Synthesis and Characterization of Nd:YAG Ceramics for Laser Applications
Abstract
:1. Introduction
2. Materials and Methods
3. Results
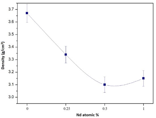
3.1. Density
3.2. Particle Size
3.3. Crystalline Structure
3.4. Fourier Transform Infrared Spectroscopy
3.5. Absorption Spectrum
3.6. Emission Spectrum
3.7. Microstructure
4. Conclusions
Author Contributions
Funding
Institutional Review Board Statement
Informed Consent Statement
Data Availability Statement
Acknowledgments
Conflicts of Interest
References
- Nakai, S.; Mima, K. Laser driven inertial fusion energy: Present and prospective. Rep. Prog. Phys. 2004, 67, 321–349. [Google Scholar] [CrossRef]
- Ikesue, A.; Aung, Y.L.; Taira, T.; Kamimura, T.; Yoshida, K.; Messing, G.L. Progress in ceramic lasers. Annu. Rev. Mater. Res. 2006, 36, 397–429. [Google Scholar] [CrossRef]
- Ikesue, A.; Aung, Y.L. Ceramic laser materials. Nat. Photon. 2008, 2, 721–727. [Google Scholar] [CrossRef]
- Li, C.-Q.; Zuo, H.-B.; Zhang, M.-F.; Han, J.-C.; Meng, S.-H. Fabrication of transparent YAG ceramics by traditional solid-state-reaction method. Trans. Nonferrous Met. Soc. China 2007, 17, 148–153. [Google Scholar] [CrossRef]
- Park, J.; Joo, J.; Kwon, S.G.; Jang, Y.; Hyeon, T. Synthesis of Monodisperse Spherical Nanocrystals. Angew. Chem. Int. Ed. 2007, 46, 4630–4660. [Google Scholar] [CrossRef]
- Boulesteix, R.; Maître, A.; Baumard, J.-F.; Sallé, C.; Rabinovitch, Y. Mechanism of the liquid-phase sintering for Nd:YAG ceramics. Opt. Mater. 2009, 31, 711–715. [Google Scholar] [CrossRef]
- Kostić, S.; Lazarević, Z.; Radojević, V.; Milutinović, A.; Romčević, M.; Romčević, N.; Valčić, A. Study of structural and optical properties of YAG and Nd:YAG single crystals. Mater. Res. Bull. 2015, 63, 80–87. [Google Scholar] [CrossRef]
- Jing, W.; Li, F.; Yu, S.; Ji, X.; Xu, T.; Zhang, J.; Pan, Z.; Yuan, Z.; Kang, B.; Deng, J.; et al. High efficiency synthesis of Nd:YAG powder by a spray co-precipitation method for transparent ceramics. J. Eur. Ceram. Soc. 2018, 38, 2454–2461. [Google Scholar] [CrossRef]
- Mohammadi, F.; Mirzaee, O.; Tajally, M. Influence of solid loading on the rheological, porosity distribution, optical and the microstructural properties of YAG transparent ceramic. Ceram. Int. 2018, 44, 12098–12105. [Google Scholar] [CrossRef]
- Smith, N.A.; Mackenzie, M.D.; Morris, J.M.; Kar, A.K.; Bookey, H.T. Nd:YAG laser rod manufactured by femtosecond laser-induced chemical etching. Opt. Mater. Express 2021, 11, 3946. [Google Scholar] [CrossRef]
- Wang, L.; Zhao, F.; Zhang, M.; Hou, T.; Li, Z.; Pan, C.; Huang, H. Preparation and photoluminescence properties of YAG:Ce3+ phosphors by a series of amines assisted co-precipitation method. J. Alloy. Compd. 2016, 661, 148–154. [Google Scholar] [CrossRef]
