Abstract
A series of studies was conducted on the functional and structural characteristics of polymer composite materials (PCMs) based on silicone polymers modified with multi-walled carbon nanotubes (MWCNTs) and metallic particles (CuAl or Al). The influence of the structural parameters of carbon and metallic inclusions in the polymer matrix on the electrophysical and thermophysical properties of the composites was demonstrated. Various conduction mechanisms dominating in the inverse temperature ranges of 50 K–1–13 K–1, 13 K–1–6 K–1, and 6 K–1–2 K–1 were identified. The operational modes of the polymer composites as active materials for thermoregulating coatings were established. The highest temperature of 32.9 °C in operating mode and the shortest warm-up time of 180 s were observed in the composite modified with 4 wt.% CNTs and 10 wt.% bronze particles at a supply voltage of 10 V. The characteristics of the composites under atomic oxygen (AO) exposure with a fluence of 3 × 1021 atoms/cm2 was evaluated, confirming their functionality, particularly for potential space applications. The composites demonstrated nearly complete retention of their functional characteristics. The aim of this study was to develop electrically conductive functional composites based on silicone polymers containing MWCNTs and metallic particles inclusions for creating electric heating elements with tailored functional characteristics.
1. Introduction
Functional polymer materials with conductive properties are experiencing growing demand across a broad spectrum of applications in electrical technologies [1], electronics [2], sensing technologies [3], additive manufacturing [4], and other fields [5,6]. Smart thermal regulation in technical systems or electronic devices requires ensuring optimal performance, thermal stability, and high efficiency over extended operational lifetimes. This necessitates materials with high thermal and electrical conductivity, thermal stability, and adaptive passive/active heating capabilities responsive to environmental conditions [7].
Carbon nanotubes (CNTs) or multi-walled carbon nanotubes (MWCNTs), renowned for their exceptionally high specific surface area (theoretically up to 1600 m2/g), low bulk density (0.03–0.6 g/cm3), high tensile strength, superior thermal and electrical conductivity, emerge as ideal candidates for lightweight, high-strength, and multifunctional applications. They demonstrate significant advantages and potential for intelligent temperature management (thermal regulation) [8].
Polymer composite materials (PCMs) used in heating elements demonstrate a broad temperature regulation range due to the wide selection of available polymer matrices and carbon nanomaterial (CNM) fillers, particularly, CNTs, which exhibit superior integration capability within polymer matrices [1,9]. CNMs fundamentally determine the structural characteristics, morphology, and functional properties of PCMs [10,11,12]. Notably, the application of PCMs in electrical technologies enables innovative approaches to temperature management within precisely defined ranges while minimizing energy losses, with applications spanning both domestic heating systems and industrial-scale equipment [13,14,15].
The concentration of dispersed filler within PCMs critically determines their overall functional properties, including their potential application as either resistive heaters (utilizing Joule heating effect) or adaptive energy-dependent heaters (employing self-regulating temperature effect) [16,17]. PCMs capable of adaptive heating with dynamic power output adjustment in response to environmental conditions are classified as «smart» or «intelligent» materials [7,9].
The self-regulating temperature effect is achieved through the positive temperature coefficient (PTC) of the filler material within the composite [16,18,19]. The PTC effect manifests as a sharp increase in electrical resistance with rising temperature, establishing a feedback mechanism between the composite’s resistance and external conditions, typically corresponding to phase transitions (melting or glass transition) in the polymer matrix [20]. The key difference between the PTC effect caused by phase transitions of the polymer matrix (e.g., melting of crystalline regions) and the effect resulting from the disruption of the conductive filler network (e.g., CNTs) lies in the mechanism of resistance change [21]. In the first case, the increase in resistance upon heating is due to polymer volume expansion caused by thermal expansion or phase transition, which breaks the contacts between filler particles [22]. In the second case, the PTC effect arises from thermal deformation or redistribution of conductive nanotubes, disrupting the percolation network [23,24]. The first mechanism is more common and is typical of traditional polymer composites with carbon fillers, as it is more predictable and strongly dependent on the matrix’s phase transition temperature. In contrast, the second mechanism is often observed in nanocomposites with highly structured conductive networks and may occur over a broader temperature range.
Traditional PTC composites typically consist of polymer and filler systems such as high-density polyethylene (HDPE) with carbon black (CB) [24,25]. The CB/HDPE composite has been widely used due to its cost-effectiveness, rapid response time, and reliable performance characteristics [26]. However, this system presents several limitations: energy-intensive extrusion processing requirements; mixing difficulties at CB concentrations exceeding 25 wt.%; limited thermal stability resulting from oxidation of amorphous CB particles at elevated temperatures. The authors of [27] describe a highly elastic electric heater (E-heater) based on polydimethylsiloxane (PDMS) with CNTs, designed as a «battery starter» for providing external heating in low-temperature battery applications. The developed CNT/PDMS film demonstrated exceptional flexibility, elasticity, rapid thermal response, and high electrothermal conversion efficiency. That said, repeated thermal expansion cycles may alter the spatial distribution of the CNT network within the E-heater, potentially leading to operational instability. Thus, PDMS exhibits relatively high thermal stability compared to most organic polymers, attributed to the strong Si-O-Si bonds in its backbone chain.
Carbon materials tend to agglomerate due to van der Waals interactions, necessitating the development of surface modification techniques for CNMs to enhance their dispersibility in polymer matrices and reduce interfacial thermal resistance (ITR) [28,29]. Since polymers exhibit low thermal conductivity (<1.0 W/(m·°C)), incorporating highly conductive fillers (metallic or carbon-based) with electron-mediated heat transfer mechanisms can significantly improve the thermophysical properties of composites [30,31]. Of particular interest are hybrid systems combining carbon materials (e.g., carbon black) with metallic particles Ni and Au, which demonstrate reduced resistivity at room temperature compared to conventional PTC composites, albeit at increased material cost [32]. Alternative solutions include composites based on silicone rubber with paraffin, graphite, and CNTs, maintaining stability across a broad temperature range (–20… + 120 °C) with a resistivity of approximately 400 Ω·cm [33,34]. Key factors in developing such materials include selecting thermally stable polymer matrices resistant to thermal degradation [35,36] and optimizing filler morphology, as particle size and distribution determine the PTC effect and temperature self-regulation capability [37,38]. Thus, the functional properties of polymer electrically conductive composites emerge from complex interactions between matrix and filler characteristics, their interfacial interactions, and the overall system morphology (Figure 1), which must be considered when developing new materials.
Figure 1.
Key factors affecting the functional properties of new composites.
The development of advanced PCMs requires a comprehensive approach that involves not only the selection of optimal polymer matrices and fillers but also precise control over morphology and interfacial interactions between components [39]. A critical aspect of PCM fabrication for E-heaters is the uniform dispersion of nano- and microsized fillers within the polymer matrix. In particular, the use of CNTs with metallic inclusions and their effective encapsulation in a silicone matrix significantly enhances the physicochemical properties of the composites [40,41].
This study investigates hybrid fillers based on carbon nanotubes and metallic particles CuAl and Al, which exhibit high thermal and electrical conductivity, embedded in a silicone elastomer matrix. Special attention is given to analyzing the interactions between carbon nanotubes and metallic microparticles CuAl and Al, as well as controlling the micro- and nanostructure of the composite through electric polarization [41].
