrapa Sistema Brasileiro de Classificação de Solos, 3rd ed.; Embrapa: Brasília, Brazil, 2013; ISBN 85-85864-19-2. [Google Scholar]
 - Soil Survey. Staff Keys to Soil Taxonomy by Soil Survey Staff, 12th ed.; USDA-NRCS: Washington, DC, USA, 2014; Volume 12, ISBN 0926487221.
 - van Raij, B.; Andrade, J.C.; Cantarella, H.; Quaggio, J.A. Análise Química Para Avaliação da Fertilidade de Solos Tropiciais; van Raij, B., de Andrade, J.C., Cantarella, H., Quaggio, J.A., Eds.; Instituto Agronômico: Campinas, Brazil, 2001. [Google Scholar]
 - Camargo, O.A.; Moniz, A.C.; Jorge, J.A.; Valadares, J.M.A.S. Métodos de Análise Química, Mineralógica e Física de Solos do Instituto Agronômico de Campinas; Instituto Agronômico: Campinas, Brazil, 2009; Volume 106. [Google Scholar]
 - de Campos, F.P.; Nussio, C.M.B.; Nussio, L.G. (Eds.) Métodos de Análise de Alimentos; FEALQ: Piracicaba, Brazil, 2004. [Google Scholar]
 - Sparling, G.; Vojvodić-Vuković, M.; Schipper, L.A. Hot-water, soluble C as a simple measure of labile soil organic matter: The relationship with microbial biomass C. Soil Biol. Biochem. 1998, 30, 1469–1472. [Google Scholar] [CrossRef]
 - Mulvaney, R.L.; Khan, S.A. Diffusion Methods to Determine Different Forms of Nitrogen in Soil Hydrolysates. Soil Sci. Soc. Am. J. 2001, 65, 1284–1292. [Google Scholar] [CrossRef]
 - Gianello, C.; Bremner, J.M. A rapid steam distillation method of assessing potentially available organic nitrogen in soil. Commun. Soil Sci. Plant Anal. 1986, 19, 1551–1568. [Google Scholar] [CrossRef]
 - Roberts, T.; Ross, W.; Norman, R.; Slaton, N.; Wilson, C. Predicting Nitrogen Fertilizer Needs for Rice in Arkansas Using Alkaline Hydrolyzable-Nitrogen. Soil Sci. Soc. Am. J. 2011, 75, 1161–1171. [Google Scholar] [CrossRef]
 - Stevenson, F. Humus Chemistry; John Willet & Sons: New York, NY, USA, 1994; ISBN 9780471594741. [Google Scholar]
 - Grzyb, A.; Wolna-Maruwka, A.; Niewiadomska, A. Environmental factors affecting the mineralization of crop residues. Agronomy 2020, 10, 1951. [Google Scholar] [CrossRef]
 - Muhammad, W.; Vaughan, S.M.; Dalal, R.C.; Menzies, N.W. Crop residues and fertilizer nitrogen influence residue decomposition and nitrous oxide emission from a Vertisol. Biol. Fertil. Soils 2011, 47, 15–23. [Google Scholar] [CrossRef]
 - Vyn, T.J.; Faber, J.G.; Janovicek, K.J.; Beauchamp, E.G. Cover crop effects on nitrogen availability to corn following wheat. Agron. J. 2000, 92, 915–924. [Google Scholar] [CrossRef]
