An Integrated Grassland Fire-Danger-Assessment System for a Mountainous National Park Using Geospatial Modelling Techniques
Abstract
1. Introduction
2. Materials and Methods
2.1. Study Area
2.2. Data Acquisition
2.2.1. Historical Fires
2.2.2. Grassland Fuel
2.2.3. Topographic Data
2.2.4. Soil Properties Data
2.2.5. Climatic/Weather Data
2.2.6. Fire Ignition Data
2.3. Wildfire Detection
2.4. Multicollinearity Analysis
2.5. Fire-Danger-Assessment Techniques
2.5.1. Weight of Evidence (WoE)
2.5.2. Frequency Ratio (FR)
2.5.3. Logistic Regression (LR)
2.5.4. Decision Tree (DT)
2.5.5. Random Forest (RF)
2.5.6. Support Vector Machine (SVM)
2.6. The Development of Fire-Danger Maps
2.7. Model Performance Assessment
2.8. The Importance and Contribution of Driving Factors in Fire-Danger Modelling
2.9. Correlation Analysis
3. Results
3.1. Multicollinearity Assessment
3.2. Fire Danger Maps
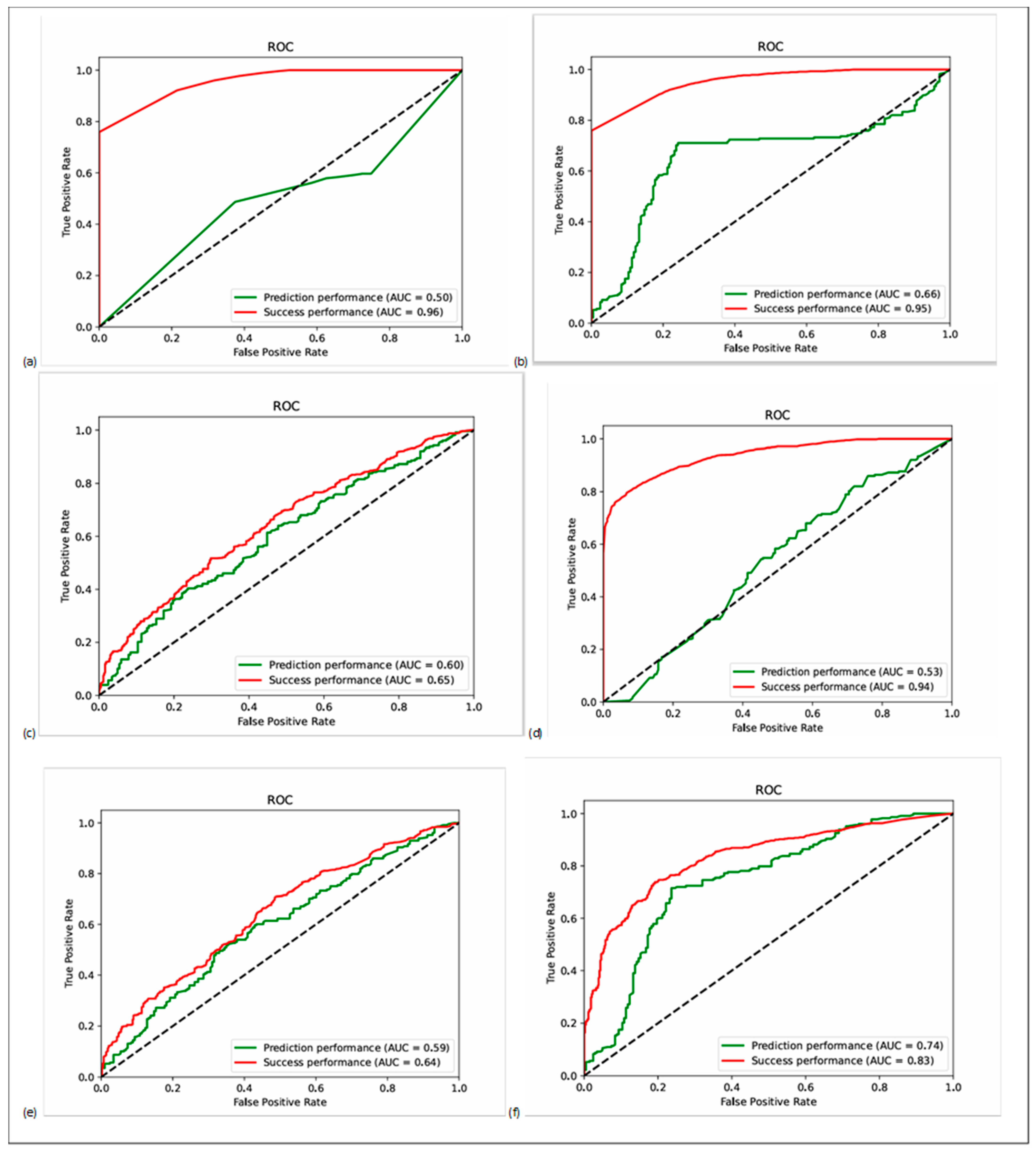
3.3. Model Evaluation
3.4. The Importance of Driving Factors in Fire-Danger Modelling
3.5. The Spatial Relationship between Fire-Driving Factors and Fire Location
3.6. Pairwise Correlations between Wildfire-Driving Factors
4. Discussion
4.1. Model-Performance Assessment
4.2. The Driving Factors of Fire-Danger-Assessment Modelling
5. Conclusions
Author Contributions
Funding
Institutional Review Board Statement
Informed Consent Statement
Data Availability Statement
Conflicts of Interest
References
- Neary, D.G.; Leonard, J.M. Effects of Fire on Grassland Soils and Water: A Review. In Grasses and Grassland Aspects; IntechOpen: London, UK, 2020; pp. 1–22. [Google Scholar]
- O’Mara, F.P. The Role of Grasslands in Food Security and Climate Change. Ann. Bot. 2012, 110, 1263–1270. [Google Scholar] [CrossRef]
- Pausas, J.G.; Keeley, J.E. Wildfires as an Ecosystem Service. Front. Ecol. Environ. 2019, 17, 289–295. [Google Scholar] [CrossRef]
- Cobon, D.H.; Baethgen, W.E.; Landman, W.; Williams, A.; van Garderen, E.A.; Johnston, P.; Malherbe, J.; Maluleke, P.; Kgakatsi, I.B.; Davis, P. Agroclimatology in Grasslands. Agroclimatol. Link. Agric. Clim. 2020, 60, 369–423. [Google Scholar]
- Jolly, W.M.; Cochrane, M.A.; Freeborn, P.H.; Holden, Z.A.; Brown, T.J.; Williamson, G.J.; Bowman, D.M.J.S. Climate-Induced Variations in Global Wildfire Danger from 1979 to 2013. Nat. Commun. 2015, 6, 7537. [Google Scholar] [CrossRef]
- Leys, B.A.; Marlon, J.R.; Umbanhowar, C.; Vannière, B. Global Fire History of Grassland Biomes. Ecol. Evol. 2018, 8, 8831–8852. [Google Scholar] [CrossRef] [PubMed]
- Chang, C.; Chang, Y.; Xiong, Z.; Ping, X.; Zhang, H.; Guo, M.; Hu, Y. Predicting Grassland Fire-Occurrence Probability in Inner Mongolia Autonomous Region, China. Remote Sens. 2023, 15, 2999. [Google Scholar] [CrossRef]
- Bond, W.J.; Keane, R.E. Fires, Ecological Effects Of. In Reference Module in Life Sciences; Elsevier: Amsterdam, The Netherlands, 2017; pp. 1–11. [Google Scholar]
- Bond, W.J.; Keeley, J.E. Fire as a Global Herbivore’: The Ecology and Evolution of Flammable Ecosystems. Trends Ecol. Evol. 2005, 20, 387–394. [Google Scholar] [CrossRef] [PubMed]
- Sharma, S.; Dhakal, K. Boots on the Ground and Eyes in the Sky: A Perspective on Estimating Fire Danger from Soil Moisture Content. Fire 2021, 4, 45. [Google Scholar] [CrossRef]
- Jain, P.; Coogan, S.C.P.; Subramanian, S.G.; Crowley, M.; Taylor, S.; Flannigan, M.D. A Review of Machine Learning Applications in Wildfire Science and Management. Environ. Rev. 2020, 28, 478–505. [Google Scholar] [CrossRef]
- Kraaij, T.; Baard, J.A.; Arndt, J.; Vhengani, L.; Van Wilgen, B.W. An Assessment of Climate, Weather, and Fuel Factors Influencing a Large, Destructive Wildfire in the Knysna Region, South Africa. Fire Ecol. 2018, 14, 4. [Google Scholar] [CrossRef]
- Flores Quiroz, N.; Gibson, L.; Conradie, W.S.; Ryan, P.; Heydenrych, R.; Moran, A.; van Straten, A.; Walls, R. Analysis of the 2017 Knysna Fires Disaster with Emphasis on Fire Spread, Home Losses and the Influence of Vegetation and Weather Conditions: A South African Case Study. Int. J. Disaster Risk Reduct. 2023, 88, 103618. [Google Scholar] [CrossRef]
- Keeley, J.E.; Pausas, J.G. Distinguishing Disturbance from Perturbations in Fire-Prone Ecosystems. Int. J. Wildland Fire 2019, 28, 282–287. [Google Scholar] [CrossRef]
- Archibald, S.; Roy, D.P.; Wilgen, V.; Brian, W.; Scholes, R.J. What Limits Fire? An Examination of Drivers of Burnt Area in Southern Africa. Glob. Chang. Biol. 2009, 15, 613–630. [Google Scholar] [CrossRef]
- White, R.P.; Murray, S.; Rohweder, M.; Prince, S.D.A.; Thompson, K.M. Grassland Ecosystems; World Resources Institute: Washington, DC, USA, 2000. [Google Scholar]
- Rutherford, M.C.; Westfall, R.H. Biomes of Southern Africa: An Objective Categorization; National Botanical Institute: Pretoria, South Africa, 1994. [Google Scholar]
- Carbutt, C.; Henwood, W.D.; Gilfedder, L.A. Global Plight of Native Temperate Grasslands: Going, Going, Gone? Biodivers. Conserv. 2017, 26, 2911–2932. [Google Scholar] [CrossRef]
- Clarke, H.; Penman, T.; Boer, M.; Cary, G.J.; Fontaine, J.B.; Price, O.; Bradstock, R. The Proximal Drivers of Large Fires: A Pyrogeographic Study. Front. Earth Sci. 2020, 8, 90. [Google Scholar] [CrossRef]
- Pausas, J.G.; Keeley, J.E. Wildfires and Global Change. Front. Ecol. Environ. 2021, 19, 387–395. [Google Scholar] [CrossRef]
- Duane, A.; Castellnou, M.; Brotons, L. Towards a Comprehensive Look at Global Drivers of Novel Extreme Wildfire Events. Clim. Change 2021, 165, 43. [Google Scholar] [CrossRef]
