Damage by Improvised Incendiary Devices on Carbon Fiber-Reinforced Polymer Matrix Composites
Abstract
:1. Introduction
2. Material
- 8552/IM7:
- [(45/90/135/0)]S; [(45/90/135/0)2]S; [(45/90/135/0)4]S; [(45/90/135/0)6]S; [(45/90/135/0)8]S; and
- M18-1/G939:
- [(+45/−45)(90/0)(−45/+45)(0/90)]S; [(+45/−45)(90/0)(−45/+45)(0/90)]2S; [(+45/−45)(90/0)(−45/+45)(0/90)]3S, etc.
3. Experimental
4. Results and Discussion
4.1. Preceding Large-Scale IID Fire Tests
4.2. Laboratory Tests: Heat Release, Temperature Rise and Mass Loss Due to Combustion of Fire Accelerant
4.3. Non-Destructive Testing after Thermal Loading
4.3.1. Visual Inspection
4.3.2. Ultrasonic Testing
4.3.3. Infrared Spectroscopy
4.4. Residual Interlaminar Shear Strength (ILSS)
4.5. Influence of Horizontal and Vertical Alignment of the Panels
4.6. Sandwich Samples
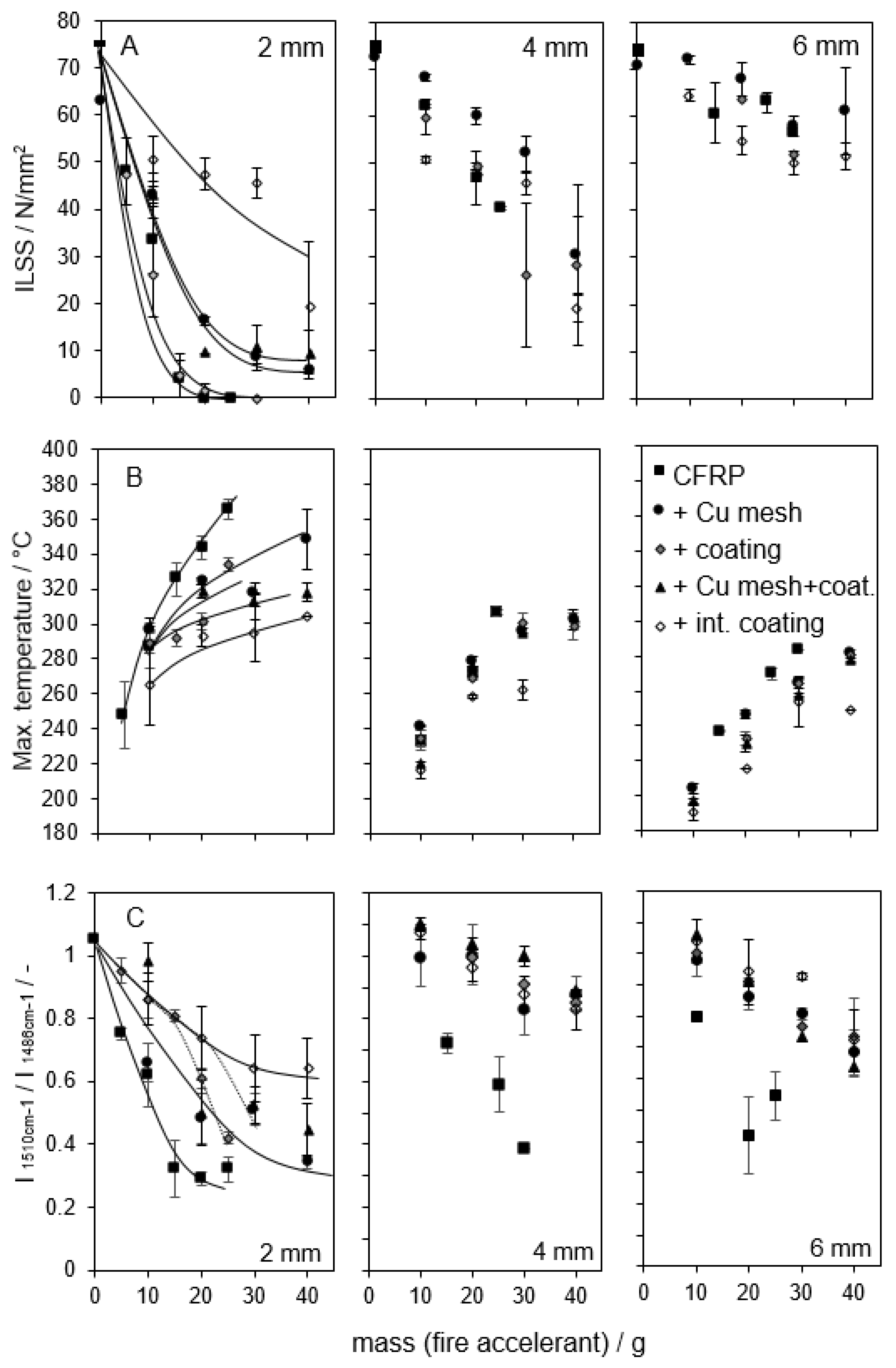
4.7. Evaluation of Protective Measures
4.8. Empirical Correlation of Temperature, Matrix Degradation, and Residual Strength
5. Conclusions
- Especially thin panels and vertically aligned panels rapidly degrade and loose mechanical strength.
