Abstract
Optimal application of nitrogen fertilizer is critical for soil characteristics and soil health. This study examined the effects of three rates of nitrogen fertilizer applications, which are lower rate (Treatment 1 (T1)-241 kg/ha), recommended rate (Treatment 2 (T2)-269 kg/ha), and higher rate (Treatment 3 (T3)-297 kg/ha), and their impacts on soil temperature, soil moisture and soil electrical conductivity at two different depths (0–30 cm and 30–60 cm) in maize cultivation at the Prairie View A & M university research farm in Texas. Soil moisture, soil temperature, and electrical conductivity (EC) sensors were installed in 27 plots to collect these data. Results showed that EC is lower at surface depth with all fertilizer application rates than at root zone soil depths. In the meantime, EC is increasing in the root zone soil depth with the increase in fertilizer rate. This study indicated that the moderate application (269 kg/ha, T2) which is also recommended rate, showed better soil health parameters and efficiency in comparison to other application rates maintaining stable and moderate electrical conductivity values (0.2 mS/cm at depth 2) and the highest median moisture content at the significant root zone depth (about 0.135 m3/m3), reducing nutrient leaching and salt accumulation. Also, a humid, warm climate in southern Texas specifically affects increasing nitrogen losses via leaching, denitrification, and volatilization compared to cooler regions, which requires higher application rates. Plant growth and yield results further confirmed that the recommended rate achieved the greatest plant height (157.48 cm) compared to T1 (153.07 cm). Ear diameters were also higher at the recommended rate, reaching 4.65 cm ears than in Treatment 3. However, grain productivity was highest under the lower fertilizer rate T1, with wet and dry yields of 11,567 kg/ha and 5959 kg/ha, respectively, compared to 10,033 kg/ha (wet) and 5047 kg/ha (dry) at T2, and 7446 kg/ha (wet) and 4304 kg/ha (dry) at T3. These findings suggest that while the moderate fertilizer rate (269 kg/ha) enhances soil health and crop growth consistency, the lower rate (241 kg/ha) can maximize productivity under the humid, warm conditions of southern Texas. This research highlights the need for precise nitrogen management strategies that balance soil health with crop yield.
1. Introduction
Agriculture plays a pivotal role in supporting global food security by meeting the rising demand for food, feed, fiber, and fuel [1]. Beyond food production, agricultural lands deliver essential ecosystem services, including carbon sequestration, biodiversity conservation, and nutrient cycling [1,2,3,4]. As the global population continues to grow, enhancing agricultural productivity while safeguarding environmental resources has become a pressing priority [5,6]. Fertilizer application, especially nitrogen (N), remains one of the most critical practices in modern agriculture due to its strong influence on enhancing crop productivity and soil fertility, especially for nutrient-demanding crops [7,8,9,10,11,12]. However, while nitrogen fertilizers can significantly boost yields, excessive or poorly managed applications often lead to soil degradation, reduced nitrogen use efficiency (NUE) [7,8,9,10,11,12], and increased environmental pollution through nitrate leaching and greenhouse gas emissions [13,14,15,16]. Several studies have shown that moderate and well-managed nitrogen application can enhance NUE, support microbial activity, and maintain soil nutrient balance while minimizing negative environmental impacts [12,17].
In contrast, nutrient oversupply undermines these benefits, leading to long-term degradation of soil and water quality. Given these challenges, sustainable nutrient management practices are crucial to improve Nutrient Use Efficiency (NUE) while maintaining soil and water quality [18,19,20]. This involves not only optimizing application rates but also understanding how nitrogen influences key soil properties that mediate plant–soil interactions. Nutrient balance is essential for better nutrient management practices and sustainable agriculture. Studies have shown that nutrient deficiencies, and toxicities can be prevented, through balanced supply of nutrients thereby ensuring optimal plant nutrition, maximizing nutrient use efficiency, and supporting soil health and productivity [18,19,20]. In regions like southern Texas, where environmental stressors such as drought, high temperature, and sandy soils are common, managing nitrogen efficiently is vital to sustain crop productivity and conserve soil resources [21]. This study addressed numerous important research gaps by examining the intricate relationships between nitrogen fertilizer application rates and important soil characteristics (moisture, temperature, and electrical conductivity) at various soil depths in maize farming. Previous research, such as that conducted by Fageria and Baligar [22], mainly concentrated on the efficiency of nutrient uptake but did not analyze changes in soil properties at different depths. Balafoutis et al. [23] investigated soil pH changes with manure amendments. A study conducted by Parker et al. [24] focused more on emissions than on the dynamics of all soil properties. According by Miller et al. [25], who established a foundational understanding of fertilizer impacts on crop yields, the underlying mechanisms of soil properties were not fully explored. However, there is limited understanding of how different nitrogen application rates influence soil hydrological properties at various soil depths. This knowledge gap was specifically evident in Texas agriculture.
Maize (Zea mays L.), also known as corn, is the third-most important cereal crop worldwide, following wheat and rice [26,27,28]. It is widely grown for food, feed, and biofuel, and it is noted for its high yield and diverse applications in tropical and temperate regions [26,27,28]. Maize is particularly responsive to nitrogen inputs, being one of the most nitrogen-demanding crops with a strong yield response under appropriate fertilization [29,30,31,32,33]. As global maize demand continues to rise, largely driven by population growth and increased livestock feed requirements [34,35,36], optimizing nitrogen management in maize-based systems becomes ever more critical [37,38,39]. While nitrogen fertilization is essential for maize [40,41,42], its effectiveness depends on a complex interplay between fertilizer application rates [40] and various soil physical and chemical properties [43,44,45], including soil moisture, temperature, and electrical conductivity (EC). These parameters influence and reflect soil health, nutrient cycling, and water retention, all of which are critical for optimizing fertilizer use efficiency [46]. For example, soil moisture not only determines water availability to plants but also regulates microbial activity and nutrient mineralization [47,48,49]. Soil temperature influences enzymatic and microbial processes [50,51], and EC provides insights into the concentration of soluble salts and overall nutrient availability [52,53]. Notably, the vertical distribution of these soil properties can vary significantly with depth, and this category influences how nutrients like nitrogen are retained or lost in the soil profile. Despite growing interest in precision agriculture and sensor-based monitoring, research examining how varying nitrogen application rates affect soil moisture, temperature, and EC across different depths in maize cultivation, particularly under the environmental conditions of southern Texas, remains limited. While nitrogen’s impact on maize yield has been widely studied [42,54,55,56], its effects on these interconnected soil parameters across different depths remain poorly understood, limiting the development of precise, site-specific nutrient management strategies for such challenging environments.
Southern Texas presents unique agricultural challenges due to its semi-arid climate, variable precipitation patterns, and predominantly sandy soils with low water retention capacity. In these conditions, nitrogen fertilizer application directly impacts hydrologic processes, where excessive nitrogen can exacerbate water stress through increased osmotic pressure and altered soil–water dynamics, while insufficient nitrogen limits crop water use efficiency [57,58]. Additionally, the region’s susceptibility to nitrate leaching in sandy soils poses significant risks to groundwater quality, and the interaction between nitrogen rates and soil health becomes critical for maintaining system resilience to drought and temperature extremes [59,60]. Therefore, this study aims to quantify how varying nitrogen fertilizer rates influence soil moisture dynamics and key soil health metrics under the specific environmental constraints of southern Texas, providing science-based recommendations for sustainable maize production in semi-arid regions.
