Abstract
Spatial confinements induce localization or delocalization on the electron density in atoms and molecules, and the hydrogen atom is not the exception to these results. In previous works, this system has been confined by an infinite and a finite potential where the wave-function exhibits an exact solution, and, consequently, their Shannon entropies deliver exact results. In this article, the Shannon entropy in configuration space is examined for the hydrogen atom submitted to four different potentials: (a) infinite potential; (b) Coulomb plus harmonic oscillator; (c) constant potential; and (d) dielectric continuum. For all these potentials, the Schrödinger equation admitted an exact analytic solution, and therefore the corresponding electron density has a closed-form. From the study of these confinements, we observed that the Shannon entropy in configuration space is a good indicator of localization and delocalization of the electron density for ground and excited states of the hydrogen atom confined under these circumstances. In particular, the confinement imposed by a parabolic potential induced characteristics that were not presented for other confinements; for example, the kinetic energy exhibited oscillations when the confinement radius is varied and such oscillations coincided with oscillations showed by the Shannon entropy in configuration space. This result indicates that, when the kinetic energy is increased, the Shannon entropy is decreased and vice versa.
1. Introduction
The confined atom model consists of the application of an external potential over an atom. Typically, the external potential is radial, and the atom is centered in a sphere of radius [1,2]. This model has been used to mimic the environment where an atom is immersed [1,3,4,5,6] or to test the quality of theoretical models that provide the electronic structure of atomic systems [7,8]. For example, the performance of exchange-correlation functionals has been tested when an atom is submitted to extreme conditions [9,10] or sophisticate methods have been tested over atoms with a few electrons to deliver accurate total energies or electron densities [11,12]. From these applications, unexpected results have been found for some atoms confined by different potentials. For example, if the external potential is infinite (impenetrable walls [13,14,15,16]) on the sphere surface and the radius is reduced, then there are crossings among some orbital energies. In this sense, some results have shown that for small the orbital is higher than the in a potassium atom presenting the electronic transition, which is observed experimentally [17,18]. Another exciting result observed in confined atoms is the delocalization of the electron density for atoms confined by an external potential with a finite value (penetrable walls) over the sphere that defines the confinement. For this case, when is reduced, and the highest occupied orbital energy is close to the value imposed by the finite potential, the wave-function, or electron density, starts to be dispersed over the whole space, i.e., these quantities are delocalized [19]. For many-electron atoms, by using the Hartree–Fock approximation, Rodriguez-Bautista et al. [20] proposed to the Shannon entropy [21,22,23] in the configuration space
as indicator to measure the delocalization of the electron density when penetrable walls confine many-electron atoms. They found that such a delocalization is evidenced if the Shannon entropy change
is used. In this case, corresponds to the Shannon entropy of a confined atom and is related to the atom. They found that for confinements where the electron density is localized and if the electron density is delocalized . For impenetrable confinement, Sen found that the Shannon entropy for many-electron atoms decreases when the confinement radius acquires small values [24], which is consistent with results reported by Mukherjee and Roy [25,26] for the hydrogen atom confined by impenetrable walls. For this kind of confinement, there is no doubt about the localization of the electron density since the electrons do not have possibilities to escape. Conclusions obtained for many-electron atoms coincide with those obtained by Aquino et al. [27] for the hydrogen atom. In fact, many features observed for many-electron atoms are recovered by the hydrogen atom. Thus, the aim of this article is the study of the Shannon entropy in configuration space for the hydrogen atom confined by different confinements, not only confinements imposed by a constant or an infinite potential since in this article we deal confinements imposed by a dielectric continuum and by an isotropic harmonic potentials.
