Abstract
Ammoniacal nitrogen (N-NH3) is one of the pollutants that has adverse effects on the environment and is present in most effluents generated by mining operations. Therefore, mining companies must manage it to keep it below the regulated discharge criteria to avoid environmental contamination. In this context, the present study aims to valorize N-NH3 in the form of ammonium sulphate ((NH4)2SO4) for the manufacture of biochar pellets used as growth substrates for the production of forest seedlings. The biochar was first produced by fast pyrolysis, at 320 °C, and different recipes of pellets were then prepared to evaluate their hardness, binder type and content, humidity and durability. The optimal granule chosen was composed of biochar, corn starch and canola oil. Six combinations of different compositions were then prepared as substrates for black spruce growth: (1) Peat (P); (2) Peat and bulk biochar (PB); (3) Peat and bulk biochar impregnated with ammonium sulfate (PBAS); (4) Peat and biochar pellets impregnated with water (PBPeW); (5) Peat and biochar pellets impregnated with an ammonium sulfate solution (PBPeAS); (6) Peat, biochar pellets impregnated with ammonium sulfate and perlite (PBPeASPer). The effects of these substrates on the growth of black spruce seedlings, as well as fertilizer leaching, were measured. The results show that seedling biomass is equivalent to the control for the granular treatment, but higher biomass was obtained with bulk biochar (PB). This shows that a quarter of peat could be replaced by biochar to obtain similar or even better results of biomass yield and, consequently, solve part of the supply issue. As to plant nutrition, no tendency was observed for the experiments apart from the higher proportion of Ca in spruce needles. The prepared biochar-based pellet substrate appears to not only be advantageous for spruce production but also for other uses such as golf courses, forestry producers and horticultural nurseries using conventional fertilizers and peat as growing media. In addition, these approaches could help the Abitibi-Témiscamingue region in Québec, Canada to build a local circular economy.
1. Introduction
The Abitibi-Témiscamingue is a region located in western Québec, Canada whose economy depends largely on mining and forestry activities. Mining generates several consequences for the environment. For example, ammoniacal nitrogen (dissolved NH3 gas/NH4+ known as N-NH3) is a common pollutant found in mining effluent and is extremely toxic for the environment. Although ammonia has no cumulative effect on the body, its danger to health comes from its great oxidizing power on tissues. Concentrations of 0.4 to 3 ppm are sufficient to decimate 50% of fish populations [1]. In addition, nitrogen excess in watercourses leads to eutrophication and acidification of the latter. The most significant sources of N-NH3 are leaching water from rock that has been in contact with explosives during mine blasting [2,3]. It can also be found in waters from cyanide destruction operations. Indeed, cyanide destruction produces nitrogenous derivatives such as N-NH3 that can be transformed into nitrites (NO2−) and nitrates (NO3−) [3]. The management of N-NH3 concentrates resulting from physical processes (air stripping, cation exchange on zeolites, membrane filtration, etc.) is very problematic. Its precipitation in the form of struvite (MgNH4PO4) applied to a fertilizer, represents one approach used to manage this contaminant [4]. However, this process is very expensive and energy intensive.
The technique of separating N-NH3 from mine water by “air stripping” consists of volatilizing it into a form of ammonia gas and then fixing it by washing with sulfuric acid. This process is often used by mining companies because of the large availability of sulfuric acid and the relatively low cost of this process that produces an ammonium sulfate solution ((NH4)2SO4). However, transportation costs (over several thousand kilometers) affect the potential uses for the latter. Thus, the local use of the resultant solution would not only be beneficial for the production of the plants, but also profitable for the mining companies. It is estimated that for an average mining effluent of 1000 m3/h, a mining operation could generate more than 438 tons of N-NH3 per year. This quantity would allow the fertilization of several million forestry plants, and it could be an advantage for the local valorization of nitrogen concentrates.
Biochar is a carbon-derived material that is produced from the thermochemical conversion of biomass or waste biomass in the absence or low oxygen content and used as a soil amendment [5]. It can also be used for carbon sequestration or for improving soil productivity [5,6,7,8,9,10]. Some studies have shown that charcoal in boreal soils increases nitrogen consumption and tree growth [11,12]. The liming effect of biochar is one mechanism that may explain its positive effect on plant productivity via the optimization of nutrient availability and utilization [12,13]. Biochar addition to soil also promotes increased cation exchange capacity (CEC), nutrient retention and its availability in weathered soils [14]. The CEC of biochar is developed through the oxidation of functional groups on its surface following its exposure to oxygen and water [5]. Thus, the ability of biochar to retain nutrients can be attributed to its high specific surface area and porosity, as well as to its high functional groups loading [5,14]. Additionally, nitrogen is an essential element for seedling production and is among those nutrients that can be retained by biochar [15]. Numerous studies [8,16,17,18] have shown the effectiveness of biochar in retaining nitrogen in the form of NH4+ or NH3, thus preventing its loss when fertilizer releases exceed plant demand. The sorption of ammonium by biochar allows the production of a nitrogen-enriched amendment [19] which could be used for plants. This reflects the efficiency of biochar in transporting nitrogen fertilizers as well as its ability to reduce undesirable environmental consequences, gassing, runoff, and leaching among others [20].