- Makhaya, Z.; Odindi, J.; Mutanga, O. The Influence of Bioclimatic and Topographic Variables on Grassland Fire Occurrence within an Urbanized Landscape. Sci. Afr. 2022, 15, e01127. [Google Scholar] [CrossRef]
- Trollope, W.S.W.; de Ronde, C.; Geldenhys, C.J. Fire Behavior. In Wildland Fire Management Handbook for SubSahara Africa; Goldammer, R.C., de Ronde, C., Eds.; Global Fire Monitoring Centre (GFMC): Freiburg, Germany, 2004; pp. 27–59. [Google Scholar]
- Mohajane, M.; Costache, R.; Karimi, F.; Pham, Q.B.; Essahlaoui, A.; Nguyen, H.; Laneve, G.; Oudija, F. Application of Remote Sensing and Machine Learning Algorithms for Forest Fire Mapping in a Mediterranean Area. Ecol. Indic. 2021, 129, 107869. [Google Scholar] [CrossRef]
- Keane, R.E.; Burgan, R.; van Wagtendonk, J. Mapping Wildland Fuels for Fire Management across Multiple Scales: Integrating Remote Sensing, GIS, and Biophysical Modeling. Int. J. Wildland Fire 2001, 10, 301–319. [Google Scholar] [CrossRef]
- Sharma, S.K.; Aryal, J.; Shao, Q.; Rajabifard, A. Characterizing Topographic Influences of Bushfire Severity Using Machine Learning Models: A Case Study in a Hilly Terrain of Victoria, Australia. IEEE J. Sel. Top. Appl. Earth Obs. Remote Sens. 2023, 16, 2791–2807. [Google Scholar] [CrossRef]
- Chuvieco, E.; Aguado, I.; Dimitrakopoulos, A.P. Conversion of Fuel Moisture Content Values to Ignition Potential for Integrated Fire Danger Assessment. Can. J. For. Res. 2004, 34, 2284–2293. [Google Scholar] [CrossRef]
- Verbesselt, J.; Somers, B.; Lhermitte, S.; Jonckheere, I.; Van Aardt, J.; Coppin, P. Monitoring Herbaceous Fuel Moisture Content with Spot Vegetation Time-Series for Fire Risk Prediction in Savanna Ecosystems. Remote Sens. Environ. 2007, 108, 357–368. [Google Scholar] [CrossRef]
- Yebra, M.; Dennison, P.E.; Chuvieco, E.; Riaño, D.; Zylstra, P.; Hunt Jr, E.R.; Danso, F.M.; Qi, Y.; Jurdao, S. A Global Review of Remote Sensing of Live Fuel Moisture Content for Fire Danger Assessment: Moving towards Operational Products. Remote Densing Environ. 2013, 136, 455–468. [Google Scholar] [CrossRef]
- Vinodkumar, V.; Dharssi, I.; Yebra, M.; Fox-Hughes, P. Continental-Scale Prediction of Live Fuel Moisture Content Using Soil Moisture Information. Agric. For. Meteorol. 2021, 307, 108503. [Google Scholar] [CrossRef]
- Sazib, N.; Bolten, J.D.; Mladenova, I.E. Leveraging NASA Soil Moisture Active Passive for Assessing Fire Susceptibility and Potential Impacts over Australia and California. IEEE J. Sel. Top. Appl. Earth Obs. Remote Sens. 2021, 15, 779–787. [Google Scholar] [CrossRef]
- Sungmin, O.; Hou, X.; Orth, R. Observational Evidence of Wildfire-Promoting Soil Moisture Anomalies. Sci. Rep. 2020, 10, 11008. [Google Scholar]
- Chuvieco, E.; Aguado, I.; Salas, J.; García, M.; Yebra, M.; Oliva, P. Satellite Remote Sensing Contributions to Wildland Fire Science and Management. Curr. For. Rep. 2020, 6, 81–96. [Google Scholar] [CrossRef]
- Pettinari, M.L.; Chuvieco, E. Fire Danger Observed from Space. Surv. Geophys. 2020, 41, 1437–1459. [Google Scholar] [CrossRef]
- Szpakowski, D.M.; Jensen, J.L.R. A Review of the Applications of Remote Sensing in Fire Ecology. Remote Sens. 2019, 11, 2638. [Google Scholar] [CrossRef]
- Gorelick, N.; Hancher, M.; Dixon, M.; Ilyushchenko, S.; Thau, D.; Moore, R. Google Earth Engine: Planetary-Scale Geospatial Analysis for Everyone. Remote Sens. Environ. 2017, 202, 18–27. [Google Scholar] [CrossRef]
- Sharma, L.K.; Gupta, R.; Fatima, N. Assessing the Predictive Efficacy of Six Machine Learning Algorithms for the Susceptibility of Indian Forests to Fire. Int. J. Wildland Fire 2022, 31, 735–758. [Google Scholar] [CrossRef]
- Kumari, B.; Pandey, A.C. Geo-Informatics Based Multi-Criteria Decision Analysis (Mcda) through Analytic Hierarchy Process (Ahp) for Forest Fire Risk Mapping in Palamau Tiger Reserve, Jharkhand State, India. J. Earth Syst. Sci. 2020, 129, 1–16. [Google Scholar] [CrossRef]
- Zhao, P.; Zhang, F.; Lin, H.; Xu, S. GIS-Based Forest Fire Risk Model: A Case Study in Laoshan National Forest Park, Nanjing. Remote Sens. 2021, 13, 3704. [Google Scholar] [CrossRef]
- Maniatis, Y.; Doganis, A.; Chatzigeorgiadis, M. Fire Risk Probability Mapping Using Machine Learning Tools and Multi-Criteria Decision Analysis in the Gis Environment: A Case Study in the National Park Forest Dadia-Lefkimi-Soufli, Greece. Appl. Sci. 2022, 12, 2938. [Google Scholar] [CrossRef]
- Hong, H.; Jaafari, A.; Zenner, E.K. Predicting Spatial Patterns of Wildfire Susceptibility in the Huichang County, China: An Integrated Model to Analysis of Landscape Indicators. Ecol. Indic. 2019, 101, 878–891. [Google Scholar] [CrossRef]
- Xie, L.; Zhang, R.; Zhan, J.; Li, S.; Shama, A.; Zhan, R.; Wang, T.; Lv, J.; Bao, X.; Wu, R. Wildfire Risk Assessment in Liangshan Prefecture, China Based on an Integration Machine Learning Algorithm. Remote Sens. 2022, 14, 4592. [Google Scholar] [CrossRef]
- Romero-Calcerrada, R.; Novillo, C.J.; Millington, J.D.A.; Gomez-Jimenez, I. Gis Analysis of Spatial Patterns of Human-Caused Wildfire Ignition Risk in the Sw of Madrid (Central Spain). Landsc. Ecol. 2008, 23, 341–354. [Google Scholar] [CrossRef]
- Salavati, G.; Saniei, E.; Ghaderpour, E.; Hassan, Q.K. Wildfire Risk Forecasting Using Weights of Evidence and Statistical Index Models. Sustainability 2022, 14, 3881. [Google Scholar] [CrossRef]