2. Methodology
In atomic units (, , and ), the Schrödinger equation associated to the hydrogen atom has the expression
with the potential defined as
In this definition, Z represents the atomic number, is the radius of the cavity or confinement radius, and is the confinement potential. In this article, we consider four confinements defined as
represents a constant potential, is the angular frequency of the oscillator and is the relative permittivity of the corresponding dielectric. From these expressions, it is clear that the wave-function can be analyzed as the product and consequently the radial differential equation is
The solution of this equation for the potentials considered in this article was obtained in similar way to the procedure designed by Ley-Koo and Rubistein [28]. Thus, the solution must be represented in two parts: and . For the internal part where the potential is Coulombic, the radial wave-function has the expression
with
and
Starting with
For the external region, each potential has associated its own solution. Naturally, for the infinite potential, the solution is . The solution for the external region is represented as , and for the isotropic harmonic potential, finite potential, and dielectric continuum potential, respectively.
For the confinement imposed by an isotropic harmonic oscillator potential, the solution is
where must satisfy the differential equation
Details for this solution will be published elsewhere since in this article we are interested only in the corresponding electron density.
Ley-Koo and Rubinstein [28] gave the solution for the constant potential , which is
and the corresponding differential equation for is
Finally, for the dielectric continuum potential Martínez-Sánchez et al. [29] found that
in this case, must satisfy
The following boundary conditions
and
assure continuity in the wave-function and its first derivative. In addition, these conditions connect and . In fact, this is the way to obtain if is fixed; conversely, can be obtained from a fixed .
We have delineated the way to solve the Schrödinger equation for the confined hydrogen atom. From here, it is possible to obtain the electron density and the Shannon entropy in configuration space. For this purpose, we do use the spherical average of the electron density,
in the same way as Gadre et al. studied the Shannon entropy in many-electron atoms [30].
3. Results
3.1. Free Hydrogen Atom
In this article, is the central quantity to analyze for the confined hydrogen atom. For this reason, is discussed in first instance. According to Equation (19), the spherical average of the electron density for the hydrogen atom is
where are hydrogen-like wave-functions. The Shannon entropy for this case is
where is a normalization constant, is the expected value of the position
and
are the associated Laguerre polynomials. The two integrals of Equation (21) have no closed-form solution [31]. For impenetrable walls, Jiao et al. reported only the first integral since they studied the hydrogen atom under this confinement [31]. There are two important features to mention for the evaluation of these integrals:
- The first integral vanishes for s orbitals ().
- The second integral does not contribute to the final result for orbitals that satisfy the relationship (no nodes in the wave-function).
The ground state for the hydrogen atom satisfies both conditions and therefore allows an exact analytical expression for the Shannon entropy [32],
For other states, numerical techniques are necessary to evaluate Equation (21). The Shannon entropy in configuration space for some states of a hydrogen-like atom is presented in Figure 1. In this figure, it is evident how decreases when the atomic number Z acquires high values; in fact, this property exhibits negative values for , which is obtained from Equation (24). Besides, we expect localization of the electron density for high values of Z, in this sense the electron density is confined for high values of Z. This result is supported by the Shannon entropy in Figure 1. Thus, the smaller is , the bigger is the localization. From Figure 1, we conclude that this result is valid for ground and excited states. This figure is interesting since, if we fix Z, for example , then we observe that orbitals in the hydrogen atom exhibit different grade of localization because . This conclusion is completely in accord with those plots presented for the radial distribution function for the hydrogen atom in quantum mechanics books, where the orbital is more extended to the . Furthermore, if we use , then this quantity always is negative, which is associated to localization of the electron density. However, we found that this exhibits the same rate as a function of Z. This means that all orbitals in the hydrogen atom give the same response for the localization when the atomic number is increased.
Figure 1.
Shannon entropy for several states of a hydrogen-like atom as a function of the atomic number.