Furthermore, the over-application of nitrogen-based fertilizers is often associated with unintended outcomes such as decreased electrical conductivity at the surface due to leaching, increased salinity at root zone depths, and inefficient nitrogen uptake by plants [61,62,63]. These outcomes are rarely attributed to the direct effect of fertilizer alone but often result from indirect mechanisms, including shifts in microbial activity, changes in root biomass, and altered water uptake dynamics [64]. The interaction of these variables with fertilizer treatments is complex and influenced by soil depth, making depth-specific studies essential for improving nutrient management strategies. This study sought to close these research gaps by offering a detailed analysis of depth-dependent soil responses to fertilizer applications. The primary goal of this study is to investigate how different nitrogen fertilizer application rates affect soil hydrologic and physicochemical properties across two depths (0–30 cm and 30–60 cm) in a maize cultivation. Understanding these interactions is critical to developing refined, site-specific nitrogen management practices that improve fertilizer efficiency, protect environmental quality, and sustain agricultural productivity in Texas and similar agroecological regions. According to the study results, different rates of nitrogen application on soil properties at two different depths help farmers to maximize their fertilizer management according to timing, application rates, and methods of placement to tailor their soil conditions and water retention patterns. This provides a proper foundation for the implementation of nitrogen fertilizer management, which enhances the efficiency of fertilizer and minimizes environmental risks, such as leaching, which is particularly prevalent in the Texas region.
2. Materials and Methods
2.1. Study Area
The study area is located at the Prairie View A&M University (PVAMU) research farm in Waller County, Texas. Texas is the second-largest state in the United States, spanning 267,340 square miles (692,407 km2), and is known for its diverse climate, geography, and agricultural practices, making it an ideal location to study the effects of fertilizer application on soil properties in maize cultivation (Figure 1). It also contains the largest acreage of cropland in the USA, as well as the largest amounts of pastureland and rangeland. Texas has a diverse climate due to its size and geographical location, transitioning from the humid Southeast to the arid Southwest [65]. The state experiences a North–South gradient in minimum annual temperature and a strong East–West moisture gradient, with rainfall ranging from 57 inches/yr in the East to less than 10 inches/yr (25 cm/year) in the West [66]. Prairie View, Texas, has a humid subtropical climate, with hot summers, mild winters, and an average annual temperature of 68 °F (20 °C). The area receives about 40 inches (100 cm) of precipitation annually. The predominantly sandy loam soil is well-suited for maize cultivation, as demonstrated by controlled experiments conducted at the PVAMU farm-. The PVAMU research farm provides controlled experimental plots and proximity to research infrastructure, which facilitates comprehensive field experimentation and data collection (Figure 1).
Figure 1.
Study area.
2.2. Experimental Design and Fertilizer Application
The study was conducted from planting in June to harvesting maize in August 2022 on sandy loam soil. Each plot measured approximately 480 ft2 (60 ft × 8 ft, about 44.6 m2). Maize was planted in three rows, with plants spaced 90 cm apart. Sensors were installed between the rows, positioned 45 cm horizontally from the plant root zone. Fertilizers were applied in July 2022 through the broadcasting method, in which fertilizers were uniformly distributed across the soil surface and then incorporated lightly into the topsoil. This method was selected to enhance nutrient availability and reduce volatilization losses, providing consistent nutrient distribution for all treatments. To assess the effect of nitrogen application rate, urea was applied in a single split dose, ensuring consistency across treatments. There was a total of 27 plots, with 9 plots receiving different rates of Nitrogen (Table 1).
Table 1.
Fertilizer application rates.
All plots received nutrient applications based on soil test results and treatment requirements. The recommended nitrogen rate was 269 kg/ha; however, according to our soil test report, the soil already contained 54 kg/ha of nitrogen, 72 kg/ha of phosphorus, and 291 kg/ha of potassium. We were supposed to apply nitrogen at three different rates of 241, 269, and 297 kg/ha using urea (46-0-0) and monoammonium phosphate of 112 kg/ha (MAP, 11-52-0). After residual reduction, we applied nitrogen at actual rates of 187, 215, and 243 kg/ha, respectively. Specifically, we reduced 28 kg/ha of nitrogen in the first treatment. We added 28 kg/ha in the third treatment relative to the recommended rate, while maintaining the middle treatment at the recommended rate. So, we consider these three treatments as low (241 kg/ha), recommended (269 kg/ha), and high (297 kg/ha. For simplicity, we used lower rate treatment (T1), recommended rate treatment (T2), and higher rate treatment (T3).
The recommended dose of phosphorus was 112 kg/ha. However, since the soil already contained 72 kg/ha, we applied only 40 kg/ha using MAP. Potassium was not applied because the soil test indicated an adequate reserve of 291 kg/ha. Thus, MAP contributed both phosphorus and a portion of the nitrogen requirement, while the remaining nitrogen was supplied through urea. These adjustments ensured balanced fertility across all treatments while maintaining comparability and independence of the nitrogen treatments (T1, T2, and T3).
2.3. Soil Sensor Installation and Data Collection
TEROS 12 soil moisture sensors were used to monitor soil conditions. These sensors were installed at two depths, 30 cm and 60 cm in each plot, to measure soil moisture (SM), soil temperature (ST), and electrical conductivity (EC). Sensor data were recorded at 15-minute intervals, providing high-resolution temporal information about soil conditions before and after fertilizer application. The continuous logging allowed for the detection of short-term fluctuations and long-term trends in soil parameters in response to varying nitrogen levels. The sensors were factory-calibrated for mineral soils, ensuring accuracy for the sandy loam conditions in this study. Mean absolute error was ≤0.030 cm3 cm−3 for these sensors [67,68]. This setup enabled a robust comparison between treatments, offering insights into the effects of different fertilizer rates on soil moisture retention, thermal properties, and nutrient conductivity during the growing season.
2.4. Data Analysis
After field data collection, the sensor data was retrieved and processed using METER’s proprietary software ZENTRA-ZL6. Statistical analyses, including ANOVA, were performed to evaluate the influence of fertilizer treatments on soil moisture, temperature, and EC. Differences between treatment means were assessed to determine the significance of nitrogen input levels on soil dynamics under maize cultivation.
3. Results and Discussions
3.1. Impact of Fertilizer Application Rates on Electrical Conductivity (EC)
Figure 2d–f shows electrical conductivity changes with three fertilizer treatments over the growing season. The relationship between electrical conductivity and treatments was found to be significant in the root zone depth. Electrical conductivity in surface depth did not show a significant difference with the treatments. However, electrical conductivity at surface depth showed a diminution trend from treatment 1 to treatment 3, with values of 0.5, 0.4, and 0.3 mS/cm, respectively. In terms of electrical conductivity in the root zone, Treatment 1 has the lowest values (about 0.1 mS/cm), followed by Treatment 2 with moderate values (about 0.2 mS/cm) and Treatment 3 with the highest values (about 0.4 mS/cm) and the most variability. Thus, compared to the surface layer, electrical conductivity at depth 2 appears to react to rising treatment rates more reliably.
Figure 2.
Soil temperature, electrical conductivity, soil moisture, and rainfall distributions at surface depth (Depth 1: 0–30 cm) and root zone depth (Depth 2: 30–60 cm) under three treatments. (a) Soil moisture (SM)—Treatment-1; (b) soil moisture—Treatment-2; (c) soil moisture—Treatment-3; (d) electrical conductivity (EC) and soil temperature (ST) —Treatment-1; (e) electrical conductivity and soil temperature—Treatment-2; (f) electrical conductivity and soil temperature—Treatment-3.