 - Mbuthia, L.W.; Acosta-Martínez, V.; DeBryun, J.; Schaeffer, S.; Tyler, D.; Odoi, E.; Mpheshea, M.; Walker, F.; Eash, N. Long term tillage, cover crop, and fertilization effects on microbial community structure, activity: Implications for soil quality. Soil Biol. Biochem. 2015, 89, 24–34. [Google Scholar] [CrossRef]
 - Jian, S.; Li, J.; Chen, J.; Wang, G.; Mayes, M.A.; Dzantor, K.E.; Hui, D.; Luo, Y. Soil extracellular enzyme activities, soil carbon and nitrogen storage under nitrogen fertilization: A meta-analysis. Soil Biol. Biochem. 2016, 101, 32–43. [Google Scholar] [CrossRef]
 - Reddy, K.S.; Singh, M.; Tripathi, A.K.; Singh, M.; Saha, M.N. Changes in amount of organic and inorganic fractions of nitrogen in an Eutrochrept soil after long-term cropping with different fertilizer and organic manure inputs. J. Plant Nutr. Soil Sci. 2003, 166, 232–238. [Google Scholar] [CrossRef]
 - Curtin, D.; Wright, C.E.; Beare, M.H.; McCallum, F.M. Hot Water-Extractable Nitrogen as an Indicator of Soil Nitrogen Availability. Soil Sci. Soc. Am. J. 2006, 70, 1512–1521. [Google Scholar] [CrossRef]
 - Rogers, C.W.; Schroeder, K.; Rashed, A.; Roberts, T.L. Evaluation of Soil Tests for Measuring Potentially Mineralizable Soil N in Southern Idaho Soils. Soil Sci. Soc. Am. J. 2018, 82, 1279–1289. [Google Scholar] [CrossRef]
 



| Depth † | Ph ‡ CaCl2  | SOC | Resin P  | K+ | Ca2+ | Mg2+ | H + Al | CEC | BS | Clay | Silt | Sand | 
|---|---|---|---|---|---|---|---|---|---|---|---|---|
| cm | g kg−1 | mg kg−1 | mmolc kg−1 | % | g kg−1 | |||||||
| 0–20 | 4.5 | 13.9 | 70 | 3.7 | 16 | 7 | 56 | 83 | 32 | 474 | 27 | 499 | 
| 20–40 | 4.3 | 10.4 | 14 | 2.4 | 12 | 5 | 50 | 70 | 28 | 497 | 22 | 481 | 
| 40–60 | 4.5 | 9.0 | 8 | 1.4 | 11 | 5 | 41 | 58 | 29 | 504 | 29 | 467 | 
| Cover Crops a | DM b | TOC | TN | Hemi | Cel | Lig | C:N | Lig:N | Biomass C  | Biomass N  | 
|---|---|---|---|---|---|---|---|---|---|---|
| t ha−1 | g kg−1 | T ha−1 | kg ha−1 | |||||||
| Fallow | 4.6 ± 0.6 | 444 ± 26 | 16 ± 3 | 310 ± 35 | 310 ± 37 | 50 ± 9 | 28 ± 5 | 3 ± 0 | 2.04 ± 0.4 | 74 ± 12 | 
| Rattlepod | 4.8 ± 0.9 | 410 ± 25 | 34 ± 2 | 144 ± 16 | 186 ± 21 | 46 ± 5 | 12 ± 3 | 1 ± 0 | 1.97 ± 0.3 | 163 ± 31 | 
| Jack Bean | 6.9 ± 0.5 | 463 ± 29 | 32 ± 2 | 230 ± 25 | 250 ± 31 | 70 ± 8 | 14 ± 4 | 2 ± 0 | 3.19 ± 0.6 | 221 ± 36 | 
| Lablab | 5.1 ± 0.8 | 456 ± 27 | 29 ± 1 | 200 ± 21 | 270 ± 33 | 70 ± 10 | 16 ± 4 | 2 ± 0 | 2.33 ± 0.4 | 148 ± 26 | 
