Preparation and Mechanical Characteristics of Multicomponent Ceramic Solid Solutions of Rare Earth Metal Oxides Synthesized by the SCS Method
Abstract
1. Introduction
2. Materials and Methods
2.1. Preparation and Processing of Powders
2.2. Preparation and Processing of Ceramics
2.3. Characterization Techniques
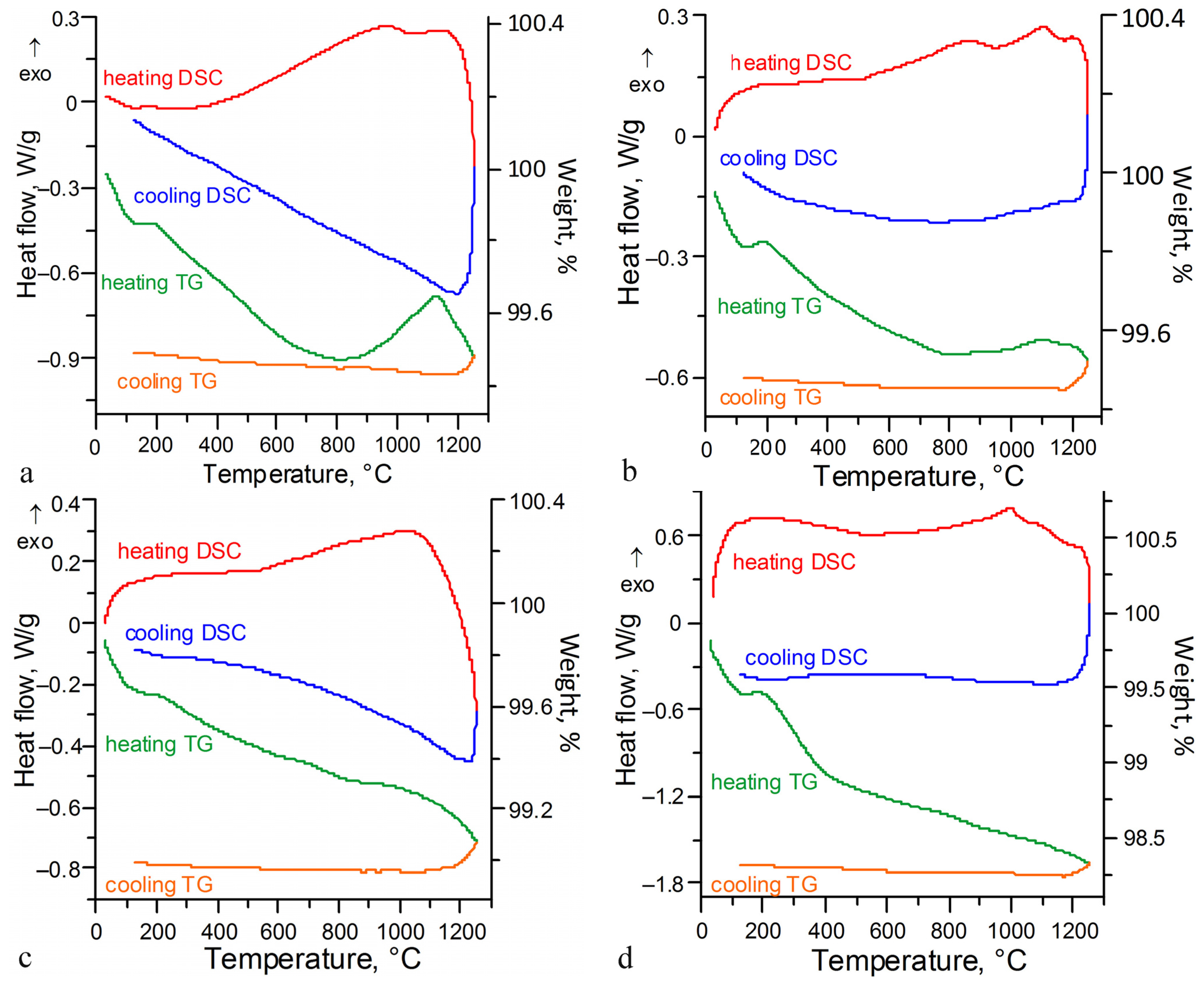
3. Results and Discussion
3.1. Dispersed Solid Solutions of Rare Earth Metal Oxides
3.2. Ceramic Solid Solutions of Rare Earth Metal Oxides
4. Conclusions
Author Contributions
Funding
Conflicts of Interest
References
- Patil, A.S.; Patil, A.V.; Dighavkar, C.G.; Adole, V.A.; Tupe, U.J. Synthesis techniques and applications of rare earth metal oxides semiconductors: A review. Chem. Phys. Lett. 2022, 796, 139555. [Google Scholar] [CrossRef]
- Furuse, H.; Yasuhara, R. Magneto-optical characteristics of holmium oxide (Ho2O3) ceramics. Opt. Mater. Express 2017, 7, 827–833. [Google Scholar] [CrossRef]
- Snetkov, I.L.; Yakovlev, A.I.; Permin, D.A.; Balabanov, S.S.; Palashov, O.V. Magnetooptical Faraday effect in dysprosium oxide (Dy2O3) based ceramics obtained by vacuum sintering. Opt. Lett. 2018, 43, 4041–4044. [Google Scholar] [CrossRef] [PubMed]
- Dai, J.W.; Li, J. Promising magneto-optical ceramics for high power Faraday isolators. Scr. Mater. 2018, 155, 78–84. [Google Scholar] [CrossRef]
- Maksimov, R.N.; Yurovskikh, A.S.; Shitov, V.A. Fabrication, Microstructure, and Spectroscopic Properties of Transparent Yb0.118Lu0.464Y1.418O3 Ceramics. Phys. Status Solidi 2020, 217, 1900883. [Google Scholar] [CrossRef]
- Permin, D.A.; Balabanov, S.S.; Novikova, A.V.; Snetkov, I.L.; Palashov, O.V.; Sorokin, A.A.; Ivanov, M.G. Fabrication of Yb-doped Lu2O3-Y2O3-La2O3 solid solutions transparent ceramics by self-propagating high-temperature synthesis and vacuum sintering. Ceram. Int. 2019, 45, 522–529. [Google Scholar] [CrossRef]
- Shuan, L.; Lin, Y.; Tang, S.; Feng, L.; Li, X. A review of rare-earth oxide films as high k dielectrics in MOS devices. J. Rare Earths 2021, 39, 121–128. [Google Scholar] [CrossRef]
- Filho, P.C.S.; Lima, J.F.; Serra, O.A. From lighting to photoprotection: Fundamentals and applications of rare earth materials. J. Braz. Chem. Soc. 2015, 26, 2471–2495. [Google Scholar] [CrossRef]