- de Santana, R.O.; Delgado, R.C.; Schiavetti, A. Modeling Susceptibility to Forest Fires in the Central Corridor of the Atlantic Forest Using the Frequency Ratio Method. J. Environ. Manag. 2021, 296, 113343. [Google Scholar] [CrossRef]
- Hong, H.; Naghibi, S.A.; Moradi Dashtpagerdi, M.; Pourghasemi, H.R.; Chen, W. A Comparative Assessment between Linear and Quadratic Discriminant Analyses (Lda-Qda) with Frequency Ratio and Weights-of-Evidence Models for Forest Fire Susceptibility Mapping in China. Arab. J. Geosci. 2017, 10, 167. [Google Scholar] [CrossRef]
- Pradeep, G.S.; Danumah, J.H.; Nikhil, S.; Prasad, M.K.; Patel, N.; Mammen, P.C.; Rajaneesh, A.; Oniga, V.-E.; Ajin, R.S.; Kuriakose, S.L. Forest Fire Risk Zone Mapping of Eravikulam National Park in India: A Comparison between Frequency Ratio and Analytic Hierarchy Process Methods. Croat. J. For. Eng. J. Theory Appl. For. Eng. 2022, 43, 199–217. [Google Scholar] [CrossRef]
- Jaafari, A.; Gholami, D.M.; Zenner, E.K. A Bayesian Modeling of Wildfire Probability in the Zagros Mountains, Iran. Ecol. Inform. 2017, 39, 32–44. [Google Scholar] [CrossRef]
- Arca, D.; Hacısalihoğlu, M.; Kutoğlu, Ş.H. Producing Forest Fire Susceptibility Map Via Multi-Criteria Decision Analysis and Frequency Ratio Methods. Nat. Hazards 2020, 104, 73–89. [Google Scholar] [CrossRef]
- Abdo, H.G.; Almohamad, H.; Al Dughairi, A.A.; Al-Mutiry, M. Gis-Based Frequency Ratio and Analytic Hierarchy Process for Forest Fire Susceptibility Mapping in the Western Region of Syria. Sustainability 2022, 14, 4668. [Google Scholar] [CrossRef]
- Zapata-Ríos, X.; Lopez-Fabara, C.; Navarrete, A.; Torres-Paguay, S.; Flores, M. Spatiotemporal Patterns of Burned Areas, Fire Drivers, and Fire Probability across the Equatorial Andes. J. Mt. Sci. 2021, 18, 952–972. [Google Scholar] [CrossRef]
- Si, L.; Shu, L.; Wang, M.; Zhao, F.; Chen, F.; Li, W.; Li, W. Study on Forest Fire Danger Prediction in Plateau Mountainous Forest Area. Nat. Hazards Res. 2022, 2, 25–32. [Google Scholar] [CrossRef]
- Tien Bui, D.; Le, K.-T.T.; Nguyen, V.C.; Le, H.D.; Revhaug, I. Tropical Forest Fire Susceptibility Mapping at the Cat Ba National Park Area, Hai Phong City, Vietnam, Using Gis-Based Kernel Logistic Regression. Remote Sens. 2016, 8, 347. [Google Scholar] [CrossRef]
- Guo, F.; Wang, G.; Su, Z.; Liang, H.; Wang, W.; Lin, F.; Liu, A. What Drives Forest Fire in Fujian, China? Evidence from Logistic Regression and Random Forests. Int. J. Wildland Fire 2016, 25, 505–519. [Google Scholar] [CrossRef]
- Brillinger, D.R.; Preisler, H.K.; Benoit, J.W. Probabilistic Risk Assessment for Wildfires. Environmetr. Off. J. Int. Environmetr. Soc. 2006, 17, 623–633. [Google Scholar] [CrossRef]
- Woolford, D.G.; Martell, D.L.; McFayden, C.B.; Evens, J.; Stacey, A.; Wotton, B.M.; Boychuk, D. The Development and Implementation of a Human-Caused Wildland Fire Occurrence Prediction System for the Province of Ontario, Canada. Can. J. For. Res. 2021, 51, 303–325. [Google Scholar] [CrossRef]
- Sá, A.C.L.; Turkman, M.A.A.; Pereira, J.M.C. Exploring Fire Incidence in Portugal Using Generalized Additive Models for Location, Scale and Shape (GAMLSS). Model. Earth Syst. Environ. 2018, 4, 199–220. [Google Scholar] [CrossRef]
- Rodrigues, M.; Jiménez-Ruano, A.; Peña-Angulo, D.; de la Riva, J. A Comprehensive Spatial-Temporal Analysis of Driving Factors of Human-Caused Wildfires in Spain Using Geographically Weighted Logistic Regression. J. Environ. Manag. 2018, 225, 177–192. [Google Scholar] [CrossRef]
- Cao, Q.; Zhang, L.; Su, Z.; Wang, G.; Guo, F. Exploring Spatially Varying Relationships between Forest Fire and Environmental Factors at Different Quantile Levels. Int. J. Wildland Fire 2020, 29, 486–498. [Google Scholar] [CrossRef]
- Cardil, A.; Monedero, S.; Schag, G.; de-Miguel, S.; Tapia, M.; Stoof, C.R.; Silva, C.A.; Mohan, M.; Cardil, A.; Ramirez, J. Fire Behavior Modeling for Operational Decision-Making. Curr. Opin. Environ. Sci. Health 2021, 23, 100291. [Google Scholar] [CrossRef]
- Andrews, P.L. Current Status and Future Needs of the BehavePlus Fire Modeling System. Int. J. Wildland Fire 2013, 23, 21–33. [Google Scholar] [CrossRef]
- Finney, M.A. Farsite, Fire Area Simulator—Model Development and Evaluation; US Department of Agriculture, Forest Service, Rocky Mountain Research Station: Fort Collins, CO, USA, 1998.
- Finney, M.A. An overview of FlamMap fire modeling capabilities. In Fuels Management-How to Measure Success, Proceedings of the RMRS-P-41, Portland, OR, USA, 28–30 March 2006; US Department of Agriculture, Forest Service, Rocky Mountain Research Station: Fort Collins, CO, USA, 2006; pp. 213–220. [Google Scholar]
- Xofis, P.; Tsiourlis, G.; Konstantinidis, P. A Fire Danger Index for the Early Detection of Areas Vulnerable to Wildfires in the Eastern Mediterranean Region. Euro-Mediterr. J. Environ. Integr. 2020, 5, 32. [Google Scholar] [CrossRef]
- Balbi, J.H.; Morandini, F.; Silvani, X.; Filippi, J.B.; Rinieri, F. A Physical Model for Wildland Fires. Combust. Flame 2009, 156, 2217–2230. [Google Scholar] [CrossRef]
- Zacharakis, I.; Tsihrintzis, V.A. Integrated Wildfire Danger Models and Factors: A Review. Sci. Total Environ. 2023, 899, 165704. [Google Scholar] [CrossRef] [PubMed]
- Tymstra, C.; Bryce, R.W.; Wotton, B.M.; Taylor, S.W.; Armitage, O.B. Development and sTructure of Prometheus: The Canadian Wildland Fire Growth Simulation Model; Information Report NOR-X-417; Natural Resources Canada, Canadian Forest Service, Northern Forestry Centre: Edmonton, AB, Canada, 2010.