However, although (NH4)2SO4 is used as a fertilizer in agriculture, it has some drawbacks. In acidic environments, its addition may further acidify the environment and cause nutrient loss [21]. At the same time, handling, as well as spreading biochar in the field, also poses some constraints due to its fragility and lightness [22]. Allaire and Lange [23] showed that biochar can be an excellent amendment. However, the dust that is released from biochar makes it difficult to handle and incorporate into peat moss. Peat moss (Sphagnum moss) is the main substrate used in the production of forest seedlings [24]. Peatlands, from which peat is currently harvested, are important carbon sinks. These ecosystems store nine times more carbon than a forest [25]. It would therefore be advantageous to replace some of the peat used by this new growth substrate.
In recent years, wood thermally treated combined with pelletization has attracted a lot of interest for energy applications [26,27,28]. The efficiency of densification parameters were evaluated in order to improve pellets’ physicochemical properties [27,28,29,30]. In this study, biochar pellets were applied as substrates to improve the characteristics of bulk biochar (i.e., fragility and lightness). Dumroese et al. [31,32] found that the size of the pellets made from biochar and wood in equal proportions improves porosity and aeration which are highly desired in seedling production. On the other hand, forest seedling production in greenhouses or fields faces fertilizer losses through leaching. Thus, the combination of biochar and ammonium sulfate in the form of pellets would have the potential to overcome these drawbacks while creating a slow-release fertilizer. In addition, when compared to the vermiculite, they would provide greater porosity, aeration, and easier handling, which are highly desired for seedling production. They could also provide several economic and environmental benefits for mining companies and local forestry regeneration by reducing fertilizer costs and creating natural carbon sinks.
2. Materials and Methods
The methodology used was based on four main steps: (i) biochar production and characterization; (ii) pellet manufacturing and characterization; (iii) seedling production and monitoring; (iv) leachate and resultant tissue analysis.
2.1. Biochar Production and Characterization
According to Köster et al. [33], sawdust biochar has provided good results when replacing some of the peat used in seedling production. In this study, the bulk biochar selected (Figure 1a) was made from spruce wood residues, which are largely available in the Abitibi-Témiscamingue region, pyrolyzed at 320 °C in a fast pyrolysis process using a pilot CarbonFX oven (Airex Energy, Bécancour, QC, Canada). The elemental composition (C, H, N, S, O) of the biochar was determined in a CHNS elemental analyzer, Perkin Elmer 2400 CHNS/O Analyzer (Waltham, MA, USA). Micromeritics ASAP 2460 automatic apparatus (Norcross, GA, USA) was used for obtaining a surface area (SBET; m2/g), calculated by the Brunauer–Emmett–Teller (BET) model [34] through CO2 adsorption at 0 °C.
Figure 1.
Photos of black spruce residues transformed into (a) biochar at 320 °C and (b) biochar pellets.
2.2. Pellet Manufacturing and Characterization
The pellets (Figure 1b) were prepared by using a KAHL granulator (Amandus Kahl, Reinbek, Germany). Preliminary tests allowed the determination of optimum pellet composition: biochar (73.6–100%), wood sawdust (0–20%), oil or starch (binder) content (0–5%) and moisture (20%). These materials were added in a mixer and mixed for 10 min before pelletization. The choice of the different recipes to be tested was based on previous biochar pelletization projects carried out by the Centre Tecnologique des Résidus Industriel (Rouyn-Noranda, QC, Canada) [35]. The components of each recipe were previously mixed in a concrete mixer for 10 min. Table 1 shows the mixtures prepared before choosing the optimal granule. Additionally, various pre-tests were conducted to determine the right die to use according to the diameter of the holes, the thickness of the die as well as the optimal moisture content.
Table 1.
Composition of the experimental pellets, efficacy and durability index (DI).
The durability index (DI) of the recipes was obtained with the attrition test using a Ro-Tab type device (W.S. Tyler, OH, USA). The durability is a parameter that allows the evaluation of granule cohesion (mechanical durability). The calculation of DI (%) was obtained according to the CEN/TS 15210-1 2006 standard method [35]. Following the characterization of all pellets, only one recipe was retained for the greenhouse tests. Thus, two different types of pellets were produced: (i) pellets made of biochar and ammonium sulfate (GBAS) and (ii) pellets made of biochar and water (GBW). To prepare 1.5 kg of pellets (R3), 1.1 kg of biochar, 0.28 kg of wood sawdust, 0.045 kg of oil, 0.075 kg of starch and 0.3 L of water or ammonium sulfate solution (20%) were used.
Humidity retention (HR) tests, i.e., the amount of water that could be retained by each kind of granule at different soaking and agitation times, were carried out. Then, the filtered soaking water was collected to measure the pH and nitrogen content. The different pellets and other substrate components were then dried at 50 °C for a minimum of 72 h to obtain the anhydrous weight. The percentage of humidity retention was calculated using the equation:
The density of the successful pellet recipes was obtained by weighting 10 pellets per recipe (dry basis). To calculate their volume, the samples were immersed in a graduated cylinder, and water displacement was measured.
2.3. Seedling Production and Monitoring
Preliminary tests were carried out just to have an idea about the seedling production, the fertilization grid and the performance of the pellets as a substrate [36]. The final experiment (Figure 2) started on 1 April 2019 and ended on 5 September 2019, for a total of 23 weeks of growth. Brown peat provided by Sun Gro® Horticulture (Agawam, MA, USA) was used without any modification. Black spruce seeds from the Trecesson Nursery (Abitibi, QC, Canada) were planted in trays using the same technique as in Dumroese et al. [31]. The trays were filled with 6 different substrates, namely:
Figure 2.
