A Method to Identify the Critical Seismic Input for Curved Bridges
Abstract
1. Introduction
2. Curved Bridge Dynamic Response Analysis
- There was no restriction of the plate rubber support properties under tension.
- There was no friction difference when installing the rubber support under or above the covered beam.
2.1. Different Column Heights Effects
- Column heights had strong effects on natural frequencies, especially for lower modes.
- The first mode’s natural frequency was usually less than 2 Hz. It showed some coupling effects for higher modes.
- With the column height increasing, higher-mode-shape natural frequencies were reduced.
- The first two modes were motions along the horizontal or longitudinal direction.
- The higher mode demonstrated coupling between the bridge girder and the column.
2.2. Different Bridge Spans Effects
- Bridge span length had some effects on the natural frequency, but there were no strong impacts on the lower natural frequency.
- It showed some coupling effects for higher modes.
- With the column height increasing, the higher-mode-shape natural frequencies changed rapidly.
- The first two modes were motions along the horizontal or longitudinal directions.
- The first three mode shapes were not affected by span length differences.
2.3. Different Radius Curvature Effects
- The radius curvature had minimal effects on the natural frequency.
- It showed some coupling effects for higher modes.
- The first two modes were motions along the horizontal or longitudinal directions.
- The radius curvature had minimal impacts on the modal shape. The first five modal shapes were not affected by radius curvature changes.
- When the radius curvature reached infinity, modal shapes higher than six modes varied dramatically. This might be due to the radius changes in our models not changing gradually.
2.4. Various Support Arrangements Effects
- Different supports had some effects on natural frequency values, especially for the first three modes, but not for higher modes.
- It showed some coupling effects for higher modes.
- Mode shapes were mostly symmetrical and anti-symmetrical.
- Support arrangements had impacts on both lower and higher modes.
- When fixed supports were adopted at columns 2 and 3, the mode shape natural frequencies of columns 1 and 4 were reduced and occupied a higher percentage.
3. Curved Bridge Time History Analysis under Seismic Input
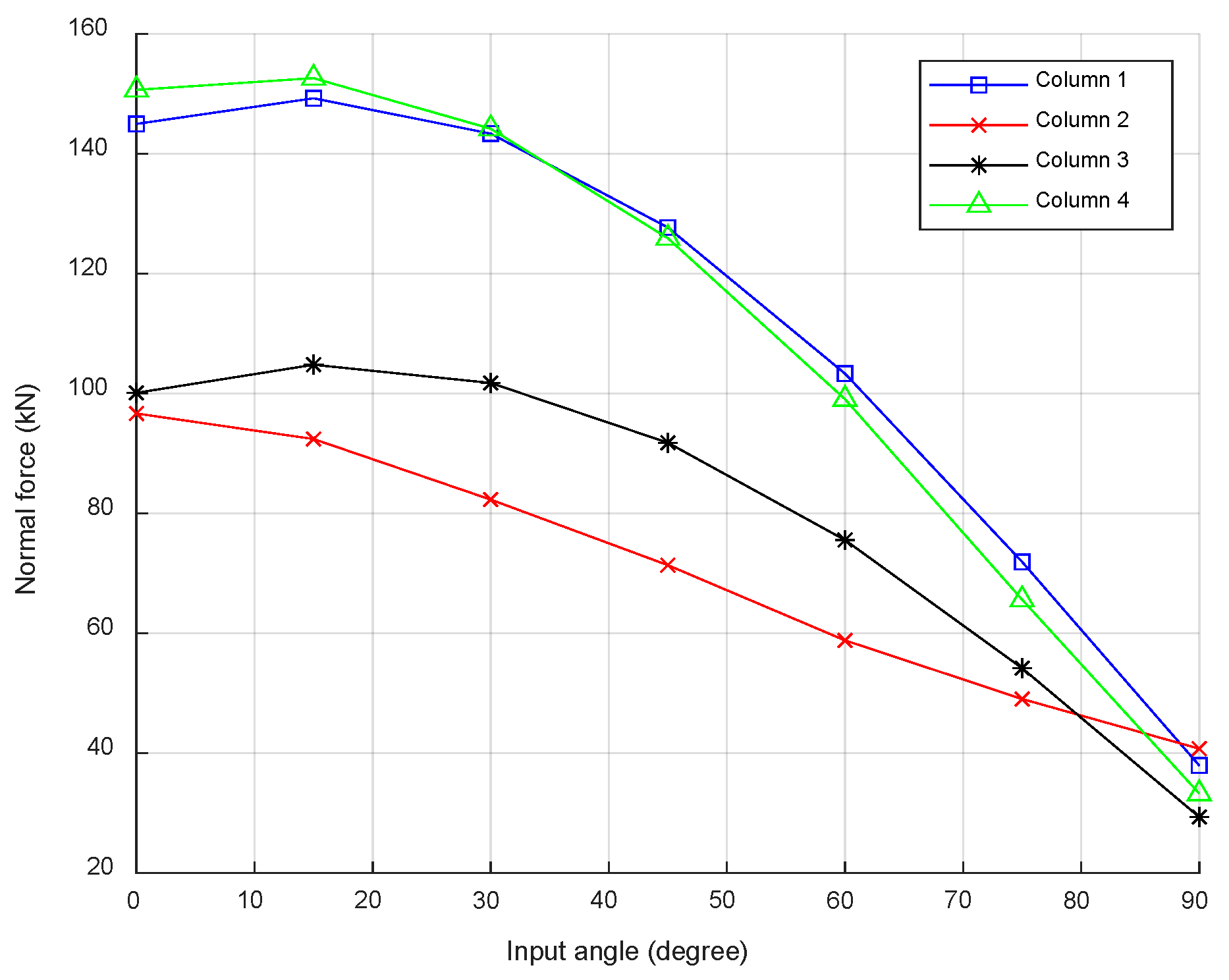
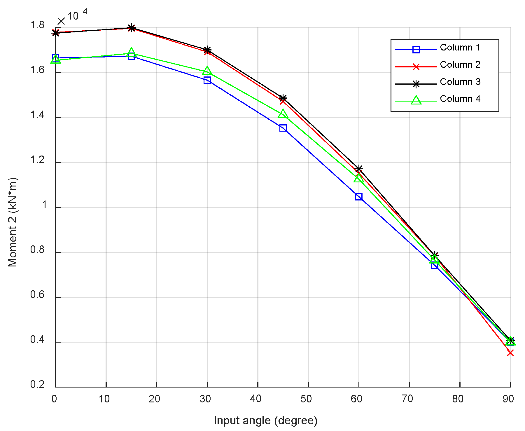
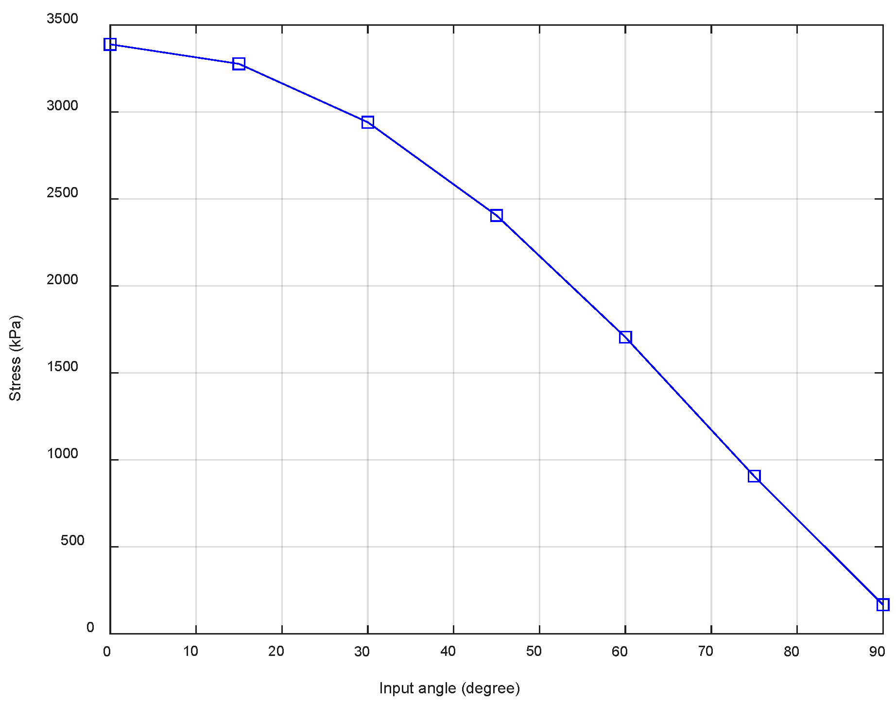
4. Identifying the Most Vulnerable Seismic Input Direction Method
- Based on the modal analysis results, the first major modal shape direction was used as the most vulnerable direction of seismic input.