- Hilton, J.E.; Miller, C.; Sullivan, A.L.; Rucinski, C. Effects of Spatial and Temporal Variation in Environmental Conditions on Simulation of Wildfire Spread. Environ. Model. Softw. 2015, 67, 118–127. [Google Scholar] [CrossRef]
- Ramírez, J.; Monedero, S.; Buckley, D. New Approaches in Fire Simulations Analysis with Wildfire Analyst. In Proceedings of the 5th International Wildland Fire Conference, Sun City, South Africa, 9–13 May 2011. [Google Scholar]
- Jaafari, A.; Pourghasemi, H.R. 28—Factors Influencing Regional-Scale Wildfire Probability in Iran: An Application of Random Forest and Support Vector Machine. In Spatial Modeling in Gis and R for Earth and Environmental Sciences; Pourghasemi, H.R., Gokceoglu, C., Eds.; Elsevier: Amsterdam, The Netherlands, 2019; pp. 607–619. [Google Scholar] [CrossRef]
- Jaafari, A.; Zenner, E.K.; Pham, B.T. Wildfire Spatial Pattern Analysis in the Zagros Mountains, Iran: A Comparative Study of Decision Tree Based Classifiers. Ecol. Inform. 2018, 43, 200–211. [Google Scholar] [CrossRef]
- Coffield, S.R.; Graff, C.A.; Chen, Y.; Smyth, P.; Foufoula-Georgiou, E.; Randerson, J.T. Machine Learning to Predict Final Fire Size at the Time of Ignition. Int. J. Wildland Fire 2019, 28, 861–873. [Google Scholar] [CrossRef]
- Hong, H.; Tsangaratos, P.; Ilia, I.; Liu, J.; Zhu, A.X.; Xu, C. Applying Genetic Algorithms to Set the Optimal Combination of Forest Fire Related Variables and Model Forest Fire Susceptibility Based on Data Mining Models. The Case of Dayu County, China. Sci. Total Environ. 2018, 630, 1044–1056. [Google Scholar] [CrossRef] [PubMed]
- Sokolova, M.; Lapalme, G. A Systematic Analysis of Performance Measures for Classification Tasks. Inf. Process. Manag. 2009, 45, 427–437. [Google Scholar] [CrossRef]
- Adab, H.; Atabati, A.; Oliveira, S.; Moghaddam Gheshlagh, A. Assessing Fire Hazard Potential and Its Main Drivers in Mazandaran Province, Iran: A Data-Driven Approach. Environ. Monit. Assess. 2018, 190, 1–20. [Google Scholar] [CrossRef]
- Vacchiano, G.; Foderi, C.; Berretti, R.; Marchi, E.; Motta, R. Modeling Anthropogenic and Natural Fire Ignitions in an Inner-Alpine Valley. Nat. Hazards Earth Syst. Sci. 2018, 18, 935–948. [Google Scholar] [CrossRef]
- Chicas, S.D.; Østergaard Nielsen, J. Who Are the Actors and What Are the Factors That Are Used in Models to Map Forest Fire Susceptibility? A Systematic Review. Nat. Hazards 2022, 114, 2417–2434. [Google Scholar] [CrossRef]
- Abatzoglou, J.T.; Williams, A.P.; Barbero, R. Global Emergence of Anthropogenic Climate Change in Fire Weather Indices. Geophys. Res. Lett. 2019, 46, 326–336. [Google Scholar] [CrossRef]
- Statistics South Africa (StatisticsSA). Natural Capital Series 2: Accounts for Protected Areas, 1900 to 2020; Fisheries and the Environment The South African National Biodiversity Institute and the Department of Forestry, Statistics South Africa: Pretoria, South Africa, 2021.
- South African National Parks (SANParks). Golden Gate Highlands National Park Management Plan 2020–2029. Available online: https://www.sanparks.org/assets/docs/conservation/park_man/gghnp_approved_plan.pdf (accessed on 10 March 2021).
- Russell, I.A.; Skelton, P.H. Freshwater Fishes of Golden Gate Highlands National Park. Koedoe 2005, 48, 87–94. [Google Scholar] [CrossRef][Green Version]
- Moloi, M.; Ogbeide, O.; Otomo, P.V. Probabilistic Health Risk Assessment of Heavy Metals at Wastewater Discharge Points within the Vaal River Basin, South Africa. Int. J. Hyg. Environ. Health 2020, 224, 113421. [Google Scholar] [CrossRef]
- Spatial Temporal Evidence for Planning South Africa (stepSA). Climate Indicators: Köppen-Geiger Climate Classification. CSIR. Available online: http://stepsatest.csir.co.za/climate_koppen_geiger.html (accessed on 10 March 2021).
- Climate Engine. Cloud Computing of Climate and Remote Sensing Data.Desert Research Institute and University of Idaho. 2023. Available online: https://app.climateengine.org/climateEnginehttps://app.climateengine.org/climateEngine (accessed on 10 March 2021).
- Schroeder, W.; Giglio, L. Visible Infrared Imaging Radiometer Suite (Viirs) 375 M & 750 M Active Fire Detection Data Sets Based on Nasa Viirs Land Science Investigator Processing System (Sips) Reprocessed Data—Version 1; NASA: Washington, DC, USA, 2017.
- Duff, T.J.; Bessell, R.; Cruz, M.G. Grass curing/cured fuels. In Encyclopedia of Wildfires and Wildland-Urban Interface (Wui) Fires; Springer: Berlin/Heidelberg, Germany, 2020; pp. 551–557. [Google Scholar]
- Martin, D.; Chen, T.; Nichols, D.; Bessell, R.; Kidnie, S.; Alexander, J. Integrating Ground and Satellite-Based Observations to Determine the Degree of Grassland Curing. Int. J. Wildland Fire 2015, 24, 329–339. [Google Scholar] [CrossRef]
- Cruz, M.G.; Gould, J.S.; Kidnie, S.; Bessell, R.; Nichols, D.; Slijepcevic, A. Effects of Curing on Grassfires: II. Effect of Grass Senescence on the Rate of Fire Spread. Int. J. Wildland Fire 2015, 24, 838–848. [Google Scholar] [CrossRef]
- Zacharakis, I.; Tsihrintzis, V.A. Environmental Forest Fire Danger Rating Systems and Indices around the Globe: A Review. Land 2023, 12, 194. [Google Scholar] [CrossRef]
- Ceccato, P.; Gobron, N.; Flasse, S.; Pinty, B.; Tarantola, S. Designing a Spectral Index to Estimate Vegetation Water Content from Remote Sensing Data: Part 1: Theoretical Approach. Remote Sens. Environ. 2002, 82, 188–197. [Google Scholar] [CrossRef]
- Wang, L.; Zhou, Y.; Zhou, W.; Wang, S. Fire Danger Assessment with Remote Sensing: A Case Study in Northern China. Nat. Hazards 2013, 65, 819–834. [Google Scholar] [CrossRef]
- Misra, G.; Cawkwell, F.; Wingler, A. Status of Phenological Research Using Sentinel-2 Data: A Review. Remote Sens. 2020, 12, 2760. [Google Scholar] [CrossRef]
- Vermote, E. “Mod09a1 Modis/Terra Surface Reflectance 8-Day L3 Global 500m Sin Grid V006.” NASA EODIS Land Processes DAAC. Available online: http://doi.org/10.5067/MODIS/MOD09A1.006 (accessed on 10 June 2019).
- Strydom, S.; Savage, M.J. A Spatio-Temporal Analysis of Fires in South Africa. S. Afr. J. Sci. 2016, 112, 2760. [Google Scholar] [CrossRef] [PubMed]
- Clarke, H.; Gibson, R.; Cirulis, B.; Bradstock, R.A.; Penman, T.D. Developing and Testing Models of the Drivers of Anthropogenic and Lightning-Caused Wildfire Ignitions in South-Eastern Australia. J. Environ. Manag. 2019, 235, 34–41. [Google Scholar] [CrossRef] [PubMed]
- Martín, Y.; Zúñiga-Antón, M.; Rodrigues Mimbrero, M. Modelling Temporal Variation of Fire-Occurrence towards the Dynamic Prediction of Human Wildfire Ignition Danger in Northeast Spain. Geomat. Nat. Hazards Risk 2019, 10, 385–411. [Google Scholar] [CrossRef]
- Moreira, F.; Viedma, O.; Arianoutsou, M.; Curt, T.; Koutsias, N.; Rigolot, E.; Barbati, A.; Corona, P.; Vaz, P.; Xanthopoulos, G. Landscape–Wildfire Interactions in Southern Europe: Implications for Landscape Management. J. Environ. Manag. 2011, 92, 2389–2402. [Google Scholar] [CrossRef]
- Morandini, F.; Silvani, X.; Dupuy, J.-L.; Susset, A. Fire Spread across a Sloping Fuel Bed: Flame Dynamics and Heat Transfers. Combust. Flame 2018, 190, 158–170. [Google Scholar] [CrossRef]
- The COMET Program. S-290 Unit 2: Topographic Influences on Wildland Fire Behaviour. The University Corporation for Atmospheric Research. Available online: https://www.meted.ucar.edu/fire/s290/unit2/index.htm (accessed on 11 September 2022).
