Synthetic Endocrine Disruptors in Fragranced Products
Abstract
1. Introduction
2. Endocrine Disruptors
Health Effects of Endocrine Disruption
3. Endocrine Disrupting Chemicals in Fragranced Products
3.1. Phthalates
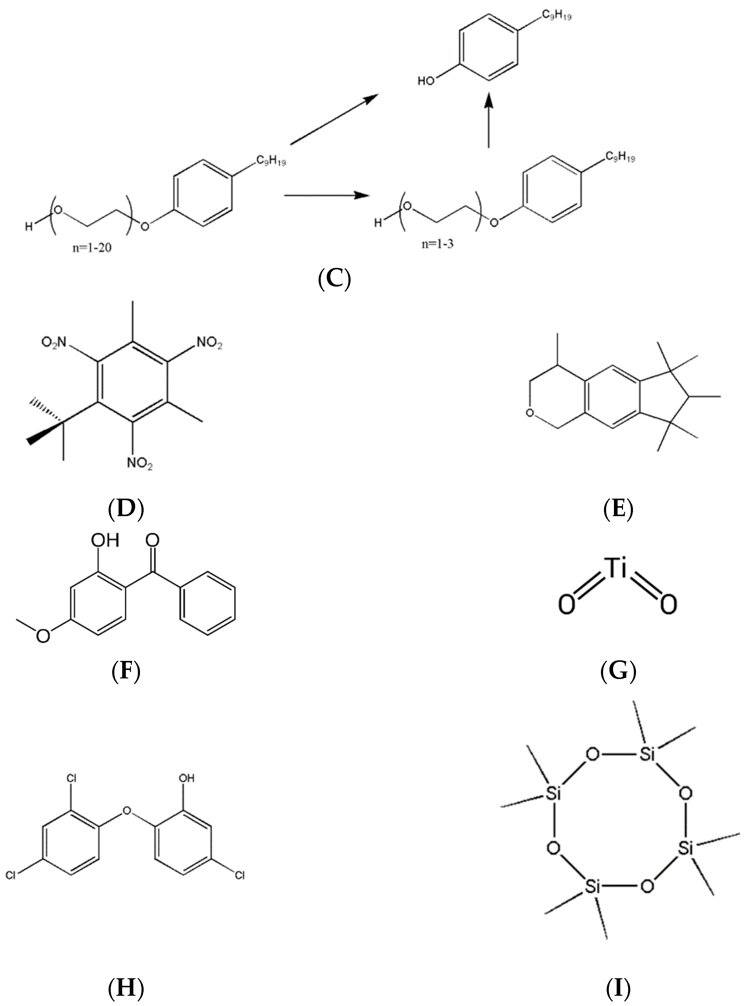
3.2. Parabens
3.3. Alkylphenols
3.4. Nitro Musks and Polycyclic Musks
3.5. UV Filters
3.6. Triclosan
3.7. Cyclic Methylsiloxanes
4. Exposure Pathways of Endocrine Disruptors
4.1. Inhalation
4.2. Dermal Application
4.3. Ingestion
5. Environmental Impact
6. Bioaccumulation and Biomagnification
7. Synergistic Effects
8. Natural vs. Synthetic Products
8.1. Chirality
8.2. “-Green-” or “-All Natural-” Products
9. Conclusions
Author Contributions
Funding
Acknowledgments
Conflicts of Interest
References
- Demeniex, B. Endocrine Disruptors: From Scientific Evidence to Human Health Protection; EPRS: Brussels, Belgium, 2019; Available online: https://policycommons.net/artifacts/1335366/endocrine-disruptors/1941828/ (accessed on 4 January 2024).