3.2. Confined Hydrogen Atom
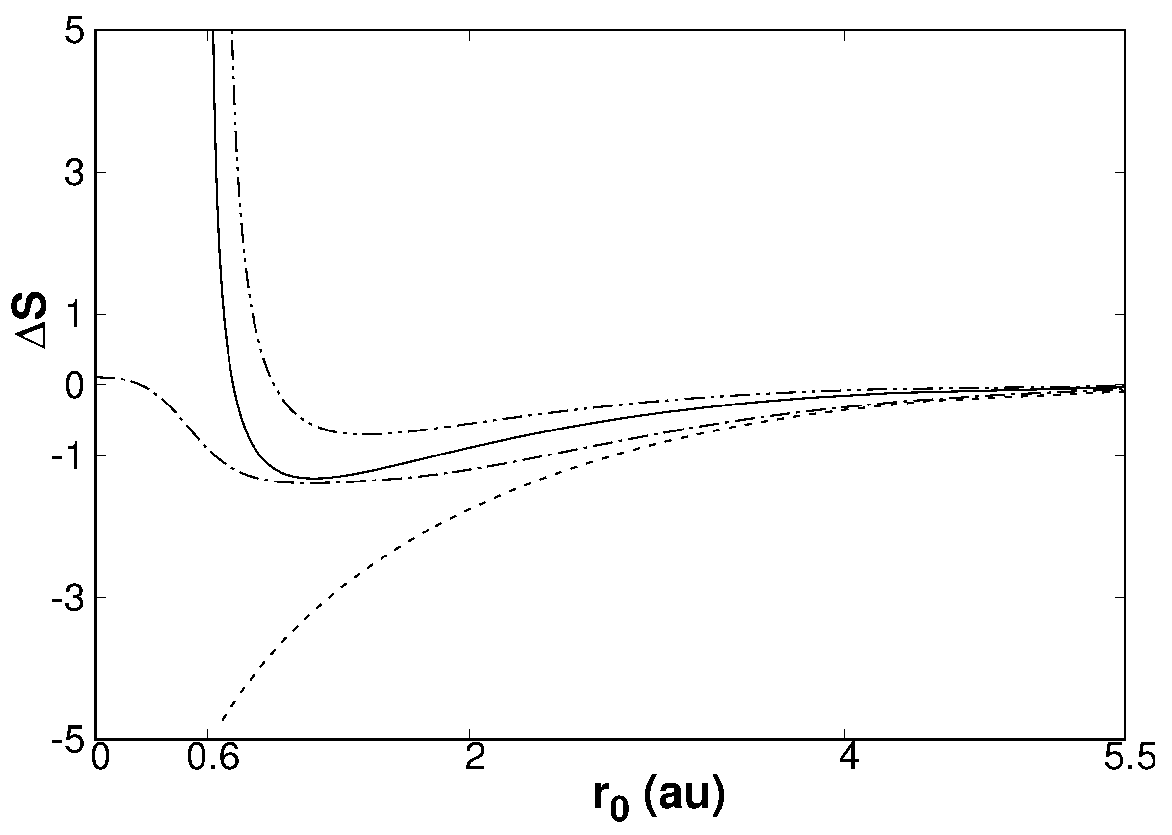
Now, we discuss for the four confinements as a function of the confinement radius using as reference the Shannon entropy of the hydrogen atom depicted in Figure 1 for 1. For this analysis, the Shannon entropy depends on the confinement potential and the confinement radius . The change of the Shannon entropy defined as is depicted in Figure 2 for the ground state of the confined hydrogen atom. In this figure, is presented as a function of . If the system is used as reference, then, for moderate values of , all potentials localize to the electron density since . When is small, , except for impenetrable walls [33], and consequently shows a minimum (except for impenetrable walls). The position of the corresponding minimum and its deepness depend on the confinement potential. The ionization of the hydrogen atom is expected when this atom is confined by a dielectric continuum and a constant potential since in these cases grows up rapidly. From this figure, we observe such an electron detachment first for the dielectric continuum and after it for the constant potential if we use the atom as the starting point.
Figure 2.
Change in the Shannon entropy of the ground state () of the hydrogen atom confined by impenetrable walls (dashed line), finite walls with au (solid line), a dielectric continuum (dot-dot-dashed line) and a parabolic potential au (dot-dashed line).