The aim of this study was to develop electrically conductive functional composites based on silicone polymers containing carbon nanotubes and metallic particle inclusions for creating electric heating elements with tailored functional characteristics. To achieve this aim, the following tasks were addressed:
- Evaluation of the influence of MWCNTs and metallic particles (CuAl or Al) on the functional properties of PCMs, including the self-regulating temperature effect.
- Investigation of the electrophysical characteristics of the composite materials.
- Assessment of PCM stability under atomic oxygen (AO) exposure and its impact on operational performance, including thermal oxidation during heating up to 100 ± 0.5 °C.
2. Materials and Methods
2.1. Materials
This research focused on PCMs based on a polar Si-O-Si bond-containing organosilicon compound, «Silagerm 8030» (LLC “ELEMENT14,” Moscow, Russia), modified with a mixture of MWCNTs along with either needle-shaped bronze powder (NBP) averaging ~5 μm in particle size or fine aluminum pigment powder (PAP-1) with particles ranging from 0.1 to 1 μm. All metal fillers were purchased from the «Ultra-Pure Substances Shop» (Moscow, Russia). The acicular morphology of NBP enhances the composite’s thermal conductivity while also being widely used in the coatings industry to produce metallic finishes. By combining MWCNTs with either NBP or PAP-1, the resulting composites acquired metallic-like characteristics. Table 1 details the chemical composition of the hybrid metallic filler system.
Table 1.
Chemical composition of NBP and PAP-1.
The MWCNTs were synthesized via chemical vapor deposition (CVD) using a Ni/Mg catalyst. PCM fabrication process is described in [42,43,44]. The composite formulations consisted of 2 wt.% MWCNTs + 10 wt.% CuAl for Sample 1 (S1) and 2 wt.% MWCNTs + 10 wt.% Al for Sample 2 (S2), as summarized in Table 2. A metal-inclusion-free 2 wt.% MWCNT sample was used as control.
Table 2.
Formulation of composite materials.
2.2. Key Stages of PCM Preparation and E-Heater Assembly
The PCM production began with mixing components A and B of the organosilicon compound (1:1). The mass concentration of MWCNTs relative to the total organosilicon compound (A + B) was calculated using Equation (1):
where
- MOC—mass of organosilicon compound (A + B), g;
- MMWCNT—mass of MWCNTs, g;
- CMWCNT—mass concentration of MWCNTs, wt.%.
Calculation of the mass concentration of metallic additives (PAP-1 or NBP) relative to the mass of the organosilicon compound (A + B) (2) is as follows:
where
- CMe—mass concentration of Me (PAP-1 or NBP), wt.%.
Figure 2 illustrates the fabrication process of the E-heater based on PCM. The process began with mechanical mixing of MWCNTs and metallic additives (PAP-1 or NBP) in a vortex layer apparatus (VLA), with weight percentages calculated using Equations (1) and (2). The MWCNTs and metallic particles were then incorporated into the organosilicon compound (A+B). To produce a hybrid filler (MWCNTs/Al or MWCNTs/CuAl), the following processing parameters were applied in the ALV: a rotation speed of 1000–5000 rpm using spherical grinding media, with mechanoactivation lasting up to 15 min. A cooling system was connected to the ALV to prevent overheating of the equipment. The nanotubes used in this study initially exhibit a fairly uniform thickness, length, and structure, with no significant defects.
Figure 2.
Schematic of PCM preparation and E-heater prototype assembly: 1—glass plate; 2—bottom aluminum electrode; 3—top aluminum electrode; 4—metal spacers (~3 mm); 5—polymer composite material (PCM); 6—electrical wires.
The PCM was formed by applying the polymer matrix onto the bottom foil electrode (2), with active layer thickness controlled using ~3 mm metal spacers (4) and a glass plate (1) to ensure uniform thermoregulating layer formation. The prototype was then subjected to 10 MPa pressure to improve electrical contact between the PCM and foil electrodes. Final assembly involved soldering wires (6) to both upper (3) and lower (2) aluminum electrodes, followed by insulation of exposed electrode surfaces, as shown in Figure 2.
The E-heater testing was conducted using a Keithley 2200-20-5 programmable power supply (Tektronix, Inc., Beaverton, OR, USA), which provided precise measurement capabilities with a voltage accuracy of 0.03% and current accuracy of 0.05% to ensure reliable test data acquisition.
2.3. Electrophysical Characterization
The electrophysical properties of the composite material were characterized using a dielectric spectroscopy measurement system for nanocomposites and semiconductors, employing alternating current (AC) measurement methodology. Measurements were performed across a frequency range of 50 Hz to 1 MHz and a temperature range of 15–375 K. A detailed description of the experimental setup can be found in [45].
2.4. Thermal Property Analysis
The thermal characteristics of the nanocomposite elastomers were investigated, including the startup time to reach operational mode (t, s), power consumption during both startup and steady-state operation (Q, W), initial heater temperature, and operational temperature (T, °C). The temperature field distribution was analyzed using a Testo 875-1 thermal imager with a 32 × 23° optical lens (Testo SE & Co. KGaA, Lenzkirch, Germany), positioned 10 cm from the samples in a light-controlled environment without solar radiation interference, with measurement error ±0.5 °C. Surface temperature measurements were simultaneously conducted using a dual-channel Testo 992 thermometer (Testo SE & Co. KGaA, Lenzkirch, Germany) to enable cross-validation with the thermal imaging data, ensuring measurement accuracy.
2.5. Testing of Electrothermal Heating Elements
The E-heater prototypes were powered using a programmable Keithley 2200-20-5 power supply. Current consumption was monitored in real time through dedicated control software, enabling precise calculation of power dissipation (P = V × I) at the set operating voltage. All tests were conducted under standard conditions (10 V DC, 25 ± 0.5 °C ambient temperature) using samples with a controlled surface area of 4.0 ± 0.1 cm2 (Figure 3).
Figure 3.
Investigation of self-regulating temperature effects in PCM-based E-heaters: 1—Peltier element; 2—MWCNT/bronze particle-enhanced E-heater; 3—aluminum heat sink; and 4—air-cooled heat pipes.
Figure 3 demonstrates a temperature self-regulation analysis system for the PCM-based E-heater 2. The system utilizes controlled temperature modulation via a Peltier element 1, thermally coupled through Arctic MX-4 thermal paste (Arctic Cooling, Basel, Switzerland). Temperature variations in the composite material induced thermal gradient equilibration between interfaces 1 and 2 (Figure 3), triggering nonlinear current variations in the E-heater that were recorded by a computer-synchronized UNI-T61E+ multimeter (Uni-Trend Technology, Dongguan, China). The Peltier element’s hot side was actively cooled using an aluminum heat sink (3) and air-cooled heat pipes (4) for optimal thermal energy dissipation and system stabilization.
2.6. Atomic Oxygen Exposure Testing
The experimental system utilized a modified magnetoplasmadynamic accelerator with an external magnetic field configuration specifically designed for generating low-energy (5–20 eV) oxygen plasma streams. Sample exposure was performed using a rotating disk assembly (Figure 4) oriented perpendicular to the plasma flow direction, ensuring uniform flux distribution across all samples. During testing, the sample temperature was actively monitored and maintained below 100 ± 0.5 °C through a calibrated control system employing thermistor sensors embedded in reference samples (sandwiched between 25 μm polyimide films).