- Sandwich structures containing thin CFRP parts lose mechanical integrity at comparably low heat impact by IIDs.
- Higher amounts of fire accelerant lead to longer durations of heat impact and therefore increase thermal damage.
- High temperature gradients and thermal strain occur inside the CFRP materials.
- Cross sections for thicker panels exhibit limited areas with delaminations close to the surface, whereas thinner samples are damaged throughout the panel thickness.
- Increasing panel thickness results in a delayed thermal degradation due to increasing heat capacity.
- Decreasing strengths can be explained based on formed delaminations and matrix degradation.
- For vertically orientated panels, resin matrix combusts, because the access of air is not hindered and the carbon fibers may act as wick. For horizontally aligned panels, the combustion of the fire accelerant does not lead to a significant contribution to the heat release by the matrix. Under these laboratory test conditions, the access of air is limited, and a preferably pyrolytic degradation of the matrix is accompanied by comparably low mass losses (<5%).
- Therefore, a simulation of heat impact on CFRP by IIDs is not precise for example when typical irradiation experiments in a cone calorimeter are conducted. The introduction of energy into the CFRP material and the access of air significantly differ. Even if the conducted laboratory scale tests better characterize the impact of IID on CFRP, they also can not represent the conditions of an arson attack in complete. But important information is gained, how certain conditions such as horizontal and vertical orientation of a CFRP component influence its thermal damage. A cone calorimeter in combination with the new sample holder is a valuable tool for this purpose, because it is not used in a typical way to determine reaction-to-fire properties by irradiation and forced combustion, as it is proven, that irradiation may not represent conditions of a heat impact by IID.
- All investigated protective layers such as typical coatings, an integrated copper mesh, and an intumescent coating improve the performance of CFRP during an IID assault for 2 mm thick samples. However, the best protection is achieved by the intumescent coating. Even though, there is potential for improving the performance of an intumescent coating, as formed carbon residues may be combusted within the burning liquid fire accelerant.
- Non-destructive testing methods, such as ultrasonic testing and infrared spectroscopy, have been proven to be valuable tools for identifying thermal damage of CFRP by IIDs. A prediction of occurring temperatures during an IID assault or residual strength afterwards is possible with a correlation to these data. For moderate thermal damage, only infrared spectroscopy is sensitive enough.