- Kosyanov, D.; Yavetskiy, R.P.; Tolmachev, A.; Vornovskikh, A.; Pogodaev, A.; Gridasova, E.; Shichalin, O.; Kaidalova, T.; Kuryavyi, V. Fabrication of highly-doped Nd3+:YAG transparent ceramics by reactive SPS. Ceram. Int. 2018, 44, 23145–23149. [Google Scholar] [CrossRef]
- Kosyanov, D.; Liu, X.; Vornovskikh, A.; Kosianova, A.; Zakharenko, A.; Zavjalov, A.; Shichalin, O.; Mayorov, V.; Kuryavyi, V.; Qian, X.; et al. Al2O3–Ce:YAG and Al2O3–Ce:(Y,Gd)AG composite ceramics for high brightness lighting: Effect of microstructure. Mater. Charact. 2021, 172, 110883. [Google Scholar] [CrossRef]
- Chrétien, L.; Boulesteix, R.; Maître, A.; Sallé, C.; Reignoux, Y. Post-sintering treatment of neodymium-doped yttrium aluminum garnet (Nd:YAG) transparent ceramics. Opt. Mater. Express 2014, 4, 2166. [Google Scholar] [CrossRef]
- Su, Y.; Xin, M.; Chen, X.; Xing, W. Effect of CAD-CAM ceramic materials on the color match of veneer restorations. J. Prosthet. Dent. 2021, 126, 255.e1–255.e7. [Google Scholar] [CrossRef]
- du Merac, M.R. Transparent Ceramics: Materials, Processing, Properties and Applications. In Encyclopedia of Materials: Technical Ceramics and Glasses; Pomeroy, M., Ed.; Elsevier: Amsterdam, The Netherlands, 2021. [Google Scholar]
- Vorona, I.; Balabanov, A.; Dobrotvorska, M.; Yavetskiy, R.; Kryzhanovska, O.; Kravchenko, L.; Parkhomenko, S.; Mateychenko, P.; Baumer, V.; Matolínová, I. Effect of MgO doping on the structure and optical properties of YAG transparent ceramics. J. Eur. Ceram. Soc. 2020, 40, 861–866. [Google Scholar] [CrossRef]
- Jia, W.; Su, C.; Zhang, H.; Zou, X.; Ren, G.; Wei, Q.; Zhao, M.; Ma, C. Quantitative relationship between microstructure and mechanical properties in Nd: YAG transparent ceramics. Ceram. Int. 2021, 47, 12144–12152. [Google Scholar] [CrossRef]
- Jiang, N.; Ouynag, C.; Liu, Y.; Li, W.; Fu, Y.; Xie, T.; Liu, Q.; Pan, Y.; Li, J. Effect of air annealing on the optical properties and laser performance of Yb:YAG transparent ceramics. Opt. Mater. 2019, 95, 109203. [Google Scholar] [CrossRef]
- Kosyanov, D.; Vornovskikh, A.; Zakharenko, A.; Gridasova, E.; Yavetskiy, R.; Dobrotvorskaya, M.; Tolmachev, A.; Shichalin, O.; Papynov, E.; Ustinov, A.; et al. Influence of sintering parameters on transparency of reactive SPSed Nd3+:YAG ceramics. Opt. Mater. 2021, 112, 110760. [Google Scholar] [CrossRef]
- ASTM C20-00; Standard Test Methods for Apparent Porosity, Water Absorption, Apparent Specific Gravity, and Bulk Density of Burned Refractory Brick and Shapes by Boiling Water. American Society for Testing and Materials: West Conshohocken, PA, USA, 2010.