The analysis of the confinement imposed by a parabolic potential deserves its own space. From Figure 2, it is clear that, in the limit , . This result corresponds to the between the isotropic harmonic oscillator [32]
and the hydrogen atom. This result suggests that the wave-function for the isotropic harmonic oscillator is more extended than that obtained for the hydrogen atom. To corroborate this suggestion, in Figure 3, we compare the orbital 1s associated to the isotropic harmonic oscillator and the hydrogen atom. In this figure, we observe that in the asymptotic region the wave-function associated to the isotropic harmonic oscillator goes to zero faster than that observed for the hydrogen atom. However, the maximum of the radial distribution function of the isotropic harmonic oscillator is displaced to values of r bigger than that observed for the free hydrogen atom. This is a significant result since the Shannon entropy in configuration space gives information of the delocalization of the electron density over the whole domain, which is not restricted only for the asymptotic region.
Figure 3.
Radial distribution function for the ground state of the free hydrogen atom (solid line) and an isotropic harmonic oscillator with au, (dot-dashed line).
For excited states, exhibits some interesting characteristics which are not present for the ground state. For example, the associated to 2s and 2p is presented in Figure 4. From this figure we found that, except for the parabolic potential, the behavior for is almost the same as that obtained for the ground state. Naturally, these orbitals do not have the same extension and for that reason exhibit some displacements in these states. However, for the parabolic potential this property presents different number of minima and this number corresponds to the number of nodes in the wave-function plus 1. We analyzed several states to corroborate this result. As an additional example, we present for the 4s state in Figure 5a. In this case, the wave-function has three nodes and consequently we expect four minima in , which is verified in in this figure.
Figure 4.
Change in the Shannon entropy of the state of the hydrogen atom confined by impenetrable walls (dashed line), finite walls with au (solid line), a dielectric continuum (dot-dot-dashed line) and a parabolic potential au (dot-dashed line).
Figure 5.
(a) Shannon entropy and (b) kinetic (dot-dot-dashed line) and potential energy (solid line) for the state of the hydrogen atom confined by a parabolic potential ( au).
Only for the ground state , for other states , which indicates that these states for the isotropic harmonic oscillator are more localized than the corresponding states in the free hydrogen atom. Besides, the position of each minimum for is also reported in Figure 5a. To explore possible reasons for this behavior, we computed total energy and components of this property for each state.
The kinetic (K) and potential (V) energies are depicted in Figure 5b where we found two limits; one of these limits corresponds to the free hydrogen atom () and the other to the isotropic harmonic oscillator (). From this figure, we observe oscillations in both components of the energy, curiously where the kinetic energy shows a maximum the potential energy exhibits a minimum and vice versa. In the same plot, we report the position of each maximum found for the kinetic energy. If we compare plots in Figure 5, it is evident that maxima of the kinetic energy coincide with minima of . Thus, if the confinement imposed by the parabolic potential decreases the kinetic energy, then the Shannon entropy in the configuration space will be increased.
4. Conclusions
In this article, we present the Shannon entropy in configuration space associated to the exact electron density of the hydrogen atom confined by four different potentials. The Shannon entropy always decreased when the confinement is imposed by impenetrable walls and the radius of the cavity is reduced. For this case, there is a direct relationship between localization of the electron density and the Shannon entropy in configuration space. Contrary to this behavior, confinements imposed by a dielectric continuum or a constant potential are able to eject an electron for small confinement radii. For these cases, the Shannon entropy grew up rapidly around the zone where the detachment is observed. Thus, large values of the Shannon entropy in configuration space represent delocalization in the electron density. The parabolic potential induced oscillation on the Shannon entropy in configuration space, which is related to oscillations on the energy components. We found that the sites where the kinetic energy is maximum are in the same position of the minima exhibited by the Shannon entropy.
Author Contributions
M.-A.M.-S., R.V. and J.G. contributed in the same way.
Funding
This research was funded by CONACYT, México, through the project FC-2016/2412 and the scholarship 574390.
Acknowledgments
The authors thank the facilities provided by the Laboratorio de Supercómputo y Visualización en Paralelo at the Universidad Autónoma Metropolitana-Iztapalapa.
Conflicts of Interest
The authors declare no conflict of interest.
