Abstract
One of the most important and flexible tools for nitroarenes functionalization is nucleophilic aromatic substitution (SNAr). This reaction generally requires a number of conjugated electron-withdrawing groups and SNAr of non-activated nitro groups is rather uncommon. Most of these examples were obtained on polynitrobenzenes, but little is known about reactions of non-activated 3-nitropyridines. Here we report the synthesis of several 2-methyl-3-nitropyridines and their reactions with various aromatic aldehydes, leading to corresponding 2-styrylpyridines under mild conditions. Both 2-methyl- and 2-styryl-3-nitropyridines readily react with thiolate-anions and give substitution products in good yields. Chemoselectivity and regioselectivity is discussed, while some 2-styrylpyridines also showed remarkable fluorescent properties.
1. Introduction
Nitroarenes and nitrohetarenes are valuable synthetic intermediates in organic synthesis due to a variety of possible chemical transformations. Along with nitro group reductions that are used for synthesis of numerous dyes, reactions of nitroaromatic compounds with nucleophiles are widely used for functionalization of electron deficient arenes and hetarenes [1]. Nucleophilic aromatic substitution (SNAr) is one of the most common and important mechanisms for this type of reactions. It requires an existing leaving group and thus is usually very selective. SNAr reactions also require one or more strong electron withdrawing groups which are conjugated to the leaving group and activating it for substitution. In some cases, strong EWG groups like -NO2 or -SO2R can be substituted for by nucleophiles without direct activation. This mode of SNAr is well documented for 1,3,5-trinitrobenzene and related bicyclic systems [2,3].
Heterocycles that are electron deficient by nature tend to react with nucleophiles more readily. Pyridine is the simplest example of such a heterocycle and it is also a common part of various pharmaceuticals, so it is important to explore different ways to introduce substituents into the pyridine system. Nucleophilic substitution in position 2 and 4 is relatively well known due to the activating nature of nitrogen atom in azines, but the position 3 of pyridine is generally considered to not be reactive. We decided to synthesize 3-nitropyridines with simple carbon side chains like -CH3 or -CH=CH-R and see if such compounds can be functionalized by means of nucleophilic aromatic substitution.
2. Results and Discussion
2.1. Synthesis of 2-Styryl-3-nitropyridines
One of the most common way to synthesize unsymmetrical 1,2-diarylethenes is direct cross-coupling of halogen-substituted arene and terminal alkene, known as Heck reaction. This reaction is best performed with Br, I or TfO as the leaving group, while chloroarenes generally give poor results. However, 2-chloropyridines are significantly more accessible than other 2-halopyridines because commercially available 2-hydroxypyridines can be easily chlorinated with various reagents like SOCl2, POCl3 or PCl5, especially after the introduction of a nitro group into position 3 or 5. Previously we have successfully applied Sonogashira coupling to 2-chloro-3-nitropyridines [4], but attempted Heck coupling gave no desired product due to side reactions of activated 2-chloropyridines at elevated temperatures.
A more reliable 3 step method was chosen, which utilizes high reactivity of 2-chloro-3-nitropyridines towards nucleophiles (Figure 1). For this process, 2-chloro-3-nitropyridines were converted to 2-methyl-3-nitropyridines by a reaction with malonic ester anion, generated in situ from diethyl malonate and K2CO3 in anhydrous THF. The reaction proceeded smoothly and gave substituted malonic esters that were without purification, which were directly subjected to hydrolysis and decarboxylation in aqueous sulfuric acid. Next, 2-methylpyridines (1a,b) were isolated in moderate to good yields and high purity. This procedure is based on the literature [5], but optimizations were made to avoid inconvenient bases like sodium metal or NaH.
Figure 1.
Two-step synthesis of 2-methyl-3-nitropyridines.
The methyl group in 2-methylpyridines is known to be relatively acidic; this property can be further increased by adding electron-withdrawing groups to an aromatic ring. A positive charge on nitrogen, such as N-oxide moiety, also increases the reactivity of an adjacent methyl group. Both 2-methyl-3,5-dinitropyridine (1a) and 2-methyl-3-nitro-5-bromopyridine N-oxide (1c) reacted with various aromatic aldehydes upon heating in toluene with catalytic amounts of piperidine (Figure 2). This procedure is significantly milder than heating with the molar equivalent of potassium tert-butoxide in tert-butanol required for 2-methylpyridines N-oxide containing no nitro groups [6]. It should also be noted that compound 1a reacts several times faster than 1c, indicating that the 5-nitro group is the more potent activating group for this reaction than n-oxide moiety.
Figure 2.
Condensation of 2-methyl-3-nitropyridines with aromatic aldehydes.
There was no noticeable difference in reaction time or product yield between aldehydes even with 4-dimethylaminobenzaldehyde, which is deactivated towards nucleophiles by a strong electron-donating effect of the dimethylamino group. Results are summarized in Table 1. High substrate tolerance combined with mild conditions and easy accessibility of aromatic aldehydes makes this method valid alternative for Pd-based coupling reactions. It is also important that pure trans-alkene is produced.