Funding
Conflicts of Interest
References
- Kolaitis, D.I. An experimental investigation of improvised incendiary devices used in urban riots: The “Molotov cocktail”. In Proceedings of the 2nd IAFSS European Symposium of Fire Safety Science, Nicosia, Cyprus, 16–18 June 2015. [Google Scholar]
- Tsaroom, S. Molotov cocktails and similar devices used by terrorists in Israel. J. Energetic Mater. 1986, 4, 325–338. [Google Scholar] [CrossRef]
- Benmeir, P.; Lusthaus, S.; Talisman, R.; Ad-El, D.; Sagi, A.; Weinberg, A.; Eldad, A.; Neuman, A.; Wexler, M.R. Terrorist bombing with a ‘Molotov cocktail’ inside travelling cars: An old weapon for a new burn syndrome? Burns 1994, 20, 248–250. [Google Scholar] [CrossRef]
- Fawaz, K.S. Fires and Related Incidents in Jordan (1996–2004). Fire Safety J. 2006, 41, 370–376. [Google Scholar]
- Mehrkam, P.A.; Armstrong-Carroli, E.; Cochran, R. Characterization of Heat Damage in Grahite Epoxy Composites; Report; Naval Air Warfare Center: Warminster, PA, USA, 1994. [Google Scholar]
- Schartel, B.; Hull, T.R. Development of fire-retarded materials-Interpretation of cone calorimeter data. Fire Mater. 2007, 31, 327–354. [Google Scholar] [CrossRef]
- Pering, G.A.; Farrell, P.V.; Springer, G.S. Degradation of tensile and shear properties of composite exposed to fire or high temperature. In Springer Environmental Effects on Composite Materials; Technomic Publishing Company Inc.: Berlin, Germany, 1981. [Google Scholar]
- Milke, J.A.; Vizzini, A.J. Thermal response of fibre-exposed composites. J. Compos. Technol. Res. 1991, 13, 145–151. [Google Scholar]
- Pritt, H.L. Thermal Degradation of Graphite–Epoxy Composites; Final Report No. N62669-79-C-0270; Naval Air Development Center: Warminster, PA, USA, 1980. [Google Scholar]
- Burcham, L.J.; Eduljee, R.F.; Gillespie, J.W. Investigation on the microcracking behavior of bismaleimide composites: During thermal aging. Polym. Compos. 1995, 16, 507–517. [Google Scholar] [CrossRef]
- Mascia, L.; Zhang, J. Mechanical properties and thermal aging of a perfluoroether–modified epoxy resin in castings and glass fibre composites. Composites 1995, 26, 379–385. [Google Scholar] [CrossRef]
- Mallick, P.K. Non-Destructive Tests, Composites Engineering Handbook; CRC Press: New York, NY, USA, 1997. [Google Scholar]
- Dara, I.H.; Ankara, A.; Akovali, G.; Suzer, S. Heat Damage Assessment of Carbon-fiber-Reinforced Polymer Composites by Diffuse Reflectance Infrared Spectroscopy. J. Appl. Polym. Sci. 2005, 96, 1222–1230. [Google Scholar] [CrossRef]
- Shelley, P.; Vahey, P.; Werner, G.; Seelenbinder, J. Handheld Infrared Spectroscopy for Composite Non-Destructive Testing. In Proceedings of the SAMPE 2011, Long Beach, CA, USA, 23–26 May 2011. [Google Scholar]
- Shelley, P.; Vahey, P.; Werner, G. Thermal Effect Measurement with Mid-Infrared Spectroscopy. Patent EP2138829A1, 30 December 2009. [Google Scholar]
- Wolfrum, J.; Eibl, S.; Lietch, L. Rapid Evaluation of long-term thermal degradation of carbon fibre epoxy composites. Compos. Sci. Technol. 2009, 69, 523–530. [Google Scholar] [CrossRef]
- Wolfrum, J.; Whitney, E.; Eibl, S. Approaches to understand and predict the influence of rapid heat-up on degradation and strength of carbon fibre polymer matrix composites. J. Compos. Mater. 2017, 51, 2435–2447. [Google Scholar] [CrossRef]
- Eibl, S.; Wolfrum, J. Prospects to separately estimate temperature and duration of a thermal pre-load on a polymer matrix composite. J. Comp. Mat. 2013, 47, 3011–3025. [Google Scholar] [CrossRef]
- Dohmen, B.; Schmidt, H.; Tröster, B. Quantifizierung der Thermischen Schädigung von CFK beim Brandanschlag (Quantification of Thermal Damage of CFRP Due to Arson Attack) Project Report 2015; Wehrwissenschaftliches Institut für Werk und Betriebsstoffe: Erding, Germany, 2015. [Google Scholar]
- Eibl, S. Influence of carbon fibre orientation on reaction-to-fire properties of polymer matrix composites. Fire Mater. 2012, 36, 309–324. [Google Scholar] [CrossRef]
- Eibl, S. Influence of unwoven roving and woven fabric carbon fiber reinforcements on reaction-to-fire properties of polymer matrix composites. Fire Mater. 2020, 44, 557–572. [Google Scholar] [CrossRef]
- Product Data Sheets, Hexcel Inc. Available online: www.hexcel.com (accessed on 2 March 2021).
- Eibl, S. Observing inhomogeneity of plastic components in carbon fibre reinforced polymer materials by ATR–FTIR-spectroscopy in the micrometer scale. J. Compos. Mater. 2008, 42, 1231–1246. [Google Scholar] [CrossRef]
- Technical Data Sheet, Fa; Mankiewicz Gebr. & Co: Hamburg, Germany; Available online: www.Mankiewicz.com (accessed on 2 March 2021).
