Red and Black Paints on Prehistoric Pottery of the Southern Russian Far East: An Archaeometric Study
Abstract
1. Introduction
2. Archaeological Background
3. Materials and Methods
3.1. Samples
3.2. Methods
4. Results and Discussion
4.1. Red Paint
4.1.1. Samples R1–R6
4.1.2. Ochre Samples O1, O2
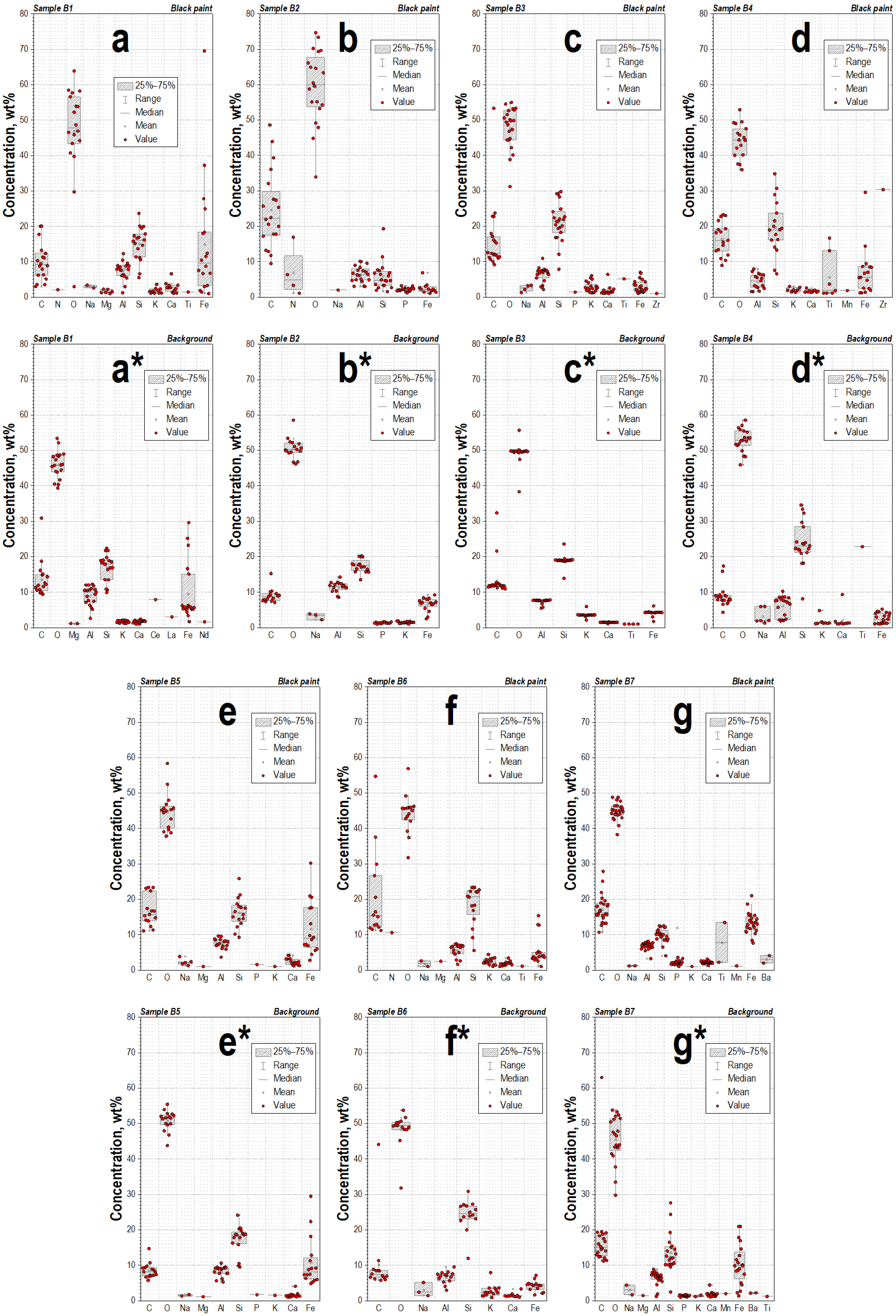
4.2. Black Paint
5. Conclusions
Author Contributions
Funding
Informed Consent Statement
Data Availability Statement
Acknowledgments
Conflicts of Interest
References
- Stewart, J.D.; Adams, K.R. Evaluating visual criteria for identifying carbon- and iron-based paints from the Four Corner region using SEM-EDS. Am. Antiq. 1999, 64, 675–696. [Google Scholar] [CrossRef]
- Van der Weerd, J.; Smith, G.D.; Firth, S.; Clark, R.J.H. Identification of black pigments on prehistoric Southwest American potsherds by infrared and Raman microscopy. J. Archaeol. Sci. 2004, 31, 1429–1437. [Google Scholar] [CrossRef]
- Pérez, J.M.; Esteve-Tébar, R. Pigment identification in Greek pottery by Raman microspectroscopy. Archaeometry 2004, 46, 607–614. [Google Scholar] [CrossRef]
- Tsirtsoni, Z.; Malamidou, D.; Kilikoglou, V.; Karatasios, I.; Lespez, L. Black-on-red painted pottery production and distribution in Late Neolithic Macedonia. In Archaeometric and Archaeological Approaches to Ceramics; BAR International Series 1691; Waksman, S.Y., Ed.; BAR Publishing: London, UK, 2007; pp. 57–62. [Google Scholar]
- Bugoi, R.; Constantinescu, B.; Pantos, E.; Popovicí, D. Investigation of Neolithic ceramic pigments using synchrotron radiation X-ray diffraction. Powder Diffr. 2008, 23, 195–199. [Google Scholar] [CrossRef]
- Buzgar, N.; Bodi, G.; Aştefanei, D.; Buzatu, A. The Raman study of white, red and black pigments used in Cucuteni Neolithic painted ceramics. An. Ştintifice Ale Univ. Al. Cuza IAŞI Geol. 2010, 56, 5–14. [Google Scholar]
- Iordanidis, A.; Garcia-Guinea, J. A preliminary investigation of black, brown and red coloured potsherds from ancient Upper Macedonia, Northern Greece. Mediterranean Archaeol. Archaeom. 2011, 11, 85–97. [Google Scholar]
- Pendleton, M.W.; Washburn, D.K.; Ellis, E.A.; Pendleton, B.B. Distinguishing between Mineral Paint and Carbon Paint on Ancestral Puebloan Pottery. Microsc. Today 2012, 20, 32–36. [Google Scholar] [CrossRef]
- Liu, Z.; Han, Y.; Han, L.; Cheng, Y.; Ma, Y.; Fang, L. Micro-Raman analysis of the pigments on painted pottery figurines from two tombs of the Northern Wei Dynasty in Luoyang. Spectrochima Acta Part A Mol. Boimolecular Spectrosc. 2013, 109, 42–46. [Google Scholar] [CrossRef]