- Rosol, T.J.; DeLellis, R.A.; Harvey, P.W.; Sutcliffe, C. Endocrine System. In Haschek and Rousseaux’s Handbook of Toxicologic Pathology; Elsevier: Amsterdam, The Netherlands, 2013; pp. 2391–2492. ISBN 978-0-12-415759-0. [Google Scholar]
- Darbre, P. Overview of Air Pollution and Endocrine Disorders. Int. J. Gener. Med. 2018, 11, 191–207. [Google Scholar] [CrossRef] [PubMed]
- Bergman, Å.; Heindel, J.; Jobling, S.; Kidd, K.; Zoeller, R.T. State-of-the-Science of Endocrine Disrupting Chemicals, 2012. Toxicol. Lett. 2012, 211, S3. [Google Scholar] [CrossRef]
- Hiller-Sturmhöfel, S. The Endocrine System. Alcohol Health Res. World 1998, 22, 153–164. [Google Scholar] [PubMed]
- Le Maire, A.; Bourguet, W.; Balaguer, P. A Structural View of Nuclear Hormone Receptor: Endocrine Disruptor Interactions. Cell. Mol. Life Sci. 2010, 67, 1219–1237. [Google Scholar] [CrossRef] [PubMed]
- Sheikh, I.A.; Turki, R.F.; Abuzenadah, A.M.; Damanhouri, G.A.; Beg, M.A. Endocrine Disruption: Computational Perspectives on Human Sex Hormone-Binding Globulin and Phthalate Plasticizers. PLoS ONE 2016, 11, e0151444. [Google Scholar] [CrossRef] [PubMed]
- Calder, P.C. Eicosanoids. Essays Biochem. 2020, 64, 423–441. [Google Scholar] [CrossRef] [PubMed]
- Combarnous, Y.; Nguyen, T.M.D. Comparative Overview of the Mechanisms of Action of Hormones and Endocrine Disruptor Compounds. Toxics 2019, 7, 5. [Google Scholar] [CrossRef] [PubMed]
- Takayanagi, S.; Tokunaga, T.; Liu, X.; Okada, H.; Matsushima, A.; Shimohigashi, Y. Endocrine Disruptor Bisphenol A Strongly Binds to Human Estrogen-Related Receptor γ (ERRγ) with High Constitutive Activity. Toxicol. Lett. 2006, 167, 95–105. [Google Scholar] [CrossRef] [PubMed]
- Banerjee, A.; De, P.; Kumar, V.; Kar, S.; Roy, K. Quick and Efficient Quantitative Predictions of Androgen Receptor Binding Affinity for Screening Endocrine Disruptor Chemicals Using 2D-QSAR and Chemical Read-Across. Chemosphere 2022, 309, 136579. [Google Scholar] [CrossRef] [PubMed]
- Balaguer, P.; Delfosse, V.; Grimaldi, M.; Bourguet, W. Structural and Functional Evidences for the Interactions between Nuclear Hormone Receptors and Endocrine Disruptors at Low Doses. C. R. Biol. 2017, 340, 414–420. [Google Scholar] [CrossRef]
- Montes-Grajales, D.; Bernardes, G.J.L.; Olivero-Verbel, J. Urban Endocrine Disruptors Targeting Breast Cancer Proteins. Chem. Res. Toxicol. 2016, 29, 150–161. [Google Scholar] [CrossRef] [PubMed]
- Witorsch, R.J.; Thomas, J.A. Personal Care Products and Endocrine Disruption: A Critical Review of the Literature. Crit. Rev. Toxicol. 2010, 40, 1–30. [Google Scholar] [CrossRef] [PubMed]
- Chen, X.; Xu, S.; Tan, T.; Lee, S.; Cheng, S.; Lee, F.; Xu, S.; Ho, K. Toxicity and Estrogenic Endocrine Disrupting Activity of Phthalates and Their Mixtures. Int. J. Environ. Res. Public Health 2014, 11, 3156–3168. [Google Scholar] [CrossRef] [PubMed]
- Hamid, N.; Junaid, M.; Pei, D.-S. Combined Toxicity of Endocrine-Disrupting Chemicals: A Review. Ecotoxicol. Environ. Saf. 2021, 215, 112136. [Google Scholar] [CrossRef] [PubMed]
- Wuttke, W.; Jarry, H.; Seidlova-Wuttke, D. Definition, classification and mechanism of action of endocrine disrupting chemicals. Hormones 2010, 9, 9–15. [Google Scholar] [CrossRef] [PubMed]