- The structure coordinate system and the angle between the most vulnerable direction and the structure coordinate system were configured and found. For the curved bridge, the structure coordinate system was configured using the longitudinal and lateral directions of the bridge. The magnitude of the original seismic inputs with cos α and sin α were multiplied, and the structure with these two perpendicular components were excited.
- The structural response at every time stamp was achieved, and the responses from the two perpendicular directions were combined. The maximum stress response at that time stamp was calculated.
- We repeated step 3 for every time step and achieved the maximum structural response at every time stamp.
- We found the maximum structural response for the entire time history.
5. Discussion
6. Conclusions
Author Contributions
Funding
Data Availability Statement
Conflicts of Interest
References
- Jennings, P.C. Enduring Lessons and Opportunities Lost from the San Fernando Earthquake of February 9, 1971. Earthq. Spectra 1997, 13, 25–44. [Google Scholar] [CrossRef]
- Mitchell, D.; Tinawi, R.; Sexsmith, R.G. Performance of bridges in the 1989 Loma Prieta earthquake—Lessons for Canadian designers. Can. J. Civ. Eng. 1991, 18, 711–734. [Google Scholar] [CrossRef]
- Housner, G.W.; Thiel, C.C., Jr. The continuing challenge: Report on the performance of state bridges in the Northridge earthquake. Earthq. Spectra 1995, 11, 607–636. [Google Scholar] [CrossRef]
- Karim, K.R.; Yamazaki, F. Effect of earthquake ground motions on fragility curves of highway bridge piers based on numerical simulation. Earthq. Eng. Struct. Dyn. 2001, 30, 1839–1856. [Google Scholar] [CrossRef]
- McCallen, D.B.; Romstad, K.M. Dynamic Analyses of a Skewed Short-Span, Box-Girder Overpass. Earthq. Spectra 1994, 10, 729–755. [Google Scholar] [CrossRef]
- Seo, J.; Linzell, D.G. Nonlinear Seismic Response and Parametric Examination of Horizontally Curved Steel Bridges Using 3D Computational Models. J. Bridg. Eng. 2013, 18, 220–231. [Google Scholar] [CrossRef]
- Jeon, J.-S.; DesRoches, R.; Kim, T.; Choi, E. Geometric parameters affecting seismic fragilities of curved multi-frame concrete box-girder bridges with integral abutments. Eng. Struct. 2016, 122, 121–143. [Google Scholar] [CrossRef]
- Tseng, W.S.; Penzien, J. Seismic analysis of long multiple-span highway bridges. Earthq. Eng. Struct. Dyn. 1975, 4, 1–24. [Google Scholar] [CrossRef]
- Williams, D.; Godden, W.G. Experimental Model Studies on the Seismic Response of High Curved Overcrossings; (No. EERC-76-18); National Technical Information Service: Springfield, VA, USA, 1976. [Google Scholar]
- Williams, D.; Godden, W. Seismic response of long curved bridge structures: Experimental model studies. Earthq. Eng. Structural. Dyn. 1979, 7, 107–128. [Google Scholar] [CrossRef]
- Buckle, I.G.; Mayes, R.L.; Button, M.R. Seismic Design and Retrofit Manual for Highway Bridges; (No. FHWA-IP-87-6); United States. Federal Highway Administration, Office of Implementation: Washington, DC, USA, 1987. [Google Scholar]