- Jadot, E.; Schiavon, N.; Manso, M. The ceramics of Malpaís of Zacupu, Michoacán, Mexico, during the Early and Middle Postclassic periods (900-1450 AD): Micro-chemical characterization of surface painting. Specrochimica Acta Part B At. Spectrosc. 2016, 119, 10–16. [Google Scholar] [CrossRef]
- Rosado, L.; Van Pevenage, J.; Vandenabeele, P.; Candeias, A.; Lopes, M.D.C.; Tavares, D.; Alfenim, R.; Schiavon, N.; Mirão, J. Multi-analytical study of ceramic pigments application in the study of Iron Age decorated pottery from SW Iberia. Measurement 2018, 118, 262–274. [Google Scholar] [CrossRef]
- Puente, V.; Porto López, J.M.; Desimone, P.M.; Botta, P.M. The persistence of the black colour in magnetite-based pigments in prehistoric ceramics of the Argentine north-west. Archaeometry 2019, 61, 1066–1080. [Google Scholar] [CrossRef]
- Spataro, M.; Cubas, M.; Craig, O.E.; Chapman, J.C.; Boronent, A.; Bonsall, C. Production and function of Neolithic black-painted pottery from Schela Cladovei (Iron Gates, Romania). Archaeol. Anthropol. Sci. 2019, 11, 6287–6304. [Google Scholar] [CrossRef]
- Oliveira, L.S.S.; Abreu, C.M.; Ferreira, F.C.L.; Lopes, R.C.A.; Almeida, F.O.; Tamanaha, E.K.; Belletti, J.S.; Machado, R.; Rizzutto, M.A.; Souza, D.N. Archeometric study of pottery shards from Conjunto Vilas and Sāo Joāo, Amazon. Radiat. Phys. Chem. 2020, 167, 108303. [Google Scholar] [CrossRef]
- Li, Y.; Wu, S.; Yang, J. Multi-analytical investigation of decorative coatings on Neolithic Yangshao pottery from Ningxia, China (4000–3000 BCE). J. Eur. Ceram. Soc. 2021, 41, 6744–6755. [Google Scholar] [CrossRef]
- Andreeva, Z.V.; Zhushchikhovskaya, I.S.; Kononenko, N.A. Yankovskaya Culture; Len`kov, V.D., Ed.; Nauka Publishing: Moscow, Russia, 1986. (In Russian) [Google Scholar]
- Popov, A.N.; Zhushchikhovskaya, I.S.; Nikitin, Y.G. Paleometal Epoch in the Primorye (south of the Far East of Russia). World Archaeol. 2019, 51, 382–407. [Google Scholar] [CrossRef]
- Zhushchikhovskaya, I. Ceramics-Firing Kilns of the Southern Russian Far East: Technological and Temporal Dynamics. In Kilns in East and North Asia: The Adoption of Ceramic Industries; BAR International Series 3082; Nagatomo, T., Shinoto, M., Nakamura, D., Eds.; BAR Publishing: Oxford, UK, 2022; Volume 7, pp. 133–150. [Google Scholar]
- Zhushchikhovskaya, I. A non-ordinary goods complex of the paleometal period in the southern Russian Far East. Archaeol. Res. Asia 2018, 16, 34–45. [Google Scholar] [CrossRef]
