Abstract
In the real-world operation of unmanned helicopters, various state constraints, system uncertainties and multisource disturbances pose considerable risks to their safe fight. This paper focuses on anti-disturbance adaptive safety fixed-time control design for the uncertain unmanned helicopter subject to partial state constraints and multiple disturbances. Firstly, a developed safety protection algorithm is integrated with the fixed-time stability theory, which assures the tracking performance and guarantees that the partial states are always constrained within the time-varying safe range. Then, the compensation mechanism is developed to weaken the adverse impact induced by the filter errors. Simultaneously, the influence of the multisource disturbances on the system stability are weakened through the It differential equation and high-order disturbance observer. Further, the fuzzy logic system is constructed to approximate the system uncertainties caused by the sensor measurement errors and complex aerodynamic characteristics. Stability analysis proves that the controlled unmanned helicopter is semi-globally fixed-time stable in probability, and the state errors converge to a desired region of the origin. Finally, simulations are provided to illustrate the performance of the proposed scheme.
1. Introduction
Due to their simple operation and low price, unmanned autonomous helicopters (UAHs) have been widely used in many fields in recent decades, such as the military [1], agriculture [2] and logistics [3]. With the increasing attention, the shortcomings of unmanned helicopters, such as uncertainties, multiple disturbances and high nonlinearity, their security controls have received a lot of attention [4,5,6]. In addition, UAHs usually use a variety of sensors, such as Global Positioning System (GPS), Inertial Measurement Unit (IMU), air pressure sensors, etc., so they have strong coupling characteristics. For example, changes in sensor data will direcly affect changes in various states of the UAHs. In addition, there is coupling between the communication system and the data processing unit, the load and power system, and the thermal management system and the power system. To this end, many nonlinear control methods have been proposed. In [7], the authors employed the feedback linearization technique to a laboratory helicopter system, which reduces the conservativeness of the robust compensator design. Based on the adaptive backstepping technique, the authors developed the output-feedback baseline controller for helicopters in [8], where the adaptive control technique improves the shock absorption capability of the controller. Subsequently, because the backstepping technique can through repeated iteration and adjustment make the controller have a more superior performance, it is employed by the majority of scholars for unmanned helicopter control, such as in [5,9,10,11]. In order to reduce the controller computational burden in the backstepping technique due to iteration, the dynamic surface control (DSC) scheme was adopted [12]. However, if the new filtering error obtained by the DSC method cannot be compensated, the system performance will be reduced. Fortunately, the command-filtered backstepping control (CFBC) scheme can solve the problem above by using a compensating signal to compensate for the filtering error [13]. Since then, the CFBC and many advanced control methods are used in unmanned helicopter systems [14,15]; for example, in [14], the authors employed the CFBC-based fault-tolerant control strategy for drone interceptors. It can be observed that the works above can only control the unmanned helicopter under ideal conditions. However, UAHs have always suffered with system uncertainties and disturbances when flying because of their special rigid structure and complex working environments; if these situations are not considered when designing the controller, the control performance will be reduced or even ineffective.
Given that the nonlinear functions can be approximated well by the fuzzy logic system (FLS), the FLS control scheme has been applied for uncertain systems [16,17,18,19,20,21]. In [17], a proportional–integral–derivative (PID)-based adaptive fuzzy control algorithm was developed for a UAH with system uncertainties, and the simulation shows that the proposed controller method has a better effect on the system uncertainties. In [19], based on Takagi–Sugeno FLS, an event-triggering controller is designed for the system with DoS attack. The authors in [20] proposed a fuzzy wavelet neural adaptive control scheme for a quadrotor UAV; the simulation represented the control performance of the proposed control approach. The authors in [21] applied FLS to an unmanned aerial vehicle formation system to solve the system uncertainties existing in the system. In addition to the system uncertainties caused by complex dynamic models, the external disturbances often occur during unmanned helicopter operations [22]. The authors estimate the maximum value of the disturbance and convert it into a constant using inequality to eliminate it in [23]. Then, in order to eliminate the effect of real-time disturbances on the system better, the corresponding disturbance observer was employed [24,25,26]. In [24], to estimate the unknown disturbances, the authors investigated the disturbance observer (DO). However, the random disturbances in the unmanned helicopter system, caused by internal noise and sensor measurement errors, are not mentioned. Because of its randomness, disorder and rapid change on a small scale, the general disturbance observer can not deal with random disturbances well. To this end, the authors in [27] developed the extended state observer to approximate the random disturbances of the second-order stochastic multiagent systems. Furthermore, It differential equation is composed of partial differential equations with random terms, so it can deal with random disturbances contained in the system [28,29]. In [29], the authors suggested the It differential equation to solve the random disturbances for a class of nonlinear stochastic Poisson signal systems.
It is worth noting that the works above solve the stability problem of an unmanned helicopter when there is system uncertainty, external disturbances and random disturbances. However, due to the complex working environments, the state constraint of UAHs is also a topic worth studying. For the problem of dealing with constraints, scholars have proposed many methods. For example, the model predictive control (MPC) [30,31], reference governor approach [32,33], barrier Lyapunov function (BLF) [34,35], the prescribed performance function (PPC) [36,37,38] and so on. In [30], based on the Hammerstein model, the authors developed the MPC method for unmanned aerial vehicles, which allows the unmanned autonomous vehicles (UAVs) to track the target accurately. The authors in [33] utilized the reference governor approach for the affine systems. The BLF was utilized in [34] to constrain the output of the UAH. The PPC technique was employed in [38] for the 3-degree-of-freedom helicopters, which can constrain the error within the safe range. However, the MPC and reference governor approaches rely on system models, and unmanned helicopter models are highly complex, making it difficult to create accurate mathematical models. BLF and PPC constrain the state by constraining the state error, which depends on “feasibility conditions”, but the feasibility conditions are often difficult to obtain. The proposal of the safety protection algorithm (SPA) solves the problem above [39], which can obtain real-time boundary constraints through airborne sensors, and combined with a preset expectation signals, generate a new safety expectation signals. However, the methods above all use the general asymptotic stability method, the system may take a long time to reach stability, and UAHs have high requirements for speed and accuracy.
The fixed-time stability theory can make the system settling time independent of the initial state of the system [40,41], so it has been studied by most scholars. In the last decade, the fixed-time stability theory and other mainstream methods have been combined for use in various systems. In [42], the fixed-time stability theory was combined with the adaptive control method for a class nonlinear systems. The authors in [43] combined the fixed-time theory and DO to form a fixed-time disturbance observer, which guarantees that all states and disturbance converge to the desired ranges in fixed time. In [44], the sliding mode control-based fixed-time controller was developed, which improves the resource utilization, robustness and response speed of the system. In [45], inspired by the It Lemma, the authors developed a novel fixed-time stability criterion for the stochastic pure-feedback system.
Inspired by the works above, this paper investigates the adaptive safety fixed-time tracking control scheme with a high-order disturbance observer (HODO) for the uncertain unmanned helicopter suffering multisource disturbances and external disturbances. The following are the chief contributions of this paper:
- In order to keep partial states of the unmanned helicopter system within the time-varying safety boundary, the desired safety signals are constructed by SPA, which avoids the disadvantages of traditional BLF and PPC, indirectly constrains the state through constraint state errors and eliminates the assumption of feasibility conditions. In addition, second-order DSC is used to make the desired safety signals continuously differentiable.
- Compared with asymptotic stability control and finite-time stability theory, the fixed-time stability theory ensures that the controlled unmanned helicopter system is semi-globally fixed-time stable in probability, and the convergence time of the system only depends on the devised parameters. Moreover, the compensation mechanism is employed to improve the tracking performance and robustness of the controller system.
- Unlike from the existing DO and FTDO in [43], the developed HODO provides an unbiased estimate of the reciprocal of the external disturbances, which realizes the precise control and compensation of the external disturbances. In addition, FLS and the It differential equation are employed to handle the system uncertainties and random disturbances.