- Lu, B.; Sun, Z.G.; Wang, X.Y.; Chen, H.B.; Sakka, Y.; Li, J.-G. Photoluminescent and scintillant properties of highly transparent [(Y1-xGdx)0.99Dy0.01]2O3 (x = 0 and 0.4) ceramics. J. Am. Ceram. Soc. 2019, 102, 4773–4780. [Google Scholar] [CrossRef]
- Balaram, V. Rare earth elements: A review of applications, occurrence, exploration, analysis, recycling, and environmental impact. Geosci. Front. 2019, 10, 1285–1303. [Google Scholar] [CrossRef]
- Hossain, M.K.; Rubel, M.H.K.; Akbar, M.A.; Hafez Ahmed, M.H.; Haque, N.; Rahman, M.F.; Hossain, J.; Hossain, K.M. A review on recent applications and future prospects of rare earth oxides in corrosion and thermal barrier coatings, catalysts, tribological, and environmental sectors. Ceram. Int. 2022, 48, 32588–32612. [Google Scholar] [CrossRef]
- Tan, Y.; Liao, W.; Zeng, S.; Jia, P.; Teng, Z.; Zhou, X.; Zhang, H. Microstructures, thermophysical properties and corrosion behaviours of equiatomic five-component rare-earth monosilicates. J. Alloys Compd. 2022, 907, 164334. [Google Scholar] [CrossRef]
- Singh, A.K.; Kutty, T.R.G.; Sinha, S. Pulsed laser deposition of corrosion protective Yttrium Oxide (Y2O3) coating. J. Nucl. Mater. 2012, 420, 374–381. [Google Scholar] [CrossRef]
- Guergova, D.; Stoyanova, E.; Stoychev, D.; Avramova, I.; Stefanov, P. Self-healing effect of ceria electrodeposited thin films on stainless steel in aggressive 0.5 mol/L NaCl aqueous solution. J. Rare Earths 2015, 33, 1212–1227. [Google Scholar] [CrossRef]
- Guo, L.; Li, M.; Ye, F. Phase stability and thermal conductivity of RE2O3 (RE=La, Nd, Gd, Yb) and Yb2O3 co-doped Y2O3 stabilized ZrO2 ceramics. Ceram. Int. 2016, 42, 7360–7365. [Google Scholar] [CrossRef]
- Bahamirian, M.; Hadavi, S.M.M.; Farvizi, M.; Rahimipour, M.R.; Keyvani, A. Phase stability of ZrO2 9.5Y2O 5.6Yb2O3 5.2Gd2O3 compound at 1100 °C and 1300 °C for advanced TBC applications. Ceram. Int. 2019, 45, 7344–7350. [Google Scholar] [CrossRef]
- Jeon, H.; Lee, I.; Oh, Y. Changes in high-temperature thermal properties of modified YSZ with various rare earth doping elements. Ceram. Int. 2022, 48, 8177–8185. [Google Scholar] [CrossRef]
- Zhang, D.; Yu, Y.; Feng, X.; Tian, Z.; Song, R. Thermal barrier coatings with high-entropy oxide as a top coat. Ceram. Int. 2022, 48, 1349–1359. [Google Scholar] [CrossRef]
- Krishnaiah, K.V.; Rajeswari, R.; Kumar, K.U.; Babu, S.S.; Martín, I.R.; Jayasankar, C.K. Spectroscopy and radiation trapping of Yb3+ ions in lead phosphate glasses. J. Quant. Spectrosc. Radiat. Transf. 2014, 140, 37–47. [Google Scholar] [CrossRef]