- Abdel-Salam, M.N.; Heins, C.P. Seismic Response of Curved Steel Box Girder Bridges. J. Struct. Eng. 1988, 114, 2790–2800. [Google Scholar] [CrossRef]
- Richardson, J.A.; Douglas, B.M. Results from field testing A curved box girder bridge using simulated earthquake loads. Earthq. Eng. Struct. Dyn. 1993, 22, 905–922. [Google Scholar] [CrossRef]
- Desroches, R.; Fenves, G.L. Evaluation of Recorded Earthquake Response of a Curved Highway Bridge. Earthq. Spectra 1997, 13, 363–386. [Google Scholar] [CrossRef]
- Hirasawa, H.; Koyama, A.; Hayashikawa, T.; Sato, K. Effects of cross beam’s position on mechanical properties of curved two-girder bridge. J. Constr. Steel 1998, 6, 349–356. [Google Scholar]
- Otsuka, H.; Kanda, M.; Suzuki, M.; Yoshizawa, T. Dynamic analysis of sliding behavior of curved bridge super-structure caused by horizontal ground motion. Doboku Gakkai Ronbunshu 1997, 570, 305–314. [Google Scholar] [CrossRef]
- Guo, J.; Zhong, J.; Dang, X.; Yuan, W. Influence of Multidirectional Cable Restrainer on Seismic Fragility of a Curved Bridge. J. Bridg. Eng. 2019, 24, 04019001. [Google Scholar] [CrossRef]
- Feng, R.; Wang, X.; Yuan, W.; Yu, J. Impact of seismic excitation direction on the fragility analysis of horizontally curved concrete bridges. Bull. Earthq. Eng. 2018, 16, 4705–4733. [Google Scholar] [CrossRef]
- Amjadian, M.; Agrawal, A.K. Feasibility study of using a semiactive electromagnetic friction damper for seismic response control of horizontally curved bridges. Struct. Control. Health Monit. 2019, 26, e2333. [Google Scholar] [CrossRef]
- Serdar, N.; Folić, R. Vulnerability and optimal probabilistic seismic demand model for curved and skewed RC bridges. Eng. Struct. 2018, 176, 411–425. [Google Scholar] [CrossRef]
- Ni, Y.; Chen, J.; Teng, H.; Jiang, H. Influence of earthquake input angle on seismic response of curved girder bridge. J. Traffic Transp. Eng. 2015, 2, 233–241. [Google Scholar] [CrossRef]
- Feng, R.; Deng, T.; Lao, T.; Sextos, A.G.; Yuan, W. Theory and experimental verification of a resultant response-based method for assessing the critical seismic excitation direction of curved bridges. Eng. Struct. 2020, 216, 110713. [Google Scholar] [CrossRef]
- Vaiana, N.; Rosati, L. Classification and unified phenomenological modeling of complex uniaxial rate-independent hysteretic responses. Mech. Syst. Signal Process. 2023, 182, 109539. [Google Scholar] [CrossRef]
- Vaiana, N.; Sessa, S.; Rosati, L. A generalized class of uniaxial rate-independent models for simulating asymmetric mechanical hysteresis phenomena. Mech. Syst. Signal Process. 2020, 146, 106984. [Google Scholar] [CrossRef]
- Vaiana, N.; Losanno, D.; Ravichandran, N. A novel family of multiple springs models suitable for biaxial rate-independent hysteretic behavior. Comput. Struct. 2020, 244, 106403. [Google Scholar] [CrossRef]
- SAP2000 Manual. Available online: https://docs.csiamerica.com/manuals/sap2000/CSiRefer.pdf (accessed on 1 July 2016).