| Velvet bean | 5.0 ± 0.5 | 474 ± 28 | 45 ± 3 | 150 ± 16 | 250 ± 31 | 110 ± 12 | 11 ± 2 | 2 ± 0 | 2.37 ± 0.4 | 225 ± 40 | 
| Millet | 22.3 ± 2.9 | 456 ± 27 | 11 ± 1 | 270 ± 29 | 330 ± 39 | 50 ± 6 | 41 ± 6 | 4 ± 0 | 10.17 ± 1.8 | 245 ± 44 | 
| Cover Crops a | SOC b (g kg−1) | STN (g kg−1) | ||||
|---|---|---|---|---|---|---|
| N0 | N1 | Mean c | N0 | N1 | Mean | |
| 0–5 cm | ||||||
| Fallow | 15.5 Ca c | 15.2 Da | 15.4 | 1.09 Ca | 1.07 Ba | 1.08 | 
| Rattlepod | 17.8 ABa | 17.0 BCa | 17.4 | 1.20 ABCa | 1.15 ABa | 1.18 | 
| Jack Bean | 17.2 ABb | 18.5 ABa | 17.9 | 1.26 Aba | 1.23 Aa | 1.25 | 
| Lablab | 15.2 Cb | 17.8 BCa | 16.5 | 1.22 Aba | 1.24 Aa | 1.23 | 
| Velvet bean | 18.8 Aa | 19.5 Aa | 19.2 | 1.32 Aa | 1.16 ABb | 1.24 | 
| Millet | 16.8 BCa | 16.5 CDa | 16.7 | 1.17 BCb | 1.25 Aa | 1.21 | 
| Mean | 16.9 | 17.4 | 1.21 | 1.18 | ||
| 5–10 cm | ||||||
| Fallow | 11.2 | 11.5 | 11.4 B | 0.76 Da | 0.81 ABa | 0.79 | 
| Rattlepod | 12.5 | 13.0 | 12.8 A | 0.88 Aba | 0.84 ABa | 0.86 | 
| Jack Bean | 12.5 | 12.8 | 12.6 A | 0.75 Db | 0.86 Aa | 0.81 | 
| Lablab | 12.2 | 12.2 | 12.2 AB | 0.93 Aa | 0.83 ABb | 0.88 | 
| Velvet bean | 11.5 | 12.0 | 11.8 AB | 0.85 BCa | 0.77 Bb | 0.81 | 
| Millet | 11.8 | 12.2 | 12.0 AB | 0.80 CDa | 0.81 ABa | 0.81 | 
| Mean | 12.0 | 12.3 | 0.83 | 0.82 | ||
| 10–20 cm | ||||||
| Fallow | 10.0 | 10.2 | 10.2 AB | 0.64 | 0.66 | 0.65 AB | 
| Rattlepod | 10.5 | 10.5 | 10.5 AB | 0.69 | 0.63 | 0.66 AB | 
| Jack Bean | 11.0 | 11.0 | 11.0 A | 0.57 | 0.64 | 0.61 B | 
| Lablab | 11.0 | 11.0 | 11.0 A | 0.65 | 0.73 | 0.69 A | 
| Velvet bean | 10.5 | 10.0 | 10.2 AB | 0.61 | 0.67 | 0.64 AB | 
| Millet | 9.2 | 10.2 | 9.8 B | 0.63 | 0.69 | 0.66 AB | 
| Mean | 10.4 | 10.5 | 0.63 b | 0.67 a | ||
| 20–40 cm | ||||||
| Fallow | 10.0 Aa | 8.2 Bb | 9.1 | 0.63 a | 0.59 ABa | 0.61 | 
| Rattlepod | 9.5 Aab | 9.0 ABa | 9.3 | 0.65 a | 0.58 Bb | 0.62 | 
| Jack Bean | 8.5 BCDb | 9.8 Aa | 9.2 | 0.61 b | 0.68 Aa | 0.65 | 
| Lablab | 8.2 CDb | 9.8 Aa | 9.0 | 0.59 a | 0.61 ABa | 0.60 | 
| Velvet bean | 9.0 ABCa | 9.5 Aa | 9.3 | 0.61 a | 0.60 ABa | 0.61 | 
| Millet | 7.8 Da | 8.2 Ba | 8.0 | 0.58 a | 0.60 ABa | 0.59 | 
| Mean | 8.8 | 9.1 | 0.61 | 0.61 | ||
| Cover Crops a | WEOC b (mg dm−3) | WEON (mg dm−3) | ||||
|---|---|---|---|---|---|---|
| N0 | N1 | Mean c | N0 | N1 | Mean | |
| 0–5 cm | ||||||
| Fallow | 279 Db c | 360 Ca | 320 | 49.0 Da | 53.4 Ca | 51.2 | 
| Rattlepod | 398 Bb | 430 Aa | 414 | 64.3 BCa | 68.6 Aa | 66.5 | 