- Hazarika, S.; Behera, P.S.; Mohanta, D.; Nirmala, R. Magnetocaloric effect of Gd2O3 nanorods with 5% Eu-substitution. Appl. Surf. Sci. 2019, 491, 779–783. [Google Scholar] [CrossRef]
- Arun, B.; Akshay, V.R.; Mutta, G.R.; Venkatesh, C.; Vasundhara, M. Mixed rare earth oxides derived from monazite sand as an inexpensive precursor material for room temperature magnetic refrigeration applications. Mater. Res. Bull. 2017, 94, 537–543. [Google Scholar] [CrossRef]
- Li, C.L.; Zheng, S.S.; Barasa, G.O.; Zhao, Y.F.; Wang, L.; Wang, C.L.; Lu, Y.; Qiu, Y.; Cheng, J.B.; Luo, Y.S. A comparative study on magnetic behaviors and magnetocaloric effect in heavy rare-earth antiferromagnetic orthoferrites RFeO3 (R = Dy, Ho and Er). Ceram. Int. 2021, 47, 35160–35169. [Google Scholar] [CrossRef]
- Zelĕnáková, A.; Hrubovćák, P.; Berkutova, A.; Šofranko, O.; Kučerka, N.; Ivankov, O.; Kuklin, A.; Girman, V.; Zelĕnčk, V. Gadolinium-oxide nanoparticles for cryogenic magnetocaloric applications. Sci. Rep. 2022, 12, 2282. [Google Scholar] [CrossRef]
- Patil, N.S.; Uphade, B.S.; Jana, P.; Bhargava, S.K.; Choudhary, V.R. Epoxidation of styrene by t-butyl hydroperoxide over gold supported on Yb2O3 and other rare earth oxides. Chem. Lett. 2004, 33, 400–401. [Google Scholar] [CrossRef]
- Behnamfar, M.T.; Hadadzadeh, H.; Akbarnejad, E.; Allafchian, A.R.; Assefi, M.; Khedri, N. Electrocatalytic reduction of CO2 to CO by Gd(III) and Dy(III) complexes; and M2O3 nanoparticles (M = Gd and Dy). J. CO2 Util. 2016, 13, 61–70. [Google Scholar] [CrossRef]
- Wang, J.; Qiu, S.; Cheng, L.; Chen, W.; Zhou, Y.; Zou, B.; Han, L.; Xu, Z.; Yang, W.; Hu, Y.; et al. Synergistic effects of aryl diazonium modified Few-Layer black Phosphorus/Ultrafine rare earth yttrium oxide with enhancing flame retardancy and catalytic smoke toxicity suppression of epoxy resin. Appl. Surf. Sci. 2022, 571, 151356. [Google Scholar] [CrossRef]
- Balabanov, S.S.; Permin, D.A.; Rostokina, E.Y.; Egorov, S.V.; Sorokin, A.A.; Kuznetsov, D.D. Synthesis and structural characterization of ultrafine terbium oxide powders. Ceram. Int. 2017, 43, 16569–16574. [Google Scholar] [CrossRef]
- Zhang, J.; Von Dreele, R.; Eyring, L. The structures of Tb7O12 and Tb11O20. J. Solid State Chem. 1993, 104, 21–32. [Google Scholar] [CrossRef]