The final experiment of Black spruce growth on the different substrates for 23 weeks in the greenhouse: 100% peat (P), 75% peat plus 25% bulk biochar (PB), 75% peat plus 25% bulk biochar impregnated with ammonium sulfate (PBAS), 75% peat plus 25% biochar pellets with water (PPeBW), 75% peat plus 25% biochar pellets with ammonium sulfate (PPeBAS) and 62.5% peat plus 25% biochar pellets with ammonium sulfate plus 12.5% perlite (PPeBASPer).
- 100% peat (P);
- 75% peat plus 25% bulk biochar (PB);
- 75% peat plus 25% bulk biochar impregnated with ammonium sulfate (PBAS);
- 75% peat plus 25% biochar pellets with water (PPeBW);
- 75% peat plus 25% biochar pellets with ammonium sulfate (PPeBAS);
- 62.5% peat plus 25% biochar pellets with ammonium sulfate and 12.5% perlite (PPeBASPer).
Each substrate composition was combined with either a half dose (low fertilization) or full dose (high fertilization) of conventional fertilizer for a total of 12 treatments. Three trays (45 cavities of 110 mL volume) were used for each treatment, for a total of 1620 seedlings for the whole study. Watering was carried out manually to maintain a constant surface humidity for the first 10 weeks and then by weight (30% par volume) for the remainder of the study. Germination and growth of the seedlings were monitored weekly and every 2 weeks, respectively.
2.4. Leachate and Resultant Tissue Analysis
The leachate was collected by saturating the substrates, and the roots were washed with tap water and rinsed with distilled water at the end of the study. The plants were dried in an oven, at 50 °C, for 48 h to measure root, branch and needle biomass. The trace metals in the leachate were determined by microwave plasma atomic emission spectroscopy (MP-AES 4200, Agilent 183 Technologies, Mississauga, ON, Canada) and nitrogen was obtained by elemental analysis (CHNS elemental analyzer, Perkin Elmer 2400 CHNS/O Analyzer 157, Waltham, MA, USA). The growth substrates were analyzed at the end of the experiment using different physicochemical analyses, namely, pH, water retention, and nutrient concentration. The same analyses were also carried out for the granules separately from the substrates: PPeBW, PPeBAS and PPeBASPer. These were named PPeBW_Pe, PPeBAS_Pe, PPeBASPer_Pe, respectively. The needles were also analyzed to quantify nitrogen leaf nutrient concentration (Ntotal) by the Kjeldahl method [37] and trace metals by MP-AES.
3. Results and Discussion
3.1. Biochar and Pellet Characterization
Table 2 shows the characterization of Spruce wood residues and its respective biochar. After thermal treatment, the percentage of carbon is slightly increased (48.4 vs. 53.0%), whereas the percentage of hydrogen and oxygen decreased (6.6 and 43.9% vs. 5.7 and 39.8%). Additionally, the biochar presented an important porosity (42 m2/g) compared to the wood residues (0.5 m2/g), which was developed during the pyrolysis process. This ultramicroporosity (lower than 2 nm) might have a positive effect on the sorption/desorption of ((NH4)2SO4) from the biochar-based substrate. The substrate composition was characterized prior to the study and at its termination. As mentioned before, the choice of the different recipes to be tested was based on previous biochar pelletization projects [35]. According to Table 1, five recipes (R2, R3, R6, R8 and R9) had good efficacy and high durability (≥94%) and, thus, were identified as optimal. Thus, the five recipes in the form of pellets impregnated with ammonium sulfate and three raw materials (biochar, peat and perlite) were subjected to the humidity retention test (Figure 3a), nitrogen release (Figure 3b), filtrate pH (Figure 3c) and pellet density (Figure 3d) measurements.
Table 2.
Characterization of spruce wood residues and its respective biochar.

Figure 3.
(a) Percent humidity retention for the five granule recipes (R2, R3, R6, R8 and R9, see Table 1) and three raw materials (biochar, peat and perlite); (b) ammoniacal nitrogen concentration of the filtrate as a function of time; (c) filtrate pH measured after soaking as a function of time over 14 days; (d) the density obtained for each of the eight materials mentioned above (10 pellets per recipe).
The humidity retention test showed that peat alone or mixed with 25% perlite, retains much more water than pellets and raw biochar. If we compare the different pellet recipes, the ones containing more wood sawdust (R2 and R3) tend to retain up to 300% (Figure 3a), while the one containing no sawdust retains the least water distribution in the substrates (R6). The pellets released nitrogen for at least 14 days of soaking with agitation and probably beyond, because the curve did not reach a constant. On the other hand, for the raw materials that were not impregnated with ammonium sulfate, no traces of nitrogen were detected, which confirms that the nitrogen does come from the salt (Figure 3b). It was therefore anticipated that PeBSA (biochar pellet impregnated with ammonium sulphate) would provide nitrogen for a long period of time when incorporated into the substrate. The presence of nitrogen in the pellets will be discussed in the next section.