| Jack Bean | 370 Ca | 356 Ca | 363 | 73.4 Aa | 60.8 Bb | 67.1 | 
| Lablab | 440 Aa | 429 Aa | 435 | 67.7 ABa | 69.1 Aa | 68.4 | 
| Velvet bean | 390 BCa | 402 Ba | 396 | 64.7 BCa | 59.9 Bb | 62.3 | 
| Millet | 370 Cb | 402 Ba | 386 | 60.8 Ca | 63.0 ABa | 61.9 | 
| Mean | 375 | 397 | 63.3 | 62.5 | ||
| 5–10 cm | ||||||
| Fallow | 162 Cb | 186 BCa | 174 | 29.9 BCa | 30.8 Ba | 30.4 | 
| Rattlepod | 172 Cb | 239 Aa | 206 | 33.2 ABCa | 34.4 Ba | 33.8 | 
| Jack Bean | 218 Aa | 175 CDb | 197 | 36.2 Ab | 41.3 Aa | 38.8 | 
| Lablab | 211 ABa | 159 Db | 185 | 28.3 Ca | 31.2 Ba | 29.8 | 
| Velvet bean | 179 Cb | 236 Aa | 208 | 35.4 Aba | 34.4 Ba | 34.9 | 
| Millet | 188 BCa | 204 Ba | 196 | 38.4 Aa | 31.9 Bb | 35.2 | 
| Mean | 188 | 200 | 33.6 | 34.0 | ||
| 10–20 cm | ||||||
| Fallow | 92 Bb | 148 ABa | 120 | 13.9 | 17.2 | 15.5 B | 
| Rattlepod | 110 Bb | 156 Aa | 133 | 20.8 | 22.5 | 21.6 A | 
| Jack Bean | 169 Aa | 143 ABb | 156 | 22.2 | 21.9 | 22.1 A | 
| Lablab | 106 Ba | 116 Ba | 111 | 25.9 | 20.0 | 23.0 A | 
| Velvet bean | 110 Bb | 145 ABa | 128 | 21.3 | 20.4 | 20.9 A | 
| Millet | 116 Ba | 129 ABa | 123 | 21.8 | 21.7 | 21.8 A | 
| Mean | 117 | 140 | 21.0 | 20.6 | ||
| 20–40 cm | ||||||
| Fallow | 88 | 130 | 109 ABC | 15.0 Aa | 13.5 Ca | 14.3 | 
| Rattlepod | 94 | 117 | 105 BC | 16.3 Aa | 15.7 BCa | 16.0 | 
| Jack Bean | 104 | 124 | 114 AB | 14.9 Aa | 17.3 ABa | 16.1 | 
| Lablab | 94 | 114 | 104 BC | 10.6 Bb | 18.9 ABa | 14.8 | 
| Velvet bean | 92 | 112 | 102 C | 14.1 ABb | 20.8 Aa | 17.5 | 
| Millet | 106 | 132 | 119 A | 12.8 ABb | 16.1 BCa | 14.5 | 
| Mean | 96 b | 121 a | 14.0 | 17.1 | ||
| Cover Crops a | HA-N b (mg kg−1) | AS-N (mg kg−1) | AA-N (mg kg−1) | ||||||
|---|---|---|---|---|---|---|---|---|---|
| N0 | N1 | Mean c | N0 | N1 | Mean | N0 | N1 | Mean | |
| 0–5 cm | |||||||||
| Fallow | 36 | 36 | 36 | 241 | 230 | 236 B c | 228 | 175 | 202 | 
| Rattlepod | 40 | 33 | 36 | 297 | 246 | 271 AB | 208 | 231 | 220 | 
| Jack Bean | 31 | 36 | 34 | 325 | 270 | 297 A | 247 | 248 | 248 | 
| Lablab | 41 | 25 | 33 | 298 | 280 | 289 A | 247 | 223 | 235 | 
| Velvet bean | 43 | 31 | 37 | 283 | 271 | 277 AB | 256 | 227 | 242 | 
| Millet | 41 | 26 | 34 | 285 | 296 | 290 A | 245 | 228 | 237 | 
| Mean | 39 a | 31 b | 288 a | 266 b | 239 | 222 | |||
| 5–10 cm | |||||||||
| Fallow | 33 | 32 | 33 | 164 | 184 | 174 B | 119 | 122 | 121 | 
| Rattlepod | 38 | 24 | 31 | 199 | 192 | 196 AB | 139 | 136 | 138 | 
