Influence of Printing Parameters on the Morphological Characteristics of Plasma Directed Energy-Deposited Stainless Steel
Abstract
1. Introduction
2. Materials and Methods
2.1. Materials
2.2. PA–WAAM Bead Deposition
2.3. Morphological Characterization
- The first step involved centering and rotating the board. This step required the orientation of the triangulated object within the STL file, to align the deposition process direction with the x-axis. This adjustment was manually performed through visual inspection of the projection on the XY plane.
- The second step focused on trimming each aligned bead, by enclosing it within a rectangular prism (see yellow rectangles in Figure 2c), thus leading to trimming and delineation. Two distances were set for the beginning and end of the bead (x-axis limits), according to whether the measurements covered the bead’s entire length or whether truncation was needed, due to irregular geometry at its start and finish [23].
- The third step involved correcting the deformation of the substrate after depositing the beads, to identify accurately the sections. This correction was based on evaluating the height of the grid used in bead trimming, with all the points corresponding to the substrate zero plane of the substrate. A mesh generated by linear interpolation was then subtracted from the scanned substrate, thus neutralizing the initial deformation.
- After converting the triangulated object (composed of points and triangles) into a mesh matrix, using 3D interpolation, the fourth step involved sectioning the bead along its length, to obtain several cross-sections, which corresponded to the increment used on the x-axis of the interpolation.
- However, not all sections derived from this process, which entailed calculating bead height and width, were considered. Sections with spurious points (i.e., the beads affected by melt spillage or exhibiting keyholes) were discarded. Additionally, some sections at bead commencement and conclusion were also excluded, particularly those where the cross-sectional pattern did not match the typical bead shape. This fifth step consisted of calculating a constant and representative bead height and cross-section. To identify and remove such erroneous sections, three criteria were established by leveraging the least squares method for section identification via parabolas [24,25]:
- Sections identified as parabolas that did not intersect with the x-axis (with complex roots) were removed.
- Sections were removed when the discrepancy between the area of the scanned bead section () and the area of the corresponding identified parabola () exceeded the threshold given by Equation (1). This threshold was proportional to the average of all the analyzed section areas:
- Sections where the ratio of the negative area () to the positive area () of the scanned section exceeded a set threshold proportional to the average of all the section ratios, as it is described in Equation (2), were also removed:
2.4. Microstructural Characterization
2.5. Wettability Angle Measurement
3. Results and Discussion
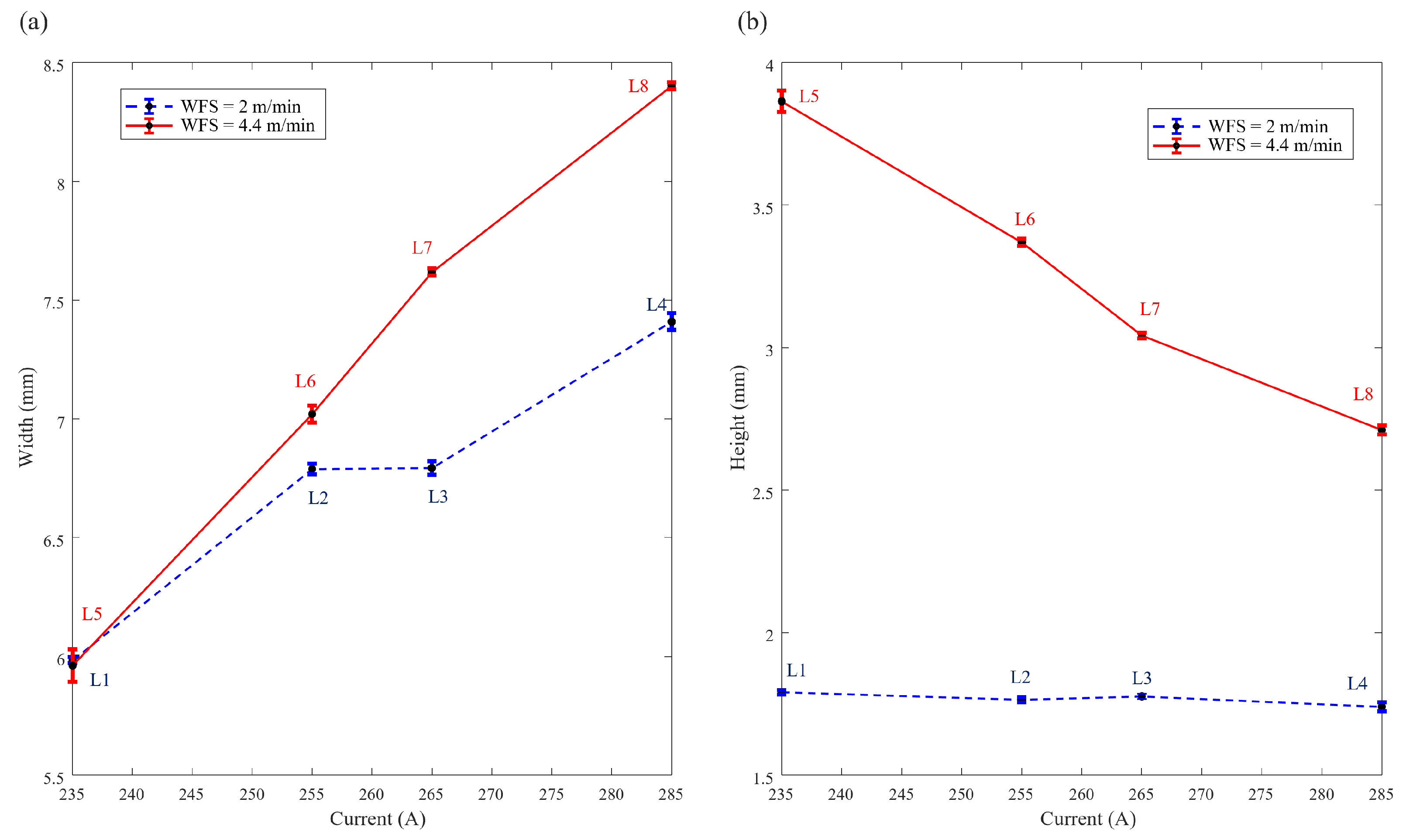
3.1. Simple Beads
3.2. Overlapping Beads
- Both the original and the resulting beads were modeled as parabolas.
- The width of the resulting bead was equal to the width of the original bead plus the step-over increment, which was the distance between the axes of the two initial beads.
3.3. Oscillating Beads
3.4. Wettability Analysis
3.5. Microstructural Analysis of the Bead–Substrate Interface
- The beads contained an equiaxed austenite structure with darker inclusions, likely due to the presence of the M23C6 phase that was thermodynamically stable.
- A thin interface showed a sharp transition between stainless steel and carbon steel.
- The substrate exhibited a mix of fine ferrite–pearlite/bainite structure typical of carbon steel, with coarser grains compared to the fine-grained structure of the austenitic stainless steel bead. This difference was expected, due to the variations in cooling rates and the solidification behavior between the two materials.
4. Conclusions
Author Contributions
Funding
Data Availability Statement
Acknowledgments
Conflicts of Interest
Abbreviations
| 3D | three-dimensional |
| AISI | American Iron and Steel Institute |
| AM | additive manufacturing |
| BSE | backscattered electrons |
| CFD | computational fluid dynamics |
| CMM | coordinate-measuring machine |
| DED | directed energy deposition |
| EDS | energy-dispersive X-ray spectroscopy |
| IEA | International Energy Agency |
| OM | optical microscopy |
| OPS | oxide polishing suspension |
| PA | plasma arc |
| PGFR | plasma gas flow rate |
| SEM | scanning electron microscopy |
| SGFR | shielding gas flow rate |
| TS | torch travel speed |
| WAAM | wire arc additive manufacturing |
| WFS | wire feed speed |
References
- Berman, B. 3-D printing: The new industrial revolution. Bus. Horizons 2012, 55, 155–162. [Google Scholar] [CrossRef]
- Attaran, M. The rise of 3-D printing: The advantages of additive manufacturing over traditional manufacturing. Bus. Horizons 2017, 60, 677–688. [Google Scholar] [CrossRef]
- IAE. Industrial Energy Consumption by Fuel in the Net Zero Scenario, 2000–2030—Charts, Data & Statistics. 2022. Available online: https://www.iea.org/data-and-statistics/charts/industrial-energy-consumption-by-fuel-in-the-net-zero-scenario-2000-2030 (accessed on 3 June 2024).
- IAE. Global Energy-Related CO2 Emissions by Sector—Charts, Data & Statistics. 2020. Available online: https://www.iea.org/data-and-statistics/charts/global-energy-related-co2-emissions-by-sector (accessed on 3 June 2024).