- Obata, H.; Vostretsov, Y.E.; Miyamoto, K.; Shiba, R.; Furusawa, Y.; Kamikawa, M.; Kim, E. Archaeological collections in the Posiet Bay; Shimoda Print Joint Stock Company Publishing: Kumamoto, Japan, 2007. [Google Scholar]
- Gulbina, A.A.; Zhushchikhovskaya, I.S. The Museum “The Sea Nature and Its Protection”. Bull. Far East. Branch Russ. Acad. Sci. 2003, 4, 175–179. (In Russian) [Google Scholar]
- Zhushchikhovskaya, I.S.; Artemieva, N.G.; Korovnik, M.; Nikitin, Y.G. Ceramics assemblages of sites of Yankovskaya culture at eastern seacoast of Ussuriisky Bay. In Russias Far East and Ecuador: Finds and Problems. Pacific Archaeology Series; Brodyanskiy, D.L., Ed.; FEFU Publishing: Vladivostok, Russia, 2013; Volume 27, pp. 81–116. (In Russian) [Google Scholar]
- Shepard, A.O. Ceramics for the Archaeologist; Carnegie Institution Publishing: Washington, DC, USA, 1985. [Google Scholar]
- Ortega, M.; Ascencio, J.A.; Reza, C.; Fernández, M.E.; López, L.; José-Yacamán, M. Analysis of prehistoric pigments from ‘Templo Mayor’ of Mexico City. J. Mater. Sci. 2001, 36, 751–756. [Google Scholar] [CrossRef]
- Pomiés, M.-P.; Menu, M.; Vignaud, C. Red Palaeolithic pigments: Natural hematite or heated goethite? Archaeometry 1999, 41, 275–285. [Google Scholar] [CrossRef]
- Goldman, A.R.; Asenath-Smith, E.; Estroff, L.A. Mosaic anisotropy model for magnetic interactions in mesostructured crystals. APL Mater. 2017, 5, 104901. [Google Scholar] [CrossRef]
- Hall, M.; Amraatuvshin, C.; Erdenbat, E. X-ray fluorescence analysis of pottery from Northern Mongolia. J. Radioanal. Nucl. Chem. 1999, 240, 763–773. [Google Scholar] [CrossRef]
- Rosso, D.E.; Pitarch Martí, A.; d’Errico, F. Middle Stone Age Ochre Processing and Behavioural Complexity in the Horn of Africa: Evidence from Porc-Epic Cave, Dire Dawa, Ethiopia. PLoS ONE 2016, 11, e0164793. [Google Scholar] [CrossRef] [PubMed]
- Holliday, V.T.; Gartner, W.G. Methods of soil P analysis in archaeology. J. Archaeol. Sci. 2007, 34, 301–333. [Google Scholar] [CrossRef]
- Hanesch, M. Raman spectroscopy of iron oxides and (oxy)hydroxides at low laser power and possible applications in environmental magnetic studies. Geophys. J. Int. 2009, 177, 941–948. [Google Scholar] [CrossRef]
- Needham, A.; Croft, S.; Kröger, R.; Robson, H.K.; Rowley, C.C.A.; Taylor, B.; Gray Jones, A.; Conneller, C. The application of micro-Raman for the analysis of ochre artefacts from Mesolithic palaeo-lake Flixton. J. Archaeol. Sci. Rep. 2018, 17, 650–656. [Google Scholar] [CrossRef]
- Goodall, R.A.; Hall, J.; Viel, R.; Fredericks, P.M. A Spectroscopic Investigation of Pigment and Ceramic Samples from Copán, Honduras. Archaeometry 2009, 51, 95–109. [Google Scholar] [CrossRef]