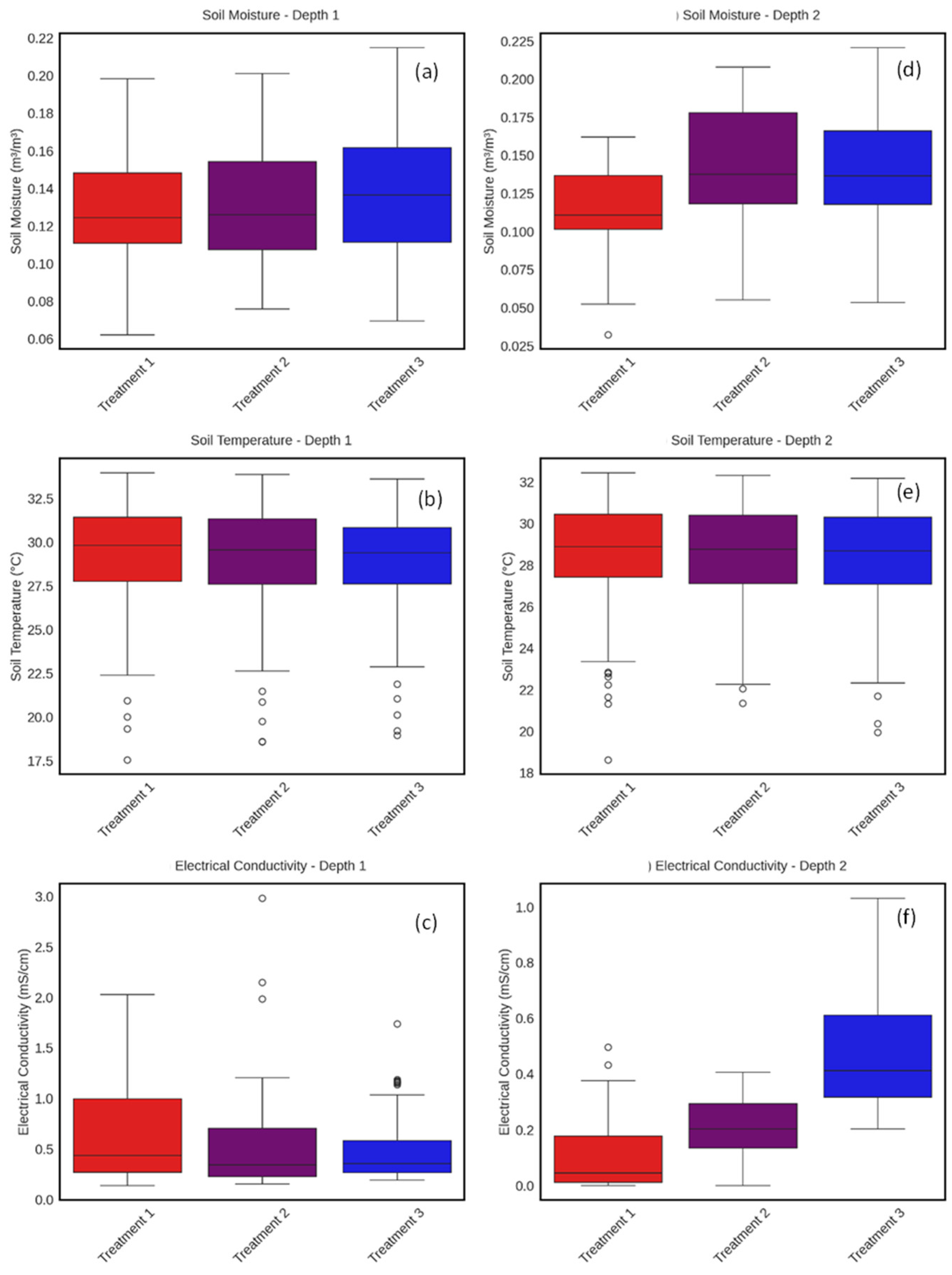
In contrast, electrical conductivity data show (Figure 3) a decreasing trend from Treatment 1 to Treatment 3 in surface depth (Figure 3c). Treatment 1 had the highest median electrical conductivity (about 0.5 mS/cm) with the greatest variation. Multiple high outliers (up to 3.0 mS/cm) are present in Treatment 2’s lower electrical conductivity results. Surface electrical conductivity responds differently to treatment rates, as evidenced by Treatment 3’s most compact distribution and lowest median electrical conductivity as compared to deeper soil layers. Electrical conductivity patterns at depth 2 show a clear rising trend with treatment rates, in contrast to depth 1 patterns (Figure 3f). At surface soil depth, salts tend to leach due to proper irrigation practices. Higher fertilizer application rates develop a gradient of concentration, which facilitates the downward movement of ions through mass transport and water flow. Also, high rates of fertilizer application increase the mobile ion concentrations and move through the root zone. A study conducted by Mirzakhaninafchi et al. [69] also found that the relationship between soil electrical conductivity and nitrogen levels is significant and shows an increasing trend with nitrogen level.
Figure 3.
Statistical analysis (Box Plot) for (a) soil moisture (m3/m3)—Depth 1, (b) soil temperature (°C)-Depth 1, (c) electrical conductivity (mS/cm)-Depth 1, (d) Soil moisture (m3/m3)—Depth 2, (e) soil temperature (°C)—Depth 2 and (f) electrical conductivity (mS/cm)—Depth 2. Note: Red—Treatment 1; Purple—Treatment 2; Blue—Treatment 3; Circle—Outliers.
According to this study, deeper soil layers have higher electrical conductivity values than surface soils, primarily due to salt and ion accumulation from fertilizer applications and organic matter decomposition. The relationship between nitrogen application rates and electrical conductivity variations at different depths can be explained through the study conducted by Parker et al. [24] and Sheldon et al. [70], including increased plant water uptake and root density, affecting ion concentration in soil solutions. According to Parker et al. [24], soil salinity is a more problematic issue in arid and semi-arid climates than in humid climates due to limited salt leaching through the root zone.
3.2. Impact of Fertilizer Application Rates on Soil Temperature (ST)
The study indicates that different nitrogen fertilizer application rates had a minimal direct impact on soil temperature, with no statistically significant difference observed (p = 0.983 at 0–30 cm depth, p = 0.552 at 30–60 cm depth) (Table 2). Temperatures of the soil ranged from 29.7 to 30.1 °C at 0–30 cm depth and 29.1–29.3 °C at 30–60 cm depth, which was comparatively constant among treatments. According to a study by Yu et al. [71], nitrogen fertilization largely indirectly affects soil temperature through modifications to crop canopy formation and soil biological activity rather than directly affecting soil thermal characteristics. According to Xiukang et al. [72], the rates at which nitrogen fertilizer was applied did not significantly affect the patterns of soil temperature distribution. Rather than fertilizer treatments, the presence or lack of plastic film mulching was the main factor influencing the temperature impacts. During this study, soil temperature has shown a decreasing trend after remaining high after August. This study found no significant difference in soil temperature among three depths (F = 0.56, p > 0.05).
Table 2.
Statistical analysis (p value) for soil temperature (°C), electrical conductivity (mS/cm), soil moisture (m3/m3) for three treatments.
Also, the results show a higher surface soil temperature than that of deeper soil layers. This can occur due to several interacting factors (Figure 2d–f). Firstly, the surface soil receives direct solar radiation exposure throughout the day [72]. The combination of direct solar radiation, insulation effects, slow heat transfer through the soil profile, and biological processes contributes to the typical temperature gradient observed in soil profiles, with surface soil temperatures (surface depth) being higher than root zone depth [73,74].
The temperature patterns show a slight decreasing trend across treatments (Figure 3b). Lower rate (T1) shows the highest median temperature (~29 °C), while Treatment 3 shows the lowest (~28 °C). All treatments display similar variability in their interquartile ranges. Notable outliers appear in the lower temperature ranges (17.5–20 °C) across all treatments, with the higher rate (T3) showing the most pronounced low-temperature outliers. This suggests higher treatment rates might slightly decrease surface soil temperature (Figure 3e). Temperature distributions at depth 2 indicate those at depth 1, but with slightly lower overall temperatures. The lower rate (T1) maintains the highest median temperature, gradually decreasing through T2 and T3. The variability is consistent across treatments, though outliers in the lower temperature range (18–22 °C) are more pronounced than at depth 1. Cold fronts, extreme weather events, or exceptional cloud cover may cause outliers in the lower temperature ranges. Physical properties of soil (moisture content variation and texture heterogeneity) develop micro zones with different thermal conductivity [75]. This causes the clay area to be cooler and wetter than the drier sandy patches. Also, uneven canopy development due to different treatments caused various shading patterns, which led to cooling the soil [76].