- Ben-Ner, A.; Siemsen, E. Decentralization and Localization of Production: The Organizational and Economic Consequences of Additive Manufacturing (3D Printing). Calif. Manag. Rev. 2017, 59, 5–23. [Google Scholar] [CrossRef]
- Koller, J.; Häfner, R.; Döpper, F. Decentralized Spare Parts Production for the Aftermarket using Additive Manufacturing—A Literature Review. Procedia CIRP 2022, 107, 894–901. [Google Scholar] [CrossRef]
- Dass, A.; Moridi, A. State of the Art in Directed Energy Deposition: From Additive Manufacturing to Materials Design. Coatings 2019, 9, 418. [Google Scholar] [CrossRef]
- Mukherjee, T.; Elmer, J.W.; Wei, H.L.; Lienert, T.J.; Zhang, W.; Kou, S.; DebRoy, T. Control of grain structure, phases, and defects in additive manufacturing of high-performance metallic components. Prog. Mater. Sci. 2023, 138, 101153. [Google Scholar] [CrossRef]
- Reisgen, U.; Sharma, R.; Oster, L. Plasma multiwire technology with alternating wire feed for tailor-made material properties in wire and arc additive manufacturing. Metals 2019, 9, 745. [Google Scholar] [CrossRef]
- Wang, C.; Suder, W.; Ding, J.; Williams, S. The effect of wire size on high deposition rate wire and plasma arc additive manufacture of Ti-6Al-4V. J. Mater. Process. Technol. 2021, 288, 116842. [Google Scholar] [CrossRef]
- Duan, X.; Li, Q.; Xie, W.; Yang, X. Wire arc metal additive manufacturing using pulsed arc plasma (PAP-WAAM) for effective heat management. J. Mater. Process. Technol. 2023, 311, 117806. [Google Scholar] [CrossRef]
- Qi, Z.; Cong, B.; Qi, B.; Sun, H.; Zhao, G.; Ding, J. Microstructure and mechanical properties of double-wire+arc additively manufactured Al-Cu-Mg alloys. J. Mater. Process. Technol. 2018, 255, 347–353. [Google Scholar] [CrossRef]
- Li, J.L.Z.; Alkahari, M.R.; Rosli, N.A.B.; Hasan, R.; Sudin, M.N.; Ramli, F.R. Review of wire arc additive manufacturing for 3D metal printing. Int. J. Autom. Technol. 2019, 13, 346–353. [Google Scholar] [CrossRef]
- Klobčar, D.; Baloš, S.; Bašić, M.; Djurić, A.; Lindič, M.; Ščetinec, A. WAAM and Other Unconventional Metal Additive Manufacturing Technologies. Adv. Technol. Mater. 2020, 45, 1–9. [Google Scholar] [CrossRef]
- Tsurumaki, T.; Tsukamoto, S.; Chibahara, H.; Sasahara, H. Precise additive fabrication of wall structure on thin plate end with interlayer temperature monitoring. J. Adv. Mech. Des. Syst. Manuf. 2019, 13, JAMDSM0028. [Google Scholar] [CrossRef]
- Kopf, T.; Glück, T.; Gruber, D.; Staderini, V.; Eugui, P.; Fritze, G.; Mansouri, A.; Schnall, M.; Meyer-Heye, P. Process modeling and control for additive manufacturing of Ti-6Al-4V using plasma arc welding - methodology and experimental validation. J. Manuf. Process. 2024, 126, 12–23. [Google Scholar] [CrossRef]
- Feng, Y.; Zhan, B.; He, J.; Wang, K. The double-wire feed and plasma arc additive manufacturing process for deposition in Cr-Ni stainless steel. J. Mater. Process. Technol. 2018, 259, 206–215. [Google Scholar] [CrossRef]
- Pinto-Lopera, J.E.; Motta, J.M.S.; Alfaro, S.C.A. Real-time measurement of width and height of weld beads in GMAW processes. Sensors 2016, 16, 1500. [Google Scholar] [CrossRef] [PubMed]