- Hernanz, A.; Bratu, I.; Marutoiu, O.F.; Marutoiu, C.; Gavira-Vallejo, J.M.; Edwards, H.G.M. Micro-Raman spectroscopic investigation of external wall paintings from St. Dumitru’s Church, Suceava, Romania. Anal. Bioanal. Chem. 2008, 392, 263–268. [Google Scholar] [CrossRef]
- Braadbaart, F.; Poole, I.; Huisman, H.D.J.; Van Os, B. Fuel, Fire and Heat: An experimental approach to highlight the potential of studying ash and char remains from archaeological contexts. J. Archaeol. Sci. 2012, 39, 836–847. [Google Scholar] [CrossRef]
- Hradil, D.; Grygar, T.; Hradilová, J.; Bezdička, P. Clay and iron oxide pigments in the history of painting. Appl. Clay Sci. 2003, 22, 223–236. [Google Scholar] [CrossRef]
- Gil, M.; Carvalho, M.L.; Seruya, A.; Candeias, A.E.; Mirāo, J.; Queralt, I. Yellow and red ochre pigments from southern Portugal: Elemental composition and characterization by WDXRF and XRD. Nucl. Instrum. Methods Phys. Res. Sect. A Accel. Spectrometers Detect. Assoc. Equip. 2007, 580, 728–731. [Google Scholar] [CrossRef]
- Sidorenko, A.V. (Ed.) Geology of USSR; Nedra Publishing: Moscow, Russia, 1974. (In Russian) [Google Scholar]
- Zhushchikhovskaya, I.S. Prehistoric Pottery-Making of the Russian Far East; BAR International Series 1434; Bland, R.L., Aikens, C.M., Eds.; Archaeopress: Oxford, UK, 2005. [Google Scholar] [CrossRef]
- Siddall, R. Mineral Pigments in Archaeology: Their Analysis and the Range of Available Materials. Minerals 2018, 8, 201. [Google Scholar] [CrossRef]
- Li, T.; Li, G.; Li, Z.; Wu, T.; Tian, H.; Shan, S.; Wang, L. Surface treatment of red painted and slipped wares in the middle Yangtze River valley of Late Neolithic China: Multi-analytical case analysis. Herit. Sci. 2022, 10, 188. [Google Scholar] [CrossRef]
- Turaev, V.A. (Ed.) History and Culture of the Nanai People; Nauka Publishing: Saint-Petersburg, Russia, 2003; ISBN 5-02-027073-3. (In Russian) [Google Scholar]
- Bokobza, L.; Bruneel, J.-L.; Couzi, M. Raman Spectra of Carbon-Based Materials (from Graphite to Carbon Black) and of Some Silicone Composites. J. Carbon Res. 2015, 1, 77–94. [Google Scholar] [CrossRef]
- Tarnowski, C.P.; Ignelzi, M.A., Jr.; Morris, M.D. Mineralization of Developing Mouse Calvaria as Revealed by Raman Microspectroscopy. J. Bone Miner. Res. 2002, 17, 1118–1126. [Google Scholar] [CrossRef] [PubMed]
- Tomasini, E.P.; Halac, E.B.; Reinoso, M.; Di Lisciab, E.J.; Maiera, M.S. Micro-Raman spectroscopy of carbon-based black pigments. J. Raman Spectrosc. 2012, 43, 1671–1675. [Google Scholar] [CrossRef]