All three treatments’ soil temperatures are found to be comparatively constant. This is because of several governing elements. Initially, soil serves as a natural insulator, protecting the soil profile from temperature changes and preserving relatively constant temperatures. Because of the slower heat transfer rate, root zone soil layers often show more stable temperatures than surface soils, which may vary somewhat in response to outside influences such as fertilizer application [70,71]. This means that soil requires significant energy to change its temperature, resulting in gradual temperature changes in response to external stimuli [72,73].
3.3. Impact of Fertilizer Application Rates on Soil Moisture Distribution
Figure 2a–c shows the daily rainfall, irrigation events, and corresponding soil moisture at depth 1 and depth 2. Soil moisture at depth 1 generally stays higher than at depth 2, reflecting greater moisture retention near the surface. Rainfall events cause increases in water content, particularly in the top layer. Similar trends are observed under the recommended rate (T2), where depth 1 consistently maintains higher water content compared to depth 2, though both depths show a gradual decline over time. Irrigation appears to mitigate the declining moisture trend slightly, but not as dramatically as rainfall (Figure 2b). In the higher rate (T3), the water content exhibits a similar pattern to the lower and recommended rates (T1 and T2), where depth 1 maintains higher moisture than depth 2. As shown in Figure 2a–c, soil moisture in all treatments at both depths follows a downward trend until August, then gradually increases thereafter.
However, the water content gradually decreases throughout the study period despite intermittent rainfall and irrigation events, indicating reduced moisture retention at both depths (Figure 2c). While depth 2 continuously maintains a 0.02–0.04 m3/m3 higher moisture content than depth 1, the lower rate (T1) displays soil moisture beginning around 0.18–0.20 m3/m3 in May and decreasing to roughly 0.08–0.12 m3/m3 by September. While the depth differential stays constant at roughly 0.02–0.03 m3/m3, the recommended rate (T2) shows comparable patterns but significantly lower total values, starting around 0.17–0.19 m3/m3 and decreasing to 0.07–0.11 m3/m3. With the smallest depth differential of roughly 0.01–0.02 m3/m3
The data shows in Figure 3a an increasing trend in soil moisture across treatments. the lower rate (T1) displays a median moisture content of approximately 0.12 m3/m3 with moderate variability. Treatment 2 shows similar median values but with increased spread in the data. The higher rate (T3) exhibits the highest median moisture content, around 0.14 m3/m3, and the greatest variability, suggesting that higher treatment rates lead to more variable moisture conditions at the surface level. The pattern differs from depth 1, with the recommended rate (T2) showing the highest median moisture content (approximately 0.135 m3/m3). The lower rate (T1) displays the lowest moisture levels (0.11 m3/m3), while the higher rate (T3) shows intermediate values with increased variability. This suggests that moisture distribution at depth 2 responds differently to treatment rates compared to the surface layer (Figure 3d).
Nitrogen fertilizer application rates significantly influence the spatial and temporal distribution of soil moisture. Wang et al. [77] conducted a comprehensive three-year field study revealing that optimal nitrogen application rates (180–220 kg/ha) resulted in more uniform soil moisture distribution throughout the root zone compared to excessive rates (>300 kg/ha). This uniformity was attributed to improved root system development and enhanced soil structural stability. Similarly, Shang et al. [78] found that balanced nitrogen application promoted better vertical water movement and reduced surface runoff.
3.4. Relationship Between Soil Moisture, Rainfall, Soil Temperature, and Electrical Conductivity
Table 3 presents the mean and standard deviation for soil moisture, temperature, and electrical conductivity at two depths under three treatments (T1, T2, and T3). For soil moisture, the mean values increase from treatment 1 to treatment 3 at both depths, with slightly higher moisture in treatment 3, indicating that treatment 3 had the highest average soil moisture. The standard deviation for soil moisture is also higher in treatment 3, suggesting greater variability in moisture under this treatment (Table 3). For soil temperature, the mean values are moderate stable across treatments, with slightly lower temperatures in treatment 3, while the standard deviation indicates minimal variation in temperature across depths. Electrical conductivity shows a general decline in the mean values from treatment 1 to treatment 3 at depth 1, with treatment showing the highest EC. In contrast, the standard deviation suggests greater variability in EC at depth 1 compared to depth 2 [79,80].
Table 3.
Statistical analysis (mean/St. Deviation) between soil temperature (°C), electrical conductivity (mS/cm), soil moisture (m3/m3), and rainfall (cm).
Soil temperature and moisture in depth 1 in treatment 1 have a significant negative correlation (−0.47), indicating that soil moisture tends to decrease as soil temperature rises (Figure 4a). Rainfall and other factors have a weak to moderate link, with the largest correlation being negative with soil temperature depth 1 (−0.33). The matrix also reveals moderate correlations between other variables and soil moisture depth 2, especially between electrical conductivity depth 2 (−0.19) and soil temperature depth 2 (0.48). This suggests intricate relationships exist between electrical conductivity, temperature, and soil moisture at various measurement points.
Figure 4.
Statistical analysis (Pearson Correlation, R) between soil temperature (°C), electrical conductivity (mS/cm), soil moisture (m3/m3), and rainfall (cm); (a) Treatment 1; (b) Treatment 2; (c) Treatment 3.
In contrast to the lower rate (T1), the correlation pattern in the recommended rate (T2) shows more pronounced negative correlations (Figure 4a,b). There is a strong inverse relationship between soil temperature and moisture at the first measurement point, as seen by the most noticeable negative correlation (−0.70) between soil temperature depth 1 and soil moisture depth 1. Likewise, a significant negative connection (−0.51) exists between soil temperature depth 2 and soil moisture depth 2. A positive correlation (0.27) between electrical conductivity depth 2 and soil temperature depth 2 indicates that the electrical conductivity data are consistent. Rainfall (RF) has a more pronounced effect on soil characteristics in this treatment, as evidenced by the moderate correlations it exhibits with several variables, especially electrical conductivity depth 1 (0.34) and soil temperature depth 1 (−0.35) (Figure 4a–c).
Compared to the lower rate (T1), the recommended rate (T2)’s correlation pattern shows more pronounced negative associations. At the first measurement point, a strong inverse relationship exists between soil temperature and moisture, as seen by the most noticeable negative correlation (−0.70) between soil temperature depth 1 and soil moisture depth 1. Likewise, a significant negative correlation (−0.51) is seen between soil moisture depth 2 and soil temperature depth 2. Soil temperature depth 2 (0.27) and electrical conductivity depth 2 show positive associations, indicating consistency in electrical conductivity measurements. Rainfall (RF) exhibits a moderate relationship with several variables, most notably with soil temperature depth 1 (−0.35) and electrical conductivity depth 1 (0.34), suggesting that precipitation has a more pronounced effect on soil characteristics (Figure 4a,b).
The findings of this study reveal that the interactions between temperature, rainfall, and soil properties like moisture and electrical conductivity vary significantly with soil depth. Different nitrogen application rates also play a role, as they change the strength of these interactions. This highlights why it is important to consider both soil depth and fertilization methods when looking at how environmental factors affect soil health, since the impact is often concentrated in certain soil layers rather than uniform throughout.