- Dinovitzer, M.; Chen, X.; Laliberte, J.; Huang, X.; Frei, H. Effect of wire and arc additive manufacturing (WAAM) process parameters on bead geometry and microstructure. Addit. Manuf. 2019, 26, 138–146. [Google Scholar] [CrossRef]
- Veiga, F.; Suarez, A.; Aldalur, E.; Artaza, T. Wire arc additive manufacturing of invar parts: Bead geometry and melt pool monitoring. Meas. J. Int. Meas. Confed. 2022, 189, 110452. [Google Scholar] [CrossRef]
- Lee, J.; Prabhu, V. Simulation modeling for optimal control of additive manufacturing processes. Addit. Manuf. 2016, 12, 197–203. [Google Scholar] [CrossRef]
- Kumar, P.; Jain, N.K.; Sawant, M.S. Modeling of dimensions and investigations on geometrical deviations of metallic components manufactured by μ-plasma transferred arc additive manufacturing process. Int. J. Adv. Manuf. Technol. 2020, 107, 3155–3168. [Google Scholar] [CrossRef]
- Wang, Z.; Zimmer-Chevret, S.; Léonard, F.; Abba, G. Improvement strategy for the geometric accuracy of bead’s beginning and end parts in wire-arc additive manufacturing (WAAM). Int. J. Adv. Manuf. Technol. 2022, 118, 2139–2151. [Google Scholar] [CrossRef]
- Vora, J.; Pandey, R.; Dodiya, P.; Patel, V.; Khanna, S.; Vaghasia, V.; Chaudhari, R. Fabrication of Multi-Walled Structure through Parametric Study of Bead Geometries of GMAW-Based WAAM Process of SS309L. Materials 2023, 16, 5147. [Google Scholar] [CrossRef]
- Suryakumar, S.; Karunakaran, K.P.; Bernard, A.; Chandrasekhar, U.; Raghavender, N.; Sharma, D. Weld bead modeling and process optimization in Hybrid Layered Manufacturing. CAD Comput. Aided Des. 2011, 43, 331–344. [Google Scholar] [CrossRef]
- Young, T. III. An Essay on the Cohesion of Fluids. Philos. Trans. R. Soc. Lond. 1805, 95, 65–87. [Google Scholar] [CrossRef]
- Schneider, C.A.; Rasband, W.S.; Eliceiri, K.W. NIH Image to ImageJ: 25 years of image analysis. Nat. Methods 2012, 7, 671–675. [Google Scholar] [CrossRef] [PubMed]
- Ding, D.; Pan, Z.; Cuiuri, D.; Li, H. A multi-bead overlapping model for robotic wire and arc additive manufacturing (WAAM). Robot. Comput.-Integr. Manuf. 2015, 31, 101–110. [Google Scholar] [CrossRef]
- Ferreira, R.P.; Scotti, A. The concept of a novel path planning strategy for wire + arc additive manufacturing of bulky parts: Pixel. Metals 2021, 11, 498. [Google Scholar] [CrossRef]
- Ayarkwa, K.; Williams, S.; Ding, J. Investigation of pulse advance cold metal transfer on aluminium wire arc additive manufacturing. Int. J. Rapid Manuf. 2015, 5, 44–57. [Google Scholar] [CrossRef]
- Pailhes, J.; Fischer, X.; Villeneuve, F. Phenomenological Model of Thermal Effects on Weld Beads Geometry Produced by Wire and Arc Additive Manufacturing (WAAM). Doctoral Dissertation, Université Grenoble Alpes, Grenoble, France, 2022. [Google Scholar]
- Wang, Z.; Zimmer-Chevret, S.; Léonard, F.; Abba, G.; Zeya, W.; Chevret Sandra, Z.; François, L.; Gabriel, A. Prediction of bead geometry with consideration of interlayer temperature effect for CMT based wire-arc additive manufacturing. Weld. World 2021, 65, 2255–2266. [Google Scholar] [CrossRef]
- Rizvi, S.A.; Tewari, S.P. Effect of different welding parameters on the mechanical and microstructural properties of stainless steel 304H welded joints. Int. J. Eng. Trans. A Basics 2017, 30, 1592–1598. [Google Scholar] [CrossRef]