- DIN EN ISO 2813: Paints and Varnishes—Determination of Specular Gloss of non-Metallic Paint Films at 20 Degrees, 60 Degrees and 85 Degrees; Beuth: Berlin, Germany, 1999.
- The Federal Office of Bundeswehr Equipment, Information Technology and In-Service Support (BAAINBw). Technical Specification: 8010-0312 (10.2015) Deckbeschichtungsstoffe für Bundeswehrgeräte 2-Komponenten-Polyurethan Deckbeschichtungsstoffe (lösemittelhaltig und Wasserverdünnbar); The Federal Office of Bundeswehr Equipment: Koblenz, Germany, 2015. [Google Scholar]
- Eibl, S. Reaction-to-fire properties of polymer matrix composites with integrated intumescent barriers. Fire Mater. 2015, 39, 658–674. [Google Scholar] [CrossRef]
- ISO 5660:2002. Reaction-to-Fire Tests—Heat release, Smoke Production and Mass Loss Rate; Beuth Verlag: Berlin, Germany, 2002. [Google Scholar]
- DIN EN 2563:1997. Aerospace Series- Carbon Fibre Reinforced Plastics—Unidirectional Laminates; Determination of Apparent Interlaminar Shear Strength; Beuth Verlag: Berlin, Germany, 1997. [Google Scholar]
- DIN EN 53293. Prüfung von Kernverbunden, Biegeversuch; Beuth Verlag: Berlin, Germany, 1982. [Google Scholar]
- Speight, J.G. Handbook of Industrial Hydrocarbon Processes; Gulf Professional Publishing, Elsevier: Amsterdam, The Netherlands, 2020; ISBN 978-0-12-809923-0. [Google Scholar]
- Seggewiß, P. Experimentelle und numerische Untersuchung des Verhaltens kohlenstofffaserverstärkter Epoxidmatrix-Systeme unter einseitiger thermischer und gleichzeitig mechanischer Belastung, (Experimental and Numeric Investigation of Epoxy based CFRP under Simultanious Thermal and Mechanical Load). Ph.D. Thesis, University of the German armed Forces, Munich, Germany, 2011. [Google Scholar]
- Bondzic, S.; Hodkin, J.; Krstina, J.; Mardel, J. Chemistry of thermal aging in aerospace epoxy composites. J. Appl. Polym. Sci. 2005, 100, 2210–2219. [Google Scholar] [CrossRef]
- Eibl, S. Comparison of a surface and a bulk analytical technique for the distinct quantification of a moderate thermal pre-load on a polymer matrix composite. Polym. Degrad. Stab. 2017, 135, 31–42. [Google Scholar] [CrossRef]
- Dao, B.; Hodkin, J.; Krstina, J.; Mardel, J.; Tian, W. Accelerated aging versus realistic aging in aerospace composite materials, II chemistry of thermal aging in a structural composite. J. Appl. Polym. Sci. 2006, 102, 3221–3232. [Google Scholar] [CrossRef]
- Musto, P.; Ragosta, G.; Russo, P.; Mascia, L. Thermal-oxidative degradation of epoxy-bismaleimide networks: Kinetics and mechanisms. Macromol. Chem. Phys. 2001, 202, 3445–3458. [Google Scholar] [CrossRef]
- Eibl, S.; Swanson, D. Influence of out-of-plane fiber orientation on reaction-to-fire properties of carbon fiber reinforced polymer matrix composites. Fire Mater. 2018, 42, 234–243. [Google Scholar] [CrossRef]
- Vetter, M.; Bibinger, J.; Zimmer, F.; Eibl, S.; Gudladt, H.J. Characterization of one-sided thermal damage of carbon fiber reinforced polymers by means of depth profiles. J. Comp. Mat. 2020, 54, 3699–3713. [Google Scholar] [CrossRef]


















| Thick-ness [mm] | Vol. Fire Accelerant [L] | Flame Time [s] | Tilt Angle [°] | Mass Loss [%] | Max. Temperature [°C] At Side | Norm. Resid. ILSS [%] | IR **[-] | |
|---|---|---|---|---|---|---|---|---|