- Ripamonti, E.; Allifranchini, E.; Todeschi, S.; Bocchietto, E. Endocrine Disruption by Mixtures in Topical Consumer Products. Cosmetics 2018, 5, 61. [Google Scholar] [CrossRef]
- Buckley, J.P.; Herring, A.H.; Wolff, M.S.; Calafat, A.M.; Engel, S.M. Prenatal Exposure to Environmental Phenols and Childhood Fat Mass in the Mount Sinai Children’s Environmental Health Study. Environ. Int. 2016, 91, 350–356. [Google Scholar] [CrossRef] [PubMed]
- Meng, M.; Yang, Y.; Song, L.; Peng, J.; Li, S.; Gao, Z.; Bu, Y.; Gao, J. Association between Urinary Phthalates and Phthalate Metabolites and Cancer Risk: A Systematic Review and Meta-Analysis. Heliyon 2024, 10, e29684. [Google Scholar] [CrossRef]
- Costa, H.E.; Cairrao, E. Effect of Bisphenol A on the Neurological System: A Review Update. Arch. Toxicol. 2024, 98, 1–73. [Google Scholar] [CrossRef]
- Mariana, M.; Castelo-Branco, M.; Soares, A.M.; Cairrao, E. Phthalates’ Exposure Leads to an Increasing Concern on Cardiovascular Health. J. Hazard. Mater. 2023, 457, 131680. [Google Scholar] [CrossRef]
- Goralczyk, K. A Review of the Impact of Selected Anthropogenic Chemicals from the Group of Endocrine Disruptors on Human Health. Toxics 2021, 9, 146. [Google Scholar] [CrossRef] [PubMed]
- Metcalfe, C.D.; Bayen, S.; Desrosiers, M.; Muñoz, G.; Sauvé, S.; Yargeau, V. An Introduction to the Sources, Fate, Occurrence and Effects of Endocrine Disrupting Chemicals Released into the Environment. Environ. Res. 2022, 207, 112658. [Google Scholar] [CrossRef]
- Chingin, K.; Chen, H.; Gamez, G.; Zhu, L.; Zenobi, R. Detection of Diethyl Phthalate in Perfumes by Extractive Electrospray Ionization Mass Spectrometry. Anal. Chem. 2009, 81, 123–129. [Google Scholar] [CrossRef]
- Paulsen, L. The Health Risks of Chemicals in Personal Care Products and Their Fate in the Environment. Chem. Honor. Pap. 2015, 15. Available online: https://digitalcommons.conncoll.edu/chemhp/15/ (accessed on 1 February 2024).
- He, M.-J.; Lu, J.-F.; Wang, J.; Wei, S.-Q.; Hageman, K.J. Phthalate Esters in Biota, Air and Water in an Agricultural Area of Western China, with Emphasis on Bioaccumulation and Human Exposure. Sci. Total Environ. 2020, 698, 134264. [Google Scholar] [CrossRef] [PubMed]
- Net, S.; Sempéré, R.; Delmont, A.; Paluselli, A.; Ouddane, B. Occurrence, Fate, Behavior and Ecotoxicological State of Phthalates in Different Environmental Matrices. Environ. Sci. Technol. 2015, 49, 4019–4035. [Google Scholar] [CrossRef]
- Rádis-Baptista, G. Do Synthetic Fragrances in Personal Care and Household Products Impact Indoor Air Quality and Pose Health Risks? JoX 2023, 13, 121–131. [Google Scholar] [CrossRef]
- Kazemi, Z.; Aboutaleb, E.; Shahsavani, A.; Kermani, M.; Kazemi, Z. Evaluation of Pollutants in Perfumes, Colognes and Health Effects on the Consumer: A Systematic Review. J. Environ. Health Sci. Eng. 2022, 20, 589–598. [Google Scholar] [CrossRef] [PubMed]
- Chantelouve, M.; Ripoll, L. Endocrine Disruptors in Cosmetics, a Review; Université du Québec à Chicoutimi: Saguenay, QC, Canada, 2022; Available online: https://constellation.uqac.ca/id/eprint/8464/ (accessed on 23 January 2024).