2. Necessary Preparation
In this section, the dynamic model of a UAH is provided, along with some of the necessary problem formulation, Lemmas and Assumptions.
2.1. Modeling of the UAH
In order to make the research object more clear, the schematic diagram of the UAH system is provided in Figure 1.
Figure 1.
Schematic diagram of the UAH system.
According to the aerodynamics and flight dynamics, the dynamics of 6-DOF UAH can be expressed as [5].
where and denote the position vector, velocity vector, attitude angle vector and angular velocity vector of the unmanned helicopter, respectively. m represents the mass of the unmanned helicopter. with . with g is the gravity acceleration, stands for the inputs. represents the coordinate transformation matrix [5] and stands for the attitude kinematic matrix [11]. is the inertia matrix. are the system uncertainties, and represent the external disturbances. are known functions.
In order to better demonstrate the dynamic characteristics of an unmanned helicopter system, (1) can be divided into the position loop
and the attitude loop
where .
2.2. Problem Formulation
The stochastic nonlinear system can be expressed as
where , and are the state and smooth functions. is r-dimension Brownian motion. For system (1), it has , and the differential operator L is defined as
Lemma 1
([42]). For any variables , one has
Lemma 2
([44]). Consider the FLS as follows:
where and y represent the input and output of the FLS, respectively. and denote the fuzzy sets corresponding to fuzzy membership function and , respectively. k is the number of rules. Through a series of operations, FLS can be written as
where .
The fuzzy basis function is defined as
Then the FLS can be represented as
where and are the adjustable parameter vector and fuzzy basis function vector, respectively.
Further, Lemma 2 can be redefined as follows:
If there is a known function defined on a compact Δ, then FLS can approximate it as follows:
where is the approximate error.
Lemma 3
Lemma 4
([43]). There exist some constants satisfying , then one can obtain .
Assumption 1
([5]). The external disturbances and are bounded.
Assumption 2
([5]). The desired signals and their 1- and 2-order derivatives are bounded.
Assumption 3
([5]). All states of the UAH system (1) are measurable.
3. Controller Design
In this section, the safety trajectory vectors are designed through the SPA. The adaptive safety fixed-time anti-disturbance controller is designed with the backstepping technique. The control diagram is provided in Figure 2, and the variables contained therein will be introduced later.
Figure 2.
Control diagram of this paper.
3.1. Desired Safety Trajectory Generation
In order to obtain the expected safety signal, based on the SPA, take the X-axis, and for example, define and as the upper and lower bounds of the smooth safe boundaries, then the generation steps of are as follows:
Case I: :
Case II: :
Case III:
where . represents the time-varying margin with .
Therefore, and can be obtained by the same process.
Remark 1.
For the common BLF
where with x and are the state and desired signal, k is the constraint of z. This method of constraint converts the original state constraint into new bounds of the tracking error. This approach has a disadvantage; that is, when the difference between the error and the constraint condition is small, a larger control force is needed to adjust the performance of system. The biggest difference between the SPA and BLF constraints used in this article is that SPA can evaluate the expected signal in advance and then compare it with the original expected signal to generate a new expected safety signal, and use the constrained desired safety trajectory to design the controller. Therefore, there is no need to constrain the state error, and the input cannot be too large beyond the safe range of the system. In addition, the time-varying safety margin ε is considered in this paper, which further improves the safety performance of the system.
However, the generated segmented safety expectation signal cannot be directly differentiated. In order to be able to use the backstepping technique, a second-order DSC is used to convert the segmented into a continuously reversible . Define with and as the estimates of and , respectively. Then, the second-order DSC can be represented as
where and are the input and output of the second-order DSC, respectively.
Then, a theorem is given as follows:
Theorem 1.
Let pass through the second-order DSC (14), then the generated trajectory is smooth and differentiable.
Proof.
Defining with , one has
where .
Select the Lyapunov as
Taking the derivative of (16), one can obtain
Invoking Lemma 1, one has
Integration of (19) yields
From (16), one has
where .
It can be shown that by selecting suitable upper and lower bounds, designing parameters and passing through the second-order DSC, the real-time constrained desired signals can be obtained, where satisfy the following conditions:
This concludes the proof. □
3.2. Design of the Command Filter
The tracking errors are provided as
where and stand for the outputs of command filter, which are constructed as
where are auxiliary variables of the command filter, and are the virtual controller to be designed later. stands for the design matrix, and are design parameters. In addition, .
To eliminate the effect of filtering errors, the compensations mechanisms are defined as
where are compensation functions and designed as follows:
where are positive design parameters.
3.3. HODO-Based Adaptive Safety Fixed-Time Tracking Controller Design
To handle the impact of and on the system, the FLS is utilized, as follows:
and
where are design matrices, and are estimate errors.
Select the Lyapunov function as
Take the derivative of , and utilizing (39) produces
where .
Invoking Lemma 1, one can obtain
where .
Choose the virtual controller as
where are design matrices.
Step 2: Taking the derivative of (31) yields
In order to approximate the compound disturbance , the HODO is constructed as
where are the estimates of . are auxiliary variables, are design matrices and .
Defining with , then one can obtain
where ,
and is a Hurwitz matrix. Thus, by choosing approximate design positive definite matrices , one can obtain
where .
The Lyapunov function is constructed as
where are design constants and and are the estimate errors and estimates of .
Taking the derivative of produces
Invoking Lemma 1, one can obtain
where .
The adaptive law and actual controller are given as
where are design constants.
Utilizing Lemma 1 yields . Then, (58) can be rewritten as
where .
To determine and , from , one has:
The Lyapunov function is designed as
Invoking Lemma 1, one can obtain
where .
Choose the virtual controller as
In order to approximate the external disturbances , the HODO is constructed as
where are the estimates of . are auxiliary variables, are design matrices and .
Defining with , then one can obtain
where ,
and is a Hurwitz matrix. Thus, there are positive definite matrices , and one can obtain
where is a positive definite matrix.
The Lyapunov function is constructed as
Taking the derivative of yields
Employing Lemma 1, one can obtain
where .
Then, (73) can be rewritten as
Select the adaptive law and actual controller as
Utilizing Lemma 1 yields . Then, (80) can be rewritten as
where .
4. Stability Analysis
This section provides the following theorem to perform the effectiveness of the controller.
Theorem 2.
For the uncertain UAH system with random disturbances and external disturbances. If the second-order DSC is selected as (14), the virtual controller and actual controller are selected as (44), (57), (66) and (79), the adaptive laws are constructed as (56) and (78), the command filters are provided as (14), (26)–(29) and the HODOs are designed as (47) and (69), then based on the SPA, the proposed control scheme ensures that all states of the unmanned helicopter are semi-globally fixed-time stable in probability. In addition, the convergence time only depends on the designed parameters.
Proof.
Defining , one has
where .
Employing Lemma 1, one can obtain
Then, (82) can be rewritten as
where .
Employing Lemma 4 yields
Employing Lemma 1, one can obtain
Assuming and , then one can obtain
The proof is concluded. □
5. Simulation
Some necessary parameters are provided, including the following: assume that the unmanned helicopter has 10% uncertainties. The random disturbance coefficient matrices and external disturbance are provided as follows:
Table 1 provides the necessary parameters.
Table 1.
Fuselage parameters.
The desired parameters are provided as
,
,
,
,
,
,
,
,
,
,
,
and .
For FLS used in this paper, choose the number of rules , and the fuzzy member functions are chosen as
where
The initial conditions, desired signals and state constraints are provided in Table 2.
Table 2.
Parameters of simulation.
According to the information above, the following figures illustrate the performance of the control scheme.