- Burgio, L.; Clark, R.J.H. Library of FT-Raman spectra of pigments, minerals, pigment media and varnishes, and supplement to existing library of Raman spectra of pigments with visible excitation. Spectrochima Acta Part A Mol. Biomol. Spectrosc. 2001, 57, 1491–1521. [Google Scholar] [CrossRef] [PubMed]
- Menovshchikov, G.A. Eskimo Tales and Legends; Nauka Publishing: Moscow, Russia, 1988. (In Russian) [Google Scholar]

















| Sample | Al Concentration (wt.%) | Si Concentration (wt.%) | ||
|---|---|---|---|---|
| Range | Mean | Range | Mean | |
| O1 (ochre) | 1.02–4.65 | 1.63 | 1.26–31.54 | 11.92 |
| O2 (ochre) | 1.13–8.03 | 1.90 | 1.14–24.60 | 9.17 |
| R5 (paint) | 4.41–13.78 | 10.72 | 6.41–17.79 | 10.21 |
| R6 (paint) | 3.54–11.37 | 6.46 | 8.78–22.92 | 14.84 |
Disclaimer/Publisher’s Note: The statements, opinions and data contained in all publications are solely those of the individual author(s) and contributor(s) and not of MDPI and/or the editor(s). MDPI and/or the editor(s) disclaim responsibility for any injury to people or property resulting from any ideas, methods, instructions or products referred to in the content. |
© 2023 by the authors. Licensee MDPI, Basel, Switzerland. This article is an open access article distributed under the terms and conditions of the Creative Commons Attribution (CC BY) license (https://creativecommons.org/licenses/by/4.0/).
Share and Cite
Zhushchikhovskaya, I.S.; Buravlev, I.Y.; Karpenko, A.A.; Lazina, A.A.; Fedorets, A.N. Red and Black Paints on Prehistoric Pottery of the Southern Russian Far East: An Archaeometric Study. Ceramics 2023, 6, 1078-1099. https://doi.org/10.3390/ceramics6020064
Zhushchikhovskaya IS, Buravlev IY, Karpenko AA, Lazina AA, Fedorets AN. Red and Black Paints on Prehistoric Pottery of the Southern Russian Far East: An Archaeometric Study. Ceramics. 2023; 6(2):1078-1099. https://doi.org/10.3390/ceramics6020064
Chicago/Turabian StyleZhushchikhovskaya, Irina S., Igor Yu Buravlev, Aleksander A. Karpenko, Anastasia A. Lazina, and Aleksander N. Fedorets. 2023. "Red and Black Paints on Prehistoric Pottery of the Southern Russian Far East: An Archaeometric Study" Ceramics 6, no. 2: 1078-1099. https://doi.org/10.3390/ceramics6020064
APA StyleZhushchikhovskaya, I. S., Buravlev, I. Y., Karpenko, A. A., Lazina, A. A., & Fedorets, A. N. (2023). Red and Black Paints on Prehistoric Pottery of the Southern Russian Far East: An Archaeometric Study. Ceramics, 6(2), 1078-1099. https://doi.org/10.3390/ceramics6020064