- Golubovic, A.; Nikolic, S.; Gajic, R.; Djuric, S.; Valcic, A. The growth of Nd: YAG single crystals. J. Serbian Chem. Soc. 2002, 67, 291–300. [Google Scholar] [CrossRef]
- Golubovic, A.; Nikolic, S.; Gajic, R.; Dohcevic-Mitrovic, Z.; Valcic, A. Growth and IR Spectra of YAG and Nd:YAG Single Crystals. J. Metal. 2004, 10, 363–370. [Google Scholar]
- Okhapkin, M.; Skvortsov, M.; Belkin, A.; Bagayev, S. Tunable single-frequency diode-pumped Nd:YAG ring laser at 946 nm. Opt. Commun. 2001, 194, 207–211. [Google Scholar] [CrossRef]
- Vachiramon, V.; Iamsumang, W.; Triyangkulsri, K. Q-switched double frequency Nd:YAG 532-nm nanosecond laser vs. double frequency Nd:YAG 532-nm picosecond laser for the treatment of solar lentigines in Asians. Lasers Med. Sci. 2018, 33, 1941–1947. [Google Scholar] [CrossRef] [PubMed]
- Yang, Y.; Xia, Z.; Guo, L.; Wu, Q.; Zhang, M.; Zeng, R.; An, Y.; Xie, Y.; Wei, W.; Ge, Y.; et al. Comparison of the efficacy and safety of a picosecond frequency-doubled 532-nm Nd: YAG Laser and a Q-switched frequency-doubled 532-nm Nd: YAG Laser for the treatment of ephelides: A randomized, split-lesion, double-center, controlled trial. J. Cosmet. Dermatol. 2023, 22, 712–714. [Google Scholar] [CrossRef] [PubMed]
- Zhu, Y.; Yu, L.; Fu, X. Tunable continuous-wave laser operation of Nd:YAG around 1.3 μm. Laser Phys. 2023, 33, 055004. [Google Scholar] [CrossRef]









| Nd Atomic % | Lattice Parameter |
|---|---|
| 0 | 11.9604 |
| 0.25 | 11.9712 |
| 0.5 | 11.9771 |
| 1 | 11.9814 |
Disclaimer/Publisher’s Note: The statements, opinions and data contained in all publications are solely those of the individual author(s) and contributor(s) and not of MDPI and/or the editor(s). MDPI and/or the editor(s) disclaim responsibility for any injury to people or property resulting from any ideas, methods, instructions or products referred to in the content. |
© 2023 by the authors. Licensee MDPI, Basel, Switzerland. This article is an open access article distributed under the terms and conditions of the Creative Commons Attribution (CC BY) license (https://creativecommons.org/licenses/by/4.0/).
Share and Cite
Echartea-Reyes, O.A.; Vázquez, G.V.; Castillo-Robles, J.A.; López-Hernández, J.; Calles-Arriaga, C.A.; Pech-Rodríguez, W.J.; Rocha-Rangel, E. Synthesis and Characterization of Nd:YAG Ceramics for Laser Applications. Ceramics 2023, 6, 1655-1666. https://doi.org/10.3390/ceramics6030102
Echartea-Reyes OA, Vázquez GV, Castillo-Robles JA, López-Hernández J, Calles-Arriaga CA, Pech-Rodríguez WJ, Rocha-Rangel E. Synthesis and Characterization of Nd:YAG Ceramics for Laser Applications. Ceramics. 2023; 6(3):1655-1666. https://doi.org/10.3390/ceramics6030102
Chicago/Turabian StyleEchartea-Reyes, Olga Alondra, Gloria Verónica Vázquez, José Adalberto Castillo-Robles, Juan López-Hernández, Carlos Adrián Calles-Arriaga, Wilian Jesús Pech-Rodríguez, and Enrique Rocha-Rangel. 2023. "Synthesis and Characterization of Nd:YAG Ceramics for Laser Applications" Ceramics 6, no. 3: 1655-1666. https://doi.org/10.3390/ceramics6030102
APA StyleEchartea-Reyes, O. A., Vázquez, G. V., Castillo-Robles, J. A., López-Hernández, J., Calles-Arriaga, C. A., Pech-Rodríguez, W. J., & Rocha-Rangel, E. (2023). Synthesis and Characterization of Nd:YAG Ceramics for Laser Applications. Ceramics, 6(3), 1655-1666. https://doi.org/10.3390/ceramics6030102