| Jack Bean | 25 | 19 | 22 | 205 | 198 | 201 AB | 127 | 152 | 140 | 
| Lablab | 24 | 23 | 24 | 197 | 214 | 205 A | 144 | 140 | 142 | 
| Velvet bean | 34 | 26 | 30 | 193 | 183 | 188 AB | 136 | 120 | 128 | 
| Millet | 37 | 31 | 34 | 204 | 186 | 195 AB | 142 | 116 | 129 | 
| Mean | 32 a | 26 b | 194 | 193 | 135 | 131 | |||
| 10–20 cm | |||||||||
| Fallow | 24 | 35 | 30 | 171 | 155 | 163 | 87 | 117 | 102 | 
| Rattlepod | 37 | 18 | 28 | 171 | 169 | 170 | 94 | 95 | 95 | 
| Jack Bean | 23 | 18 | 21 | 183 | 166 | 175 | 118 | 96 | 107 | 
| Lablab | 28 | 25 | 27 | 180 | 158 | 169 | 108 | 79 | 94 | 
| Velvet bean | 25 | 16 | 21 | 167 | 154 | 161 | 77 | 92 | 85 | 
| Millet | 33 | 23 | 28 | 170 | 187 | 179 | 87 | 117 | 102 | 
| Mean | 28 a | 22 b | 174 | 165 | 95 | 99 | |||
| 20–40 cm | |||||||||
| Fallow | 17 ABa | 8 Bb | 13 | 162 | 194 | 178 | 84 | 96 | 90 AB | 
| Rattlepod | 11 Ba | 14 ABa | 13 | 166 | 206 | 186 | 94 | 99 | 96 AB | 
| Jack Bean | 13 ABa | 10 ABa | 12 | 171 | 189 | 180 | 109 | 80 | 99 A | 
| Lablab | 17 ABa | 19 Aa | 18 | 182 | 194 | 188 | 109 | 80 | 94 AB | 
| Velvet bean | 21 Aa | 13 ABb | 17 | 155 | 197 | 176 | 75 | 86 | 81 AB | 
| Millet | 11 Ba | 12 ABa | 12 | 169 | 208 | 189 | 72 | 82 | 77 B | 
| Mean | 15 | 13 | 167 b | 198 a | 91 | 87 | |||
| Cover Crops a | HU-N b (mg kg−1) | AI-N (mg kg−1) | ||||
|---|---|---|---|---|---|---|
| N0 | N1 | Mean c | N0 | N1 | Mean | |
| 0–5 cm | ||||||
| Fallow | 92 | 182 | 137 | 171 | 162 | 166 B c | 
| Rattlepod | 163 | 114 | 139 | 233 | 195 | 214 AB | 
| Jack Bean | 123 | 113 | 118 | 227 | 228 | 228 AB | 
| Lablab | 85 | 76 | 81 | 237 | 196 | 216 AB | 
| Velvet bean | 120 | 124 | 122 | 296 | 250 | 273 A | 
| Millet | 66 | 85 | 76 | 237 | 184 | 210 B | 
| Mean | 108 | 116 | 233 a | 202 b | ||
| 5–10 cm | ||||||
| Fallow | 50 | 44 | 47 AB | 142 | 105 | 124 | 
| Rattlepod | 94 | 112 | 103 A | 140 | 114 | 127 | 
| Jack Bean | 43 | 77 | 60 AB | 143 | 128 | 136 | 
| Lablab | 49 | 33 | 41 B | 205 | 142 | 174 | 
| Velvet bean | 67 | 75 | 71 AB | 140 | 134 | 137 | 
| Millet | 39 | 86 | 62 AB | 151 | 144 | 148 | 
| Mean | 57 | 71 | 153 a | 128 b | ||
| 10–20 cm | ||||||
| Fallow | 62 | 70 | 66 | 122 | 86 | 104 | 
| Rattlepod | 50 | 49 | 50 | 111 | 120 | 116 | 
| Jack Bean | 39 | 71 | 55 | 123 | 103 | 113 | 
| Lablab | 78 | 68 | 73 | 157 | 135 | 146 | 
| Velvet bean | 82 | 71 | 77 | 120 | 133 | 127 | 
| Millet | 74 | 97 | 86 | 127 | 119 | 123 | 
| Mean | 64 | 71 | 127 | 116 | ||
| 20–40 cm | ||||||