- Traverse, J.P. Etude du Polymorphism des Sesquioxides de Terres Rares. Ph.D. Thesis, L’Univérsite Scientifique et Medicale de Grenoble, Grenoble, France, 1971; 150p. [Google Scholar]
- Foex, M.; Traverse, J.P. Remarques sur les transformation cristalines presentees a hautes temperature par les sesquioxides de terres rares. Rev. Intern. Hautes Temper. Refract. 1966, 3, 429–453. [Google Scholar]
- Adachi, G.-Y.; Imanaka, N. The binary rare earth oxides. Chem. Rev. 1998, 98, 1479–1514. [Google Scholar] [CrossRef]
- Kharton, V.V.; Figueiredo, F.M.; Navarro, L.; Naumovich, E.N.; Kovalevsky, A.V.; Yaremchenko, A.A.; Viskup, A.P.; Carneiro, A.; Marques, F.M.B.; Frade, J.R. Ceria-based materials for solid oxide fuel cells. J. Mater. Sci. 2001, 36, 1105–1117. [Google Scholar] [CrossRef]
- Mogensen, M.B.; Sammes, N.M.; Tompsett, G.A. Physical, chemical and electrochemical properties of pure and doped ceria. Solid State Ionics 2000, 129, 63–94. [Google Scholar] [CrossRef]
- Mandal, B.P.; Grover, V.; Tyagi, A.K. Phase relations, lattice thermal expansion in Ce1−xEuxO2−x/2 and Ce1−xSmxO2−x/2 systems and stabilization of cubic RE2O3 (RE: Eu, Sm). Mater. Sci. Eng. 2006, 430, 120–124. [Google Scholar] [CrossRef]
- Chavan, S.V.; Mathews, M.D.; Tyagi, A.K. Phase Relations and Thermal Expansion Studies in the Ceria–Yttria System. J. Am. Ceram. Soc. 2004, 87, 1977–1980. [Google Scholar] [CrossRef]
- Grover, V.; Tyagi, A.K. Phase relations, lattice thermal expansion in CeO2–Gd2O3 system, and stabilization of cubic gadolinia. Mater. Res. Bull. 2004, 39, 859–866. [Google Scholar] [CrossRef]
- Grover, V.; Achary, S.N.; Tyagi, A.K. Structural analysis of excess-anion C-type rare earth oxide: A case study with Gd1-xCexO1.5+x/2 (x = 0.20 and 0.40). J. Appl. Cryst. 2003, 36, 1082–1084. [Google Scholar] [CrossRef]
- Djenadic, R.; Sarkar, A.; Clemens, O.; Loho, C.; Botros, M.; Chakravadhanula, V.S.; Kübel, C.; Bhattacharya, S.S.; Ashutosh, S.; Gandhi, A.S.; et al. Multicomponent equiatomic rare earth oxides. Mater. Res. Lett. 2017, 5, 102–109. [Google Scholar] [CrossRef]
- Pianassola, M.; Loveday, M.; McMurray, J.W.; Koschan, M.; Melcher, C.L.; Zhuravleva, M. Solid-state synthesis of multicomponent equiatomic rare-earth oxides. J Am Ceram Soc. 2020, 103, 2908–2918. [Google Scholar] [CrossRef]
- Gild, J.; Samiee, M.; Braun, J.L.; Harrington, T.; Vega, H.; Hopkins, P.E.; Vecchio, K.; Luo, J. High-entropy fluorite oxides. J. Europ. Ceram. Soc. 2018, 38, 3578–3584. [Google Scholar] [CrossRef]