- Pereira, J.C.; Aguilar, D.; Tellería, I.; Gómez, R.; Sebastian, M.S. Semi-Continuous Functionally Graded Material Austenitic to Super Duplex Stainless Steel Obtained by Laser-Based Directed Energy Deposition. J. Manuf. Mater. Process. 2023, 7, 150. [Google Scholar] [CrossRef]
- Rani, K.U.; Kumar, R.; Mahapatra, M.M.; Mulik, R.S.; Świerczyńska, A.; Fydrych, D.; Pandey, C. Wire Arc Additive Manufactured Mild Steel and Austenitic Stainless Steel Components: Microstructure, Mechanical Properties and Residual Stresses. Materials 2022, 15, 7094. [Google Scholar] [CrossRef] [PubMed]
- Zhai, W.; Aishwarya; Shandro, R.; Zhou, W. Microstructure and mechanical properties of the wire arc additively manufactured 316L/ER70S-6 bimetal structure. Virtual Phys. Prototyp. 2024, 19, e2375105. [Google Scholar] [CrossRef]
- Frederic, G.; Voort, V. Metallography and Microstructures of Stainless Steels and Maraging Steels; ASM International: Almere, The Netherland, 2004. [Google Scholar]










| Elements (wt.%) | ||||||
|---|---|---|---|---|---|---|
| Cr | Ni | Mo | Mn | Si | C | Fe |
| 18.5 | 12.0 | 2.7 | 1.7 | 0.9 | 0.02 | balance |
| Parameter | Units | Simple-Linear | Overlapping | Oscillating |
|---|---|---|---|---|
| Wire feed speed, WFS | m/min | 2, 4.4 | 2 | 4.4 |
| Torch travel speed, TS | mm/min | 300 | 300 | 300 |
| Current, I | A | 235, 255, 265, 285 | 265 | 285 |
| Step-over increment, p | mm | - | 3.0, 3.5, 4.0, 4.5, 5.0 | - |
| Oscillating amplitude | mm | - | - | 5, 6, 7, 8 |
| Oscillating spatial wavelength | mm | - | - | 6, 7, 8, 9 |
| Bead | WFS | I | L | V | |||||||||
|---|---|---|---|---|---|---|---|---|---|---|---|---|---|
| ID | (m/min) | (A) | (mm) | (mm) | (mm) | (mm) | (mm) | (mm) | (mm) | (mm) | (mm3) | (mm3) | |
| L1 | 2.0 | 235 | 1.7906 | 1.8114 | 5.9840 | 0.1257 | 0.1335 | 0.1323 | 0.2254 | 51.7 | 373.77 | 373.60 | 43∘ |
| L2 | 2.0 | 255 | 1.7648 | 1.7957 | 6.7890 | 0.1259 | 0.1508 | 0.1617 | 0.3906 | 51.7 | 420.04 | 420.18 | 42∘ |
| L3 | 2.0 | 265 | 1.7767 | 1.7972 | 6.7934 | 0.1203 | 0.1802 | 0.1812 | 0.5478 | 51.7 | 421.77 | 420.80 | 41∘ |
| L4 | 2.0 | 285 | 1.7402 | 1.7530 | 7.4102 | 0.1419 | 0.2895 | 0.2904 | 0.6582 | 51.7 | 442.19 | 447.74 | 99∘ |
| L5 | 4.4 | 235 | 3.8649 | 4.0093 | 5.9618 | 1.2435 | 0.7179 | 0.7550 | 1.2779 | 61.9 | 925.76 | 986.38 | 142∘ |
| L6 | 4.4 | 255 | 3.3694 | 3.4618 | 7.0206 | 0.6075 | 0.2250 | 0.2458 | 0.6170 | 61.9 | 937.78 | 1002.95 | 103∘ |
| L7 | 4.4 | 265 | 3.0429 | 3.1061 | 7.6186 | 0.4060 | 0.1836 | 0.1910 | 0.2996 | 61.9 | 929.13 | 976.53 | 100∘ |
| L8 | 4.4 | 285 | 2.7111 | 2.7397 | 8.4029 | 0.2726 | 0.1335 | 0.1323 | 0.2613 | 61.9 | 924.41 | 950.03 | 69∘ |
| Bead ID | p (mm) | (mm) | (mm) | (mm) | (mm) | (mm) | (mm) | (mm) | L (mm) | V (mm3) | (mm3) | |
|---|---|---|---|---|---|---|---|---|---|---|---|---|
| O1 | 3.0 | 3.779 | 3.844 | 12.318 | 0.587 | 0.387 | 0.409 | 0.379 | 72 | 2186.596 | 2272.69 | 133° |
| O2 | 3.5 | 3.839 | 3.889 | 12.774 | 0.691 | 0.530 | 0.531 | 0.625 | 88 | 2806.141 | 2914.42 | 87° |
| O3 | 4.0 | 3.835 | 3.845 | 13.521 | 1.059 | 0.588 | 0.619 | 1.128 | 88 | 2828.875 | 3049.63 | 43° |
| O4 | 4.5 | 3.790 | 3.574 | 19.526 | 2.150 | 0.873 | 1.065 | 12.885 | 88 | 2824.109 | 4094.50 | 83° |