The pH of the filtrate coming from the pellets tended to decrease considerably (from 6 to 3.5) compared to the biochar alone (from 7 to 5.5) (Figure 3c). However, this difference in pH decreased with time. The density of the different pellet recipes was similar (Figure 3d) and 3 to 4 times higher compared to the bulk biochar, for example. This allowed 3 to 4 times more biochar to be incorporated into the substrate when in granular form. Since none of the pellet recipes with good cohesion stood out after the characterization tests, the recipe with the most biochar was selected. According to Dumroese et al. [31], high ratios of biochar pellets and peat (>50%) are not suitable as substrates for plant nursery production, due to high water retention, bulk density and C:N ratios. In this study, the biochar pellet recipe chosen for seedling production was R6, which had the highest amount of biochar. Thus, the recipe selected was composed of 92% biochar, 3% oil, 5% starch and 20% water or ammonium sulfate (solution at 20%).
3.2. Seedling Production
3.2.1. Preliminary Test
A preliminary test was carried out to refine the final protocol for seedling production. Seeding occurred on 19 March 2018, and three height growth measurements were made on 21 May, 23 July and 3 November 2018, at 9, 18, and 37 weeks of growth, respectively. Four types of substrates were used: (i) control with peat and perlite; (ii) control with peat; (iii) pellets composed of biochar and ammonium sulfate; (iv) pellets composed of biochar and water. The results showed that for all the boxes that did not receive additional fertilization, the growth of the spruce trees was minimal. This observation led to the use of two fertilization treatments (low dose and high dose) for the final study. Additionally, only peat was kept as a control since the two controls showed very similar growth rates. The mortality and germination rates being similar, the graphs are not presented here.
We also observed that the substrates containing pellets dried out less quickly compared to the others. This may be due to higher microporosity and lower macroporosity, as these factors affect the water in the substratum. Additionally, the high level of moisture could explain the lower growth of seedlings on substrates containing pellets. On the other hand, a good difference in plant growth was observed for the two substrates composed of pellets (biochar with ammonium sulfate and water). This difference was more important for the lower dose fertilization. This finding suggests that the substrate with ammonium sulfate pellets provided better nutrition than the one with only water.
Considering these preliminary results, further pre-testing was performed to compare the pellets to non-granulated biochar in different proportions. Since growth delays of spruce seedlings developed in granulated substrates were observed at the beginning of growth (week 18), an additional pre-test using seven treatments with two replicas (two 45/110 seedling containers) was carried out. The results showed that the addition of granulated biochar appeared to be detrimental to seedling growth, whereas bulk biochar, regardless of the proportion added, showed similar growth to the controls. These results showed the relevance of adding a bulk biochar treatment to the final study. The substrates with biochar pellets seemed to retain more moisture, but the watering was uniform for all treatments, so it is possible that too much water was the cause of the growth delay. Root inhibition caused by the biochar may also be a factor. The granular form of substrates could have a barrier effect on the roots. Thus, irrigation was followed more closely for the actual study.
3.2.2. Study Results
Based on the findings of the preliminary tests and the selected pellet recipe, seedling production began on 1 April 2019. Compared to the preliminary study, water behaved differently in the different substrates which delayed the seedling growth at the beginning study. Thus, after the germination stage, watering by weight (30% of the total volume) was adopted. However, it was noticed that the boxes having biochar pellets in their substrates required less water.
In terms of plant height, the pattern is similar for both the full and half dose of fertilizer but amplified for the half dose. The fertilization was established according to a fertilization grid used in the seedling production from a course of the Forestry department of the Abitibi-Témiscamingue College, Rouyn-Noranda, Québec, Canada, using an automatic watering. However, in the present study, watering was carried out by weight, and this may explain the little difference in plant heights observed for both doses. It is probable that the full dose of fertilizer was in excess compared to the half dose. There is a trend toward better growth with the bulk biochar. Biochar pellets with or without perlite showed similar growth patterns to the control. On the other hand, the pellets without ammonium sulfate resulted in a significantly lower growth at both fertilizer doses (Figure 4). The divergence of biochar pellets was more pronounced in the first weeks, as observed in the first preliminary test (data not shown). Perhaps these pellets, not being adsorbed with ammonium sulphate, picked up nutrients during fertilization.
Figure 4.
Height of spruce seedlings growing on the different substrates for 23 weeks: 100% peat (P), 75% peat plus 25% bulk biochar (PB), 75% peat plus 25% bulk biochar impregnated with ammonium sulfate (PBAS), 75% peat plus 25% biochar pellets with water (PPeBW), 75% peat plus 25% biochar pellets with ammonium sulfate (PPeBAS) and 62.5% peat plus 25% biochar pellets with ammonium sulfate plus 12.5% perlite (PPeBASPer), at low (half) and high doses (full) of fertilizer.
The positive effect of bulk biochar on spruce growth, whether impregnated with ammonium sulphate or not, is more than evident for dry biomass (Figure 5). This was seen for both fertilizer treatments. Substrates with incorporated ammonium sulfate pellets (PPeBAS) had the same performance as the control (full dose of fertilizer). In contrast, substrates with water pellets resulted in significantly lower biomass. This suggests that the pellets may slightly limit growth by holding more water and reducing gas exchanges. This is because of an interaction with the nitrogen from water pellets where growth is limited. On the other hand, when ammonium sulfate is added to the pellets with a full dose of fertilizer, the amount of dry biomass is equivalent to the control substrate (only peat).
Figure 5.
Dry biomass of spruce seedlings (collected after 23 weeks) growing on the different types of substrates: 100% peat (P), 75% peat plus 25% bulk biochar (PB), 75% peat plus 25% bulk biochar impregnated with ammonium sulfate (PBAS), 75% peat plus 25% biochar pellets with water (PPeBW), 75% peat plus 25% biochar pellets with ammonium sulfate (PPeBAS) and 62.5% peat plus 25% biochar pellets with ammonium sulfate plus 12.5% perlite (PPeBASPer), with low (half) and high doses (full) of fertilizer.