Table 1.
Condensation of 2-methyl-3-nitropyridines with aromatic aldehydes.
2.2. Reactions of 2-Methyl- and 2-Styryl-3-nitropyridines with S-Nucleophiles
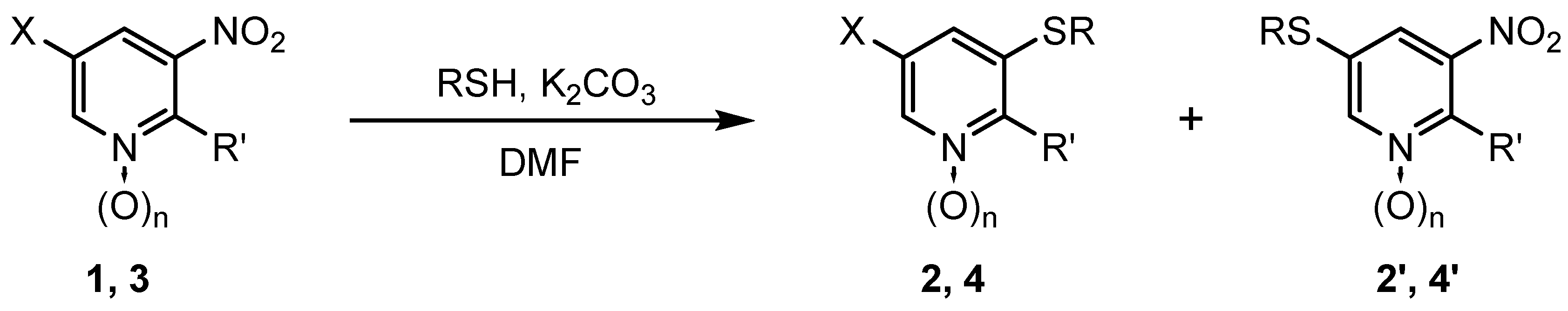
In our previous work [7], we have shown that 5-substituted 3-nitropyridines readily react with various anionic O,N,S-nucleophiles, so thiolate anions were chosen as model nucleophiles to test the reactivity of 2-methylpyridines 1a,c and 2-styrylpyridines 3a–d in SNAr reactions (Figure 3).
Figure 3.
Reactions of 2-methyl- and 2-styryl-3-nitropyridines with S-nucleophiles.
More reactive 2-methyl-3,5-dinitropyridine 1a reacted with BnSH to give monosubstituted products in the same way as 3,5-dinitropyridine, but the presence of 2-methyl group brings the possibility of 2 different isomers. It was established by 1H NMR that the reaction product is in fact a mixture of both isomers, with 3-SBn isomer being predominant. This result matches known literature information about nucleophilic substitution in 2,4,6-trinitrotoluene and ortho-substitution can be attributed to the steric effect of methyl group causing an “out-of-plane” effect [8]. Compound 1c gave only 3-substituted products, despite bromine atom being also a viable leaving group in related nitroarenes [2].
All 2-styryl-3-nitropyridines reacted smoothly with various alkylthiolates and arylthiolates. β-vinyl substituents do not seem to influence either the rate or yield of SNAr reaction, even with a strong electron donating group like Me2N. All reactions were completed after 1 h at 50 °C. No Br/NO2 competition was found in the case of compound 3d, but rather interesting results were obtained for 3-NO2/5-NO2 competition in compounds 3a,b,c. The isomer ratio was calculated by 1H NMR of crude products and ortho-substituted compounds were found to be major products in all cases. The exact ratio depends on both electronic effects of styryl moiety and steric effects of thiolate anion. Ortho-selectivity was improved by electron-rich substituents on double bound and bulky aryl-thiolates. Yields and isomer ratios are summarized in Table 2.
Table 2.
Nucleophilic substitution of nitro group by thiolate anions.
2.3. Fluorescent Properties of 2-Styrylpyridines
Some of the obtained 2-vinylpyridine derivatives appeared to have remarkable fluorescent properties. These properties differed greatly between compounds and some empirical patterns could be found.
All compounds bearing the dimethylamino group (3b, 4d, 4d′, 4e, 4f, 4f′, 4i) have shown no visible fluorescence at all. Instead they have strong absorption of visible light resulting in deep purple coloration. This can be attributed to conjugation of the electron-deficient nitropyridine ring with the N(CH3)2 group.
Both compounds 3a and 3c with two nitro groups on pyridine ring are somewhat fluorescent but this can be observed only at high concentrations and under intense UV-light. Substitution of the nitro group with thiolate anions dramatically improves fluorescence of both compounds. It is interesting that only 3-substituted products (major ones) have strong fluorescence while isomeric 5-substituted products are only slightly different from their parent compounds. The nature of thiol does not have a significant influence on either color or brightness. Derivatives of compound 3a emit yellow light while derivatives of 3c are orange. Fluorescence of some of these compounds can be seen on Figure 4. Quantitive measurements are being conducted at this moment.