- De Domenico, D.; Losanno, D.; Vaiana, N. Experimental tests and numerical modeling of full-scale unbonded fiber reinforced elastomeric isolators (UFREIs) under bidirectional excitation. Eng. Struct. 2023, 274, 115118. [Google Scholar] [CrossRef]
- Sessa, S.; Marmo, F.; Vaiana, N.; Rosati, L. Probabilistic assessment of axial force–biaxial bending capacity domains of reinforced concrete sections. Meccanica 2019, 54, 1451–1469. [Google Scholar] [CrossRef]

















| Type | Cross-Section | Span | Radius Curvature | Bridge Shape | Column Type |
|---|---|---|---|---|---|
| Ramp | Single chamber | 20–30 m | 40–100 m | Circular line and gradual circular line | Single or double columns |
| Major Line | Double chambers | 20–50 m | 50–100 m | Circular line or gradual circular line | Double or triple columns |
| Column Height (m) | Modal Shape | ||||
| 1 | 2 | 3 | 4 | 5 | |
| 8 | Beam Longitudinal | Beam lateral (symmetrical) | Beam lateral (anti-symmetrical) | Beam Vertical (symmetrical) | Beam Vertical (anti-symmetrical) |
| 15 | Beam Longitudinal | Beam lateral (symmetrical) | Beam lateral (anti-symmetrical) | Column 2 Longitudinal | Column 3 Longitudinal |
| 20 | Beam Longitudinal | Beam lateral (symmetrical) | Beam lateral (anti-symmetrical) | Column 2 Longitudinal | Column 3 Longitudinal |
| Column Height (m) | Modal Shape | ||||
| 6 | 7 | 8 | 9 | 10 | |
| 8 | Column 2 Longitudinal | Column 3 Longitudinal | Column 4 Longitudinal | Beam–column coupling | Beam–column coupling |
| 15 | Column 4 Longitudinal | Vertical (symmetrical) | Vertical(anti-symmetrical) | Beam–column coupling | Beam–column coupling |
| 20 | Column 4 Longitudinal | Vertical (symmetrical) | Beam–column coupling | Beam–column coupling | Column (anti-symmetrical) |
| Span (m) | Modal Shape | ||||
| 1 | 2 | 3 | 4 | 5 | |
| 20 | Beam Longitudinal | Beam lateral (symmetrical) | Beam lateral (anti-symmetrical) | Beam Vertical (symmetrical) | Beam Vertical (anti-symmetrical) |
| 30 | Beam Longitudinal | Beam lateral (symmetrical) | Beam lateral (anti-symmetrical) | Beam Vertical (symmetrical) | Beam Vertical (anti-symmetrical) |
| 40 | Beam Longitudinal | Beam lateral (symmetrical) | Beam lateral (anti-symmetrical) | Beam lateral (anti-symmetrical) | Beam lateral (anti-symmetrical) |
| Column Height (m) | Modal Shape | ||||
| 6 | 7 | 8 | 9 | 10 | |
| 20 | Column 2 Longitudinal | Column 3 Longitudinal | Column 4 Longitudinal | Beam column coupling | Beam–column coupling |
| 30 | Beam lateral (symmetrical) | Beam lateral (anti-symmetrical) | Columns 2, 3 Longitudinal (anti-symmetrical) | Columns 2, 3 Longitudinal (symmetrical) | Column 4 Longitudinal |
| 40 | Beam lateral (symmetrical) | Beam lateral (anti-symmetrical) | Beams 1, 2, 3 lateral (anti-symmetrical) | Beam Vertical (anti-symmetrical) | Beams 1, 2, 3 lateral (anti-symmetrical) |
| Radius Curvature (m) | Modal Shape | ||||
| 1 | 2 | 3 | 4 | 5 | |
| 100 | Beam Longitudinal | Beam lateral (symmetrical) | Beam lateral (anti-symmetrical) | Beam Vertical (symmetrical) | Beam Vertical (anti-symmetrical) |