Figure 4.
Series of PCM samples with MWCNT/CuAl/Al composites.
To quantify the exposure intensity, we employed the equivalent (effective) atomic oxygen (AO) fluence method [46], a standard approach in spacecraft materials testing worldwide. This method converts the actual fluence of incident particles into an equivalent fluence of 5 eV oxygen atoms that would produce identical mass loss in the sample.
2.7. Characterization
The structure and morphology of the carbon nanotubes used for modifying the organosilicon polymer and the resulting PCM composites were investigated using a Hitachi H-800 (Hitachi, Ltd., Japan, Tokyo) transmission electron microscope (TEM) equipped with a Hitachi S8010 scanning attachment, while the surface morphology of the composites before and after oxygen plasma exposure was characterized by scanning electron microscopy (SEM) (Hitachi S4800) (Hitachi, Ltd., Japan, Tokyo).
3. Results and Discussion
3.1. Structural Analysis of the Composites
Figure 5 shows TEM/SEM micrographs of the carbon nanotubes used as modifying additives in the organosilicon polymer matrix. The synthesized MWCNTs exhibited characteristic filamentous structures (Figure 5a,b) with estimated lengths exceeding 3 μm. The nanotubes demonstrated consistent dimensional parameters: average outer diameter of 23.36 nm, inner diameter of 4.76 nm, and aspect ratio of ~130, indicating high uniformity in their morphology.
Figure 5.
TEM/SEM micrographs of MWCNTs synthesized on Ni/Mg catalyst: (a) bright-field TEM mode, (b) SEM mode.
Figure 6 presents the morphological analysis of the developed composite coatings modified with carbon nanostructures and metallic particles (CuAl and Al). Direct analysis of the SEM micrographs reveals significant structural differences between samples containing different metallic additives. The bronze-particle modified samples (S1) exhibit flake-like metallic inclusions with average dimensions of 35.6 ± 9.4 μm in length and 1.76 ± 0.45 μm in thickness, corresponding to an aspect ratio of ~20 (Figure 6a).
Figure 6.
SEM micrographs of composite samples containing MWCNTs and metallic particles: (a) 2 wt.% MWCNTs + 10 wt.% CuAl, (b) 2 wt.% MWCNTs + 10 wt.% Al.
The aluminum additive in sample S2 demonstrates spherical morphology with average particle sizes of 18.13 ± 4.87 μm and an aspect ratio similar to S1 (Figure 6b), while the significantly higher aspect ratio of bronze particles accounts for their greater volume fraction in the composite.
3.2. Analysis of PCM Physical Properties
To indirectly evaluate MWCNT distribution patterns, considering their high surface area and aspect ratio, and study electrical percolation mechanisms, we analyzed the electrophysical properties, with Figure 7 showing the results for organosilicon composites modified with both MWCNTs and metallic particles.
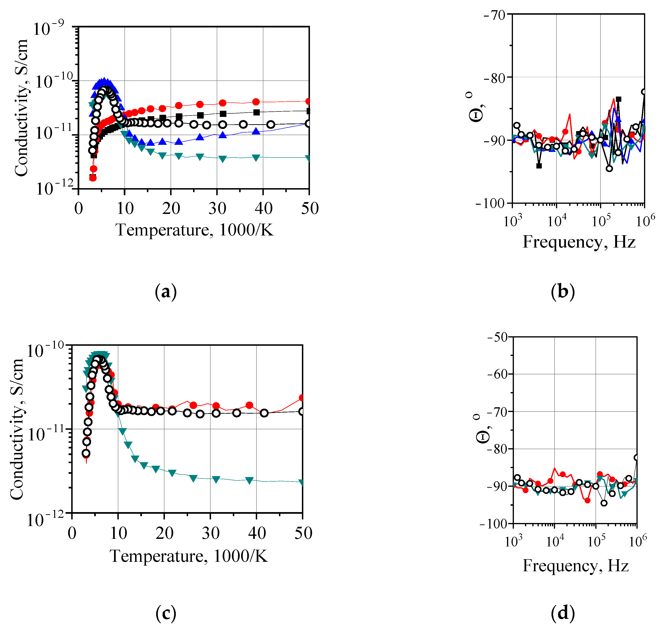
Figure 7.
Electrophysical properties of composites with MWCNTs/Al/CuAl particles: (a) temperature-dependent specific conductivity (f = 1000 Hz) of composites with MWCNTs/Al, (b) frequency-dependent phase shift angle: ●—S2; ■—S3; ▲—S4; ▼—S5; ○—2 wt.% MWCNTs, (c) temperature-dependent specific conductivity (f = 1000 Hz) of composites with MWCNTs/CuAl, (d) frequency-dependent phase shift angle: ●—S1; ▼—S6; ○—2 wt.% MWCNTs.
Figure 7b shows the frequency dependence of the phase shift angle at room temperature for composite samples containing MWCNTs and aluminum particles. The observed phase shift angle for all composite samples varies within 90°, indicating the presence of a capacitive component in the impedance. This suggests that most of the MWCNT arrays remain in an agglomerated state and form the plates of equivalent capacitors.
Analysis of the temperature dependence of specific electrical conductivity reveals several distinct features. For composite samples containing only 2 wt.% MWCNTs, as well as those with 4 wt.% MWCNTs and aluminum particles, three regions with different conductivity behaviors are observed: a low-temperature range (50–13 K−1), followed by two high-temperature ranges (13–6 K−1 and 6–2 K−1).
The presence of both the low-temperature range and the high-temperature range (13–6 K−1) has been frequently reported in studies on the electrical properties of non-crystalline semiconductor solids [47,48,49], indicating the dominance of charge carrier tunneling and hopping conduction mechanisms, respectively, which contribute to the overall conductivity [50]. In the high-temperature range (6–2 K−1), a noticeable decrease in electrical conductivity occurs. This effect may be attributed to activated loss mechanisms in an alternating electric field due to polarization effects. Bound charges in the dielectric matrix of the composite and/or free charges from the metallic filler promote the formation of an internal field opposing the external one, leading to energy dissipation [51].
For composite samples containing 2 wt.% MWCNTs and aluminum particles, only two distinct regions are observed in the temperature-dependent conductivity behavior within the inverse temperature ranges of (50–6 K−1) and (6–2 K−1). Notably, in the (6–2 K−1) range, a significant decrease in electrical conductivity occurs immediately. This phenomenon can be attributed to the higher proportion of aluminum particles relative to MWCNTs. First, the increased content of metallic particles introduces more free charge carriers, which generate a stronger opposing electric field. Second, the low aspect ratio of the metallic particles hinders the formation of an efficient conductive network within the composite, limiting effective charge transport. These factors likely contribute to the more pronounced influence of the activated loss mechanism in the high-temperature range.
Figure 7c presents the results of studying the electrophysical properties of silicone-based composites modified with carbon nanotubes and bronze particles. When bronze particles are incorporated into the polymer composite, three distinct conductivity regions emerge, independent of the MWCNT-to-metal filler ratio: a low-temperature range (50–13 K−1) and two high-temperature ranges (13–6 K−1 and 6–2 K−1). The bronze particles’ order-of-magnitude higher aspect ratio compared to aluminum additives, as previously observed, promotes greater volumetric inclusion within the composite. This enables the formation of a conductive network through frequent intersections with MWCNTs.