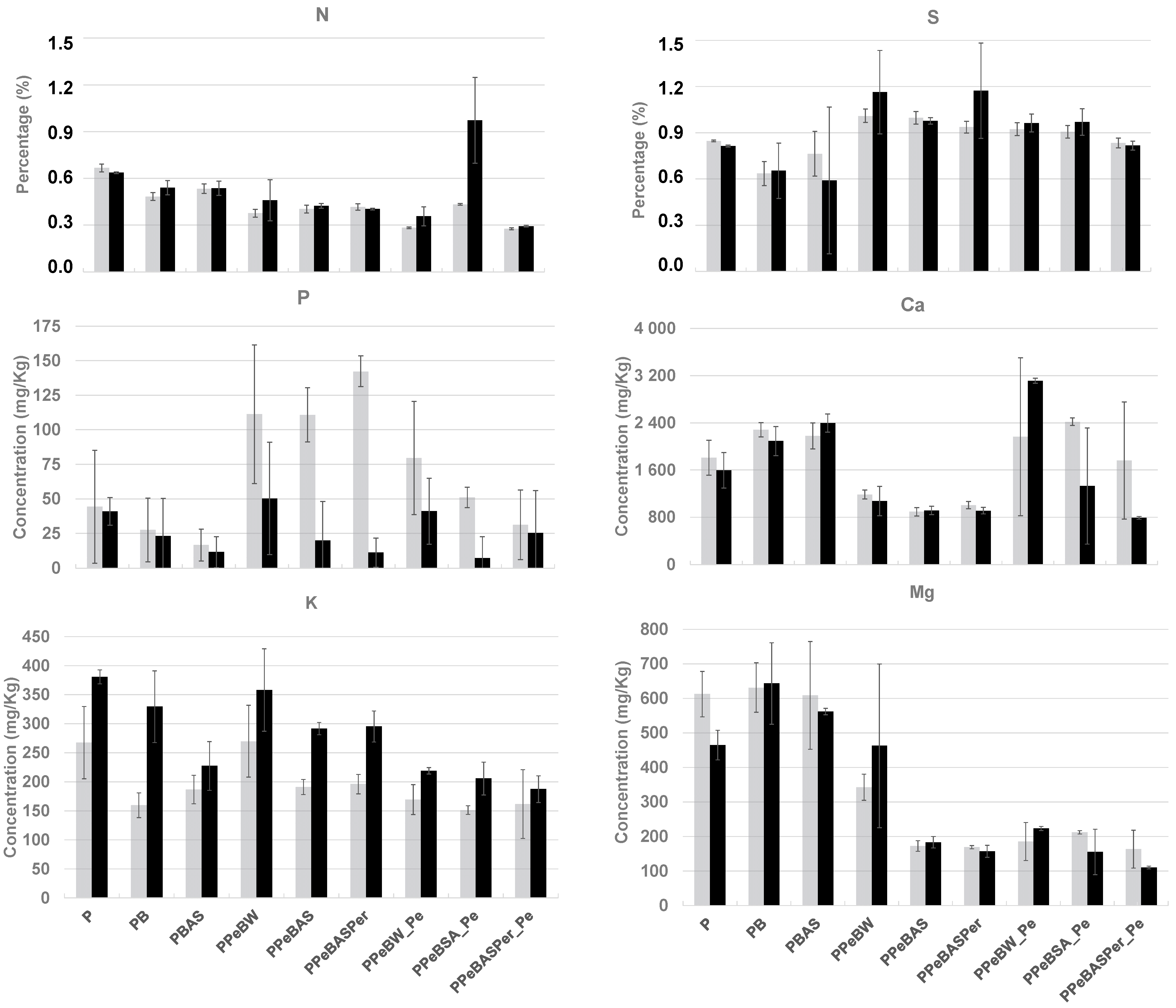
Figure 6 and Figure 7 show the most relevant nutrient contents from the leachate, from substrates and from pellets analyzed separately. Compared to the control (P), all treatments with biochar, whether in granular form or not, have reduced nutrient concentrations in the leachate, with the exception of calcium, which is relatively high in the leachate of the pellet treatments. A study on the use of the same kind of biochar for the removal of copper from a mining effluent showed that when several metals are present in water, a multi-metal competition during the adsorption process is observed [38]. This is probably caused by positively charged Ca being more attracted by the negative surface of the biochar compared to the other metals. Thus, Ca might be released slowly from the pellet substrate over time. This is supported by the fact that there is more Ca in needles for the treatment with pellets (Figure 8).

Figure 6.
Nutrient contents from the leachate (collected after 23 weeks) for each substrate: 100% peat (P), 75% peat plus 25% bulk biochar (PB), 75% peat plus 25% bulk biochar impregnated with ammonium sulfate (PBAS), 75% peat plus 25% biochar pellets with water (PPeBW), 75% peat plus 25% biochar pellets with ammonium sulfate (PPeBAS) and 62.5% peat plus 25% biochar pellets with ammonium sulfate plus 12.5% perlite (PPeBASPer), with low (grey) and high doses (black) of fertilizer.
Figure 7.