| 200 | Beam Longitudinal | Beam lateral (symmetrical) | Beam lateral (anti-symmetrical) | Beam Vertical (symmetrical) | Beam Vertical (anti-symmetrical) |
| 300 | Beam Longitudinal | Beam lateral (symmetrical) | Beam lateral (anti-symmetrical) | Beam Vertical (symmetrical) | Beam Vertical (anti-symmetrical) |
| ∞ | Beam Longitudinal | Beam lateral (symmetrical) | Beam lateral (anti-symmetrical) | Beam Vertical (symmetrical) | Beam Vertical (anti-symmetrical) |
| Radius Curvature (m) | Modal Shape | ||||
| 6 | 7 | 8 | 9 | 10 | |
| 100 | Beam lateral (symmetrical) | Column 3 Longitudinal | Column 2 Longitudinal | Column 4 Longitudinal | Beam lateral (anti-symmetrical) |
| 200 | Column 2 Longitudinal | Column 3 Longitudinal | Column 4 Longitudinal | Beam–column coupling | Beam–column coupling |
| 300 | Column 3 Longitudinal | Column 2 Longitudinal | Column 4 Longitudinal | Beam lateral (symmetrical) | Beam lateral (anti-symmetrical) |
| ∞ | Column 1 Longitudinal | Column 4 Longitudinal | Beam Vertical (symmetrical) | Beam lateral (anti-symmetrical) | Beam lateral (anti-symmetrical) |
| Support Arrangement | Modal Shape | ||||
| 1 | 2 | 3 | 4 | 5 | |
| Tangential movable support | Beam Longitudinal | Beam lateral (symmetrical) | Beam lateral (anti-symmetrical) | Beam Vertical (symmetrical) | Beam Vertical (anti-symmetrical) |
| Fixed support | Beam lateral (anti-symmetrical) | Beam lateral (symmetrical) | Beam Longitudinal | Beam Vertical (symmetrical) | Beam Vertical (anti-symmetrical) |
| Support Arrangement | Modal Shape | ||||
| 6 | 7 | 8 | 9 | 10 | |
| Tangential movable support | Column 2 Longitudinal | Column 3 Longitudinal | Column 4 Longitudinal | Beam–column coupling | Beam column coupling |
| Fixed support | Columns 1, 4 lateral (symmetrical) | Column 1 Longitudinal | Column 4 Longitudinal | Columns 1, 4 lateral (anti-symmetrical) | Beam lateral (symmetrical) |
Disclaimer/Publisher’s Note: The statements, opinions and data contained in all publications are solely those of the individual author(s) and contributor(s) and not of MDPI and/or the editor(s). MDPI and/or the editor(s) disclaim responsibility for any injury to people or property resulting from any ideas, methods, instructions or products referred to in the content. |
© 2023 by the authors. Licensee MDPI, Basel, Switzerland. This article is an open access article distributed under the terms and conditions of the Creative Commons Attribution (CC BY) license (https://creativecommons.org/licenses/by/4.0/).
Share and Cite
Tao, C.; Guan, S. A Method to Identify the Critical Seismic Input for Curved Bridges. CivilEng 2023, 4, 567-583. https://doi.org/10.3390/civileng4020033
Tao C, Guan S. A Method to Identify the Critical Seismic Input for Curved Bridges. CivilEng. 2023; 4(2):567-583. https://doi.org/10.3390/civileng4020033
Chicago/Turabian StyleTao, Chengcheng, and Shanyue Guan. 2023. "A Method to Identify the Critical Seismic Input for Curved Bridges" CivilEng 4, no. 2: 567-583. https://doi.org/10.3390/civileng4020033
APA StyleTao, C., & Guan, S. (2023). A Method to Identify the Critical Seismic Input for Curved Bridges. CivilEng, 4(2), 567-583. https://doi.org/10.3390/civileng4020033