Figure 4.
Fluorescence of compounds 4a (solution in CHCl3), 4a (solid), 4a′ and 4h under 365 nm light. Differences in brightness between isomers 4a and 4a’ can be seen.
3. Conclusions
Two 2-methyl-3-nitropyridines were synthesized according to improved literature procedures. Their reaction with various aromatic aldehydes yields 2-vinyl-3-nitropyridines in high yield as a pure trans-isomer. Mild conditions and a wide scope of readily available aromatic aldehydes make this reaction a viable metal-free alternative to the Heck reaction.
Reactions of 2-methyl- and 2-vinyl-3-nitropyridines with thiolate anions proceeded smoothly by the SNAr mechanism with the substitution of the nitro group. When two nitro groups at 3,5-position are present, a variable amount of 5-substituted isomers are formed in some cases. Regioselectivity depends on both electronic effects of vinyl moiety and steric effects of thiol. Ratio of isomers were determined by the 1H NMR method.
Some of obtained 2-vinylpyridines were shown to be highly fluorescent. Empirical correlation between structure and fluorescent properties can be used for further development of novel fluorescent dyes.
Author Contributions
Conceptualization, V.N. and Starosotnikov A.S.; methodology, V.N.; investigation, V.N.; writing—original draft preparation, V.N.; writing—review and editing, A.S.; supervision, M.B. All authors have read and agreed to the published version of the manuscript.
Funding
This research received no external funding.
Conflicts of Interest
The authors declare no conflict of interest.
References
- Terrier, F. Modern Nucleophilic Aromatic Substitution; Wiley-VCH: Weinheim, Germany, 2013. [Google Scholar]
- Dutov, M.D.; Shevelev, S.A.; Koshelev, V.N.; Aleksanyan, D.R.; Serushkina, O.V.; Neverova, O.D.; Kolvina, E.V.; Bobrov, E.S. Dual reactivity of 1-chloro- and 1-bromo-3,5-dinitrobenzenes in aromatic nucleophilic substitution. Mendeleev Commun. 2017, 27, 160–162. [Google Scholar] [CrossRef]
- Bastrakov, M.A.; Starosotnikov, A.M.; Shevelev, S.A. Synthesis of benzannelated five-membered heteroaromatic compounds from 2,4,6-trinitrotoluene. Arkivoc 2009, 4, 88–114. [Google Scholar] [CrossRef]
- Bastrakov, M.A.; Fedorenko, A.K.; Starosotnikov, A.M.; Fedyanin, I.V.; Kokorekin, V.A. Synthesis and Facile Dearomatization of Highly Electrophilic Nitroisoxazolo [4,3-b]pyridines. Molecules 2020, 25, 2194. [Google Scholar] [CrossRef] [PubMed]
- Liu, M.-C.; Lin, T.-S.; Sartorelli, A.C. A One-Pot Synthesis of 3-Nitro-and 3,5-Dinitro-2-Picolines. Syn. Comm. 1990, 20, 2965–2970. [Google Scholar] [CrossRef]
- Buettelmann, B.; Alanine, A.; Bourson, A.; Gill, R.; Heitz, M.-P.; Mutel, V.; Pinard, E.; Trube, G.; Wyler, R. 2-Styryl-pyridines and 2-(3,4-Dihydro-naphthalen-2-yl)pyridines as Potent NR1/2B Subtype Selective NMDA Receptor Antagonists. Chimia 2004, 58, 630–633. [Google Scholar] [CrossRef]
- Bastrakov, M.A.; Nikol’skiy, V.V.; Starosotnikov, A.M.; Fedyanin, I.V.; Shevelev, S.A.; Knyazev, D.A. Reactions of 3-R-5-nitropyridines with nucleophiles: Nucleophilic substitution vs. conjugate addition. Tetrahedron 2019, 75, 130659. [Google Scholar] [CrossRef]
- Zlotin, G.; Kislitsin, G.; Samet, V.; Serebryakov, A.; Konyushkin, D.; Semenov, V.V.; Gakh, A.A. Synthetic Utilization of Polynitroaromatic Compounds. 1. S-Derivatization of 1-Substituted 2,4,6-Trinitrobenzenes with Thiols. J. Org. Chem. 2000, 65, 8430–8438. [Google Scholar] [CrossRef] [PubMed]
Publisher’s Note: MDPI stays neutral with regard to jurisdictional claims in published maps and institutional affiliations. |
© 2020 by the authors. Licensee MDPI, Basel, Switzerland. This article is an open access article distributed under the terms and conditions of the Creative Commons Attribution (CC BY) license (https://creativecommons.org/licenses/by/4.0/).