Nutrient contents from the substrates (collected after 23 weeks): 100% peat (P), 75% peat plus 25% bulk biochar (PB), 75% peat plus 25% bulk biochar impregnated with ammonium sulfate (PBAS), 75% peat plus 25% biochar pellets with water (PPeBW) (analysis of pellets separately (PPeBW_Pe)), 75% peat plus 25% biochar pellets with ammonium sulfate (PPeBAS) (analysis of pellets separately (PPeBAS_Pe)) and 62.5% peat plus 25% biochar pellets with ammonium sulfate plus 12.5% perlite (PPeBASPer) (analysis of pellets separately (PPeBASPer_Pe)), with low (grey) and high doses (black) of fertilizer.
Figure 8.
Nutrient contents from spruce needles (collected after 23 weeks) for each substrate: 100% peat (P), 75% peat plus 25% bulk biochar (PB), 75% peat plus 25% bulk biochar impregnated with ammonium sulfate (PBAS), 75% peat plus 25% biochar pellets with water (PPeBW), 75% peat plus 25% biochar pellets with ammonium sulfate (PPeBAS) and 62.5% peat plus 25% biochar pellets with ammonium sulfate plus 12.5% perlite (PPeBASPer), with low (grey) and high doses (black) of fertilizer.
As to nutrients coming from the substrates, it is interesting to note that nitrogen is still present in the composition of the pellet only PPeBAS_Pe (Figure 7). Additionally, the substrates composed of pellets and peat showed a higher percentage of phosphorous (low dose), sulfur and calcium (high dose) compared to the control (P). On the other hand, the substrates containing pellets showed a lower percentage of potassium and magnesium compared to the control substrate. However, the substrate having biochar and peat (PB) had, in most cases, the same or better proportions of nutrients compared to the control substrate (P). The needles from the treatments with bulk biochar (PB and PBAS) contained slightly more nitrogen compared to the other treatments as seen in Figure 8. Additionally, all the treatments had less K in their needles than the control.
4. Conclusions
With respect to spruce biomass, the positive effect of bulk biochar on spruce growth, whether impregnated with ammonium sulfate or not, is more than evident. This was true for both fertilizer treatments. Substrates with incorporated ammonium sulphate pellets (PPeBAS) had the same performance as the control (full dose of fertilizer). In contrast, substrates with water pellets supported significantly lower biomass. This suggests that the pellets may slightly limit growth by retaining more water and reducing the amount of air in the substrate. It is also possible that nitrogen retention by the pellets impregnated with water or pH variation (from 3.2 to 5.6) could limit plant growth. On the other hand, when ammonium sulfate is added to the pellets along with a full dose of fertilizer, dry biomass is equivalent to the control.
The use of bulk biochar is the most promising avenue with a biomass increase of about 27%. We can therefore anticipate that this nursery practice, where the production of plants is carried out over two seasons, could have even greater gains. These results suggest a strong potential for the valorization of pyrolyzed sawmill residues in the form of biochar. In addition, the gains resulting from the use of ammonium sulphate are more likely to be observed with the use of pellets but are less obvious. The present results make it difficult to explain the reasons for the growth gains. However, this study shows the potential for circularization of the economy in the region.
Some nurseries that have dust management systems, especially for peat dust, would probably benefit from incorporating biochar into their substrates for not only growth gains but also for carbon storage. Additionally, agglomerated biochar obtained by less costly equipment (e.g., concrete mixer) instead of the present extrusion technique should be investigated in future studies. Moreover, it would be interesting to carry out nursery trials with closer monitoring of substrate water and nutrients in the leachate, substrates and needles. It would also be interesting to study the use of biochar pellets with ammonium sulfate in other applications such as mine site revegetation, horticultural amendments, ligniculture, lawn care and others.
Author Contributions
Conceptualization, É.R.; methodology, É.R. and F.L.B.; validation, É.R. and F.L.B.; formal analysis, É.R.; investigation, É.R.; resources, É.R.; data curation, É.R. and F.L.B.; writing—original draft preparation, É.R. and F.L.B.; writing—review and editing, É.R. and F.L.B.; supervision, É.R.; project administration, É.R.; funding acquisition, É.R. All authors have read and agreed to the published version of the manuscript.
Funding
This research was funded by the Fonds de recherche du Québec—Nature et technologies, Programme de recherche collégiale—2018-CO-210277.
Institutional Review Board Statement
Not applicable.
Informed Consent Statement
Not applicable.
Data Availability Statement
Available data could be obtained by contacting the corresponding author. Such data is not accessible since it is being processed for other projects and private partners.
Acknowledgments
The authors wish to express the great appreciation for M. Richard Lefebvre for spruce production training, Thomas Genty for his expertise in the treatment of N-NH3 and the laboratory personnel of the Centre technologique des résidus industriels (CTRI) for technical assistance.
Conflicts of Interest
The authors declare no conflict of interest.
References
- Zuttah, Y. Destruction de L’ammoniac dans les Effluents Miniers. Master’s Thesis, Département de mines et métaliurgie, Faculté des sciences et de génie, Université Laval, Québec, QC, Canada, 1999. [Google Scholar]
- Revey, G. Practical Methods to Control Explosives Losses and Reduce Ammonia and Nitrate Levels in Mine Water. Min. Eng. 1996, 48, 61–64. [Google Scholar]
- Bailey, B.L.; Smith, L.J.D.; Blowes, D.W.; Ptacek, C.J.; Smith, L.; Sego, D.C. The Diavik Waste Rock Project: Persistence of Contaminants from Blasting Agents in Waste Rock Effluent. Appl. Geochem. 2013, 36, 256–270. [Google Scholar] [CrossRef]
- Gherrou, A. L’azote Ammoniacal, Nouvelle Cible de La Réglementation Sur Les Rejets Industriels. In La revue de l’ordre des chimistes du Québec, Printemps 2012; 2012; Volume 27, pp. 15–20. Available online: https://www.ocq.qc.ca/wp-content/uploads/2015/03/chimistevol27no12012webl.pdf (accessed on 20 July 2021).