- Sarkar, A.; Loho, C.; Velasco, L.; Thomas, T.; Bhattacharya, S.S.; Hahn, H.; Djenadic, R. Multicomponent equiatomic rare earth oxides with a narrow band gap and associated praseodymium multivalency. Dalton Trans. 2017, 46, 12167–12176. [Google Scholar] [CrossRef]
- Akrami, S.; Edalati, P.; Fuji, M.; Edalati, K. High Entropy Ceramics: Review of principles, production, and applications. Mater. Sci. Eng. 2021, 146, 100644. [Google Scholar] [CrossRef]
- Ermakova, L.V.; Zhuravlev, V.D.; Khaliullin, S.M.; Vovkotrub, E.G. Thermal analysis of the products of SCS of zinc nitrate with glycine and citric acid. Thermochim. Acta 2021, 695, 178809. [Google Scholar] [CrossRef]
- Zhuravlev, V.D.; Ermakova, L.V.; Khaliullin, S.M.; Bamburov, V.G.; Patrusheva, T.A.; Porotnikova, N.M. Features of Copper(II) Oxide Synthesis in Combustion Reactions with Glycine and Citric Acid. Rus. J. Inorg Chem. 2022, 67, 790–798. [Google Scholar] [CrossRef]
- Shannon, R.D. Revised effective ionic radii and systematic studies of interatomic distances in halides and chalcogenides. Acta Cryst. 1976, A32, 751–767. [Google Scholar] [CrossRef]
- Roth, R.S.; Schneider, S.J. Phase Equilibria in Systems Involving the Rare-Earth Oxides. Part I. Polymorphism of the Oxides of the Trivalent Rare-Earth Ions. J. Res. NBS 1960, 64, 309. [Google Scholar] [CrossRef] [PubMed]
- Warshaw, J.; Roy, R. Polymorphism of the rare earth srsquioxides. J. Phys. Chem. 1961, 65, 2048–2051. [Google Scholar] [CrossRef]
- Shlyakhtina, A.V.; Vorobieva, G.A.; Shchegolikhin, A.N.; Leonov, A.V.; Kolbanev, I.V.; Streletskii, A.N. Phase Relations and Behavior of Carbon-Containing Impurities in Ceramics Prepared from Mechanically Activated Ln2O3 + 2HfO2 (Ln = Nd, Dy) Mixtures. Inorg. Mater. 2020, 56, 528–542. [Google Scholar] [CrossRef]









| Compound | a, Å | Refs. |
|---|---|---|
| Ce0.55Eu0.45O1.775 | 10.885(1) | [34] |
| Ce0.50Eu0.50O1.75 | 10.886(3) | |
| Ce0.45Eu0.55O1.725 | 10.886(8) | |
| Ce0.40Eu0.60O1.70 | 10.886(1) | |
| Ce0.30Eu0.70O1.65 | 10.887(1) | |
| Ce0.25Eu0.75O1.625 | 10.886(1) | |
| Ce0.20Eu0.80O1.60 | 10.884(2) | |
| Ce0.10Eu0.90O1.55 | 10.883(6) | |
| Ce0.50Sm0.50O1.75 | 10.914(1) | |
| Ce0.40Sm0.60O1.70 | 10.917(2) | |
| Ce0.30Sm0.70O1.65 | 10.920(2) | |
| YO1.5 | 10.604(1) | [35] |
| Ce0.50Gd0.50O1.75 | 10.862(2) | [36,37] |