The relationship between soil properties and nitrogen fertilizer application has been investigated across various depths and treatments. Previous studies align with our findings of complex interactions between soil moisture, temperature, and electrical conductivity. Liu et al. [81] reported similar negative correlations between soil temperature and moisture content, particularly at surface depths, supporting our observation of strong inverse relationships (−0.70) in the recommended rate (T2). Liu et al. [81] show differential EC responses to nitrogen application rates at various soil depths. The observed weak to moderate rainfall correlations with soil properties align with Yao et al., [80] findings that precipitation effects vary by soil depth and measurement timing. The study’s results show that higher moisture variability in the higher rate (T3) and stable temperature patterns across treatments contribute to the growing body of research demonstrating how nitrogen application rates influence soil hydrological properties through complex mechanisms, including altered microbial activity and root density patterns. The 269 kg/ha nitrogen rate should be adopted by farmers in similar warm, humid regions. Targeting the 0.12–0.15 m3/m3 threshold levels found in this study, soil moisture monitoring can help determine when to apply. During dry spells, injection-based delivery to the 15–20 cm depth zone works better than surface applications. Farmers can increase yields by 8–12% while maximizing nitrogen use efficiency in similar agroecological zones by integrating nitrification inhibitors during warm periods (soil temperatures > 25 °C) with precision agriculture instruments for real-time soil monitoring.
3.5. Impact of Fertilizer Application Rates on Plant Growth and Productivity
Figure 5 shows how different nitrogen fertilizer application rates influenced maize growth, ear size, and productivity. Plant height was greatest at the recommended rate of 269 kg/ha (Treatment 2), reaching 157.48 cm, slightly higher than T1 and comparable to T3. Ear diameters were also the largest at T2, with values of 4.65 cm ears, respectively. Interestingly, grain productivity showed a different trend. While the recommended rate resulted in balanced growth and soil health, unexpectedly, grain productivity was highest at the lower rate of 241 kg/ha (T1), producing the highest yields (11,567 kg/ha wet and 5959 kg/ha dry) compared to 10,033 kg/ha wet and 5047 kg/ha dry at the recommended rate, and 7446 kg/ha wet and 4304 kg/ha dry at the higher rate of 297 kg/ha (T3). These results suggest that while the recommended rate promotes consistent growth and soil health, maize yields may peak at lower fertilizer inputs under certain field conditions, whereas excess nitrogen reduces productivity. However, statistical analysis (Table 4) showed no significant differences among treatments for plant height (p = 0.845), ear diameter (p = 0.121), wet grain yield (p = 0.280), or dry grain yield (p = 0.542). Thus, the observed differences represent trends rather than statistically significant effects. Overall, the results reinforce that site-specific nitrogen management is critical to optimize maize productivity, soil health, and resource use efficiency in southern Texas.
Figure 5.
Effects of different nitrogen fertilizer application rates on maize (a) plant height, (b) ear diameter, and (c) productivity in southern Texas.
Table 4.
p values for crop parameters.
4. Conclusions
This study found the recommended rate (T2) to be the optimum rate in this region due to its proper balance of efficiency, source use, and better soil health parameters. The recommended rate showed the greatest plant height and produced the largest ear diameters among treatments. It also maintained stable and moderate electrical conductivity values (0.2 mS/cm at depth 2), and the highest median moisture content was sustained at the significant root zone depth (0.135 m3/m3). This signifies a proper amount of available nutrients without excessive accumulation of salt that could stress the plant. Correlation results indicate that the recommended rate shows strong and predictable relationships between soil parameters, specifically a significant negative correlation (−0.7) between soil moisture and soil temperature. This indicates well-buffered soil conditions that respond suitably to changes in the environment. Overall, a lower rate (T1) impacts the proper balance of soil health maintenance, nutrient supply, and sustainable environment, which prevents inefficiency of under-fertilization and possible environmental risks of over-fertilization. These make the recommended rate (T2) the most effective fertilizer management strategy for this maize cropping system. However, the lower rate (T1) produced about 15% higher grain yield (wet and dry) than the recommended rate (T2), suggesting that under certain field conditions, maize may require less nitrogen than standard recommendations. Excess nitrogen, as in higher rate (T3), reduced yield and posed potential environmental risks from nutrient leaching and salinity. Despite these observed differences, statistical analysis showed no significant treatment effects (p values >0.05 for plant height, ear diameter, wet grain, and dry grain yields). These findings indicate that while the recommended rate offers the best balance of soil health and plant growth, lower nitrogen rates may achieve higher yields under certain field and management conditions. Excess fertilizer application not only reduces productivity but also increases environmental risks. Overall, site-specific nitrogen management strategies are essential to optimize maize performance, protect soil health, and improve nutrient use efficiency. Future research should focus on multi-year monitoring and modeling to confirm these patterns and better understand the long-term effects of nitrogen fertilizer on soil microbial activity and carbon sequestration.
Author Contributions
Conceptualization, B.D. and R.L.R.; methodology, S.G.; formal analysis, B.D. and R.L.R.; data curation, S.G.; writing—original draft preparation, B.D., S.G. and R.L.R.; writing—review and editing, R.L.R.; visualization, B.D. and S.G.; supervision, R.L.R. All authors have read and agreed to the published version of the manuscript.
Funding
This work is supported by Capacity Building grant no. 2019-38821-29058 from the USDA National Institute of Food and Agriculture.
Data Availability Statement
The data presented in this study are available upon request from the corresponding author.
Acknowledgments
We thank the National Institute of Food and Agriculture (NIFA), United States Department of Agriculture (USDA), for its support.
Conflicts of Interest
The authors declare no conflict of interest.
References