- Mitra, P.; Chatterjee, S.; Paul, N.; Ghosh, S.; Das, M. An Overview of Endocrine Disrupting Chemical Paraben and Search for An Alternative—A Review. Proc. Zool. Soc. 2021, 74, 479–493. [Google Scholar] [CrossRef]
- Priac, A.; Morin-Crini, N.; Druart, C.; Gavoille, S.; Bradu, C.; Lagarrigue, C.; Torri, G.; Winterton, P.; Crini, G. Alkylphenol and Alkylphenol Polyethoxylates in Water and Wastewater: A Review of Options for Their Elimination. Arab. J. Chem. 2017, 10, S3749–S3773. [Google Scholar] [CrossRef]
- Roosens, L.; Covaci, A.; Neels, H. Concentrations of Synthetic Musk Compounds in Personal Care and Sanitation Products and Human Exposure Profiles through Dermal Application. Chemosphere 2007, 69, 1540–1547. [Google Scholar] [CrossRef]
- Van Der Burg, B.; Schreurs, R.; Van Der Linden, S.; Seinen, W.; Brouwer, A.; Sonneveld, E. Endocrine Effects of Polycyclic Musks: Do We Smell a Rat? Int. J. Androl. 2008, 31, 188–193. [Google Scholar] [CrossRef] [PubMed]
- Schmeiser, H.H.; Gminski, R.; Mersch-Sundermann, V. Evaluation of Health Risks Caused by Musk Ketone. Int. J. Hyg. Environ. Health 2001, 203, 293–299. [Google Scholar] [CrossRef]
- Homem, V.; Silva, E.; Alves, A.; Santos, L. Scented Traces—Dermal Exposure of Synthetic Musk Fragrances in Personal Care Products and Environmental Input Assessment. Chemosphere 2015, 139, 276–287. [Google Scholar] [CrossRef] [PubMed]
- Frosch, P.J.; Johansen, J.D.; White, I.R. (Eds.) Fragrances; Springer: Berlin/Heidelberg, Germany, 1998; pp. 125–150, 159–166, 182–190. ISBN 978-3-642-80342-0. [Google Scholar]
- Schreurs, R.H.M.M. Interaction of Polycyclic Musks and UV Filters with the Estrogen Receptor (ER), Androgen Receptor (AR), and Progesterone Receptor (PR) in Reporter Gene Bioassays. Toxicol. Sci. 2004, 83, 264–272. [Google Scholar] [CrossRef]
- Santander Ballestín, S.; Luesma Bartolomé, M.J. Toxicity of Different Chemical Components in Sun Cream Filters and Their Impact on Human Health: A Review. Appl. Sci. 2023, 13, 712. [Google Scholar] [CrossRef]
- Wang, J.; Pan, L.; Wu, S.; Lu, L.; Xu, Y.; Zhu, Y.; Guo, M.; Zhuang, S. Recent Advances on Endocrine Disrupting Effects of UV Filters. Int. J. Environ. Res. Public Health 2016, 13, 782. [Google Scholar] [CrossRef]
- Lorigo, M.; Quintaneiro, C.; Breitenfeld, L.; Cairrao, E. Exposure to UV-B Filter Octylmethoxycinnamate and Human Health Effects: Focus on Endocrine Disruptor Actions. Chemosphere 2024, 358, 142218. [Google Scholar] [CrossRef] [PubMed]
- Dodson, R.E.; Nishioka, M.; Standley, L.J.; Perovich, L.J.; Brody, J.G.; Rudel, R.A. Endocrine Disruptors and Asthma-Associated Chemicals in Consumer Products. Environ. Health Perspect. 2012, 120, 935–943. [Google Scholar] [CrossRef] [PubMed]
- Fang, J.-L.; Stingley, R.L.; Beland, F.A.; Harrouk, W.; Lumpkins, D.L.; Howard, P. Occurrence, Efficacy, Metabolism, and Toxicity of Triclosan. J. Environ. Sci. Health C Toxicol. Carcinog. 2010, 28, 147–171. [Google Scholar] [CrossRef]