Phase-frequency (Figure 7d) characteristics of MWCNT/CuAl composites at room temperature similarly show phase shift angles varying within 90°, indicating that MWCNT arrays exist as large agglomerates spaced closely together and interconnected by individual nanostructures and metal particles.
The sharp decrease in specific conductivity represents a crucial effect for developing self-regulating heating elements. Self-regulation can occur through PTC effects in certain cases. While the mechanisms underlying PTC phenomena in polymer micro/nanocomposites remain generally unclear, several explanations have been proposed [21,22,23,24]. These include thermal expansion, glass transition, filler network disruption, and tunneling effect mechanisms that collectively increase electrical resistance, thereby reducing conductivity, current, and heating power [52].
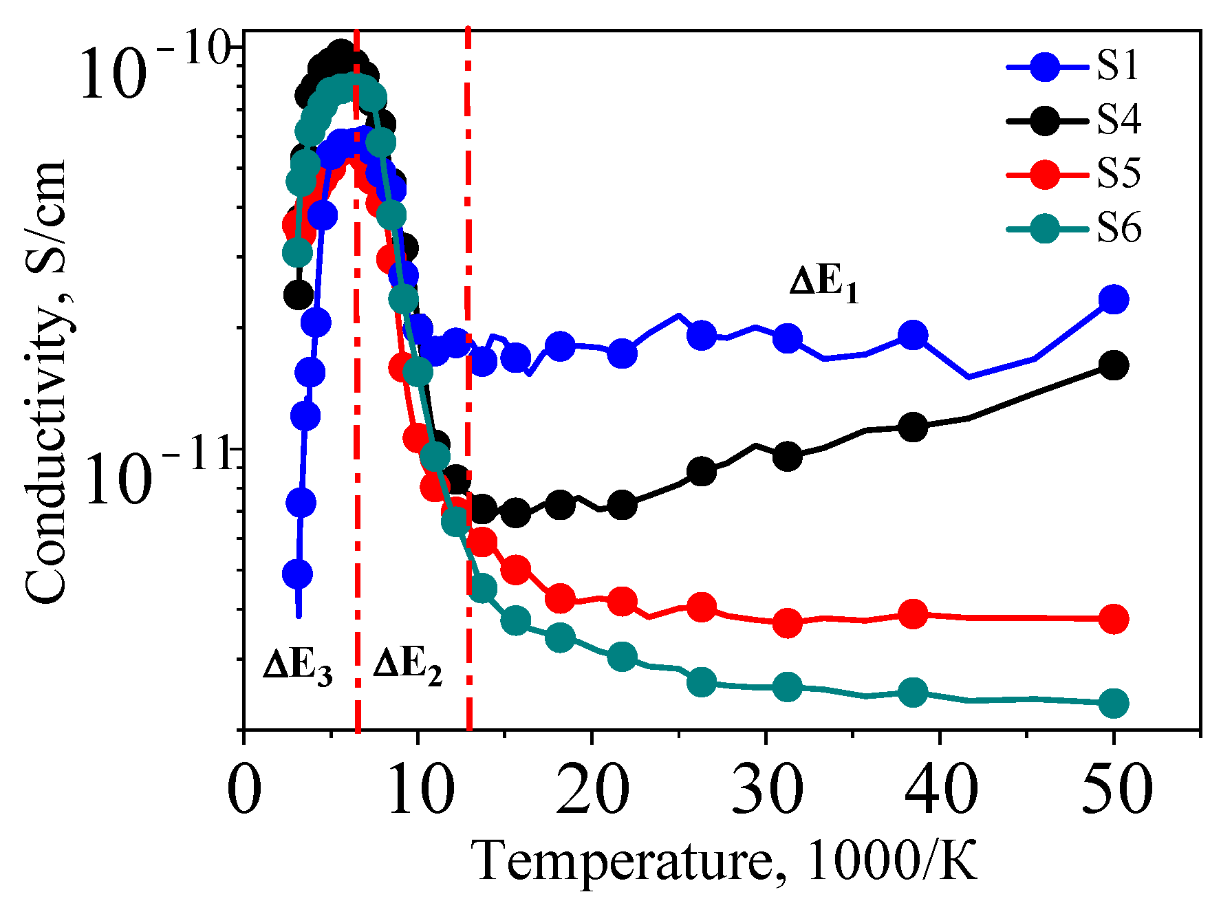
3.3. Temperature-Dependent Activation Energy of Electrical Conductivity Mechanisms in PCM
The analysis of the specific electrical conductivity versus inverse temperature relationship reveals several distinctive features (Figure 8). The composite samples exhibit three characteristic regions with different temperature-dependent conductivity behaviors: a low-temperature range (50 K−1 to 13 K−1), followed by two high-temperature ranges (13 K−1 to 6 K−1 and 6 K−1 to 2 K−1). Each conductivity region corresponds to its own thermal activation energy (ΔE). The observed presence of both the low-temperature range and the first high-temperature range (13 K−1 to 6 K−1) has been well-documented in studies examining the electrical properties of non-crystalline semiconductor solids [48,53], indicating the dominant conduction mechanisms in these ranges to be charge carrier tunneling and hopping conduction, respectively, both contributing significantly to the overall conductivity.
Figure 8.
Dependence of specific electrical conductivity on inverse temperature (f = 1000 Hz).
- At low temperatures, charge carrier transport occurs primarily via tunneling through potential barriers between localized energy states and follows the dependence [48]. Calculated according to Equation (3),
- T1—denotes the temperature needed to raise electronic states to the barrier summit, K;
- T1/T0—the parameter characterizing tunneling (fluctuation-free regime) and conductivity at T = 0, K;
- A—the constant used to determine the relative contribution of the tunneling mechanism to the overall conductivity.
- 2.
- In the high-temperature regime, the conduction mechanism involves charge carrier transport within the forbidden gap through thermally activated hops between neighboring localized energy states. This conduction mechanism is known as variable-range hopping conductivity [48]. Calculated according to Equation (4),
- T2—a temperature parameter related to the density of states at the Fermi level and the localization length, K;
- B—a constant used to determine the contribution of the hopping conduction mechanism to the total conductivity.
γ is the exponent determined by the hopping conduction mechanism, which depends on system dimensionality, density of localized states, and Coulomb interaction effects. For classical models, the exponent values are as follows: 0.25 for 3D hopping (amorphous solids), 0.33 for 2D hopping (thin films), 0.5 for 1D hopping (conductive nanofibers), and 1 for thermally activated transport [53].
Thus, the obtained exponents for our samples in the range of 13 K−1 to 6 K−1 were as follows: MWCNT 2 wt.%—0.700; S1—0.487; S4—0.661; S5—0.573; and S6—0.607. These values suggest a mixed conduction mechanism combining 1D hopping and thermally activated charge transport.
The activation energy values, corresponding to Figure 8 and the proposed conduction mechanisms (3) and (4), are summarized in Table 3.
Table 3.
Activation energies for PCM.