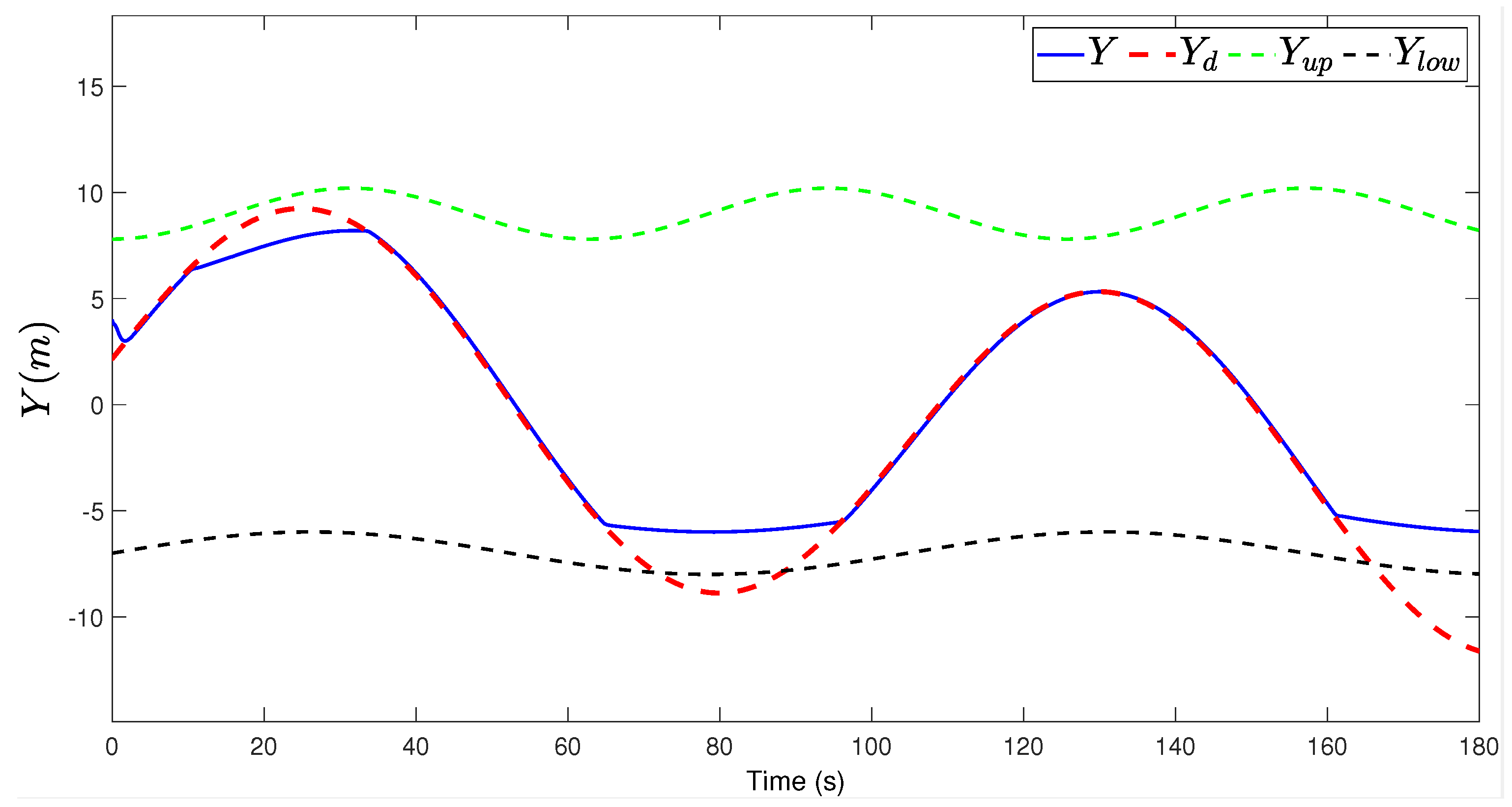
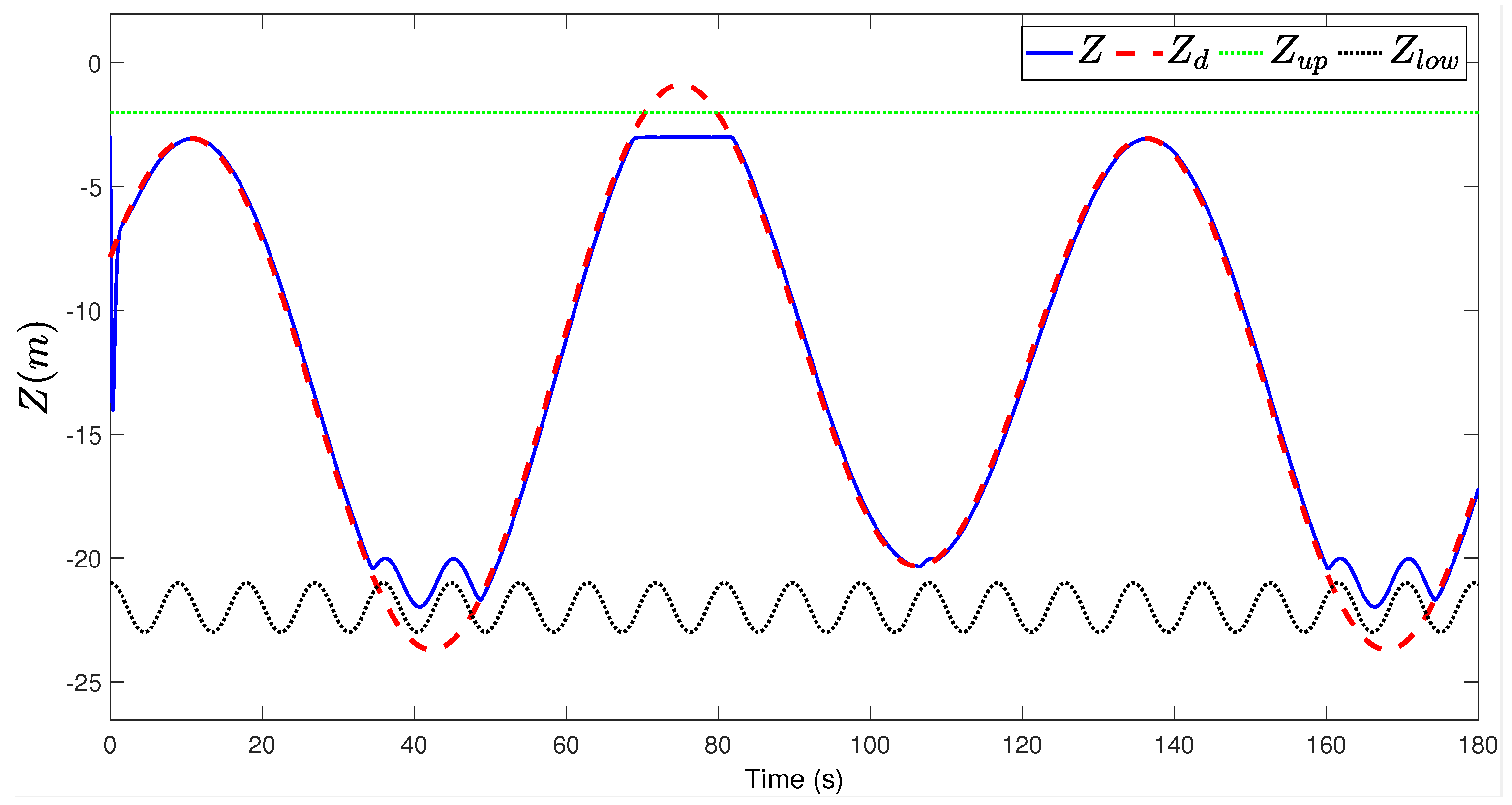
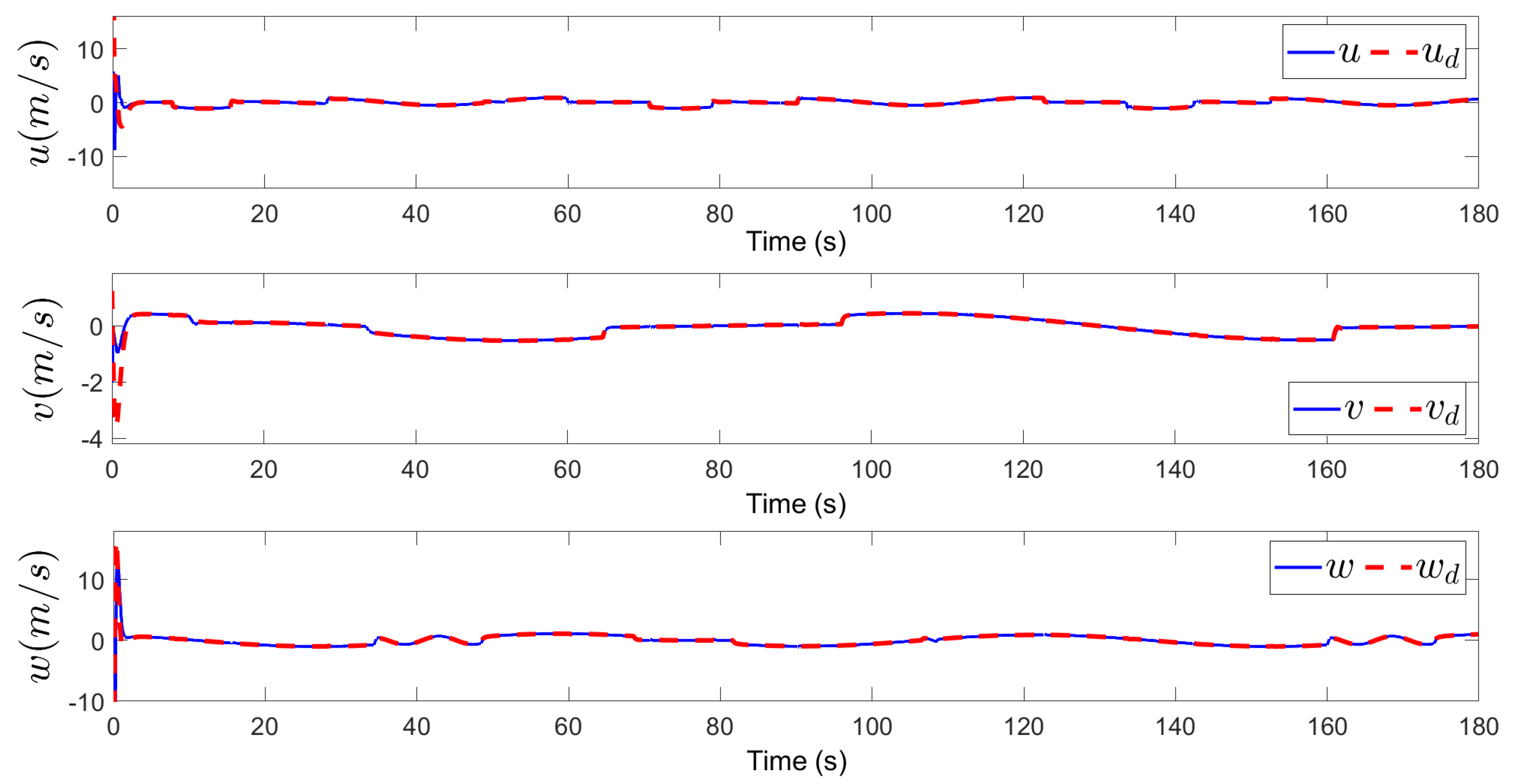
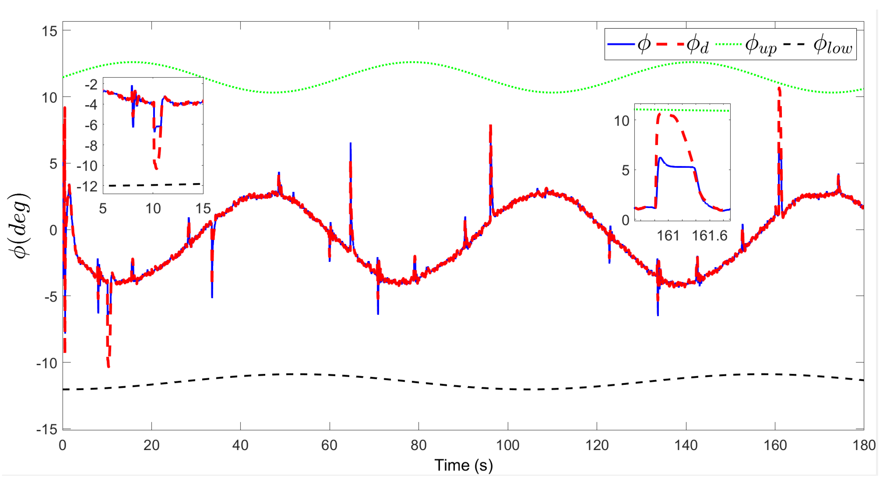
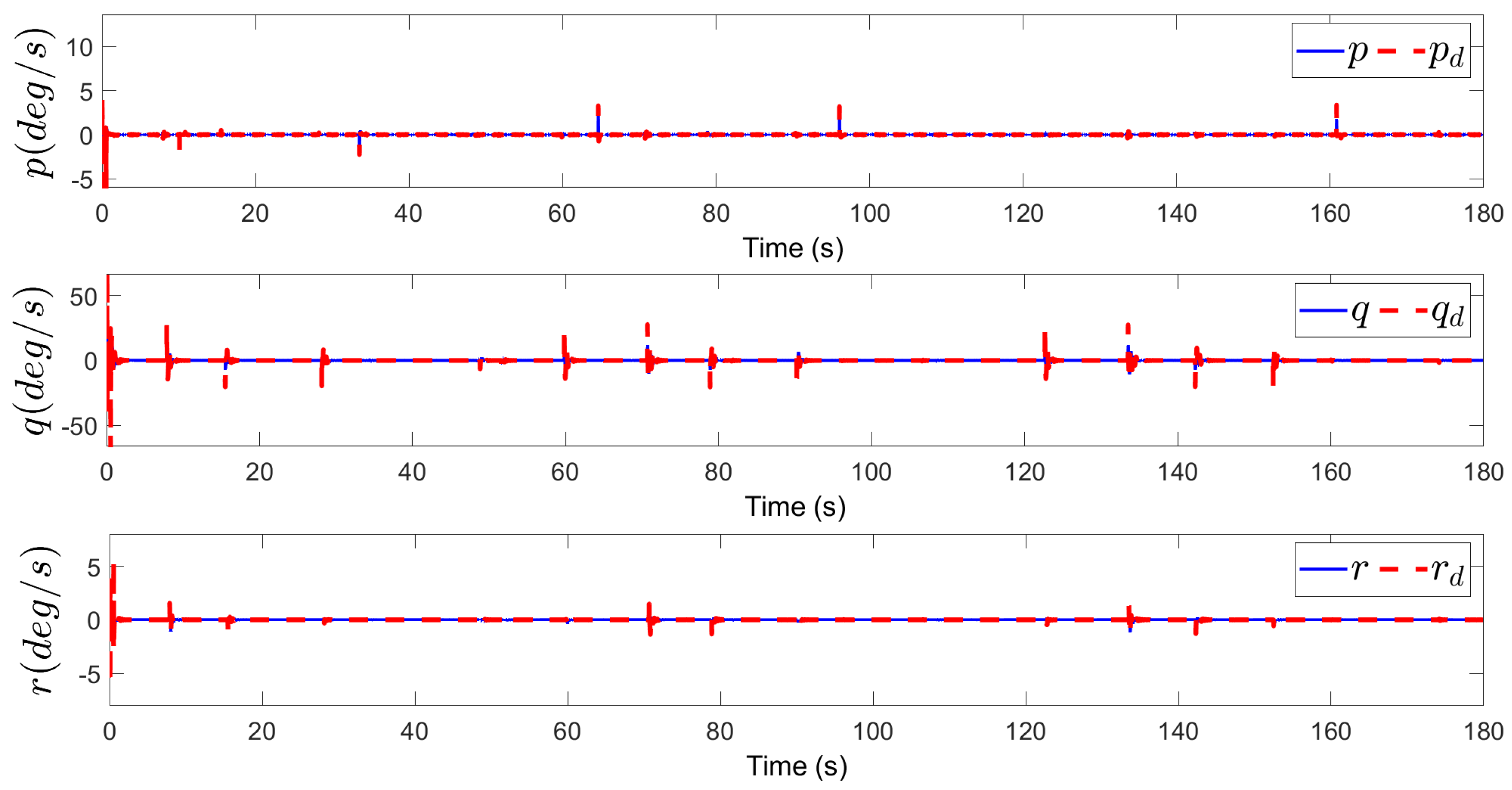
Figure 3, Figure 4, Figure 5, Figure 6, Figure 7, Figure 8, Figure 9 and Figure 10 are the state tracking responses of the UAH under the system uncertainties and multisource disturbances, Figure 3, Figure 4, Figure 5, Figure 6, Figure 7, Figure 8, Figure 9 and Figure 10 correspond to the position, velocity, angle and angular velocity tracking curves of the UAH, respectively. It can be observed from Figure 3 and Figure 7, Figure 8 and Figure 9 that the position P and attitude of the UAH system are restricted within the time-varying security boundaries, and because of the time-varying margins, P and always maintain a certain range with the security boundaries, which further improves the security of UAH. In addition, the velocity and angular velocity of the UAH system can track the desired signals accurately and quickly, which also meets the requirements of the actual system for fast, accurate and stable.