- Weiss, A. Topographic Position and Landforms Analysis. In Proceedings of the ESRI User Conference, San Diego, CA, USA, 9–13 July 2001; pp. 227–245. [Google Scholar]
- De Reu, J.; Bourgeois, J.; Bats, M.; Zwertvaegher, A.; Gelorini, V.; De Smedt, P.; Chu, W.; Antrop, M.; De Maeyer, P.; Finke, P. Application of the Topographic Position Index to Heterogeneous Landscapes. Geomorphology 2013, 186, 39–49. [Google Scholar] [CrossRef]
- Bowman, D.M.J.S.; Williamson, G.J.; Gibson, R.K.; Bradstock, R.A.; Keenan, R.J. The Severity and Extent of the Australia 2019–20 Eucalyptus Forest Fires Are Not the Legacy of Forest Management. Nat. Ecol. Evol. 2021, 5, 1003–1010. [Google Scholar] [CrossRef] [PubMed]
- Viegas, D.X.; Pita, L.P. Fire Spread in Canyons. Int. J. Wildland Fire 2004, 13, 253–274. [Google Scholar] [CrossRef]
- Riley, S.J.; DeGloria, S.D.; Elliot, R. Index that Quantifies Topographic Heterogeneity. Intermt. J. Sci. 1999, 5, 23–27. [Google Scholar]
- Babu, K.V.S.; Roy, A. Static Fire Danger Estimation Based on the Historical Modis Hotspot Data Using Geospatial Techniques for the Uttarakhand State, India. Int. Soc. Environ. Inf. Sci. 2020, 4, 11–21. [Google Scholar] [CrossRef]
- Mattivi, P.; Franci, F.; Lambertini, A.; Bitelli, G. TWI Computation: A Comparison of Different open Source Giss. Open Geospat. Data Softw. Stand. 2019, 4, 1–12. [Google Scholar] [CrossRef]
- Zhao, L.; Yebra, M.; van Dijk, A.I.J.M.; Cary, G.J.; Matthews, S.; Sheridan, G. The Influence of Soil Moisture on Surface and Sub-Surface Litter Fuel Moisture Simulation at Five Australian Sites. Agric. For. Meteorol. 2021, 298, 108282. [Google Scholar] [CrossRef]
- Mathu, L.F.A. How Soil Texture and Groundwater Level Drive Wildfire Occurrence in North-Western Europe. Master’s Thesis, Wageningen University & Research, Wageningen, The Netherlands, 2020. [Google Scholar]
- Mulder, V.L.; van Eck, C.M.; Friedlingstein, P.; Arrouays, D.; Regnier, P. Controlling Factors for Land Productivity under Extreme Climatic Events in Continental Europe and the Mediterranean Basin. Catena 2019, 182, 104124. [Google Scholar] [CrossRef]
- Tanveera, A.; Kanth, T.A.; Tali, P.A.; Naikoo, M. Relation of Soil Bulk Density with Texture, Total Organic Matter Content and Porosity in the Soils of Kandi Area of Kashmir Valley, India. Int. Res. J. Earth Sci 2016, 4, 1–6. [Google Scholar]
- Mora, J.L.; Lázaro, R. Seasonal Changes in Bulk Density under Semiarid Patchy Vegetation: The Soil Beats. Geoderma 2014, 235, 30–38. [Google Scholar] [CrossRef]
- Biancari, L.; Aguiar, M.R.; Cipriotti, P.A. Grazing Impact on Structure and Dynamics of Bare Soil Areas in a Patagonian Grass-shrub Steppe. J. Arid. Environ. 2020, 179, 104197. [Google Scholar] [CrossRef]
- Novkovic, I.; Markovic, G.B.; Lukic, D.; Dragicevic, S.; Milosevic, M.; Djurdjic, S.; Samardzic, I.; Lezaic, T.; Tadic, M. Gis-Based Forest Fire Susceptibility Zonation with Iot Sensor Network Support, Case Study—Nature Park Golija, Serbia. Sensors 2021, 21, 6520. [Google Scholar] [CrossRef]
- Nguyen, C.T.; Chidthaisong, A.; Kieu Diem, P.; Huo, L.-Z. A Modified Bare Soil Index to Identify Bare Land Features during Agricultural Fallow-Period in Southeast Asia Using Landsat 8. Land 2021, 10, 231. [Google Scholar] [CrossRef]
- Huntington, J.L.; Hegewisch, K.C.; Daudert, B.; Morton, C.G.; Abatzoglou, J.T.; McEvoy, D.J.; Erickson, T. Climate Engine: Cloud Computing and visualIzation of Climate And Remote Sensing Data for Advanced Natural Resource Monitoring and Process Understanding. Bull. Am. Meteorol. Soc. 2017, 98, 2397–2410. [Google Scholar] [CrossRef]
- Hengl, T.; Mendes de Jesus, J.; Heuvelink, G.B.; Ruiperez Gonzalez, M.; Kilibarda, M.; Blagotić, A.; Shangguan, W.; Wright, M.N.; Geng, X.; Bauer-Marschallinger, B. oilgrids250m: Global Gridded Soil Information Based on Machine Learning. PLoS ONE 2017, 12, e0169748. [Google Scholar] [CrossRef] [PubMed]
- Dang, A.T.N.; Kumar, L.; Reid, M.; Mutanga, O. Fire Danger Assessment Using Geospatial Modelling in Mekong Delta, Vietnam: Effects on Wetland Resources. Remote Sens. Appl. Soc. Environ. 2021, 21, 100456. [Google Scholar] [CrossRef]
- Kondylatos, S.; Prapas, I.; Ronco, M.; Papoutsis, I.; Camps-Valls, G.; Piles, M.; Fernández-Torres, M.-Á.; Carvalhais, N. Wildfire Danger Prediction and Understanding with Deep Learning. Geophys. Res. Lett. 2022, 49, e2022GL099368. [Google Scholar] [CrossRef]
- Sayad, Y.O.; Mousannif, H.; Al Moatassime, H. Predictive Modeling of Wildfires: A New Dataset and Machine Learning Approach. Fire Saf. J. 2019, 104, 130–146. [Google Scholar] [CrossRef]
- Cruz, M.G.; Alexander, M.E. The 10% Wind Speed Rule of Thumb for Estimating a Wildfire’s Forward Rate of Spread in Forests and Shrublands. Ann. For. Sci. 2019, 76, 44. [Google Scholar] [CrossRef]
- Moon, K.; Duff, T.J.; Tolhurst, K.G. Characterising Forest Wind Profiles for Utilisation in Fire Spread Models. In Proceedings of the Twentieth International Congress on Modelling and Simulation, Adelaide, Australia, 1–6 December 2013. [Google Scholar]
- Ghodrat, M.; Shakeriaski, F.; Nelson, D.J.; Simeoni, A. Existing Improvements in Simulation of Fire–Wind Interaction and Its Effects on Structures. Fire 2021, 4, 27. [Google Scholar] [CrossRef]
- Evert, C.; Gijben, M. Official South African Lightning Ground Flash Density Map 2006 to 2017. In Inaugural Earthing Africa Symposium and Exhibition; Thaba Eco Hotel: Johannesburg, South Africa, 2017; pp. 5–9. [Google Scholar]
- Bhavika, B. The Influence of Terrain Elevation on Lightning Density in South Africa; University of Johannesburg: Johannesburg, South Africa, 2010. [Google Scholar]
- Gijben, M.; Dyson, L.L.; Loots, M.T. A Statistical Scheme to Forecast the Daily Lightning Threat over Southern Africa Using the Unified Model. Atmos. Res. 2017, 194, 78–88. [Google Scholar] [CrossRef]
- Javor, V.; Stoimenov, L.; Džaković, N.; Dinkić, N.; Javor, D.; Betz, H.D. Linetgis Analysis of Lightning Flash Density in Serbia Based on Ten Years Data. Serbian J. Electr. Eng. 2018, 15, 201–211. [Google Scholar] [CrossRef]
- Daoud, J.I. Multicollinearity and Regression Analysis. J. Phys. Conf. Ser. 2017, 949, 012009. [Google Scholar] [CrossRef]
- Akinwande, M.O.; Dikko, H.G.; Samson, A. Variance Inflation Factor: As a Condition for the Inclusion of Suppressor Variable(s) in Regression Analysis. Open J. Stat. 2015, 5, 754. [Google Scholar] [CrossRef]
- Titti, G.; Alessandro, S. Cnr-Irpi-Padova/Sz: Sz Plugin. Available online: https://zenodo.org/record/3843276 (accessed on 1 February 2022).