In the high-temperature range (6 K−1 to 2 K−1), a significant decrease in electrical conductivity is observed, which can be explained by the activation of loss mechanisms in the alternating electric field due to polarization effects. The bound charges in the composite’s dielectric matrix and/or free charges from the metallic filler contribute to the formation of an internal electric field opposing the external field, leading to energy dissipation.
3.4. PCM Atomic Oxygen Exposure Test
Table 4 presents the results of operating modes of E-heater samples based on silicone-organic composites modified with MWCNTs and metallic particles before and after exposure to AO. The data in Table 4 demonstrate that all composite heater samples are capable of transitioning to a self-regulating mode: under continuous voltage supply, the temperature of the composites stabilizes, while the power consumption decreases by approximately an order of magnitude.
Table 4.
Operating modes of E-heaters before and after exposure to AO (Q, T before atomic oxygen irradiation and QAO, TAO after).
The worst performance is observed in the composite modified with 2 wt.% MWCNTs. This sample exhibits the longest stabilization time of 300 s as well as only a slight temperature increase, reaching just 25.9 °C. However, it should be noted that this sample requires the lowest activation power of only 0.011 W.
Analysis of Table 4 data demonstrates that samples S1–S6 maintained their functional properties after AO exposure. This indicates the absence of significant structural changes in the hybrid filler composition. The addition of metal particles to the composite enhances power consumption, operating temperature, and reduces the stabilization time. Presumably, in the composite with 2 wt.% MWCNTs, heat transfer occurs exclusively through pathways between the carbon inclusions themselves and does not require significant energy. However, this leads to a challenge in heat transfer at the MWCNT/polymer interface.
Based on the phase-frequency characteristics analysis (Figure 7), MWCNTs are dispersed within the polymer matrix as disordered agglomerated structures, resulting in localized thermophysical effects. Due to the low thermal conductivity at the MWCNT/polymer interface, heat dissipation throughout the sample volume and the attainment of a stable temperature become prolonged processes.
The Si-O-Si coating on the surface of MWCNTs and metal particles (Al or CuAl) has a complex effect on ITR:
- It creates an additional thermal barrier (due to the relatively low thermal conductivity of the silicone layer) between the hybrid filler (MWCNT/Al/CuAl) and the matrix, potentially increasing ITR.
- It prevents localized overheating of MWCNTs by reducing filler aggregation and ensuring their uniform distribution in the matrix.
- It improves adhesion at the interface.
In contrast, metal particles, owing to their high thermal conductivity, facilitate heat dissipation and help balance the thermal gradients between MWCNTs and the polymer matrix. At the same time, the tips and sidewalls of MWCNTs, as well as the metal microparticles, become coated with Si-O-Si molecules (Figure 9). This coating prevents direct contact between adjacent MWCNTs, thereby reducing their effective contact area.
Figure 9.
Schematic illustration of the MWCNT/Al/CuAl filler distribution in the polymer matrix.
On the other hand, the exceptional mechanical properties of nanocomposites may be attributed to superior dispersion, interfacial interactions with both the polymer matrix and metallic particles, as well as enhanced structural stability of mechanoactivated MWCNTs processed in a VLA with metallic microparticles.
It should be noted that the composites modified with bronze particles have the best electrophysical properties, i.e., the best functional characteristics. Samples with 2 wt.% CNT and 10 wt.% bronze particles, as well as 4 wt.% CNT and 10 wt.% bronze particles have the shortest time to reach the operating mode–200 s and 180 s, as well as the highest operating temperatures—31 °C and 32.9 °C. This effect is certainly achieved due to the higher aspect ratio of the particles compared to aluminum additives. The flake-shaped particle structure not only allows a larger volume of inclusions to be distributed inside the polymer (Figure 6) but also helps to dissipate a larger amount of heat over a larger area compared to spherical aluminum particles, eliminating local heating points. Secondly, organosilicon matrices are among the polymers that are resistant to the effects of AO, with an erosion coefficient that is 1–2 orders of magnitude lower than that of the polyimide polymer widely used in the space industry [54] and the epoxy polymer considered in [55]. Figure 10 shows the PCM thermograms of a silicon-organic polymer modified with carbon nanotubes and metal particles before irradiation with AO.
Figure 10.
Thermal maps of silicone-based polymer E-heaters modified with carbon nanotubes and metallic particles before AO exposure: (a) S2, (b) S5, (c) S1, (d) S6.
Figure 11 shows SEM images of the surface of a silicone-based polymer E-heater modified with carbon nanostructures and metallic particles before and after AO exposure.
Figure 11.
SEM images of the silicone polymer surface-modified MWCNTs/metals (a) before and (b) after oxygen plasma exposure with a fluence of 3 × 1021 atoms/cm2, demonstrating the morphological changes induced by AO irradiation.
Notably, AO exposure induces surface roughening, with characteristic structural features measuring ~1 μm in size and ~0.5 μm in depth—two orders of magnitude shallower than the erosion layer thickness observed in polyimide and epoxy polymers under similar conditions [56].
3.5. Performance Comparison of PCM-Based E-Heater
Carbon nanotubes combined with polymers [41] such as waterborne polyurethane (WPU), PDMS, and Nylon 6 [57,58] can achieve operational temperatures of 72–102.5 °C at 5 V. However, these high temperatures may be technologically unsuitable for practical applications due to excessive heat generation and increased power consumption. In contrast, flexible E-heaters (PCM) operating at 10 V with a moderate temperature of 31.7 °C (Table 5) demonstrate optimal performance for aerospace and space technology applications.
Table 5.
Comparative analysis of polymer nanocomposite heaters.
E-heaters operating at 10 V with a moderate 31.7 ± 0.5 °C and 32.9 ± 0.5 °C surface temperature (Table 5) offer the optimal solution, combining energy-efficient performance (40–60% lower power consumption), reliable smart thermal regulation, and enhanced durability) also required for solar panels spacecraft thermal management systems. The PCM with a hybrid MWCNT/Me filler (where Me = Al or CuAl) provides more efficient heating compared to conventional CB/HDPE [24,25], CNT/PDMS [26,60], CAGn-CNTs20/WPU [59], and CNT/Nylon 6 [60] systems, due to the combined effects of temperature self-regulation and enhanced heat dissipation. The incorporation of highly thermally conductive metal particles not only prevents local overheating of the conductive filler within the polymer matrix (thereby extending the material’s service life) but also ensures more uniform heat distribution. Furthermore, this PCM exhibits an extended operational temperature range (Table 4 and Table 5) and improved thermal stability owing to the synergistic interaction between carbon nanotubes and metal components.
4. Conclusions
This work presents a comprehensive study of self-regulating E-heaters based on silicone polymer composites modified with carbon nanostructures and metallic particles, designed for operation in extreme environments including low Earth orbit conditions, such as active thermal regulation systems with constant temperature heating. The following conclusions can be drawn:
- The investigation of structural features revealed a distinct organization of metallic particles within the composite matrix, determined by their aspect ratios—approximately 20 for bronze particles compared to about 1 for aluminum inclusions.
- Analysis of electrophysical properties established the general distribution patterns of carbon and metallic particles within the silicone polymer matrix. This study demonstrated how the composite’s structural characteristics influence various electrical conduction mechanisms contributing to overall conductivity: a low-temperature range (50 K−1 to 13 K−1) and two high-temperature ranges (13 K−1 to 6 K−1 and 6 K−1 to 2 K−1).