Figure 3.
Tracking performance of -axis.
Figure 4.
Tracking performance of -axis.
Figure 5.
Tracking performance of -axis.
Figure 6.
Tracking performance of velocity.
Figure 7.
Tracking performance of .
Figure 8.
Tracking performance of .
Figure 9.
Tracking performance of .
Figure 10.
Tracking performance of angular velocity.
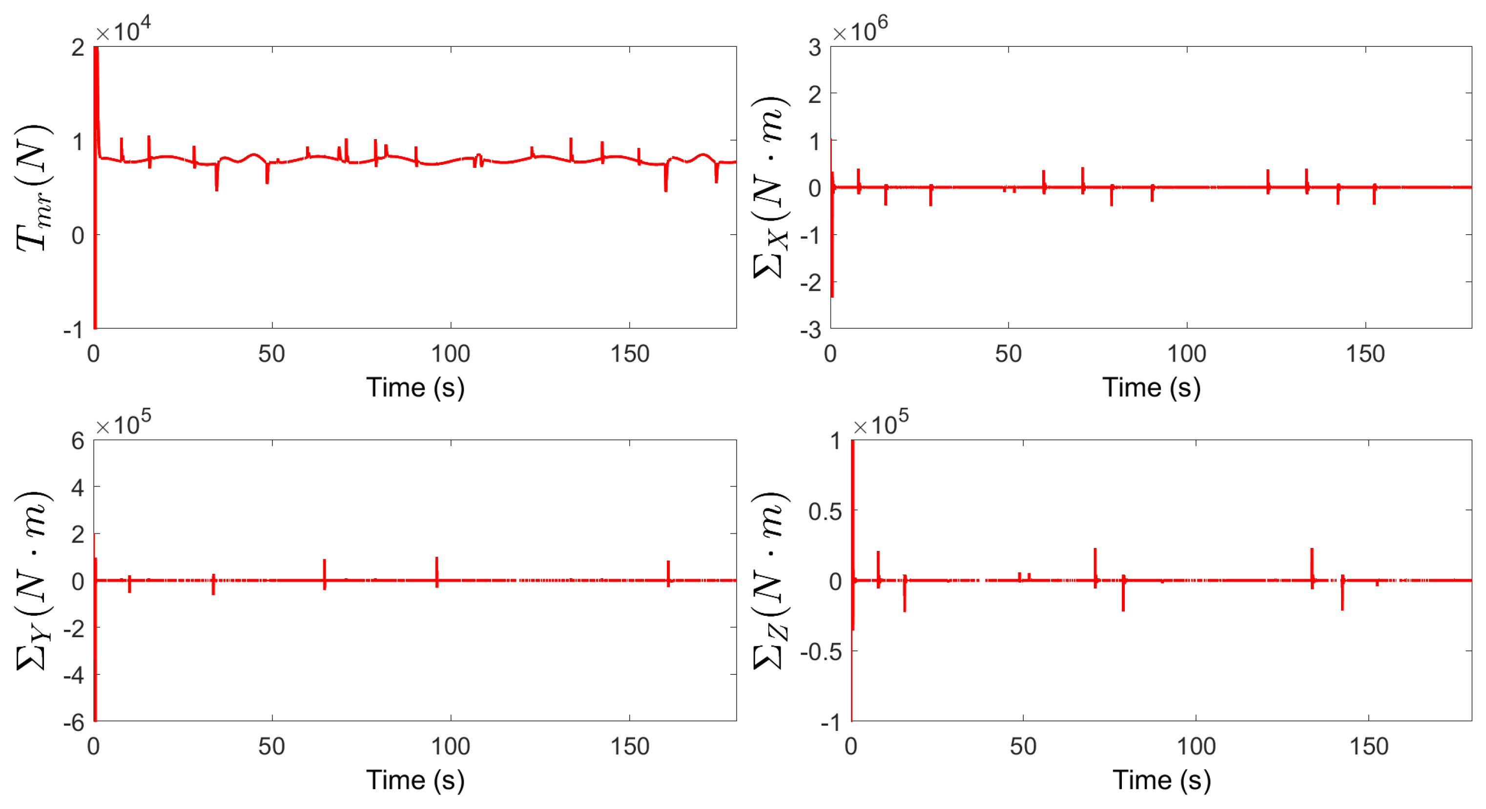
Figure 11 stands for the inputs of the system, where, , , and represent the main rotor pull, yaw moment, pitching moment and rolling moment of UAH, respectively. They work together to realize various maneuvers of the UAH in three-dimensional space. In addition, it can be observed that although there are large vibrations in the s, they can quickly reach stability, and meet the output range of the actual system.
Figure 11.
Control inputs of the designed scheme.
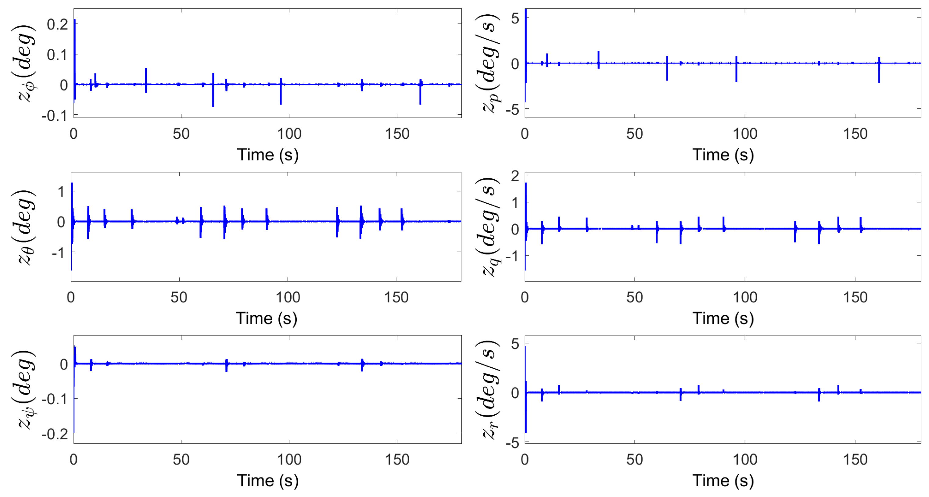
Figure 12 and Figure 13 show the tracking errors of position, velocity, angle and angular velocity, respectively. It can be observed that all states of the closed-loop system converge the desired region in fixed-time even through suffering the time-varying safety boundary constraints, stochastic disturbances and external disturbances.