- Viana, C.M.; Freire, D.; Abrantes, P.; Rocha, J.; Pereira, P. Agricultural land systems importance for supporting food security and sustainable development goals: A systematic review. Sci. Total Environ. 2022, 806, 150718. [Google Scholar] [CrossRef]
- Pereira, P.; Brevik, E.; Trevisani, S. Mapping the environment. Sci. Total Environ. 2018, 610–611, 17–23. [Google Scholar] [CrossRef] [PubMed]
- Scown, M.W.; Winkler, K.J.; Nicholas, K.A. Aligning research with policy and practice for sustainable agricultural land systems in Europe. Proc. Natl. Acad. Sci. USA 2019, 116, 4911–4916. [Google Scholar] [CrossRef] [PubMed]
- Stephens, E.C.; Jones, A.D.; Parsons, D. Agricultural systems research and global food security in the 21st century: An overview and roadmap for future opportunities. Agric. Syst. 2018, 163, 1–6. [Google Scholar] [CrossRef]
- Robinson, G.M. Global sustainable agriculture and land management systems. Geogr. Sustain. 2024, 5, 637–646. [Google Scholar] [CrossRef]
- Tikuye, B.G.; Tefera, G.W.; Gurau, S.; Ray, R.L. Assessing carbon stock and sequestration potential under land use and land cover dynamics in the Upper Blue Nile River Basin, Ethiopia. Carbon. Manag. 2025, 16, 2479516. [Google Scholar] [CrossRef]
- Ali, A.; Jabeen, N.; Farruhbek, R.; Chachar, Z.; Laghari, A.A.; Chachar, S.; Ahmed, N.; Ahmed, S.; Yang, Z. Enhancing nitrogen use efficiency in agriculture by integrating agronomic practices and genetic advances. Front. Plant Sci. 2025, 16, 1543714. [Google Scholar] [CrossRef]
- Cai, S.; Zhao, X.; Yan, X. Towards precise nitrogen fertilizer management for sustainable agriculture. Earth Crit. Zone 2025, 2, 100026. [Google Scholar] [CrossRef]
- Kagan, K.; Jonak, K.; Wolińska, A. The Impact of Reduced N Fertilization Rates According to the “Farm to Fork” Strategy on the Environment and Human Health. Appl. Sci. 2024, 14, 10726. [Google Scholar] [CrossRef]
- Li, S.; Wu, X.; Song, X.; Liu, X.; Gao, H.; Liang, G.; Zhang, M.; Zheng, F.; Yang, P. Long-term nitrogen fertilization enhances crop yield potential in no-tillage systems through enhancing soil fertility. Resour. Conserv. Recycl. 2024, 206, 107622. [Google Scholar] [CrossRef]
- Sainju, U.M.; Ghimire, R.; Pradhan, G.P. Nitrogen Fertilization I: Impact on Crop, Soil, and Environment. In Nitrogen Fixation; IntechOpen: London, UK, 2019. [Google Scholar]
- Sun, J.; Li, W.; Li, C.; Chang, W.; Zhang, S.; Zeng, Y.; Zeng, C.; Peng, M. Effect of different rates of nitrogen fertilization on crop yield, soil properties and leaf physiological attributes in banana under subtropical regions of China. Front. Plant Sci. 2020, 11, 613760. [Google Scholar] [CrossRef] [PubMed]
- Gurau, S.; Imran, M.; Ray, R.L. Algae: A cutting-edge solution for enhancing soil health and accelerating carbon sequestration—A review. Environ. Technol. Innov. 2025, 37, 103980. [Google Scholar] [CrossRef]
- Osorio-Reyes, J.G.; Valenzuela-Amaro, H.M.; Pizaña-Aranda, J.J.P.; Ramírez-Gamboa, D.; Meléndez-Sánchez, E.R.; López-Arellanes, M.E.; Castañeda-Antonio, M.D.; Coronado-Apodaca, K.G.; Araújo, R.G.; Sosa-Hernández, J.E.; et al. Microalgae-Based Biotechnology as Alternative Biofertilizers for Soil Enhancement and Carbon Footprint Reduction: Advantages and Implications. Mar. Drugs 2023, 21, 93. [Google Scholar] [CrossRef] [PubMed]
- Singh, D.; Singh, S.K.; Modi, A.; Singh, P.K.; Yeka Zhimo, V.; Kumar, A. Chapter 4—Impacts of agrochemicals on soil microbiology and food quality. In Agrochemicals Detection, Treatment and Remediation; Prasad, M.N.V., Ed.; Butterworth-Heinemann: Oxford, UK, 2020; pp. 101–116. [Google Scholar]
- Tikuye, B.G.; Ray, R.L.; Gurau, S. Modeling carbon stock change and carbon dioxide emissions under different ecosystems in the Brazos River Basin, USA. Environ. Chall. 2025, 19, 101138. [Google Scholar] [CrossRef]
- Morell, F.; Lampurlanés, J.; Álvaro-Fuentes, J.; Cantero-Martínez, C. Yield and water use efficiency of barley in a semiarid Mediterranean agroecosystem: Long-term effects of tillage and N fertilization. Soil. Tillage Res. 2011, 117, 76–84. [Google Scholar] [CrossRef]
- Al-Shammary, A.A.G.; Al-Shihmani, L.S.S.; Fernández-Gálvez, J.; Caballero-Calvo, A. Optimizing sustainable agriculture: A comprehensive review of agronomic practices and their impacts on soil attributes. J. Environ. Manag. 2024, 364, 121487. [Google Scholar] [CrossRef]
- Khambalkar, P.A.; Agrawal, S.; Dhaliwal, S.S.; Yadav, S.S.; Sadawarti, M.J.; Singh, A.; Yadav, I.R.; Yadav, K.; Shivansh; Prasad, D.; et al. Sustainable nutrient management balancing soil health and food security for future generations. Appl. Food Res. 2025, 5, 101087. [Google Scholar] [CrossRef]
- Țopa, D.-C.; Căpșună, S.; Calistru, A.-E.; Ailincăi, C. Sustainable Practices for Enhancing Soil Health and Crop Quality in Modern Agriculture: A Review. Agriculture 2025, 15, 998. [Google Scholar] [CrossRef]
- Ray, R.L.; Fares, A.; Risch, E. Effects of Drought on Crop Production and Cropping Areas in Texas. Agric. Environ. Lett. 2018, 3, 170037. [Google Scholar] [CrossRef]
- Fageria, N.K.; Baligar, V.C. Enhancing nitrogen use efficiency in crop plants. Adv. Agron. 2005, 88, 97–185. [Google Scholar]
- Balafoutis, A.; Beck, B.; Fountas, S.; Vangeyte, J.; Van der Wal, T.; Soto, I.; Gómez-Barbero, M.; Barnes, A.; Eory, V. Precision agriculture technologies positively contributing to GHG emissions mitigation, farm productivity and economics. Sustainability 2017, 9, 1339. [Google Scholar] [CrossRef]
- Parker, D.B.; Waldrip, H.M.; Casey, K.D.; Todd, R.W.; Willis, W.M.; Webb, K. Temporal nitrous oxide emissions from beef cattle feedlot manure after a simulated rainfall event. J. Environ. Qual. 2017, 46, 733–740. [Google Scholar] [CrossRef]
- Miller, J.; Beasley, B.; Drury, C.; Hao, X.; Larney, F. Soil properties following long-term application of stockpiled feedlot manure containing straw or wood-chip bedding under barley silage production. Can. J. Soil. Sci. 2014, 94, 389–402. [Google Scholar] [CrossRef]
- Awika, J.M. Major cereal grains production and use around the world. In Advances in Cereal Science: Implications to Food Processing and Health Promotion; ACS Publications: Washington, DC, USA, 2011; pp. 1–13. [Google Scholar]
- Erenstein, O.; Jaleta, M.; Sonder, K.; Mottaleb, K.; Prasanna, B.M. Global maize production, consumption and trade: Trends and R&D implications. Food Secur. 2022, 14, 1295–1319. [Google Scholar] [CrossRef]
- Kennett, D.J.; Prufer, K.M.; Culleton, B.J.; George, R.J.; Robinson, M.; Trask, W.R.; Buckley, G.M.; Moes, E.; Kate, E.J.; Harper, T.K.; et al. Early isotopic evidence for maize as a staple grain in the Americas. Sci. Adv. 2020, 6, eaba3245. [Google Scholar] [CrossRef] [PubMed]
- Adeoluwa, O.O.; Mutengwa, C.S.; Chiduza, C.; Tandzi, N.L. Nitrogen Use Efficiency of Quality Protein Maize (Zea mays L.) Genotypes. Agronomy 2022, 12, 1118. [Google Scholar] [CrossRef]