- Horii, Y.; Kannan, K. Survey of Organosilicone Compounds, Including Cyclic and Linear Siloxanes, in Personal-Care and Household Products. Arch. Environ. Contam. Toxicol. 2008, 55, 701–710. [Google Scholar] [CrossRef]
- Asif, Z.; Chen, Z.; Haghighat, F.; Nasiri, F.; Dong, J. Estimation of Anthropogenic VOCs Emission Based on Volatile Chemical Products: A Canadian Perspective. Environ. Manag. 2023, 71, 685–703. [Google Scholar] [CrossRef]
- Quinn, A.L.; Regan, J.M.; Tobin, J.M.; Marinik, B.J.; McMahon, J.M.; McNett, D.A.; Sushynski, C.M.; Crofoot, S.D.; Jean, P.A.; Plotzke, K.P. In Vitro and In Vivo Evaluation of the Estrogenic, Androgenic, and Progestagenic Potential of Two Cyclic Siloxanes. Toxicol. Sci. 2006, 96, 145–153. [Google Scholar] [CrossRef]
- Halios, C.H.; Landeg-Cox, C.; Lowther, S.D.; Middleton, A.; Marczylo, T.; Dimitroulopoulou, S. Chemicals in European Residences—Part I: A Review of Emissions, Concentrations and Health Effects of Volatile Organic Compounds (VOCs). Sci. Total Environ. 2022, 839, 156201. [Google Scholar] [CrossRef] [PubMed]
- Nazaroff, W.W.; Coleman, B.K.; Destaillats, H.; Hodgson, A.T.; Liu, D.-L.; Lunden, M.M.; Singer, B.C.; Weschler, C.J. Indoor Air Chemistry: Cleaning Agents, Ozone and Toxic Air Contaminants; Air Resources Board, California Environmental Protection Agency: Berkeley, CA, USA, 2006. Available online: https://ww2.arb.ca.gov/sites/default/files/classic/research/apr/past/01-336.pdf (accessed on 11 January 2024).
- Lee, I.; Scrochi, C.; Chon, O.; Cancellieri, M.A.; Ghosh, A.; O’Brien, J.; Ring, B.; McNamara, C.; Api, A.M. Detailed Aggregate Exposure Analysis Shows That Exposure to Fragrance Ingredients in Consumer Products Is Low: Many Orders of Magnitude below Thresholds of Concern. Regul.Toxicol. Pharmacol. 2024, 148, 105569. [Google Scholar] [CrossRef]
- Bickers, D.R.; Calow, P.; Greim, H.A.; Hanifin, J.M.; Rogers, A.E.; Saurat, J.-H.; Glenn Sipes, I.; Smith, R.L.; Tagami, H. The Safety Assessment of Fragrance Materials. Regul. Toxicol. Pharmacol. 2003, 37, 218–273. [Google Scholar] [CrossRef] [PubMed]
- Sumner, N.R.; Guitart, C.; Fuentes, G.; Readman, J.W. Inputs and Distributions of Synthetic Musk Fragrances in an Estuarine and Coastal Environment; a Case Study. Environ. Pollut. 2010, 158, 215–222. [Google Scholar] [CrossRef]
- Yin, L.; Wang, B.; Yuan, H.; Deng, S.; Huang, J.; Wang, Y.; Yu, G. Pay Special Attention to the Transformation Products of PPCPs in Environment. Emerg. Contam. 2017, 3, 69–75. [Google Scholar] [CrossRef]
- Ahmed, F.; Mirza, F. Fragrances and Their Effects on Public Health: A Narrative Literature Review; Environmental Health Association of Quebec: Quebec, QC, Canada, 2020; Available online: https://aseq-ehaq.ca/wp-content/uploads/2020/07/effects-of-fragrances_LitRev.pdf (accessed on 12 January 2024).