- The research examined thermal properties of silicone polymers modified with carbon nanostructures and metallic particles, identifying optimal operational parameters for these composites as electric heaters. At 10 V voltage, samples with bronze inclusions showed the shortest stabilization time (180 s) and highest operating temperature (32.9 °C), while aluminum-modified samples achieved 200 s stabilization time and 31.1 °C maximum temperature.
- Accelerated testing under simulated low Earth orbit conditions with atomic oxygen exposure (fluence 3 × 1021 atoms/cm2) demonstrated nearly complete preservation of the composites’ thermal properties, confirming their potential as active thermal regulation coatings for spacecraft applications.
Author Contributions
Conceptualization, A.V.S. (Aleksei V. Shchegolkov) and A.V.S. (Alexandr V. Shchegolkov); software, I.D.P. and A.V.S. (Aleksei V. Shchegolkov); validation, F.F.K., I.D.P. and A.V.S. (Alexandr V. Shchegolkov); formal analysis, F.F.K.; investigation, A.V.S. (Aleksei V. Shchegolkov); resources, A.V.S. (Alexandr V. Shchegolkov), L.S.N. and V.N.C.; data curation, V.N.C. and L.S.N.; writing—original draft preparation, A.V.S. (Aleksei V. Shchegolkov) and writing—review and editing, A.V.S. (Aleksei V. Shchegolkov); visualization, A.V.S. (Aleksei V. Shchegolkov) and I.D.P.; supervision, F.F.K. and A.V.S. (Alexandr V. Shchegolkov); project administration, A.V.S. (Alexandr V. Shchegolkov); funding acquisition, A.V.S. (Aleksei V. Shchegolkov). All authors have read and agreed to the published version of the manuscript.
Funding
This work was financially supported by the Moscow Polytechnic University within the framework of the grant named after Pyotr Kapitsa.
Data Availability Statement
The data presented in this study are available upon request from the first author.
Acknowledgments
Aleksei V. Shchegolkov acknowledges the grant named after Pyotr Kapitsa for providing partial financial support.
Conflicts of Interest
The authors declare no conflicts of interest.
Abbreviations
The following abbreviations are used in this manuscript:
| AO | atomic oxygen |
| BPN | bronze powder needle |
| CB | carbon black |
| CNM | carbon nanomaterial |
| CNT | carbon nanotube |
| CVD | chemical vapor deposition |
| HDPE | high-density polyethylene |
| ITR | interphase interfacial thermal resistance |
| MWCNT | multi-walled carbon nanotube |
| PDMS | polydimethylsiloxane |
| SEM | scanning electron microscopy |
| TEM | transmission electron microscopy |
| PAP | aluminum pigment powder |
| PCM | polymer conductive composite |
| PTC | positive temperature coefficient of resistance |
| VLA | vortex layer apparatus |
| WPU | waterborne polyurethane |
References
- Stoyanova, S.; Ivanov, E.; Hegde, L.R.; Georgopoulou, A.; Clemens, F.; Bedoui, F.; Kotsilkova, R. PVDF Hybrid Nanocomposites with Graphene and Carbon Nanotubes and Their Thermoresistive and Joule Heating Properties. Nanomaterials 2024, 14, 901. [Google Scholar] [CrossRef] [PubMed]
- Yim, Y.; Yoon, Y.; Kim, S.; Lee, J.; Chung, D.; Kim, B. Carbon Nanotube/Polymer composites for functional applications. Polymers 2025, 17, 119. [Google Scholar] [CrossRef]
- Shchegolkov, A.V.; Shchegolkov, A.V.; Kaminskii, V.V.; Chumak, M.A. Polymer Composites with Nanomaterials for Strain Gauging: A Review. J. Compos. Sci. 2025, 9, 8. [Google Scholar] [CrossRef]
- Fenta, E.W.; Mebratie, B.A. Advancements in Carbon Nanotube-Polymer Composites: Enhancing Properties and Applications through Advanced Manufacturing Techniques. Heliyon 2024, 10, e36490. [Google Scholar] [CrossRef]
- Lee, D.; Yoo, J.; Kim, H.; Kang, B.; Park, S. Electrical and Thermal Properties of Carbon Nanotube Polymer Composites with Various Aspect Ratios. Materials 2022, 15, 1356. [Google Scholar] [CrossRef]
- Liew, N.J.; Suhaimi, M.F.; Ju, D.; Lee, H. Design and development of electric radiant heaters for local heating inside the cabin of electric vehicles. Appl. Therm. Eng. 2024, 256, 124087. [Google Scholar] [CrossRef]
- Liu, L.; Wang, X.; Jin, H.; Wang, J.; Li, Q. Carbon Nanotube-Derived Materials for smart thermal management. Adv. Sustain. Syst. 2024, 9, 2400757. [Google Scholar] [CrossRef]
- Shchegolkov, A.V.; Shchegolkov, A.V.; Kaminskii, V.V.; Iturralde, P.; Chumak, M.A. Advances in electrically and thermally conductive functional nanocomposites based on carbon nanotubes. Polymers 2024, 17, 71. [Google Scholar] [CrossRef]
- Shchegolkov, A.V.; Shchegolkov, A.V.; Kaminskii, V.V.; Chumak, M.A. Smart polymer composites for electrical heating: A review. J. Compos. Sci. 2024, 8, 522. [Google Scholar] [CrossRef]
- Chu, K.; Yun, D.; Kim, D.; Park, H.; Park, S. Study of electric heating effects on carbon nanotube polymer composites. Org. Electron. 2014, 15, 2734–2741. [Google Scholar] [CrossRef]
- Zhu, Z.; Lu, H.; Zhao, W.; Tuerxunjiang, A.; Chang, X. Materials, performances and applications of electric heating films. Renew. Sustain. Energy Rev. 2023, 184, 113540. [Google Scholar] [CrossRef]
- Shiverskii, A.V.; Owais, M.; Mahato, B.; Abaimov, S.G. Electrical heaters for Anti/De-Icing of polymer structures. Polymers 2023, 15, 1573. [Google Scholar] [CrossRef]
- De Bock, Y.; Auquilla, A.; Bracquené, E.; Nowé, A.; Duflou, J.R. The energy saving potential of retrofitting a smart heating system: A residence hall pilot study. Sustain. Comput. Inform. Syst. 2021, 31, 100585. [Google Scholar] [CrossRef]
- Ahmed, I.; Duchesne, M.; Tan, Y.; Lu, D.Y. Electrically Heated Fluidized Beds—A review. Ind. Eng. Chem. Res. 2024, 63, 4205–4235. [Google Scholar] [CrossRef]
- Zhang, M.; Wang, C.; Liang, X.; Yin, Z.; Xia, K.; Wang, H.; Jian, M.; Zhang, Y. Weft-Knitted fabric for a highly stretchable and Low-Voltage wearable heater. Adv. Electron. Mater. 2017, 3, 1700193. [Google Scholar] [CrossRef]