- Gheith, E.M.S.; El-Badry, O.Z.; Lamlom, S.F.; Ali, H.M.; Siddiqui, M.H.; Ghareeb, R.Y.; El-Sheikh, M.H.; Jebril, J.; Abdelsalam, N.R.; Kandil, E.E. Maize (Zea mays L.) Productivity and Nitrogen Use Efficiency in Response to Nitrogen Application Levels and Time. Front. Plant Sci. 2022, 13, 941343. [Google Scholar] [CrossRef]
- Irmak, S.; Mohammed, A.T.; Kukal, M.S. Maize response to coupled irrigation and nitrogen fertilization under center pivot, subsurface drip and surface (furrow) irrigation: Growth, development and productivity. Agric. Water Manag. 2022, 263, 107457. [Google Scholar] [CrossRef]
- Szulc, P.; Krauklis, D.; Ambroży-Deręgowska, K.; Wróbel, B.; Niedbała, G.; Niazian, M.; Selwet, M. Response of Maize Varieties (Zea mays L.) to the Application of Classic and Stabilized Nitrogen Fertilizers-Nitrogen as a Predictor of Generative Yield. Plants 2023, 12, 600. [Google Scholar] [CrossRef]
- Tang, Z.; Cai, Y.; Xiang, Y.; Lu, J.; Sun, T.; Shi, H.; Liu, X.; Zhang, X.; Li, Z.; Zhang, F. Nitrogen nutritional diagnosis of summer maize (Zea mays L.) based on a hyperspectral data collaborative approach-evaluation of the estimation potential of three-dimensional spectral indices. Comput. Electron. Agric. 2025, 229, 109713. [Google Scholar] [CrossRef]
- Kindie, T.; Gbegbelegbe, S.; Cairns, J.E.; Bekele, S.; Prasanna, B.M.; Sonder, K.; Boote, K.; Makumbi, D.; Robertson, R. Maize systems under climate change in sub-Saharan Africa. Int. J. Clim. Change Strateg. Manag. 2015, 7, 247–271. [Google Scholar] [CrossRef]
- Meng, Q.; Cui, Z.; Yang, H.; Zhang, F.; Chen, X. Chapter Three—Establishing High-Yielding Maize System for Sustainable Intensification in China. In Advances in Agronomy; Sparks, D.L., Ed.; Academic Press: Cambridge, MA, USA, 2018; Volume 148, pp. 85–109. [Google Scholar]
- ten Berge, H.F.M.; Hijbeek, R.; van Loon, M.P.; Rurinda, J.; Tesfaye, K.; Zingore, S.; Craufurd, P.; van Heerwaarden, J.; Brentrup, F.; Schröder, J.J.; et al. Maize crop nutrient input requirements for food security in sub-Saharan Africa. Glob. Food Secur. 2019, 23, 9–21. [Google Scholar] [CrossRef]
- Atav, V.; Gürbüz, M.; Kayalı, E.; Yalınkılıç, E. Optimizing Nitrogen Management in Maize (Zea mays L.) Using Urease and Nitrification Inhibitors. Commun. Soil Sci. Plant Anal. 2024, 56, 528–541. [Google Scholar] [CrossRef]
- Ojeniyi, K.; Ngonidzashe, C.; Devkota, K.; Madukwe, D. Optimizing split-fertilizer applications for enhanced maize yield and nutrient use efficiency in Nigeria’s Middle-belt. Heliyon 2024, 10, e37747. [Google Scholar] [CrossRef] [PubMed]
- Zhang, Y.; Wang, H.; Lei, Q.; Luo, J.; Lindsey, S.; Zhang, J.; Zhai, L.; Wu, S.; Zhang, J.; Liu, X.; et al. Optimizing the nitrogen application rate for maize and wheat based on yield and environment on the Northern China Plain. Sci. Total Environ. 2018, 618, 1173–1183. [Google Scholar] [CrossRef]
- Asibi, A.E.; Chai, Q.; Coulter, J.A. Mechanisms of Nitrogen Use in Maize. Agronomy 2019, 9, 775. [Google Scholar] [CrossRef]
- Demari, G.; Carvalho, I.; Nardino, M.; Szareski, V.; Dellagostin, S.; da Rosa, T.C.; Follmann, D.; Monteiro, M.; Basso, J.; Pedó, T.; et al. Importance of nitrogen in maize production. Int. J. Curr. Res. 2016, 8, 36629–36634. [Google Scholar]
- Jiang, Y.; Li, H.; Ma, W.; Yu, W.; Chen, J.; Gao, Y.; Qi, G.; Yin, M.; Kang, Y.; Ma, Y.; et al. A meta-analysis of the effects of nitrogen fertilizer application on maize (Zea mays L.) yield in Northwest China. Front. Plant Sci. 2025, 15, 1485237. [Google Scholar] [CrossRef]
- Jiang, M.; Dong, C.; Bian, W.; Zhang, W.; Wang, Y. Effects of different fertilization practices on maize yield, soil nutrients, soil moisture, and water use efficiency in northern China based on a meta-analysis. Sci. Rep. 2024, 14, 6480. [Google Scholar] [CrossRef]
- Kiboi, M.N.; Ngetich, F.K.; Mucheru-Muna, M.W.; Diels, J.; Mugendi, D.N. Soil nutrients and crop yield response to conservation-effective management practices in the sub-humid highlands agro-ecologies of Kenya. Heliyon 2021, 7, e07156. [Google Scholar] [CrossRef]
- Paradelo, R.; Eden, M.; Martínez, I.; Keller, T.; Houot, S. Soil physical properties of a Luvisol developed on loess after 15 years of amendment with compost. Soil. Tillage Res. 2019, 191, 207–215. [Google Scholar] [CrossRef]
- Barłóg, P.; Grzebisz, W.; Łukowiak, R. Fertilizers and Fertilization Strategies Mitigating Soil Factors Constraining Efficiency of Nitrogen in Plant Production. Plants 2022, 11, 1855. [Google Scholar] [CrossRef]
- Bian, H.; Li, C.; Zhu, J.; Xu, L.; Li, M.; Zheng, S.; He, N. Soil moisture affects the rapid response of microbes to labile organic C addition. Front. Ecol. Evol. 2022, 10, 857185. [Google Scholar] [CrossRef]
- Butcher, K.R.; Nasto, M.K.; Norton, J.M.; Stark, J.M. Physical mechanisms for soil moisture effects on microbial carbon-use efficiency in a sandy loam soil in the western United States. Soil. Biol. Biochem. 2020, 150, 107969. [Google Scholar] [CrossRef]
- Hao, Y.; Mao, J.; Bachmann, C.M.; Hoffman, F.M.; Koren, G.; Chen, H.; Tian, H.; Liu, J.; Tao, J.; Tang, J.; et al. Soil moisture controls over carbon sequestration and greenhouse gas emissions: A review. npj Clim. Atmos. Sci. 2025, 8, 16. [Google Scholar] [CrossRef]
- Qu, R.; Liu, G.; Yue, M.; Wang, G.; Peng, C.; Wang, K.; Gao, X. Soil temperature, microbial biomass and enzyme activity are the critical factors affecting soil respiration in different soil layers in Ziwuling Mountains, China. Front. Microbiol. 2023, 14, 1105723. [Google Scholar] [CrossRef] [PubMed]
- Zifcakova, L. Factors Affecting Soil Microbial Processes. In Carbon and Nitrogen Cycling in Soil; Datta, R., Meena, R.S., Pathan, S.I., Ceccherini, M.T., Eds.; Springer: Singapore, 2020; pp. 439–461. [Google Scholar]
- Kim, H.N.; Park, J.H. Monitoring of soil EC for the prediction of soil nutrient regime under different soil water and organic matter contents. Appl. Biol. Chem. 2024, 67, 1. [Google Scholar] [CrossRef]
- Othaman, N.C.; Isa, M.M.; Ismail, R.; Ahmad, M.; Hui, C. Factors that affect soil electrical conductivity (EC) based system for smart farming application. AIP Conf. Proc. 2020, 2203, 020055. [Google Scholar] [CrossRef]
- Omar, S.; Abd Ghani, R.; Khaeim, H.; Haj Sghaier, A.; Márton, J. The effect of nitrogen fertilisation on yield and quality of maize (Zea mays L.). Acta Aliment. 2022, 51, 249–258. [Google Scholar] [CrossRef]
- Su, W.; Ahmad, S.; Ahmad, I.; Han, Q. Nitrogen fertilization affects maize grain yield through regulating nitrogen uptake, radiation and water use efficiency, photosynthesis and root distribution. PeerJ 2020, 8, e10291. [Google Scholar] [CrossRef]
- Zhang, L.; Zhang, X.; Gao, Q.; Yan, L. Nitrogen Application Effect on Maize Yield, NH3, and N2O Emissions in Northeast China by Meta-Analysis. Agronomy 2023, 13, 1479. [Google Scholar] [CrossRef]