Figure 12.
Tracking performance of position subsystem.
Figure 13.
Tracking performance of attitude subsystem.
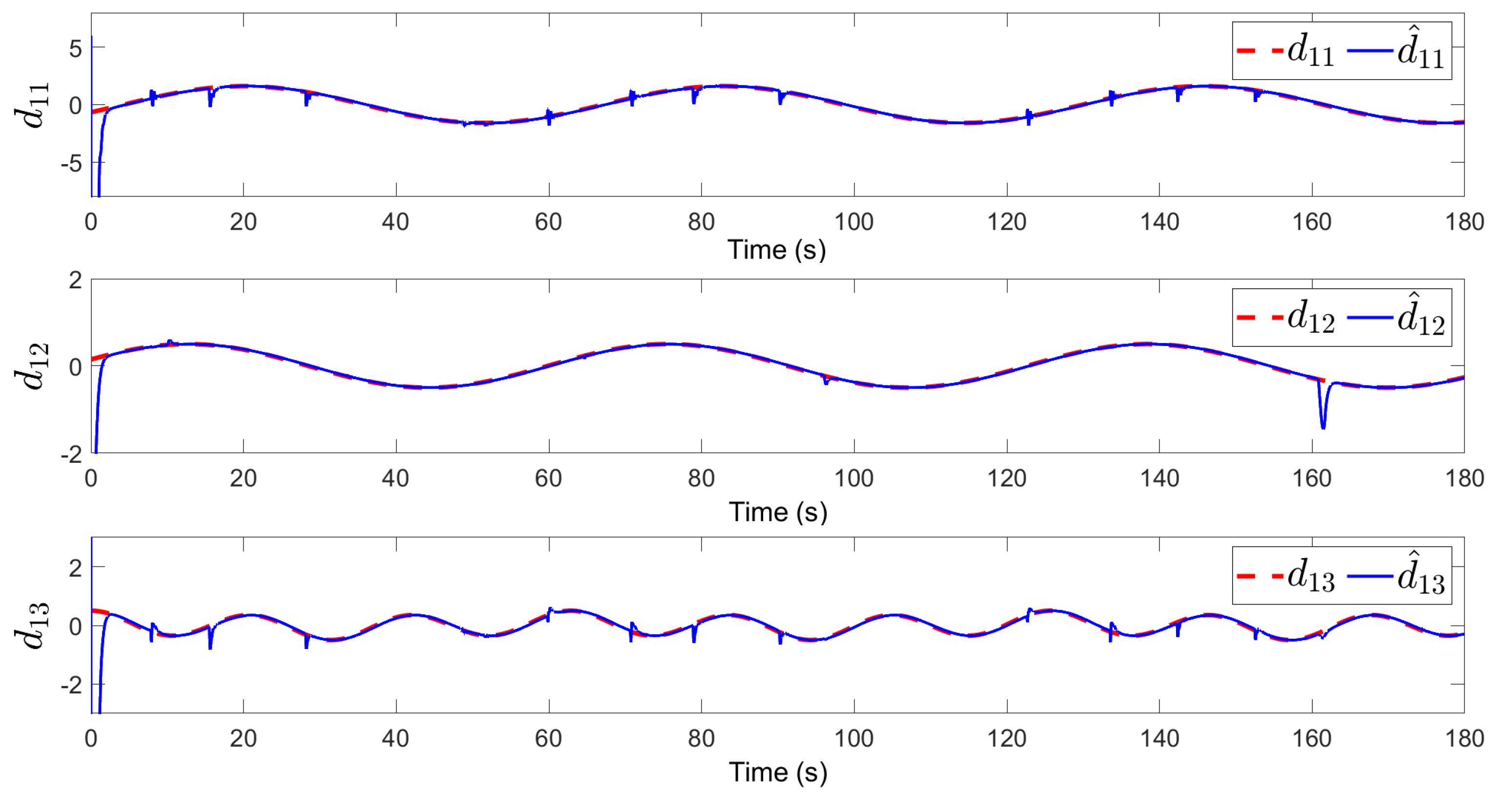
Figure 14 and Figure 15 are the tracking responses of the and . Due to the influence of random disturbance, although there are pulses in the observation process of HODO, the designed observer can still observe the external disturbances quickly and accurately. In addition, compared with the traditional NDO, the HODO obtains the unbiased estimate of the time derivatives of external disturbances, which further improves the observation accuracy of the observer. In order to show the change in the flight trajectory of the unmanned helicopter more clearly, Figure 16 provides a three-dimensional diagram.
Figure 14.
Tracking performance of .
Figure 15.
Tracking performance of .
Figure 16.
Three-dimensional trajectory diagram.
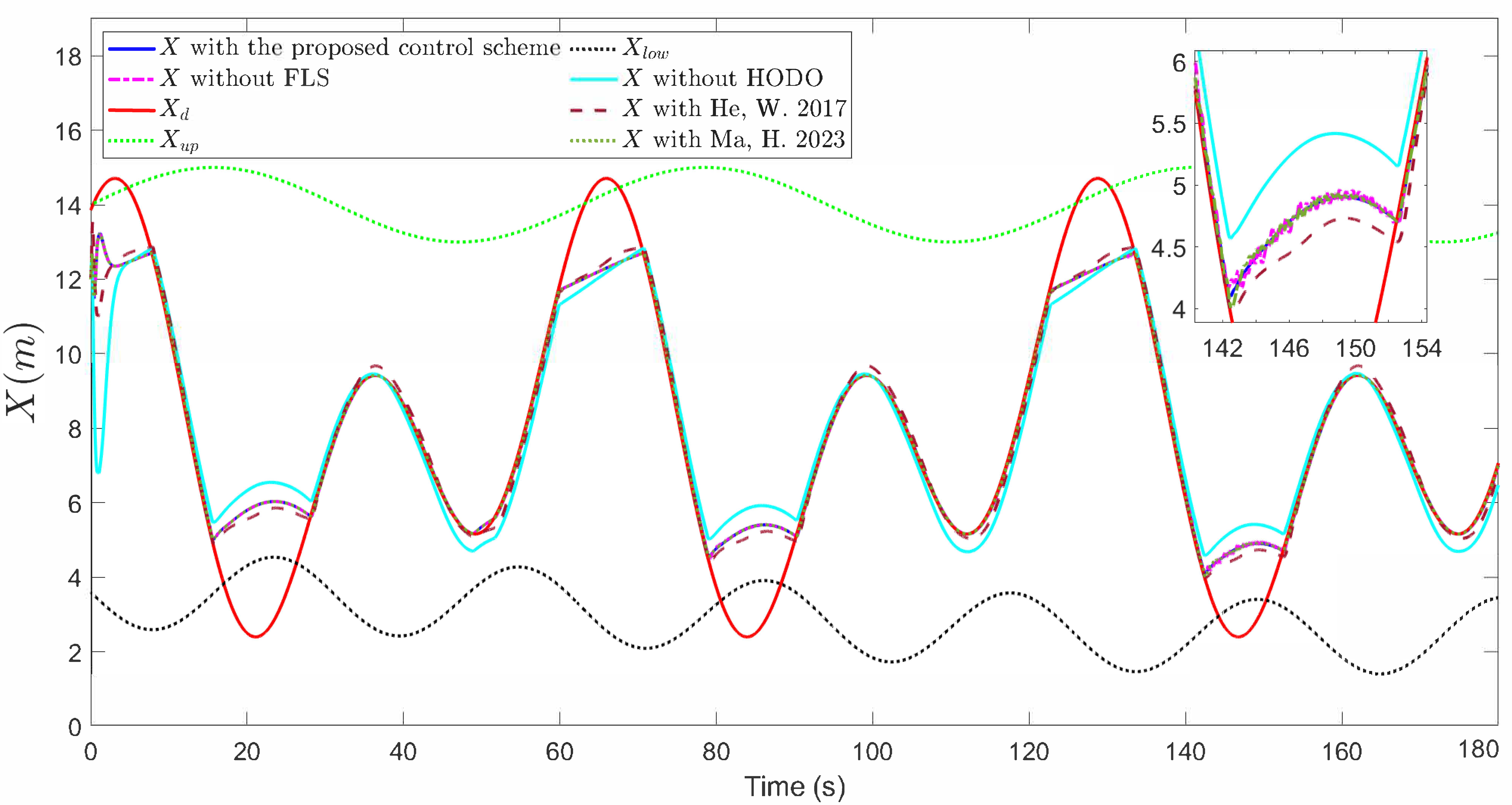
In addition, in order to show the performance and effect of the designed controller, we provide a comparative experiment, as shown in Figure 17, taking X as an example, which contains the tracking curve obtained by different control methods. It can be observed that although X of the proposed control scheme without FLS can track the desired signal, the oscillation is more severe. X of the control scheme without SPA will cause the UAH system to cross the safety boundaries, which may cause the UAH to collide with the obstacle boundaries during operation or coincide with the airframe crash. Though X of the proposed method in [25] can make the output tracking the desired signal, there is slightly larger error. Although the method proposed by [43] can quickly track the desired signal, FTDO has no way to determine an unbiased estimate of the disturbance, resulting in a slightly larger error. The X of the control scheme without HODO can hardly accurately track the time-varying safety expectation signal. In order to make the comparison more clear, we provide Table 3, including the maximum X-axis error and convergence time information under different methods, which clearly shows the superiority of the control strategy proposed in this paper.