| Fallow | 73 | 73 | 73 AB | 98 | 109 | 104 | 
| Rattlepod | 69 | 28 | 49 B | 96 | 106 | 101 | 
| Jack Bean | 48 | 69 | 58 AB | 90 | 137 | 114 | 
| Lablab | 48 | 54 | 51 B | 124 | 126 | 125 | 
| Velvet bean | 80 | 73 | 76 AB | 111 | 106 | 109 | 
| Millet | 93 | 71 | 82 A | 104 | 98 | 101 | 
| Mean | 69 | 61 | 104 | 114 | ||
| Cover Crops a | DSD-N b (mg kg−1) | KCl-N (mg kg−1) | ||||
|---|---|---|---|---|---|---|
| N0 | N1 | Mean c | N0 | N1 | Mean | |
| 0–5 cm | ||||||
| Fallow | 102 | 103 | 103 B | 21.1 | 16.6 | 18.8 C c | 
| Rattlepod | 113 | 117 | 115 A | 25.5 | 21.6 | 23.6 B | 
| Jack Bean | 113 | 127 | 120 A | 27.9 | 24.3 | 26.1 A | 
| Lablab | 116 | 116 | 116 AB | 29.3 | 23.4 | 26.4 A | 
| Velvet bean | 119 | 135 | 127 A | 24.9 | 22.4 | 23.7 B | 
| Millet | 112 | 117 | 114 AB | 24.6 | 20.1 | 22.3 B | 
| Mean | 112 b | 119 a | 25.6 a | 21.4 b | ||
| 5–10 cm | ||||||
| Fallow | 83 | 90 | 86 B | 19.2 | 14.2 | 16.7 | 
| Rattlepod | 89 | 95 | 92 AB | 19.0 | 17.8 | 18.4 | 
| Jack Bean | 93 | 96 | 94 AB | 19.8 | 19.4 | 19.6 | 
| Lablab | 95 | 96 | 95 AB | 19.8 | 16.8 | 18.3 | 
| Velvet bean | 102 | 98 | 100 A | 20.8 | 18.2 | 19.5 | 
| Millet | 89 | 103 | 96 AB | 18.1 | 15.8 | 17.0 | 
| Mean | 92 b | 96 a | 19.5 a | 17.0 b | ||
| 10–20 cm | ||||||
| Fallow | 29 | 34 | 31 C | 18.0 Aa | 12.8 Bb | 15.4 | 
| Rattlepod | 53 | 44 | 48 AB | 14.8 ABa | 12.6 Ba | 13.7 | 
| Jack Bean | 45 | 64 | 54 A | 13.8 Bb | 17.3 Aa | 15.6 | 
| Lablab | 55 | 37 | 46 ABC | 13.0 Ba | 12.8 Ba | 12.9 | 
| Velvet bean | 51 | 46 | 49 AB | 17.1 Aa | 13.7 Bb | 15.4 | 
| Millet | 42 | 32 | 37 BC | 12.6 Ba | 11.8 Ba | 12.2 | 
| Mean | 46 | 43 | 14.9 | 13.5 | ||
| 20–40 cm | ||||||
| Fallow | 49 | 40 AB | 45 | 14.7 ABa | 12.0 Ab | 13.4 | 
| Rattlepod | 34 | 54 A | 44 | 13.3 ABCa | 11.7 ABa | 12.5 | 
| Jack Bean | 45 | 51 A | 48 | 11.8 BCDa | 10.4 ABa | 11.1 | 
| Lablab | 49 | 24 B | 37 | 9.3 Da | 8.8 Ba | 9.1 | 
| Velvet bean | 34 | 40 AB | 37 | 14.9 Aa | 11.7 ABb | 13.3 | 
| Millet | 48 | 34 AB | 41 | 11.4 CDa | 10.8 ABa | 11.1 | 
| Mean | 43 | 41 | 12.6 | 10.9 | ||
| SOC | STN | WEOC | WEON | HA-N | AS-N | AA-N | HU-N | AI-N | KCl-N | |
|---|---|---|---|---|---|---|---|---|---|---|
| SOC a | 1 | |||||||||
| STN | 0.96 * | 1 | ||||||||
| WEOC | 0.94 * | 0.95 * | 1 | |||||||
| WEON | 0.96 * | 0.97 * | 0.97 * | 1 | ||||||
| HA-N | 0.68 * | 0.67 * | 0.61 * | 0.67 * | 1 | |||||
| AS-N | 0.86 * | 0.91 * | 0.90 * | 0.91 * | 0.50 * | 1 | ||||