| Front | Back | |||||||
| 2 | 0.5 | 222 | 45° | 0 | ~690 | 213 | 100 | 94 | 
| 2 | 0.5 | 308 | hori-zontal | ~11 | ~800 | 335 | ~18 * | ~21 | 
| 4 | 1 | 585 | hori-zontal | 0 | ~610 | 296 | - | - | 
| 4 | 1 | 265 | hori-zontal | 0 | ~590 | 235 | - | - | 
| 6 | 1 | 400 | hori-zontal | ~3 | ~900 | 234 | - | - | 
| CFRP Material | Thickness [mm] | Remark | ILSS in %For Mass Fire Accelerant [g] | ||||||||
|---|---|---|---|---|---|---|---|---|---|---|---|
| 5 | 10 | 15 | 20 | 25 | 30 | 40 | 50 | 75 | |||
| 8552/IM7 | 1 | - | 32 | 0 | 0 | 0 | - | 0 | 0 | - | - | 
| 2 | - | 68 | 44 | 7 | 0 | 0 | - | - | - | - | |
| 2 | vertically aligned | 82 | 45 | 0 | 0 | - | 0 | 0 | - | - | |
| 2 | coated | 75 | 54 | 42 | 28 | 25 | - | - | - | - | |
| 2 | copper mesh | - | 62 | - | 25 | - | 11 | 8 | - | - | |
| 2 | copper m. + coat | - | 59 | - | 14 | - | 11 | 7 | - | - | |
| 2 | intumesc. coating | - | 72 | - | 65 | - | 61 | 25 | - | - | |
| 4 | - | - | 72 | - | 59 | 45 | 0 | 0 | - | - | |
| 4 | coated | - | 92 | - | 80 | - | 54 | 56 | - | - | |
| 4 | copper mesh | - | 96 | - | 85 | - | 73 | 42 | - | - | |
| 4 | copper m. + coat | - | 61 | - | 42 | - | 35 | 20 | - | - | |
| 4 | intumesc. coating | - | 83 | - | 76 | - | 70 | 68 | - | - | |
| 6 | - | - | - | 86 | - | 92 | 82 | - | - | - | |
| 6 | coated | - | - | - | 92 | - | 82 | 46 | 28 | - | |
| 6 | copper mesh | - | 101 | - | 96 | - | 82 | 86 | - | - | |
| 6 | copper m.+ coat | - | 54 | - | 41 | - | 41 | 37 | - | - | |
| 6 | intumesc. coating | - | 90 | - | 79 | - | 70 | 77 | - | - | |
| 8 | - | - | 77 | 87 | 83 | - | 79 | 76 | 77 | 68 | |
| M18-1/ G939 | 1 | - | 57 | 0 | 0 | 0 | - | 0 | 0 | - | - | 
| 2 | - | 54 | 31 | 0 | 0 | - | 0 | - | - | ||
| 2 | vertically aligned | 83 | 0 | 0 | 0 | - | 0 | 0 | 0 | - | |
| 2 | coated | 80 | 37 | 28 | 23 | - | 22 | - | - | - | |
| 4 | - | - | 71 | 54 | 23 | 22 | - | 8 | - | - | |
| 6 | - | - | - | 85 | 82 | 83 | 85 | 71 | 77 | - | |
| 8 | - | - | 91 | 83 | 82 | - | 72 | 72 | 63 | 0 | |
| 16.5 | sandwich | - | 6 * | 3 * | 2 * | - | - | - | - | - | |
| Publisher’s Note: MDPI stays neutral with regard to jurisdictional claims in published maps and institutional affiliations. | 
© 2021 by the author. Licensee MDPI, Basel, Switzerland. This article is an open access article distributed under the terms and conditions of the Creative Commons Attribution (CC BY) license (http://creativecommons.org/licenses/by/4.0/).
Share and Cite
Eibl, S. Damage by Improvised Incendiary Devices on Carbon Fiber-Reinforced Polymer Matrix Composites. J. Compos. Sci. 2021, 5, 72. https://doi.org/10.3390/jcs5030072
Eibl S. Damage by Improvised Incendiary Devices on Carbon Fiber-Reinforced Polymer Matrix Composites. Journal of Composites Science. 2021; 5(3):72. https://doi.org/10.3390/jcs5030072
Chicago/Turabian StyleEibl, Sebastian. 2021. "Damage by Improvised Incendiary Devices on Carbon Fiber-Reinforced Polymer Matrix Composites" Journal of Composites Science 5, no. 3: 72. https://doi.org/10.3390/jcs5030072
APA StyleEibl, S. (2021). Damage by Improvised Incendiary Devices on Carbon Fiber-Reinforced Polymer Matrix Composites. Journal of Composites Science, 5(3), 72. https://doi.org/10.3390/jcs5030072
 
         
                                                

 
       