References
- Michels, A.; Boer, J.D.; Bijl, A. Remarks concerning molecular interaction and their influence on the polarisability. Physica 1937, 4, 981. [Google Scholar] [CrossRef]
- Sommerfeld, A.; Welker, H. Künstliche Grenzbedingungen beim Keplerproblem. Ann. Phys. 1938, 32, 56–65. [Google Scholar] [CrossRef]
- Jortner, J.; Coulson, C.A. Environmental effects on atomic energy levels. Mol. Phys. 1961, 24, 451–464. [Google Scholar] [CrossRef]
- Gorecki, J.; Byers-Brown, W. Padded-box model for the effect of pressure on helium. J. Phys. B At. Mol. Opt. Phys. 1988, 21, 403–410. [Google Scholar] [CrossRef]
- Connerade, J.P.; Dolmatov, V.K.; Lakshmi, P.A.; Manson, S.T. Electron structure of endohedrally confined atoms: Atomic hydrogen in an attractive shell. J. Phys. B At. Mol. Opt. Phys. 1999, 32, L239–L245. [Google Scholar] [CrossRef]
- Dolmatov, V. Photoionization of Atoms Encaged in Spherical Fullerenes. Adv. Quantum Chem. 2009, 58, 13–68. [Google Scholar]
- Ivanov, S.; Burke, K.; Levy, M. Exact high-density limit of correlation potential for two-electron density. J. Chem. Phys. 1999, 110, 10262–10268. [Google Scholar] [CrossRef]
- Ludeña, E.V. Exact analytic total energy functional for Hooke’s atom generated by local-scaling transformations. Int. J. Quantum Chem. 2004, 99, 297–907. [Google Scholar] [CrossRef]
- Martínez-Sánchez, M.A.; Rodriguez-Bautista, M.; Vargas, R.; Garza, J. Solution of the Kohn–Sham equations for many-electron atoms confined by penetrable walls. Theor. Chem. Acc. 2016, 135, 207. [Google Scholar] [CrossRef]
- Duarte-Alcaráz, F.A.; Martínez-Sánchez, M.A.; Rivera-Almazo, M.; Vargas, R.; Rosas-Burgos, R.A.; Garza, J. Testing one-parameter hybrid exchange functionals in confined atomic systems. J. Phys. B At. Mol. Opt. Phys. 2019, 52, 135002. [Google Scholar] [CrossRef]
- Sarsa, A.; Buendía, E.; Gálvez, F.J. Multi-configurational explicitly correlated wave functions for the study of confined many electron atoms. J. Phys. B At. Mol. Opt. Phys. 2016, 49, 145003. [Google Scholar] [CrossRef]
- Gálvez, F.J.; Buendía, E.; Sarsa, A. Confinement effects on the electronic structure of M-shell atoms: A study with explicitly correlated wave functions. Int. J. Quantum Chem. 2017, 117, e25421. [Google Scholar] [CrossRef]
- Ludeña, E.V. SCF Hartree–Fock calculations of ground state wavefunctions of compressed atoms. J. Chem. Phys. 1978, 69, 1770. [Google Scholar] [CrossRef]
- Connerade, J.P.; Dolmatov, V. Controlling orbital collapse from inside and outside a transition element. J. Phys. B At. Mol. Opt. Phys. 1998, 31, 3557–3564. [Google Scholar] [CrossRef]
- Connerade, J.P.; Dolmatov, V.; Lakshmi, P.A. The filling of shells in compressed atoms. J. Phys. B At. Mol. Opt. Phys. 2000, 33, 251–264. [Google Scholar] [CrossRef]
- Garza, J.; Vargas, R.; Vela, A. Numerical self-consistent-field method to solve the Kohn-Sham equations in confined many-electron atoms. Phys. Rev. E 1998, 58, 3949–3954. [Google Scholar] [CrossRef]
- Sen, K.D.; Garza, J.; Vargas, R.; Vela, A. Effective pressure induced electronic transition in spherically confined alkali metal atoms. Proc. Indian Nat. Sci. Acad. 2004, 70A, 675. [Google Scholar]