| AA-N | 0.94 * | 0.96 * | 0.94 * | 0.96 * | 0.66 * | 0.92 * | 1 | |||
| HU-N | 0.60 * | 0.59 * | 0.60 * | 0.58 * | 0.39 * | 0.51 * | 0.51 * | 1 | ||
| AI-N | 0.89 * | 0.90 * | 0.86 * | 0.87 * | 0.64 * | 0.85 * | 0.88 * | 0.51 * | 1 | |
| KCl-N | 0.88 * | 0.86 * | 0.83 * | 0.88 * | 0.69 * | 0.78 * | 0.86 * | 0.45 * | 0.82 * | 1 | 
| DSD-N | 0.89 * | 0.89 * | 0.87 * | 0.89 * | 0.65 * | 0.77 * | 0.87 * | 0.45 * | 0.78 * | 0.85 * | 
Disclaimer/Publisher’s Note: The statements, opinions and data contained in all publications are solely those of the individual author(s) and contributor(s) and not of MDPI and/or the editor(s). MDPI and/or the editor(s) disclaim responsibility for any injury to people or property resulting from any ideas, methods, instructions or products referred to in the content.  | 
© 2023 by the authors. Licensee MDPI, Basel, Switzerland. This article is an open access article distributed under the terms and conditions of the Creative Commons Attribution (CC BY) license (https://creativecommons.org/licenses/by/4.0/).
Share and Cite
Braos, L.B.; Carlos, R.S.; Bettiol, A.C.T.; Bergamasco, M.A.M.; Terçariol, M.C.; Ferreira, M.E.; da Cruz, M.C.P. Soil Carbon and Nitrogen Forms and Their Relationship with Nitrogen Availability Affected by Cover Crop Species and Nitrogen Fertilizer Doses. Nitrogen 2023, 4, 85-101. https://doi.org/10.3390/nitrogen4010007
Braos LB, Carlos RS, Bettiol ACT, Bergamasco MAM, Terçariol MC, Ferreira ME, da Cruz MCP. Soil Carbon and Nitrogen Forms and Their Relationship with Nitrogen Availability Affected by Cover Crop Species and Nitrogen Fertilizer Doses. Nitrogen. 2023; 4(1):85-101. https://doi.org/10.3390/nitrogen4010007
Chicago/Turabian StyleBraos, Lucas Boscov, Roberta Souto Carlos, Aline Carla Trombeta Bettiol, Marina Ali Mere Bergamasco, Maira Caroline Terçariol, Manoel Evaristo Ferreira, and Mara Cristina Pessôa da Cruz. 2023. "Soil Carbon and Nitrogen Forms and Their Relationship with Nitrogen Availability Affected by Cover Crop Species and Nitrogen Fertilizer Doses" Nitrogen 4, no. 1: 85-101. https://doi.org/10.3390/nitrogen4010007
APA StyleBraos, L. B., Carlos, R. S., Bettiol, A. C. T., Bergamasco, M. A. M., Terçariol, M. C., Ferreira, M. E., & da Cruz, M. C. P. (2023). Soil Carbon and Nitrogen Forms and Their Relationship with Nitrogen Availability Affected by Cover Crop Species and Nitrogen Fertilizer Doses. Nitrogen, 4(1), 85-101. https://doi.org/10.3390/nitrogen4010007
        