- Titti, G.; Sarretta, A.; Lombardo, L.; Crema, S.; Pasuto, A.; Borgatti, L. Mapping Susceptibility with Open-Source Tools: A New Plugin for Qgis. Front. Earth Sci. 2022, 10, 842425. [Google Scholar] [CrossRef]
- Bonham-Carter, G. Geographic Information Systems for Geoscientists: Modelling with Gis; Elsevier: Amsterdam, The Netherlands, 1994. [Google Scholar]
- Phelps, N.; Woolford, D.G. Comparing Calibrated Statistical and Machine Learning Methods for Wildland Fire Occurrence Prediction: A Case Study of Human-Caused Fires in Lac La Biche, Alberta, Canada. Int. J. Wildland Fire 2021, 30, 850–870. [Google Scholar] [CrossRef]
- Pham, B.T.; Jaafari, A.; Avand, M.; Al-Ansari, N.; Dinh Du, T.; Yen, H.P.H.; Phong, T.V.; Nguyen, D.H.; Le, H.V.; Mafi-Gholami, D. Performance Evaluation of Machine Learning Methods for Forest Fire Modeling and Prediction. Symmetry 2020, 12, 1022. [Google Scholar] [CrossRef]
- Debeljak, M.; Džeroski, S. Decision Trees in Ecological Modelling. In Modelling Complex Ecological Dynamics: An Introduction into Ecological Modelling for Students, Teachers & Scientists; Jopp, F., Reuter, H., Breckling, B., Eds.; Springer: Berlin/Heidelberg, Germany, 2011; pp. 197–209. [Google Scholar] [CrossRef]
- Tang, Z.; Maclennan, J. Data Mining with SQL Server 2005; John Wiley & Sons: Hoboken, NJ, USA, 2005. [Google Scholar]
- Gholamnia, K.; Gudiyangada Nachappa, T.; Ghorbanzadeh, O.; Blaschke, T. Comparisons of Diverse Machine Learning Approaches for Wildfire Susceptibility Mapping. Symmetry 2020, 12, 604. [Google Scholar] [CrossRef]
- Breiman, L. Random Forests. Mach. Learn. 2001, 45, 5–32. [Google Scholar] [CrossRef]
- Su, Z.; Hu, H.; Wang, G.; Ma, Y.; Yang, X.; Guo, F. Using Gis and Random Forests to Identify Fire Drivers in a Forest City, Yichun, China. Geomat. Nat. Hazards Risk 2018, 9, 1207–1229. [Google Scholar] [CrossRef]
- Tan, C.; Feng, Z. Mapping Forest Fire Risk Zones Using Machine Learning Algorithms in Hunan Province, China. Sustainability 2023, 15, 6292. [Google Scholar] [CrossRef]
- Pang, Y.; Li, Y.; Feng, Z.; Feng, Z.; Zhao, Z.; Chen, S.; Zhang, H. Forest Fire Occurrence Prediction in China Based on Machine Learning Methods. Remote Sens. 2022, 14, 5546. [Google Scholar] [CrossRef]
- Eskandari, S.; Pourghasemi, H.R.; Tiefenbacher, J.P. Fire-Susceptibility Mapping in the Natural Areas of Iran Using New and Ensemble Data-Mining Models. Environ. Sci. Pollut. Res. 2021, 28, 47395–47406. [Google Scholar] [CrossRef] [PubMed]
- Titti, G.; van Westen, C.; Borgatti, L.; Pasuto, A.; Lombardo, L. When Enough is Really Enough? On the Minimum Number of Landslides to Build Reliable Susceptibility Models. Geosciences 2021, 11, 469. [Google Scholar] [CrossRef]
- Bustillo Sánchez, M.; Tonini, M.; Mapelli, A.; Fiorucci, P. Spatial Assessment of Wildfires Susceptibility in Santa Cruz (Bolivia) Using Random Forest. Geosciences 2021, 11, 224. [Google Scholar] [CrossRef]
- Adelabu, S.A.; Adepoju, K.A.; Mofokeng, O.D. Estimation of Fire Potential Index in Mountainous Protected Region Using Remote Sensing. Geocarto Int. 2020, 35, 29–46. [Google Scholar] [CrossRef]
- Zhang, G.; Wang, M.; Liu, K. Forest Fire Susceptibility Modeling Using a Convolutional Neural Network for Yunnan Province of China. Int. J. Disaster Risk Sci. 2019, 10, 386–403. [Google Scholar] [CrossRef]
- Pourtaghi, Z.S.; Pourghasemi, H.R.; Aretano, R.; Semeraro, T. Investigation of General Indicators Influencing on Forest Fire and Its Susceptibility Modeling Using Different Data Mining Techniques. Ecol. Indic. 2016, 64, 72–84. [Google Scholar] [CrossRef]
- Molina, J.R.; Lora, A.; Prades, C.; Silva, F.R. Roadside Vegetation Planning and Conservation: New Approach to Prevent and Mitigate Wildfires Based on Fire Ignition Potential. For. Ecol. Manag. 2019, 444, 163–173. [Google Scholar] [CrossRef]
- Mpakairi, K.S.; Tagwireyi, P.; Ndaimani, H.; Madiri, H.T. Distribution of Wildland Fires and Possible Hotspots for the Zimbabwean Component of Kavango-Zambezi Transfrontier Conservation Area. S. Afr. Geogr. J. 2019, 101, 110–120. [Google Scholar] [CrossRef]
- Phillips, S.J.; Anderson, R.P.; Schapire, R.E. Maximum Entropy Modeling of Species Geographic Distributions. Ecol. Model. 2006, 190, 231–259. [Google Scholar] [CrossRef]
- Milanović, S.; Marković, N.; Pamučar, D.; Gigović, L.; Kostić, P.; Milanović, S.D. Forest Fire Probability Mapping in Eastern Serbia: Logistic Regression Versus Random Forest Method. Forests 2021, 12, 5. [Google Scholar] [CrossRef]
- Eskandari, S.; Pourghasemi, H.R.; Tiefenbacher, J.P. Relations of Land Cover, Topography, and Climate to Fire Occurrence in Natural Regions of Iran: Applying New Data Mining Techniques for Modeling and Mapping Fire Danger. For. Ecol. Manag. 2020, 473, 118338. [Google Scholar] [CrossRef]
- Lee, S.; Pradhan, B. Landslide Hazard Mapping at Selangor, Malaysia Using Frequency Ratio and Logistic Regression Models. Landslides 2007, 4, 33–41. [Google Scholar] [CrossRef]
- Dube, F.; Nhapi, I.; Murwira, A.; Gumindoga, W.; Goldin, J.; Mashauri, D.A. Potential of Weight of Evidence Modelling for Gully Erosion Hazard Assessment in Mbire District–Zimbabwe. Phys. Chem. Earth Parts A/B/C 2014, 67, 145–152. [Google Scholar] [CrossRef]
- Dutta, R.; Das, A.; Aryal, J. Big Data Integration Shows Australian Bush-Fire Frequency is Increasing Significantly. R. Soc. Open Sci. 2016, 3, 150241. [Google Scholar] [CrossRef]
- Jafari Goldarag, Y.; Mohammadzadeh, A.; Ardakani, A.S. Fire Risk Assessment Using Neural Network and Logistic Regression. J. Indian Soc. Remote Sens. 2016, 44, 885–894. [Google Scholar] [CrossRef]
- Shmuel, A.; Heifetz, E. Global Wildfire Susceptibility Mapping Based on Machine Learning Models. Forests 2022, 13, 1050. [Google Scholar] [CrossRef]
- Gauriau, O.; Galárraga, L.; Brun, F.; Termier, A.; Davadan, L.; Joudelat, F. Comparing Machine-Learning Models of Different Levels of Complexity for Crop Protection: A Look into the Complexity-Accuracy Tradeoff. Smart Agric. Technol. 2024, 7, 100380. [Google Scholar] [CrossRef]
- Bell, A.; Solano-Kamaiko, I.; Nov, O.; Stoyanovich, J. It’s Just Not That Simple: An Empirical Study of the Accuracy-Explainability Trade-Off in Machine Learning for Public Policy. In Proceedings of the 2022 ACM Conference on Fairness, Accountability, and Transparency, Seoul, Republic of Korea, 21–24 June 2022. [Google Scholar]