Figure 17.
Tracking performance of X under different control schemes.
Table 3.
The maximum error and convergence time of different methods in the X-axis.
It can be seen from the results presented in the above figures that the control scheme has good control performance for unmanned helicopters with system uncertainties, random disturbances and external disturbances.
6. Conclusions
An HODO-based adaptive safety fixed-time tracking control scheme is constructed for the uncertain UAH under random disturbances and external disturbances. In order to keep P and constraints within the real-time security boundaries, the SPA is proposed, which can ensure the safety of the unmanned helicopter first when the system state conflicts with the security boundaries. The second-order DSC is utilized to ensure the desired safety signals are continuously differentiable. Then, the system uncertainties and the external disturbances are approximated by FLS and HODO. The It differential equation is utilized to solve the stochastic disturbances. Based on the fixed-time stability theory, the combination of the adaptive backstepping technique and Lyapunov stability theory, all signals of the unmanned helicopter are semi-globally fixed-time stable in probability. The compensation mechanism is utilized to weaken the impact of the filter error. In addition, the convergence time only depends on the devised parameters. Finally, the simulations prove the performance of the proposed control scheme. Therefore, the problem of parameter adjustment and optimization of fixed-time theory of unmanned helicopters under discrete time needs further study.
Author Contributions
Conceptualization, R.R., Z.W. and H.M.; methodology, R.R.; software, R.R. and Z.W.; validation, R.R., F.T. and B.J.; formal analysis, H.M.; writing—original draft preparation, F.T.; writing—review and editing, R.R. and Z.W.; supervision, B.J. and F.T. All authors have read and agreed to the published version of the manuscript.
Funding
This paper is supported in part by the National Natural Science Foundation of China under Grant (Grant Nos. 62301212, 62371182), the Program for Science and Technology Innovation Talents in the University of Henan Province (Grant No. 23HASTIT021), Major Science and Technology Projects of Longmen Laboratory (Grant No. 231100220300), Scientific and Technological Project of Henan Province (Grant Nos. 242102241063, 242102221025), the Key Scientific Research Projects of Universities in Henan Province (25A413001), and the Key Scientific Research Project of Henan University (24A590001).
Data Availability Statement
The data presented in this study are available on request from the corresponding author. The data are not publicly available due to ownership reasons.
Conflicts of Interest
The authors declare no conflicts of interest.
References
- De Assis, G.; Dos Santos, M.; Basilio, M. Use of the WASPAS method to select suitable helicoptersfor aerial activity carried out by the military police of the state of Rio de Janeiro. Axioms 2023, 12, 77. [Google Scholar] [CrossRef]
- Vu, N.; Dang, D.; Dinh, T. Electric propulsion system sizing methodology for an agriculture multicopter. Aerosp. Sci. Technol. 2019, 90, 314–326. [Google Scholar] [CrossRef]
- Caballero Morales, S.; Martinez Flores, J. Helicopter routing model with non-deterministic failure rate for evacuation of multiple oil platforms. Comput. Ind. Eng. 2020, 139, 105669. [Google Scholar] [CrossRef]
- Yeo, H. Design and aeromechanics investigation of compound helicopters. Aerosp. Sci. Technol. 2019, 88, 158–173. [Google Scholar] [CrossRef]
- Zhao, B.; Xian, B.; Zhang, Y.; Zhang, X. Nonlinear Robust adaptive tracking control of a quadrotor UAV via immersion and invariance methodology. IEEE Trans. Ind. Electron. 2015, 62, 2891–2902. [Google Scholar] [CrossRef]
- Chen, F.; Jiang, R.; Zhang, K.; Jiang, B.; Tao, G. Robust backstepping sliding-mode control and observer-based fault estimation for a quadrotor UAV. IEEE Trans. Ind. Electron. 2016, 63, 5044–5056. [Google Scholar] [CrossRef]
- Liu, H.; Yu, Y.; Zhong, Y. Robust trajectory tracking control for a laboratory helicopter. Nonlinear Dyn. 2014, 77, 621–634. [Google Scholar] [CrossRef]
- Yang, S. Adaptive bounding-based dynamic inversion control of a coaxial compound helicopter. IEEE Trans. Aerosp. Electron. Syst. 2023, 59, 9451–9462. [Google Scholar] [CrossRef]
- Raptics, I.; Valavanis, K.; Moreno, W. Anovel nonlinear backstepping controller design for helicopters using the rotation matrix. Irrr Trans. Control. Syst. Technol. 2011, 19, 465–473. [Google Scholar] [CrossRef]
- Glida, H.; Abdou, L.; Chelihi, A.; Sentouh, C.; Hasseni, S. Optimal model-free backstepping control for a quadrotor helicopter. Nonlinear Dyn. 2020, 100, 3449–3468. [Google Scholar] [CrossRef]
- Labbadi, M.; Cherkaoui, M. Robust adaptive backstepping fast terminal sliding mode controller for uncertain quadrotor UAV. Aerosp. Sci. Technol. 2019, 93, 105306. [Google Scholar] [CrossRef]
- He, W.; Mu, X.; Zhang, L.; Zou, Y. Modeling and trajectory tracking control for flapping-wing micro aerial vehicles. IEEE-Caa J. Autom. Sin. 2021, 8, 148–156. [Google Scholar] [CrossRef]
- Zhang, J.; Li, S.; Ahn, C.; Xiang, Z. Decentralized event-triggered adaptive fuzzy control for nonlinear switched large-scale systems with input delay via command-filtered backstepping. IEEE Trans. Fuzzy Syst. 2022, 30, 2118–2123. [Google Scholar] [CrossRef]
- Xu, B.; Ma, Q.; Feng, J.; Zhang, J. Fault tolerant control of drone interceptors using command filtered backstepping and fault weighting dynamic control allocation. Drones 2023, 7, 106. [Google Scholar] [CrossRef]
- Mullen, J.; Bailey, S.; Hoagg, J. Filtered dynamic inversion for altitude control of fixed-wing unmanned air vehicles. Aerosp. Sci. Technol. 2016, 54, 241–252. [Google Scholar] [CrossRef]
- Omar, H. Designing anti-swing fuzzy controller for helicopter slung-load system near hover by particle swarms. Aerosp. Sci. Technol. 2013, 29, 223–234. [Google Scholar] [CrossRef]
- Hu, Y.; Yang, Y.; Li, S.; Zhou, Y. Fuzzy controller design of micro-unmanned helicopter relying on improved genetic optimization algorithm. Aerosp. Sci. Technol. 2020, 98, 105685. [Google Scholar] [CrossRef]
- Zhang, H.; Liu, J. Event-triggered fuzzy flight control of a two-degree-of-freedom helicopter system. IEee Trans. Fuzzy Syst. 2021, 29, 2949–2962. [Google Scholar] [CrossRef]