- Guerra, D.; Vargas, R.; Fuentealba, P.; Garza, J. Modeling pressure effects on the electronic properties of Ca, Sr, and Ba by the confined atoms model. Adv. Quantum Chem. 2009, 58, 1. [Google Scholar]
- Rodriguez-Bautista, M.; Díaz-García, C.; Navarrete-López, A.M.; Vargas, R.; Garza, J. Roothaan’s approach to solve the Hartree-Fock equations for atoms confined by soft walls: Basis set with correct asymptotic behavior. J. Chem. Phys. 2015, 143, 034103. [Google Scholar] [CrossRef]
- Rodriguez-Bautista, M.; Vargas, R.; Aquino, N.; Garza, J. Electron-density delocalization in many-electron atoms confined by penetrable walls: A Hartree–Fock study. Int. J. Quantum Chem. 2018, 118, 2018. [Google Scholar] [CrossRef]
- Shannon, C.E. A mathematical theory of communication. Bell Syst. Tech. J. 1948, 27, 379–423. [Google Scholar] [CrossRef]
- Corso, H.H.; Laguna, H.G.; Sagar, R.P. Localization-delocalization phenomena in a cyclic box. J. Math. Chem. 2012, 50, 233–248. [Google Scholar] [CrossRef]
- Corso, H.H.; Castaño, E.; Laguna, H.G.; Sagar, R.P. Measuring localization-delocalization phenomena in a quantum corral. J. Math. Chem. 2013, 51, 179–193. [Google Scholar] [CrossRef]
- Sen, K.D. Characteristic features of Shannon information entropy of confined atoms. J. Chem. Phys. 2005, 123, 074110. [Google Scholar] [CrossRef]
- Mukherjee, N.; Roy, A.K. Information-entropic measures for non-zero l states of confined hydrogen-like ions. Eur. Phys. J. D 2018, 72, 118. [Google Scholar] [CrossRef]
- Mukherjee, N.; Roy, A.K. Information-entropic measures in free and confined hydrogen atom. Int. J. Quantum Chem. 2018, 118, e25596. [Google Scholar] [CrossRef]
- Aquino, N.; Campoy, G.; Montgomery, H.E. Highly Accurate Solutions for the Confined Hydrogen Atom. Int. J. Quantum Chem. 2007, 107, 1548–1558. [Google Scholar] [CrossRef]
- Ley-Koo, E.; Rubinstein, S. The hydrogen atom within spherical boxes with penetrable walls. J. Chem. Phys. 1979, 71, 351–357. [Google Scholar] [CrossRef]
- Martínez-Sánchez, M.A.; Aquino, N.; Vargas, R.; Garza, J. Exact solution for the hydrogen atom confined by a dielectric continuum and the correct basis set to study many-electron atoms under similar confinements. Chem. Phys. Lett. 2017, 690, 14–19. [Google Scholar] [CrossRef]
- Gadre, S.R.; Sears, S.B.; Chakravorty, S.J.; Bendale, R.D. Some novel characteristics of atomic information entropies. Phys. Rev. A 1985, 32, 2602–2606. [Google Scholar] [CrossRef]
- Jiao, L.; Zan, L.; Zhang, Y.; Ho, Y. Benchmark values of Shannon entropy for spherically confined hydrogen atom. Int. J. Quantum Chem. 2017, 117, e25375. [Google Scholar] [CrossRef]
- Yáñez, R.J.; Van Assche, W.; Dehesa, J.S. Position and momentum information entropies of the D-dimensional harmonic oscillator and hydrogen atom. Phys. Rev. A 1994, 50, 3065–3079. [Google Scholar] [CrossRef] [PubMed]
- Aquino, N.; Flores-Riveros, A.; Rivas-Silva, J. Shannon and Fisher entropies for a hydrogen atom under soft spherical confinement. Phys. Lett. A 2013, 377, 2062–2068. [Google Scholar] [CrossRef]
© 2019 by the authors. Licensee MDPI, Basel, Switzerland. This article is an open access article distributed under the terms and conditions of the Creative Commons Attribution (CC BY) license (http://creativecommons.org/licenses/by/4.0/).