- Hao, J.; Yang, Y.; Shen, Y.; Zhou, R.; Zhang, W.; Chen, H.; Cheng, W. Positive temperature coefficient material based on silicone rubber/ paraffin/ graphite/ carbon nanotubes for wearable thermal management devices. Chem. Eng. J. 2024, 493, 152427. [Google Scholar] [CrossRef]
- Ju, Z.; Li, P.; Zhao, X.; Ma, J.; Xu, H.; Liu, Y. Flexible TiN/Co@Carbon nanofiber mats for high-performance electromagnetic interference shielding and Joule heating applications. Carbon 2022, 196, 612–620. [Google Scholar] [CrossRef]
- Zeng, Y.; Lu, G.; Wang, H.; Du, J.; Ying, Z.; Liu, C. Positive temperature coefficient thermistors based on carbon nanotube/polymer composites. Sci. Rep. 2014, 4, 6684. [Google Scholar] [CrossRef] [PubMed]
- Haghgoo, M.; Ansari, R.; Hassanzadeh-Aghdam, M.K.; Tian, L.; Nankali, M. Analytical formulation of the piezoresistive behavior of carbon nanotube polymer nanocomposites: The effect of temperature on strain sensing performance. Compos. Part A Appl. Sci. Manuf. 2022, 163, 107244. [Google Scholar] [CrossRef]
- Zhang, X.; Zhang, Y.; Wang, X.; Zhao, J.; Zou, J.; Sui, X.; Li, Q.; Ding, B. Composite phase change materials by confining polymers inside nanocarbon assemblies: A review. Next Energy 2025, 7, 100281. [Google Scholar] [CrossRef]
- Xue, F.; Li, K.; Cai, L.; Ding, E. Effects of POE and Carbon Black on the PTC performance and flexibility of High-Density polyethylene composites. Adv. Polym. Technol. 2021, 2021, 1124981. [Google Scholar] [CrossRef]
- Brunella, V.; Rossatto, B.G.; Scarano, D.; Cesano, F. Thermal, morphological, electrical properties and Touch-Sensor application of conductive carbon Black-Filled polyamide composites. Nanomaterials 2021, 11, 3103. [Google Scholar] [CrossRef]
- Li, G.; Hu, C.; Zhai, W.; Zhao, S.; Zheng, G.; Dai, K.; Liu, C.; Shen, C. Particle size induced tunable positive temperature coefficient characteristics in electrically conductive carbon nanotubes/polypropylene composites. Mater. Lett. 2016, 182, 314–317. [Google Scholar] [CrossRef]
- Seo, M.; Rhee, K.; Park, S. Influence of electro-beam irradiation on PTC/NTC behaviors of carbon blacks/HDPE conducting polymer composites. Curr. Appl. Phys. 2010, 11, 428–433. [Google Scholar] [CrossRef]
- Bozeya, A.; Makableh, Y.F.; Abu-Zurayk, R.; Khalaf, A.; Bawab, A.A. Thermal and structural properties of high density Polyethylene/Carbon nanotube nanocomposites: A comparison study. Chemosensors 2021, 9, 136. [Google Scholar] [CrossRef]
- Chen, L.; Hou, J.; Chen, Y.; Wang, H.; Duan, Y.; Zhang, J. Synergistic effect of conductive carbon black and silica particles for improving the pyroresistive properties of high density polyethylene composites. Compos. Part B Eng. 2019, 178, 107465. [Google Scholar] [CrossRef]
- Xu, F.; Aouraghe, M.A.; Xie, X.; Zheng, L.; Zhang, K.; Fu, K.K. Highly stretchable, fast thermal response carbon nanotube composite heater. Compos. Part A Appl. Sci. Manuf. 2021, 147, 106471. [Google Scholar] [CrossRef]
- Nayak, L.; Rahaman, M.; Giri, R. Surface Modification/Functionalization of Carbon materials by different techniques: An Overview. In Carbon-Containing Polymer Composites; Springer Series on Polymer and Composite Materials; Springer: Singapore, 2018; pp. 65–98. [Google Scholar] [CrossRef]
- Wang, J.; Hu, L.; Li, W.; Ouyang, Y.; Bai, L. Development and perspectives of thermal conductive polymer composites. Nanomaterials 2022, 12, 3574. [Google Scholar] [CrossRef]
- Chen, H.; Ginzburg, V.V.; Yang, J.; Yang, Y.; Liu, W.; Huang, Y.; Du, L.; Chen, B. Thermal conductivity of polymer-based composites: Fundamentals and applications. Prog. Polym. Sci. 2016, 59, 41–85. [Google Scholar] [CrossRef]
- Zhou, T.; Wang, X.; Cheng, P.; Wang, T.; Xiong, D.; Wang, X. Improving the thermal conductivity of epoxy resin by the addition of a mixture of graphite nanoplatelets and silicon carbide microparticles. Express Polym. Lett. 2013, 7, 585–594. [Google Scholar] [CrossRef]
- Zheng, Q.; Song, Y.; Wu, G.; Song, X. Relationship between the positive temperature coefficient of resistivity and dynamic rheological behavior for carbon black-filled high-density polyethylene. J. Polym. Sci. Part B Polym. Phys. 2003, 41, 983–992. [Google Scholar] [CrossRef]
- Gong, S.; Zhu, Z.H.; Li, Z. Electron tunnelling and hopping effects on the temperature coefficient of resistance of carbon nanotube/polymer nanocomposites. Phys. Chem. Chem. Phys. 2017, 19, 5113–5120. [Google Scholar] [CrossRef]
- Hoang, L.T.; Aghelinejad, M.; Leung, S.N.; Zhu, Z.H. High density Polyethylene/Carbon nanotube nanocomposite foams: Electrical conductivity and percolation threshold. In Proceedings of the 2018 CSME International Congress, Toronto, ON, Canada, 27–30 May 2018. Progress in Canadian Mechanical Engineering. [Google Scholar] [CrossRef]
- Chen, L.; Wu, X.; Zhang, X.; Zhang, J. Enhanced Reproducibility of Positive Temperature Coefficient Effect of CB/HDPE/PVDF Composites with the Addition of Ionic Liquid. Chin. J. Polym. Sci. 2020, 39, 228–236. [Google Scholar] [CrossRef]
- Lai, F.; Zhao, L.; Zou, J.; Zhang, P. High positive temperature coefficient effect of resistivity in conductive polystyrene/polyurethane composites with ultralow percolation threshold of MWCNTs via interpenetrating structure. React. Funct. Polym. 2020, 151, 104562. [Google Scholar] [CrossRef]
- Zhou, C.; Zhang, Y.; Cen, F.; Yu, X.; Zhou, W.; Jiang, S.; Yu, Y. Polymer positive temperature coefficient composites with room-temperature Curie point and superior flexibility for self-regulating heating devices. Polymer 2022, 265, 125587. [Google Scholar] [CrossRef]
- Liu, Y.; Asare, E.; Porwal, H.; Barbieri, E.; Goutianos, S.; Evans, J.; Newton, M.; Busfield, J.J.; Peijs, T.; Zhang, H.; et al. The effect of conductive network on positive temperature coefficient behaviour in conductive polymer composites. Compos. Part A Appl. Sci. Manuf. 2020, 139, 106074. [Google Scholar] [CrossRef]