- Jalpa, L.; Mylavarapu, R.S.; Hochmuth, G.; Wright, A.; van Santen, E. Recovery efficiency of applied and residual nitrogen fertilizer in tomatoes grown on sandy soils using the 15N technique. Sci. Hortic. 2021, 278, 109861. [Google Scholar] [CrossRef]
- Sebilo, M.; Mayer, B.; Nicolardot, B.; Pinay, G.; Mariotti, A. Long-term fate of nitrate fertilizer in agricultural soils. Proc. Natl. Acad. Sci. USA 2013, 110, 18185–18189. [Google Scholar] [CrossRef] [PubMed]
- Kawalec, P.; Wierzchosławski, R.; Skibniewski, M.; Callebaut, B.; van den hoven, J.; Poel, I.; Guldenmund, F.; Doula, M.; Hulstijn, J.; Argyriou, N. Social Responsibility and Science in Innovation Economy; Wydawnictwo KUL: Lublin, Poland, 2016. [Google Scholar]
- Verloop, J.; Boumans, L.; Van Keulen, H.; Oenema, J.; Hilhorst, G.; Aarts, H.; Sebek, L. Reducing nitrate leaching to groundwater in an intensive dairy farming system. Nutr. Cycl. Agroecosystems 2006, 74, 59–74. [Google Scholar] [CrossRef]
- Corwin, D.L. Climate change impacts on soil salinity in agricultural areas. Eur. J. Soil. Sci. 2021, 72, 842–862. [Google Scholar] [CrossRef]
- Singh, B.; Craswell, E. Fertilizers and nitrate pollution of surface and ground water: An increasingly pervasive global problem. SN Appl. Sci. 2021, 3, 518. [Google Scholar] [CrossRef]
- Yadav, M.R.; Kumar, S.; Lal, M.K.; Kumar, D.; Kumar, R.; Yadav, R.K.; Kumar, S.; Nanda, G.; Singh, J.; Udawat, P.; et al. Mechanistic Understanding of Leakage and Consequences and Recent Technological Advances in Improving Nitrogen Use Efficiency in Cereals. Agronomy 2023, 13, 527. [Google Scholar] [CrossRef]
- Li, W.; Xie, L.; Zhao, C.; Hu, X.; Yin, C. Nitrogen Fertilization Increases Soil Microbial Biomass and Alters Microbial Composition Especially Under Low Soil Water Availability. Microb. Ecol. 2023, 86, 536–548. [Google Scholar] [CrossRef]
- Ray, R.L.; Ibironke, A.; Kommalapati, R.; Fares, A. Quantifying the Impacts of Land-Use and Climate on Carbon Fluxes Using Satellite Data across Texas, U.S. Remote Sens. 2019, 11, 1733. [Google Scholar] [CrossRef]
- Banner, J.L.; Jackson, C.S.; Yang, Z.-L.; Hayhoe, K.; Woodhouse, C.; Gulden, L.; Jacobs, K.; North, G.; Leung, R.; Washington, W.; et al. Climate change impacts on Texas water: A white paper assessment of the past, present and future and recommendations for action. Tex. Water J. 2010, 1, 1–19. [Google Scholar] [CrossRef]
- Cominelli, S.; Rivera, L.D.; Brown, W.G.; Ochsner, T.E.; Patrignani, A. Calibration of TEROS 10 and TEROS 12 electromagnetic soil moisture sensors. Soil. Sci. Soc. Am. J. 2024, 88, 2104–2122. [Google Scholar] [CrossRef]
- Kelley, B.; Ali, N.; Dong, Y. Methods to correct temperature-induced changes of soil moisture sensors to improve accuracy. MethodsX 2025, 14, 103100. [Google Scholar] [CrossRef] [PubMed]
- Mirzakhaninafchi, H.; Mishra, I.M.; Nafchi, A.M. Study on soil nitrogen and electrical conductivity relationship for site-specific nitrogen application. In Proceedings of the 2017 ASABE Annual International Meeting, Spokane, WA, USA, 16–19 July 2017; p. 1. [Google Scholar]
- Sheldon, A.R.; Dalal, R.C.; Kirchhof, G.; Kopittke, P.M.; Menzies, N.W. The effect of salinity on plant-available water. Plant Soil. 2017, 418, 477–491. [Google Scholar] [CrossRef]
- Yu, Y.; Zhao, C.; Jia, H.; Niu, B.; Sheng, Y.; Shi, F. Effects of nitrogen fertilizer, soil temperature and moisture on the soil-surface CO2 efflux and production in an oasis cotton field in arid northwestern China. Geoderma 2017, 308, 93–103. [Google Scholar] [CrossRef]
- Xiukang, W.; Zhanbin, L.; Yingying, X. Effects of mulching and nitrogen on soil temperature, water content, nitrate-N content and maize yield in the Loess Plateau of China. Agric. Water Manag. 2015, 161, 53–64. [Google Scholar] [CrossRef]
- Convey, P.; Coulson, S.; Worland, M.; Sjöblom, A. The importance of understanding annual and shorter-term temperature patterns and variation in the surface levels of polar soils for terrestrial biota. Polar Biol. 2018, 41, 1587–1605. [Google Scholar] [CrossRef]
- Zhou, H.; Hu, D.; Wang, X.; Han, F.; Li, Y.; Wu, X.; Ma, S. Horizontal heat impact of urban structures on the surface soil layer and its diurnal patterns under different micrometeorological conditions. Sci. Rep. 2016, 6, 18790. [Google Scholar] [CrossRef]
- Naud, C.M.; Posselt, D.J.; Van Den Heever, S.C. Observational analysis of cloud and precipitation in midlatitude cyclones: Northern versus Southern Hemisphere warm fronts. J. Clim. 2012, 25, 5135–5151. [Google Scholar] [CrossRef]
- Rahman, M.A.; Dervishi, V.; Moser-Reischl, A.; Ludwig, F.; Pretzsch, H.; Rötzer, T.; Pauleit, S. Comparative analysis of shade and underlying surfaces on cooling effect. Urban. For. Urban. Green. 2021, 63, 127223. [Google Scholar] [CrossRef]
- Wang, Q.; Li, F.; Zhao, L.; Zhang, E.; Shi, S.; Zhao, W.; Song, W.; Vance, M.M. Effects of irrigation and nitrogen application rates on nitrate nitrogen distribution and fertilizer nitrogen loss, wheat yield and nitrogen uptake on a recently reclaimed sandy farmland. Plant Soil. 2010, 337, 325–339. [Google Scholar] [CrossRef]
- Shang, F.; Ren, S.; Yang, P.; Chi, Y.; Xue, Y. Effects of different irrigation water types, N fertilizer types, and soil moisture contents on N2O emissions and N fertilizer transformations in soils. Water Air Soil. Pollut. 2016, 227, 225. [Google Scholar] [CrossRef]
- Wang, Y.; Gao, M.; Chen, H.; Chen, Y.; Wang, L.; Wang, R. Fertigation and carboxymethyl cellulose applications enhance water-use efficiency, improving soil available nutrients and maize yield in salt-affected soil. Sustainability 2023, 15, 9602. [Google Scholar] [CrossRef]
- Yao, X.; Zhang, N.; Zeng, H.; Wang, W. Effects of soil depth and plant–soil interaction on microbial community in temperate grasslands of northern China. Sci. Total Environ. 2018, 630, 96–102. [Google Scholar] [CrossRef] [PubMed]
- Liu, W.; Ouyang, G.; Luo, X.; Luo, J.; Hu, L.; Fu, M. Moisture content, pore-water pressure and wetting front in granite residual soil during collapsing erosion with varying slope angle. Geomorphology 2020, 362, 107210. [Google Scholar] [CrossRef]
Disclaimer/Publisher’s Note: The statements, opinions and data contained in all publications are solely those of the individual author(s) and contributor(s) and not of MDPI and/or the editor(s). MDPI and/or the editor(s) disclaim responsibility for any injury to people or property resulting from any ideas, methods, instructions or products referred to in the content. |
© 2025 by the authors. Licensee MDPI, Basel, Switzerland. This article is an open access article distributed under the terms and conditions of the Creative Commons Attribution (CC BY) license (https://creativecommons.org/licenses/by/4.0/).