- Wang, W.; Fang, X.; Wei, X.; Ye, J. Optimized Stratification Approach Enhances the Weight-of-Evidence Method: Transparently Uncovering Wildfire Probability and Drivers-Wildfire Relationships in the Southwest Mountains of China. Ecol. Indic. 2024, 158, 111500. [Google Scholar] [CrossRef]
- Jaafari, A.; Mafi-Gholami, D.; Thai Pham, B.; Tien Bui, D. Wildfire Probability Mapping: Bivariate vs. Multivariate Statistics. Remote Sens. 2019, 11, 618. [Google Scholar] [CrossRef]
- Li, Y.; Feng, Z.; Chen, S.; Zhao, Z.; Wang, F. Application of the Artificial Neural Network and Support Vector Machines in Forest Fire Prediction in the Guangxi Autonomous Region, China. Discret. Dyn. Nat. Soc. 2020, 2020, 5612650. [Google Scholar] [CrossRef]
- Dickson, B.G.; Prather, J.W.; Xu, Y.; Hampton, H.M.; Aumack, E.N.; Sisk, T.D. Mapping the Probability of Large Fire Occurrence in Northern Arizona, USA. Landsc. Ecol. 2006, 21, 747–761. [Google Scholar] [CrossRef]
- Ye, J.; Wu, M.; Deng, Z.; Xu, S.; Zhou, R.; Clarke, K.C. Modeling the Spatial Patterns of Human Wildfire Ignition in Yunnan Province, China. Appl. Geogr. 2017, 89, 150–162. [Google Scholar] [CrossRef]
- Yu, Y.; Mao, J.; Wullschleger, S.D.; Chen, A.; Shi, X.; Wang, Y.; Hoffman, F.M.; Zhang, Y.; Pierce, E. Machine Learning–Based Observation-Constrained Projections Reveal Elevated Global Socioeconomic Risks from Wildfire. Nat. Commun. 2022, 13, 1250. [Google Scholar] [CrossRef] [PubMed]
- Bowman, D.M.J.S.; Balch, J.; Artaxo, P.; Bond, W.J.; Cochrane, M.A.; D’antonio, C.M.; DeFries, R.; Johnston, F.H.; Keeley, J.E.; Krawchuk, M.A. The Human Dimension of Fire Regimes on Earth. J. Biogeogr. 2011, 38, 2223–2236. [Google Scholar] [CrossRef] [PubMed]
- Costafreda-Aumedes, S.; Comas, C.; Vega-Garcia, C. Human-Caused Fire Occurrence Modelling in Perspective: A Review. Int. J. Wildland Fire 2017, 26, 983–998. [Google Scholar] [CrossRef]
- Dorph, A.; Marshall, E.; Parkins, K.A.; Penman, T.D. Modelling Ignition Probability for Human-and Lightning-Caused Wildfires in Victoria, Australia. Nat. Hazards Earth Syst. Sci. 2022, 22, 3487–3499. [Google Scholar] [CrossRef]
- Mofokeng, D.O.; Olusola, A.; Adelabu, S. Development of Lightning Hazard Map for Fire Danger Assessment over Mountainous Protected Area Using Geospatial Technology. In Remote Sensing of African Mountains: Geospatial Tools toward Sustainability; Springer: Berlin/Heidelberg, Germany, 2022; pp. 131–156. [Google Scholar]
- Catry, F.X.; Rego, F.C.; Bação, F.L.; Moreira, F. Modeling and Mapping Wildfire Ignition Risk in Portugal. Int. J. Wildland Fire 2009, 18, 921–931. [Google Scholar] [CrossRef]
- Fang, L.; Yang, J.; Zu, J.; Li, G.; Zhang, J. Quantifying Influences and Relative Importance of Fire Weather, Topography, and Vegetation on Fire Size and Fire Severity in a Chinese Boreal Forest Landscape. For. Ecol. Manag. 2015, 356, 2–12. [Google Scholar] [CrossRef]
- Alizadeh, M.R.; Abatzoglou, J.T.; Adamowski, J.; Modaresi Rad, A.; AghaKouchak, A.; Pausata, F.S.R.; Sadegh, M. Elevation-Dependent Intensification of Fire Danger in the Western United States. Nat. Commun. 2023, 14, 1773. [Google Scholar] [CrossRef] [PubMed]
- Alizadeh, M.R.; Abatzoglou, J.T.; Luce, C.H.; Adamowski, J.F.; Farid, A.; Sadegh, M. Warming Enabled Upslope Advance in Western US Forest Fires. Proc. Natl. Acad. Sci. USA 2021, 118, e2009717118. [Google Scholar] [CrossRef]
- Chafer, C.J.; Noonan, M.; Macnaught, E. The Post-Fire Measurement of Fire Severity and Intensity in the Christmas 2001 Sydney Wildfires. Int. J. Wildland Fire 2004, 13, 227–240. [Google Scholar] [CrossRef]
- Argañaraz, J.P.; Gavier Pizarro, G.; Zak, M.; Landi, M.A.; Bellis, L.M. Human and Biophysical Drivers of Fires in Semiarid Chaco Mountains of Central Argentina. Sci. Total Environ. 2015, 520, 1–12. [Google Scholar] [CrossRef] [PubMed]
- Oliveira, S.; Moreira, F.; Boca, R.; San-Miguel-Ayanz, J.; Pereira, J.M.C. Assessment of Fire Selectivity in Relation to Land Cover and Topography: A Comparison between Southern European Countries. Int. J. Wildland Fire 2013, 23, 620–630. [Google Scholar] [CrossRef]
- Fernandes, P.M. Variation in the Canadian Fire Weather Index Thresholds for Increasingly Larger Fires in Portugal. Forests 2019, 10, 838. [Google Scholar] [CrossRef]
- Krawchuk, M.A.; Moritz, M.A. Constraints on Global Fire Activity Vary across a Resource Gradient. Ecology 2011, 92, 121–132. [Google Scholar] [CrossRef]
- Kelley, D.I.; Bistinas, I.; Whitley, R.; Burton, C.; Marthews, T.R.; Dong, N. How Contemporary Bioclimatic and Human Controls Change Global Fire Regimes. Nat. Clim. Chang. 2019, 9, 690–696. [Google Scholar] [CrossRef]
- Bowman, D.; Williamson, G.; Yebra, M.; Lizundia-Loiola, J.; Pettinari, M.L.; Shah, S.; Bradstock, R.; Chuvieco, E. Wildfires: Australia Needs National Monitoring Agency. Nature 2020, 584, 188–191. [Google Scholar] [CrossRef]
- McColl-Gausden, S.C.; Bennett, L.T.; Duff, T.J.; Cawson, J.G.; Penman, T.D. Climatic and Edaphic Gradients Predict Variation in Wildland Fuel Hazard in South-Eastern Australia. Ecography 2020, 43, 443–455. [Google Scholar] [CrossRef]
- Leenaars, J.G.B.; Kempen, B.; van Oostrum, A.J.M.; Batjes, N.H. Africa Soil Profiles Database: A Compilation of Georeferenced and Standardised Legacy Soil Profile Data for Sub-Saharan Africa; Africa Soil Information Service (AfSIS) and ISRIC-World Soil Information: Wageningen, The Netherlands, 2014. [Google Scholar]
- Krueger, E.S.; Levi, M.R.; Achieng, K.O.; Bolten, J.D.; Carlson, J.; Coops, N.C.; Holden, Z.A.; Magi, B.I.; Rigden, A.J.; Ochsner, T.E. Using Soil Moisture Information to Better Understand and Predict Wildfire Danger: A Review of Recent Developments and Outstanding Questions. Int. J. Wildland Fire 2022, 32, 111–132. [Google Scholar] [CrossRef]
- Krueger, E.S.; Ochsner, T.E.; Engle, D.M.; Carlson, J.; Twidwell, D.; Fuhlendorf, S.D. Soil Moisture Affects Growing-Season Wildfire Size in the Southern Great Plains. Soil Sci. Soc. Am. J. 2015, 79, 1567–1576. [Google Scholar] [CrossRef]
- Krueger, E.S.; Ochsner, T.E.; Carlson, J.D.; Engle, D.M.; Twidwell, D.; Fuhlendorf, S.D. Concurrent and Antecedent Soil Moisture Relate Positively or Negatively to Probability of Large Wildfires Depending on Season. Int. J. Wildland Fire 2016, 25, 657–668. [Google Scholar] [CrossRef]
- Turco, M.; von Hardenberg, J.; AghaKouchak, A.; Llasat, M.C.; Provenzale, A.; Trigo, R.M. On the Key Role of Droughts in the Dynamics of Summer Fires in Mediterranean Europe. Sci. Rep. 2017, 7, 81. [Google Scholar] [CrossRef]