- Ramirez, A.J.; Brain, R.A.; Usenko, S.; Mottaleb, M.A.; O’Donnell, J.G.; Stahl, L.L.; Wathen, J.B.; Snyder, B.D.; Pitt, J.L.; Perez-Hurtado, P.; et al. Occurrence of Pharmaceuticals and Personal Care Products in Fish: Results of a National Pilot Study in the United States. Environ. Toxicol. Chem. 2009, 28, 2587–2597. [Google Scholar] [CrossRef] [PubMed]
- Ebele, A.J.; Abou-Elwafa Abdallah, M.; Harrad, S. Pharmaceuticals and Personal Care Products (PPCPs) in the Freshwater Aquatic Environment. Emerg. Contam. 2017, 3, 1–16. [Google Scholar] [CrossRef]
- Arruda, V.; Simões, M.; Gomes, I.B. Synthetic Musk Fragrances in Water Systems and Their Impact on Microbial Communities. Water 2022, 14, 692. [Google Scholar] [CrossRef]
- Archer, E.; Petrie, B.; Kasprzyk-Hordern, B.; Wolfaardt, G.M. The Fate of Pharmaceuticals and Personal Care Products (PPCPs), Endocrine Disrupting Contaminants (EDCs), Metabolites and Illicit Drugs in a WWTW and Environmental Waters. Chemosphere 2017, 174, 437–446. [Google Scholar] [CrossRef]
- Adeleye, A.S.; Xue, J.; Zhao, Y.; Taylor, A.A.; Zenobio, J.E.; Sun, Y.; Han, Z.; Salawu, O.A.; Zhu, Y. Abundance, Fate, and Effects of Pharmaceuticals and Personal Care Products in Aquatic Environments. J. Hazard. Mater. 2022, 424, 127284. [Google Scholar] [CrossRef]
- Lopardo, L.; Adams, D.; Cummins, A.; Kasprzyk-Hordern, B. Verifying Community-Wide Exposure to Endocrine Disruptors in Personal Care Products—In Quest for Metabolic Biomarkers of Exposure via in Vitro Studies and Wastewater-Based Epidemiology. Water Res. 2018, 143, 117–126. [Google Scholar] [CrossRef]
- Kim, S.-K. Trophic Transfer of Organochlorine Pesticides through Food-Chain in Coastal Marine Ecosystem. Environ. Eng. Res. 2019, 25, 43–51. [Google Scholar] [CrossRef]
- Beek, B.; Böhling, S.; Bruckmann, U.; Franke, C.; Jöhncke, U.; Studinger, G. The Assessment of Bioaccumulation. In Bioaccumulation—New Aspects and Developments; The Handbook of Environmental Chemistry; Springer: Berlin/Heidelberg, Germany, 2001; Volume 2J, pp. 235–276. [Google Scholar] [CrossRef]
- Kesic, R.; Elliott, J.E.; Fremlin, K.M.; Gauthier, L.; Drouillard, K.G.; Bishop, C.A. Continuing Persistence and Biomagnification of DDT and Metabolites in Northern Temperate Fruit Orchard Avian Food Chains. Environ. Toxicol. Chem. 2021, 40, 3379–3391. [Google Scholar] [CrossRef] [PubMed]
- Skarphedinsdottir, H.; Gunnarsson, K.; Gudmundsson, G.A.; Nfon, E. Bioaccumulation and Biomagnification of Organochlorines in a Marine Food Web at a Pristine Site in Iceland. Arch. Environ. Contam. Toxicol. 2010, 58, 800–809. [Google Scholar] [CrossRef] [PubMed]