| Ce0.40Gd0.60O1.70 | 10.854(3) | |
| Ce0.30Gd0.70O1.65 | 10.855(1) | |
| Ce0.20Gd0.80O1.60 | 10.849(1) | |
| Ce0.15Gd0.85O1.575 | 10.838(1) | |
| Ce0.10Gd0.90O1.55 | 10.837(1) | |
| Ce0.05Gd0.95O1.525 | 10.831(1) | |
| [(Y1-xGdx)0.99Dy0.01]2O3 (x = 0 and 0.4) | 10.483–10.567 | [9] |
| Compound | a, Å | T, °C | Refs. |
|---|---|---|---|
| Ce1/3La1/3 Nd1/3Pr1/3Sm1/3Y1/3O3.16 | 10.9652(2) | 1000 | [38] |
| Ce1/3Gd1/3 Nd1/3Pr1/3Sm1/3Y1/3O3.16 | 10.9319(3) | [38] | |
| Ce0.4La0.4 Pr0.4Sm0.4Y0.4O3.2 | 10.9957(8) | 1000 | [38] |
| Gd0.4Tb0.4Dy0.4Ho0.4Er0.4O3 | 10.66029(8) | 1200 | [39] |
| Ce0.4La0.4Pr0.4Sm0.4Y0.4O3 | 10.919 | [39] | |
| Ce0.5La0.5Sm0.5Y0.5O3,25 | 10.961 | [39] | |
| Yb0.118Lu0.464Y1.418O3 | 10.538 | 180 | [5] |
| Ce2/3Gd2/3La2/3O3.33 | 11.038 | 1400 | [39] |
| ESO | Composition | Fuel | Phase C-Type, wt. % | rav, Å [45] | ||
|---|---|---|---|---|---|---|
| φgl | φcitr | 700 °C | 1250 °C | |||
| 1-1 | Nd0.25Sm0.25Eu0.25Gd0.25Dy0.5Ho0.5O3 | 0.9 | 0.1 | 82.7 | 0.9313 | |
| 1-2 | 0.8 | 0.2 | 92.2 | |||
| 1-3 | 0.5 | 0.5 | 100 | 100 | ||
| 1-4 | 0.4 | 0.5 | 100 | 100 | ||
| 2-1 | Nd0.5Sm0.5Eu0.25Gd0.25Dy0.25Ho0.25O3 | 0.7 | 0.3 | 7.6 | 0.9475 | |
| 2-2 | 0.5 | 0.6 | 100 | 25.6 | ||
| 2-3 | 0.5 | 0.2 | 100 | 28.0 | ||
| 2-4 | 0.4 | 0.6 | 100 | 21.9 | ||
| 3 | Nd0.4Sm0.3Gd0.4Dy0.5Ho0.4O3 | 0.4 | 0.5 | 100 | 100 | 0.9355 |
| 4 | Nd0.4Sm0.2Gd0.4Dy0.5Ho0.5O3 | 0.4 | 0.5 | 99.4 | 98.3 | 0.9325 |
| 5 | Nd0.4Sm0.4Gd0.4Dy0.4Ho0.4O3 | 0.4 | 0.5 | 98.2 | 99.4 | 0.9380 |
| 6-1 | Nd0.5Sm0.5Gd0.5Dy0.5O3 | 0.4 | 0.5 | 27.5 | 0.9475 | |
| 6-2 | 0.5 | 0.6 | 100 | 22.4 | ||
| 6-3 | 0.4 | 0.6 | 100 | 40.4 | ||
| ESO | Composition | a, Å | T, °C C→B(H) |
|---|---|---|---|
| 1-4 | Nd0.25Sm0.25Eu0.25Gd0.25Dy0.5Ho0.5O3 | 10.787(1) | 1313 |
| 2-3 | Nd0.5Sm0.5Eu0.25Gd0.25Dy0.25Ho0.25O3 | 10.881(1) | 993 |
| 3 | Nd0.4Sm0.3Gd0.4Dy0.5Ho0.4O3 | 10.795(1) | 1282 |
| 6-3 | Nd0.5Sm0.5Gd0.5Dy0.5O3 | 10.878(1) | 1002 |
| ESO | Composition | −ΔP, % | ΔT, °C | +ΔP, % | Exo-Effect Temperature T, °C |
|---|---|---|---|---|---|
| 1-2 | Nd0.25Sm0.25Eu0.25Gd0.25Dy0.5Ho0.5O3 | 0.9 | 20–1100 | 1154; 1205 | |
| 1-4 | 0.85 | 20–1250 | 1074; 1197 | ||
| 2 | Nd0.5Sm0.5Eu0.25Gd0.25Dy0.25Ho0.25O3 | 0.99 | 20–1025 | ||
| 3 | Nd0.4Sm0.3Gd0.4Dy0.5Ho0.4O3 | 0.52 | 20–800 | 0.18 | 953; 1163 |
| 4 | Nd0.4Sm0.2Gd0.4Dy0.5Ho0.5O3 | 0.43 | 20–800 | 0.04 | 856; 1101 |