| O5 | 5.0 | 3.522 | 3.260 | 25.070 | 2.602 | 0.672 | 0.904 | 36.045 | 88 | 2785.406 | 4793.97 | 103° |
| Bead ID | wl. (mm) | ampl. (mm) | (mm) | (mm) | (mm) | (mm) | (mm) | (mm) | (mm) | L (mm) | V (mm3) | (mm3) | |
|---|---|---|---|---|---|---|---|---|---|---|---|---|---|
| W1 | 6 | 6 | 3.475 | 3.539 | 14.645 | 0.604 | 0.166 | 0.198 | 0.454 | 50.0 | 1679.2 | 1727.4 | 69° |
| W2 | 7 | 6 | 3.312 | 3.379 | 14.128 | 0.551 | 0.194 | 0.212 | 0.501 | 58.0 | 1799.4 | 1845.8 | 63° |
| W3 | 8 | 6 | 3.255 | 3.302 | 13.217 | 0.469 | 0.194 | 0.215 | 0.481 | 67.0 | 1908.5 | 1949.3 | 53° |
| W4 | 9 | 6 | 3.015 | 3.070 | 13.035 | 0.411 | 0.194 | 0.205 | 0.283 | 73.7 | 1931.3 | 1966.4 | 86° |
| W5 | 7 | 5 | 3.166 | 3.226 | 13.104 | 0.441 | 0.093 | 0.120 | 0.394 | 54.4 | 1499.9 | 1533.1 | 70° |
| W6 | 7 | 6 | 3.312 | 3.379 | 14.128 | 0.551 | 0.194 | 0.212 | 0.501 | 58.0 | 1799.4 | 1845.8 | 63° |
| W7 | 7 | 7 | 3.332 | 3.388 | 15.470 | 0.478 | 0.116 | 0.146 | 0.305 | 54.4 | 1862.3 | 1900.8 | 69° |
| W8 | 7 | 8 | 3.300 | 3.353 | 16.935 | 0.470 | 0.120 | 0.148 | 0.204 | 54.4 | 2017.5 | 2059.3 | 70° |
| Elements (wt.%) | |||||
|---|---|---|---|---|---|
| Cr | Ni | Mo | Mn | Si | Fe |
| 15 | 10 | 1 | 2 | 1 | balance |
Disclaimer/Publisher’s Note: The statements, opinions and data contained in all publications are solely those of the individual author(s) and contributor(s) and not of MDPI and/or the editor(s). MDPI and/or the editor(s) disclaim responsibility for any injury to people or property resulting from any ideas, methods, instructions or products referred to in the content. |
© 2024 by the authors. Licensee MDPI, Basel, Switzerland. This article is an open access article distributed under the terms and conditions of the Creative Commons Attribution (CC BY) license (https://creativecommons.org/licenses/by/4.0/).
Share and Cite
Segovia-Guerrero, L.; Gil-Mena, A.J.; Baladés, N.; Sales, D.L.; Fonollá, C.; de la Mata, M.; de Nicolás-Morillas, M. Influence of Printing Parameters on the Morphological Characteristics of Plasma Directed Energy-Deposited Stainless Steel. J. Manuf. Mater. Process. 2024, 8, 233. https://doi.org/10.3390/jmmp8050233
Segovia-Guerrero L, Gil-Mena AJ, Baladés N, Sales DL, Fonollá C, de la Mata M, de Nicolás-Morillas M. Influence of Printing Parameters on the Morphological Characteristics of Plasma Directed Energy-Deposited Stainless Steel. Journal of Manufacturing and Materials Processing. 2024; 8(5):233. https://doi.org/10.3390/jmmp8050233
Chicago/Turabian StyleSegovia-Guerrero, Luis, Antonio José Gil-Mena, Nuria Baladés, David L. Sales, Carlota Fonollá, María de la Mata, and María de Nicolás-Morillas. 2024. "Influence of Printing Parameters on the Morphological Characteristics of Plasma Directed Energy-Deposited Stainless Steel" Journal of Manufacturing and Materials Processing 8, no. 5: 233. https://doi.org/10.3390/jmmp8050233
APA StyleSegovia-Guerrero, L., Gil-Mena, A. J., Baladés, N., Sales, D. L., Fonollá, C., de la Mata, M., & de Nicolás-Morillas, M. (2024). Influence of Printing Parameters on the Morphological Characteristics of Plasma Directed Energy-Deposited Stainless Steel. Journal of Manufacturing and Materials Processing, 8(5), 233. https://doi.org/10.3390/jmmp8050233