- Knight, J. Scientists’ Warning of the Impacts of Climate Change on Mountains. PeerJ 2022, 10, e14253. [Google Scholar] [CrossRef]







| Category | Driving Factor | Sensor/Product | Resolution | Data Download Source (Accessed on 15 December 2023) |
|---|---|---|---|---|
| Fire | Fire Points | VIIRS-NPP | 350 m | https://firms.modaps.eosdis.nasa.gov/download/ |
| Topographic | Elevation (m) | DEM | 30 m | https://earthexplorer.usgs.gov/ |
| Aspect (degrees) | ||||
| Slope | ||||
| Topographic position index (TPI) | ||||
| Topographic ruggedness index (TRI) | ||||
| Topographic wetness index (TWI) | ||||
| Fuel | Grass curing index (GCI) | MOD09A1; Sentinel-2 | 500 m 10 m | https://developers.google.com/earth-engine/datasets |
| Global vegetation moisture index (GVMI) | ||||
| Vegetation condition index (VCI) | ||||
| Proximity from river (prox_river) (m) | DEM | https://earthexplorer.usgs.gov/ | ||
| Soil | Bare Soil Index (BSI) | Sentinel-2 | 10 m | https://developers.google.com/earth-engine/datasets |
| Soil bulk density (BD) (cg/kg) | International Soil Reference and Information Centre (ISRIC), SoilGrids | 250 m | https://soilgrids.org/ | |
| Clay content (g/kg) | ||||
| Coarse fragments (cm3/dm3) | ||||
| Sand (g/kg) | ||||
| Silt (g/kg) | ||||
| Soil Moisture Content (SMC) (mm) | TerraClimate | 4000 m | https://app.climateengine.org/climateEngine | |
| Total Plant Available Water-Holding Capacity (TAWCP) | African SoilGrids of ISRIC World Soil Information | 1000 m | http://africasoils.net/services/data/soil-databases | |
| Weather | Land Surface Temperature (LST) (°C) | MODIS MOD11A2 | 100 m | https://developers.google.com/earth-engine/datasets |
| Lightning | South African Weather Services | 500 m | ||
| Wind speed (m/s) | TerraClimate | 4000 m | https://app.climateengine.org/climateEngine | |
| Anthropogenic | Proximity from road (prox_road) (m) | Open Street Map; SANParks | https://download.geofabrik.de/africa/south-africa.html | |
| Proximity from other infrastructure (built Environment, tourist facilities) (Prox_structure) (m) |
| Normalized FDI Value | Numerical Rating | Fire-Danger Class | Fire-Danger Rating |
|---|---|---|---|
| 0–0.2 | 1 | Low | Insignificant |
| 0.2–0.35 | 2 | Moderate | Low |
| 0.35–0.5 | 3 | Dangerous | Moderate |
| 0.5–0.7 | 4 | Very dangerous | High |
| 0.7–1 | 5 | Extremely dangerous | Extremely High |
| Variable | Abbreviation | VIF | Variable | Abbreviation | VIF |
|---|---|---|---|---|---|
| Aspect | A | 1.06 | Proximity from river | Prox_river | 1.52 |
| Bare soil index | BSI | 1.68 | Proximity from road | Prox_road | 1.23 |
| Soil bulk density | BD | 6.14 | Slope | S | 6.13 |
| Coarse fragments | CF | 2.43 | Soil moisture content | SMC | 2.75 |
| Elevation | E | 8.91 | Total Plant Available Water-Holding Capacity | TAWCP | 1.09 |
| Grass curing index | GCI | 5.99 | Topographic position index | TPI | 1.10 |
| GVMI | 3.64 | Topographic rugedness index | TRI | 6.43 | |
| Proximity from other infrastructure | Prox_structures | 1.15 | Topographic water index | TWI | 1.47 |
| Lightning | L | 1.66 | Vegetation condition index | VCI | 2.48 |
| Land surface temperature | LST | 2.77 | Wind speed | WS | 1.95 |
| Model | Abbreviation | Accuracy/ Model Fit | Success Rate | Prediction Rate |
|---|---|---|---|---|
| Decision tree | DT | 0.93 | 0.96 | 0.5 |
| Frequency ratio | FR | 0.92 | 0.95 | 0.66 |
| Logistic regression | LR | 0.63 | 0.65 | 0.6 |
| Random forest | RF | 0.91 | 0.94 | 0.53 |
| Support vector machines | SVM | 0.63 | 0.64 | 0.59 |
| Weight of evidence | WoE | 0.83 | 0.83 | 0.74 |
| Variable | Unit of Measurement | Abbreviation | Percent Contribution | Permutation Importance |
|---|---|---|---|---|
| Bulk density | Cg/kg | BD | 7.7 | 11.8 |
| Global vegetation moisture index | GVMI | 3.8 | 10.4 | |
| Land surface temperature | °C | LST | 19.9 | 9 |
| Proximity from road | M | prox_road | 4.7 | 8.5 |
| Aspect | ° | A | 11.4 | 8 |
| Proximity from river | M | prox_river | 5.6 | 7.2 |
| Grass curing index | GCI | 2 | 6.9 | |
| Soil moisture content | Mm | SMC | 9.1 | 6.7 |
| Wind speed | m/s | WS | 7.3 | 5.3 |
| Proximity from other infrastructure, e.g., built environment and tourist facilities | prox_structures | 3.6 | 4.1 | |
| Vegetation condition index | VCI | 4.3 | 3.9 | |
| Topographic ruggedness index | TRI | 2.4 | 3.7 | |
| Topographic water index | TWI | 3.4 | 3.7 | |
| Elevation | M | E | 1.3 | 3.2 |
| Slope | S | 1.8 | 2.4 | |
| Bare soil index | BSI | 1.2 | 2.2 | |
| Topographic position index | TPI | 2.6 | 1.6 | |
| Coarse fragments | Cm3/dm3 | CF | 1.9 | 1 |
| Lightning | MJ/m | L | 5.8 | 0.6 |
| Total plant available water-holding capacity | TAWCP | 0.3 | 0 |
Disclaimer/Publisher’s Note: The statements, opinions and data contained in all publications are solely those of the individual author(s) and contributor(s) and not of MDPI and/or the editor(s). MDPI and/or the editor(s) disclaim responsibility for any injury to people or property resulting from any ideas, methods, instructions or products referred to in the content. |
© 2024 by the authors. Licensee MDPI, Basel, Switzerland. This article is an open access article distributed under the terms and conditions of the Creative Commons Attribution (CC BY) license (https://creativecommons.org/licenses/by/4.0/).
Share and Cite
Mofokeng, O.D.; Adelabu, S.A.; Jackson, C.M. An Integrated Grassland Fire-Danger-Assessment System for a Mountainous National Park Using Geospatial Modelling Techniques. Fire 2024, 7, 61. https://doi.org/10.3390/fire7020061
Mofokeng OD, Adelabu SA, Jackson CM. An Integrated Grassland Fire-Danger-Assessment System for a Mountainous National Park Using Geospatial Modelling Techniques. Fire. 2024; 7(2):61. https://doi.org/10.3390/fire7020061
Chicago/Turabian StyleMofokeng, Olga D., Samuel A. Adelabu, and Colbert M. Jackson. 2024. "An Integrated Grassland Fire-Danger-Assessment System for a Mountainous National Park Using Geospatial Modelling Techniques" Fire 7, no. 2: 61. https://doi.org/10.3390/fire7020061
APA StyleMofokeng, O. D., Adelabu, S. A., & Jackson, C. M. (2024). An Integrated Grassland Fire-Danger-Assessment System for a Mountainous National Park Using Geospatial Modelling Techniques. Fire, 7(2), 61. https://doi.org/10.3390/fire7020061