- Lehmann, J.; Joseph, S. (Eds.) Biochar for Environmental Management: Science, Technology and Implementation; Routledge: Abingdon, UK, 2015; ISBN 978-1-134-48953-4. [Google Scholar]
- Bonanomi, G.; Ippolito, F.; Scala, F. A “Black” Future for Plant Pathology? Biochar as a New Soil Amendment for Controlling Plant Diseases. J. Plant Pathol. 2015, 97, 223–234. [Google Scholar]
- Purakayastha, T.J.; Kumari, S.; Sasmal, S.; Pathak, H. Biochar Carbon Sequestration in Soil-A Myth or Reality? J. Bio-Resour. Stress Manag. 2015, 6, 623. [Google Scholar] [CrossRef]
- Selvarajh, G.; Ch’ng, H.Y.; Md Zain, N.; Sannasi, P.; Mohammad Azmin, S.N.H. Improving Soil Nitrogen Availability and Rice Growth Performance on a Tropical Acid Soil via Mixture of Rice Husk and Rice Straw Biochars. Appl. Sci. 2020, 11, 108. [Google Scholar] [CrossRef]
- Ding, Y.; Liu, Y.; Liu, S.; Li, Z.; Tan, X.; Huang, X.; Zeng, G.; Zhou, L.; Zheng, B. Biochar to Improve Soil Fertility. A Review. Agron. Sustain. Dev. 2016, 36, 36. [Google Scholar] [CrossRef] [Green Version]
- Rawat, J.; Saxena, J.; Sanwal, P. Biochar: A Sustainable Approach for Improving Plant Growth and Soil Properties. In Biochar-An Imperative Amendment for Soil and the Environment; IntechOpen: London, UK, 2019. [Google Scholar]
- Wardle, D.A.; Zackrisson, O.; Nilsson, M.-C. The Charcoal Effect in Boreal Forests: Mechanisms and Ecological Consequences. Oecologia 1998, 115, 419–426. [Google Scholar] [CrossRef]
- Thomas, S.C.; Gale, N. Biochar and Forest Restoration: A Review and Meta-Analysis of Tree Growth Responses. New For. 2015, 46, 931–946. [Google Scholar] [CrossRef]
- Jeffery, S.; Verheijen, F.G.A.; van der Velde, M.; Bastos, A.C. A Quantitative Review of the Effects of Biochar Application to Soils on Crop Productivity Using Meta-Analysis. Agric. Ecosyst. Environ. 2011, 144, 175–187. [Google Scholar] [CrossRef]
- Liang, B.; Lehmann, J.; Solomon, D.; Kinyangi, J.; Grossman, J.; O’Neill, B.; Skjemstad, J.O.; Thies, J.; Luizão, F.J.; Petersen, J.; et al. Black Carbon Increases Cation Exchange Capacity in Soils. Soil Sci. Soc. Am. J. 2006, 70, 1719–1730. [Google Scholar] [CrossRef] [Green Version]
- DeLuca, T.H.; MacKenzie, M.D.; Gundale, M.J.; Holben, W.E. Wildfire-Produced Charcoal Rirectly Influences Nitrogen Cycling in Ponderosa Pine Forests. Soil Sci. Soc. Am. J. 2006, 70, 448–453. [Google Scholar] [CrossRef] [Green Version]
- Clough, T.J.; Condron, L.M. Biochar and the Nitrogen Cycle: Introduction. J. Environ. Qual. 2010, 39, 1218–1223. [Google Scholar] [CrossRef] [PubMed]
- Aghoghovwia, M.P.; Hardie, A.G.; Rozanov, A.B. Characterisation, Adsorption and Desorption of Ammonium and Nitrate of Biochar Derived from Different Feedstocks. Environ. Technol. 2022, 43, 774–787. [Google Scholar] [CrossRef] [PubMed]
- Amoriello, T.; Fiorentino, S.; Vecchiarelli, V.; Pagano, M. Evaluation of Spent Grain Biochar Impact on Hop (Humulus Lupulus L.) Growth by Multivariate Image Analysis. Appl. Sci. 2020, 10, 533. [Google Scholar] [CrossRef] [Green Version]
- Taghizadeh-Toosi, A.; Clough, T.J.; Sherlock, R.R.; Condron, L.M. Biochar Adsorbed Ammonia Is Bioavailable. Plant Soil 2012, 350, 57–69. [Google Scholar] [CrossRef]
- Spokas, K.A.; Novak, J.M.; Venterea, R.T. Biochar’s Role as an Alternative N-Fertilizer: Ammonia Capture. Plant Soil 2012, 350, 35–42. [Google Scholar] [CrossRef]
- López-Valdez, F.; Fernández-Luqueno, F. (Eds.) Fertilizers: Components, Uses in Agriculture and Environmental Impacts (Biotechnology in Agriculture, Industry and Medicine); Nova Publishers: New York, NY, USA, 2014; ISBN 978-1-63321-051-6. [Google Scholar]
- Kim, P.; Hensley, D.; Labbé, N. Nutrient Release from Switchgrass-Derived Biochar Pellets Embedded with Fertilizers. Geoderma 2014, 232–234, 341–351. [Google Scholar] [CrossRef]
- Allaire, S.E.; Lange, S.F. Substrats Horticoles à Base de Biochars: Performance et Économie; Centre de Recherche sur les Matériaux, Université Laval Renouvelables: Québec, QC, Canada, 2017; p. 40. [Google Scholar]