- Cai, X.; Shi, K.; She, K.; Zhong, S.; Soh, Y.C.; Yu, Y. Performance error estimation and elastic integral event triggering mechanism design for T-S fuzzy networked control system under DoS attacks. IEEE Trans. Fuzzy Syst. 2023, 31, 1327–1339. [Google Scholar] [CrossRef]
- Song, X.; Wu, C.; Song, S.; Stojanovic, V.; Tejado, I. Fuzzy wavelet neural adaptive finite-time self-triggered fault-tolerant control for a quadrotor unmanned aerial vehicle with scheduled performance. Eng. Appl. Artif. Intell. 2024, 131, 107832. [Google Scholar] [CrossRef]
- Yu, Y.; Guo, J.; Chadli, M.; Xiang, Z. Distributed adaptive fuzzy formation control of uncertain multiple unmanned aerial vehicles with actuator faults and switching topologies. IEEE Trans. Fuzzy Syst. 2023, 31, 919–929. [Google Scholar] [CrossRef]
- Fang, X.; Wu, A.; Shang, Y.; Dong, N. A novel sliding mode controller for small-scale unmanned helicopters with mismatched disturbances. Nonlinear Dyn. 2016, 83, 1053–1068. [Google Scholar] [CrossRef]
- Wang, N.; Tao, F.; Fu, Z.; Song, S. Adaptive fuzzy control for a class of stochastic strict feedback high-order nonlinear systems with full-state constraints. IEEE Trans. Syst. Man-Cybern.-Syst. 2022, 52, 205–213. [Google Scholar] [CrossRef]
- Chen, M.; Shi, P.; Lim, C. Adaptive neural fault-tolerant control of a 3-DOF model helicopter system. IEEE Trans. Syst. Man-Cybern.-Syst. 2016, 46, 260–270. [Google Scholar] [CrossRef]
- He, W.; Yan, Z.; Sun, C.; Chen, Y. Adaptive neural network control of a flapping wing micro aerial vehicle with disturbance observer. IEEE Trans. Cybern. 2017, 47, 3452–3465. [Google Scholar] [CrossRef]
- Wan, M.; Chen, M.; Yong, K. Adaptive tracking control for an unmanned autonomous helicopter using neural neural network and disturbance observer. Neurocomputing 2021, 468, 296–305. [Google Scholar] [CrossRef]
- Li, M.; Wu, Z.; Deng, F.; Guo, B. Active disturbance rejection control to consensus of second-order stochastic multiagent systems. IEEE Trans. Control. Netw. Syst. 2023, 10, 993–1004. [Google Scholar] [CrossRef]
- Kuznetsov, D. Development and application of the fourier method for the numerical solution of Ito stochastic differential equations. Comput. Math. Math. Phys. 2018, 58, 1058–1070. [Google Scholar] [CrossRef]
- Chen, B.; Wu, C. Robust scheduling filter design for a class of nonlinear stochastic Poisson signal systems. IEEE Trans. Signal Process. 2015, 63, 6245–6257. [Google Scholar] [CrossRef]
- Altan, A.; Hacioglu, R. Model predictive control of three-axis gimbal system mounted on UAV for real-time target tracking under external disturbances. Mech. Syst. Signal Process. 2020, 138, 106548. [Google Scholar] [CrossRef]
- Hu, W.; Quan, J.; Ma, X.; Salah, M.; Shaker, A. Analytical design of optimal model predictive control and its application in small-scale helicopters. Mathetatics 2023, 11, 1845. [Google Scholar] [CrossRef]
- Kalabic, U.; Li, N.; Vermillion, C.; Kolmanovsky, I. Peference governors for chance-constrained systems. Automatica 2019, 109, 108500. [Google Scholar] [CrossRef]
- Borrelli, F.; Falcone, P.; Pekar, J.; Stewart, G. Reference governor for constrained piecewise affine systems. J. Process. Control. 2009, 19, 1229–1237. [Google Scholar] [CrossRef]
- Yan, K.; Wu, Q. Adaptive tracking flight control for unmanned autonomous helicopter with full state constraints and actuator faults. AeRospace Sci. Technol. 2022, 128, 32–46. [Google Scholar] [CrossRef] [PubMed]
- Dai, P.; Yan, B.; Han, T.; Liu, S. Barrier lyapunov function based model predictive control of a morphing waverider with input saturation and full-state constraints. IEEE Trans. Aerosp. Electron. Syst. 2023, 59, 3071–3081. [Google Scholar] [CrossRef]
- Zhang, J.; Wang, Q.; Ding, W. Global output-feedback prescribed performance control of nonlinear systems with unknown virtual control coefficients. IEEE Trans. Autom. Control. 2022, 67, 6904–6911. [Google Scholar] [CrossRef]
- Bu, X.; Jiang, B.; Lei, H. Nonfragile Quantitative prescribed performance control of waverider vehicles with actuator saturation. IEEE Trans. Aerosp. Electron. Syst. 2022, 58, 3538–3548. [Google Scholar] [CrossRef]
- Verginis, C.; Bechlioulis, C.; Soldatos, A.; Tsipianitis, D. Robust trajectory tracking control for uncertain 3-DOF helicopter with prescribed performance. IEEE-Asme Trans. Mechatronics 2022, 27, 3559–3569. [Google Scholar] [CrossRef]
- Ma, H.; Chen, M.; Feng, G.; Wu, Q. Adaptive fuzzy tracking control for unmanned autonomous helicopter with flight boundary constraints. IEEE Trans. Fuzzy Syst. 2023, 31, 184–198. [Google Scholar] [CrossRef]
- Liu, X.; Liao, X. Fixed-time stabilization control for port-Hamiltonian systems. Nonlinear Dyn. 2019, 96, 1497–1509. [Google Scholar] [CrossRef]
- Polyakov, A. Nonlinear feedback design for fixed-time stabilization of linear control systems. IEEE Trans. Autom. Control. 2011, 57, 2106–2110. [Google Scholar] [CrossRef]
- Sun, Y.; Wang, F.; Liu, Z.; Zhang, Y.; Chen, C. Fixed-time fuzzy control for a class of nonlinear systems. IEEE Trans. Cybern. 2022, 52, 3880–3887. [Google Scholar] [CrossRef] [PubMed]
- Ma, H.; Ren, R.; Tao, F.; Fu, Z.; Wang, N. FTDO-based adaptive fuzzy fixed-time tracking control for uncertain unmanned helicopter with output constraints. Aerosp. Sci. Technol. 2023, 147, 109019. [Google Scholar] [CrossRef]
- Liu, S.; Niu, B.; Zong, G.; Zhao, X.; Xu, N. Adaptive fixed-time hierarchical sliding mode control for switched under-actuated systems with dead-zone constraints via event-triggered strategy. Appl. Math. Comput. 2022, 435, 127441. [Google Scholar] [CrossRef]
- Liang, Y.; Li, Y.; Hou, Z. Adaptive fixed-time tracking control for stochastic pure-feedback nonlinear systems. Int. J. Adapt. Control. Signal Process. 2021, 35, 1712–1731. [Google Scholar] [CrossRef]
Disclaimer/Publisher’s Note: The statements, opinions and data contained in all publications are solely those of the individual author(s) and contributor(s) and not of MDPI and/or the editor(s). MDPI and/or the editor(s) disclaim responsibility for any injury to people or property resulting from any ideas, methods, instructions or products referred to in the content. |
© 2024 by the authors. Licensee MDPI, Basel, Switzerland. This article is an open access article distributed under the terms and conditions of the Creative Commons Attribution (CC BY) license (https://creativecommons.org/licenses/by/4.0/).
