- Ikemoto, T.; Tu, N.P.C.; Watanabe, M.X.; Okuda, N.; Omori, K.; Tanabe, S.; Tuyen, B.C.; Takeuchi, I. Analysis of Biomagnification of Persistent Organic Pollutants in the Aquatic Food Web of the Mekong Delta, South Vietnam Using Stable Carbon and Nitrogen Isotopes. Chemosphere 2008, 72, 104–114. [Google Scholar] [CrossRef] [PubMed]
- Katagi, T. Bioconcentration, Bioaccumulation, and Metabolism of Pesticides in Aquatic Organisms. In Review of Environmental Contamination and Toxicology Volume 204; Whitacre, D.M., Ed.; Reviews of Environmental Contamination and Toxicology; Springer: New York, NY, USA, 2010; Volume 204, pp. 1–132. ISBN 978-1-4419-1445-3. [Google Scholar]
- Lee, I.; Ji, K. Identification of Combinations of Endocrine Disrupting Chemicals in Household Chemical Products That Require Mixture Toxicity Testing. Ecotoxicol. Environ. Saf. 2022, 240, 113677. [Google Scholar] [CrossRef]
- Delfosse, V.; Huet, T.; Harrus, D.; Granell, M.; Bourguet, M.; Gardia-Parège, C.; Chiavarina, B.; Grimaldi, M.; Le Mével, S.; Blanc, P.; et al. Mechanistic Insights into the Synergistic Activation of the RXR–PXR Heterodimer by Endocrine Disruptor Mixtures. Proc. Natl. Acad. Sci. USA 2021, 118, e2020551118. [Google Scholar] [CrossRef]
- Li, J.; Li, S.; Wang, F.; Xin, F. Structural and Biochemical Insights into the Allosteric Activation Mechanism of AMP -activated Protein Kinase. Chem. Biol. Drug Des. 2017, 89, 663–669. [Google Scholar] [CrossRef] [PubMed]
- Sharmeen, J.; Mahomoodally, F.; Zengin, G.; Maggi, F. Essential Oils as Natural Sources of Fragrance Compounds for Cosmetics and Cosmeceuticals. Molecules 2021, 26, 666. [Google Scholar] [CrossRef]
- De Groot, A.C.; Frosch, P.J. Adverse Reactions to Fragrances: A Clinical Review. Contact Dermat. 1997, 36, 57–86. [Google Scholar] [CrossRef]
- Kempińska-Kupczyk, D.; Kot-Wasik, A. The Potential of LC–MS Technique in Direct Analysis of Perfume Content. Monatsh. Chem. 2019, 150, 1617–1623. [Google Scholar] [CrossRef]
- Steinemann, A. Fragranced Consumer Products: Exposures and Effects from Emissions. Air Qual. Atmos. Health 2016, 9, 861–866. [Google Scholar] [CrossRef]
- Lu, C.-H.; Fang, M.-C.; Chen, Y.-Z.; Huang, S.-C.; Wang, D.-Y. Quantitative Analysis of Fragrance Allergens in Various Matrixes of Cosmetics by Liquid-Liquid Extraction and GC-MS. J. Food Drug Anal. 2021, 29, 700–708. [Google Scholar] [CrossRef] [PubMed]
- Aghoutane, Y.; Brebu, M.; Moufid, M.; Ionescu, R.; Bouchikhi, B.; El Bari, N. Detection of Counterfeit Perfumes by Using GC-MS Technique and Electronic Nose System Combined with Chemometric Tools. Micromachines 2023, 14, 524. [Google Scholar] [CrossRef]
- Gomes, C.L.; De Lima, A.C.A.; Loiola, A.R.; Da Silva, A.B.R.; Cândido, M.C.L.; Nascimento, R.F. Multivariate Classification of Original and Fake Perfumes by Ion Analysis and Ethanol Content. J. Forensic Sci. 2016, 61, 1074–1079. [Google Scholar] [CrossRef]