- Landis, T.D.; Tinus, R.W.; McDonald, S.E.; Barnett, J.P. Seedling Nutrition and Irrigation, Volume 4, The Container Tree Nursery Manual. In Manual Agriculture Handbook; U.S. Department of Agriculture, Forest Service: Washington, DC, USA, 1989; Volume 674. [Google Scholar]
- Gauthier, S.; Vaillancourt, M.-A.; Leduc, A.; De Grandpré, L.; Kneeshaw, D.; Morin, H.; Drapeau, P.; Bergeron, Y. (Eds.) Aménagement Écosystémique En Forêt Boréale, 1st ed.; Presses de l’Université du Québec: Quebec, QC, Canada, 2008; ISBN 978-2-7605-1959-6. [Google Scholar]
- Arous, S.; Koubaa, A.; Bouafif, H.; Bouslimi, B.; Braghiroli, F.L.; Bradai, C. Effect of Pyrolysis Temperature and Wood Species on the Properties of Biochar Pellets. Energies 2021, 14, 6529. [Google Scholar] [CrossRef]
- García, R.; Gil, M.V.; Fanjul, A.; González, A.; Majada, J.; Rubiera, F.; Pevida, C. Residual Pyrolysis Biochar as Additive to Enhance Wood Pellets Quality. Renew. Energy 2021, 180, 850–859. [Google Scholar] [CrossRef]
- Mohammadi, A. Overview of the Benefits and Challenges Associated with Pelletizing Biochar. Processes 2021, 9, 1591. [Google Scholar] [CrossRef]
- García, R.; González-Vázquez, M.P.; Pevida, C.; Rubiera, F. Pelletization Properties of Raw and Torrefied Pine Sawdust: Effect of Co-Pelletization, Temperature, Moisture Content and Glycerol Addition. Fuel 2018, 215, 290–297. [Google Scholar] [CrossRef]
- Bergman, R.; Sahoo, K.; Englund, K.; Mousavi-Avval, S.H. Lifecycle Assessment and Techno-Economic Analysis of Biochar Pellet Production from Forest Residues and Field Application. Energies 2022, 15, 1559. [Google Scholar] [CrossRef]
- Dumroese, R.K.; Heiskanen, J.; Englund, K.; Tervahauta, A. Pelleted Biochar: Chemical and Physical Properties Show Potential Use as a Substrate in Container Nurseries. Biomass Bioenergy 2011, 35, 2018–2027. [Google Scholar] [CrossRef]
- Dumroese, R.; Pinto, J.; Heiskanen, J.; Tervahauta, A.; McBurney, K.; Page-Dumroese, D.; Englund, K. Biochar Can Be a Suitable Replacement for Sphagnum Peat in Nursery Production of Pinus Ponderosa Seedlings. Forests 2018, 9, 232. [Google Scholar] [CrossRef] [Green Version]
- Köster, E.; Pumpanen, J.; Palviainen, M.; Zhou, X.; Köster, K. Effect of Biochar Amendment on the Properties of Growing Media and Growth of Containerized Norway Spruce, Scots Pine, and Silver Birch Seedlings. Can. J. For. Res. 2021, 51, 31–40. [Google Scholar] [CrossRef]
- Brunauer, S.; Emmett, P.H.; Teller, E. Adsorption of Gases in Multimolecular Layers. J. Am. Chem. Soc. 1938, 60, 309–319. [Google Scholar] [CrossRef]
- CEN/TS 15210-1 2006 Solid Biofuels-Methods for the Determination of Mechanical Durability of PELLETS and briquettes-Part 1: Pellets. Available online: https://standards.iteh.ai/catalog/standards/sist/13971322-aa71-4d22-b678-c5469189521c/sist-ts-cen-ts-15210-1-2006 (accessed on 1 March 2018).
- Ministère des Forêts, de la Faune et des Parcs Production de Résineux En Récipients. Available online: https://mffp.gouv.qc.ca/les-forets/production-semences-plants-forestiers/plants/techniques/resineuses/recipients/ (accessed on 25 July 2022).
- Kjeldahl, J. New Method for the Determination of Nitrogen. Chem. News 1883, 48, 101–102. [Google Scholar] [CrossRef]
- Braghiroli, F.L.; Bouafif, H.; Neculita, C.M.; Koubaa, A. Performance of Physically and Chemically Activated Biochars in Copper Removal from Contaminated Mine Effluents. Water Air Soil Pollut. 2019, 230, 178. [Google Scholar] [CrossRef]
Publisher’s Note: MDPI stays neutral with regard to jurisdictional claims in published maps and institutional affiliations. |
© 2022 by the authors. Licensee MDPI, Basel, Switzerland. This article is an open access article distributed under the terms and conditions of the Creative Commons Attribution (CC BY) license (https://creativecommons.org/licenses/by/4.0/).