- Gohar, G.A.; Akhtar, A.; Raza, H.; Mustafa, G.; Fatima, M.; Rehman, H.U.; Aslam, M.W.; Haq, A.U.; Manzoor, W. Achieving enhanced tensile properties of polyurethane-multiwall carbon nanotubes nanocomposites. Nano Express 2023, 4, 045013. [Google Scholar] [CrossRef]
- Das, B.; Yu, X.; Wang, Y.; Porwal, H.; Evans, J.; Newton, M.; Papageorgiou, D.; Zhang, H.; Bilotti, E. High temperature co-polyester thermoplastic elastomer nanocomposites for flexible self-regulating heating devices. Mater. Des. 2024, 242, 113000. [Google Scholar] [CrossRef]
- Wang, J.; Wang, G. Nanocarbon-Based hybrid fillers in thermally conductive polymer composites: A review. Adv. Eng. Mater. 2024, 26, 2301983. [Google Scholar] [CrossRef]
- Asare, E.; Evans, J.; Newton, M.; Peijs, T.; Bilotti, E. Effect of particle size and shape on positive temperature coefficient (PTC) of conductive polymer composites (CPC)—A model study. Mater. Des. 2016, 97, 459–463. [Google Scholar] [CrossRef]
- Wang, Y.; Das, B.; Thorn, T.D.; Huo, S.; Evans, J.; Newton, M.; Liu, Y.; Advani, S.G.; Papageorgiou, D.G.; Bilotti, E.; et al. Towards highly homogeneous self-regulating heating of smart nanocomposites. Appl. Mater. Today 2024, 39, 102292. [Google Scholar] [CrossRef]
- Shchegolkov, A.V.; Shchegolkov, A.V.; Komarov, F.F.; Parfimovich, I.D.; Zemtsova, N.V. Electro- and Thermophysical Properties of Organosilicon Elastomers Modified with Carbon Nanotubes and Microscale Metallic Structures. Russ. J. Gen. Chem. 2024, 94, 1574–1579. [Google Scholar] [CrossRef]
- Koltunowicz, T.N. Test station for Frequency-Domain dielectric spectroscopy of nanocomposites and semiconductors. J. Appl. Spectrosc. 2015, 82, 653–658. [Google Scholar] [CrossRef]
- Standard Practices for Ground Laboratory Atomic Oxygen Interaction Evaluation of Materials for Space Applications [Electronic Resource]. Available online: https://www.astm.org/e2089-15r20.html (accessed on 19 May 2022).
- Shimakawa, K. On the temperature dependence of a.c. conduction in chalcogenide glasses. Philos. Mag. B 1982, 46, 123–135. [Google Scholar] [CrossRef]
- Komarov, F.F.; Zukowski, P.; Kryvasheyeu, R.M.; Munoz, E.; Koltunowicz, T.N.; Rodionova, V.N.; Togambaeva, A.K. Effects of surfactant and fabrication procedure on the electrical conductivity and electromagnetic shielding of single-walled carbon nanotube films. Phys. Status Solidi A 2014, 212, 425–432. [Google Scholar] [CrossRef]
- Street, R.A. Recombination in amorphous semiconductors. Phys. Review. B Condens. Matter 1978, 17, 3984–3995. [Google Scholar] [CrossRef]
- Komarov, F.F.; Parfimovich, I.D.; Tkachev, A.G.; Shchegol’kov, A.V.; Shchegol’kov, A.V.; Mil’chanin, O.V.; Bondarev, V. Effect of Methods for Fabrication of Polymer Composites with Carbon Nanotubes on Conduction Processes. Tech. Phys. 2021, 66, 461–469. [Google Scholar] [CrossRef]
- Sivadas, A.; Akhina, H.; Mrudula, M.S.; Chandran, N. Dielectric and Electrical Conductivity Studies of Carbon Nanotube-Polymer Composites. In Handbook of Carbon Nanotubes; Springer: Cham, Switzerland, 2022; pp. 1209–1233. [Google Scholar] [CrossRef]
- Bao, S.; Liang, G.; Tjong, S. Positive temperature coefficient effect of Polypropylene/Carbon Nanotube/Montmorillonite hybrid nanocomposites. IEEE Trans. Nanotechnol. 2009, 8, 729–736. [Google Scholar] [CrossRef]
- Kaiser, A.B. Electronic transport properties of conducting polymers and carbon nanotubes. Rep. Prog. Phys. 2000, 64, 1–49. [Google Scholar] [CrossRef]
- Banks, B.; Miller, S.; De Groh, K. Low Earth Orbital Atomic Oxygen Interactions with Materials. In Proceedings of the 2nd International Energy Conversion Engineering Conference, Providence, RI, USA, 16–19 August 2004. [Google Scholar] [CrossRef]
- Parkhomenko, I.; Vlasukova, L.; Parfimovich, I.; Komarov, F.; Novikov, L.; Chernik, V.; Zhigulin, D. Atomic oxygen exposure effect on carbon nanotubes/epoxy composites for space systems. Acta Astronaut. 2023, 204, 124–131. [Google Scholar] [CrossRef]
- Novikov, L.S.; Voronina, E.N.; Chernik, V.N.; Zhilyakov, L.A.; Chirskaya, N.P. Combined impact of 500 keV protons and oxygen plasma on polyimide films. Nucl. Instrum. Methods Phys. Res. Sect. B Beam Interact. Mater. At. 2017, 410, 60–67. [Google Scholar] [CrossRef]
- Ramzali, M.; Ahangari, M.G.; Arabi, M.K.; Dargahi, S. Validation of Experimental Results for Polyhedral Oligomeric Silsesquioxane, carbon nanotube and functionalized carbon nanotube/Polymer Nanocomposites through Density Functional Theory Study. Mater. Today Commun. 2024, 41, 110600. [Google Scholar] [CrossRef]
- Guo, Y.; Zhang, D.; Zhang, X.; Wu, Y. Thermal properties and mechanical behavior of functionalized carbon nanotube-filled polypropylene composites using molecular dynamics simulation. Mater. Today Commun. 2023, 37, 107510. [Google Scholar] [CrossRef]
- Shen, Y.; Xiang, Y.; Kuzhandaivel, D.; Wang, L.; Weng, Z.; Zheng, L.; Wang, J.; Zhang, Q.; Wu, L. Water-based Polyurethane Heating Film with Double-Layer Conductive Network for a Rapid Electrothermal Response. Adv. Eng. Mater. 2024, 26, 2400249. [Google Scholar] [CrossRef]
- Ha, J.-H.; Chu, K.; Park, S.-H. Electrical properties of the Carbon-Nanotube composites film under extreme temperature condition. J. Nanosci. Nanotechnol. 2018, 19, 1682–1685. [Google Scholar] [CrossRef] [PubMed]
Disclaimer/Publisher’s Note: The statements, opinions and data contained in all publications are solely those of the individual author(s) and contributor(s) and not of MDPI and/or the editor(s). MDPI and/or the editor(s) disclaim responsibility for any injury to people or property resulting from any ideas, methods, instructions or products referred to in the content. |
© 2025 by the authors. Licensee MDPI, Basel, Switzerland. This article is an open access article distributed under the terms and conditions of the Creative Commons Attribution (CC BY) license (https://creativecommons.org/licenses/by/4.0/).