| 5 | Nd0.4Sm0.4Gd0.4Dy0.4Ho0.4O3 | 0.88 | 20–1250 | 1246 | |
| 6-2 | Nd0.5Sm0.5Gd0.5Dy0.5O3 | 1.53 | 20–1250 | 996; 1092 |
| ESO | Composition | ρ, % | ϕ, % | Hv, GPa |
|---|---|---|---|---|
| 1-3 | Nd0.25Sm0.25Eu0.25Gd0.25Dy0.5Ho0.5O3 | 79.9 | 20.1 | 3.5 |
| 1-4 | 92.6 | 7.4 | 5.1 | |
| 2-2 | Nd0.5Sm0.5Eu0.25Gd0.25Dy0.25Ho0.25O3 | 75.9 | 24.1 | 4.4 * |
| 2-3 | 92.2 | 7.8 | 5.3 * | |
| 3 | Nd0.4Sm0.3Gd0.4Dy0.5Ho0.4O3 | 71.9 | 28.1 | 4.5 |
| 4 | Nd0.4Sm0.2Gd0.4Dy0.5Ho0.5O3 | 64.8 | 35.2 | 2.6 |
| 5 | Nd0.4Sm0.4Gd0.4Dy0.4Ho0.4O3 | 78.4 | 21.6 | 5.7 |
| 6-2 | Nd0.5Sm0.5Gd0.5Dy0.5O3 | 69.0 | 31.0 | 3.1 * |
| 6-3 | 69.7 | 30.3 | 3.8 * |
Disclaimer/Publisher’s Note: The statements, opinions and data contained in all publications are solely those of the individual author(s) and contributor(s) and not of MDPI and/or the editor(s). MDPI and/or the editor(s) disclaim responsibility for any injury to people or property resulting from any ideas, methods, instructions or products referred to in the content. |
© 2023 by the authors. Licensee MDPI, Basel, Switzerland. This article is an open access article distributed under the terms and conditions of the Creative Commons Attribution (CC BY) license (https://creativecommons.org/licenses/by/4.0/).
Share and Cite
Zhuravlev, V.; Ermakova, L.; Samigullina, R.; Ermakov, A. Preparation and Mechanical Characteristics of Multicomponent Ceramic Solid Solutions of Rare Earth Metal Oxides Synthesized by the SCS Method. Ceramics 2023, 6, 1017-1030. https://doi.org/10.3390/ceramics6020060
Zhuravlev V, Ermakova L, Samigullina R, Ermakov A. Preparation and Mechanical Characteristics of Multicomponent Ceramic Solid Solutions of Rare Earth Metal Oxides Synthesized by the SCS Method. Ceramics. 2023; 6(2):1017-1030. https://doi.org/10.3390/ceramics6020060
Chicago/Turabian StyleZhuravlev, Victor, Larisa Ermakova, Rina Samigullina, and Alexey Ermakov. 2023. "Preparation and Mechanical Characteristics of Multicomponent Ceramic Solid Solutions of Rare Earth Metal Oxides Synthesized by the SCS Method" Ceramics 6, no. 2: 1017-1030. https://doi.org/10.3390/ceramics6020060
APA StyleZhuravlev, V., Ermakova, L., Samigullina, R., & Ermakov, A. (2023). Preparation and Mechanical Characteristics of Multicomponent Ceramic Solid Solutions of Rare Earth Metal Oxides Synthesized by the SCS Method. Ceramics, 6(2), 1017-1030. https://doi.org/10.3390/ceramics6020060