- Howes, M.-J.R.; Houghton, P.J.; Barlow, D.J.; Pocock, V.J.; Milligan, S.R. Assessment of Estrogenic Activity in Some Common Essential Oil Constituents. J. Pharm. Pharmacol. 2010, 54, 1521–1528. [Google Scholar] [CrossRef] [PubMed]
- Ramsey, J.T.; Li, Y.; Arao, Y.; Naidu, A.; Coons, L.A.; Diaz, A.; Korach, K.S. Lavender Products Associated With Premature Thelarche and Prepubertal Gynecomastia: Case Reports and Endocrine-Disrupting Chemical Activities. J. Clin. Endocrinol. Metab. 2019, 104, 5393–5405. [Google Scholar] [CrossRef]
- Moses, J. Prepubertal Gynecomastia Linked to Lavender and Tea Tree Oils. N. Engl. J. Med. 2007, 356, 479–485. [Google Scholar] [CrossRef]
- Hawkins, J.; Hires, C.; Dunne, E.; Keenan, L. Prevalence of Endocrine Disorders among Children Exposed to Lavender Essential Oil and Tea Tree Essential Oils. Int. J. Pediatr. Adolesc. Med. 2022, 9, 117–124. [Google Scholar] [CrossRef] [PubMed]
- Pal, A.K.; Bahadur, B. Chirality in Nature and Biomolecules: An Overview. Int. J. Life Sci. 2020, 9, 72. [Google Scholar] [CrossRef]
- Nematollahi, N.; Ross, P.A.; Hoffmann, A.A.; Kolev, S.D.; Steinemann, A. Limonene Emissions: Do Different Types Have Different Biological Effects? Int. J. Environ. Res. Public Health 2021, 18, 10505. [Google Scholar] [CrossRef]










Disclaimer/Publisher’s Note: The statements, opinions and data contained in all publications are solely those of the individual author(s) and contributor(s) and not of MDPI and/or the editor(s). MDPI and/or the editor(s) disclaim responsibility for any injury to people or property resulting from any ideas, methods, instructions or products referred to in the content. |
© 2024 by the authors. Licensee MDPI, Basel, Switzerland. This article is an open access article distributed under the terms and conditions of the Creative Commons Attribution (CC BY) license (https://creativecommons.org/licenses/by/4.0/).
Share and Cite
Ashcroft, S.; Dosoky, N.S.; Setzer, W.N.; Satyal, P. Synthetic Endocrine Disruptors in Fragranced Products. Endocrines 2024, 5, 366-381. https://doi.org/10.3390/endocrines5030027
Ashcroft S, Dosoky NS, Setzer WN, Satyal P. Synthetic Endocrine Disruptors in Fragranced Products. Endocrines. 2024; 5(3):366-381. https://doi.org/10.3390/endocrines5030027
Chicago/Turabian StyleAshcroft, Sawyer, Noura S. Dosoky, William N. Setzer, and Prabodh Satyal. 2024. "Synthetic Endocrine Disruptors in Fragranced Products" Endocrines 5, no. 3: 366-381. https://doi.org/10.3390/endocrines5030027
APA StyleAshcroft, S., Dosoky, N. S., Setzer, W. N., & Satyal, P. (2024). Synthetic Endocrine Disruptors in Fragranced Products. Endocrines, 5(3), 366-381. https://doi.org/10.3390/endocrines5030027

